Spandidos Publications Logo
  • About
    • About Spandidos
    • Aims and Scopes
    • Abstracting and Indexing
    • Editorial Policies
    • Reprints and Permissions
    • Job Opportunities
    • Terms and Conditions
    • Contact
  • Journals
    • All Journals
    • Oncology Letters
      • Oncology Letters
      • Information for Authors
      • Editorial Policies
      • Editorial Board
      • Aims and Scope
      • Abstracting and Indexing
      • Bibliographic Information
      • Archive
    • International Journal of Oncology
      • International Journal of Oncology
      • Information for Authors
      • Editorial Policies
      • Editorial Board
      • Aims and Scope
      • Abstracting and Indexing
      • Bibliographic Information
      • Archive
    • Molecular and Clinical Oncology
      • Molecular and Clinical Oncology
      • Information for Authors
      • Editorial Policies
      • Editorial Board
      • Aims and Scope
      • Abstracting and Indexing
      • Bibliographic Information
      • Archive
    • Experimental and Therapeutic Medicine
      • Experimental and Therapeutic Medicine
      • Information for Authors
      • Editorial Policies
      • Editorial Board
      • Aims and Scope
      • Abstracting and Indexing
      • Bibliographic Information
      • Archive
    • International Journal of Molecular Medicine
      • International Journal of Molecular Medicine
      • Information for Authors
      • Editorial Policies
      • Editorial Board
      • Aims and Scope
      • Abstracting and Indexing
      • Bibliographic Information
      • Archive
    • Biomedical Reports
      • Biomedical Reports
      • Information for Authors
      • Editorial Policies
      • Editorial Board
      • Aims and Scope
      • Abstracting and Indexing
      • Bibliographic Information
      • Archive
    • Oncology Reports
      • Oncology Reports
      • Information for Authors
      • Editorial Policies
      • Editorial Board
      • Aims and Scope
      • Abstracting and Indexing
      • Bibliographic Information
      • Archive
    • Molecular Medicine Reports
      • Molecular Medicine Reports
      • Information for Authors
      • Editorial Policies
      • Editorial Board
      • Aims and Scope
      • Abstracting and Indexing
      • Bibliographic Information
      • Archive
    • World Academy of Sciences Journal
      • World Academy of Sciences Journal
      • Information for Authors
      • Editorial Policies
      • Editorial Board
      • Aims and Scope
      • Abstracting and Indexing
      • Bibliographic Information
      • Archive
    • International Journal of Functional Nutrition
      • International Journal of Functional Nutrition
      • Information for Authors
      • Editorial Policies
      • Editorial Board
      • Aims and Scope
      • Abstracting and Indexing
      • Bibliographic Information
      • Archive
    • International Journal of Epigenetics
      • International Journal of Epigenetics
      • Information for Authors
      • Editorial Policies
      • Editorial Board
      • Aims and Scope
      • Abstracting and Indexing
      • Bibliographic Information
      • Archive
    • Medicine International
      • Medicine International
      • Information for Authors
      • Editorial Policies
      • Editorial Board
      • Aims and Scope
      • Abstracting and Indexing
      • Bibliographic Information
      • Archive
  • Articles
  • Information
    • Information for Authors
    • Information for Reviewers
    • Information for Librarians
    • Information for Advertisers
    • Conferences
  • Language Editing
Spandidos Publications Logo
  • About
    • About Spandidos
    • Aims and Scopes
    • Abstracting and Indexing
    • Editorial Policies
    • Reprints and Permissions
    • Job Opportunities
    • Terms and Conditions
    • Contact
  • Journals
    • All Journals
    • Biomedical Reports
      • Information for Authors
      • Editorial Policies
      • Editorial Board
      • Aims and Scope
      • Abstracting and Indexing
      • Bibliographic Information
      • Archive
    • Experimental and Therapeutic Medicine
      • Information for Authors
      • Editorial Policies
      • Editorial Board
      • Aims and Scope
      • Abstracting and Indexing
      • Bibliographic Information
      • Archive
    • International Journal of Epigenetics
      • Information for Authors
      • Editorial Policies
      • Editorial Board
      • Aims and Scope
      • Abstracting and Indexing
      • Bibliographic Information
      • Archive
    • International Journal of Functional Nutrition
      • Information for Authors
      • Editorial Policies
      • Editorial Board
      • Aims and Scope
      • Abstracting and Indexing
      • Bibliographic Information
      • Archive
    • International Journal of Molecular Medicine
      • Information for Authors
      • Editorial Policies
      • Editorial Board
      • Aims and Scope
      • Abstracting and Indexing
      • Bibliographic Information
      • Archive
    • International Journal of Oncology
      • Information for Authors
      • Editorial Policies
      • Editorial Board
      • Aims and Scope
      • Abstracting and Indexing
      • Bibliographic Information
      • Archive
    • Medicine International
      • Information for Authors
      • Editorial Policies
      • Editorial Board
      • Aims and Scope
      • Abstracting and Indexing
      • Bibliographic Information
      • Archive
    • Molecular and Clinical Oncology
      • Information for Authors
      • Editorial Policies
      • Editorial Board
      • Aims and Scope
      • Abstracting and Indexing
      • Bibliographic Information
      • Archive
    • Molecular Medicine Reports
      • Information for Authors
      • Editorial Policies
      • Editorial Board
      • Aims and Scope
      • Abstracting and Indexing
      • Bibliographic Information
      • Archive
    • Oncology Letters
      • Information for Authors
      • Editorial Policies
      • Editorial Board
      • Aims and Scope
      • Abstracting and Indexing
      • Bibliographic Information
      • Archive
    • Oncology Reports
      • Information for Authors
      • Editorial Policies
      • Editorial Board
      • Aims and Scope
      • Abstracting and Indexing
      • Bibliographic Information
      • Archive
    • World Academy of Sciences Journal
      • Information for Authors
      • Editorial Policies
      • Editorial Board
      • Aims and Scope
      • Abstracting and Indexing
      • Bibliographic Information
      • Archive
  • Articles
  • Information
    • For Authors
    • For Reviewers
    • For Librarians
    • For Advertisers
    • Conferences
  • Language Editing
Login Register Submit
  • This site uses cookies
  • You can change your cookie settings at any time by following the instructions in our Cookie Policy. To find out more, you may read our Privacy Policy.

