Spandidos Publications Logo
  • About
    • About Spandidos
    • Aims and Scopes
    • Abstracting and Indexing
    • Editorial Policies
    • Reprints and Permissions
    • Job Opportunities
    • Terms and Conditions
    • Contact
  • Journals
    • All Journals
    • Oncology Letters
      • Oncology Letters
      • Information for Authors
      • Editorial Policies
      • Editorial Board
      • Aims and Scope
      • Abstracting and Indexing
      • Bibliographic Information
      • Archive
    • International Journal of Oncology
      • International Journal of Oncology
      • Information for Authors
      • Editorial Policies
      • Editorial Board
      • Aims and Scope
      • Abstracting and Indexing
      • Bibliographic Information
      • Archive
    • Molecular and Clinical Oncology
      • Molecular and Clinical Oncology
      • Information for Authors
      • Editorial Policies
      • Editorial Board
      • Aims and Scope
      • Abstracting and Indexing
      • Bibliographic Information
      • Archive
    • Experimental and Therapeutic Medicine
      • Experimental and Therapeutic Medicine
      • Information for Authors
      • Editorial Policies
      • Editorial Board
      • Aims and Scope
      • Abstracting and Indexing
      • Bibliographic Information
      • Archive
    • International Journal of Molecular Medicine
      • International Journal of Molecular Medicine
      • Information for Authors
      • Editorial Policies
      • Editorial Board
      • Aims and Scope
      • Abstracting and Indexing
      • Bibliographic Information
      • Archive
    • Biomedical Reports
      • Biomedical Reports
      • Information for Authors
      • Editorial Policies
      • Editorial Board
      • Aims and Scope
      • Abstracting and Indexing
      • Bibliographic Information
      • Archive
    • Oncology Reports
      • Oncology Reports
      • Information for Authors
      • Editorial Policies
      • Editorial Board
      • Aims and Scope
      • Abstracting and Indexing
      • Bibliographic Information
      • Archive
    • Molecular Medicine Reports
      • Molecular Medicine Reports
      • Information for Authors
      • Editorial Policies
      • Editorial Board
      • Aims and Scope
      • Abstracting and Indexing
      • Bibliographic Information
      • Archive
    • World Academy of Sciences Journal
      • World Academy of Sciences Journal
      • Information for Authors
      • Editorial Policies
      • Editorial Board
      • Aims and Scope
      • Abstracting and Indexing
      • Bibliographic Information
      • Archive
    • International Journal of Functional Nutrition
      • International Journal of Functional Nutrition
      • Information for Authors
      • Editorial Policies
      • Editorial Board
      • Aims and Scope
      • Abstracting and Indexing
      • Bibliographic Information
      • Archive
    • International Journal of Epigenetics
      • International Journal of Epigenetics
      • Information for Authors
      • Editorial Policies
      • Editorial Board
      • Aims and Scope
      • Abstracting and Indexing
      • Bibliographic Information
      • Archive
    • Medicine International
      • Medicine International
      • Information for Authors
      • Editorial Policies
      • Editorial Board
      • Aims and Scope
      • Abstracting and Indexing
      • Bibliographic Information
      • Archive
  • Articles
  • Information
    • Information for Authors
    • Information for Reviewers
    • Information for Librarians
    • Information for Advertisers
    • Conferences
  • Language Editing
Spandidos Publications Logo
  • About
    • About Spandidos
    • Aims and Scopes
    • Abstracting and Indexing
    • Editorial Policies
    • Reprints and Permissions
    • Job Opportunities
    • Terms and Conditions
    • Contact
  • Journals
    • All Journals
    • Biomedical Reports
      • Information for Authors
      • Editorial Policies
      • Editorial Board
      • Aims and Scope
      • Abstracting and Indexing
      • Bibliographic Information
      • Archive
    • Experimental and Therapeutic Medicine
      • Information for Authors
      • Editorial Policies
      • Editorial Board
      • Aims and Scope
      • Abstracting and Indexing
      • Bibliographic Information
      • Archive
    • International Journal of Epigenetics
      • Information for Authors
      • Editorial Policies
      • Editorial Board
      • Aims and Scope
      • Abstracting and Indexing
      • Bibliographic Information
      • Archive
    • International Journal of Functional Nutrition
      • Information for Authors
      • Editorial Policies
      • Editorial Board
      • Aims and Scope
      • Abstracting and Indexing
      • Bibliographic Information
      • Archive
    • International Journal of Molecular Medicine
      • Information for Authors
      • Editorial Policies
      • Editorial Board
      • Aims and Scope
      • Abstracting and Indexing
      • Bibliographic Information
      • Archive
    • International Journal of Oncology
      • Information for Authors
      • Editorial Policies
      • Editorial Board
      • Aims and Scope
      • Abstracting and Indexing
      • Bibliographic Information
      • Archive
    • Medicine International
      • Information for Authors
      • Editorial Policies
      • Editorial Board
      • Aims and Scope
      • Abstracting and Indexing
      • Bibliographic Information
      • Archive
    • Molecular and Clinical Oncology
      • Information for Authors
      • Editorial Policies
      • Editorial Board
      • Aims and Scope
      • Abstracting and Indexing
      • Bibliographic Information
      • Archive
    • Molecular Medicine Reports
      • Information for Authors
      • Editorial Policies
      • Editorial Board
      • Aims and Scope
      • Abstracting and Indexing
      • Bibliographic Information
      • Archive
    • Oncology Letters
      • Information for Authors
      • Editorial Policies
      • Editorial Board
      • Aims and Scope
      • Abstracting and Indexing
      • Bibliographic Information
      • Archive
    • Oncology Reports
      • Information for Authors
      • Editorial Policies
      • Editorial Board
      • Aims and Scope
      • Abstracting and Indexing
      • Bibliographic Information
      • Archive
    • World Academy of Sciences Journal
      • Information for Authors
      • Editorial Policies
      • Editorial Board
      • Aims and Scope
      • Abstracting and Indexing
      • Bibliographic Information
      • Archive
  • Articles
  • Information
    • For Authors
    • For Reviewers
    • For Librarians
    • For Advertisers
    • Conferences
  • Language Editing
Login Register Submit
  • This site uses cookies
  • You can change your cookie settings at any time by following the instructions in our Cookie Policy. To find out more, you may read our Privacy Policy.

    I agree
Search articles by DOI, keyword, author or affiliation
Search
Advanced Search
presentation
Oncology Letters
Join Editorial Board Propose a Special Issue
Print ISSN: 1792-1074 Online ISSN: 1792-1082
Journal Cover
April-2025 Volume 29 Issue 4

Full Size Image

Sign up for eToc alerts
Recommend to Library

Journals

International Journal of Molecular Medicine

International Journal of Molecular Medicine

International Journal of Molecular Medicine is an international journal devoted to molecular mechanisms of human disease.

International Journal of Oncology

International Journal of Oncology

International Journal of Oncology is an international journal devoted to oncology research and cancer treatment.

Molecular Medicine Reports

Molecular Medicine Reports

Covers molecular medicine topics such as pharmacology, pathology, genetics, neuroscience, infectious diseases, molecular cardiology, and molecular surgery.

Oncology Reports

Oncology Reports

Oncology Reports is an international journal devoted to fundamental and applied research in Oncology.

Experimental and Therapeutic Medicine

Experimental and Therapeutic Medicine

Experimental and Therapeutic Medicine is an international journal devoted to laboratory and clinical medicine.

Oncology Letters

Oncology Letters

Oncology Letters is an international journal devoted to Experimental and Clinical Oncology.

Biomedical Reports

Biomedical Reports

Explores a wide range of biological and medical fields, including pharmacology, genetics, microbiology, neuroscience, and molecular cardiology.

Molecular and Clinical Oncology

Molecular and Clinical Oncology

International journal addressing all aspects of oncology research, from tumorigenesis and oncogenes to chemotherapy and metastasis.

World Academy of Sciences Journal

World Academy of Sciences Journal

Multidisciplinary open-access journal spanning biochemistry, genetics, neuroscience, environmental health, and synthetic biology.

International Journal of Functional Nutrition

International Journal of Functional Nutrition

Open-access journal combining biochemistry, pharmacology, immunology, and genetics to advance health through functional nutrition.

International Journal of Epigenetics

International Journal of Epigenetics

Publishes open-access research on using epigenetics to advance understanding and treatment of human disease.

Medicine International

Medicine International

An International Open Access Journal Devoted to General Medicine.

Journal Cover
April-2025 Volume 29 Issue 4

Full Size Image

Sign up for eToc alerts
Recommend to Library

  • Article
  • Citations
    • Cite This Article
    • Download Citation
    • Create Citation Alert
    • Remove Citation Alert
    • Cited By
  • Similar Articles
    • Related Articles (in Spandidos Publications)
    • Similar Articles (Google Scholar)
    • Similar Articles (PubMed)
  • Download PDF
  • Download XML
  • View XML

  • Supplementary Files
    • Supplementary_Data1.pdf
    • Supplementary_Data2.pdf
Article Open Access

Baseline (modified) Glasgow prognostic score as a predictor of therapeutic response to immune checkpoint inhibitors in solid tumors: A systematic review and meta‑analysis

  • Authors:
    • Hong Ye
    • Meifang Li
  • View Affiliations / Copyright

    Affiliations: Department of Respiratory and Critical Care Medicine, Wuhan Third Hospital, Tongren Hospital of Wuhan University, Wuhan, Hubei 430060, P.R. China, Department of Brain Disease, Wuhan Hospital of Traditional Chinese Medicine, Wuhan, Hubei 430014, P.R. China
    Copyright: © Ye et al. This is an open access article distributed under the terms of Creative Commons Attribution License.
  • Article Number: 184
    |
    Published online on: February 13, 2025
       https://doi.org/10.3892/ol.2025.14931
  • Expand metrics +
Metrics: Total Views: 0 (Spandidos Publications: | PMC Statistics: )
Metrics: Total PDF Downloads: 0 (Spandidos Publications: | PMC Statistics: )
Cited By (CrossRef): 0 citations Loading Articles...

