International Journal of Molecular Medicine is an international journal devoted to molecular mechanisms of human disease.
International Journal of Oncology is an international journal devoted to oncology research and cancer treatment.
Covers molecular medicine topics such as pharmacology, pathology, genetics, neuroscience, infectious diseases, molecular cardiology, and molecular surgery.
Oncology Reports is an international journal devoted to fundamental and applied research in Oncology.
Experimental and Therapeutic Medicine is an international journal devoted to laboratory and clinical medicine.
Oncology Letters is an international journal devoted to Experimental and Clinical Oncology.
Explores a wide range of biological and medical fields, including pharmacology, genetics, microbiology, neuroscience, and molecular cardiology.
International journal addressing all aspects of oncology research, from tumorigenesis and oncogenes to chemotherapy and metastasis.
Multidisciplinary open-access journal spanning biochemistry, genetics, neuroscience, environmental health, and synthetic biology.
Open-access journal combining biochemistry, pharmacology, immunology, and genetics to advance health through functional nutrition.
Publishes open-access research on using epigenetics to advance understanding and treatment of human disease.
An International Open Access Journal Devoted to General Medicine.
For both sexes, colorectal cancer is the second leading cause of cancer-related death, globally (9.2%) (1). The growing incidence, especially in industrialized countries, can be attributed to a change in lifestyle connected with obesity, physical inactivity, alcohol consumption and high red meat intake (2). Colorectal cancer is the result of a stepwise transition from normal mucosa to an invasive tumor, comprising several intermediate stages of premalignant or invasive lesions. As this process often drags on for years, cancer prevention and early diagnosis through screening programs represent a mainstay in colon cancer assessment and avoidance (3). Symptoms are generally associated with large tumors or advanced disease stages, and in most cases are relatively unspecific, so that the majority of colorectal cancers go unnoticed in early stages (3). Therapeutic options for the treatment of malignant tumors are resection, radiation and/or chemotherapy, depending on tumor stage and patient characteristics (3-5).
In the last 30 years, the survival of patients suffering from colorectal cancer has increased markedly, owing mainly to the introduction of screening programs and of new therapeutic agents (6). Conventional cytotoxic chemotherapy is the backbone of treatment for colorectal cancer patients with lymph node positive disease (7). Over the last decade, targeted therapies came to the fore with genomic markers enabling the selection of appropriate patients, who generally represent a minority among the whole patient population (8). But with the latest results regarding total neoadjuvant therapy (TNT), also cytotoxic chemotherapy gains in importance again. Both, the RAPIDO-, as well as the PRODIGE 23-study showed a significant and clinically relevant extension of disease-free survival after TNT instead of conventional, neoadjuvant RCT (9,10). Although some prognostic indicators for the probable response to conventional chemotherapy were identified, most of the proposed biomarkers and predictive assays are not currently used in the clinic, because of lacking validation, practicability and scalability, and of long turnaround times, or extensive costs (8,11-13). Altogether, there is a great demand for analytical methods easy-to-apply, which may support physicians with therapy decisions, and help to protect patients from under- or over-treatment.
Circulating tumor cells, readily accessible from blood samples of patients with solid tumors, are an important link between primary tumors and metastases. A longitudinal monitoring of their numbers and properties can provide valuable information on therapy response and disease progression. Various studies demonstrated a correlation between circulating tumor cells and metastases, survival and therapy response for patients with different types of cancer (14-18).
Ki-67 is a non-histone nuclear protein, which is expressed in actively proliferating cells throughout the cell cycle, but not in quiescent (G0) cells (19). Besides its detection in primary tumors, Ki-67 was also shown to be expressed in circulating tumor cells (20), and so might constitute a biomarker for identifying patients at a high risk of metastatic relapse.
While circulating tumor cells were shown to have prognostic potential for tumors of different entities (14-18), their clinical importance in colorectal cancer remained unclear. Our study was designed to use the immunofluorescence-based Maintrac® method to identify and quantify circulating epithelial tumor cells (CETCs) in the blood of patients with colorectal carcinoma (ICD10: C18/20) before and during neoadjuvant and/or adjuvant R/CT. Moreover, the ratio of CETCs expressing the proliferation marker Ki-67 was determined during the course of therapy.
A total of 22 patients, diagnosed with colorectal cancer, were enrolled in this study between October 2018 und August 2020. Before treatment, all patients passed a complete clinical evaluation including clinical history, physical examination, rectoscopy/colonoscopy, relevant blood examination and chest/abdominal computed tomography. Local stage was determined according to the TNM classification of the UICC (21). The recruitment criteria were as follows: Histologically confirmed, invasive colorectal carcinoma (ICD10: C18/C20); primary diagnosis. The characteristics of all patients enrolled in this study are shown in Table I. All patients were treated according to current treatment guidelines for colon (ICD10: C18) or rectal (ICD10: C20) cancer (22). Long term R/CT for rectal cancer was performed as follows: Radiation dose: 50.4 Gy (single dose 1.8 Gy); target volume: Rectal cancer and region of pelvic lymphatic drainage; chemotherapy: 5-Fluorouracil (10 patients), Capecitabine (1 patient), 5-Fluouracil/Oxaliplatin (3 patients). Individual therapy decisions were within the discretion of the attending physician and independent of any data collected in the course of this study. For patients receiving neoadjuvant therapy, 7.5 ml peripheral blood samples were obtained 1-7 days before initiation of R/CT, 17±3 days after the first cycle of R/CT, and after the completion of R/CT (1-7 days before surgery). For patients with only or additional adjuvant therapy, blood samples were obtained 1-7 days before surgery, 6-8 weeks after surgery (before initiation of adjuvant therapy), 17±3 days after the first cycle of adjuvant chemotherapy, and on the last day of therapy, respectively.