    I agree
Search articles by DOI, keyword, author or affiliation
Search
Advanced Search
presentation
Molecular and Clinical Oncology
Join Editorial Board Propose a Special Issue
Print ISSN: 2049-9450 Online ISSN: 2049-9469
Journal Cover
February-2018 Volume 8 Issue 2

Full Size Image

Sign up for eToc alerts
Recommend to Library

Journals

International Journal of Molecular Medicine

International Journal of Molecular Medicine

International Journal of Molecular Medicine is an international journal devoted to molecular mechanisms of human disease.

International Journal of Oncology

International Journal of Oncology

International Journal of Oncology is an international journal devoted to oncology research and cancer treatment.

Molecular Medicine Reports

Molecular Medicine Reports

Covers molecular medicine topics such as pharmacology, pathology, genetics, neuroscience, infectious diseases, molecular cardiology, and molecular surgery.

Oncology Reports

Oncology Reports

Oncology Reports is an international journal devoted to fundamental and applied research in Oncology.

Experimental and Therapeutic Medicine

Experimental and Therapeutic Medicine

Experimental and Therapeutic Medicine is an international journal devoted to laboratory and clinical medicine.

Oncology Letters

Oncology Letters

Oncology Letters is an international journal devoted to Experimental and Clinical Oncology.

Biomedical Reports

Biomedical Reports

Explores a wide range of biological and medical fields, including pharmacology, genetics, microbiology, neuroscience, and molecular cardiology.

Molecular and Clinical Oncology

Molecular and Clinical Oncology

International journal addressing all aspects of oncology research, from tumorigenesis and oncogenes to chemotherapy and metastasis.

World Academy of Sciences Journal

World Academy of Sciences Journal

Multidisciplinary open-access journal spanning biochemistry, genetics, neuroscience, environmental health, and synthetic biology.

