Spandidos Publications Logo
  • About
    • About Spandidos
    • Aims and Scopes
    • Abstracting and Indexing
    • Editorial Policies
    • Reprints and Permissions
    • Job Opportunities
    • Terms and Conditions
    • Contact
  • Journals
    • All Journals
    • Oncology Letters
      • Oncology Letters
      • Information for Authors
      • Editorial Policies
      • Editorial Board
      • Aims and Scope
      • Abstracting and Indexing
      • Bibliographic Information
      • Archive
    • International Journal of Oncology
      • International Journal of Oncology
      • Information for Authors
      • Editorial Policies
      • Editorial Board
      • Aims and Scope
      • Abstracting and Indexing
      • Bibliographic Information
      • Archive
    • Molecular and Clinical Oncology
      • Molecular and Clinical Oncology
      • Information for Authors
      • Editorial Policies
      • Editorial Board
      • Aims and Scope
      • Abstracting and Indexing
      • Bibliographic Information
      • Archive
    • Experimental and Therapeutic Medicine
      • Experimental and Therapeutic Medicine
      • Information for Authors
      • Editorial Policies
      • Editorial Board
      • Aims and Scope
      • Abstracting and Indexing
      • Bibliographic Information
      • Archive
    • International Journal of Molecular Medicine
      • International Journal of Molecular Medicine
      • Information for Authors
      • Editorial Policies
      • Editorial Board
      • Aims and Scope
      • Abstracting and Indexing
      • Bibliographic Information
      • Archive
    • Biomedical Reports
      • Biomedical Reports
      • Information for Authors
      • Editorial Policies
      • Editorial Board
      • Aims and Scope
      • Abstracting and Indexing
      • Bibliographic Information
      • Archive
    • Oncology Reports
      • Oncology Reports
      • Information for Authors
      • Editorial Policies
      • Editorial Board
      • Aims and Scope
      • Abstracting and Indexing
      • Bibliographic Information
      • Archive
    • Molecular Medicine Reports
      • Molecular Medicine Reports
      • Information for Authors
      • Editorial Policies
      • Editorial Board
      • Aims and Scope
      • Abstracting and Indexing
      • Bibliographic Information
      • Archive
    • World Academy of Sciences Journal
      • World Academy of Sciences Journal
      • Information for Authors
      • Editorial Policies
      • Editorial Board
      • Aims and Scope
      • Abstracting and Indexing
      • Bibliographic Information
      • Archive
    • International Journal of Functional Nutrition
      • International Journal of Functional Nutrition
      • Information for Authors
      • Editorial Policies
      • Editorial Board
      • Aims and Scope
      • Abstracting and Indexing
      • Bibliographic Information
      • Archive
    • International Journal of Epigenetics
      • International Journal of Epigenetics
      • Information for Authors
      • Editorial Policies
      • Editorial Board
      • Aims and Scope
      • Abstracting and Indexing
      • Bibliographic Information
      • Archive
    • Medicine International
      • Medicine International
      • Information for Authors
      • Editorial Policies
      • Editorial Board
      • Aims and Scope
      • Abstracting and Indexing
      • Bibliographic Information
      • Archive
  • Articles
  • Information
    • Information for Authors
    • Information for Reviewers
    • Information for Librarians
    • Information for Advertisers
    • Conferences
  • Language Editing
Spandidos Publications Logo
  • About
    • About Spandidos
    • Aims and Scopes
    • Abstracting and Indexing
    • Editorial Policies
    • Reprints and Permissions
    • Job Opportunities
    • Terms and Conditions
    • Contact
  • Journals
    • All Journals
    • Biomedical Reports
      • Information for Authors
      • Editorial Policies
      • Editorial Board
      • Aims and Scope
      • Abstracting and Indexing
      • Bibliographic Information
      • Archive
    • Experimental and Therapeutic Medicine
      • Information for Authors
      • Editorial Policies
      • Editorial Board
      • Aims and Scope
      • Abstracting and Indexing
      • Bibliographic Information
      • Archive
    • International Journal of Epigenetics
      • Information for Authors
      • Editorial Policies
      • Editorial Board
      • Aims and Scope
      • Abstracting and Indexing
      • Bibliographic Information
      • Archive
    • International Journal of Functional Nutrition
      • Information for Authors
      • Editorial Policies
      • Editorial Board
      • Aims and Scope
      • Abstracting and Indexing
      • Bibliographic Information
      • Archive
    • International Journal of Molecular Medicine
      • Information for Authors
      • Editorial Policies
      • Editorial Board
      • Aims and Scope
      • Abstracting and Indexing
      • Bibliographic Information
      • Archive
    • International Journal of Oncology
      • Information for Authors
      • Editorial Policies
      • Editorial Board
      • Aims and Scope
      • Abstracting and Indexing
      • Bibliographic Information
      • Archive
    • Medicine International
      • Information for Authors
      • Editorial Policies
      • Editorial Board
      • Aims and Scope
      • Abstracting and Indexing
      • Bibliographic Information
      • Archive
    • Molecular and Clinical Oncology
      • Information for Authors
      • Editorial Policies
      • Editorial Board
      • Aims and Scope
      • Abstracting and Indexing
      • Bibliographic Information
      • Archive
    • Molecular Medicine Reports
      • Information for Authors
      • Editorial Policies
      • Editorial Board
      • Aims and Scope
      • Abstracting and Indexing
      • Bibliographic Information
      • Archive
    • Oncology Letters
      • Information for Authors
      • Editorial Policies
      • Editorial Board
      • Aims and Scope
      • Abstracting and Indexing
      • Bibliographic Information
      • Archive
    • Oncology Reports
      • Information for Authors
      • Editorial Policies
      • Editorial Board
      • Aims and Scope
      • Abstracting and Indexing
      • Bibliographic Information
      • Archive
    • World Academy of Sciences Journal
      • Information for Authors
      • Editorial Policies
      • Editorial Board
      • Aims and Scope
      • Abstracting and Indexing
      • Bibliographic Information
      • Archive
  • Articles
  • Information
    • For Authors
    • For Reviewers
    • For Librarians
    • For Advertisers
    • Conferences
  • Language Editing
Login Register Submit
  • This site uses cookies
  • You can change your cookie settings at any time by following the instructions in our Cookie Policy. To find out more, you may read our Privacy Policy.

