Spandidos Publications Logo
  • About
    • About Spandidos
    • Aims and Scopes
    • Abstracting and Indexing
    • Editorial Policies
    • Reprints and Permissions
    • Job Opportunities
    • Terms and Conditions
    • Contact
  • Journals
    • All Journals
    • Oncology Letters
      • Oncology Letters
      • Information for Authors
      • Editorial Policies
      • Editorial Board
      • Aims and Scope
      • Abstracting and Indexing
      • Bibliographic Information
      • Archive
    • International Journal of Oncology
      • International Journal of Oncology
      • Information for Authors
      • Editorial Policies
      • Editorial Board
      • Aims and Scope
      • Abstracting and Indexing
      • Bibliographic Information
      • Archive
    • Molecular and Clinical Oncology
      • Molecular and Clinical Oncology
      • Information for Authors
      • Editorial Policies
      • Editorial Board
      • Aims and Scope
      • Abstracting and Indexing
      • Bibliographic Information
      • Archive
    • Experimental and Therapeutic Medicine
      • Experimental and Therapeutic Medicine
      • Information for Authors
      • Editorial Policies
      • Editorial Board
      • Aims and Scope
      • Abstracting and Indexing
      • Bibliographic Information
      • Archive
    • International Journal of Molecular Medicine
      • International Journal of Molecular Medicine
      • Information for Authors
      • Editorial Policies
      • Editorial Board
      • Aims and Scope
      • Abstracting and Indexing
      • Bibliographic Information
      • Archive
    • Biomedical Reports
      • Biomedical Reports
      • Information for Authors
      • Editorial Policies
      • Editorial Board
      • Aims and Scope
      • Abstracting and Indexing
      • Bibliographic Information
      • Archive
    • Oncology Reports
      • Oncology Reports
      • Information for Authors
      • Editorial Policies
      • Editorial Board
      • Aims and Scope
      • Abstracting and Indexing
      • Bibliographic Information
      • Archive
    • Molecular Medicine Reports
      • Molecular Medicine Reports
      • Information for Authors
      • Editorial Policies
      • Editorial Board
      • Aims and Scope
      • Abstracting and Indexing
      • Bibliographic Information
      • Archive
    • World Academy of Sciences Journal
      • World Academy of Sciences Journal
      • Information for Authors
      • Editorial Policies
      • Editorial Board
      • Aims and Scope
      • Abstracting and Indexing
      • Bibliographic Information
      • Archive
    • International Journal of Functional Nutrition
      • International Journal of Functional Nutrition
      • Information for Authors
      • Editorial Policies
      • Editorial Board
      • Aims and Scope
      • Abstracting and Indexing
      • Bibliographic Information
      • Archive
    • International Journal of Epigenetics
      • International Journal of Epigenetics
      • Information for Authors
      • Editorial Policies
      • Editorial Board
      • Aims and Scope
      • Abstracting and Indexing
      • Bibliographic Information
      • Archive
    • Medicine International
      • Medicine International
      • Information for Authors
      • Editorial Policies
      • Editorial Board
      • Aims and Scope
      • Abstracting and Indexing
      • Bibliographic Information
      • Archive
  • Articles
  • Information
    • Information for Authors
    • Information for Reviewers
    • Information for Librarians
    • Information for Advertisers
    • Conferences
  • Language Editing
Spandidos Publications Logo
  • About
    • About Spandidos
    • Aims and Scopes
    • Abstracting and Indexing
    • Editorial Policies
    • Reprints and Permissions
    • Job Opportunities
    • Terms and Conditions
    • Contact
  • Journals
    • All Journals
    • Biomedical Reports
      • Information for Authors
      • Editorial Policies
      • Editorial Board
      • Aims and Scope
      • Abstracting and Indexing
      • Bibliographic Information
      • Archive
    • Experimental and Therapeutic Medicine
      • Information for Authors
      • Editorial Policies
      • Editorial Board
      • Aims and Scope
      • Abstracting and Indexing
      • Bibliographic Information
      • Archive
    • International Journal of Epigenetics
      • Information for Authors
      • Editorial Policies
      • Editorial Board
      • Aims and Scope
      • Abstracting and Indexing
      • Bibliographic Information
      • Archive
    • International Journal of Functional Nutrition
      • Information for Authors
      • Editorial Policies
      • Editorial Board
      • Aims and Scope
      • Abstracting and Indexing
      • Bibliographic Information
      • Archive
    • International Journal of Molecular Medicine
      • Information for Authors
      • Editorial Policies
      • Editorial Board
      • Aims and Scope
      • Abstracting and Indexing
      • Bibliographic Information
      • Archive
    • International Journal of Oncology
      • Information for Authors
      • Editorial Policies
      • Editorial Board
      • Aims and Scope
      • Abstracting and Indexing
      • Bibliographic Information
      • Archive
    • Medicine International
      • Information for Authors
      • Editorial Policies
      • Editorial Board
      • Aims and Scope
      • Abstracting and Indexing
      • Bibliographic Information
      • Archive
    • Molecular and Clinical Oncology
      • Information for Authors
      • Editorial Policies
      • Editorial Board
      • Aims and Scope
      • Abstracting and Indexing
      • Bibliographic Information
      • Archive
    • Molecular Medicine Reports
      • Information for Authors
      • Editorial Policies
      • Editorial Board
      • Aims and Scope
      • Abstracting and Indexing
      • Bibliographic Information
      • Archive
    • Oncology Letters
      • Information for Authors
      • Editorial Policies
      • Editorial Board
      • Aims and Scope
      • Abstracting and Indexing
      • Bibliographic Information
      • Archive
    • Oncology Reports
      • Information for Authors
      • Editorial Policies
      • Editorial Board
      • Aims and Scope
      • Abstracting and Indexing
      • Bibliographic Information
      • Archive
    • World Academy of Sciences Journal
      • Information for Authors
      • Editorial Policies
      • Editorial Board
      • Aims and Scope
      • Abstracting and Indexing
      • Bibliographic Information
      • Archive
  • Articles
  • Information
    • For Authors
    • For Reviewers
    • For Librarians
    • For Advertisers
    • Conferences
  • Language Editing
Login Register Submit
  • This site uses cookies
  • You can change your cookie settings at any time by following the instructions in our Cookie Policy. To find out more, you may read our Privacy Policy.