International Journal of Functional Nutrition

International Journal of Functional Nutrition

Open-access journal combining biochemistry, pharmacology, immunology, and genetics to advance health through functional nutrition.

International Journal of Epigenetics

International Journal of Epigenetics

Publishes open-access research on using epigenetics to advance understanding and treatment of human disease.

Medicine International

Medicine International

An International Open Access Journal Devoted to General Medicine.

Journal Cover
February-2018 Volume 8 Issue 2

Full Size Image

Sign up for eToc alerts
Recommend to Library

  • Article
  • Citations
    • Cite This Article
    • Download Citation
    • Create Citation Alert
    • Remove Citation Alert
    • Cited By
  • Similar Articles
    • Related Articles (in Spandidos Publications)
    • Similar Articles (Google Scholar)
    • Similar Articles (PubMed)
  • Download PDF
  • Download XML
  • View XML
Article

Knockdown of microRNA‑29a regulates the expression of apoptosis‑related genes in MCF‑7 breast carcinoma cells

  • Authors:
    • Gholamreza Khamisipour
    • Elham Mansourabadi
    • Behrouz Naeimi
    • Ali Moazzeni
    • Rahim Tahmasebi
    • Mojtaba Hasanpour
    • Majid Mosahebi Mohammadi
    • Zahra Mansourabadi
    • Shakib Shamsian
  • View Affiliations / Copyright

    Affiliations: Department of Hematology, Faculty of Allied Medicine, Bushehr University of Medical Sciences, Bushehr 75189577, Iran, Student Research Committee, Vice‑Chancellery Research and Technology Affairs, Bushehr University of Medical Sciences, Bushehr 75189577, Iran, Department of Microbiology and Parasitology, Faculty of Medicine, Bushehr University of Medical Sciences, Bushehr 75189577, Iran, The Persian Gulf Tropical Medicine Research Center, Bushehr University of Medical Sciences, Bushehr 75189577, Iran, Department of Hematology, Faculty of Medical Sciences, Tarbiat Modares University, Tehran 14115331, Iran
  • Pages: 362-369
    |
    Published online on: December 8, 2017
       https://doi.org/10.3892/mco.2017.1528
  • Expand metrics +
Metrics: Total Views: 0 (Spandidos Publications: | PMC Statistics: )
Metrics: Total PDF Downloads: 0 (Spandidos Publications: | PMC Statistics: )
Cited By (CrossRef): 0 citations Loading Articles...

This article is mentioned in:



Abstract

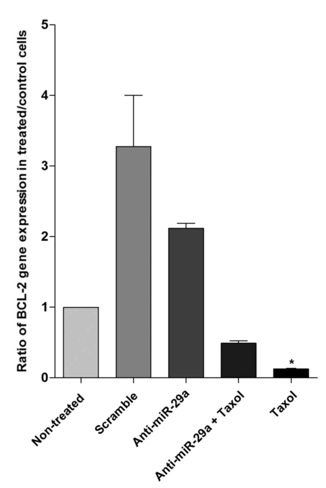
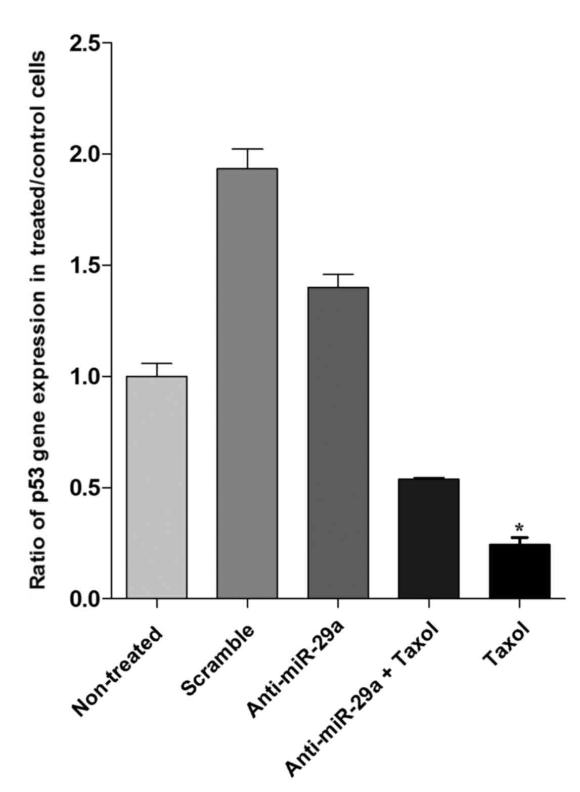
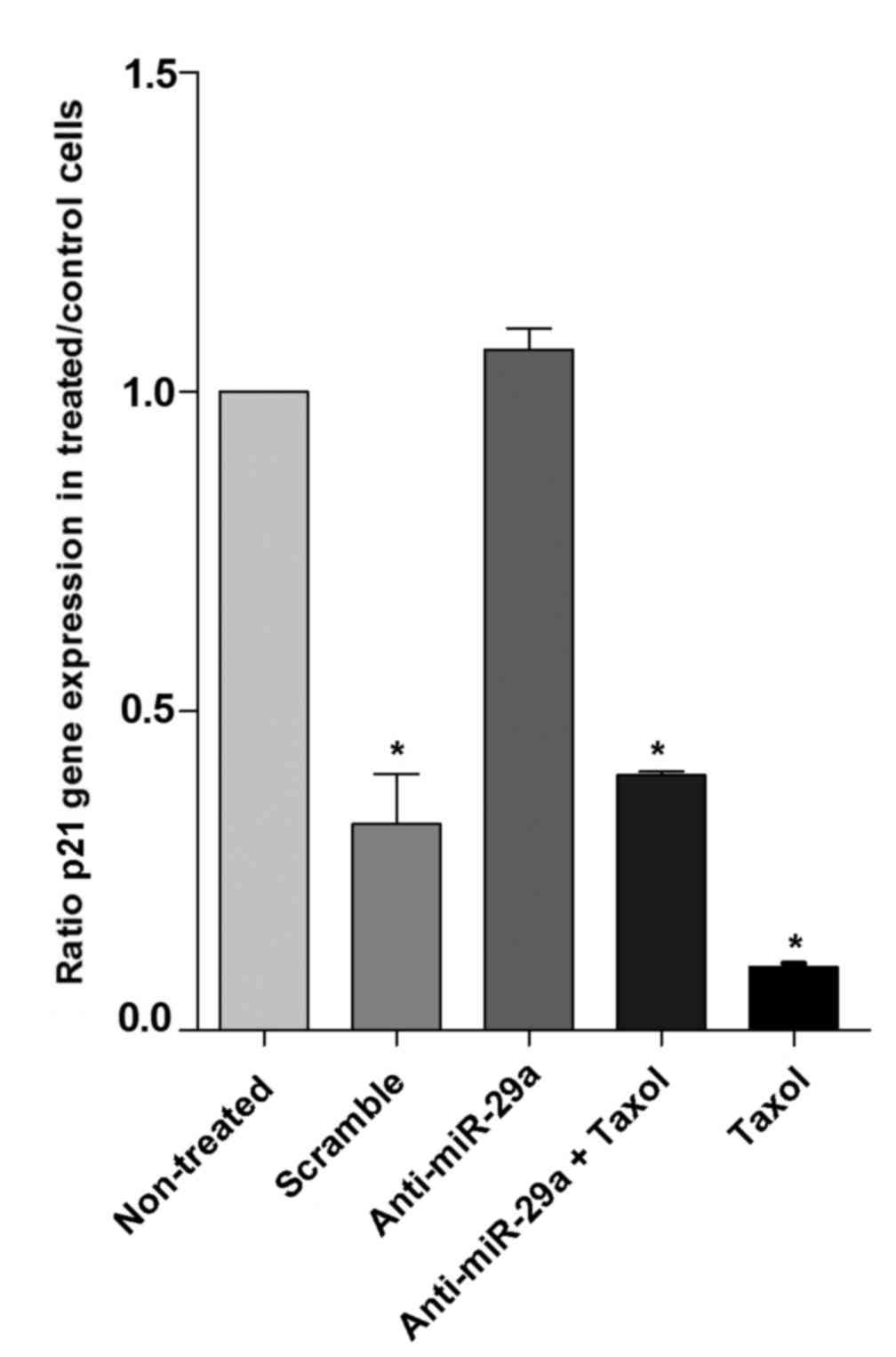
MicroRNA (miR), as non-coding small RNA, are key regulators of cancer‑related biological cell processes and contribute to tumor growth through regulation of groups of pro‑ and anti‑apoptotic genes. The present study aimed to investigate the effects of miR‑29a on the expression of genes involved in apoptosis, including p21, B‑cell lymphoma 2 (BCL‑2), p53 and survivin. The MCF‑7 breast cancer cell line was transfected with anti‑miR‑29a and treated with Taxol in subdivided treatment groups including: Scramble; anti‑miR‑29a; anti‑miR‑29a + Taxol; Taxol; and control. Expression levels of p21, BCL‑2, p53 and survivin were evaluated using reverse transcription‑quantitative polymerase chain reaction. miR‑29a knockdown resulted in p21 and p53 upregulation and a decrease in survivin expression. These results indicated that miR‑29a inhibition regulates apoptosis. The present data suggested that miR‑29a inhibition may be a promising strategy for the induction of apoptosis of tumor cells.
View Figures

Figure 1

Figure 2

Figure 3

Figure 4

Figure 5

Figure 6

Figure 7

Figure 8

View References

1 

Montazeri A, Vahdaninia M, Harirchi I, Harirchi AM, Sajadian A, Khaleghi F, Ebrahimi M and Haghighat S: Breast cancer in Iran: Need for greater women awareness of warning signs and effective screening methods. Asia Pac Fam Med. 7:62008. View Article : Google Scholar : PubMed/NCBI

2 

Ferlay J: Cancer IAfRo: GLOBOCAN 2000: Cancer incidence, mortality and prevalence worldwide. IARC press; 2001

3 

Parkin DM, Bray F, Ferlay J and Pisani P: Global cancer statistics, 2002. CA Cancer J Clin. 55:74–108. 2005. View Article : Google Scholar : PubMed/NCBI

4 

Stewart B and Kleihues P: World cancer report. Geneva: International Agency for Research on Cancer. World Health Organization; 2003

5 

Khatib OM and Modjtabai A: Guidelines for the early detection and screening of breast cancer: World Health Organization. Regional Office for the Eastern Mediterranean. 2006.

6 

Network NCC: NCCN clinical practice guidelines in oncology™ breast cancer: National Comprehensive Cancer Network. 2007.

7 

André F and Zielinski CC: Optimal strategies for the treatment of metastatic triple-negative breast cancer with currently approved agents. Ann Oncol. 23 suppl 6:vi46–vi51. 2012. View Article : Google Scholar : PubMed/NCBI

8 

Bauer KM and Hummon AB: Effects of the miR-143/-145 microRNA cluster on the colon cancer proteome and transcriptome. J Proteome Res. 11:4744–4754. 2012. View Article : Google Scholar : PubMed/NCBI

9 

Bartel DP: MicroRNAs: Target recognition and regulatory functions. Cell. 136:215–233. 2009. View Article : Google Scholar : PubMed/NCBI

10 

Chen K and Rajewsky N: The evolution of gene regulation by transcription factors and microRNAs. Nat Rev Genet. 8:93–103. 2007. View Article : Google Scholar : PubMed/NCBI

11 

Lu J, Getz G, Miska EA, Alvarez-Saavedra E, Lamb J, Peck D, Sweet-Cordero A, Ebert BL, Mak RH, Ferrando AA, et al: MicroRNA expression profiles classify human cancers. nature. 435:834–838. 2005. View Article : Google Scholar : PubMed/NCBI

12 

Chang TC, Yu D, Lee YS, Wentzel EA, Arking DE, West KM, Dang CV, Thomas-Tikhonenko A and Mendell JT: Widespread microRNA repression by Myc contributes to tumorigenesis. Nat Genet. 40:43–50. 2008. View Article : Google Scholar : PubMed/NCBI

13 

Wu Z, Huang X, Huang X, Zou Q and Guo Y: The inhibitory role of Mir-29 in growth of breast cancer cells. J Exp Clin Cancer Res. 32:982013. View Article : Google Scholar : PubMed/NCBI

14 

Mott JL, Kobayashi S, Bronk SF and Gores GJ: mir-29 regulates Mcl-1 protein expression and apoptosis. Oncogene. 26:6133–6140. 2007. View Article : Google Scholar : PubMed/NCBI

15 

Jiang H, Zhang G, Wu JH and Jiang CP: Diverse roles of miR-29 in cancer (review). Oncol Rep. 31:1509–1516. 2014. View Article : Google Scholar : PubMed/NCBI

16 

Letai A: Pharmacological manipulation of Bcl-2 family members to control cell death. J Clin Invest. 115:2648–2655. 2005. View Article : Google Scholar : PubMed/NCBI

17 

Plati J, Bucur O and Khosravi-Far R: Dysregulation of apoptotic signaling in cancer: Molecular mechanisms and therapeutic opportunities. J Cell Biochem. 104:1124–1149. 2008. View Article : Google Scholar : PubMed/NCBI

18 

Cimmino A, Calin GA, Fabbri M, Iorio MV, Ferracin M, Shimizu M, Wojcik SE, Aqeilan RI, Zupo S, Dono M, et al: miR-15 and miR-16 induce apoptosis by targeting BCL2. Proc Natl Acad Sci USA. 102:pp. 13944–13949. 2005; View Article : Google Scholar : PubMed/NCBI

19 

Bommer GT, Gerin I, Feng Y, Kaczorowski AJ, Kuick R, Love RE, Zhai Y, Giordano TJ, Qin ZS, Moore BB, et al: p53-mediated activation of miRNA34 candidate tumor-suppressor genes. Curr Biol. 17:1298–1307. 2007. View Article : Google Scholar : PubMed/NCBI

20 

Brown CJ, Lain S, Verma CS, Fersht AR and Lane DP: Awakening guardian angels: Drugging the p53 pathway. Nat Rev Cancer. 9:862–873. 2009. View Article : Google Scholar : PubMed/NCBI

21 

Junttila MR and Evan GI: p53-a Jack of all trades but master of none. Nat Rev Cancer. 9:821–829. 2009. View Article : Google Scholar : PubMed/NCBI

22 

Le MT, Teh C, Shyh-Chang N, Xie H, Zhou B, Korzh V, Lodish HF and Lim B: MicroRNA-125b is a novel negative regulator of p53. Genes Dev. 23:862–876. 2009. View Article : Google Scholar : PubMed/NCBI

23 

Xia M, Knezevic D and Vassilev LT: p21 does not protect cancer cells from apoptosis induced by nongenotoxic p53 activation. Oncogene. 30:346–355. 2011. View Article : Google Scholar : PubMed/NCBI

24 

Altieri DC: Survivin in apoptosis control and cell cycle regulation in cancer. Prog Cell Cycle Res. 5:447–452. 2003.PubMed/NCBI

25 

Mita AC, Mita MM, Nawrocki ST and Giles FJ: Survivin: Key regulator of mitosis and apoptosis and novel target for cancer therapeutics. Clin Cancer Res. 14:5000–5005. 2008. View Article : Google Scholar : PubMed/NCBI

26 

Hu Y, Xu K and Yagüe E: miR-218 targets survivin and regulates resistance to chemotherapeutics in breast cancer. Breast Cancer Res Treat. 151:269–280. 2015. View Article : Google Scholar : PubMed/NCBI

27 

Altieri DC: Survivin, cancer networks and pathway-directed drug discovery. Nat Rev Cancer. 8:61–70. 2008. View Article : Google Scholar : PubMed/NCBI

28 

Kanwar JR, Kamalapuram SK and Kanwar RK: Survivin signaling in clinical oncology: A multifaceted dragon. Med Res Rev. 33:765–789. 2013. View Article : Google Scholar : PubMed/NCBI

29 

Choghaei E, Khamisipour G, Falahati M, Naeimi B, Mossahebi-Mohammadi M, Tahmasebi R, Hasanpour M, Shamsian S and Hashemi ZS: Knockdown of microRNA-29a changes the expression of heat shock proteins in breast carcinoma MCF-7 cells. Oncol Res. 23:69–78. 2016. View Article : Google Scholar

30 

Jolla L: Quantification strategies in real-time PCR Michael W. Pfaffl. 1–112. 2004.