Table IClinicopathological characteristics of patients with colon (C18) and rectal (C20) cancer included in this study. |
The study was based on the Ethics Declaration of Helsinki and was approved by the Ethics Committee of the University of Bayreuth. Participants provided their written informed consent to participate in this study.
For all rectal cancer patients, treatment responses were assessed according to the pathological results after surgery, and graded by histological evaluation of the surgical specimens according to the criteria described by Dworak et al (23). The grade of tumor regression was defined as follows: Grade 0: No regression; Grade 1: Dominant tumor mass with obvious fibrosis and/or vasculopathy; Grade 2: Dominantly fibrotic changes with few tumor cells or groups (easy to find); Grade 3: Very few tumor cells (difficult to find microscopically) in fibrotic tissue with or without mucous substance; Grade 4: No tumor cells, only fibrotic mass (total regression/response).
For a proper assessment of therapy response, we additionally compared the tumor size and lymph node status as assessed by computed tomography and/or endosonography of each patient before and after neoadjuvant R/CT. According to Dworak regression grade, as well as TNM re-staging, each patient was individually assigned either to the group of good or poor responders to neoadjuvant R/CT (Table II).
Peripheral blood (7.5 ml) from 22 patients with colorectal cancer at different stages of disease was drawn into blood count tubes containing ethylenediaminetetraacetic acid (EDTA) as an anticoagulant and processed 24 h after collection.
The Maintrac® approach was used for identification, quantification and further characterization of CETCs (22). To this end, 1 ml of EDTA-blood was subjected to red blood cells lysis at 4˚C for 15 min using 14 ml erythrocyte lysis buffer (Qiagen GmbH). Remaining cells were spun down at 700 x g for 7 min at rt and resuspended in 500 µl of PBS/EDTA buffer. Immunostaining was performed by adding 4 µl fluorescein-isothiocyanate (FITC)-conjugated anti-human epithelial cell adhesion molecule (EpCAM) antibody (clone HEA-125; Miltenyi Biotec GmbH) to 25 µl of the cell suspension (about 107 cells/100 µl) and incubation for 20 min at 4˚C in the dark. The corresponding isotype control for EpCAM (mouse IgG1 K FITC; Miltenyi Biotec) was used at the same final concentration. In case of co-staining of Ki-67, additional 2.5 µl of phycoerythrin (PE)-conjugated anti-Ki-67 antibody (clone B56; BD Biosciences) was added prior to incubation. Subsequently, all samples were diluted in PBS/EDTA buffer to a total volume of 250 µl. A defined volume of the cell suspension and propidium iodide (PI; Sigma-Aldrich; Merck KGaA) was transferred to the wells of ELISA-plates (Greiner Bio-one). Co-staining of cells with Ki-67 was performed without PI. Red and green fluorescence of the cells was examined using a Fluorescence Scanning Microscope ScanR (Olympus), enabling detection and relocation of cells for visual examination of EpCAM-, PI- or Ki-67-positive cells. For quantification of CETCs, only vital CETCs with intact cell morphology and without PI staining were counted. For daily verification of optical components and detectors of the microscope, fluorospheres (Flow-Check 770; Beckman Coulter) were used.
Only a small subpopulation of CETCs possessing additional stem cell properties is able to grow into metastases. By enumeration of CETCs able to clonally grow into CETC microspheres under specific conditions, we specified and quantified this subpopulation. Therefore, CETCs and leukocytes were isolated from peripheral blood as described earlier, plated at a density of 2x105 cells/ml in RPMI-1640 supplemented with l-glutamine, HEPES, penicillin/streptomycin and growth factors such as EGF, insulin and hydrocortisone, and incubated under standard cell culture conditions (37˚C, 5% CO2) in a sterile incubator. Every five days, the cultures were inspected under an inverted light microscope (PrimoVert) and fresh culture medium was added. Between days 21 and 28 of incubation, spheres were collected from the culture flasks, pelleted (250 x g, 7 min), and resuspended in 500 µl PBS. Immunostaining of spheres was performed using FITC-conjugated mouse anti-human EpCAM-antibody (clone HEA-125; Miltenyi Biotec GmbH), PE-conjugated mouse anti-human CD44-antibody (BD Biosciences) or mouse anti-human CD133-antibody (clone 7; BioLegend) for 20 min at 4˚C in the dark. The samples were then diluted in PBS/EDTA and transferred into the wells of a 96-well microtiter plate (Greiner Bio-one). Analysis of fluorescence was performed using a fluorescence scanning microscope (ScanR; Olympus). To verify vitality, PI staining of spheres was performed before the analysis. Finally, only vital CTC spheres with intact morphology and without PI staining were counted.
In case of surgery of the primary tumor, a small piece of tissue from the middle of the tumor (ø depending on the size of the tumor) was obtained in a sterile falcon in 10 ml transportation medium (RPMI-1640, 5% FBS, 5 µg/ml insulin, 2.75 µg/ml transferrin, 20 mM sodium selenite, 55 µg/ml sodium pyruvate, 1 µM hydrocortisone, 1,000 U/ml penicillin, 1,000 µg/ml streptomycin, 250 mg/ml amphotericin B, 15 mM HEPES, 100 µg/ml gentamycin, 5 µg/ml metronidazole) directly from the operating theater and kept at 4˚C for transportation. All samples were processed within 24 h after withdrawal. For further processing, the tumor tissue was washed 3-5 times in PBS by extensive shaking and put into a sterile petri dish. Before the tissue was chopped into small pieces of about 1 mm in diameter by anti-parallel movement of two scalpels, it was covered with a small amount of sphere culture medium (RPMI-1640 supplemented with l-glutamine, HEPES, penicillin/streptomycin and growth factors such as EGF, insulin and hydrocortisone). After one more washing step with PBS, the tissue was enzymatically homogenized with Accumax™ solution (Sigma-Aldrich; Merck KGaA) for 45 min under continuous mixing at rt. Then the cell suspension was filtered using a cell strainer (mesh size 0.44 µm; Greiner Bio-one) to eliminate bigger cell clumps and centrifuged at 240 x g for 10 min at rt. The resulting cell pellet was resuspended in 1 ml of culture medium and the number of vital cells was determined by bromophenol blue staining. Finally, the cells were plated in a concentration of approximately 0.6x106 vital cells/ml in culture medium in 6-well plates and incubated at standard cell culture conditions (37˚C, 5% CO2) for several weeks. All cultures were checked for bacterial infections daily and in the case of a minor infection isolated and treated with additional antibiotics, or in case of a major infection, discarded. If primary tumor spheres were detectable after a few weeks, a small amount of the culture was harvested and immunostained for further characterization and documentation.