This article is mentioned in:


Abstract

A systemic analysis was performed to evaluate the prognostic utility of the Glasgow prognostic score (GPS) and the modified (m)GPS in cancer patients treated with immune checkpoint inhibitors (ICI). The PubMed, Cochrane Library, EMBASE and Google Scholar databases were searched for entries added until May 1st, 2023, to obtain relevant articles for this study. The analysis examined several clinical outcomes, including overall survival (OS), progression‑free survival (PFS), objective response rate and disease control rate (DCR). In this analysis, a total of 38 articles with 3,772 patients were included. The pooled results indicated that patients with high GPS levels had shorter OS [GPS 2 vs. 0, hazard ratio (HR): 4.35, P<0.001; GPS 1 vs. 0, HR: 2.00, P<0.001; GPS 2 vs. 1/0, HR: 2.62, P<0.001; GPS 2/1 vs. 0, HR: 2.60, P<0.001) and PFS (GPS 2 vs. 0, HR: 2.11, P=0.001; GPS 1 vs. 0, HR: 1.33, P=0.001; GPS 2 vs. 1/0, HR: 2.11, P<0.001; GPS 2/1 vs. 0, HR: 1.62, P<0.001], as well as a lower DCR [GPS 2 vs. 1/0, odds ratio (OR): 0.53, P<0.001, GPS 2/1 vs. 0, OR: 0.51, P<0.001]. It was also found that patients with high mGPS levels had poorer OS (mGPS 2 vs. 0, HR: 3.15, P<0.001; mGPS 1 vs. 0, HR: 1.70, P<0.001; mGPS 2 vs. 1/0, HR: 1.95, P=0.049; mGPS 2/1 vs. 0, HR: 3.14, P=0.041; continuous variables, HR: 1.52, P<0.001) and PFS (mGPS 2 vs. 0, HR: 2.70, P<0.001; mGPS 1 vs. 0, HR: 1.74, P=0.016; mGPS 2 vs. 1/0, HR: 1.91, P=0.044; continuous variables, HR: 1.29, P<0.001), and lower DCR (mGPS 2 vs. 1/0, HR: 0.46, P<0.001). In conclusion, the GPS and mGPS were reliable predictors of outcomes in cancer patients treated with ICIs.

Introduction

The immune evasion phenomenon is a crucial factor in the initiation and progression of cancer and is recognized as one of its primary characteristics (1). Immune checkpoints, which comprise co-inhibitory and stimulatory signals, regulate the immune system as well as shield tumor cells from immune attack (1–3). Immune checkpoint inhibitors (ICIs) have demonstrated remarkable and durable antitumor effects by inhibiting negative immunomodulatory signals (4). This approach has become the standard therapy for cancer patients (5). The Food and Drug Administration has approved multiple ICIs, including anti-programmed cell death 1 (PD-1), anti-PD-1 ligand 1 (PD-L1) and anti-cytotoxic T-lymphocyte associated protein 4 (CTLA-4) antibodies, for a wide range of cancer indications. In addition, several novel immune checkpoint molecules with therapeutic potential, such as T-cell immunoglobulin and ITIM domain, T-cell immunoglobulin and mucin-domain-containing-3, as well as lymphocyte activation gene-3, have been identified. Recently developed monoclonal antibodies against these novel targets have demonstrated encouraging therapeutic efficacy (4,6).

However, the response rate to ICI treatment varies greatly depending on the cancer type, typically ranging from 10 to 40%, and the majority of patients eventually progress despite an initial response (4,7). Besides, immune-related adverse effects from ICI therapy can be fatal or very severe (8). Early identification of individuals who do not respond to ICI treatment has recently become a hot topic in the treatment of malignant tumors in order to avoid ineffective treatment, reduce the risk of adverse reactions and the economic burden of patients (9,10). The higher costs of ICIs compared to traditional therapies, such as chemotherapy or radiotherapy, arise from expensive drug prices, prolonged treatment regimens, frequent monitoring, potential severe side effects and limited insurance coverage in certain cases. While ICIs offer substantial benefits in certain cancers, their financial impact remains a significant concern, particularly for patients and healthcare systems with limited resources (11).

Several predictive biomarkers have been explored for their association with ICI response, including the nutritional risk index, intratumoral PD-L1 expression, tumor mutational burden and T-cell infiltration metrics (12,13). However, each of these markers has notable drawbacks. The nutritional risk index is a continuous variable and there is no universally agreed-upon threshold for defining high or low risk, which complicates its clinical application. Intratumoral PD-L1 expression, whilst being the only biomarker with regulatory companion diagnostic approval by the FDA, exhibits significant intertumoral heterogeneity, and the variability in detection platforms leads to inconsistent predictive power (14,15). The tumor mutational burden requires complex and expensive sequencing technologies, limiting its widespread use in routine clinical practice. T-cell infiltration metrics are difficult to standardize across different studies and require invasive biopsy procedures, which are not always feasible, particularly in patients who are not candidates for repeated sampling. In addition, obtaining tumor samples prior to treatment initiation is often challenging due to technical and ethical considerations. Given these limitations, there is a clear need for alternative biomarkers that are more accessible and reliable.

Forrest et al (16) first developed the Glasgow Prognostic Score (GPS) as a prognostic tool for metastatic non-small cell lung cancer (NSCLC). A score of 1 is assigned for C-reactive protein (CRP) of >10 mg/l and/or albumin of <3.5 g/dl, and this culminates in patients being classified as low (0 points), intermediate (1 point) or high (2 points) risk (16). The modified (m)GPS has since improved upon the score's prognostic capabilities. A point is only awarded for low albumin if the CRP is elevated, thus more heavily weighting the inflammatory component of the score (17).

The GPS and mGPS have been extensively studied to predict postoperative outcomes in various cancers (18–22). Recently, Shimoyama et al (23) compared the prognostic effects of the prognostic nutritional index, GPS, mGPS, C-reactive protein-to-albumin ratio, neutrophil-to-lymphocyte ratio, platelet-to-lymphocyte ratio, lymphocyte-to-monocyte ratio, derived neutrophil-to-lymphocyte ratio, neutrophil-lymphocyte score, neutrophil-platelet score, platelet-lymphocyte score, lymphocyte-monocyte score, prognostic index, systemic immune-inflammation index, systemic inflammation response index, lung immune prognostic index and C-reactive protein albumin lymphocyte index for patients with gastric cancer (GC) treated with ICIs. The mGPS was found to have the strongest prognostic effect. However, this was only a single-center study, and the studies by Diker and Olgun (24), Yamamoto et al (25) and Freitas et al (26) confirm that the mGPS does not predict the efficacy of ICI treatment. Hence, the present study aimed to systematically evaluate the predictive value of the GPS and mGPS in ICI-treated patients with cancer. The findings of the current study can aid in developing effective treatment strategies that facilitate the administration of precise, cost-effective treatments with minimal adverse effects.

Materials and methods

Literature search strategies

On May 1st, 2023, the article search was performed using the PubMed (https://pubmed.ncbi.nlm.nih.gov/), EMBASE (https://www.embase.com/) and Cochrane Library (https://www.cochranelibrary.com/) databases. Various search terms, including MeSH terms and keywords, were used to retrieve relevant studies (limited to English literature), such as ‘immune checkpoint inhibitors [MeSH]’, ‘PD-1 inhibitors’, ‘PD-L1 inhibitors’, ‘CTLA-4 inhibitors’, ‘Pembrolizumab’, ‘Nivolumab’, ‘Atezolizumab’, ‘Ipilimumab’, ‘Avelumab’, ‘Tremelimumab’, ‘Durvalumab’, ‘Cemiplimab’, ‘Glasgow prognostic score’ and ‘modified Glasgow prognostic score’. A detailed description of the search strategy is provided in Table SI. In addition, grey literature was explored using Google Scholar (https://scholar.google.cz/) and the reference lists of eligible studies were screened manually.

Inclusion and exclusion criteria

The present study followed strict inclusion criteria, including articles that evaluated the prognostic value of the GPS or mGPS in patients with cancer who underwent treatment with ICIs. Only articles that discussed at least one of the following results were taken into account: Overall survival (OS), progression-free survival (PFS), objective response rate (ORR) and disease control rate (DCR). Conference abstracts, comments and case reports were excluded from the analysis.

To ensure the integrity and originality of the present findings, it was confirmed that no previous meta-analyses were included in the current meta-analysis. Instead, only original research studies were included, which provided primary data on the prognostic utility of the GPS and mGPS in ICI therapy. The rationale for this decision was to avoid the duplication of data, as meta-analyses often aggregate results from the same individual studies already included in the analysis. Including previous meta-analyses could lead to the repetition of data and potentially introduce bias or inflate effect sizes. By focusing solely on primary studies, the present meta-analysis ensures an independent and comprehensive evaluation of the available evidence.

Data extraction and quality assessment

In this study, diverse information was gathered from the selected articles, including the names of the authors, study design, duration and location of the study, drugs used for treatment, cancer type, sample size, patient age and gender, follow-up time and outcomes. More weight was given to data from multivariate analyses of hazard ratios (HR) than univariate analyses. The Newcastle-Ottawa Scale (NOS) was utilized to assess the quality of observational research and literature with an NOS score of 6 or above was regarded as high-quality (27). All of the above steps were performed and cross-checked independently by two authors (HY and MFL).

Statistical methods

Stata 15.0 software (StataCorp LP) was utilized for statistical analyses. To assess heterogeneity, the I2 was applied. The DerSimonian and Laird method was used for the random-effects model. Evaluated outcomes comprised hazard ratios (HRs) for OS and PFS, along with the odds ratio (OR) for the ORR and DCR. Pooled estimates and their corresponding 95% confidence intervals (CIs) were computed. HR >1 for OS and PFS indicated that the event of death is more likely to occur in the high group compared to the low group, implying a worse survival outcome. By contrast, an HR <1 would indicate a lower risk of death in the high group, suggesting a better survival outcome. OS was defined as the time from initiation of ICI treatment to death from any cause or the last date of contact. PFS was defined as the time from ICI treatment initiation to objective disease progression. The ORR was defined as the proportion of patients achieving a complete response (CR) or partial response (PR). The DCR was defined as the proportion of patients achieving a CR, PR or stable disease.