    I agree
Search articles by DOI, keyword, author or affiliation
Search
Advanced Search
presentation
Biomedical Reports
Join Editorial Board Propose a Special Issue
Print ISSN: 2049-9434 Online ISSN: 2049-9442
Journal Cover
November-2015 Volume 3 Issue 6

Full Size Image

Sign up for eToc alerts
Recommend to Library

Journals

International Journal of Molecular Medicine

International Journal of Molecular Medicine

International Journal of Molecular Medicine is an international journal devoted to molecular mechanisms of human disease.

International Journal of Oncology

International Journal of Oncology

International Journal of Oncology is an international journal devoted to oncology research and cancer treatment.

Molecular Medicine Reports

Molecular Medicine Reports

Covers molecular medicine topics such as pharmacology, pathology, genetics, neuroscience, infectious diseases, molecular cardiology, and molecular surgery.

Oncology Reports

Oncology Reports

Oncology Reports is an international journal devoted to fundamental and applied research in Oncology.

Experimental and Therapeutic Medicine

Experimental and Therapeutic Medicine

Experimental and Therapeutic Medicine is an international journal devoted to laboratory and clinical medicine.

Oncology Letters

Oncology Letters

Oncology Letters is an international journal devoted to Experimental and Clinical Oncology.

Biomedical Reports

Biomedical Reports

Explores a wide range of biological and medical fields, including pharmacology, genetics, microbiology, neuroscience, and molecular cardiology.

Molecular and Clinical Oncology

Molecular and Clinical Oncology

International journal addressing all aspects of oncology research, from tumorigenesis and oncogenes to chemotherapy and metastasis.

World Academy of Sciences Journal

World Academy of Sciences Journal

Multidisciplinary open-access journal spanning biochemistry, genetics, neuroscience, environmental health, and synthetic biology.

International Journal of Functional Nutrition

International Journal of Functional Nutrition

Open-access journal combining biochemistry, pharmacology, immunology, and genetics to advance health through functional nutrition.

International Journal of Epigenetics

International Journal of Epigenetics

Publishes open-access research on using epigenetics to advance understanding and treatment of human disease.

Medicine International

Medicine International

An International Open Access Journal Devoted to General Medicine.