Statistical analysis was performed using SigmaPlot (version 14.0; Systat Software Inc.) for Windows. Comparisons between variables were performed using ANOVA (analysis of variance) followed by a post hoc test for parametric data, or Kruskal-Wallis test followed by Dunn's test for nonparametric data. The significance level was set at P<0.05.
A total of 22 patients with histologically confirmed colorectal cancer (16 patients with rectal cancer, 6 patients with colon cancer) were enrolled in this study. Patients' characteristics are given in Table I.
Considering all patients (ICD10: C18 and C20), 1 patient was at stage I (4%), 7 patients were at stage II (32%), 12 patients were at stage III (55%), and 2 patients were at stage IV (9%). Six patients (27%) suffered from colon cancer and 16 (73%) from rectal cancer. The age of the patients ranged from 51 to 80 years (median 65.5 years). The median number of CETCs of all 22 patients with colorectal cancer was 55 CETCs per 100 µl cell suspension (ranging from 0 to 640) from which colon cancer patients (ICD10: C18) had a median CETC number per 100 µl of 45 (ranging from 0 to 145), and rectal cancer patients (ICD10: C20) of 65 (range from 0 to 640). No statistically significant differences in CETC numbers were observed in correlation to tumor size, lymph node status or distant metastasis (data not shown).
Using the Maintrac® method we detected CETCs in 100% of colorectal cancer patients included in this study. CETC numbers of all patients during the course of therapy are specified in Table SI. In addition to epithelial characteristics as assigned by immunostaining, we could demonstrate proliferative and stemness properties of CETCs under specific conditions, which were identical to those of cells derived from the primary tumor itself (Fig. 1).
CETCs from patient #1 were investigated for their proliferative activity by growing non-adhesive suspension cultures. Formation of EpCAM-positive spheres was observed after the first cycle of neoadjuvant R/CT (5 spheres/100 µl blood). Interestingly, CETCs from all other samples did not show any sphere formation. During surgery of patient 1, a small piece of tumor tissue was set aside and stored on ice until further processing. After separation and washing, primary tumor cells were cultured under the same conditions as CETCs, also resulting in the formation of spherical structures. Both, spheres from the primary tumor, as well as spheres from the peripheral blood of patient #1 were further characterized by immunostaining (Fig. 1). The viability of the spheres was ensured by counterstaining with PI (propidium iodide), which cannot permeate live cells. Expression patterns in primary tumor spheres of specific stem cell markers, which are regularly over-expressed in colorectal tumors (CD44 and CD133), correlated with those in spheres from peripheral blood. Moreover, primary tumor spheres expressed high levels of PD-L1.
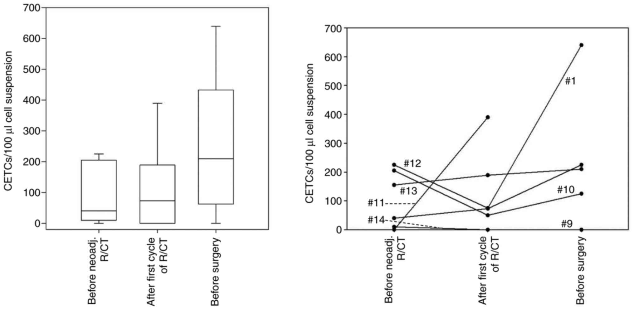
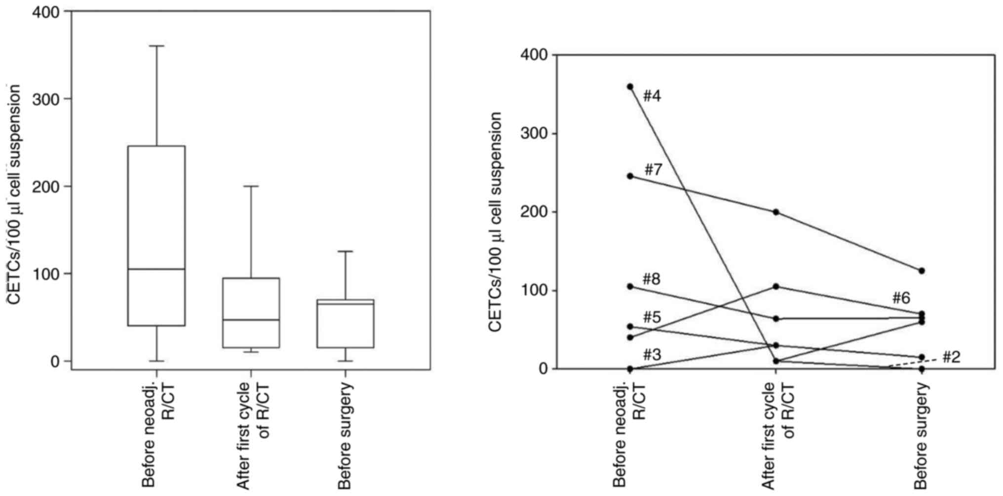
14 patients with rectal cancer received neoadjuvant R/CT, 7 (50%) of whom showed a good response (Fig. 2) and 7 (50%) did not or only partially respond to the therapy (Fig. 3). In the group of good responders, the mean CETC number before R/CT was 105 CETCs/100 µl of cell suspension. After the first cycle of the R/CT it decreased to 47 per 100 µl. With a P-value of 0.543, the differences between the three time points did not reach statistical significance likely due to the small sample size. Nevertheless, the results show a trend. In detail, the CETC numbers declined in 5 of 7 patients (71%) and increased in only 2 patients (29%) with good response to neoadjuvant R/CT (Fig. 2). In the group of poor responders (7 patients), the mean CETC number was initially 40 CETCs/100 µl cell suspension, and increased continuously from 73 after the first cycle of the R/CT to 210 CETCs/100 µl cell suspension before surgery (Fig. 3). Again, the small number of participants (n=7) might be the major cause for the lack of statistical significance (P=0.428).
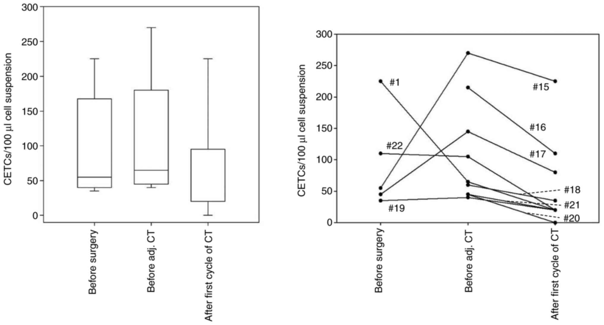
9 patients (41%; 6 patients with colon cancer and 3 patients with rectal cancer) received adjuvant chemotherapy and CETCs were quantified before surgery, before the beginning of chemotherapy and after the first cycle of adjuvant therapy (Fig. 4). Before surgery the median CETC number was 55/100 µl cell suspension, 6-8 weeks after surgery (before the beginning of the adjuvant CT) the median value was 65, and after the first cycle of CT the median was 20 CETCs/100 µl cell suspension. The difference between the mean values of the three time points was not statistically significant (P=0.114).
Interestingly, all patients showed decreasing CETC numbers under adjuvant chemotherapy.
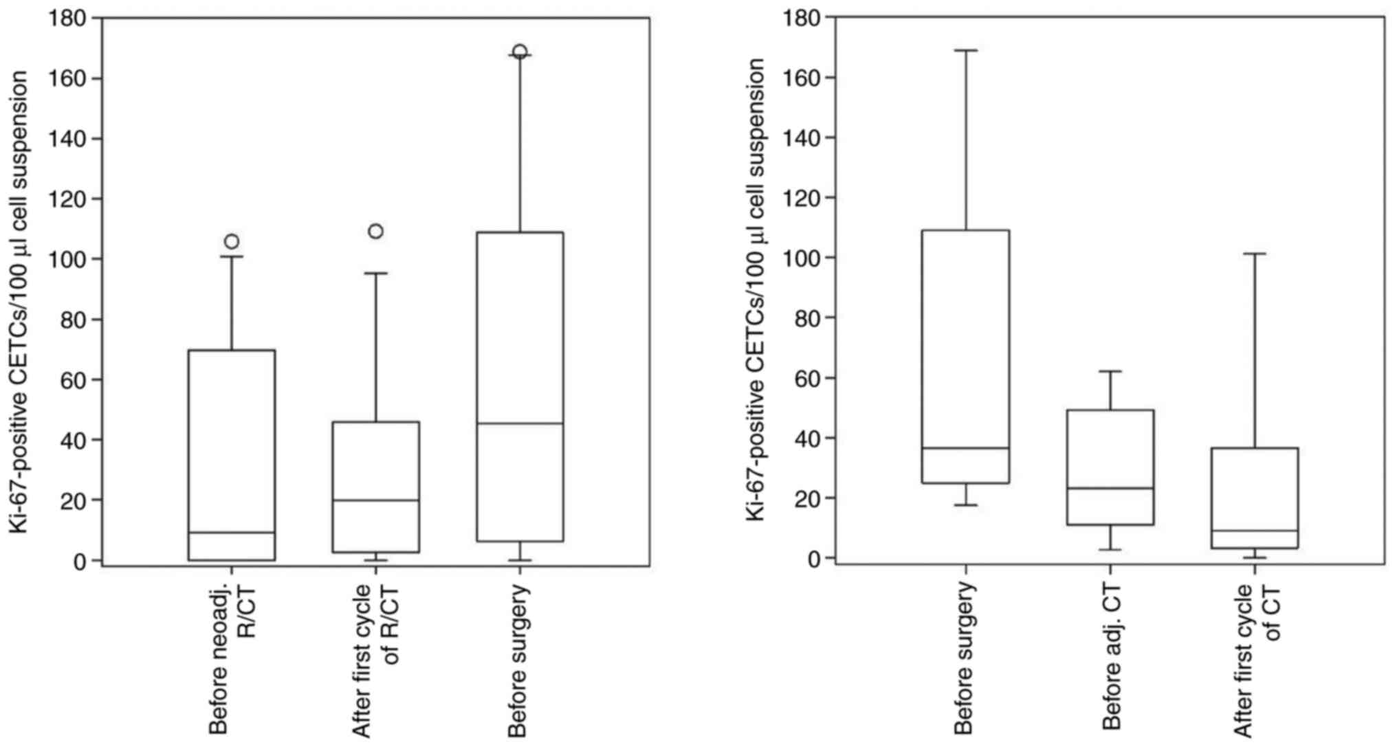
Ki-67-positive CETCs were detected in 20 patients (91%) and the percentage ranged from 0-100 (median: 25 Ki-67-positive CETCs/100 µl cell suspension). The median of Ki-67-positive CETCs/100 µl cell suspension in colon cancer patients was 18 (ranging from 0 to 170), and in rectal cancer patients 25 (ranging from 0 to 169). Although the differences in the Ki-67-positive CETCs at the three time points were not statistically significant neither for patients with neoadjuvant R/CT (P=0.202), nor in the group of patients with adjuvant CT (P=0.151), there was a trend in the number of Ki-67-positive CETCs to decrease under adjuvant CT, and to increase in patients receiving neoadjuvant R/CT (Fig. 5).
Fig. 6 shows an example of a serial analysis of the CETC numbers during the therapy of a 63-year-old patient with stage III (T3, N1, M0; G2) rectal cancer. The patient was treated with neoadjuvant R/CT (Dworak 1, poor response), followed by surgery (R0-resection) and additional adjuvant chemotherapy. During neoadjuvant therapy the CETC numbers increased significantly and reached their maximum (225 CETCs/100 µl cell suspension) before surgical removal of the primary tumor. Eight weeks after surgery the CETC number had fallen to a level similar to that at the beginning of the R/CT. It continued to decrease until there were no residual CETCs detectable at the last day of the adjuvant CT. Until 9 months after completion of the adjuvant therapy, this patient has remained free of relapse.
Although disseminated tumor cells play a major role in the metastatic process of tumors, their detection and monitoring does not play a decisive role in standard clinical procedures. Monitoring of circulating tumor cells in the blood of cancer patients during therapy has already been shown to be a powerful prognostic tool for tumors of different entities including colorectal tumors (15,24-26). From a clinical perspective, assessment of patients' response to antitumoral therapy by detection of circulating tumor cells in the peripheral blood appears comfortable, both for the physician (time- and cost-efficient), as well as for the patients (non-invasive, neither toxic nor painful), and may be easily repeated as a monitoring tool without great efforts.
In recent years, different techniques have been described for the detection of circulating tumor cells (27-32). Various studies demonstrated that their detection via CellSearch system could be used to predict treatment responses and long-term prognosis for stage IV colorectal cancer patients (33,34). But in the case of non-metastatic patients, the detection rate via CellSearch system is too low (11-25%) to further analyze the correlation between circulating tumor cells and patients' characteristics and treatment responses (35). In the present proof-of-principle study with a small group of colorectal cancer patients of all stages using the Maintrac® method for CETC identification, we detected CETCs in the peripheral blood of 100% of the patients. Moreover, we were able to show that some of the cells, which have been quantified, possess proliferative and stemness characteristics matching those found in the primary tumor.
Up until now, only a few studies investigated the role of circulating tumor cells for evaluating the response to neoadjuvant R/CT for patients with rectal cancer. In a study by Zitt et al the circulating tumor cells were investigated during neoadjuvant R/CT in 26 patients with locally advanced rectal cancer using a non-quantitative RT-PCR-based method (36). Sun et al used a size-dependent detection method to analyze changes in circulating tumor cell numbers during neoadjuvant R/CT within a collective of 115 rectal cancer patients (37). Keeping in mind the respective drawbacks of each method, both studies agreed, that responders had an obvious decrease of the numbers of circulating tumor cells after neoadjuvant R/CT, while there was no noticeable alteration after treatment in non-responders. These results were confirmed by other studies (38,39). In our study, applying the Maintrac® approach for CETC detection, we allocated 14 rectal cancer patients either to the group of good or poor responders to neoadjuvant R/CT, based upon alterations in TNM staging before and after R/CT and on Dworak regression grades of their surgical specimens. For both groups we confirmed that a decrease in CETC numbers correlates with, and thus indicates, a good response, whereas an increase of CETC numbers is rather indicative of a poor response to neoadjuvant R/CT using the Maintrac® approach for CETC detection. Whether this observation is of general relevance, and thus a potential prognostic tool for the clinician, must be clarified by extended studies with larger collectives of patients. As all patients in our study experienced a decline of CETCs under adjuvant treatment, it would be interesting to know if and when individual rectal cancer patients benefit from an adjuvant chemotherapy after neoadjuvant R/CT. Moreover, it would also be interesting to see, if CETC monitoring may also be able to identify individual rectal cancer patients, which benefit from TNT. The latest results of the PRODIGE 23 and RAPIDO phase III clinical studies have shown that TNT is able to extent disease free survival, as well as to improve the pathological complete remission (pCR) rate, organ preservation and local control in patients with locally advanced rectal cancer in comparison to conventional, neoadjuvant/adjuvant therapy regimes (9,10).
As discussed above, we observed a heterogenic reaction of the CETC profile for patients receiving neoadjuvant R/CT. In contrast, a constant decrease in CETC numbers during adjuvant therapy was found. A potential explanation for this discrepancy may be the tumor burden in the adjuvant versus the neoadjuvant situation. While the neoadjuvant therapy targets the whole, intact tumor, in the adjuvant situation the tumor burden is low, because only microscopic tumor residues remain in the patient after surgery which may be more sensitive to chemotherapy and radiation. In addition, because of the reduced number of tumor cells, the development of resistance is less likely when compared to the neoadjuvant situation (40,41).
The proliferation marker Ki-67 is widely utilized in routine clinical diagnostic of breast cancer patients (42). Lumachi et al suggested Ki-67 as a predictive parameter for colorectal cancer, as they found an inverse correlation between Ki-67 expression and overall survival in a small retrospective study (43). However, its prognostic value for colorectal tumors remains controversial. While some studies completely failed to demonstrate its prognostic significance in the case of colorectal tumors (44), others found Ki-67 overexpression indicating a good clinical outcome for colorectal cancer patients (45). In our study, we observed that the Ki-67 index, and thus the proliferative activity, of CETCs from the blood of colorectal cancer patients increased during neoadjuvant R/CT, and decreased during adjuvant CT. Considering the above mentioned findings from literature, these results cannot be interpreted regarding a good or poor prognosis for the patients. On a cellular level, one possible explanation for the rise in Ki-67 expression under neoadjuvant R/CT may be the radiotherapy-induced inflammation, which in turn induces an increase of the proliferating activity of tumor cells, and consequently of circulating tumor cells (46,47).
Finally, the general trends reported in this study could be exemplified by a case report of a rectal cancer patient (#1) receiving neoadjuvant R/CT, as well as adjuvant CT. This patient seemed to benefit from the surgery and from the additional adjuvant CT as CETC numbers decreased continuously after surgery to reach zero level on the last day of adjuvant therapy. This patient has remained free of relapse until nine months after the completion of therapy.
Not applicable.
The present study was supported by a PhD fellowship from the Bayerische Eliteförderungsgesetz (BayEFG).
The datasets used and/or analyzed during the current study are available from the corresponding author on reasonable request.
RS, AK, KP and MG contributed to the design of the present study and developed the methodology. MG collected the bioinformatics data, performed the experiments, analyzed the results and wrote the manuscript. AK contributed to the collection of patient data. RS, AK and KP critically revised the manuscript and approved the final version to be published. All authors agreed to be accountable for all aspects of the study. All authors have read and approved the final manuscript. MG and RS confirm the authenticity of all the raw data.
The present study was approved by the Ethics Committee of the University of Bayreuth (approval no. O 1305/1-GB; Bayreuth, Germany). Written informed consent was obtained from all patients.
Not applicable.
Katharina Pachmann holds a patent protecting the Maintrac® method used in the present study (patent no. EP 3128325 B1; dated February 8th, 2017). The other authors declare that they have no competing interests.
|
Bray F, Ferlay J, Soerjomataram I, Siegel RL, Torre LA and Jemal A: Global cancer statistics 2018: GLOBOCAN estimates of incidence and mortality worldwide for 36 cancers in 185 countries. CA Cancer J Clin. 68:394–424. 2018.PubMed/NCBI View Article : Google Scholar | |
|
Kerr J, Anderson C and Lippman SM: Physical activity, sedentary behaviour, diet, and cancer: An update and emerging new evidence. Lancet Oncol. 18:e457–e471. 2017.PubMed/NCBI View Article : Google Scholar | |
|
Argilés G, Tabernero J, Labianca R, Hochhauser D, Salazar R, Iveson T, Laurent-Puig P, Quirke P, Yoshino T, Taieb J, et al: Localised colon cancer: ESMO clinical practice guidelines for diagnosis, treatment and follow-up. Ann Oncol. 31:1291–1305. 2020.PubMed/NCBI View Article : Google Scholar | |
|
Glynne-Jones R, Wyrwicz L, Tiret E, Brown G, Rödel C, Cervantes A and Arnold D: ESMO Guidelines Committee. Rectal cancer: ESMO clinical practice guidelines for diagnosis, treatment and follow-up. Ann Oncol. 28 (Suppl 4):iv22–iv40. 2017.PubMed/NCBI View Article : Google Scholar | |
|
van Cutsem E, Nordlinger B and Cervantes A: ESMO Guidelines Working Group. Advanced colorectal cancer: ESMO clinical practice guidelines for treatment. Ann Oncol. 21 (Suppl 5):v93–v97. 2010.PubMed/NCBI View Article : Google Scholar | |
|
Boussios S, Ozturk MA, Moschetta M, Karathanasi A, Zakynthinakis-Kyriakou N, Katsanos KH, Christodoulou DK and Pavlidis N: The developing story of predictive biomarkers in colorectal cancer. J Pers Med. 9(12)2019.PubMed/NCBI View Article : Google Scholar | |
|
Moertel CG, Fleming TR, Macdonald JS, Haller DG, Laurie JA, Goodman PJ, Ungerleider JS, Emerson WA, Tormey DC and Glick JH: Levamisole and fluorouracil for adjuvant therapy of resected colon carcinoma. N Engl J Med. 322:352–358. 1990.PubMed/NCBI View Article : Google Scholar | |
|
Punt CJA, Koopman M and Vermeulen L: From tumour heterogeneity to advances in precision treatment of colorectal cancer. Nat Rev Clin Oncol. 14:235–246. 2017.PubMed/NCBI View Article : Google Scholar | |
|
Bahadoer RR, Dijkstra EA, van Etten B, Marijnen CAM, Putter H, Kranenbarg EM, Roodvoets AGH, Nagtegaal ID, Beets-Dan RGH, Blomqvist L, et al: Short-course radiotherapy followed by chemotherapy before total mesorectal excision (TME) versus preoperative chemoradiotherapy, TME, and optional adjuvant chemotherapy in locally advanced rectal cancer (RAPIDO): A randomised, open-label, phase 3 trial. Lancet Oncol. 22:29–42. 2021.PubMed/NCBI View Article : Google Scholar | |
|
Conroy T, Lamficheck N, Etienne PL, Rio E, Francois E, Mesgouez-Nebout N, Vendrely V, Artignan X, Bouché O, Gargot D, et al: Total neoadjuvant therapy with mFOLFIRINOX versus preoperative chemoradiation in patients with locally advanced rectal cancer: Final results of PRODIGE 23 phase III trial, a UNICANCER GI trial. J Clin Oncol. 38(S4007)2020. | |
|
Ebert MPA, Tänzer M, Balluff B, Burgermeister E, Kretzschmar AK, Hughes DJ, Tetzner R, Lofton-Day C, Rosenberg R, Reinacher-Schick AC, et al: TFAP2E-DKK4 and chemoresistance in colorectal cancer. N Engl J Med. 366:44–53. 2012.PubMed/NCBI View Article : Google Scholar | |