In the present study, the following comparisons were performed: (m)GPS 2 vs. 0, (m)GPS 1 vs. 0, (m)GPS 1/2 vs. 0 and (m)GPS 2 vs. 1/0. These comparisons were selected to evaluate the prognostic value of the GPS across varying levels of inflammatory and nutritional risk. Specifically, (m)GPS 2 vs. 0 and (m)GPS 1 vs. 0 are standard comparisons that assess the independent effects of moderate and severe inflammation on clinical outcomes. In addition, the comparison of (m)GPS 1/2 vs. 0 was performed to explore the combined impact of moderate and severe inflammation on clinical outcomes compared to patients with no significant inflammatory risk. This approach is particularly useful in studies with limited sample sizes or in instances where combining data provides greater statistical power. Finally, (m)GPS 2 vs. 1/0 was included to focus on the distinct impact of severe inflammation compared to patients with a lower inflammatory risk, providing a more nuanced understanding of the prognostic utility of the (m)GPS. These comparisons collectively ensure a comprehensive evaluation of the stratification capabilities of the (m)GPS, contributing to a deeper understanding of its prognostic relevance in cancer patients treated with ICIs.

Both Egger's and Begg's tests were conducted to estimate publication bias (27). If bias was found, the ‘trim and fill’ method was applied to assess its impact on the pooled results (28,29). In addition, a sensitivity analysis was performed by excluding each study independently to evaluate the robustness of the findings (28,29).

Results

Characteristics of studies

Initially, 274 documents were retrieved. After eliminating duplicates (37 articles) and evaluating titles and abstracts (190 articles), 47 articles remained and were assessed in full-text. Among these, 38 articles were deemed eligible and a total of 3,772 patients were included in the final analysis (24–26,30–64). The study selection process is illustrated in Fig. 1 using a flowchart. The detailed characteristics of the eligible studies are presented in Table I. The risk of bias in all included studies was assessed using the NOS, with scores ranging from 6 to 8, indicating a low risk of bias (Tables I and SII). Of the 38 studies, 35 were retrospective and three were prospective. The included studies consisted of 13 on NSCLC, five on GC, five on head and neck squamous cell carcinoma and four on renal cell carcinoma. Furthermore, 22 studies assessed the predictive value of the GPS, 14 studies estimated the predictive utility of the mGPS and two studies explored the predictive potential of both metrics.

Figure 1.

Flow diagram for identifying eligible studies.

Table I.

Main characteristics of the studies included.

Table I.

Main characteristics of the studies included.

First author, yearStudy designStudy periodStudy regionICI treatmentCancer typeSample sizeAge, yearsGender (male/female)OutcomeFollow-up, months (median/mean)NOS score(Refs.)
Tanaka, 2023R 12/2015-04/2019JapanNivolumab, PembrolizumabNSCLC5179 (75–87)a40/11GPS (OS, PFS, ORR, DCR)7b7(56)
Takegawa, 2023R 03/2020-09/2021JapanNivolumabEC3767 (46–84)a32/5GPS (OS, PFS)23.3b7(63)
Madeddu, 2023P 03/2017-08/2021ItalyNivolumab, PembrolizumabNSCLC7469.3 ± 11.3c54/20mGPS (OS, PFS)24b8(42)
Kasajima, 2023R 03/2017-01/2022JapanPembrolizumab, AtezolizumabNSCLC8071 (44–86)a56/24GPS (OS, PFS, ORR, DCR)11.1b7(39)
Wasamoto, 2023R08/2019- 05/2021JapanAtezolizumabSCLC8471 (43–89)a70/14GPS (OS, PFS, ORR, DCR)12.9b8(59)
Diker, 2022R 03/2017-10/2021CyprusICIsNSCLC10267 (35–88)a89/13mGPS (OS, PFS)8.4b8(24)
Zaitsu, 2021R 10/2016-04/2020JapanNivolumab, Pembrolizumab, AtezolizumabLC73 70.9±9.4c52/21mGPS (OS, PFS, DCR)-7(62)
Takamori, 2021R 01/2016-12/2019JapanNivolumab, Pembrolizumab, AtezolizumabNSCLC30466 (31–88)a242/62GPS (OS, PFS, DCR), mGPS (OS, PFS, DCR),13.8b8(55)
Ogura, 2021R 02/2019-07/2020JapanPembrolizumab, AtezolizumabNSCLC3472 (55–81)a29/5mGPS (OS, PFS)-6(52)
Kang, 2021R 01/2018-03/2020KoreaPembrolizumab, Nivolumab, AtezolizumabNSCLC78 67.1±9.2c64/14GPS (OS, PFS)-7(37)
Imai, 2021R 02/2017-06/2019.JapanPembrolizumabNSCLC14270 (47–86)a117/25GPS (OS, PFS, ORR, DCR)15.7b8(36)
Freitas, 2021R-PortugalNivolumab, PembrolizumabNSCLC7765 (44–87)a55/22mGPS (OS, PFS)-7(26)
Araki, 2021R 01/2015-12/2019JapanNivolumabNSCLC11369 (36–86)a87/26mGPS (OS)-7(31)
Ali, 2021R 12/2015-08/2017ChinaPembrolizumab, Nivolumab, Camrelizumab, AtezolizumabNSCLC7354 (28–73)a51/22mGPS (OS, PFS)21.2b8(30)
Matsubara, 2020R 01/2018-03/2019JapanAtezolizumabNSCLC24 64.5±9.7c17/7mGPS (OS)-6(43)
Kasahara, 2019R 01/2016-06/2018JapanNivolumab, PembrolizumabNSCLC4733/14d37/17GPS (OS, PFS, DCR)14.7b7(38)
Kawakami, 2023P-JapanNivolumabGC43970 (26–90)a321/118GPS (OS, PFS, ORR, DCR)-7(40)
Sakai, 2022R 09/2017-03/2020JapanNivolumabGC10071 (38–89)a78/22GPS (OS)5.0b7(53)
Tokuyama, 2021R 02/2015-06/2019JapanNivolumabGC4565 (40–81)a31/14GPS (OS, ORR)-6(57)
Namikawa, 2020R 10/2017-12/2019JapanNivolumab (49–86)aGC297119/10GPS (OS, PFS)-6(49)
Kurosaki, 2020R 10/2017-03/2019JapanNivolumabGC8071 (43–87)a67/13GPS (OS, PFS, ORR, DCR)5.1b7(41)
Matsuo, 2022R04/2017-032020JapanNivolumabHNSCC16465 (23–87)a127/37GPS (OS, ORR, DCR)12.6b8(45)
Minohara, 2021R 04/2017-10/2019JapanNivolumabHNC12668 (35–90)a104/22mGPS (OS, PFS)7.5b7(47)
Chikuie, 2021R 05/2017-10/2019JapanNivolumabHNSCC5666 (31–90)a40/16GPS (OS, PFS)-7(34)
Ueki, 2020R 03/2017-03/2019JapanNivolumabHNSCC4268 (43–79)a35/7GPS (OS)9.6b7(58)
Matsuki, 2020R 05/2017-08/2018JapanNivolumabHNSCC8849/39d71/17mGPS (OS, PFS, DCR)6.1b7(44)
Yamamoto, 2021R2015-2019JapanPembrolizumabUC12174 (50–86)a87/34GPS (OS), mGPS (OS)7.9e8(60)
Brown, 2021 (UC)R2015-2018USAAtezolizumab, Pembrolizumab, NivolumabUC5370 (32–86)a45/8mGPS (OS, PFS)27.1b8(33)
Fujiwara, 2021R 09/2013-08/2019JapanNivolumabRCC4562 (55–69)b-GPS (OS)26.4b7(35)
Brown, 2021 (RCC)R2015-2020USAICIsRCC15664 (23–90)a108/48mGPS (OS, PFS)24.2b8(32)
Yamamoto, 2020R2016-2018JapanNivolumabRCC6569 (39–83)a51/14GPS (OS)11.6b7(25)
Noguchi, 2020R-JapanNivolumabRCC6469 (30–86)a51/13GPS (PFS)8.3b6(51)
Minichs-dorfer, 2022R 01/2015-11/2016AustriaPembrolizumab, NivolumabPan-cancer11460 (22–88)a74/40GPS (OS, PFS)-7(46)
Tada, 2023R 09/2020-03/2022JapanAtezolizumabHCC42174 (68–79)f340/81GPS (OS, PFS)8.7b7(54)
Yang, 2022R 02/2019-02/2021ChinaNivolumab, Pembrolizumab, Toripalimab, Camrelizumab, SintilimabICC7357 (31–75)a49/24GPS (OS)11.2e8(61)
Mortensen, 2023P-DenmarkNivolumab ± IpilimumabPC3268 (47–80)a18/14mGPS (OS, PFS)7.3b7(48)
Tanaka, 2023R 04/2017-12/2020JapanNivolumabHNSCC4261 (26–81)a36/6GPS (ORR, DCR)-6(64)
Niwa, 2020R 05/2017-09/2019JapanNivolumabSGC2456 (29–82)a19/5mGPS (OS, PFS)6.5b6(50)

a Median (range);

b median;

c mean ± standard deviation;

d ≥65 vs. <65;

e mean;

f median (interquartile range). R, retrospective study; P, prospective study; ICIs, immune checkpoint inhibitors; NSCLC, non-small cell lung cancer; LC, lung cancer; GC, gastric cancer; HNSCC, head and neck squamous cell carcinoma; HNC, head and neck cancer; UC, urothelial carcinoma; RCC, renal cell carcinoma; ICC, intrahepatic cholangiocarcinoma; PC, pancreatic cancer; SGC, salivary gland carcinoma.

Baseline GPS levels and OS/PFS

Through the analysis of data from 22 studies with 2,617 patients, the present study aimed to explore the association between GPS levels and OS in ICI-treated patients with solid tumors. The results revealed that patients with GPS 2 (I2=65.9%, P=0.003; HR: 4.35, 95% CI: 2.84–6.66, P<0.001; Fig. 2A) or GPS 1 (I2=44.0%, P=0.075; HR: 2.00, 95% CI: 1.52–2.64, P<0.001; Fig. 2B) had a shorter OS compared to patients with GPS 0, and patients with GPS 2 had a higher risk of death than patients with GPS 1.

Figure 2.

Forest plots for the relationship between GPS and overall survival. (A) GPS 2 vs. 0; (B) GPS 1 vs. 0. HR, hazard ratio; CI, confidence interval; DL, DerSimonian and Laird; GPS, Glasgow prognostic score.