Journal Cover
November-2015 Volume 3 Issue 6

Full Size Image

Sign up for eToc alerts
Recommend to Library

  • Article
  • Citations
    • Cite This Article
    • Download Citation
    • Create Citation Alert
    • Remove Citation Alert
    • Cited By
  • Similar Articles
    • Related Articles (in Spandidos Publications)
    • Similar Articles (Google Scholar)
    • Similar Articles (PubMed)
  • Download PDF
  • Download XML
  • View XML
Article

Effects of risedronate on the morphology and viability of gingiva-derived mesenchymal stem cells

  • Authors:
    • Bo‑Bae Kim
    • Youngkyung Ko
    • Jun‑Beom Park
  • View Affiliations / Copyright

    Affiliations: Department of Periodontics, College of Medicine, The Catholic University of Korea, Seoul 06591, Republic of Korea
  • Pages: 845-848
    |
    Published online on: September 28, 2015
       https://doi.org/10.3892/br.2015.520
  • Expand metrics +
Metrics: Total Views: 0 (Spandidos Publications: | PMC Statistics: )
Metrics: Total PDF Downloads: 0 (Spandidos Publications: | PMC Statistics: )
Cited By (CrossRef): 0 citations Loading Articles...

This article is mentioned in:



Abstract

Risedronate has been used for the prevention and treatment of postmenopausal and corticosteroid-induced osteoporosis. The present study was performed to evaluate the effects of risedronate on the morphology and viability of human stem cells derived from the gingiva. Stem cells derived from the gingiva were grown in the presence of risedronate at concentrations that ranged from 1 to 10 µM. The morphology of the cells was viewed under an inverted microscope, and cell proliferation was analyzed with a cell counting kit‑8 (CCK‑8) on days 2, 4 and 7. The untreated control group showed a spindle‑shaped, fibroblast‑like morphology. The shapes of the cells treated with 1 and 5 µM risedronate were similar to that of the control group on day 2. However, morphology of the 10 µM group markedly differed from that of the control group. The shapes of the cells in the 1, 5 and 10 µM groups were rounder, and pronounced alterations when compared with the untreated control group were noted in all groups on day 7. The cultures growing in the presence of risedronate showed decreased CCK‑8 values on day 7. In conclusion, risedronate produced notable alterations in the morphology of the cells and reduced the viability of gingival mesenchymal stem cells.

Introduction

Bisphosphonates are pyrophosphate analogues with a high affinity to hydroxyapatite crystals. These compounds can be classified into nitrogen-containing bisphosphonates (including alendronate, ibandronate, risedronate and zoledronate) and non-nitrogen-containing bisphosphonates (including etidronate and clodronate) (1). Risedronate has been approved for the prevention and treatment of postmenopausal and corticosteroid-induced osteoporosis (2). The drug is reported to reduce bone turnover and decrease resorption, chiefly through the effects on osteoclasts, with no undesirable effect on cortical porosity, thickness or on cancellous bone volume (3).

Previous studies have reported that risedronate reduces the risk for vertebral and non-vertebral fractures in postmenopausal women with osteoporosis (2). A 24-month treatment with risedronate (5 mg/day) was associated with the prevention of bone loss at the spine and hip, with reduced bone resorption and with significantly reduced concentrations of urinary type I collagen cross-linked N-terminal telopeptide and serum bone-specific alkaline phosphatase (4). Risedronate reduced the number, formation, vitality and activity of circulating osteoclast precursors in cultures and cytokines, including the receptor activator of the nuclear factor κB ligand; risedronate also reduced tumor necrosis factor-α production (5).

Mesenchymal stem cells are characterized by the osteogenic, adipogenic and chondrogenic differentiation capabilities (6). Risedronate has been shown to exert a variety of actions on mesenchymal stem cells. A previous study reported that risedronate positively affected the osteogenic differentiation of human mesenchymal stromal cells (1). However, another study showed that risedronate suppressed the osteoblast differentiation of mesenchymal stem cells (7).

The aim of the present study was to evaluate the effects of risedronate on the morphology and viability of human stem cells derived from the gingiva. Mesenchymal stem cells from the gingiva can be isolated from a minimally-invasive procedure. To the best of our knowledge, this investigation is the first to elucidate the effect of risedronate on stem cells derived from the gingiva.

Materials and methods

Materials

Minimum essential medium-α (MEM-α), fetal bovine serum (FBS) and trypsin/EDTA solution were Gibco (Thermo Fisher Scientific, Inc., Waltham, MA, USA). Unless otherwise stated, all the other chemicals and reagents were obtained from Sigma-Aldrich Co. (St. Louis, MO, USA).

Isolation and culture of the stem cells derived from gingiva

Gingival tissues removed during clinical crown-lengthening procedures were collected from healthy patients. The study was reviewed and approved by the Institutional Review Board of Seoul St. Mary's Hospital College of Medicine (Catholic University of Korea, Seoul, