Spandidos Publications Logo
  • About
    • About Spandidos
    • Aims and Scopes
    • Abstracting and Indexing
    • Editorial Policies
    • Reprints and Permissions
    • Job Opportunities
    • Terms and Conditions
    • Contact
  • Journals
    • All Journals
    • Oncology Letters
      • Oncology Letters
      • Information for Authors
      • Editorial Policies
      • Editorial Board
      • Aims and Scope
      • Abstracting and Indexing
      • Bibliographic Information
      • Archive
    • International Journal of Oncology
      • International Journal of Oncology
      • Information for Authors
      • Editorial Policies
      • Editorial Board
      • Aims and Scope
      • Abstracting and Indexing
      • Bibliographic Information
      • Archive
    • Molecular and Clinical Oncology
      • Molecular and Clinical Oncology
      • Information for Authors
      • Editorial Policies
      • Editorial Board
      • Aims and Scope
      • Abstracting and Indexing
      • Bibliographic Information
      • Archive
    • Experimental and Therapeutic Medicine
      • Experimental and Therapeutic Medicine
      • Information for Authors
      • Editorial Policies
      • Editorial Board
      • Aims and Scope
      • Abstracting and Indexing
      • Bibliographic Information
      • Archive
    • International Journal of Molecular Medicine
      • International Journal of Molecular Medicine
      • Information for Authors
      • Editorial Policies
      • Editorial Board
      • Aims and Scope
      • Abstracting and Indexing
      • Bibliographic Information
      • Archive
    • Biomedical Reports
      • Biomedical Reports
      • Information for Authors
      • Editorial Policies
      • Editorial Board
      • Aims and Scope
      • Abstracting and Indexing
      • Bibliographic Information
      • Archive
    • Oncology Reports
      • Oncology Reports
      • Information for Authors
      • Editorial Policies
      • Editorial Board
      • Aims and Scope
      • Abstracting and Indexing
      • Bibliographic Information
      • Archive
    • Molecular Medicine Reports
      • Molecular Medicine Reports
      • Information for Authors
      • Editorial Policies
      • Editorial Board
      • Aims and Scope
      • Abstracting and Indexing
      • Bibliographic Information
      • Archive
    • World Academy of Sciences Journal
      • World Academy of Sciences Journal
      • Information for Authors
      • Editorial Policies
      • Editorial Board
      • Aims and Scope
      • Abstracting and Indexing
      • Bibliographic Information
      • Archive
    • International Journal of Functional Nutrition
      • International Journal of Functional Nutrition
      • Information for Authors
      • Editorial Policies
      • Editorial Board
      • Aims and Scope
      • Abstracting and Indexing
      • Bibliographic Information
      • Archive
    • International Journal of Epigenetics
      • International Journal of Epigenetics
      • Information for Authors
      • Editorial Policies
      • Editorial Board
      • Aims and Scope
      • Abstracting and Indexing
      • Bibliographic Information
      • Archive
    • Medicine International
      • Medicine International
      • Information for Authors
      • Editorial Policies
      • Editorial Board
      • Aims and Scope
      • Abstracting and Indexing
      • Bibliographic Information
      • Archive
  • Articles
  • Information
    • Information for Authors
    • Information for Reviewers
    • Information for Librarians
    • Information for Advertisers
    • Conferences
  • Language Editing
Spandidos Publications Logo
  • About
    • About Spandidos
    • Aims and Scopes
    • Abstracting and Indexing
    • Editorial Policies
    • Reprints and Permissions
    • Job Opportunities
    • Terms and Conditions
    • Contact
  • Journals
    • All Journals
    • Biomedical Reports
      • Information for Authors
      • Editorial Policies
      • Editorial Board
      • Aims and Scope
      • Abstracting and Indexing
      • Bibliographic Information
      • Archive
    • Experimental and Therapeutic Medicine
      • Information for Authors
      • Editorial Policies
      • Editorial Board
      • Aims and Scope
      • Abstracting and Indexing
      • Bibliographic Information
      • Archive
    • International Journal of Epigenetics
      • Information for Authors
      • Editorial Policies
      • Editorial Board
      • Aims and Scope
      • Abstracting and Indexing
      • Bibliographic Information
      • Archive
    • International Journal of Functional Nutrition
      • Information for Authors
      • Editorial Policies
      • Editorial Board
      • Aims and Scope
      • Abstracting and Indexing
      • Bibliographic Information
      • Archive
    • International Journal of Molecular Medicine
      • Information for Authors
      • Editorial Policies
      • Editorial Board
      • Aims and Scope
      • Abstracting and Indexing
      • Bibliographic Information
      • Archive
    • International Journal of Oncology
      • Information for Authors
      • Editorial Policies
      • Editorial Board
      • Aims and Scope
      • Abstracting and Indexing
      • Bibliographic Information
      • Archive
    • Medicine International
      • Information for Authors
      • Editorial Policies
      • Editorial Board
      • Aims and Scope
      • Abstracting and Indexing
      • Bibliographic Information
      • Archive
    • Molecular and Clinical Oncology
      • Information for Authors
      • Editorial Policies
      • Editorial Board
      • Aims and Scope
      • Abstracting and Indexing
      • Bibliographic Information
      • Archive
    • Molecular Medicine Reports
      • Information for Authors
      • Editorial Policies
      • Editorial Board
      • Aims and Scope
      • Abstracting and Indexing
      • Bibliographic Information
      • Archive
    • Oncology Letters
      • Information for Authors
      • Editorial Policies
      • Editorial Board
      • Aims and Scope
      • Abstracting and Indexing
      • Bibliographic Information
      • Archive
    • Oncology Reports
      • Information for Authors
      • Editorial Policies
      • Editorial Board
      • Aims and Scope
      • Abstracting and Indexing
      • Bibliographic Information
      • Archive
    • World Academy of Sciences Journal
      • Information for Authors
      • Editorial Policies
      • Editorial Board
      • Aims and Scope
      • Abstracting and Indexing
      • Bibliographic Information
      • Archive
  • Articles
  • Information
    • For Authors
    • For Reviewers
    • For Librarians
    • For Advertisers
    • Conferences
  • Language Editing
Login Register Submit
  • This site uses cookies
  • You can change your cookie settings at any time by following the instructions in our Cookie Policy. To find out more, you may read our Privacy Policy.

