Spandidos Publications Logo
  • About
    • About Spandidos
    • Aims and Scopes
    • Abstracting and Indexing
    • Editorial Policies
    • Reprints and Permissions
    • Job Opportunities
    • Terms and Conditions
    • Contact
  • Journals
    • All Journals
    • Oncology Letters
      • Oncology Letters
      • Information for Authors
      • Editorial Policies
      • Editorial Board
      • Aims and Scope
      • Abstracting and Indexing
      • Bibliographic Information
      • Archive
    • International Journal of Oncology
      • International Journal of Oncology
      • Information for Authors
      • Editorial Policies
      • Editorial Board
      • Aims and Scope
      • Abstracting and Indexing
      • Bibliographic Information
      • Archive
    • Molecular and Clinical Oncology
      • Molecular and Clinical Oncology
      • Information for Authors
      • Editorial Policies
      • Editorial Board
      • Aims and Scope
      • Abstracting and Indexing
      • Bibliographic Information
      • Archive
    • Experimental and Therapeutic Medicine
      • Experimental and Therapeutic Medicine
      • Information for Authors
      • Editorial Policies
      • Editorial Board
      • Aims and Scope
      • Abstracting and Indexing
      • Bibliographic Information
      • Archive
    • International Journal of Molecular Medicine
      • International Journal of Molecular Medicine
      • Information for Authors
      • Editorial Policies
      • Editorial Board
      • Aims and Scope
      • Abstracting and Indexing
      • Bibliographic Information
      • Archive
    • Biomedical Reports
      • Biomedical Reports
      • Information for Authors
      • Editorial Policies
      • Editorial Board
      • Aims and Scope
      • Abstracting and Indexing
      • Bibliographic Information
      • Archive
    • Oncology Reports
      • Oncology Reports
      • Information for Authors
      • Editorial Policies
      • Editorial Board
      • Aims and Scope
      • Abstracting and Indexing
      • Bibliographic Information
      • Archive
    • Molecular Medicine Reports
      • Molecular Medicine Reports
      • Information for Authors
      • Editorial Policies
      • Editorial Board
      • Aims and Scope
      • Abstracting and Indexing
      • Bibliographic Information
      • Archive
    • World Academy of Sciences Journal
      • World Academy of Sciences Journal
      • Information for Authors
      • Editorial Policies
      • Editorial Board
      • Aims and Scope
      • Abstracting and Indexing
      • Bibliographic Information
      • Archive
    • International Journal of Functional Nutrition
      • International Journal of Functional Nutrition
      • Information for Authors
      • Editorial Policies
      • Editorial Board
      • Aims and Scope
      • Abstracting and Indexing
      • Bibliographic Information
      • Archive
    • International Journal of Epigenetics
      • International Journal of Epigenetics
      • Information for Authors
      • Editorial Policies
      • Editorial Board
      • Aims and Scope
      • Abstracting and Indexing
      • Bibliographic Information
      • Archive
    • Medicine International
      • Medicine International
      • Information for Authors
      • Editorial Policies
      • Editorial Board
      • Aims and Scope
      • Abstracting and Indexing
      • Bibliographic Information
      • Archive
  • Articles
  • Information
    • Information for Authors
    • Information for Reviewers
    • Information for Librarians
    • Information for Advertisers
    • Conferences
  • Language Editing
Spandidos Publications Logo
  • About
    • About Spandidos
    • Aims and Scopes
    • Abstracting and Indexing
    • Editorial Policies
    • Reprints and Permissions
    • Job Opportunities
    • Terms and Conditions
    • Contact
  • Journals
    • All Journals
    • Biomedical Reports
      • Information for Authors
      • Editorial Policies
      • Editorial Board
      • Aims and Scope
      • Abstracting and Indexing
      • Bibliographic Information
      • Archive
    • Experimental and Therapeutic Medicine
      • Information for Authors
      • Editorial Policies
      • Editorial Board
      • Aims and Scope
      • Abstracting and Indexing
      • Bibliographic Information
      • Archive
    • International Journal of Epigenetics
      • Information for Authors
      • Editorial Policies
      • Editorial Board
      • Aims and Scope
      • Abstracting and Indexing
      • Bibliographic Information
      • Archive
    • International Journal of Functional Nutrition
      • Information for Authors
      • Editorial Policies
      • Editorial Board
      • Aims and Scope
      • Abstracting and Indexing
      • Bibliographic Information
      • Archive
    • International Journal of Molecular Medicine
      • Information for Authors
      • Editorial Policies
      • Editorial Board
      • Aims and Scope
      • Abstracting and Indexing
      • Bibliographic Information
      • Archive
    • International Journal of Oncology
      • Information for Authors
      • Editorial Policies
      • Editorial Board
      • Aims and Scope
      • Abstracting and Indexing
      • Bibliographic Information
      • Archive
    • Medicine International
      • Information for Authors
      • Editorial Policies
      • Editorial Board
      • Aims and Scope
      • Abstracting and Indexing
      • Bibliographic Information
      • Archive
    • Molecular and Clinical Oncology
      • Information for Authors
      • Editorial Policies
      • Editorial Board
      • Aims and Scope
      • Abstracting and Indexing
      • Bibliographic Information
      • Archive
    • Molecular Medicine Reports
      • Information for Authors
      • Editorial Policies
      • Editorial Board
      • Aims and Scope
      • Abstracting and Indexing
      • Bibliographic Information
      • Archive
    • Oncology Letters
      • Information for Authors
      • Editorial Policies
      • Editorial Board
      • Aims and Scope
      • Abstracting and Indexing
      • Bibliographic Information
      • Archive
    • Oncology Reports
      • Information for Authors
      • Editorial Policies
      • Editorial Board
      • Aims and Scope
      • Abstracting and Indexing
      • Bibliographic Information
      • Archive
    • World Academy of Sciences Journal
      • Information for Authors
      • Editorial Policies
      • Editorial Board
      • Aims and Scope
      • Abstracting and Indexing
      • Bibliographic Information
      • Archive
  • Articles
  • Information
    • For Authors
    • For Reviewers
    • For Librarians
    • For Advertisers
    • Conferences
  • Language Editing
Login Register Submit
  • This site uses cookies
  • You can change your cookie settings at any time by following the instructions in our Cookie Policy. To find out more, you may read our Privacy Policy.