|
Friedman AA, Letai A, Fisher DE and Flaherty KT: Precision medicine for cancer with next-generation functional diagnostics. Nat Rev Cancer. 15:747–756. 2015.PubMed/NCBI View Article : Google Scholar | |
|
Garnett MJ, Edelman EJ, Heidorn SJ, Greenman CD, Dastur A, Lau KW, Greninger P, Thompson R, Luo X, Soares J, et al: Systematic identification of genomic markers of drug sensitivity in cancer cells. Nature. 483:570–575. 2012.PubMed/NCBI View Article : Google Scholar | |
|
Wang L, Zhou S, Zhang W, Wang J, Wang M, Hu X, Liu F, Zhang Y, Jiang B and Yuan H: Circulating tumor cells as an independent prognostic factor in advanced colorectal cancer: A retrospective study in 121 patients. Int J Colorectal Dis. 34:589–597. 2019.PubMed/NCBI View Article : Google Scholar | |
|
Yang C, Chen F, Wang S and Xiong B: Circulating tumor cells in gastrointestinal cancers: Current status and future perspectives. Front Oncol. 9(1427)2019.PubMed/NCBI View Article : Google Scholar | |
|
Kapeleris J, Kulasinghe A, Warkiani ME, Vela I, Kenny L, O'Byrne K and Punyadeera C: The prognostic role of circulating tumor cells (CTCs) in lung cancer. Front Oncol. 8(311)2018.PubMed/NCBI View Article : Google Scholar | |
|
Banys-Paluchowski M, Krawczyk N and Fehm T: Potential role of circulating tumor cell detection and monitoring in breast cancer: A review of current evidence. Front Oncol. 6(255)2016.PubMed/NCBI View Article : Google Scholar | |
|
Xun Y, Cao Q, Zhang J, Guan B and Wang M: Clinicopathological and prognostic significance of circulating tumor cells in head and neck squamous cell carcinoma: A systematic review and meta-analysis. Oral Oncol. 104(104638)2020.PubMed/NCBI View Article : Google Scholar | |
|
Schlüter C, Duchrow M, Wohlenberg C, Becker MH, Key G, Flad HD and Gerdes J: The cell proliferation-associated antigen of antibody Ki-67: A very large, ubiquitous nuclear protein with numerous repeated elements, representing a new kind of cell cycle-maintaining proteins. J Cell Biol. 123:513–522. 1993.PubMed/NCBI View Article : Google Scholar | |
|
Pizon M, Schott DS, Pachmann U and Pachmann K: B7-H3 on circulating epithelial tumor cells correlates with the proliferation marker, Ki-67, and may be associated with the aggressiveness of tumors in breast cancer patients. Int J Oncol. 53:2289–2299. 2018.PubMed/NCBI View Article : Google Scholar | |
|
Union for International Cancer Control (UICC): Colon and Rectum. In: TNM classification of malignant tumours. Brierley J, Gospodarowicz MK and Wittekind C (eds) John Wiley & Sons Ltd., Chichester, pp73-76, 2017. | |
|
Pox C: Update der S3-leitlinie zum kolorektalen karzinom. Best Pract Onkol. 13:254–262. 2018.(In German). | |
|
Dworak O, Keilholz L and Hoffmann A: Pathological features of rectal cancer after preoperative radiochemotherapy. Int J Colorectal Dis. 12:19–23. 1997.PubMed/NCBI View Article : Google Scholar | |
|
Pachmann K, Willecke-Hochmuth R, Schneider K and Kaatz M: Circulating epithelial tumor cells as a prognostic tool for malignant melanoma. Melanoma Res. 28:37–43. 2018.PubMed/NCBI View Article : Google Scholar | |
|
Krebs MG, Sloane R, Priest L, Lancashire L, Hou JM, Greystoke A, Ward TH, Ferraldeschi R, Hughes A, Clack G, et al: Evaluation and prognostic significance of circulating tumor cells in patients with non-small-cell lung cancer. J Clin Oncol. 29:1556–1563. 2011.PubMed/NCBI View Article : Google Scholar | |
|
Rahbari NN, Aigner M, Thorlund K, Mollberg N, Motschall E, Jensen K, Diener MK, Büchler MW, Koch M and Weitz J: Meta-analysis shows that detection of circulating tumor cells indicates poor prognosis in patients with colorectal cancer. Gastroenterology. 138:1714–1726. 2010.PubMed/NCBI View Article : Google Scholar | |
|
Nagrath S, Sequist LV, Maheswaran S, Bell DW, Irimia D, Ulkus L, Smith MR, Kwak EL, Digumarthy S, Muzikansky A, et al: Isolation of rare circulating tumour cells in cancer patients by microchip technology. Nature. 450:1235–1239. 2007.PubMed/NCBI View Article : Google Scholar | |
|
Lara O, Tong X, Zborowski M and Chalmers JJ: Enrichment of rare cancer cells through depletion of normal cells using density and flow-through, immunomagnetic cell separation. Exp Hematol. 32:891–904. 2004.PubMed/NCBI View Article : Google Scholar | |
|
Park JM, Lee JY, Lee JG, Jeong H, Oh JM, Kim YJ, Park D, Kim MS, Lee HJ, Oh JH, et al: Highly efficient assay of circulating tumor cells by selective sedimentation with a density gradient medium and microfiltration from whole blood. Anal Chem. 84:7400–7407. 2012.PubMed/NCBI View Article : Google Scholar | |
|
Pachmann K: Current and potential use of MAINTRAC method for cancer diagnosis and prediction of metastasis. Expert Rev Mol Diagn. 15:597–605. 2015.PubMed/NCBI View Article : Google Scholar | |
|
Desitter I, Guerrouahen BS, Benali-Furet N, Wechsler J, Jänne PA, Kuang Y, Yanagita M, Wang L, Berkowitz JA, Distel RJ and Cayre YE: A new device for rapid isolation by size and characterization of rare circulating tumor cells. Anticancer Res. 31:427–441. 2011.PubMed/NCBI | |
|
Wang L, Balasubramanian P, Chen AP, Kummar S, Evrard YA and Kinders RJ: Promise and limits of the cellSearch platform for evaluating pharmacodynamics in circulating tumor cells. Semin Oncol. 43:464–475. 2016.PubMed/NCBI View Article : Google Scholar | |
|
Cohen SJ, Punt CJA, Iannotti N, Saidman BH, Sabbath KD, Gabrail NY, Picus J, Morse M, Mitchell E, Miller MC, et al: Relationship of circulating tumor cells to tumor response, progression-free survival, and overall survival in patients with metastatic colorectal cancer. J Clin Oncol. 26:3213–3221. 2008.PubMed/NCBI View Article : Google Scholar | |
|
Tol J, Koopman M, Miller MC, Tibbe A, Cats A, Creemers GJM, Vos AH, Nagtegaal ID, Terstappen LWMM and Punt CJA: Circulating tumour cells early predict progression-free and overall survival in advanced colorectal cancer patients treated with chemotherapy and targeted agents. Ann Oncol. 21:1006–1012. 2010.PubMed/NCBI View Article : Google Scholar | |
|
Sastre J, Maestro ML, Puente J, Veganzones S, Alfonso R, Rafael S, Gracía-Saenz JA, Vidaurreta M, Martín M, Arroyo M, et al: Circulating tumor cells in colorectal cancer: Correlation with clinical and pathological variables. Ann Oncol. 19:935–938. 2008.PubMed/NCBI View Article : Google Scholar | |
|
Zitt M, Zitt M, Müller HM, Dinnewitzer AJ, Schwendinger V, Goebel G, De Vries A, Amberger A, Weiss H, Margreiter R, et al: Disseminated tumor cells in peripheral blood: A novel marker for therapy response in locally advanced rectal cancer patients undergoing preoperative chemoradiation. Dis Colon Rectum. 49:1484–1491. 2006.PubMed/NCBI View Article : Google Scholar | |
|
Sun W, Li G, Wan J, Zhu J, Shen W and Zhang Z: Circulating tumor cells: A promising marker of predicting tumor response in rectal cancer patients receiving neoadjuvant chemo-radiation therapy. Oncotarget. 7:69507–69517. 2016.PubMed/NCBI View Article : Google Scholar | |
|
Magni E, Botteri E, Ravenda PS, Cassatella MC, Bertani E, Chiappa A, Luca F, Zorzino L, Bianchi PP, Adamoli L, et al: Detection of circulating tumor cells in patients with locally advanced rectal cancer undergoing neoadjuvant therapy followed by curative surgery. Int J Colorectal Dis. 29:1053–1059. 2014.PubMed/NCBI View Article : Google Scholar | |
|
Hinz S, Röder C, Tepel J, Hendricks A, Schafmayer C, Becker T and Kalthoff H: Cytokeratin 20 positive circulating tumor cells are a marker for response after neoadjuvant chemoradiation but not for prognosis in patients with rectal cancer. BMC Cancer. 15(953)2015.PubMed/NCBI View Article : Google Scholar | |
|
Imyanitov EN and Yanus GA: Neoadjuvant therapy: Theoretical, biological and medical consideration. Chin Clin Oncol. 7(55)2018.PubMed/NCBI View Article : Google Scholar | |
|
Leary A, Cowan R, Chi D, Kehoe S and Nankivell M: Primary surgery or neoadjuvant chemotherapy in advanced ovarian cancer: The debate continue. Am Soc Clin Oncol Educ Book. 35:153–162. 2016.PubMed/NCBI View Article : Google Scholar | |
|
Inwald EC, Klinkhammer-Schalke M, Hofstädter F, Zeman F, Koller M, Gerstenhauer M and Ortmann O: Ki-67 is a prognostic parameter in breast cancer patients: Results of a large population-based cohort of a cancer registry. Breast Cancer Res Treat. 139:539–552. 2013.PubMed/NCBI View Article : Google Scholar | |
|
Lumachi F, Orlando R, Marino F, Chiara GB and Basso SMM: Expression of p53 and Ki-67 as prognostic factors for survival of men with colorectal cancer. Anticancer Res. 32:3965–3967. 2012.PubMed/NCBI | |
|
Ghiţă C, Vîlcea ID, Dumitrescu M, Vîlcea AM, Mirea CS, Aşchie M and Vasilescu F: The prognostic value of the immunohistochemical aspects of tumor suppressor genes p53, bcl-2, PTEN and nuclear proliferative antigen Ki-67 in resected colorectal carcinoma. Rom J Morphol Embryol. 53:549–556. 2012.PubMed/NCBI | |
|
Melling N, Kowitz CM, Simon R, Bokemeyer C, Terracciano L, Sauter G, Izbicki JR and Marx AH: High Ki67 expression is an independent good prognostic marker in colorectal cancer. J Clin Pathol. 69:209–214. 2016.PubMed/NCBI View Article : Google Scholar | |
|
Kiraly O, Gong G, Olipitz W, Muthupalani S and Engelward BP: Inflammation-induced cell proliferation potentiates DNA damage-induced mutations in vivo. PLOS Genet. 11(e1004901)2015.PubMed/NCBI View Article : Google Scholar | |
|
Di Maggio FM, Minafra L, Forte GI, Cammarata FP, Lio D, Messa C, Gilardi MC and Bravatà V: Portrait of inflammatory response to ionizing radiation treatment. J Inflamm. 12(14)2015.PubMed/NCBI View Article : Google Scholar |