Funnel, Begg's, and Egger's tests confirmed the publication bias of the above results (GPS 2 vs. 0: Begg's P=0.466, Egger's P=0.001; GPS 1 vs. 0: Begg's P=0.016, Egger's P=0.003; Fig. S1A and B). To account for potentially missing studies in the above analysis, the trim and fill method was applied. However, the results indicated that the pooled HR did not change significantly even after accounting for any potential missing studies (Fig. S1C and D). A sensitivity analysis was conducted to evaluate the robustness of the present findings by iteratively excluding each study and examining its impact on the pooled results. It was revealed that the exclusion of any individual study did not significantly affect the pooled HR (Fig. S2A and B).

In addition, it was also found that patients with GPS 2 had a worse prognosis compared to those with GPS 1/0 (I2=0.0%, P=0.724; HR: 2.62, 95% CI: 2.01–3.43, P<0.001; Fig. S3A). Patients with GPS 1/2 also had a higher mortality rate compared to patients with GPS 0 (I2=62.4%, P=0.021; HR: 2.60, 95% CI: 1.57–4.29, P<0.001; Fig. S3B). Begg's and Egger's tests confirmed the above results without significant publication bias (GPS 2 vs. 1/0: Begg's P=0.368, Egger's P=0.175; GPS 2/1 vs. 0: Begg's P=0.452, Egger's P=0.083). However, the funnel plot revealed publication bias in the GPS 2/1 vs. 0 group (Fig. S3C and D). A trim and fill method was used, and the results showed that the combined HR did not change significantly, even after accounting for any potential missing studies.

Next, 15 studies with 2,026 patients were analyzed to investigate the relationship between GPS levels and PFS in cancer patients treated with ICIs. The findings indicated that patients with GPS 2 (I2=68.1%, P=0.014; HR: 2.11, 95% CI: 1.38–3.24, P=0.001; Fig. 3A) or GPS 1 (I2=0.0%, P=0.836; HR: 1.33, 95% CI: 1.13–1.56, P=0.001; Fig. 3B) had a significantly poorer PFS compared to those with GPS 0, and patients with GPS 2 had a higher risk of progression than patients with GPS 1.

Figure 3.

Forest plots for the relationship between GPS and progression-free survival. (A) GPS 2 vs. 0; (B) GPS 1 vs. 0. HR, hazard ratio; CI, confidence interval; DL, DerSimonian and Laird; GPS, Glasgow prognostic score.

Funnel plot, Begg's and Egger's tests demonstrated the publication bias of the above analysis (GPS 2 vs. 0: Begg's P=0.086, Egger's P=0.023; GPS 1 vs. 0: Begg's P=0.086, Egger's P=0.030; Fig. S4A and B). To address the potential issue of missing studies, the trim and fill method was employed. However, the pooled HR remained unchanged even after accounting for any missing studies (Fig. S4C and D). The results of the sensitivity analysis showed that excluding any of the studies did not have a significant impact on the pooled HR (Fig. S5A and B).

Furthermore, the present analysis revealed that patients with a GPS score of 2 had a significantly worse prognosis than those with a GPS score of 1 and 0 (I2=0.0%, P=0.509; HR: 2.11, 95% CI: 1.61–2.78, P<0.001; Fig. S6A). Furthermore, patients with a GPS score of 1 and 2 exhibited a higher progression rate compared to patients with a GPS score of 0 (I2=0.0%, P=0.414; HR: 1.62, 95% CI: 1.26–2.09, P<0.001; Fig. S6B). Funnel plot, Begg's and Egger's tests indicated no significant publication bias in the above results (GPS 2 vs. 1/0: Begg's P=0.086, Egger's P=0.171; GPS 2/1 vs. 0: Begg's P=0.308, Egger's P=0.059; Fig. S6C and D).

Baseline GPS levels and DCR/ORR

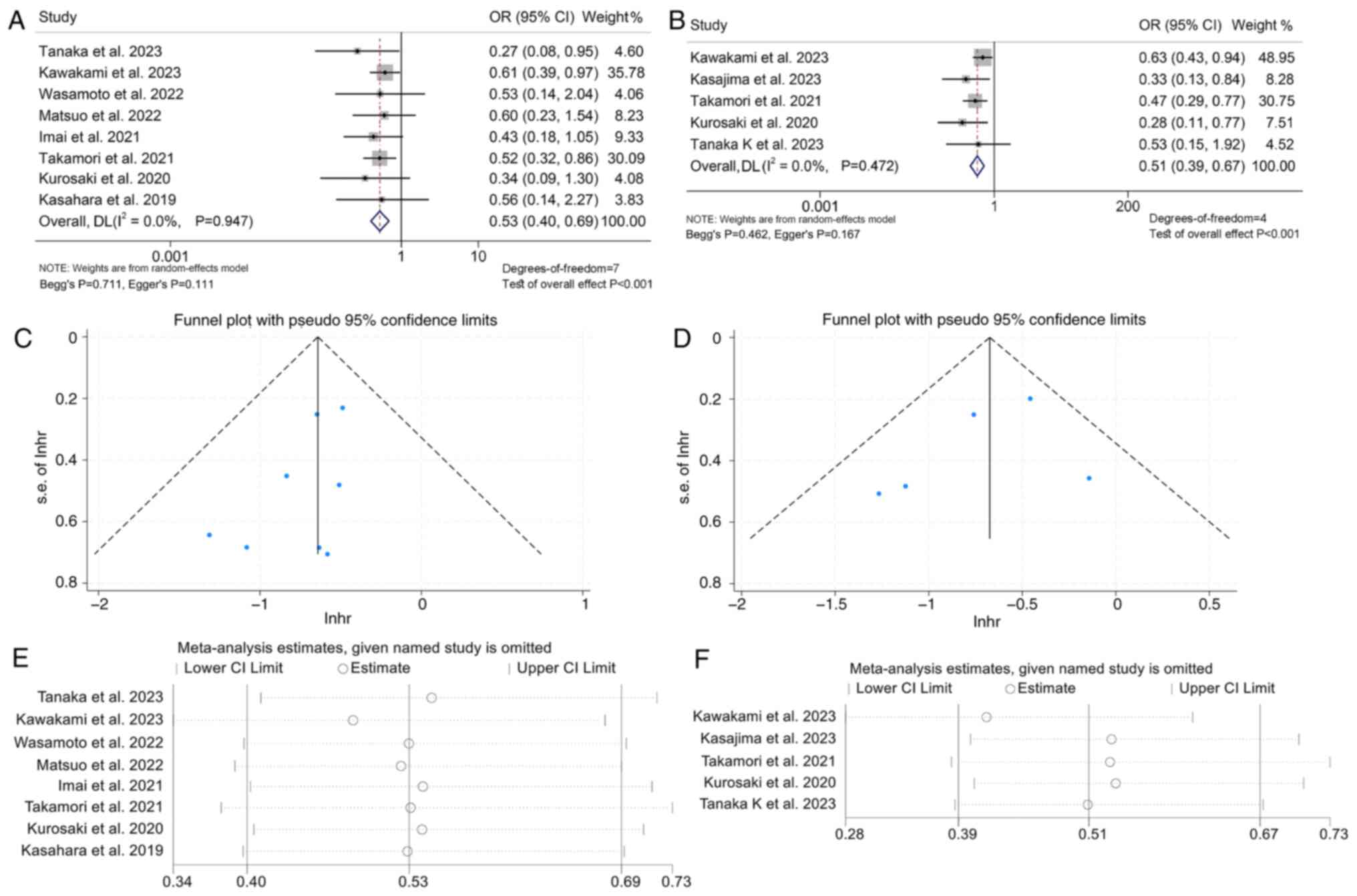
The analysis proceeded to examine the link between GPS levels and response to ICI treatment in cancer patients through 10 studies with 1,433 patients. The results demonstrated that patients with GPS 2 had a lower DCR compared to those with GPS 1/0 (OR: 0.53, 95% CI: 0.40–0.69, P<0.001; Fig. 4A). Patients with GPS 1/2 also had a lower DCR compared to patients with GPS 0 (OR: 0.51, 95% CI: 0.39–0.67, P<0.001; Fig. 4B). The above analysis did not find a significant publication bias (GPS 2 vs. 1/0: Begg's P=0.711, Egger's P=0.111; GPS 2/1 vs. 0: Begg's P=0.462, Egger's P=0.167; Fig. 4C and D). The results of the sensitivity analysis showed that excluding any of the studies did not have a significant impact on the pooled HR (Fig. 4E and F). In addition, high GPS scores were also significantly associated with a lower ORR in cancer patients (GPS 2 vs. 1/0, I2=52.5%, P=0.077, OR: 0.53, 95% CI: 0.28–1.00, P=0.049; GPS 2/1 vs. 0, I2=15.3%, P=0.316, OR: 0.31, 95% CI: 0.16–0.62, P<0.001; Fig. S7).

Figure 4.

(A and B) Forest plots for the relationship between GPS and disease control rate. (A) GPS 2 vs. 1/0; (B) GPS 2/1 vs. 0. (C and D) Funnel plots. (C) GPS 2 vs. 1/0; (D) GPS 2/1 vs. 0. (E and F) Sensitivity analysis for the association between GPS and disease control rate. (E) GPS 2 vs. 1/0; (F) GPS 2/1 vs. 0. OR, odds ratio; CI, confidence interval; DL, DerSimonian and Laird; GPS, Glasgow prognostic score; Lnhr, the natural logarithm of the hazard ratio; s.e., standard error.

Baseline mGPS levels and OS/PFS

A total of 16 studies with 1,474 patients were analyzed to explore the association between mGPS levels and OS in patients with solid tumors treated with ICIs. The results showed that patients with mGPS 2 (I2=42.0%, P=0.125; HR: 3.15, 95% CI: 1.95–5.03, P<0.001; Fig. 5A) or mGPS 1 (I2=0.0%, P=0.905; HR: 1.70, 95% CI: 1.19–2.43, P=0.004; Fig. 5B) had poorer survival compared to patients with mGPS 0 and patients with mGPS 2 had a higher risk of death than patients with mGPS 1.

Figure 5.

(A and B) Forest plots for the relationship between mGPS and overall survival. (A) mGPS 2 vs. 0; (B) mGPS 1 vs. 0. (C and D) Funnel plots. (C) mGPS 2 vs. 0; (D) mGPS 1 vs. 0. (E and F) Sensitivity analysis for the association between mGPS and overall survival. (E) mGPS 2 vs. 0; (F) mGPS=1 vs. 0. HR, hazard ratio; CI, confidence interval; DL, DerSimonian and Laird; mGPS, modified Glasgow prognostic score; Lnhr, the natural logarithm of the hazard ratio; s.e., standard error.

Funnel plot, Begg's and Egger's tests revealed no publication bias in the above findings (mGPS 2 vs. 0: Begg's P=1.000, Egger's P=0.805; mGPS 1 vs. 0: Begg's P=0.707, Egger's P=0.969; Fig. 5C and D). Furthermore, a sensitivity analysis was employed to test the robustness of the results by excluding each study iteratively and assessing its impact on the pooled outcomes. It was found that the exclusion of any single study did not substantially affect the pooled HR (Fig. 5E and F).

The present analysis further revealed that patients with mGPS 2 had a poorer prognosis than those with mGPS 1/0, with an HR of 1.95 (95% CI: 1.00–3.82, P=0.049; Fig. 6A), and patients with mGPS=1/2 also had a higher mortality rate compared to patients with mGPS=0, with an HR of 3.14 (95% CI: 1.05–9.39, P=0.041; Fig. 6B). Begg's and Egger's tests confirmed no significant publication bias was observed (mGPS 2 vs. 1/0: Begg's P=1.000, Egger's P=0.378; mGPS 2/1 vs. 0: Begg's P=0.308, Egger's P=0.388; Fig. 6C and D). Finally, it was found that when mGPS is a continuous variable, a larger mGPS value is associated with shorter patient OS (HR: 1.52, 95% CI: 1.30–1.78, P<0.001; Fig. 6E).

Figure 6.

Forest plots for the relationship between mGPS and overall survival. (A) mGPS 2 vs. 1/0; (B) mGPS 2/1 vs. 0; (C and D) Funnel plots. (C) mGPS 2 vs. 1/0; (D) mGPS 2/1 vs. 0. (E) continuous variables. HR, hazard ratio; CI, confidence interval; DL, DerSimonian and Laird; mGPS, modified Glasgow prognostic score; Lnhr, the natural logarithm of the hazard ratio; s.e., standard error.

The association between mGPS and PFS in cancer patients treated with ICIs was then explored using data from 13 studies with 1,216 patients. It was demonstrated that patients with mGPS 2 (I2=27.1%, P=0.241; HR: 2.70, 95% CI: 1.75–4.16, P<0.001; Fig. 7A) or mGPS=1 (I2=22.8%, P=0.269; HR: 1.74, 95% CI: 1.11–2.72, P=0.016; Fig. 7B) had poorer PFS and patients with mGPS 2 had a higher risk of progression than patients with mGPS 1.

Figure 7.

(A and B) Forest plots for the relationship between mGPS and progression-free survival. (A) mGPS 2 vs. 0; (B) mGPS 1 vs. 0. (C and D) Funnel plots. (C) mGPS 2 vs. 0; (D) mGPS 1 vs. 0. (E and F) Sensitivity analysis for the association between mGPS and progression-free survival. (E) mGPS 2 vs. 0; (F) mGPS 1 vs. 0. HR, hazard ratio; CI, confidence interval; DL, DerSimonian and Laird; mGPS, modified Glasgow prognostic score; Lnhr, the natural logarithm of the hazard ratio; s.e., standard error.

The results of funnel plot, Begg's and Egger's tests indicated that there was no publication bias in the aforementioned findings (mGPS 2 vs. 0: Begg's P=0.462, Egger's P=0.129; mGPS 1 vs. 0: Begg's P=1.000, Egger's P=0.289; Fig. 7C and D). Furthermore, a sensitivity analysis was performed to evaluate the robustness of the results by iteratively excluding each study and examining its influence on the pooled outcomes. It was discovered that the exclusion of any individual study did not significantly alter the pooled HR (Fig. 7E and F).

The present analysis further showed that patients with mGPS 2 had a worse PFS compared to those with mGPS=1/0 (HR: 1.91, 95% CI: 1.02–3.57, P=0.044; Fig. 8A). The funnel plot, Begg's and Egger's tests showed no significant publication bias (mGPS 2 vs. 1/0: Begg's P=1.000, Egger's P=0.954, Fig. 8B). It was also found that when mGPS is a continuous variable, a larger mGPS value was associated with worse PFS of patients (HR: 1.29, 95% CI: 1.14–1.46, P<0.001; Fig. 8C).

Figure 8.

Forest plots for the relationship between mGPS and progression-free survival. (A) mGPS 2 vs. 1/0; (B) Funnel plots of mGPS 2 vs. 1/0; (C) continuous variables. HR, hazard ratio; CI, confidence interval; DL, DerSimonian and Laird; mGPS, modified Glasgow prognostic score; Lnhr, the natural logarithm of the hazard ratio; s.e., standard error.

Baseline mGPS levels and DCR

An analysis was performed to investigate the relationship between mGPS levels and response to ICI therapy in cancer patients using data from three studies with 465 patients. The findings demonstrated that cancer patients with mGPS 2 exhibited a lower DCR (I2=0.0%, P=0.644; OR: 0.46, 95% CI: 0.31–0.70, P<0.001; Fig. S8A) of ICI therapy than those with mGPS 1/0. Sensitivity analysis confirmed that the results were stable and reliable (Fig. S8B).

Discussion

The present investigation aimed to explore the predictive value of the GPS and mGPS in cancer patients receiving ICIs. Through this analysis of relevant studies, a strong relationship between elevated GPS and mGPS and worse OS and PFS, as well as a lower DCR, was found. As a cost-effective, easy-to-use tool, the GPS or mGPS status can be used as a predictor to identify patients who are likely to experience favorable clinical outcomes.

To provide a comprehensive comparison of the present findings with previous meta-analyses, including Zhang et al (65), Wu et al (66) and Wang et al (67), survival outcomes and response metrics were analyzed across a broader range of studies and cancer types. Compared to Zhang et al (65), who reported HRs for OS of 3.89 (GPS 2 vs. 0) and 1.48 (GPS 1 vs. 0), the present analysis yielded higher pooled HRs for OS (4.354 for GPS 2 vs. 0, and 2.004 for GPS 1 vs. 0), indicating a potentially stronger prognostic value of the GPS. Similarly, for PFS, the HR determined in the present study for GPS 2 vs. 0 was 2.113, compared to Zhang et al (65)'s 1.48, highlighting a more pronounced association in the larger dataset of the present study. In terms of the DCR, a unique aspect of the current study, it was found that higher GPS and mGPS were significantly associated with lower DCR and ORR, metrics not previously explored by Zhang et al (65). This additional analysis provides new insights into the predictive value of the GPS/mGPS beyond survival outcomes. Furthermore, unlike prior meta-analyses that combined pre- and post-treatment GPS/mGPS data or failed to stratify by baseline characteristics, the current study maintains methodological rigor by stratifying analyses, reducing heterogeneity and enhancing clinical interpretability (65–67).

GPS or mGPS values are determined based on CRP and albumin, which reflect the level of inflammation and nutritional status of the body. Consistent evidence suggests that hypoalbuminemia is a significant predictor of poor prognosis in cancer patients (68–70). Serum albumin has been shown to have an immunomodulatory role, as it can bind to prostaglandin E2 (PGE2), which is associated with the downregulation of tumor necrosis factor-α derived from macrophages and contributes to immunosuppression (71–74). Of note, administering a human albumin solution has been found to counteract the effects of PGE2, leading to improved immune function (72). According to earlier research on the immunological role of serum CRP, elevated CRP levels are linked to lymphocytopenia, an elevation of proinflammatory cytokines, and decreased T lymphocyte and macrophage responses (75–77). The maintenance of tumor growth and tumor invasiveness are both facilitated by elevated proinflammatory cytokines (78,79). Inflammation mediators have been demonstrated to impede the synthesis of albumin, whereas oxidative stress may induce the denaturation of albumin, thereby fostering a precipitous decline in serum albumin concentrations among individuals with an inflammatory milieu (80–82). An additional pivotal aspect in tumorigenesis pertains to the tumor microenvironment. By orchestrating the recruitment of T lymphocytes, tumor-associated macrophages and circulating cytokines, inflammatory mediators can profoundly modulate various facets of tumor biology, encompassing cell proliferation and angiogenesis, as well as tumor invasion or metastasis (2,83,84).

Because of this, GPS and mGPS levels can significantly predict the efficacy of ICI therapy in cancer patients. In addition, GPS and mGPS serve as objective, highly reproducible ways to more accurately classify patients based on a three-index-scoring indicator. As a result, due to its well-established impact on the host's inflammation and nutritional status as well as cancer, the GPS and mGPS could serve as useful tools in predicting the therapeutic outcomes of ICIs in cancer patients. Individualized and timely nutritional and immunological interventions may improve the prognosis of patients with high baseline GPS and mGPS.

Notably, most studies included in the present analysis were retrospective, which may have limited the statistical robustness. In addition, the majority of data were derived from studies conducted in China and Japan, which may restrict the generalizability of the findings. The limited number of studies also precluded subgroup analyses for each cancer type and for different classes of ICIs. Therefore, further high-quality research with larger sample sizes, particularly multicenter prospective studies, is essential to validate and enhance the accuracy of the present results.

In conclusion, the current meta-analysis indicated that the GPS and mGPS may be reliable predictors of outcomes in cancer patients treated with ICIs.

Supplementary Material

Supporting Data
Supporting Data

Acknowledgements

Not applicable.

Funding

Funding: No funding was received.

Availability of data and materials

The data generated in the present study may be requested from the corresponding author.

Authors' contributions

HY and ML conceived and designed the study. HY and ML were responsible for the collection and assembly of data, data analysis and interpretation. HY was involved in writing the manuscript and ML revised the manuscript. HY and ML checked and confirm the authenticity of the raw data (pertaining to the pooled dataset). All authors have read and approved the final manuscript.

Ethics approval and consent to participate

Not applicable.

Patient consent for publication

Not applicable.

Competing interests

The authors declare that they have no competing interests.

References

1 

Hanahan D and Weinberg RA: Hallmarks of cancer: The next generation. Cell. 144:646–674. 2011. View Article : Google Scholar : PubMed/NCBI

2 

Yuan Q, Deng D, Pan C, Wei T, Wu Z, Zhang B, Li S, Yin P and Shang D: Integration of transcriptomics, proteomics, and metabolomics data to reveal HER2-associated metabolic heterogeneity in gastric cancer with response to immunotherapy and neoadjuvant chemotherapy. Front Immunol. 13:9511372022. View Article : Google Scholar : PubMed/NCBI

3 

Pardoll DM: The blockade of immune checkpoints in cancer immunotherapy. Nat Rev Cancer. 12:252–264. 2012. View Article : Google Scholar : PubMed/NCBI

4 

Ribas A and Wolchok JD: Cancer immunotherapy using checkpoint blockade. Science. 359:1350–1355. 2018. View Article : Google Scholar : PubMed/NCBI

5 

Ye F, Dewanjee S, Li Y, Jha NK, Chen ZS, Kumar A, Vishakha Behl T, Jha SK and Tang H: Advancements in clinical aspects of targeted therapy and immunotherapy in breast cancer. Mol Cancer. 22:1052023. View Article : Google Scholar : PubMed/NCBI

6 

Morad G, Helmink BA, Sharma P and Wargo JA: Hallmarks of response, resistance, and toxicity to immune checkpoint blockade. Cell. 184:5309–5337. 2021. View Article : Google Scholar : PubMed/NCBI

7 

O'Donnell JS, Teng MWL and Smyth MJ: Cancer immunoediting and resistance to T cell-based immunotherapy. Nat Rev Clin Oncol. 16:151–167. 2019. View Article : Google Scholar : PubMed/NCBI

8 

Dolladille C, Ederhy S, Sassier M, Cautela J, Thuny F, Cohen AA, Fedrizzi S, Chrétien B, Da-Silva A, Plane AF, et al: Immune checkpoint inhibitor rechallenge after immune-related adverse events in patients with cancer. JAMA Oncol. 6:865–871. 2020. View Article : Google Scholar : PubMed/NCBI

9 

Zhang L, Feng J, Kuang T, Chai D, Qiu Z, Deng W, Dong K, Zhao K and Wang W: Blood biomarkers predict outcomes in patients with hepatocellular carcinoma treated with immune checkpoint Inhibitors: A pooled analysis of 44 retrospective sudies. Int Immunopharmacol. 118:1100192023. View Article : Google Scholar : PubMed/NCBI

10 

Zhao J, Li D, Xie S, Deng X, Wen X, Li J, Wu Z, Yang X, Li M, Tang Y, et al: Nomogram for predicting prognosis of patients with metastatic melanoma after immunotherapy: A Chinese population-based analysis. Front Immunol. 13:10838402022. View Article : Google Scholar : PubMed/NCBI

11 

Vergnenegre A and Chouaid C: Economic analyses of immune-checkpoint inhibitors to treat lung cancer. Expert Rev Pharmacoecon Outcomes Res. 21:365–371. 2021. View Article : Google Scholar : PubMed/NCBI

12 

Schalper KA, Carleton M, Zhou M, Chen T, Feng Y, Huang SP, Walsh AM, Baxi V, Pandya D, Baradet T, et al: Elevated serum interleukin-8 is associated with enhanced intratumor neutrophils and reduced clinical benefit of immune-checkpoint inhibitors. Nat Med. 26:688–692. 2020. View Article : Google Scholar : PubMed/NCBI

13 

Zhang L, Wang K, Kuang T, Deng W, Hu P and Wang W: Low geriatric nutritional risk index as a poor prognostic biomarker for immune checkpoint inhibitor treatment in solid cancer. Front Nutr. 10:12865832023. View Article : Google Scholar : PubMed/NCBI

14 

Ren J, Wang A, Liu J and Yuan Q: Identification and validation of a novel redox-related lncRNA prognostic signature in lung adenocarcinoma. Bioengineered. 12:4331–4348. 2021. View Article : Google Scholar : PubMed/NCBI

15 

Havel JJ, Chowell D and Chan TA: The evolving landscape of biomarkers for checkpoint inhibitor immunotherapy. Nat Rev Cancer. 19:133–150. 2019. View Article : Google Scholar : PubMed/NCBI

16 

Forrest LM, McMillan DC, McArdle CS, Angerson WJ and Dunlop DJ: Evaluation of cumulative prognostic scores based on the systemic inflammatory response in patients with inoperable non-small-cell lung cancer. Br J Cancer. 89:1028–1030. 2003. View Article : Google Scholar : PubMed/NCBI

17 

Proctor MJ, Morrison DS, Talwar D, Balmer SM, O'Reilly DS, Foulis AK, Horgan PG and McMillan DC: An inflammation-based prognostic score (mGPS) predicts cancer survival independent of tumour site: A glasgow inflammation outcome study. Br J Cancer. 104:726–734. 2011. View Article : Google Scholar : PubMed/NCBI

18 

Nagashima Y, Funahashi K, Kagami S, Ushigome M, Kaneko T, Miura Y, Yoshida K, Koda T and Kurihara A: Which preoperative immunonutritional index best predicts postoperative mortality after palliative surgery for malignant bowel obstruction in patients with late-stage cancer? A single-center study in Japan comparing the modified Glasgow prognostic score (mGPS), the prognostic nutritional index (PNI), and the controlling nutritional status (CONUT). Surg Today. 53:22–30. 2023. View Article : Google Scholar : PubMed/NCBI

19 

Schuettfort VM, Gust K, D'Andrea D, Quhal F, Mostafaei H, Laukhtina E, Mori K, Rink M, Abufaraj M, Karakiewicz PI, et al: Impact of the preoperative modified glasgow prognostic score on disease outcome after radical cystectomy for urothelial carcinoma of the bladder. Minerva Urol Nephrol. 74:302–312. 2022. View Article : Google Scholar : PubMed/NCBI

20 

Hsueh SW, Liu KH, Hung CY, Kuo YC, Tsai CY, Hsu JT, Hung YS, Tsang NM and Chou WC: Significance of the glasgow prognostic score in predicting the postoperative outcome of patients with stage III gastric cancer. J Clin Med. 8:14482019. View Article : Google Scholar : PubMed/NCBI

21 

Vashist YK, Loos J, Dedow J, Tachezy M, Uzunoglu G, Kutup A, Yekebas EF and Izbicki JR: Glasgow prognostic score is a predictor of perioperative and long-term outcome in patients with only surgically treated esophageal cancer. Ann Surg Oncol. 18:1130–1138. 2011. View Article : Google Scholar : PubMed/NCBI

22 

Yamada S, Fujii T, Yabusaki N, Murotani K, Iwata N, Kanda M, Tanaka C, Nakayama G, Sugimoto H, Koike M, et al: Clinical implication of inflammation-based prognostic score in pancreatic cancer: Glasgow prognostic score is the most reliable parameter. Medicine (Baltimore). 95:e35822016. View Article : Google Scholar : PubMed/NCBI

23 

Shimoyama R, Imamura Y, Uryu K, Mase T, Ohtaki M, Ohtani K, Shiragami M, Fujimura Y, Hayashi M, Shinozaki N and Minami H: Inflammation-based prognostic markers in patients with advanced or recurrent gastric cancer treated with nivolumab: Tokushukai REAl-world Data project 02 (TREAD 02). Mol Clin Oncol. 21:902024. View Article : Google Scholar : PubMed/NCBI

24 

Diker O and Olgun P: Association of the immune-inflammation-nutritional parameters with immune checkpoint inhibitor outcomes in patients with advanced non-small cell lung cancer. J Oncol Sci. 8:43–53. 2022. View Article : Google Scholar

25 

Yamamoto Y, Matsuyama H, Matsumoto H, Sakano S, Fuji N, Oba K, Yamamoto M, Kamiryo Y, Hiragino T, Nagao K, et al: Prognostic value of risk stratification using blood parameters for nivolumab in Japanese patients with metastatic renal-cell carcinoma. Jpn J Clin Oncol. 50:214–220. 2020. View Article : Google Scholar : PubMed/NCBI

26 

Freitas C, Jacob M, Tavares N, Cruz-Martins N, Souto-Moura C, Araújo D, Novais-Bastos H, Santos V, Fernandes G, Magalhães A, et al: Modified glasgow prognostic score predicts survival among advanced non-small cell lung carcinoma patients treated with anti-PD1 agents. Anticancer Drugs. 32:567–574. 2021. View Article : Google Scholar : PubMed/NCBI

27 

Zhang L, Ma W, Qiu Z, Kuang T, Wang K, Hu B and Wang W: Prognostic nutritional index as a prognostic biomarker for gastrointestinal cancer patients treated with immune checkpoint inhibitors. Front Immunol. 14:12199292023. View Article : Google Scholar : PubMed/NCBI

28 

Zhang L, Li X, Wang K, Wu M, Liu W and Wang W: Prognostic impact of body composition in hepatocellular carcinoma patients with immunotherapy. Ann Med. 56:23950622024. View Article : Google Scholar : PubMed/NCBI

29 

Zhang L, Xia Z, Li Z, Zhang J, Wang K and Wang W: Influence of body fat tissue on outcomes in patients undergoing hepatectomy or liver transplantation. Int J Surg. 111:1167–1181. 2024.(Epub ahead of print). View Article : Google Scholar : PubMed/NCBI

30 

Ali WAS, Hui P, Ma Y, Wu Y, Zhang Y, Chen Y, Hong S, Yang Y, Huang Y, Zhao Y, et al: Determinants of survival in advanced non-small cell lung cancer patients treated with anti-PD-1/PD-L1 therapy. Ann Transl Med. 9:16392021. View Article : Google Scholar : PubMed/NCBI

31 

Araki T, Tateishi K, Sonehara K, Hirota S, Komatsu M, Yamamoto M, Kanda S, Kuraishi H, Hanaoka M and Koizumi T: Clinical utility of the C-reactive protein:albumin ratio in non-small cell lung cancer patients treated with nivolumab. Thorac Cancer. 12:603–612. 2021. View Article : Google Scholar : PubMed/NCBI

32 

Brown JT, Liu Y, Shabto JM, Martini D, Ravindranathan D, Hitron EE, Russler GA, Caulfield S, Yantorni L, Joshi SS, et al: Modified glasgow prognostic score associated with survival in metastatic renal cell carcinoma treated with immune checkpoint inhibitors. J Immunother Cancer. 9:e0028512021. View Article : Google Scholar : PubMed/NCBI

33 

Brown JT, Liu Y, Shabto JM, Martini DJ, Ravindranathan D, Hitron EE, Russler GA, Caulfield S, Yantorni LB, Joshi SS, et al: Baseline modified glasgow prognostic score associated with survival in metastatic urothelial carcinoma treated with immune checkpoint inhibitors. Oncologist. 26:397–405. 2021. View Article : Google Scholar : PubMed/NCBI

34 

Chikuie N, Hamamoto T, Ueda T, Taruya T, Kono T, Furuie H, Ishino T and Takeno S: Baseline neutrophil-to-lymphocyte ratio and glasgow prognostic score are associated with clinical outcome in patients with recurrent or metastatic head and neck squamous cell carcinoma treated with nivolumab. Acta Med Okayama. 75:335–343. 2021.PubMed/NCBI

35 

Fujiwara R, Takemura K, Fujiwara M, Yuasa T, Yasuoka S, Komai Y, Numao N, Yamamoto S and Yonese J: Modified glasgow prognostic score as a predictor of prognosis in metastatic renal cell carcinoma treated with nivolumab. Clin Genitourin Cancer. 19:e78–e83. 2021. View Article : Google Scholar : PubMed/NCBI

36 

Imai H, Kishikawa T, Minemura H, Yamada Y, Ibe T, Yamaguchi O, Mouri A, Hamamoto Y, Kanazawa K, Kasai T, et al: Pretreatment glasgow prognostic score predicts survival among patients with high PD-L1 expression administered first-line pembrolizumab monotherapy for non-small cell lung cancer. Cancer Med. 10:6971–6984. 2021. View Article : Google Scholar : PubMed/NCBI

37 

Kang HS, Shin AY, Yeo CD, Kim SK, Park CK, Kim JS, Kim SJ, Lee SH and Kim JW: Significance of glasgow prognostic scores in NSCLC patients treated with immunotherapy after platinum-based cytotoxic chemotherapy. In Vivo. 35:3423–3430. 2021. View Article : Google Scholar : PubMed/NCBI

38 

Kasahara N, Sunaga N, Tsukagoshi Y, Miura Y, Sakurai R, Kitahara S, Yokobori T, Kaira K, Mogi A, Maeno T, et al: Post-treatment glasgow prognostic score predicts efficacy in advanced non-small-cell lung cancer treated with anti-PD1. Anticancer Res. 39:1455–1461. 2019. View Article : Google Scholar : PubMed/NCBI

39 

Kasajima M, Igawa S, Manaka H, Yamada K, Akazawa Y, Manabe H, Yagami Y, Yamamoto H, Ito H, Kaizuka N, et al: The glasgow prognostic score predicts outcomes of pembrolizumab or atezolizumab monotherapy in patients with pretreated non-small cell lung cancer. Oncology. 101:69–76. 2023. View Article : Google Scholar : PubMed/NCBI

40 

Kawakami H, Sunakawa Y, Inoue E, Matoba R, Noda K, Sato T, Suminaka C, Yamaki M, Sakamoto Y, Kawabata R, et al: Soluble programmed cell death ligand 1 predicts prognosis for gastric cancer patients treated with nivolumab: Blood-based biomarker analysis for the DELIVER trial. Eur J Cancer. 184:10–20. 2023. View Article : Google Scholar : PubMed/NCBI

41 

Kurosaki T, Kawakami H, Mitani S, Kawabata R, Takahama T, Nonagase Y, Fumita S, Ozaki T, Chiba Y, Tamura T and Nakagawa K: Glasgow prognostic score (GPS) and tumor response as biomarkers of nivolumab monotherapy in third- or later-line setting for advanced gastric cancer. In Vivo. 34:1921–1929. 2020. View Article : Google Scholar : PubMed/NCBI

42 

Madeddu C, Busquets S, Donisi C, Lai E, Pretta A, López-Soriano FJ, Argilés JM, Scartozzi M and Macciò A: Effect of cancer-related cachexia and associated changes in nutritional status, inflammatory status, and muscle mass on immunotherapy efficacy and survival in patients with advanced non-small cell lung cancer. Cancers (Basel). 15:10762023. View Article : Google Scholar : PubMed/NCBI

43 

Matsubara T, Takamori S, Haratake N, Toyozawa R, Miura N, Shimokawa M, Yamaguchi M, Seto T and Takenoyama M: The impact of immune-inflammation-nutritional parameters on the prognosis of non-small cell lung cancer patients treated with atezolizumab. J Thorac Dis. 12:1520–1528. 2020. View Article : Google Scholar : PubMed/NCBI

44 

Matsuki T, Okamoto I, Fushimi C, Sawabe M, Kawakita D, Sato H, Tsukahara K, Kondo T, Okada T, Tada Y, et al: Hematological predictive markers for recurrent or metastatic squamous cell carcinomas of the head and neck treated with nivolumab: A multicenter study of 88 patients. Cancer Med. 9:5015–5024. 2020. View Article : Google Scholar : PubMed/NCBI

45 

Matsuo M, Yasumatsu R, Masuda M, Toh S, Wakasaki T, Hashimoto K, Jiromaru R, Manako T and Nakagawa T: Inflammation-based prognostic score as a prognostic biomarker in patients with recurrent and/or metastatic head and neck squamous cell carcinoma treated with nivolumab therapy. In Vivo. 36:907–917. 2022. View Article : Google Scholar : PubMed/NCBI

46 

Minichsdorfer C, Gleiss A, Aretin MB, Schmidinger M and Fuereder T: Serum parameters as prognostic biomarkers in a real world cancer patient population treated with anti PD-1/PD-L1 therapy. Ann Med. 54:1339–1349. 2022. View Article : Google Scholar : PubMed/NCBI

47 

Minohara K, Matoba T, Kawakita D, Takano G, Oguri K, Murashima A, Nakai K, Iwaki S, Hojo W, Matsumura A, et al: Novel prognostic score for recurrent or metastatic head and neck cancer patients treated with nivolumab. Sci Rep. 11:169922021. View Article : Google Scholar : PubMed/NCBI

48 

Mortensen REJ, Holmström MO, Lisle TL, Hasselby JP, Willemoe GL, Met Ö, Marie Svane I, Johansen J, Nielsen DL, Chen IM and Andersen MH: Pre-existing TGF-β-specific T-cell immunity in patients with pancreatic cancer predicts survival after checkpoint inhibitors combined with radiotherapy. J Immunother Cancer. 11:e0064322023. View Article : Google Scholar : PubMed/NCBI

49 

Namikawa T, Yokota K, Tanioka N, Fukudome I, Iwabu J, Munekage M, Uemura S, Maeda H, Kitagawa H, Kobayashi M and Hanazaki K: Systemic inflammatory response and nutritional biomarkers as predictors of nivolumab efficacy for gastric cancer. Surg Today. 50:1486–1495. 2020. View Article : Google Scholar : PubMed/NCBI

50 

Niwa K, Kawakita D, Nagao T, Takahashi H, Saotome T, Okazaki M, Yamazaki K, Okamoto I, Hirai H, Saigusa N, et al: Multicentre, retrospective study of the efficacy and safety of nivolumab for recurrent and metastatic salivary gland carcinoma. Sci Rep. 10:169882020. View Article : Google Scholar : PubMed/NCBI

51 

Noguchi G, Nakaigawa N, Umemoto S, Kobayashi K, Shibata Y, Tsutsumi S, Yasui M, Ohtake S, Suzuki T, Osaka K, et al: C-reactive protein at 1 month after treatment of nivolumab as a predictive marker of efficacy in advanced renal cell carcinoma. Cancer Chemother Pharmacol. 86:75–85. 2020. View Article : Google Scholar : PubMed/NCBI

52 

Ogura Y, Kataoka N, Kunimatsu Y, Tachibana Y, Sugimoto T, Tani N, Sato I, Hirose K, Kato D and Takeda T: Predictors of survival among Japanese patients receiving first-line chemoimmunotherapy for advanced non-small cell lung cancer. Thorac Cancer. 12:97–105. 2021. View Article : Google Scholar : PubMed/NCBI

53 

Sakai D, Omori T, Fumita S, Fujita J, Kawabata R, Matsuyama J, Yasui H, Hirao M, Kawase T, Kishi K, et al: Real-world effectiveness of third- or later-line treatment in Japanese patients with HER2-positive, unresectable, recurrent or metastatic gastric cancer: A retrospective observational study. Int J Clin Oncol. 27:1154–1163. 2022. View Article : Google Scholar : PubMed/NCBI

54 

Tada T, Kumada T, Hiraoka A, Kariyama K, Tani J, Hirooka M, Takaguchi K, Atsukawa M, Fukunishi S, Itobayashi E, et al: New prognostic system based on inflammation and liver function predicts prognosis in patients with advanced unresectable hepatocellular carcinoma treated with atezolizumab plus bevacizumab: A validation study. Cancer Med. 12:6980–6993. 2023. View Article : Google Scholar : PubMed/NCBI

55 

Takamori S, Takada K, Shimokawa M, Matsubara T, Fujishita T, Ito K, Toyozawa R, Yamaguchi M, Okamoto T, Yoneshima Y, et al: Clinical utility of pretreatment glasgow prognostic score in non-small-cell lung cancer patients treated with immune checkpoint inhibitors. Lung Cancer. 152:27–33. 2021. View Article : Google Scholar : PubMed/NCBI

56 

Tanaka T, Yoshida T, Masuda K, Takeyasu Y, Shinno Y, Matsumoto Y, Okuma Y, Goto Y, Horinouchi H, Yamamoto N and Ohe Y: Prognostic role of modified glasgow prognostic score in elderly non-small cell lung cancer patients treated with anti-PD-1 antibodies. Respir Investig. 61:74–81. 2023. View Article : Google Scholar : PubMed/NCBI

57 

Tokuyama N, Takegawa N, Nishikawa M, Sakai A, Mimura T, Kushida S, Tsumura H, Yamamoto Y, Miki I and Tsuda M: Pretreatment glasgow prognostic score as a predictor of outcomes in nivolumab-treated patients with advanced gastric cancer. PLoS One. 16:e02476452021. View Article : Google Scholar : PubMed/NCBI

58 

Ueki Y, Takahashi T, Ota H, Shodo R, Yamazaki K and Horii A: Predicting the treatment outcome of nivolumab in recurrent or metastatic head and neck squamous cell carcinoma: Prognostic value of combined performance status and modified Glasgow prognostic score. Eur Arch Otorhinolaryngol. 277:2341–2347. 2020. View Article : Google Scholar : PubMed/NCBI