    I agree
Search articles by DOI, keyword, author or affiliation
Search
Advanced Search
presentation
Biomedical Reports
Join Editorial Board Propose a Special Issue
Print ISSN: 2049-9434 Online ISSN: 2049-9442
Journal Cover
July-August 2014 Volume 2 Issue 4

Full Size Image

Sign up for eToc alerts
Recommend to Library

Journals

International Journal of Molecular Medicine

International Journal of Molecular Medicine

International Journal of Molecular Medicine is an international journal devoted to molecular mechanisms of human disease.

International Journal of Oncology

International Journal of Oncology

International Journal of Oncology is an international journal devoted to oncology research and cancer treatment.

Molecular Medicine Reports

Molecular Medicine Reports

Covers molecular medicine topics such as pharmacology, pathology, genetics, neuroscience, infectious diseases, molecular cardiology, and molecular surgery.

Oncology Reports

Oncology Reports

Oncology Reports is an international journal devoted to fundamental and applied research in Oncology.

Experimental and Therapeutic Medicine

Experimental and Therapeutic Medicine

Experimental and Therapeutic Medicine is an international journal devoted to laboratory and clinical medicine.

Oncology Letters

Oncology Letters

Oncology Letters is an international journal devoted to Experimental and Clinical Oncology.

Biomedical Reports

Biomedical Reports

Explores a wide range of biological and medical fields, including pharmacology, genetics, microbiology, neuroscience, and molecular cardiology.

Molecular and Clinical Oncology

Molecular and Clinical Oncology

International journal addressing all aspects of oncology research, from tumorigenesis and oncogenes to chemotherapy and metastasis.

World Academy of Sciences Journal

World Academy of Sciences Journal

Multidisciplinary open-access journal spanning biochemistry, genetics, neuroscience, environmental health, and synthetic biology.

International Journal of Functional Nutrition

International Journal of Functional Nutrition

Open-access journal combining biochemistry, pharmacology, immunology, and genetics to advance health through functional nutrition.

International Journal of Epigenetics

International Journal of Epigenetics

Publishes open-access research on using epigenetics to advance understanding and treatment of human disease.

Medicine International

Medicine International

An International Open Access Journal Devoted to General Medicine.

Journal Cover
July-August 2014 Volume 2 Issue 4

Full Size Image

Sign up for eToc alerts
Recommend to Library

  • Article
  • Citations
    • Cite This Article
    • Download Citation
    • Create Citation Alert
    • Remove Citation Alert
    • Cited By
  • Similar Articles
    • Related Articles (in Spandidos Publications)
    • Similar Articles (Google Scholar)
    • Similar Articles (PubMed)
  • Download PDF
  • Download XML
  • View XML
Article

Analgesic effects of naringenin in rats with spinal nerve ligation‑induced neuropathic pain

  • Authors:
    • Chuan Yin Hu
    • Yun‑Tao Zhao
  • View Affiliations / Copyright

    Affiliations: Department of Biology, Guangdong Medical College, Zhanjiang, Guangdong 524023, P.R. China, Modern Biochemistry Center, Guangdong Ocean University, Zhanjiang, Guangdong 524088, P.R. China
  • Pages: 569-573
    |
    Published online on: March 31, 2014
       https://doi.org/10.3892/br.2014.267
  • Expand metrics +
Metrics: Total Views: 0 (Spandidos Publications: | PMC Statistics: )
Metrics: Total PDF Downloads: 0 (Spandidos Publications: | PMC Statistics: )
Cited By (CrossRef): 0 citations Loading Articles...

This article is mentioned in:



Abstract

Naringenin, a flavonoid abundant in citrus fruits, such as grapefruits, has been reported to possess anti‑inflammatory properties. The present study aimed to investigate the analgesic potential of naringenin in L5 spinal nerve ligation (SNL)‑induced peripheral neuropathic pain and the underlying mechanisms associated with neuroinflammation. Different doses of naringenin or saline were administered intrathecally once daily for 11 consecutive days, from 3 days prior to surgery to 7 days after surgery. Pain development was assessed 1 day prior to and 7‑14 days after surgery in terms of mechanical withdrawal threshold and thermal withdrawal latency. Astrocytic and microglial activation and production of inflammatory mediators were determined on day 14 after surgery. The results demonstrated that naringenin dose‑dependently attenuated the mechanical allodynia and thermal hyperalgesia induced by SNL. Furthermore, naringenin significantly inhibited SNL‑induced activation of glial cells (astrocytes and microglia). Morover, the upregulated expression of inflammatory mediators in neuropathic pain was significantly inhibited by naringenin. Our findings suggested that repeated administration of naringenin may alleviate neuropathic pain, possibly through inhibiting neuroinflammation.

Introduction

Neuropathic pain, caused by lesions to the somatosensory nervous system, in either the peripheral or the central components, is a major cause of distress in patients. The currently available analgesic drugs used for the treatment of chronic pain are not particularly effective in such cases, in part due to our incomplete understanding of the mechanisms underlying the development and maintenance of neuropathic pain. Substantial evidence has established that neuroinflammation, involving the activation of glia and the release of inflammatory mediators, contributes to neuropathic pain (1–3). Following nerve injury, inflammatory mediators are released from primary afferent terminals into the spinal cord and glial cells (microglia and astrocytes) in the spinal dorsal horn are activated by several inflammatory molecules. Glial activation leads to pro-inflammatory responses with pathological effects, such as neuronal hyperexcitability, neurotoxicity and chronic inflammation, resulting in neuropathic pain (4).

Naringenin and its glycoside naringin are flavonoids abundant in grapefruit and other citrus fruits and juices (5). Naringin is metabolised to naringenin (4′,5,7-trihydroxyflavanone), which readily crosses the blood brain barrier (6). Previous studies demonstrated that naringenin and naringin attenuate the release of lipopolysaccharide-induced pro-inflammatory mediators in vitro (7–9) and in vivo (10). It was suggested that naringenin and naringin exert anti-inflammatory and neuroprotective effects and may be of therapeutic value in various neurodegenerative diseases. Naringin was previously reported to improve long-term learning and memory ability in a mouse model of Alzheimer’s disease (11). Furthermore, naringin was shown to reduce cognitive deficits in kainic acid-induced status epilepticus models (12) and 3-nitropropionic acid-induced Huntington’s disease models (13). In addition, treatment with naringin was found to inhibit diabetes-induced neuropathic pain (14). However, the potential effects of naringenin on nerve injury-induced neuropathic pain have not been investigated. Using a rat model of neuropathic pain following L5 spinal nerve ligation (SNL), the present study was undertaken to investigate the role of naringenin administered intrathecally in pain behaviors, pro-inflammatory cytokine and chemokine production, as well as glial activation.

Materials and methods

Experimental animals

Male Sprague-Dawley rats, weighing 220–250 g, were housed in a temperature-controlled room in plastic cages with free access to food and water at 22–25°C on a 12-h light/dark cycle. All the experimental protocols described in this study were approved by the regulations stipulated by Guangdong Medical College Animal Care Committee, which follows the protocol outlined in the Guide for the Care and Use of Laboratory Animals published by the US National Institute of Health (NIH publication no. 85–23, revised in 1985).

SNL neuropathic pain model

Peripheral nerve injury was produced by SNL according to a previously described method (15). Briefly, under chloral hydrate anesthesia (300 mg/kg, intraperitoneally; Sigma-Aldrich, St. Louis, MO, USA), the dorsal vertebral column was surgically exposed from L4 to L6. The paraspinal muscles were separated from the spinal processes at the L4–L6 level and the L5 transverse process was carefully removed. The right L5 spinal nerves were exposed and tightly ligated distal to the dorsal root ganglion using 6–0 silk thread. The same procedure was followed in the sham-operated group, without ligation of the L5 spinal nerve.

Drug administration

Under chloral hydrate anesthesia (300 mg/kg, intraperitoneally), the rats were implanted with a PE-10 intrathecal catheter (BD Biosciences, Bedford, MA, USA) in the lumbar enlargement (close to the L4–L5 segments) for intrathecal drug administration. Following a 7-day recovery, the catheter placement was verified by observing transient hind paw paralysis induced by intrathecal injection of lidocaine (2%, 5 μl). Animals that failed to show any paralysis were excluded from the experiments. Naringenin (Sigma-Aldrich) was dissolved in 5% dimethyl sulfoxide and then diluted with 0.9% (w/v) saline solution. The animals were divided into 5 groups for administration: the sham-vehicle group (10 μl normal saline was injected into sham-operated rats) and SNL rats receiving treatment with naringenin (50, 100 and 200 mg/kg) or vehicle (10 μl normal saline) once daily, from 3 days prior to surgery to 7 days after the surgery (n=6 rats per treatment group).

Mechanical and thermal sensitivity measurement

Mechanical allodynia was assessed using von Frey filaments (Stoelting, Kiel, WI, USA) by experimenters who were blinded to group assignment. The ipsilateral hind paw was pressed with one of a series of von Frey filaments with gradually increasing stiffness (2, 4, 6, 8, 10, 15 and 20 g) applied to the plantar surface for 5–6 seconds for each filament. A positive paw withdrawal response was recorded if the animal briskly lifted the hind paw. The interval between trials was ≥5 min. For each trial, the same hind limb was stimulated 10 times by a single von Frey filament prior to stimulation by the next larger filament. The minimal value that resulted in ≥6 responses to 10 stimulations was recorded. To assess thermal sensitivity, paw withdrawal latencies to a radiant heat stimulus were measured using the paw flick test apparatus (IITC Life Science, Woodland Hills, CA, USA). The thermal withdrawal latency was recorded as the threshold of thermal sensitivity. Each hind paw was tested 5 times at 5-min intervals.

Tissue harvest

Following completion of the behavioral tests on day 14 postoperatively, the rats were deeply anesthetized and then perfused intracardially with 250 ml cold saline. The ipsilateral L4–L5 spinal cord tissue rostral to the injury site was removed, dissected while on cold ice, removed quickly and placed in liquid nitrogen for subsequent assays.

Quantitative reverse transcription-polymerase chain reaction (qRT-PCR)

Glial fibrillary acidic protein (GFAP) and macrophage antigen-1 (Mac-1) were used as markers of astrocytic and microglial activation, respectively. The rats were deeply anesthetized with chloral hydrate (300 mg/kg) and perfused transcardially with phosphate-buffered saline (pH 7.4) followed by 4% paraformaldehyde. Total RNA from the L5 spinal segments was extracted with TRIzol (Gibco-BRL Life Technologies Inc., Grand Island, NY, USA). Complementary DNA (cDNA) was synthesized with Oligo(dT) 12–18 using SuperScript®III Reverse Transcriptase for qRT-PCR (Invitrogen Life Technologies, Carlsbad, CA, USA). The sense primer for GFAP was 5′-GCTGGAGCA AGACAAACATTC-3′ and the antisense primer was 5′-CCC TACCCACTCCTACATCGT-3′. The sense primer for Mac-1 was 5′-TGGCTGCTACTACCGTCCCT-3′ and the antisense primer was 5′-CAGGTTGGAGCCGAATAGGT-3′. The sense primer for GAPDH was 5′-CCCCCAATG TATCCGTTGTG-3′ and the antisense primer was 5′-TAGCCCAGGATGCCCTTTAGT-3′. Equal amounts of RNA (1 μg) were used to prepare cDNA using SYBR® Premix Ex Taq™ (Takara Bio, Inc., Tokyo, Japan) and analysed with a qRT-PCR detection system (Applied Biosystems, Foster City, CA, USA). All the values were normalized to GAPDH expression.

ELISA

The spinal production of tumor necrosis factor-α (TNF-α), interleukin-1β (IL-1β) and monocyte chemoattractant protein-1 (MCP-1) was quantified by ELISA kits for rats according to the manufacturer’s instructions (BioSource International, Camarillo, CA, USA for IL-1β; R&D Systems, Minneapolis, MN, USA for TNF-α; and BioLegend, San Diego, CA, USA for MCP-1). The values were expressed as pg/mg protein.

Statistical analysis

The values are presented as means ± standard error of the mean (SEM). For behavioral data, the comparisons were performed using repeated measures of analysis of variance (ANOVA). For other data, comparisons were performed using ANOVA followed by Bonferroni tests. Data were analyzed using SPSS 13.0 software (SPSS, Inc., Chicago, IL, USA). P<0.05 was considered to indicate a statistically significant difference.

Results

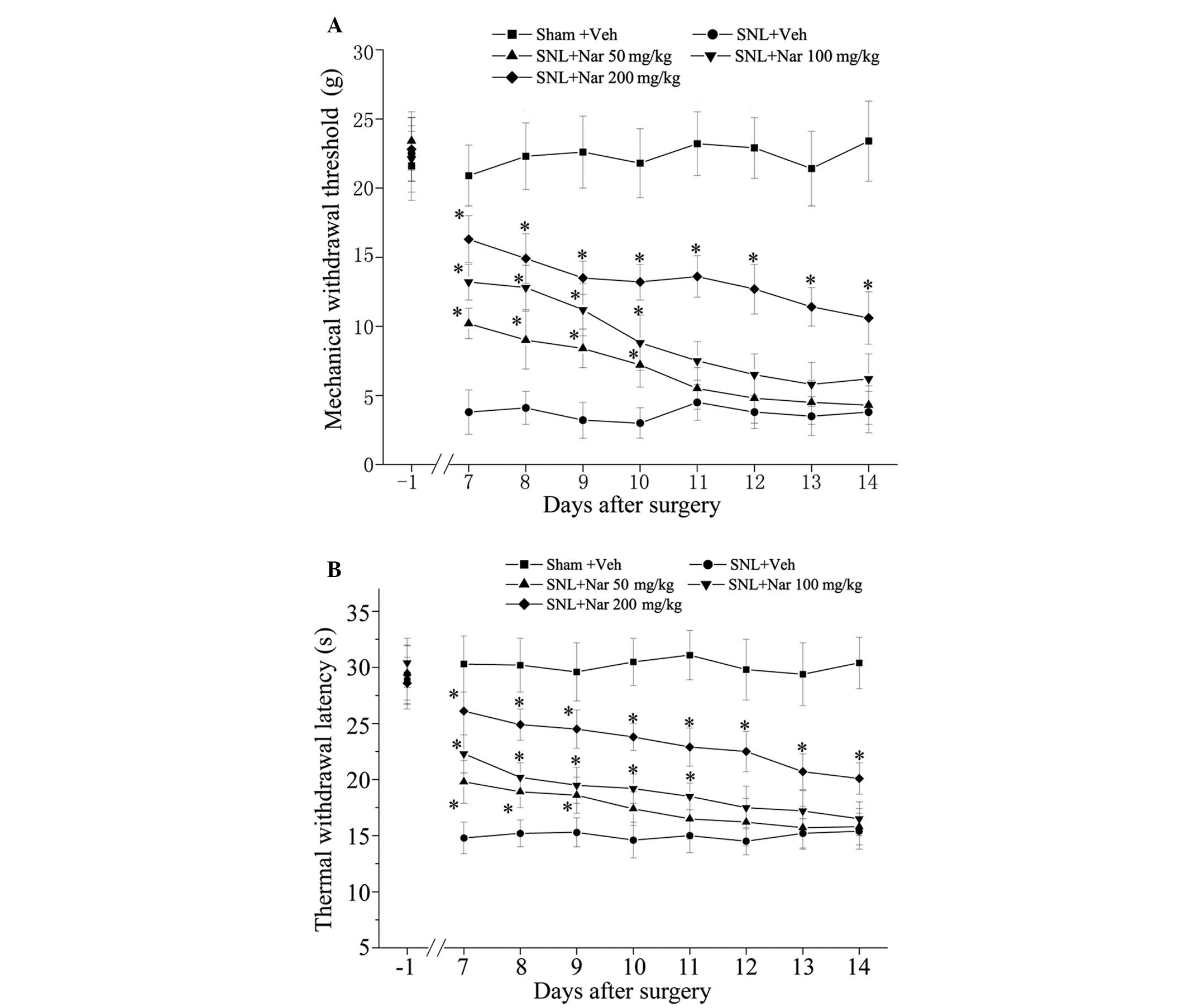
Naringenin dose-dependently attenuates SNL-induced mechanical allodynia and thermal hypersensitivity

To determine whether naringenin prevents the development of mechanical allodynia and thermal hypersensitivity, different doses of naringenin (50, 100 and 200 mg/kg) were administered intrathecally for 11 days, from 3 days prior to surgery to 7 days after surgery and behavioral tests were performed. We observed that the SNL injury resulted in prominent mechanical allodynia and thermal hypersensitivity, as shown in the SNL + Veh group. Repeated intrathecal administration of naringenin produced a dose-dependent reduction of SNL-induced mechanical hyperalgesia and thermal hypersensitivity, as shown in Fig. 1. Furthermore, the analgesic effects of 200 mg/kg naringenin were prominent.

Figure 1

Repeated administration of naringenin (Nar) prevented spinal nerve ligation (SNL)-induced mechanical allodynia and thermal hyperalgesia. SNL injury resulted in (A) prominent mechanical allodynia and (B) thermal hyperalgesia on day 7 after surgery. The intrathecal administration of Nar (50, 100 or 200 mg/kg, once per day, from 3 days prior to surgery to 7 days after surgery) significantly inhibited SNL-induced mechanical allodynia and thermal hyperalgesia in a dose-dependent manner. The values are expressed as means ± standard error of the mean (n=6). *P<0.05, compared to the SNL + vehicle (Veh) group.

Effects of naringenin on glial activation markers

We investigated GFAP and Mac-1 expression on day 14 after surgery in various groups to identify whether the analgesic effects of naringenin were accompanied by inhibition of glial activation. Compared to the sham group, the expression of GFAP and Mac-1 was significantly increased in the SNL + Veh group. Following treatment with naringenin, glial GFAP and Mac-1 expression levels were significantly decreased compared to those in the SNL + Veh group, although they remained higher compared to those in the sham rats. In particular, 200 mg/kg naringenin exerted significant inhibitory effects (Fig 2).

Figure 2

Naringenin (Nar) prevents spinal nerve ligation (SNL)-induced spinal glial activation. The expression of (A) astrocytic marker glial fibrillary acidic protein (GFAP) and (B) microglial marker macrophage antigen-1 (Mac-1) were measured by quantitative reverse trancription-polymerase chain reactions in the lumbar spinal cord of rats on day 14 after surgery. SNL increased GFAP and Mac-1 expression, whereas Nar dose-dependently downregulated the expression of these markers. The values are expressed as means ± standard error of the mean (n=6). *P<0.05 compared to the sham + vehicle (Veh) group. #P<0.05 compared to the SNL + Veh group.

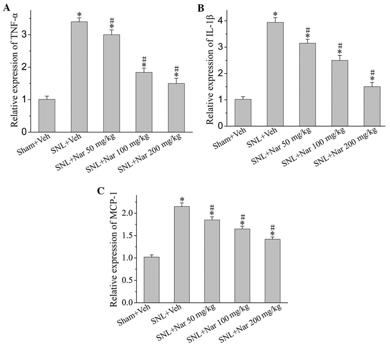
Effects of naringenin on SNL-induced elevated pro-inflammatory cytokine and chemokine expression

SNL-induced neuropathic pain was associated with a marked increase in the protein levels of pro-inflammatory cytokines and chemokines, such as TNF-α, IL-1β and MCP-1. However, intrathecal naringenin administration achieved a significant decrease in the release of these pro-inflammatory cytokines and chemokines in a dose-dependent manner (Fig 3).

Figure 3

Effects of intrathecal naringenin (Nar) on pro-inflammatory cytokine levels. The protein levels of the pro-inflammatory cytokines (A) tumor necrosis factor-α (TNF-α), (B) interleukin-1β (IL-1β) and (C) monocyte chemoattractant protein-1 (MCP-1) were determined in the spinal dorsal horn of rats in different treatments groups using ELISA. Nar significantly prevented spinal nerve ligation (SNL)-induced increases in the levels of these inflammatory mediators. The values are expressed as means ± standard error of the mean (n=6). *P<0.05 compared to the sham + vehicle (Veh) group. #P<0.05 compared to the SNL + Veh group. The levels of the pro-inflammatory cytokines are expressed as relative fold-changes compared to the sham + Veh group.

Discussion

In the present study, we investigated the analgesic effect of naringenin on the development of neuropathic pain and the possible underlying mechanisms. Our data demonstrated that repeated intrathecal administration of naringenin was able to dose-dependently attenuate mechanical allodynia and thermal hyperalgesia induced by SNL. Moreover, naringenin significantly inhibited peripheral neuropathy-induced spinal astrocytic and microglial activation. Furthermore, the synthesis of pro-inflammatory mediators in the spinal cord of neuropathic rats was suppressed by naringenin. These results suggested that naringenin prevents the development of neuropathic pain, possibly through inhibition of neuroinflammation.

Neuroinflammation is crucial in the pathogenesis of neuropathic pain (2). In the present study, the astrocytes marked by GFAP and microglia marked by Mac-1 were highly activated following SNL, which was consistent with the findings of previous studies (16–18). However, the astrocyte and microglial activation was suppressed by naringenin and this suppressive effect appeared to be parallel to the effect of naringenin on mechanical allodynia and thermal hyperalgesia. The release of multiple pro-inflammatory mediators from the activated glia (19) leads to a long-term alteration of synaptic transmission in the central nervous system and plays a key role in the development of neuropathic pain (20). In this study, naringenin suppressed the increase in the spinal TNF-α, IL-1β and MCP-1 levels in rats following SNL, which was consistent with the effects of naringenin on mechanical allodynia and thermal hyperalgesia.

Naringin and naringenin exert a potent anti-inflammatory effect and have been used successfully in the treatment of inflammatory diseases, such as Alzheimer’s disease (11). In the present study, we observed that repeated administration of naringenin was able to alleviate neuropathic pain in a dose-dependent manner. Furthermore, the anti-allodynia effect of naringenin (200 mg/kg) remained significant 7 days after discontinuation of the treatment. These data suggest that intrathecal treatment with naringenin exerts a strong antinociceptive effect. Once this effect is achieved, it may last over a long period of time. This characteristic indicates that naringenin may be suitable for the long-term treatment of chronic pain. Moreover, naringenin penetrates the blood brain barrier easily. Therefore, naringenin may be a useful drug in the treatment of neuropathic pain.

Acknowledgements

This study was supported by grants from the Doctoral Program of Guangdong Medical College, China (no. XB1021) and the Breeding Project of the Education Department of Guangdong Province, China (no. LYM10084).

References

1 

Jha MK, Jeon S and Suk K: Glia as a link between neuroinflammation and neuropathic pain. Immune Netw. 12:41–47. 2012. View Article : Google Scholar : PubMed/NCBI

2 

Kiguchi N, Kobayashi Y and Kishioka S: Chemokines and cytokines in neuroinflammation leading to neuropathic pain. Curr Opin Pharmacol. 12:55–61. 2012. View Article : Google Scholar : PubMed/NCBI

3 

Ren K and Dubner R: Interactions between the immune and nervous systems in pain. Nat Med. 16:1267–1276. 2010. View Article : Google Scholar : PubMed/NCBI

4 

Milligan ED and Watkins LR: Pathological and protective roles of glia in chronic pain. Nat Rev Neurosci. 10:23–36. 2009. View Article : Google Scholar : PubMed/NCBI

5 

Hare JT and Elliott DP: Grapefruit juice and potential drug interactions. Consult Pharm. 18:466–472. 2003.PubMed/NCBI

6 

Zbarsky V, Datla KP, Parkar S, Rai DK, Aruoma OI and Dexter DT: Neuroprotective properties of the natural phenolic antioxidants curcumin and naringenin but not quercetin and fisetin in a 6-OHDA model of Parkinson’s disease. Free Radic Res. 39:1119–1125. 2005.PubMed/NCBI

7 

Kanno S, Shouji A, Tomizawa A, Hiura T, Osanai Y, Ujibe M, Obara Y, Nakahata N and Ishikawa M: Inhibitory effect of naringin on lipopolysaccharide (LPS)-induced endotoxin shock in mice and nitric oxide production in RAW 264.7 macrophages. Life Sci. 78:673–681. 2006. View Article : Google Scholar : PubMed/NCBI

8 

Bodet C, La VD, Epifano F and Grenier D: Naringenin has anti-inflammatory properties in macrophage and ex vivo human whole-blood models. J Periodontal Res. 43:400–407. 2008. View Article : Google Scholar : PubMed/NCBI

9 

Park HY, Kim GY and Choi YH: Naringenin attenuates the release of pro-inflammatory mediators from lipopolysaccharide-stimulated BV2 microglia by inactivating nuclear factor-κB and inhibiting mitogen-activated protein kinases. Int J Mol Med. 30:204–210. 2012.PubMed/NCBI

10 

Shiratori K, Ohgami K, Ilieva I, Jin XH, Yoshida K, Kase S and Ohno S: The effects of naringin and naringenin on endotoxin-induced uveitis in rats. J Ocul Pharmacol Ther. 21:298–304. 2005. View Article : Google Scholar : PubMed/NCBI

11 

Wang D, Gao K, Li X, Shen X, Zhang X, Ma C, Qin C and Zhang L: Long-term naringin consumption reverses a glucose uptake defect and improves cognitive deficits in a mouse model of Alzheimer’s disease. Pharmacol Biochem Behav. 102:13–20. 2012.PubMed/NCBI

12 

Golechha M, Chaudhry U, Bhatia J, Saluja D and Arya DS: Naringin protects against kainic acid-induced status epilepticus in rats: evidence for an antioxidant, anti-inflammatory and neuroprotective intervention. Biol Pharm Bull. 34:360–365. 2011. View Article : Google Scholar

13 

Kumar P and Kumar A: Protective effect of hesperidin and naringin against 3-nitropropionic acid induced Huntington’s like symptoms in rats: possible role of nitric oxide. Behav Brain Res. 206:38–46. 2010.PubMed/NCBI

14 

Kandhare AD, Raygude KS, Ghosh P, Ghule AE and Bodhankar SL: Neuroprotective effect of naringin by modulation of endogenous biomarkers in streptozotocin induced painful diabetic neuropathy. Fitoterapia. 83:650–659. 2012. View Article : Google Scholar : PubMed/NCBI

15 

Kim SH and Chung JM: An experimental model for peripheral neuropathy produced by segmental spinal nerve ligation in the rat. Pain. 50:355–363. 1992. View Article : Google Scholar

16 

Feng X, Zhang F, Dong R, Li W, Liu J, Zhao X, Xue Q, Yu B and Xu J: Intrathecal administration of clonidine attenuates spinal neuroimmune activation in a rat model of neuropathic pain with existing hyperalgesia. Eur J Pharmacol. 614:38–43. 2009. View Article : Google Scholar : PubMed/NCBI

17 

Morgenweck J, Griggs RB, Donahue RR, Zadina JE and Taylor BK: PPARgamma activation blocks development and reduces established neuropathic pain in rats. Neuropharmacology. 70:236–246. 2013. View Article : Google Scholar : PubMed/NCBI

18 

Chen Y, Willcockson HH and Valtschanoff JG: Influence of the vanilloid receptor TRPV1 on the activation of spinal cord glia in mouse models of pain. Exp Neurol. 220:383–390. 2009. View Article : Google Scholar : PubMed/NCBI

19 

Reichling DB and Levine JD: Critical role of nociceptor plasticity in chronic pain. Trends Neurosci. 32:611–618. 2009. View Article : Google Scholar : PubMed/NCBI

20 

Schomberg D and Olson JK: Immune responses of microglia in the spinal cord: contribution to pain states. Exp Neurol. 234:262–270. 2012. View Article : Google Scholar : PubMed/NCBI

Related Articles

  • Abstract
  • View
  • Download
  • Twitter
Copy and paste a formatted citation
Spandidos Publications style
Hu CY and Zhao YT: Analgesic effects of naringenin in rats with spinal nerve ligation‑induced neuropathic pain. Biomed Rep 2: 569-573, 2014.
APA
Hu, C.Y., & Zhao, Y. (2014). Analgesic effects of naringenin in rats with spinal nerve ligation‑induced neuropathic pain. Biomedical Reports, 2, 569-573. https://doi.org/10.3892/br.2014.267
MLA
Hu, C. Y., Zhao, Y."Analgesic effects of naringenin in rats with spinal nerve ligation‑induced neuropathic pain". Biomedical Reports 2.4 (2014): 569-573.
Chicago
Hu, C. Y., Zhao, Y."Analgesic effects of naringenin in rats with spinal nerve ligation‑induced neuropathic pain". Biomedical Reports 2, no. 4 (2014): 569-573. https://doi.org/10.3892/br.2014.267
Copy and paste a formatted citation
x
Spandidos Publications style
Hu CY and Zhao YT: Analgesic effects of naringenin in rats with spinal nerve ligation‑induced neuropathic pain. Biomed Rep 2: 569-573, 2014.
APA
Hu, C.Y., & Zhao, Y. (2014). Analgesic effects of naringenin in rats with spinal nerve ligation‑induced neuropathic pain. Biomedical Reports, 2, 569-573. https://doi.org/10.3892/br.2014.267
MLA
Hu, C. Y., Zhao, Y."Analgesic effects of naringenin in rats with spinal nerve ligation‑induced neuropathic pain". Biomedical Reports 2.4 (2014): 569-573.
Chicago
Hu, C. Y., Zhao, Y."Analgesic effects of naringenin in rats with spinal nerve ligation‑induced neuropathic pain". Biomedical Reports 2, no. 4 (2014): 569-573. https://doi.org/10.3892/br.2014.267
Follow us
  • Twitter
  • LinkedIn
  • Facebook
About
  • Spandidos Publications
  • Careers
  • Cookie Policy
  • Privacy Policy
How can we help?
  • Help
  • Live Chat
  • Contact
  • Email to our Support Team