31 

Yip KW and Reed JC: Bcl-2 family proteins and cancer. Oncogene. 27:6398–6406. 2008. View Article : Google Scholar : PubMed/NCBI

32 

Park SY, Lee JH, Ha M, Nam JW and Kim VN: miR-29 miRNAs activate p53 by targeting p85 alpha and CDC42. Nat Struct Mol Biol. 16:23–29. 2009. View Article : Google Scholar : PubMed/NCBI

33 

Michael MZ, O'Connor SM, van Holst Pellekaan NG, Young GP and James RJ: Reduced accumulation of specific MicroRNAs in colorectal neoplasia11note: Susan M. O'Connor and Nicholas G. van holst pellekaan contributed equally to this work. Mol Cancer Res. 1:882–891. 2003.PubMed/NCBI

34 

Ha TY: MicroRNAs in human diseases: From cancer to cardiovascular disease. Immune Netw. 11:135–454. 2011. View Article : Google Scholar : PubMed/NCBI

35 

Iorio MV and Croce CM: MicroRNA dysregulation in cancer: Diagnostics, monitoring and therapeutics. A comprehensive review. EMBO Mol Med. 4:143–159. 2012. View Article : Google Scholar : PubMed/NCBI

36 

Abbas T and Dutta A: p21 in cancer: Intricate networks and multiple activities. Nat Rev Cancer. 9:400–414. 2009. View Article : Google Scholar : PubMed/NCBI

37 

Warfel NA and El-Deiry WS: p21WAF1 and tumourigenesis: 20 years after. Curr Opin Oncol. 25:52–58. 2013. View Article : Google Scholar : PubMed/NCBI

38 

Redondo M: Bcl-2, an antiapoptotic gene indicator of good prognosis in breast cancer: The paradox. J Carcinogene Mutagene. 4:135–139. 2013. View Article : Google Scholar

39 

Yang J, Cao Y, Sun J and Zhang Y: Curcumin reduces the expression of Bcl-2 by upregulating miR-15a and miR-16 in MCF-7 cells. Med Oncol. 27:1114–1118. 2010. View Article : Google Scholar : PubMed/NCBI

40 

Schmidt SM, Schag K, Müller MR, Weck MM, Appel S, Kanz L, Grünebach F and Brossart P: Survivin is a shared tumor-associated antigen expressed in a broad variety of malignancies and recognized by specific cytotoxic T cells. Blood. 102:571–576. 2003. View Article : Google Scholar : PubMed/NCBI

41 

Asanuma H, Torigoe T, Kamiguchi K, Hirohashi Y, Ohmura T, Hirata K, Sato M and Sato N: Survivin expression is regulated by coexpression of human epidermal growth factor receptor 2 and epidermal growth factor receptor via phosphatidylinositol 3-kinase/AKT signaling pathway in breast cancer cells. Cancer Res. 65:11018–11025. 2005. View Article : Google Scholar : PubMed/NCBI

42 

Jha K, Shukla M and Pandey M: Survivin expression and targeting in breast cancer. Surg Oncol. 21:125–131. 2012. View Article : Google Scholar : PubMed/NCBI

43 

Ghanbari P, Mohseni M, Tabasinezhad M, Yousefi B, Saei AA, Sharifi S, Rashidi MR and Samadi N: Inhibition of survivin restores the sensitivity of breast cancer cells to docetaxel and vinblastine. Appl Biochem Biotechnol. 174:667–681. 2014. View Article : Google Scholar : PubMed/NCBI