59 

Wasamoto S, Imai H, Tsuda T, Nagai Y, Minemura H, Yamada Y, Umeda Y, Kishikawa T, Shiono A, Kozu Y, et al: Pretreatment glasgow prognostic score predicts survival among patients administered first-line atezolizumab plus carboplatin and etoposide for small cell lung cancer. Front Oncol. 12:10807292023. View Article : Google Scholar : PubMed/NCBI

60 

Yamamoto Y, Yatsuda J, Shimokawa M, Fuji N, Aoki A, Sakano S, Yamamoto M, Suga A, Tei Y, Yoshihiro S, et al: Prognostic value of pre-treatment risk stratification and post-treatment neutrophil/lymphocyte ratio change for pembrolizumab in patients with advanced urothelial carcinoma. Int J Clin Oncol. 26:169–177. 2021. View Article : Google Scholar : PubMed/NCBI

61 

Yang Z, Zhang D, Zeng H, Fu Y, Hu Z, Pan Y, Chen J, Wang J, Zhang Y, Zhou Z, et al: Inflammation-based scores predict responses to PD-1 inhibitor treatment in intrahepatic cholangiocarcinoma. J Inflamm Res. 15:5721–5731. 2022. View Article : Google Scholar : PubMed/NCBI

62 

Zaitsu J, Yamashita Y, Ishikawa A, Saito A, Kagimoto A, Mimura T, Hirakawa T, Mito M, Fukuhara K, Senoo T, et al: Systemic inflammatory score predicts response and prognosis in patients with lung cancer treated with immunotherapy. Anticancer Res. 41:3673–3682. 2021. View Article : Google Scholar : PubMed/NCBI

63 

Takegawa N, Hirabayashi T, Tanaka S, Nishikawa M, Tokuyama N, Mimura T, Kushida S, Tsumura H, Yamamoto Y, Miki I and Tsuda M: The impact of nutritional status in nivolumab-treated patients with advanced esophageal cancer. PLoS One. 18:e02853652023. View Article : Google Scholar : PubMed/NCBI

64 

Tanaka K, Hirakawa H, Suzuki M, Higa T, Agena S, Hasegawa N, Kawakami J, Toyama M, Higa T, Kinjyo H, et al: Biomarkers for predicting anti-programmed cell death-1 antibody treatment effects in head and neck cancer. Curr Oncol. 30:5409–5424. 2023. View Article : Google Scholar : PubMed/NCBI

65 

Zhang Y, Chen S, Chen H and Li W: A comprehensive analysis of glasgow prognostic score (GPS)/the modified glasgow prognostic score (mGPS) on immune checkpoint inhibitor efficacy among patients with advanced cancer. Cancer Med. 12:38–48. 2023. View Article : Google Scholar : PubMed/NCBI

66 

Wu J, Wang H, Yang R, Liu D and Li W: Prognostic significance of the modified Glasgow Prognostic Score in NSCLC patients undergoing immune checkpoint inhibitor therapy: A meta-analysis. Front Oncol. 14:14498532024. View Article : Google Scholar : PubMed/NCBI

67 

Wang H, Yang R, Cheng C, Wang S, Liu D and Li W: Prognostic value of the glasgow prognostic score in non-small cell lung cancer patients receiving immunotherapy: A meta-analysis. Nutr Cancer. 76:187–195. 2024. View Article : Google Scholar : PubMed/NCBI

68 

Yao ZH, Tian GY, Yang SX, Wan YY, Kang YM, Liu QH, Yao F and Lin DJ: Serum albumin as a significant prognostic factor in patients with malignant pleural mesothelioma. Tumour Biol. 35:6839–6845. 2014. View Article : Google Scholar : PubMed/NCBI

69 

Gupta D and Lis CG: Pretreatment serum albumin as a predictor of cancer survival: A systematic review of the epidemiological literature. Nutr J. 9:692010. View Article : Google Scholar : PubMed/NCBI

70 

Miura K, Hamanaka K, Koizumi T, Kitaguchi Y, Terada Y, Nakamura D, Kumeda H, Agatsuma H, Hyogotani A, Kawakami S, et al: Clinical significance of preoperative serum albumin level for prognosis in surgically resected patients with non-small cell lung cancer: Comparative study of normal lung, emphysema, and pulmonary fibrosis. Lung Cancer. 111:88–95. 2017. View Article : Google Scholar : PubMed/NCBI

71 

Yang J, Petersen CE, Ha CE and Bhagavan NV: Structural insights into human serum albumin-mediated prostaglandin catalysis. Protein Sci. 11:538–545. 2002. View Article : Google Scholar : PubMed/NCBI

72 

China L, Maini A, Skene SS, Shabir Z, Sylvestre Y, Colas RA, Ly L, Becares Salles N, Belloti V, Dalli J, et al: Albumin counteracts immune-suppressive effects of lipid mediators in patients with advanced liver disease. Clin Gastroenterol Hepatol. 16:738–747.e7. 2018. View Article : Google Scholar : PubMed/NCBI

73 

Choe WH and Baik SK: Prostaglandin E2-mediated immunosuppression and the role of albumin as its modulator. Hepatology. 61:1080–1082. 2015. View Article : Google Scholar : PubMed/NCBI

74 

Arroyo V and Moreau R: Tying up PGE2 with albumin to relieve immunosuppression in cirrhosis. Nat Med. 20:467–469. 2014. View Article : Google Scholar : PubMed/NCBI

75 

Du Clos TW and Mold C: C-reactive protein: An activator of innate immunity and a modulator of adaptive immunity. Immunol Res. 30:261–277. 2004. View Article : Google Scholar : PubMed/NCBI

76 

Nozoe T, Matsumata T and Sugimachi K: Preoperative elevation of serum C-reactive protein is related to impaired immunity in patients with colorectal cancer. Am J Clin Oncol. 23:263–266. 2000. View Article : Google Scholar : PubMed/NCBI

77 

Coussens LM and Werb Z: Inflammation and cancer. Nature. 420:860–867. 2002. View Article : Google Scholar : PubMed/NCBI

78 

Abramovitch R, Marikovsky M, Meir G and Neeman M: Stimulation of tumour growth by wound-derived growth factors. Br J Cancer. 79:1392–1398. 1999. View Article : Google Scholar : PubMed/NCBI

79 

Canna K, Hilmy M, McMillan DC, Smith GW, McKee RF, McArdle CS and McNicol AM: The relationship between tumour proliferative activity, the systemic inflammatory response and survival in patients undergoing curative resection for colorectal cancer. Colorectal Dis. 10:663–667. 2008. View Article : Google Scholar : PubMed/NCBI

80 

Coffelt SB and de Visser KE: Cancer: Inflammation lights the way to metastasis. Nature. 507:48–49. 2014. View Article : Google Scholar : PubMed/NCBI

81 

Bito R, Hino S, Baba A, Tanaka M, Watabe H and Kawabata H: Degradation of oxidative stress-induced denatured albumin in rat liver endothelial cells. Am J Physiol Cell Physiol. 289:C531–C542. 2005. View Article : Google Scholar : PubMed/NCBI

82 

Wu J, Ding P, Wu H, Yang P, Guo H, Tian Y, Meng L and Zhao Q: Sarcopenia: Molecular regulatory network for loss of muscle mass and function. Front Nutr. 10:10372002023. View Article : Google Scholar : PubMed/NCBI

83 

Condeelis J and Pollard JW: Macrophages: Obligate partners for tumor cell migration, invasion, and metastasis. Cell. 124:263–266. 2006. View Article : Google Scholar : PubMed/NCBI

84 

Ding P, Guo H, He X, Sun C, Lowe S, Bentley R, Zhou Q, Yang P, Tian Y, Liu Y, et al: Effect of skeletal muscle loss during neoadjuvant imatinib therapy on clinical outcomes in patients with locally advanced GIST. BMC Gastroenterol. 22:3992022. View Article : Google Scholar : PubMed/NCBI

Related Articles

  • Abstract
  • View
  • Download
  • Twitter
Copy and paste a formatted citation
Spandidos Publications style
Ye H and Li M: Baseline (modified) Glasgow prognostic score as a predictor of therapeutic response to immune checkpoint inhibitors in solid tumors: A systematic review and meta‑analysis. Oncol Lett 29: 184, 2025.
APA
Ye, H., & Li, M. (2025). Baseline (modified) Glasgow prognostic score as a predictor of therapeutic response to immune checkpoint inhibitors in solid tumors: A systematic review and meta‑analysis. Oncology Letters, 29, 184. https://doi.org/10.3892/ol.2025.14931
MLA
Ye, H., Li, M."Baseline (modified) Glasgow prognostic score as a predictor of therapeutic response to immune checkpoint inhibitors in solid tumors: A systematic review and meta‑analysis". Oncology Letters 29.4 (2025): 184.
Chicago
Ye, H., Li, M."Baseline (modified) Glasgow prognostic score as a predictor of therapeutic response to immune checkpoint inhibitors in solid tumors: A systematic review and meta‑analysis". Oncology Letters 29, no. 4 (2025): 184. https://doi.org/10.3892/ol.2025.14931
Copy and paste a formatted citation
x
Spandidos Publications style
Ye H and Li M: Baseline (modified) Glasgow prognostic score as a predictor of therapeutic response to immune checkpoint inhibitors in solid tumors: A systematic review and meta‑analysis. Oncol Lett 29: 184, 2025.
APA
Ye, H., & Li, M. (2025). Baseline (modified) Glasgow prognostic score as a predictor of therapeutic response to immune checkpoint inhibitors in solid tumors: A systematic review and meta‑analysis. Oncology Letters, 29, 184. https://doi.org/10.3892/ol.2025.14931
MLA
Ye, H., Li, M."Baseline (modified) Glasgow prognostic score as a predictor of therapeutic response to immune checkpoint inhibitors in solid tumors: A systematic review and meta‑analysis". Oncology Letters 29.4 (2025): 184.
Chicago
Ye, H., Li, M."Baseline (modified) Glasgow prognostic score as a predictor of therapeutic response to immune checkpoint inhibitors in solid tumors: A systematic review and meta‑analysis". Oncology Letters 29, no. 4 (2025): 184. https://doi.org/10.3892/ol.2025.14931
Follow us
  • Twitter
  • LinkedIn
  • Facebook
About
  • Spandidos Publications
  • Careers
  • Cookie Policy
  • Privacy Policy
How can we help?
  • Help
  • Live Chat
  • Contact
  • Email to our Support Team