Spandidos Publications Logo
  • About
    • About Spandidos
    • Aims and Scopes
    • Abstracting and Indexing
    • Editorial Policies
    • Reprints and Permissions
    • Job Opportunities
    • Terms and Conditions
    • Contact
  • Journals
    • All Journals
    • Oncology Letters
      • Oncology Letters
      • Information for Authors
      • Editorial Policies
      • Editorial Board
      • Aims and Scope
      • Abstracting and Indexing
      • Bibliographic Information
      • Archive
    • International Journal of Oncology
      • International Journal of Oncology
      • Information for Authors
      • Editorial Policies
      • Editorial Board
      • Aims and Scope
      • Abstracting and Indexing
      • Bibliographic Information
      • Archive
    • Molecular and Clinical Oncology
      • Molecular and Clinical Oncology
      • Information for Authors
      • Editorial Policies
      • Editorial Board
      • Aims and Scope
      • Abstracting and Indexing
      • Bibliographic Information
      • Archive
    • Experimental and Therapeutic Medicine
      • Experimental and Therapeutic Medicine
      • Information for Authors
      • Editorial Policies
      • Editorial Board
      • Aims and Scope
      • Abstracting and Indexing
      • Bibliographic Information
      • Archive
    • International Journal of Molecular Medicine
      • International Journal of Molecular Medicine
      • Information for Authors
      • Editorial Policies
      • Editorial Board
      • Aims and Scope
      • Abstracting and Indexing
      • Bibliographic Information
      • Archive
    • Biomedical Reports
      • Biomedical Reports
      • Information for Authors
      • Editorial Policies
      • Editorial Board
      • Aims and Scope
      • Abstracting and Indexing
      • Bibliographic Information
      • Archive
    • Oncology Reports
      • Oncology Reports
      • Information for Authors
      • Editorial Policies
      • Editorial Board
      • Aims and Scope
      • Abstracting and Indexing
      • Bibliographic Information
      • Archive
    • Molecular Medicine Reports
      • Molecular Medicine Reports
      • Information for Authors
      • Editorial Policies
      • Editorial Board
      • Aims and Scope
      • Abstracting and Indexing
      • Bibliographic Information
      • Archive
    • World Academy of Sciences Journal
      • World Academy of Sciences Journal
      • Information for Authors
      • Editorial Policies
      • Editorial Board
      • Aims and Scope
      • Abstracting and Indexing
      • Bibliographic Information
      • Archive
    • International Journal of Functional Nutrition
      • International Journal of Functional Nutrition
      • Information for Authors
      • Editorial Policies
      • Editorial Board
      • Aims and Scope
      • Abstracting and Indexing
      • Bibliographic Information
      • Archive
    • International Journal of Epigenetics
      • International Journal of Epigenetics
      • Information for Authors
      • Editorial Policies
      • Editorial Board
      • Aims and Scope
      • Abstracting and Indexing
      • Bibliographic Information
      • Archive
    • Medicine International
      • Medicine International
      • Information for Authors
      • Editorial Policies
      • Editorial Board
      • Aims and Scope
      • Abstracting and Indexing
      • Bibliographic Information
      • Archive
  • Articles
  • Information
    • Information for Authors
    • Information for Reviewers
    • Information for Librarians
    • Information for Advertisers
    • Conferences
  • Language Editing
Spandidos Publications Logo
  • About
    • About Spandidos
    • Aims and Scopes
    • Abstracting and Indexing
    • Editorial Policies
    • Reprints and Permissions
    • Job Opportunities
    • Terms and Conditions
    • Contact
  • Journals
    • All Journals
    • Biomedical Reports
      • Information for Authors
      • Editorial Policies
      • Editorial Board
      • Aims and Scope
      • Abstracting and Indexing
      • Bibliographic Information
      • Archive
    • Experimental and Therapeutic Medicine
      • Information for Authors
      • Editorial Policies
      • Editorial Board
      • Aims and Scope
      • Abstracting and Indexing
      • Bibliographic Information
      • Archive
    • International Journal of Epigenetics
      • Information for Authors
      • Editorial Policies
      • Editorial Board
      • Aims and Scope
      • Abstracting and Indexing
      • Bibliographic Information
      • Archive
    • International Journal of Functional Nutrition
      • Information for Authors
      • Editorial Policies
      • Editorial Board
      • Aims and Scope
      • Abstracting and Indexing
      • Bibliographic Information
      • Archive
    • International Journal of Molecular Medicine
      • Information for Authors
      • Editorial Policies
      • Editorial Board
      • Aims and Scope
      • Abstracting and Indexing
      • Bibliographic Information
      • Archive
    • International Journal of Oncology
      • Information for Authors
      • Editorial Policies
      • Editorial Board
      • Aims and Scope
      • Abstracting and Indexing
      • Bibliographic Information
      • Archive
    • Medicine International
      • Information for Authors
      • Editorial Policies
      • Editorial Board
      • Aims and Scope
      • Abstracting and Indexing
      • Bibliographic Information
      • Archive
    • Molecular and Clinical Oncology
      • Information for Authors
      • Editorial Policies
      • Editorial Board
      • Aims and Scope
      • Abstracting and Indexing
      • Bibliographic Information
      • Archive
    • Molecular Medicine Reports
      • Information for Authors
      • Editorial Policies
      • Editorial Board
      • Aims and Scope
      • Abstracting and Indexing
      • Bibliographic Information
      • Archive
    • Oncology Letters
      • Information for Authors
      • Editorial Policies
      • Editorial Board
      • Aims and Scope
      • Abstracting and Indexing
      • Bibliographic Information
      • Archive
    • Oncology Reports
      • Information for Authors
      • Editorial Policies
      • Editorial Board
      • Aims and Scope
      • Abstracting and Indexing
      • Bibliographic Information
      • Archive
    • World Academy of Sciences Journal
      • Information for Authors
      • Editorial Policies
      • Editorial Board
      • Aims and Scope
      • Abstracting and Indexing
      • Bibliographic Information
      • Archive
  • Articles
  • Information
    • For Authors
    • For Reviewers
    • For Librarians
    • For Advertisers
    • Conferences
  • Language Editing
Login Register Submit
  • This site uses cookies
  • You can change your cookie settings at any time by following the instructions in our Cookie Policy. To find out more, you may read our Privacy Policy.

    I agree
Search articles by DOI, keyword, author or affiliation
Search
Advanced Search
presentation
Biomedical Reports
Join Editorial Board Propose a Special Issue
Print ISSN: 2049-9434 Online ISSN: 2049-9442
Journal Cover
September-October 2014 Volume 2 Issue 5

Full Size Image

Sign up for eToc alerts
Recommend to Library

Journals

International Journal of Molecular Medicine

International Journal of Molecular Medicine

International Journal of Molecular Medicine is an international journal devoted to molecular mechanisms of human disease.

International Journal of Oncology

International Journal of Oncology

International Journal of Oncology is an international journal devoted to oncology research and cancer treatment.

Molecular Medicine Reports

Molecular Medicine Reports

Covers molecular medicine topics such as pharmacology, pathology, genetics, neuroscience, infectious diseases, molecular cardiology, and molecular surgery.

Oncology Reports

Oncology Reports

Oncology Reports is an international journal devoted to fundamental and applied research in Oncology.

Experimental and Therapeutic Medicine

Experimental and Therapeutic Medicine

Experimental and Therapeutic Medicine is an international journal devoted to laboratory and clinical medicine.

Oncology Letters

Oncology Letters

Oncology Letters is an international journal devoted to Experimental and Clinical Oncology.

Biomedical Reports

Biomedical Reports

Explores a wide range of biological and medical fields, including pharmacology, genetics, microbiology, neuroscience, and molecular cardiology.

Molecular and Clinical Oncology

Molecular and Clinical Oncology

International journal addressing all aspects of oncology research, from tumorigenesis and oncogenes to chemotherapy and metastasis.

World Academy of Sciences Journal

World Academy of Sciences Journal

Multidisciplinary open-access journal spanning biochemistry, genetics, neuroscience, environmental health, and synthetic biology.

International Journal of Functional Nutrition

International Journal of Functional Nutrition

Open-access journal combining biochemistry, pharmacology, immunology, and genetics to advance health through functional nutrition.

International Journal of Epigenetics

International Journal of Epigenetics

Publishes open-access research on using epigenetics to advance understanding and treatment of human disease.

Medicine International

Medicine International

An International Open Access Journal Devoted to General Medicine.

Journal Cover
September-October 2014 Volume 2 Issue 5

Full Size Image

Sign up for eToc alerts
Recommend to Library

  • Article
  • Citations
    • Cite This Article
    • Download Citation
    • Create Citation Alert
    • Remove Citation Alert
    • Cited By
  • Similar Articles
    • Related Articles (in Spandidos Publications)
    • Similar Articles (Google Scholar)
    • Similar Articles (PubMed)
  • Download PDF
  • Download XML
  • View XML
Article

Inhibition of COX‑2 and PGE2 in LPS‑stimulated RAW264.7 cells by lonimacranthoide VI, a chlorogenic acid ester saponin

  • Authors:
    • Fuqin Guan
    • Haiting Wang
    • Yu Shan
    • Yu Chen
    • Ming Wang
    • Qizhi Wang
    • Min Yin
    • Youyi Zhao
    • Xu Feng
    • Jianhua Zhang
  • View Affiliations / Copyright

    Affiliations: Jiangsu Key Laboratory for Bioresources of Saline Soils, Institute of Botany, Jiangsu Province and Chinese Academy of Sciences/Nanjing Botanical Garden Memorial Sun Yat-Sen, Nanjing, Jiangsu 210014, P.R. China, College of Life Science, Nanjing Agricultural University, Nanjing 210095, P.R. China
  • Pages: 760-764
    |
    Published online on: July 11, 2014
       https://doi.org/10.3892/br.2014.314
  • Expand metrics +
Metrics: Total Views: 0 (Spandidos Publications: | PMC Statistics: )
Metrics: Total PDF Downloads: 0 (Spandidos Publications: | PMC Statistics: )
Cited By (CrossRef): 0 citations Loading Articles...

This article is mentioned in:



Abstract

Lonimacranthoide VI, first isolated from the flower buds of Lonicera macranthoides in our previous study, is a rare chlorogenic acid ester acylated at C‑23 of hederagenin. In the present study, the anti‑inflammatory effects of lonimacranthoide VI were studied. Lipopolysaccharides (LPS) induced an inflammatory response through the production of prostaglandin E2 (PGE2), and these levels were reduced when lonimacranthoide VI was pre‑administered. Additionally, the mechanism of the anti‑inflammatory effects of lonimacranthoide VI was investigated by measuring cyclooxygenase (COX) activity and mRNA expression. The results showed that lonimacranthoide VI inhibited mRNA expression and in vitro activity of COX‑2 in a dose‑dependent manner, whereas only the higher lonimacranthoide VI concentration possibly reduced COX‑1 expression and in vitro activity. Taken together, these results indicate that lonimacranthoide VI is an important anti‑inflammatory constituent of Lonicera macranthoides and that the anti‑inflammatory effect is attributed to the inhibition of PGE2 production through COX activity and mRNA expression.

Introduction

Inflammation is a complex process mediated by the activation of various immune cells. Macrophages play a central role in mediating a number of different immunopathological phenomena during inflammation by the overproduction of inflammatory mediators, known as prostaglandins (PGs) (1). Cyclooxygenase (COX) catalyzes the synthesis of PGs from arachidonic acid (AA). There are two isoforms of COX. COX-1 is a reference gene that is expressed constitutively in the majority of tissues. COX-2 is an immediate, early-response gene that is highly inducible by inflammatory stimuli, including endotoxin lipopolysaccharides (LPS) (2). This indicates that targeted inhibition of COX-2 is a promising approach in preventing inflammation and inflammation-associated cancer.

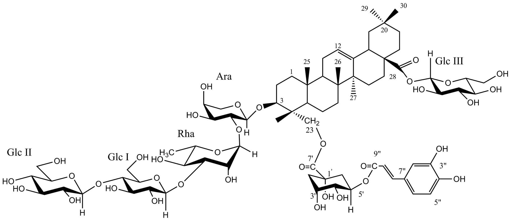
Lonimacranthoide VI (Fig. 1), which was first isolated from the flower buds of Lonicera macranthoides (Caprifoliaceae) in our present study, is a rare chlorogenic acid ester acylated at C-23 of hederagenin (3). Shan et al (4) reported that chlorogenic acid significantly decreased LPS-induced upregulation of COX-2 at protein and mRNA levels in RAW264.7 cells and consequently inhibited PGE2 release from LPS-treated RAW264.7 cells, indicating that chlorogenic acid exerted anti-inflammatory effects. Previously, several studies have reported that triterpene saponins can also inhibit COX-2 expression (5,6). However, thus far, the effects of chlorogenic acid ester saponin on the cyclooxygenase isoforms (COX-1 and COX-2) have not been analyzed. In the present study, the effects of lonimacranthoide VI were observed on PGE2 synthesis, in vitro activity of COX-1 and COX-2 and the gene expression of COX-1 and COX-2. These data provide a mechanistic basis for the chemopreventive and anti-inflammatory properties of lonimacranthoide VI.

Figure 1

Chemical structure of lonimacranthoide VI.

Materials and methods

Reagents and chemicals

Lonimacranthoide VI was isolated from the flowers of Lonicera macranthoides Hand.-Mazz. and the structure is shown in Fig. 1. Lonimacranthoide VI was dissolved in dimethyl sulfoxide (DMSO; Sigma-Aldrich, St. Louis, MO, USA) as a stock solution stored at −20°C and was subsequently diluted with medium prior to each experiment. The final DMSO concentration did not exceed 0.1% DMSO throughout the study (all the control groups comprised 0.1% DMSO).

Cell culture and cell viability assay

RAW264.7 murine macrophages were obtained from the Cell Bank of Shanghai Institute of Biochemistry and Cell Biology, Chinese Academy of Sciences (Shanghai, China) and cultured in Dulbecco’s modified Eagle’s medium containing 100 U/ml penicillin and 100 μg/ml streptomycin at 37°C in 5% CO2. The effect of lonimacranthoide VI on cell viability was assessed by the 2-(4,5-dimethylthiazol-2-yl)-2,5-diphenyltetrazolium bromide (MTT) assay, which is based on the reduction of MTT by the mitochondrial dehydrogenase of intact cells to a purple formazan product. Briefly, the RAW264.7 cells were seeded at 5×104 cells/well in a 96-well plate and treated with various concentrations of lonimacranthoide VI or vehicles. Each treated or control group contained six parallel wells. After incubation for 24 h at 37°C in a humidified incubator, cell viability was determined. MTT (5 mg/ml in phosphate-buffered saline) was added to each well and incubated for 4 h; subsequently, 100 μl of the solubilization solution (10% sodium dodecyl sulphate in 0.012 M HCl) was added into each well and the plate remained in the incubator overnight. Absorbance was recorded on a microplate reader (Tecan Austria GmbH, Salzburg, Austria) at a wavelength of 570 nm (reference wavelength, 690 nm). The percentage of cell proliferation was calculated as a ratio of the optical density (OD) value of the sample to the OD value of the control. All the experiments were performed under the same conditions at least three times. The cell inhibitory ratio was calculated by the following formula: Inhibitory ratio (%) = (1−average absorbance of treated group/average absorbance of control group) ×100%.

Measurement of PGE2

RAW264.7 cells were plated at a density of 2.5×105/ml cells in a 24-well plate with 1 ml of culture medium per well and cultured overnight. The cells were pre-incubated for 2 h with various doses of lonimacranthoide VI and stimulated for 24 h with 100 ng/ml LPS. The cell culture supernatants were collected immediately following treatment and centrifuged at 1,000 × g for 15 min to remove the particulate matter. PGE2 was determined using an enzyme immunoassay (EIA) kit (catalog no. ADI-900-001, Enzo Life Sciences, Switzerland). The medium and PGE2 EIA conjugate was added to a 96-well plate pre-coated with goat anti-mouse IgG and left to react for 2 h, followed by a final wash to remove any unbound antibody-enzyme reagent. A substrate solution was added and the intensity of the color produced was measured at 405 nm (correction wavelength set at 570–590 nm).

In vitro COX inhibition assay

The ability of lonimacranthoide VI to inhibit ovine COX-1 and COX-2 was determined using an enzyme immunoassay (EIA) kit (catalog no. 560101; Cayman Chemical Co., Ann Arbor, MI, USA). COX catalyzes the first step in the biosynthesis of AA to PGH2. PGF2α, produced from PGH2 by reduction with stannous chloride, was measured by EIA (ACE™ competitive EIA, Cayman Chemical, Ann Arbor, MI, USA). Briefly, to a series of supplied reaction buffer solutions [960 μl 0.1 M Tris-HCl (pH 8.0) containing 5 mM EDTA and 2 mM phenol] with either COX-1 or COX-2 (10 μl) enzyme in the presence of heme (10 μl), 10 μl of various concentrations of test drug solutions (1, 10, or 100 μM in a final volume of 1 μl) were added. These solutions were incubated for 5 min at 37°C and subsequently 10 μl AA solution (100 μM) was added. The COX reaction was stopped by the addition of 50 μl 1 M HCl after 2 min. Then 100 μl of stannus chloride was added to produce PGF2α, which was measured by EIA. This assay is based on the competition between PGs and a PG-acetylcholinesterase conjugate (PG tracer) for a limited amount of PG antiserum. The amount of PG tracer that is able to bind to the PG antiserum is inversely proportional to the concentration of PGs in the wells since the concentration of the PG tracer is held at a constant while the concentration of PGs varies. The specific antiserum-PG complex bound to a mouse anti-rabbit IgG that had been previously attached to the well. The plate was washed to remove any unbound reagents and 200 μl Ellman’s reagent, which contains the substrate to acetylcholine esterase, was added to the well. The product of this enzymatic reaction generates a distinct yellow color that absorbs at 406 nm. The intensity of this color, determined by spectrophotometry, is proportional to the amount of PG tracer bound to the well, which is inversely proportional to the amount of PGs present in the well during the incubation. Percent inhibition was calculated by the comparison of the compounds treated to the various control incubations.

Quantification of mRNA by reverse transcription-polymerase chain reaction (PCR)

Total cellular RNA was extracted using TRIzol reagent (Invitrogen Life Technologies, Carlsbad, CA, USA) and the concentration of RNA was determined at 260 nm. cDNA was synthesized by extension of oligo (dT) primers with 10 units of avian myeloblastosis virus reverse transcriptase in a mixture containing 1 μg total RNA. The cDNA amplification was performed using the PCR kit (Takara Bio, Inc., Shiga, Japan), denaturation at 95°C for 30 sec, annealing at 55°C for 30 sec and extension at 72°C for 1 min. The primer sequences used were as follows: COX-2 sense, 5′-GGGAAGCCTTCTCCAACC-3′ and antisense, 5′-GAACCCAGGTCCTCGCTT-3′; and GADPH sense, 5′-AACGACCCCTTCATTGACC-3′ and antisense, 5′-TCAGATGCCTGCTTCACC-3′, which was used as an internal control. The PCR products (10 μl) were separated on 2% agarose gel and visualized by ethidium bromide staining. The gel image was captured and analyzed using Quantity One software (Tanon Science and Technology Co., Shanghai, China).

Statistical analysis

All the experiments were repeated at least three times. Data are reported as means ± standard deviation. The statistically significant differences of the test compounds compared to the untreated control were calculated using the Student’s t-test. P<0.05 was considered to indicate a statistically significant difference.

Results

Effect of lonimacranthoide VI on the cell viability

To evaluate the anti-inflammatory effects of lonimacranthoide VI, a murine RAW264.7 macrophages in vitro model was used. RAW264.7 cells were treated with various concentrations of lonimacranthoide VI and cell viability was measured using the MTT assay. As shown in Fig. 2, the resulting survival curve shows that lonimacranthoide VI does not have cytotoxic effects on the proliferation of cells. As lonimacranthoide VI showed no cytotoxicity at concentrations ≤100 μM in RAW264.7 macrophages, lonimacranthoide VI was used at a concentration of 0–100 μM for the remaining experiments.

Figure 2

Effect of lonimacranthoide VI on the viability of RAW264.7 cells, as determined by the MTT assay.

Effect of lonimacranthoide VI on serum PGE2 concentration

Since PGE2 is one of the most important inflammatory mediators, the effects of lonimacranthoide VI on the LPS-induced release of PGE2 from RAW264.7 cells were observed. The cells were pretreated with lonimacranthoide VI for 2 h followed by incubation with 100 ng/ml LPS. One day after LPS treatment, the PGE2 contents in the culture medium were detected. The LPS-induced PGE2 secretion level was inhibited by treatment with the compound at all the doses examined (IC50=0.25 μM) and the maximum inhibition was observed at a dose of 100 μM (Fig. 3). Indomethacin (IM) was used as a positive control.

Figure 3

Inhibitory effects of lonimacranthoide VI on LPS-induced PGE2 production in RAW264.7 macrophage cells. *P<0.01 vs. control; **P<0.01 vs. LPS. C, control; LPS, lipopolysaccharides; PGE2, prostaglandin E2.

In vitro COX inhibition

COX-1 and COX-2 catalyze the biosynthesis of PGH2 from the AA substrate. The inhibition of COX-1 results in certain undesirable side-effects, whereas COX-2 inhibition provides therapeutic effects in pain, inflammation, cancer, glaucoma, Alzheimer’s and Parkinson disease (7). Therefore, the present study aimed to examine the COX-1 and COX-2 inhibitory activity of lonimacranthoide VI on purified enzymes as a mechanism of topical anti-inflammatory action. The compound showed inhibitory effects on COX-1 and COX-2 (Tables I and II). Furthermore, 10 μM lonimacranthoide VI inhibited COX-2, whereas the dose had no effect on COX-1.

Table I

Inhibitory effects of lonimacranthoide VI on in vitro COX-1 enzyme activity.

Table I

Inhibitory effects of lonimacranthoide VI on in vitro COX-1 enzyme activity.

GroupPGF2α, pg/mlInhibitory rate, %
COX-1 inhibitor tubes3.5±0.3-
COX-1 100% initial activity tubes151.4±21.5-
IM, μmol/l
 103.5±0.597.68
Lonimacranthoide VI, μmol/l
 10015.0±0.890.08
 10143.1±45.55.45
 1205.5±3.0−35.80

[i] COX-1, cyclooxygenase-1; PGF2α, prostaglandin F2α; IM, indomethacin.

Table II

Inhibitory effects of lonimacranthoide VI on in vitro COX-2 enzyme activity.

Table II

Inhibitory effects of lonimacranthoide VI on in vitro COX-2 enzyme activity.

GroupPGF2α, pg/mlInhibitory rate, %
COX-2 inhibitor tubes0.9±0.1-
COX-2 100% initial activity tubes144.5±29.3-
NS-398, μmol/l
 1037.3±4.174.19
Lonimacranthoide VI, μmol/l
 10040.5±7.071.99
 10116.5±5.619.39
 1143.5±6.50.66

[i] COX-2, cyclooxygenase-2; PGF2α, prostaglandin F2α.

Effects of lonimacranthoide VI on mRNA expression of COX-1 and COX-2

To investigate the effects of lonimacranthoide VI on mRNA expression of COX-1 and COX-2, the RAW264.7 macrophage cells were pre-treated with the compound at various concentrations ranging 1–100 μM and were stimulated with 100 ng/ml LPS for 24 h. The COX-2 non-selective inhibitor, IM, was used as a standard drug for comparing the ability of lonimacranthoide VI in modulating the pro-inflammatory genes, COX-1 and COX-2. As shown in Fig. 4, 100 ng/ml LPS can stimulate COX-2 mRNA expression, whereas it had no significant effects on the COX-1 mRNA expression. In addition, 100 μM lonimacranthoide VI can significantly suppress the mRNA expression of COX-1 and COX-2 in the LPS-stimulated RAW264.7 macrophage cells as compared to LPS-treated cells alone. However, the presence of IM only produced a significant reduction of COX-2 mRNA expression in LPS-treated cells.

Figure 4

Effects of lonimacranthoide VI on COX-1 and COX-2 mRNA expression in LPS-induced RAW264.7 macrophage cells. Lane 1, control; lane 2, LPS (100 nmol/l); lane 3, LPS+IM (100 nmol/l); lane 4, LPS+lonimacranthoide VI (100 μmol/l); lane 5, LPS+lonimacranthoide VI (10 μmol/l); and lane 6, LPS+lonimacranthoide VI (1 μmol/l). COX, cyclooxygenase; LPS, lipopolysaccharides; IM, indomethacin.

Discussion

Natural products play a significant role in drug discovery and development. The search for natural products with anti-inflammatory activity has increased in recent years (8). The dried flower buds of Lonicera macranthoides Hand.-Mazz., a plant of Lonicera in Caprifoliaceae, are commonly used in traditional Chinese medicine in the Southwest of China (9). Lonicera plants have antipyretic and detoxification properties and have been widely used to treat carbuncles and boils, toxins in blood, fever and colds (9). The study by Liu et al (10) reported that the total saponins of Lonicera fulvotnetosa Hsu et S. C. Cheng. Ms could inhibit the mouse ear edema provoked by croton oil and also the carrageenan-induced hind paw edema in rats. Following this, loniceroside A and loniceroside C, isolated from Lonicera japonica, were shown to possess anti-inflammatory activity in a croton oil-induced ear edema model in vivo (11,12). In the present study, lonimacranthoide VI was demonstrated to inhibit the LPS-induced production of PGE2, indicating anti-inflammatory effects. Therefore, lonimacranthoide VI is an important anti-inflammatory constituent of Lonicera macranthoides.

Inflammation is the response towards the presence of pathogens, chemicals or mechanical injury. The inflammatory response is induced by inflammatory mediators generated via a series of inducible genes that have critical functions in the host immune defence, signal transduction pathways and vascular regulation. The cyclooxygenase isoforms (COX-1 and COX-2) are among the most thoroughly studied mammalian oxygenases involved in the inflammation response pathway (13). The results of Fig. 4 and Table II indicated that lonimacranthoide VI appeared to produce a significant dose-dependent reduction on the mRNA expression and in vitro activity of COX-2. By contrast, lonimacranthoide VI (concentration range, 1–10 μM) did not suppress the mRNA expression and in vitro activity of COX-1 (Fig. 4, Table I) in the LPS-stimulated RAW264.7 macrophage cells as compared to LPS-treated cells alone. However, the COX-1 gene expression and in vitro activity of 100 μmol/l lonimacranthoide VI was significantly lower compared to LPS-treated cells alone (Fig. 4, Table I). This indicates that higher concentrations of lonimacranthoide VI may induce inhibition of COX-1 expression and activity. The decrease in PGE2 production following lonimacranthoide VI treatment corresponded with the decrease in COX (COX-1 and COX-2) mRNA expression and in vitro activity, particularly for COX-2.

A number of studies have demonstrated that the expression of COX-2 is largely regulated by transcriptional activation (14,15). Lipopolysaccharide and other pro-inflammatory cytokines activate NF-κB, which is a mammalian transcription factor that regulates several genes important in immunity and inflammation. NF-κB binding sites have been identified on the murine COX-2 promoter, which plays a role in LPS-mediated induction of COX-2 in macrophages. In addition, binding of CCAAT-enhancer-binding proteins (C/EBPs), c-AMP response element binding proteins (CREBs) and c-Jun to the COX-2 promoter enhances its transcriptional activation (16). The present study is limited to understanding the gene expression and in vitro activity of COX-1 and COX-2 and the production of PGE2, therefore, it may be noteworthy to understand the effect of lonimacranthoide VI at the transcriptional activation level involving the NF-κB, C/EBP, CREB and c-Jun proteins.

In conclusion, lonimacranthoide VI was found to inhibit mRNA expression and in vitro activity of COX-2 and PGE2 production in a dose-dependent manner. Although lower concentrations of lonimacranthoide VI did not significantly reduce the mRNA expression and in vitro activity of COX-1 in the LPS-stimulated RAW264.7 macrophage cells, a higher concentration may possibly reduce COX-1 expression and in vitro activity further. To the best of our knowledge, this is the first study explaining the anti-inflammatory pathway of lonimacranthoide VI, which provides support to the traditional utilization of this plant in pain and inflammation. The study clearly indicates that lonimacranthoide VI inhibits the production of PGE2 via the inhibition of COX-2 expression and activity; however, caution is recommended as LMS4-1 may inhibit the COX-1 expression at higher doses.

Acknowledgements

The present study was financially supported by the Open Fund of Jiangsu Key Laboratory for Bioresources of Saline Soils (grant no. JKLBS2013003), the Institute of Botany, Jiangsu Province and the Chinese Academy of Sciences (grant no. 201201), the Jiangsu Provincial Natural Science Foundation of China (grant no. BK20131338) and the National Key Technologies R&D Program of China during the 11th Five-Year Plan Period (grant no. 2009ZX09103-397).

References

1 

Ricciotti E and FitzGerald GA: Prostaglandins and inflammation. Arterioscler Thromb Vasc Biol. 31:986–1000. 2011. View Article : Google Scholar

2 

Williams CS, Mann M and DuBois RN: The role of cyclooxygenases in inflammation, cancer, and development. Oncogene. 18:7908–7916. 1999. View Article : Google Scholar : PubMed/NCBI

3 

Shan Y, Feng X, Guan FQ, et al: The preparation and pharmaceutical applications of a new triterpenoid saponin from Lonicera macranthoides. Patent 201110284742.8. Filed September 23, 2011; issued April 25, 2012.

4 

Shan J, Fu J, Zhao Z, Kong X, Huang H, Luo L and Yin Z: Chlorogenic acid inhibits lipopolysaccharide-induced cyclooxygenase-2 expression in RAW264.7 cells through suppressing NF-kappaB and JNK/AP-1 activation. Int Immunopharmacol. 9:1042–1048. 2009. View Article : Google Scholar : PubMed/NCBI

5 

Shi S, Jiang D, Dong C and Tu P: Triterpene saponins from Clematis mandshurica. J Nat Prod. 69:1591–1595. 2006. View Article : Google Scholar

6 

Kim DH, Shin EK, Kim YH, Lee BW, Jun JG, Park JH and Kim JK: Suppression of inflammatory responses by celastrol, a quinone methide triterpenoid isolated from Celastrus regelii. Eur J Clin Invest. 39:819–827. 2009. View Article : Google Scholar : PubMed/NCBI

7 

Blobaum AL and Marnett LJ: Structural and functional basis of cyclooxygenase inhibition. J Med Chem. 50:1425–1441. 2007. View Article : Google Scholar : PubMed/NCBI

8 

Chen S: Natural products triggering biological targets - a review of the anti-inflammatory phytochemicals targeting the arachidonic acid pathway in allergy asthma and rheumatoid arthritis. Curr Drug Targets. 12:288–301. 2011. View Article : Google Scholar : PubMed/NCBI

9 

Xu XF, Li HJ, Li P, Feng X and Yuan CQ: Chemical constituents in bud of Lonicera macranthoides. Chin J Nat Med. 1:45–48. 2006.

10 

Liu J, Xia L and Chen XF: The antiinflammatory of total saponins from Lonicera fulvotnetosa Hsu et S. C. Cheng Ms. Chin Pharmacol Bull. 9:3951988.

11 

Lee SJ, Shin EJ, Son KH, Chang HW, Kang SS and Kim HP: Anti-inflammatory activity of the major constituents of Lonicera japonica. Arch Pharm Res. 18:133–135. 1995. View Article : Google Scholar

12 

Kwak WJ, Han CK, Chang HW, Kim HP, Kang SS and Son KH: Loniceroside C, an antiinflammatory saponin from Lonicera japonica. Chem Pharm Bull (Tokyo). 51:333–335. 2003. View Article : Google Scholar : PubMed/NCBI

13 

Clària J: Cyclooxygenase-2 biology. Curr Pharm Des. 9:2177–2190. 2003.

14 

Mestre JR, Rivadeneira DE, Mackrell PJ, et al: Overlapping CRE and E-box promoter elements can independently regulate COX-2 gene transcription in macrophages. FEBS Lett. 496:147–151. 2001. View Article : Google Scholar : PubMed/NCBI

15 

Kang YJ, Wingerd BA, Arakawa T and Smith WL: Cyclooxygenase-2 gene transcription in a macrophage model of inflammation. J Immunol. 177:8111–8122. 2006. View Article : Google Scholar : PubMed/NCBI

16 

Srivastava JK, Pandey M and Gupta S: Chamomile, a novel and selective COX-2 inhibitor with anti-inflammatory activity. Life Sci. 85:663–669. 2009. View Article : Google Scholar : PubMed/NCBI

Related Articles

  • Abstract
  • View
  • Download
  • Twitter
Copy and paste a formatted citation
Spandidos Publications style
Guan F, Wang H, Shan Y, Chen Y, Wang M, Wang Q, Yin M, Zhao Y, Feng X, Zhang J, Zhang J, et al: Inhibition of COX‑2 and PGE2 in LPS‑stimulated RAW264.7 cells by lonimacranthoide VI, a chlorogenic acid ester saponin. Biomed Rep 2: 760-764, 2014.
APA
Guan, F., Wang, H., Shan, Y., Chen, Y., Wang, M., Wang, Q. ... Zhang, J. (2014). Inhibition of COX‑2 and PGE2 in LPS‑stimulated RAW264.7 cells by lonimacranthoide VI, a chlorogenic acid ester saponin. Biomedical Reports, 2, 760-764. https://doi.org/10.3892/br.2014.314
MLA
Guan, F., Wang, H., Shan, Y., Chen, Y., Wang, M., Wang, Q., Yin, M., Zhao, Y., Feng, X., Zhang, J."Inhibition of COX‑2 and PGE2 in LPS‑stimulated RAW264.7 cells by lonimacranthoide VI, a chlorogenic acid ester saponin". Biomedical Reports 2.5 (2014): 760-764.
Chicago
Guan, F., Wang, H., Shan, Y., Chen, Y., Wang, M., Wang, Q., Yin, M., Zhao, Y., Feng, X., Zhang, J."Inhibition of COX‑2 and PGE2 in LPS‑stimulated RAW264.7 cells by lonimacranthoide VI, a chlorogenic acid ester saponin". Biomedical Reports 2, no. 5 (2014): 760-764. https://doi.org/10.3892/br.2014.314
Copy and paste a formatted citation
x
Spandidos Publications style
Guan F, Wang H, Shan Y, Chen Y, Wang M, Wang Q, Yin M, Zhao Y, Feng X, Zhang J, Zhang J, et al: Inhibition of COX‑2 and PGE2 in LPS‑stimulated RAW264.7 cells by lonimacranthoide VI, a chlorogenic acid ester saponin. Biomed Rep 2: 760-764, 2014.
APA
Guan, F., Wang, H., Shan, Y., Chen, Y., Wang, M., Wang, Q. ... Zhang, J. (2014). Inhibition of COX‑2 and PGE2 in LPS‑stimulated RAW264.7 cells by lonimacranthoide VI, a chlorogenic acid ester saponin. Biomedical Reports, 2, 760-764. https://doi.org/10.3892/br.2014.314
MLA
Guan, F., Wang, H., Shan, Y., Chen, Y., Wang, M., Wang, Q., Yin, M., Zhao, Y., Feng, X., Zhang, J."Inhibition of COX‑2 and PGE2 in LPS‑stimulated RAW264.7 cells by lonimacranthoide VI, a chlorogenic acid ester saponin". Biomedical Reports 2.5 (2014): 760-764.
Chicago
Guan, F., Wang, H., Shan, Y., Chen, Y., Wang, M., Wang, Q., Yin, M., Zhao, Y., Feng, X., Zhang, J."Inhibition of COX‑2 and PGE2 in LPS‑stimulated RAW264.7 cells by lonimacranthoide VI, a chlorogenic acid ester saponin". Biomedical Reports 2, no. 5 (2014): 760-764. https://doi.org/10.3892/br.2014.314
Follow us
  • Twitter
  • LinkedIn
  • Facebook
About
  • Spandidos Publications
  • Careers
  • Cookie Policy
  • Privacy Policy
How can we help?
  • Help
  • Live Chat
  • Contact
  • Email to our Support Team