44 

Ofir R, Seidman R, Rabinski T, Krup M, Yavelsky V, Weinstein Y and Wolfson M: Taxol-induced apoptosis in human SKOV3 ovarian and MCF7 breast carcinoma cells is caspase-3 and caspase-9 independent. Cell Death Differ. 9:636–642. 2002. View Article : Google Scholar : PubMed/NCBI

Related Articles

  • Abstract
  • View
  • Download
  • Twitter
Copy and paste a formatted citation
Spandidos Publications style
Khamisipour G, Mansourabadi E, Naeimi B, Moazzeni A, Tahmasebi R, Hasanpour M, Mosahebi Mohammadi M, Mansourabadi Z and Shamsian S: Knockdown of microRNA‑29a regulates the expression of apoptosis‑related genes in MCF‑7 breast carcinoma cells. Mol Clin Oncol 8: 362-369, 2018.
APA
Khamisipour, G., Mansourabadi, E., Naeimi, B., Moazzeni, A., Tahmasebi, R., Hasanpour, M. ... Shamsian, S. (2018). Knockdown of microRNA‑29a regulates the expression of apoptosis‑related genes in MCF‑7 breast carcinoma cells. Molecular and Clinical Oncology, 8, 362-369. https://doi.org/10.3892/mco.2017.1528
MLA
Khamisipour, G., Mansourabadi, E., Naeimi, B., Moazzeni, A., Tahmasebi, R., Hasanpour, M., Mosahebi Mohammadi, M., Mansourabadi, Z., Shamsian, S."Knockdown of microRNA‑29a regulates the expression of apoptosis‑related genes in MCF‑7 breast carcinoma cells". Molecular and Clinical Oncology 8.2 (2018): 362-369.
Chicago
Khamisipour, G., Mansourabadi, E., Naeimi, B., Moazzeni, A., Tahmasebi, R., Hasanpour, M., Mosahebi Mohammadi, M., Mansourabadi, Z., Shamsian, S."Knockdown of microRNA‑29a regulates the expression of apoptosis‑related genes in MCF‑7 breast carcinoma cells". Molecular and Clinical Oncology 8, no. 2 (2018): 362-369. https://doi.org/10.3892/mco.2017.1528
Copy and paste a formatted citation
x
Spandidos Publications style
Khamisipour G, Mansourabadi E, Naeimi B, Moazzeni A, Tahmasebi R, Hasanpour M, Mosahebi Mohammadi M, Mansourabadi Z and Shamsian S: Knockdown of microRNA‑29a regulates the expression of apoptosis‑related genes in MCF‑7 breast carcinoma cells. Mol Clin Oncol 8: 362-369, 2018.
APA
Khamisipour, G., Mansourabadi, E., Naeimi, B., Moazzeni, A., Tahmasebi, R., Hasanpour, M. ... Shamsian, S. (2018). Knockdown of microRNA‑29a regulates the expression of apoptosis‑related genes in MCF‑7 breast carcinoma cells. Molecular and Clinical Oncology, 8, 362-369. https://doi.org/10.3892/mco.2017.1528
MLA
Khamisipour, G., Mansourabadi, E., Naeimi, B., Moazzeni, A., Tahmasebi, R., Hasanpour, M., Mosahebi Mohammadi, M., Mansourabadi, Z., Shamsian, S."Knockdown of microRNA‑29a regulates the expression of apoptosis‑related genes in MCF‑7 breast carcinoma cells". Molecular and Clinical Oncology 8.2 (2018): 362-369.
Chicago
Khamisipour, G., Mansourabadi, E., Naeimi, B., Moazzeni, A., Tahmasebi, R., Hasanpour, M., Mosahebi Mohammadi, M., Mansourabadi, Z., Shamsian, S."Knockdown of microRNA‑29a regulates the expression of apoptosis‑related genes in MCF‑7 breast carcinoma cells". Molecular and Clinical Oncology 8, no. 2 (2018): 362-369. https://doi.org/10.3892/mco.2017.1528
Follow us
  • Twitter
  • LinkedIn
  • Facebook
About
  • Spandidos Publications
  • Careers
  • Cookie Policy
  • Privacy Policy
How can we help?
  • Help
  • Live Chat
  • Contact
  • Email to our Support Team