    I agree
Search articles by DOI, keyword, author or affiliation
Search
Advanced Search
presentation
Biomedical Reports
Join Editorial Board Propose a Special Issue
Print ISSN: 2049-9434 Online ISSN: 2049-9442
Journal Cover
September-October 2014 Volume 2 Issue 5

Full Size Image

Sign up for eToc alerts
Recommend to Library

Journals

International Journal of Molecular Medicine

International Journal of Molecular Medicine

International Journal of Molecular Medicine is an international journal devoted to molecular mechanisms of human disease.

International Journal of Oncology

International Journal of Oncology

International Journal of Oncology is an international journal devoted to oncology research and cancer treatment.

Molecular Medicine Reports

Molecular Medicine Reports

Covers molecular medicine topics such as pharmacology, pathology, genetics, neuroscience, infectious diseases, molecular cardiology, and molecular surgery.

Oncology Reports

Oncology Reports

Oncology Reports is an international journal devoted to fundamental and applied research in Oncology.

Experimental and Therapeutic Medicine

Experimental and Therapeutic Medicine

Experimental and Therapeutic Medicine is an international journal devoted to laboratory and clinical medicine.

Oncology Letters

Oncology Letters

Oncology Letters is an international journal devoted to Experimental and Clinical Oncology.

Biomedical Reports

Biomedical Reports

Explores a wide range of biological and medical fields, including pharmacology, genetics, microbiology, neuroscience, and molecular cardiology.

Molecular and Clinical Oncology

Molecular and Clinical Oncology

International journal addressing all aspects of oncology research, from tumorigenesis and oncogenes to chemotherapy and metastasis.

World Academy of Sciences Journal

World Academy of Sciences Journal

Multidisciplinary open-access journal spanning biochemistry, genetics, neuroscience, environmental health, and synthetic biology.

International Journal of Functional Nutrition

International Journal of Functional Nutrition

Open-access journal combining biochemistry, pharmacology, immunology, and genetics to advance health through functional nutrition.

International Journal of Epigenetics

International Journal of Epigenetics

Publishes open-access research on using epigenetics to advance understanding and treatment of human disease.

Medicine International

Medicine International

An International Open Access Journal Devoted to General Medicine.

Journal Cover
September-October 2014 Volume 2 Issue 5

Full Size Image

Sign up for eToc alerts
Recommend to Library

  • Article
  • Citations
    • Cite This Article
    • Download Citation
    • Create Citation Alert
    • Remove Citation Alert
    • Cited By
  • Similar Articles
    • Related Articles (in Spandidos Publications)
    • Similar Articles (Google Scholar)
    • Similar Articles (PubMed)
  • Download PDF
  • Download XML
  • View XML
Article

Triglyceride is strongly associated with nonalcoholic fatty liver disease among markers of hyperlipidemia and diabetes

  • Authors:
    • Minoru Tomizawa
    • Yuji Kawanabe
    • Fuminobu Shinozaki
    • Sumihiko Sato
    • Yasufumi Motoyoshi
    • Takao Sugiyama
    • Shigenori Yamamoto
    • Makoto Sueishi
  • View Affiliations / Copyright

    Affiliations: Department of Gastroenterology, National Hospital Organization Shimoshizu Hospital, Yotsukaido, Chiba 284‑0003, Japan, Sato Clinic, Chiba City, Chiba 264‑0021, Japan, Department of Radiology, National Hospital Organization Shimoshizu Hospital, Yotsukaido, Chiba 284‑0003, Japan, Department of Neurology, National Hospital Organization Shimoshizu Hospital, Yotsukaido, Chiba 284‑0003, Japan, Department of Rheumatology, National Hospital Organization Shimoshizu Hospital, Yotsukaido, Chiba 284‑0003, Japan, Department of Pediatrics, National Hospital Organization Shimoshizu Hospital, Yotsukaido, Chiba 284‑0003, Japan
  • Pages: 633-636
    |
    Published online on: July 1, 2014
       https://doi.org/10.3892/br.2014.309
  • Expand metrics +
Metrics: Total Views: 0 (Spandidos Publications: | PMC Statistics: )
Metrics: Total PDF Downloads: 0 (Spandidos Publications: | PMC Statistics: )
Cited By (CrossRef): 0 citations Loading Articles...

This article is mentioned in:



Abstract

The aim of the present study was to reveal the metabolic disorders most commonly associated with nonalcoholic fatty liver disease (NAFLD). Triglyceride (TG), high‑density lipoprotein cholesterol (HDL), low‑density lipoprotein cholesterol (LDL), blood glucose (BG) and hemoglobin A1c (HbA1c) were analyzed. NAFLD was diagnosed using abdominal ultrasound (US), and TG, HDL, LDL, BG and HbA1c were immediately collected on the same day and subjected to multivariate regression analysis. Stepwise analysis was performed to select the variables that were closely associated with NAFLD. The patients who were positive for the hepatitis B antigen and hepatitis C antibody were excluded from the study. Additionally, the patients who were prescribed prednisolone or methotrexate were excluded from the study as these agents may cause NAFLD or liver toxicity. The study included 168 and 125 patients with and without NAFLD, respectively. TG, BG and HbA1c were strongly correlated with NAFLD. Among these parameters, TG was the strongest predictor of NAFLD (χ2=9.89, P=0.0017). TG was the parameter that was most strongly associated with NAFLD. In conclusion, elevated TG was a marker of NAFLD.

Introduction

Nonalcoholic fatty liver disease (NAFLD) is defined as hepatic steatosis without secondary hepatic fat accumulation, including alcoholic consumption, steatogenic medication or hereditary disorders (1). Nonalcoholic fatty liver (NAFL) and nonalcoholic fatty steatohepatitis (NASH) are the categories of NAFLD. With regards to NASH, NAFL is not associated with injury of hepatocytes (ballooning) (1). The survival rate in patients with NAFLD is lower compared to the general population standardized-mortality ratio due to the risk of cardiovascular disease and hepatocellular carcinoma (2–4). Therefore, it is recommended that NAFLD is diagnosed and treated (5). Abdominal ultrasound (US) is the simplest and most practical diagnostic imaging modality (6,7). To treat NAFLD efficiently, the target of metabolism for treatment should be known. Body mass index (BMI) is a simple marker of obesity and the index is an independent predictor of NAFLD (8). Weight loss is known to improve NASH (9). However, whether weight loss improves NAFL remains unclear. The therapeutic targets, other than BMI, should be investigated.

NAFLD is associated with metabolic disturbances, including diabetes and hyperlipidemia (1,10). Diabetes is an independent predictor of NAFLD (11) and hyperlipidemia is prevalent among patients with NAFLD (12). Insulin-sensitizing agents have been applied to patients with NAFLD. A large, randomized-controlled trial with metformin did not effectively improve NASH (13). Pioglitazone improves steatosis and inflammation (14), but did not improve fibrosis. Steatosis and inflammation are improved with insulin-sensitizing agents; however, it is difficult to treat fibrosis. Statins are important for the treatment of hyperlipidemia. However, simvastatin is not effective in the treatment of NASH (15). The metabolic disorder parameters are not known with regards to NAFLD. Therefore, the present study aimed to investigate the blood examination parameters that were closely associated with NAFLD. Diabetes and hyperlipidemia were studied as they were expected to indicate the therapeutic target of NAFLD.

Materials and methods

Inclusion criteria

The patients who underwent abdominal US between April 2013 and November 2013, and had laboratory data that were available on the date of the abdominal US, were included in the study. The patient records were analyzed retrospectively, and were divided into two groups: Patients with NAFLD and those without NAFLD. The study was reviewed by the institutional Ethics Committee and it was determined that the study was not a clinical trial as it was performed as part of daily clinical practice. Patient anonymity was preserved throughout the analysis.

Exclusion criteria

The patients whose laboratory data were not available on the day of US were excluded. The patients who were positive for hepatitis B surface antigen or hepatitis C antibody were also excluded. Liver cirrhosis, primary biliary cirrhosis, autoimmune hepatitis or high alcohol consumption were also criteria for patient exclusion due to the possible elevation of their liver enzymes (16,17). The patients with muscular dystrophy or dermatomyositis were excluded due to the possibility of elevated aspartate aminotransferase (AST) or lactate dehydrogenase (LDH) levels. Additionally, patients were excluded from the study if prednisolone was prescribed as it may cause NAFLD (18) and if methotrexate was prescribed as it may cause liver toxicity (19).

Abdominal US

NAFLD was diagnosed using abdominal US, following the standardized criteria (20,21). Briefly, NAFLD was diagnosed when bright liver or hepatorenal echo contrast was observed with abdominal US. Abdominal US was performed by Senior Fellows of the Japan Society of Ultrasonics in Medicine with SSA-700A (Toshiba Medical Systems Corporation, Ohtawara, Japan) using a 3.5-MHz curved-array probe. Additionally, abdominal US was performed by Board Certified Fellows of the Japan Society of Ultrasonics in Medicine with SSA-700A using a 5.0-MHz curved-array probe. The investigators were blinded to the clinical and laboratory data.

Laboratory data

The analyzed laboratory data were the levels of alkaline phosphatase (ALP), AST, alanine aminotransferase (ALT), γ-glutamyl transpeptidase (γ-GTP), LDH, high-density lipoprotein cholesterol (HDL), low-density lipoprotein cholesterol (LDL), triglyceride (TG), blood glucose (BG) and hemoglobin A1c (HbA1c).

Statistical analysis

One-way analysis of variance was performed for the baseline characteristics. Wald analysis was performed to evaluate the efficiency of each parameter by multivariate regression analysis to predict NAFLD. The receiver operating characteristic (ROC) curve was created to evaluate the predicting performance of the regression model. The threshold value was determined as the highest sensitivity and specificity, and was calculated automatically by the software using the location where a line with a slope of 45° came into contact with the ROC curve. Stepwise analysis was performed to select variables to predict NAFLD. The statistical software JMP 10.0.2 (SAS Institute, Inc., Cary, NC, USA) was used. P<0.05 was considered to indicate a statistically significant difference.

Results

Parameters associated with NAFLD

Table I demonstrates the patient characteristics. Age and HDL were significantly lower in patients with NAFLD compared to those without NAFLD (P<0.05). ALP, AST, ALT, γ-GTP, LDL, TG, BG and HbA1c were significantly higher in patients with NAFLD compared to those without NAFLD (P<0.05). Table II demonstrates the logistic regression analysis. TG was the parameter most significantly associated with NAFLD (χ2=9.89, P=0.0017). With the parameters in Table II, the logistic curve was illustrated as an equation: ln(P/1-P) = −3.8081 - 0.0104 × HDL + 0.0038 × LDL + 0.0087 × TG + 0.0081 × BG + 0.2626 × HbA1c (P<0.0001). P represents the possibility of NAFLD.

Table I

Patient characteristics.

Table I

Patient characteristics.

CharacteristicsTotalNon-NAFLDNAFLDP-value
Patient, n293125168
Male/female, n140/15362/6378/90
Age, years67±1363.4±12.969.4±12.80.0005
ALP, IU/l241.7±91.4225.1±81.9253.0±63.90.0030
AST, IU/l27.5±16.627.5±15.723.4±10.1<0.0001
ALT, IU/l27.6±25.935.0±34.819.0±11.9<0.0001
γ-GTP, IU/l48.2±66.651.1±28.739.5±56.00.0258
HDL, mg/dl59.0±21.342.5±17.663.5±19.00.0002
LDL, mg/dl115.7±28.5114.2±35.5112.7±23.90.0483
TG, mg/dl128.2±75.2160.8±129.9104±56.8<0.0001
BG, mg/dl122±47.5133.2±40.8112.6±42.70.0001
HbA1c, %6.30±1.066.67±0.936.00±0.91<0.0001

[i] Continuous variables are expressed as average ± standard deviation. NAFLD, nonalcoholic fatty liver disease; ALP, alkaline phosphatase; AST, aspartate aminotransferase; ALT, alanine aminotransferase; γ-GTP, γ-glutamyl transpeptidase; HDL, high-density lipoprotein cholesterol; LDL, low-density lipoprotein cholesterol; TG, triglyceride; BG, blood glucose; HbA1c, hemoglobin A1c.

Table II

Multivariate logistic regression analysis.

Table II

Multivariate logistic regression analysis.

Variablesχ2OR95% CIP-value
HDL1.340.98960.9713–1.00660.2469
LDL0.371.00381.0160–0.99630.5419
TG9.891.00881.0036–1.01460.0017
BG2.381.00810.9984–1.01940.1228
HbA1c1.581.30040.8650–1.97200.2084

[i] OR, odds ratio; CI, confidence interval; HDL, high-density lipoprotein cholesterol; LDL, low-density lipoprotein cholesterol; TG, triglyceride; BG, blood glucose; HbA1c, hemoglobin A1c.

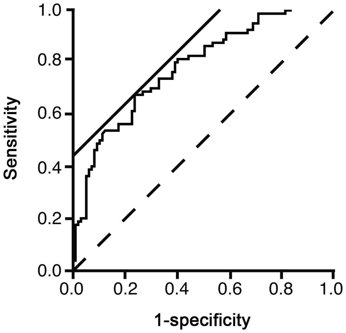
The ROC curve was illustrated to evaluate the usefulness of the logistic model to predict NAFLD (Fig. 1). The area under the curve was 0.7739. The threshold value of ln(P/1-P) was 0.4218. The sensitivity and specificity of the value were 66.7 and 76.5%, respectively. However, the sensitivity and specificity did not appear to be large enough for using in a clinical setting.

Figure 1

Receiver operator characteristic (ROC) for the prediction of nonalcoholic fatty liver with the logistic model. The ROC curve was illustrated to evaluate the usefulness of the logistic model to predict nonalcoholic fatty liver disease. Solid straight line, a line with a slope of 45° to calculate the threshold value by the software (JMP 10.0.2); broken line, reference.

To select the parameters strongly associated with NAFLD, stepwise analysis was performed (Table III). TG, BG and HbA1c were strongly correlated with NAFLD.

Table III

Stepwise analysis of the parameters.

Table III

Stepwise analysis of the parameters.

VariablesPartial regression coefficientχ2P-value
HDL01.56030.21162
LDL00.55230.45738
TG0.010316.34615.28e-5
BG0.00661.70430.19173
HbA1c0.31892.43770.11845

[i] HDL, high-density lipoprotein cholesterol; LDL, low-density lipoprotein cholesterol; TG, triglyceride; BG, blood glucose; HbA1c, hemoglobin A1c.

Discussion

Hyperlipidemia is associated with NAFLD. The study by Nakahara et al (22) reported that hyper-LDL cholesterolemia and hypo-HDL cholesterolemia were present in 37.5 and 19.5% of patients with NAFLD in whom liver biopsy was performed. Hypertriglycemia is most prevalent among patients with NAFLD. Ma et al (23) performed multivariate analysis of 949 retired elderly employees and reported that HbA1c and TG are independent markers of NAFLD. Sung et al (24) followed healthy workers without NAFLD for 4.4 years to observe the incidence of NAFLD. TG was independently associated with incident NAFLD. These studies indicate that hypertriglycemia is more associated with NAFLD compared to hyper-LDL cholesterolemia and hypo-HDL cholesterolemia. In the present study, TG had the largest χ2 and the smallest P-value (Table II). The data were consistent with the aforementioned previous studies. TG was selected by stepwise analysis as the strongest predictor of NAFLD in comparison with BG and HbA1c (Table III). The data indicated that TG was more closely associated with NAFLD than BG and HbA1c. Therefore, this may indicate that a diet high in carbohydrates may result in increased TG accumulation in hepatocytes (25,26). In conclusion, elevated TG was a marker of NAFLD.

References

1 

Chalasani N, Younossi Z, Lavine JE, et al: The diagnosis and management of non-alcoholic fatty liver disease: practice Guideline by the American Association for the Study of Liver Diseases, American College of Gastroenterology, and the American Gastroenterological Association. Hepatology. 55:2005–2023. 2012. View Article : Google Scholar

2 

Adams LA, Lymp JF, St Sauver J, et al: The natural history of nonalcoholic fatty liver disease: a population-based cohort study. Gastroenterology. 129:113–121. 2005. View Article : Google Scholar : PubMed/NCBI

3 

Dunn W, Xu R, Wingard DL, et al: Suspected nonalcoholic fatty liver disease and mortality risk in a population-based cohort study. Am J Gastroenterol. 103:2263–2271. 2008. View Article : Google Scholar : PubMed/NCBI

4 

Ascha MS, Hanouneh IA, Lopez R, Tamimi TA, Feldstein AF and Zein NN: The incidence and risk factors of hepatocellular carcinoma in patients with nonalcoholic steatohepatitis. Hepatology. 51:1972–1978. 2010. View Article : Google Scholar : PubMed/NCBI

5 

Chatrath H, Vuppalanchi R and Chalasani N: Dyslipidemia in patients with nonalcoholic fatty liver disease. Semin Liver Dis. 32:22–29. 2012. View Article : Google Scholar : PubMed/NCBI

6 

Musso G, Gambino R, Cassader M and Pagano G: Meta-analysis: natural history of non-alcoholic fatty liver disease (NAFLD) and diagnostic accuracy of non-invasive tests for liver disease severity. Ann Med. 43:617–649. 2011. View Article : Google Scholar : PubMed/NCBI

7 

Festi D, Schiumerini R, Marzi L, et al: Review article: the diagnosis of non-alcoholic fatty liver disease - availability and accuracy of non-invasive methods. Aliment Pharmacol Ther. 37:392–400. 2013. View Article : Google Scholar : PubMed/NCBI

8 

Miyake T, Kumagi T, Hirooka M, et al: Body mass index is the most useful predictive factor for the onset of nonalcoholic fatty liver disease: a community-based retrospective longitudinal cohort study. J Gastroenterol. 48:413–422. 2013. View Article : Google Scholar

9 

Promrat K, Kleiner DE, Niemeier HM, et al: Randomized controlled trial testing the effects of weight loss on nonalcoholic steatohepatitis. Hepatology. 51:121–129. 2010. View Article : Google Scholar : PubMed/NCBI

10 

Abe N, Honda S and Jahng D: Evaluation of waist circumference cut-off values as a marker for fatty liver among Japanese workers. Saf Health Work. 3:287–293. 2012. View Article : Google Scholar : PubMed/NCBI

11 

Rafiq N, Bai C, Fang Y, et al: Long-term follow-up of patients with nonalcoholic fatty liver. Clin Gastroenterol Hepatol. 7:234–238. 2009. View Article : Google Scholar : PubMed/NCBI

12 

Eguchi Y, Hyogo H, Ono M, et al: Prevalence and associated metabolic factors of nonalcoholic fatty liver disease in the general population from 2009 to 2010 in Japan: a multicenter large retrospective study. J Gastroenterol. 47:586–595. 2012. View Article : Google Scholar

13 

Haukeland JW, Konopski Z, Eggesbo HB, et al: Metformin in patients with non-alcoholic fatty liver disease: a randomized, controlled trial. Scand J Gastroenterol. 44:853–860. 2009. View Article : Google Scholar : PubMed/NCBI

14 

Vernon G, Baranova A and Younossi ZM: Systematic review: the epidemiology and natural history of non-alcoholic fatty liver disease and non-alcoholic steatohepatitis in adults. Aliment Pharmacol Ther. 34:274–285. 2011. View Article : Google Scholar : PubMed/NCBI

15 

Nelson A, Torres DM, Morgan AE, Fincke C and Harrison SA: A pilot study using simvastatin in the treatment of nonalcoholic steatohepatitis: A randomized placebo-controlled trial. J Clin Gastroenterol. 43:990–994. 2009. View Article : Google Scholar : PubMed/NCBI

16 

Alvarez F, Berg PA, Bianchi FB, et al: International Autoimmune Hepatitis Group Report: review of criteria for diagnosis of autoimmune hepatitis. J Hepatol. 31:929–938. 1999. View Article : Google Scholar : PubMed/NCBI

17 

Lindor KD, Gershwin ME, Poupon R, Kaplan M, Bergasa NV and Heathcote EJ; American Associaiton for Study of Liver Diseases. Primary biliary cirrhosis. Hepatology. 50:291–308. 2009. View Article : Google Scholar

18 

Matsumoto T, Yamasaki S, Arakawa A, et al: Exposure to a high total dosage of glucocorticoids produces non-alcoholic steatohepatits. Pathol Int. 57:388–389. 2007. View Article : Google Scholar : PubMed/NCBI

19 

Khan N, Abbas AM, Whang N, Balart LA, Bazzano LA and Kelly TN: Incidence of liver toxicity in inflammatory bowel disease patients treated with methotrexate: a meta-analysis of clinical trials. Inflamm Bowel Dis. 18:359–367. 2012. View Article : Google Scholar : PubMed/NCBI

20 

Sanyal AJ; American Gastroenterological Association. AGA technical review on nonalcoholic fatty liver disease. Gastroenterology. 123:1705–1725. 2002. View Article : Google Scholar : PubMed/NCBI

21 

Bedogni G, Miglioli L, Masutti F, Tiribelli C, Marchesini G and Bellentani S: Prevalence of and risk factors for nonalcoholic fatty liver disease: the Dionysos nutrition and liver study. Hepatology. 42:44–52. 2005. View Article : Google Scholar : PubMed/NCBI

22 

Nakahara T, Hyogo H, Yoneda M, et al; Japan Study Group of Nonalcoholic Fatty Liver Disease (JSG-NAFLD). Type 2 diabetes mellitus is associated with the fibrosis severity in patients with nonalcoholic fatty liver disease in a large retrospective cohort of Japanese patients. J Gastroenterol. Nov 26–2013.(Epub ahead of print).