    I agree
Search articles by DOI, keyword, author or affiliation
Search
Advanced Search
presentation
Molecular and Clinical Oncology
Join Editorial Board Propose a Special Issue
Print ISSN: 2049-9450 Online ISSN: 2049-9469
Journal Cover
December-2023 Volume 19 Issue 6

Full Size Image

Sign up for eToc alerts
Recommend to Library

Journals

International Journal of Molecular Medicine

International Journal of Molecular Medicine

International Journal of Molecular Medicine is an international journal devoted to molecular mechanisms of human disease.

International Journal of Oncology

International Journal of Oncology

International Journal of Oncology is an international journal devoted to oncology research and cancer treatment.

Molecular Medicine Reports

Molecular Medicine Reports

Covers molecular medicine topics such as pharmacology, pathology, genetics, neuroscience, infectious diseases, molecular cardiology, and molecular surgery.

Oncology Reports

Oncology Reports

Oncology Reports is an international journal devoted to fundamental and applied research in Oncology.

Experimental and Therapeutic Medicine

Experimental and Therapeutic Medicine

Experimental and Therapeutic Medicine is an international journal devoted to laboratory and clinical medicine.

Oncology Letters

Oncology Letters

Oncology Letters is an international journal devoted to Experimental and Clinical Oncology.

Biomedical Reports

Biomedical Reports

Explores a wide range of biological and medical fields, including pharmacology, genetics, microbiology, neuroscience, and molecular cardiology.

Molecular and Clinical Oncology

Molecular and Clinical Oncology

International journal addressing all aspects of oncology research, from tumorigenesis and oncogenes to chemotherapy and metastasis.

World Academy of Sciences Journal

World Academy of Sciences Journal

Multidisciplinary open-access journal spanning biochemistry, genetics, neuroscience, environmental health, and synthetic biology.

International Journal of Functional Nutrition

International Journal of Functional Nutrition

Open-access journal combining biochemistry, pharmacology, immunology, and genetics to advance health through functional nutrition.

International Journal of Epigenetics

International Journal of Epigenetics

Publishes open-access research on using epigenetics to advance understanding and treatment of human disease.

Medicine International

Medicine International

An International Open Access Journal Devoted to General Medicine.

Journal Cover
December-2023 Volume 19 Issue 6

Full Size Image

Sign up for eToc alerts
Recommend to Library

  • Article
  • Citations
    • Cite This Article
    • Download Citation
    • Create Citation Alert
    • Remove Citation Alert
    • Cited By
  • Similar Articles
    • Related Articles (in Spandidos Publications)
    • Similar Articles (Google Scholar)
    • Similar Articles (PubMed)
  • Download PDF
  • Download XML
  • View XML
Article

Patient characteristics associated with definitive diagnosis of metastatic pancreatic cancer in those initially diagnosed with cancer of unknown primary

  • Authors:
    • Larissa Lee White
    • Julie Smith‑Gagen
    • Leslie Elliott
    • Minggen Lu
  • View Affiliations / Copyright

    Affiliations: Kaiser Permanente Colorado, Institute for Health Research, Aurora, CO 80014, USA, School of Public Health, University of Nevada, Reno, NV 89557, USA
  • Article Number: 101
    |
    Published online on: November 6, 2023
       https://doi.org/10.3892/mco.2023.2697
  • Expand metrics +
Metrics: Total Views: 0 (Spandidos Publications: | PMC Statistics: )
Metrics: Total PDF Downloads: 0 (Spandidos Publications: | PMC Statistics: )
Cited By (CrossRef): 0 citations Loading Articles...

This article is mentioned in:



Abstract

Cancer of unknown primary (CUP) and pancreatic cancer (PC) are malignancies associated with poor prognosis. CUP is the fourth most common cause of cancer mortality in the US, and median survival time is 3‑4 months. PC is the third most common cause of cancer mortality in the US, and median survival time for patients with stage 3 or 4 PC is 2‑3 months. The present study aimed to understand the patient characteristics of those initially misdiagnosed with CUP who ultimately received a diagnosis of PC. The present study used 2010‑2015 Surveillance, Epidemiology, and End Results‑Medicare data, a US population‑based cancer registry linked to Medicare health insurance claims. Odds ratios (ORs) and 95% confidence intervals were calculated using two binary logistic regression models to compare the characteristics of patients who received definitive diagnosis between the CUP‑PC group (those with an initial diagnosis of CUP who eventually received a stage 3 or 4 PC diagnosis) and the PC group (those diagnosed with stage 3 or 4 PC only). Approximately 26% of patients who received a definitive diagnosis of metastatic PC started with an initial diagnosis of CUP (n=17,565). The odds of definitive PC diagnosis in patients with CUP were lower for those with a comorbidity score of 0 [OR, 0.85 (95% CI: 0.79, 0.91)] and epithelial/unspecified histology [OR, 0.76 (95% CI: 0.71, 0.82)]. The odds of definitive PC diagnosis in patients with CUP were higher for patients of other race [OR, 1.27 (95% CI: 1.13, 1.43)] compared with white patients. Definitive diagnosis of PC in patients with CUP was lower in patients who were older with fewer or no comorbidities and unspecified histology. The complexity of CUP diagnosis and patient performance status may influence delays in diagnosis to a known primary site.

Introduction

Cancer of unknown primary (CUP), also known as occult cancer, accounts for approximately 3-5% of all cancers and is the fourth most common cause of mortality due to cancer in the US (1,2). CUP is defined as a case of metastatic cancer where the origination site cannot be determined (1). Median survival after CUP diagnosis is approximately 3-4 months, with less than 25% of patients alive after one year (1,2). Patients with CUP are categorized into two prognostic subgroups according to their clinicopathologic characteristics. The majority of patients with CUP (80-85%) belong to unfavorable subsets (3). The favorable risk cancer subgroup (15-20%) includes patients with neuroendocrine CUP, peritoneal adenocarcinomatosis of a serous papillary subtype, isolated axillary nodal metastases in females, squamous cell carcinoma involving non-supraclavicular cervical lymph nodes, single metastatic deposit from unknown primary and men with blastic bone metastases and PSA expression (3). Very recently, new favorable subsets of CUP seem to emerge including colorectal, lung and renal CUP which underlies specific treatments (3).

Patients with CUP receive significantly less treatment yet use more health services when compared to patients with metastatic cancer of a known site (4). In the era of targeted therapies, accurate histopathological and molecular classification of tumors is essential to administer the best tailored therapeutic strategy (5). Classifications based on epigenetic alterations have served this purpose. Indeed, cancer cells are characterized by a massive overall loss of DNA methylation (20-60% overall decrease in 5-methylcytosine), and by the simultaneous acquisition of specific patterns of hypermethylation at CpG islands of certain promoters, which can alter gene function, thereby contributing to cancer progression (5).

Relatedly, pancreatic cancer accounts for approximately 3% of all cancers and is the third most common cause of mortality due to cancer in the U.S. (6). The most critical prognostic factor for pancreatic cancer is stage at diagnosis (7). Median survival time after stage 1 and stage 2 pancreatic cancer diagnosis is 4 months, with stage 3 and stage 4 pancreatic cancer decreasing survival time to 2-3 months (8). Approximately 53% of pancreatic cancer patients are diagnosed after metastasis has occurred (9). Since CUP and metastatic pancreatic cancer are comparable in incidence and survival outcome, there may be similarities in patient characteristics of those initially misdiagnosed with CUP who ultimately receive a diagnosis of pancreatic cancer. Definitive diagnosis is crucial to the prognosis of patients diagnosed with CUP, but studies examining characteristics of this outcome are limited (10,11). Therefore, we sought to build upon our previous research (12) to examine patient characteristics associated with definitive diagnosis of metastatic pancreatic cancer in older patients who initially present with CUP.

Materials and methods

Study population

This retrospective cohort study uses 2010-2015 Surveillance, Epidemiology, and End Results (SEER)-Medicare data, a national population-based cancer registry linked to Medicare claims. The cohort consisted of patients identified in the SEER dataset diagnosed with CUP, International Classification of Diseases for Oncology, Third Edition (ICD-O-3) codes C80.9 and those diagnosed with stage 3 and stage 4 pancreatic cancer (ICD-O-3 codes C250-C259), between January 1, 2010 and December 31, 2015. Initial CUP diagnosis was defined by the date of the first biopsy or date of ICD-O-3 diagnosis, whichever came first. Patients had to be continuously enrolled in Medicare fee-for-service (both Part A and B) beginning 1 year prior to diagnosis through the observation period. Only the first reported primary cancer for each patient was included, that is, this was the first time the patients had been diagnosed with any type of cancer. Exclusion criteria were used to maximize patients whose claims data were complete: patients were excluded if enrolled in Medicare due to chronic disability, as well as those diagnosed only on a death certificate, at autopsy, or in a nursing home as their care was likely dissimilar to other patients. Only claims paid by Medicare were included so as to avoid erroneous billing codes. The final cohort consisted of 68,146 patients, of which 17,565 were initially diagnosed with CUP prior to a pancreatic cancer diagnosis.

Patient characteristics

Patient characteristics included sex, age in four groups (65, 66-74, 75-84, 85 and older), race [White, Black, and Other (which included Asian, American Indian/Alaska Native, Native Hawaiian/Other Pacific Islander, and Multi-racial; per the race variable definition in the SEER data dictionary)], ethnicity (Latino or Non-Latino; per the ethnicity variable definition in the SEER data dictionary), area of residence (rural or urban), and histology of the primary tumor (adenocarcinoma, squamous cell carcinoma, epithelial/unspecified, and neuroendocrine). Comorbidity was assessed utilizing the Klabunde adaptation of the Charlson comorbidity score (13).

Definitive diagnosis

Odd ratios (OR) and 95% confidence intervals (CI) were calculated using two binary logistic regression models to analyze the patient characteristics of who received definitive diagnosis between the CUP-Pancreas group (those with an initial diagnosis of CUP who eventually received a stage 3 or 4 pancreatic cancer diagnosis) and the Pancreas group (those diagnosed with stage 3 or 4 pancreatic cancer only). All analyses were conducted using SAS, version 9.4 (Cary, NC).

Results

Patient characteristics

There were 68,146 patients who received a definitive diagnosis of stage 3/4 pancreatic cancer between 2010-2015. Approximately 74% were diagnosed with pancreatic cancer only (n=50,581) and 26% started with an initial diagnosis of CUP (n=17,565). The CUP-Pancreas group were 53.4% female, 37.3% were between the ages of 75-84, 81.6% were White, 92.3% were non-Latino, 59.1% lived in an urban area, 42.6% had a Charlson comorbidity score of 2 or higher, and 60.7% were histologically confirmed as adenocarcinoma (Table I). Of the cases diagnosed with pancreatic cancer only, characteristics were generally similar to those initially diagnosed with CUP, however, 29.9% were between the ages of 75-84 and 31.9% had a Charlson comorbidity score of 2 or higher.

Table I

Descriptive characteristics of definitive pancreatic cancer diagnosis in those initially diagnosed with CUP compared to those diagnosed with pancreatic cancer only, SEER-Medicare, 2010-2015.

Table I

Descriptive characteristics of definitive pancreatic cancer diagnosis in those initially diagnosed with CUP compared to those diagnosed with pancreatic cancer only, SEER-Medicare, 2010-2015.

CharacteristicCUP-pancreas (n=17,565) (%)Pancreas (n=50,581) (%)
Sex  
     Female9,387 (53.4)25,897 (51.2)
     Male8,178 (46.6)24,684 (48.8)
Age at diagnosis, years  
     652,025 (11.5)12,038 (23.8)
     66-746,031 (34.3)16,237 (32.1)
     75-846,553 (37.3)15,123 (29.9)
     85+2,956 (16.9)7,183 (14.2)
Race  
     White14,329 (81.6)41,122 (81.3)
     Black2,123 (12.1)5,564 (11.0)
     Other1,113 (6.3)3,895 (7.7)
Ethnicity  
     Non-Latino16,212 (92.3)46,180 (91.3)
     Latino1,353 (7.7)4,401 (8.7)
Urban  
     Yes10,379 (59.1)30,602 (60.5)
     No7,186 (40.9)19,979 (39.5)
Charlson comorbidity score  
     05,337 (30.4)21,649 (42.8)
     14,748 (27.0)12,797 (25.3)
     2+7,480 (42.6)16,135 (31.9)
Histology  
     Adenocarcinoma10,661 (60.7)29,843 (59.0)
     Epithelial unspecified3,627 (20.6)11,077 (21.9)
     Neuroendocrine3,070 (17.5)9,105 (18.0)
     Squamous cell carcinoma207 (1.2)556 (1.1)

[i] CUP, cancer of unknown primary; SEER, Surveillance, Epidemiology, and End Results.

Definitive diagnosis of CUP-Pancreas group

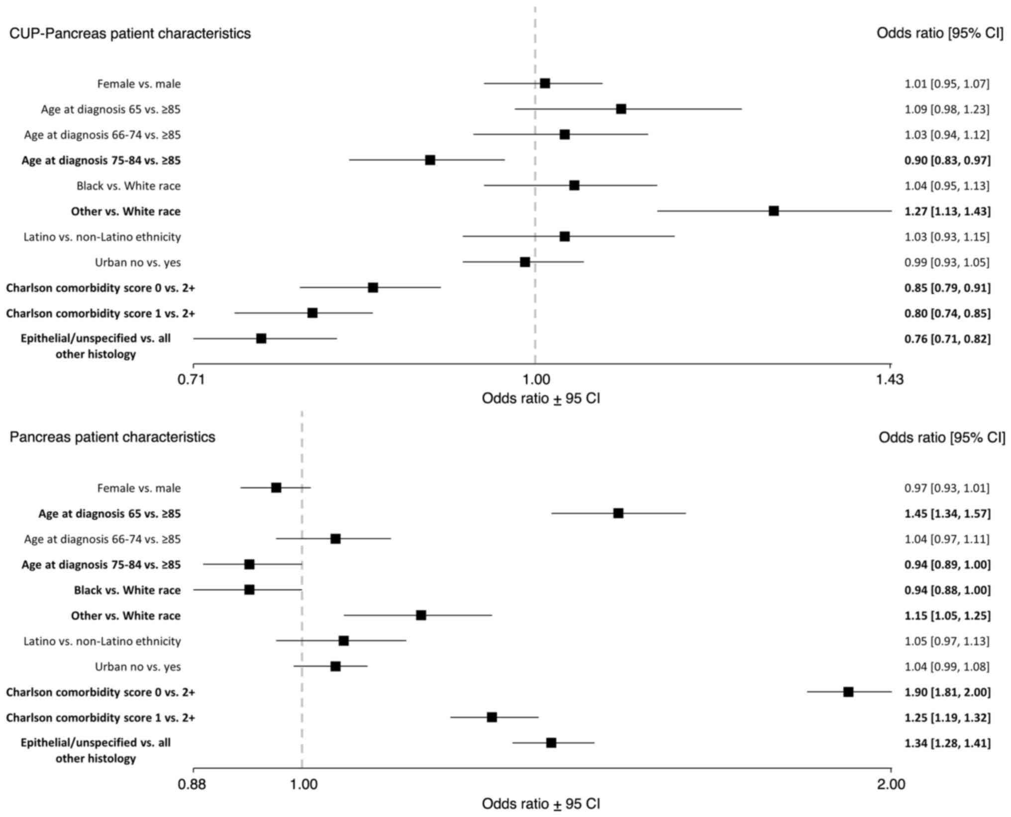
CUP patients between the ages of 75-84 had lower odds of definitive pancreatic cancer diagnosis [OR, 0.90 (0.83, 0.97)] compared to patients 85 years or older (Fig. 1). CUP patients had lower odds of definitive pancreatic cancer diagnosis for those with a Charlson comorbidity score of 0 [OR, 0.85 (0.79, 0.91)] or 1 [OR, 0.80 (0.74, 0.85)] compared to a score of 2 or higher; and lower odds of definitive pancreatic cancer diagnosis for epithelial/unspecified histology compared to all other histology types [OR, 0.76 (0.71, 0.82)]. CUP patients who identified as a race other than Black or White had higher odds of definitive pancreatic cancer diagnosis [OR, 1.27 (1.13, 1.43)] compared to White patients.

Figure 1

ORs of definitive pancreatic cancer diagnosis in those initially diagnosed with CUP (n=17,565) compared to those diagnosed with pancreatic cancer only (n=50,581) by patient characteristics, SEER-Medicare, 2010-2015. Bold indicates statistical significance (P<0.05). CUP, cancer of unknown primary; CI, confidence interval; OR, odds ratio; SEER, Surveillance, Epidemiology, and End Results.

Definitive diagnosis of pancreas only group

Pancreatic only patients between the ages of 75-84 had lower odds of definitive diagnosis [OR, 0.94 (0.89, 1.00)] compared to patients 85 years or older (Fig. 1). Pancreatic only patients who identified as Black had lower odds of definitive diagnosis [OR, 0.94 (0.88, 1.00)] compared to White patients. Pancreatic only patients of 65 years had higher odds of definitive diagnosis [OR, 1.45 (1.34, 1.57)] compared to patients 85 years or older. Pancreatic only patients who identified as a race other than Black or White had higher odds of definitive diagnosis [OR, 1.15 (1.05, 1.25)] compared to White patients; higher odds of definitive diagnosis for those with a Charlson comorbidity score of 0 [OR, 1.90 (1.81, 2.00)] or 1 [OR, 1.25 (1.19, 1.32)] compared to a score of 2 or higher; and higher odds for definitive diagnosis for epithelial/unspecified histology compared to all other histology types [OR, 1.34 (1.28, 1.41)].

Discussion

To our knowledge, this is the first population-based study focusing on metastatic pancreatic cancer in patients initially diagnosed with CUP. CUP patients had higher odds of receiving a definitive pancreatic cancer diagnosis if they identified as a race other than Black or White. CUP patients had lower odds of receiving a definitive pancreatic cancer diagnosis if they were older, had fewer or no comorbidities, and histology confirmed as epithelial/unspecified. Patients with comorbidities may receive health services more often than patients without comorbidities, thus are more likely to come in contact with the health care system (14). However, older patients with comorbidities may be unable to complete the diagnostic workup necessary to make a definitive diagnosis (15). Characteristics associated with delay of definitive diagnosis in CUP to a specified primary site including older age, epithelial/unspecified histology, and higher comorbid burden of disease correspond with current scientific literature on CUP patterns of care, namely population-based studies focusing on patient characteristics and healthcare utilization (4,16,17), adherence and diagnostic guidelines (10), and risk factors and clinical management (18,19).

In patients diagnosed with stage 3 or stage 4 pancreatic cancer only, definitive diagnosis was similar to CUP patients by race, however, this subpopulation was younger and had fewer comorbidities overall. Furthermore, the comorbidity score and whether histology was epithelial/unspecified were not barriers to definitive diagnosis for the pancreatic cancer only group, suggesting there are imbalances in delivery of care compared to patients initially diagnosed with CUP. This is likely due to (a) the complexity of identifying the primary tumor site in CUP, whereas in identification of pancreatic cancer, the clinician at least has a point from which to begin a well-informed diagnostic process; and (b) poor performance status of the patient with CUP, a potential confounder this study could not account for.

These findings further elucidate the health disparities evident in CUP and pancreatic cancer diagnoses. Scientific literature on cancer health disparities reports higher incidence of metastatic pancreatic cancer among Black and Latino patients, as well as lower occurrence of treatment (primarily surgical intervention), poor access to quality health care, and higher rates of overall morbidity and mortality (20-22). An area of future research should focus on the patterns of care associated with race, ethnicity, and social determinants of health (to include socioeconomic status) in patients diagnosed with CUP and pancreatic cancer, especially those in younger age groups given increased incidence of pancreatic cancer in this population.

While SEER-Medicare data provided a robust sample size, there are limitations in this study. Our study population was limited to patients 65 years and older and did not include patients with private insurance coverage. However, the age range of an average patient with CUP is 80 years or older and the vast majority of patients 65 years and older are insured through Medicare (23). This study only investigated patients with a final metastatic pancreatic cancer diagnosis. It is also important to note clinicians may need to report a definitive diagnosis to justify treatment for insurance claims. Claims data for administrative and billing purposes might be inaccurate from a biological or clinical disease perspective.

There are significant deficiencies in the research of other CUP-primary site cancers, for example ovarian and lung cancers, as well as available studies comparing site-specific therapy and empiric chemotherapy (24). These deficiencies include limitations in recruitment methodology, study design, heterogeneity among the CUP classifiers (e.g., epigenetic vs. transcriptomic profiling), and incomparable therapies (24). An assessment of recently published CUP literature recommends two comprehensive clinical trial designs to address these limitations (24). Both designs are amenable to implementing the latest diagnostics and therapeutic advances to improve the quality of CUP research and the prognosis of many patients (24).

This brief report discusses patient characteristics associated with the definitive diagnosis of metastatic pancreatic cancer in patients who initially presented with CUP based on a large and representative population-based cohort. This profile elucidates that about a quarter of patients who initially present with CUP receive a definitive pancreatic cancer diagnosis and are typically older with a higher burden of comorbidities. These characteristics may contribute to delays in definitive diagnosis, thereby negatively affecting survival and quality of life. Future studies should focus on patterns of care and survival outcomes in patients who initially present with CUP with other primary site cancers.

Acknowledgements

Not applicable.

Funding

Funding: This work was supported by the National Institutes of Health (grant no. P30 CA042014-30).

Availability of data and materials

The data that support the findings of this study are available from the National Cancer Institute but restrictions apply to the availability of these data, which were used under license for the current study, and so are not publicly available. Data are however available from the authors upon reasonable request and with permission of the National Cancer Institute.

Authors' contributions

LLW was involved in study conceptualization, study design, data management, data programming, formal analysis, manuscript writing, manuscript review and editing, and funding acquisition. JSG was involved in study conceptualization, data management, data programming, manuscript review and editing, and funding acquisition. LE was involved in study design, and manuscript review and editing. ML was involved in formal analysis, and manuscript review and editing. LLW and JSG confirm the authenticity of all the raw data. All authors read and approved the final manuscript.

Ethics approval and consent to participate

Ethics approval was waived by the Institutional Review Board at University of Nevada, Reno in view of the retrospective nature of the study, citing SEER-Medicare data are exempt [CFR 46.104(4)].

Patient consent for publication

Not applicable.

Competing interests

The authors declare that they have no competing interests.

References

1 

National Cancer Institute (NCI). Cancer of unknown primary-health professional version. National Cancer Institute, 2017. https://www.cancer.gov/types/unknown-primary/hp.

2 

Pavlidis N and Pentheroudakis G: Cancer of unknown primary site. Lancet. 379:1428–1435. 2012.PubMed/NCBI View Article : Google Scholar

3 

Rassy E, Parent P, Lefort F, Boussios S, Baciarello G and Pavlidis N: New rising entities in cancer of unknown primary: Is there a real therapeutic benefit? Crit Rev Oncol Hematol. 147(102882)2020.PubMed/NCBI View Article : Google Scholar

4 

Schaffer AL, Pearson SA, Dobbins TA, Er CC, Ward RL and Vajdic CM: Patterns of care and survival after a cancer of unknown primary (CUP) diagnosis: A population-based nested cohort study in Australian government department of Veterans' Affairs clients. Cancer Epidemiol. 39:578–584. 2015.PubMed/NCBI View Article : Google Scholar

5 

Moran S, Martinez-Cardús A, Boussios S and Esteller M: Precision medicine based on epigenomics: The paradigm of carcinoma of unknown primary. Nat Rev Clin Oncol. 14:682–694. 2017.PubMed/NCBI View Article : Google Scholar

6 

American Cancer Society (ACS). Key statistics for pancreatic cancer. American Cancer Society, 2020. https://www.cancer.org/cancer/pancreatic-cancer/about/key-statistics.html#references.

7 

Henrikson NB, Aiello Bowles EJ, Blasi PR, Morrison CC, Nguyen M, Pillarisetty VG and Lin JS: Screening for pancreatic cancer: Updated evidence report and systematic review for the US preventive services task force. JAMA. 322:445–454. 2019.PubMed/NCBI View Article : Google Scholar

8 

Khalaf N, El-Serag HB, Abrams HR and Thrift AP: Burden of pancreatic cancer: From epidemiology to practice. Clin Gastroenterol Hepatol. 19:876–884. 2021.PubMed/NCBI View Article : Google Scholar

9 

Zhang Q, Zeng L, Chen Y, Lian G, Qian C, Chen S, Li J and Huang K: Pancreatic cancer epidemiology, detection, and management. Gastroenterol Res Pract. 2016(8962321)2016.PubMed/NCBI View Article : Google Scholar

10 

Sève P, Mackey J, Sawyer M, Lesimple T, de La Fouchardière C, Broussolle C, Dumontet C and Ray-Coquard I: Impact of clinical practice guidelines on the management for carcinomas of unknown primary site: A controlled ‘before-after’ study. Bull Cancer. 96:E7–E17. 2009.PubMed/NCBI View Article : Google Scholar

11 

Pentheroudakis G, Stahel R, Hansen H and Pavlidis N: Heterogeneity in cancer guidelines: Should we eradicate or tolerate? Ann Oncol. 19:2067–2078. 2008.PubMed/NCBI View Article : Google Scholar

12 

Smith-Gagen J, Drake CM, White LL and Pinheiro PS: Extent of diagnostic inquiry among a population-based cohort of patients with cancer of unknown primary. Cancer Rep Rev. 3:2019.PubMed/NCBI View Article : Google Scholar

13 

Klabunde CN, Warren JL and Legler JM: Assessing comorbidity using claims data: An overview. Med Care. 40 (8 Suppl):IV26–IV35. 2002.PubMed/NCBI View Article : Google Scholar

14 

Department of Health Pharmaceutical Oncology Initiative (DHPOI). The impact of patient age on clinical decision-making in oncology. London, UK: Department of Health, 2012.

15 

Massarweh NN, Park JO, Bruix J, Yeung RS, Etzioni RB, Symons RG, Baldwin LM and Flum DR: Diagnostic imaging and biopsy use among elderly medicare beneficiaries with hepatocellular carcinoma. J Oncol Pract. 7:155–160. 2011.PubMed/NCBI View Article : Google Scholar

16 

Schaffer AL, Pearson SA, Perez-Concha O, Dobbins T, Ward RL, van Leeuwen MT, Rhee JJ, Laaksonen MA, Craigen G and Vajdic CM: Diagnostic and health service pathways to diagnosis of cancer-registry notified cancer of unknown primary site (CUP). PLoS One. 15(e0230373)2020.PubMed/NCBI View Article : Google Scholar

17 

Jones W, Allardice G, Scott I, Oien K, Brewster D and Morrison DS: Cancers of unknown primary diagnosed during hospitalization: A population-based study. BMC Cancer. 17(85)2017.PubMed/NCBI View Article : Google Scholar

18 

Rassy E and Pavlidis N: The currently declining incidence of cancer of unknown primary. Cancer Epidemiol. 61:139–141. 2019.PubMed/NCBI View Article : Google Scholar

19 

Pavlidis N, Rassy E and Smith-Gagen J: Cancer of unknown primary: Incidence rates, risk factors and survival among adolescents and young adults. Int J Cancer. 146:1490–1498. 2020.PubMed/NCBI View Article : Google Scholar

20 

Noel M and Fiscella K: Disparities in pancreatic cancer treatment and outcomes. Health Equity. 3:532–540. 2019.PubMed/NCBI View Article : Google Scholar

21 

Tavakkoli A, Singal AG, Waljee AK, Elmunzer BJ, Pruitt SL, McKey T, Rubenstein JH, Scheiman JM and Murphy CC: Racial disparities and trends in pancreatic cancer incidence and mortality in the United States. Clin Gastroenterol Hepatol. 18:171–178.e10. 2020.PubMed/NCBI View Article : Google Scholar

22 

Zhou H, Zhang Y, Wei X, Yang K, Tan W, Qiu Z, Li S, Chen Q, Song Y and Gao S: Racial disparities in pancreatic neuroendocrine tumors survival: A SEER study. Cancer Med. 6:2745–2756. 2017.PubMed/NCBI View Article : Google Scholar

23 

Federal Interagency Forum (FIF) on Aging-Related Statistics. Older Americans: Key indicators of well-being. U.S. Government Printing Office, 2015.

24 

Rassy E, Labaki C, Chebel R, Boussios S, Smith-Gagen J, Greco FA and Pavlidis N: Systematic review of the CUP trials characteristics and perspectives for next-generation studies. Cancer Treat Rev. 107(102407)2022.PubMed/NCBI View Article : Google Scholar

Related Articles

  • Abstract
  • View
  • Download
  • Twitter
Copy and paste a formatted citation
Spandidos Publications style
White LL, Smith‑Gagen J, Elliott L and Lu M: Patient characteristics associated with definitive diagnosis of metastatic pancreatic cancer in those initially diagnosed with cancer of unknown primary. Mol Clin Oncol 19: 101, 2023.
APA
White, L.L., Smith‑Gagen, J., Elliott, L., & Lu, M. (2023). Patient characteristics associated with definitive diagnosis of metastatic pancreatic cancer in those initially diagnosed with cancer of unknown primary. Molecular and Clinical Oncology, 19, 101. https://doi.org/10.3892/mco.2023.2697
MLA
White, L. L., Smith‑Gagen, J., Elliott, L., Lu, M."Patient characteristics associated with definitive diagnosis of metastatic pancreatic cancer in those initially diagnosed with cancer of unknown primary". Molecular and Clinical Oncology 19.6 (2023): 101.
Chicago
White, L. L., Smith‑Gagen, J., Elliott, L., Lu, M."Patient characteristics associated with definitive diagnosis of metastatic pancreatic cancer in those initially diagnosed with cancer of unknown primary". Molecular and Clinical Oncology 19, no. 6 (2023): 101. https://doi.org/10.3892/mco.2023.2697
Copy and paste a formatted citation
x
Spandidos Publications style
White LL, Smith‑Gagen J, Elliott L and Lu M: Patient characteristics associated with definitive diagnosis of metastatic pancreatic cancer in those initially diagnosed with cancer of unknown primary. Mol Clin Oncol 19: 101, 2023.
APA
White, L.L., Smith‑Gagen, J., Elliott, L., & Lu, M. (2023). Patient characteristics associated with definitive diagnosis of metastatic pancreatic cancer in those initially diagnosed with cancer of unknown primary. Molecular and Clinical Oncology, 19, 101. https://doi.org/10.3892/mco.2023.2697
MLA
White, L. L., Smith‑Gagen, J., Elliott, L., Lu, M."Patient characteristics associated with definitive diagnosis of metastatic pancreatic cancer in those initially diagnosed with cancer of unknown primary". Molecular and Clinical Oncology 19.6 (2023): 101.
Chicago
White, L. L., Smith‑Gagen, J., Elliott, L., Lu, M."Patient characteristics associated with definitive diagnosis of metastatic pancreatic cancer in those initially diagnosed with cancer of unknown primary". Molecular and Clinical Oncology 19, no. 6 (2023): 101. https://doi.org/10.3892/mco.2023.2697
Follow us
  • Twitter
  • LinkedIn
  • Facebook
About
  • Spandidos Publications
  • Careers
  • Cookie Policy
  • Privacy Policy
How can we help?
  • Help
  • Live Chat
  • Contact
  • Email to our Support Team