23 

Ma H, Xu C, Xu L, Yu C, Miao M and Li Y: Independent association of HbA1c and nonalcoholic fatty liver disease in an elderly Chinese population. BMC Gastroenterol. 13:32013. View Article : Google Scholar : PubMed/NCBI

24 

Sung KC, Kim BS, Cho YK, et al: Predicting incident fatty liver using simple cardio-metabolic risk factors at baseline. BMC Gastroenterol. 12:842012. View Article : Google Scholar : PubMed/NCBI

25 

Lottenberg AM, Afonso Mda S, Lavrador MS, Machado RM and Nakandakare ER: The role of dietary fatty acids in the pathology of metabolic syndrome. J Nutr Biochem. 23:1027–1040. 2012. View Article : Google Scholar : PubMed/NCBI

26 

Wiernsperger N: Hepatic function and the cardiometabolic syndrome. Diabetes Metab Syndr Obes. 6:379–388. 2013. View Article : Google Scholar

Related Articles

  • Abstract
  • View
  • Download
  • Twitter
Copy and paste a formatted citation
Spandidos Publications style
Tomizawa M, Kawanabe Y, Shinozaki F, Sato S, Motoyoshi Y, Sugiyama T, Yamamoto S and Sueishi M: Triglyceride is strongly associated with nonalcoholic fatty liver disease among markers of hyperlipidemia and diabetes. Biomed Rep 2: 633-636, 2014.
APA
Tomizawa, M., Kawanabe, Y., Shinozaki, F., Sato, S., Motoyoshi, Y., Sugiyama, T. ... Sueishi, M. (2014). Triglyceride is strongly associated with nonalcoholic fatty liver disease among markers of hyperlipidemia and diabetes. Biomedical Reports, 2, 633-636. https://doi.org/10.3892/br.2014.309
MLA
Tomizawa, M., Kawanabe, Y., Shinozaki, F., Sato, S., Motoyoshi, Y., Sugiyama, T., Yamamoto, S., Sueishi, M."Triglyceride is strongly associated with nonalcoholic fatty liver disease among markers of hyperlipidemia and diabetes". Biomedical Reports 2.5 (2014): 633-636.
Chicago
Tomizawa, M., Kawanabe, Y., Shinozaki, F., Sato, S., Motoyoshi, Y., Sugiyama, T., Yamamoto, S., Sueishi, M."Triglyceride is strongly associated with nonalcoholic fatty liver disease among markers of hyperlipidemia and diabetes". Biomedical Reports 2, no. 5 (2014): 633-636. https://doi.org/10.3892/br.2014.309
Copy and paste a formatted citation
x
Spandidos Publications style
Tomizawa M, Kawanabe Y, Shinozaki F, Sato S, Motoyoshi Y, Sugiyama T, Yamamoto S and Sueishi M: Triglyceride is strongly associated with nonalcoholic fatty liver disease among markers of hyperlipidemia and diabetes. Biomed Rep 2: 633-636, 2014.
APA
Tomizawa, M., Kawanabe, Y., Shinozaki, F., Sato, S., Motoyoshi, Y., Sugiyama, T. ... Sueishi, M. (2014). Triglyceride is strongly associated with nonalcoholic fatty liver disease among markers of hyperlipidemia and diabetes. Biomedical Reports, 2, 633-636. https://doi.org/10.3892/br.2014.309
MLA
Tomizawa, M., Kawanabe, Y., Shinozaki, F., Sato, S., Motoyoshi, Y., Sugiyama, T., Yamamoto, S., Sueishi, M."Triglyceride is strongly associated with nonalcoholic fatty liver disease among markers of hyperlipidemia and diabetes". Biomedical Reports 2.5 (2014): 633-636.
Chicago
Tomizawa, M., Kawanabe, Y., Shinozaki, F., Sato, S., Motoyoshi, Y., Sugiyama, T., Yamamoto, S., Sueishi, M."Triglyceride is strongly associated with nonalcoholic fatty liver disease among markers of hyperlipidemia and diabetes". Biomedical Reports 2, no. 5 (2014): 633-636. https://doi.org/10.3892/br.2014.309
Follow us
  • Twitter
  • LinkedIn
  • Facebook
About
  • Spandidos Publications
  • Careers
  • Cookie Policy
  • Privacy Policy
How can we help?
  • Help
  • Live Chat
  • Contact
  • Email to our Support Team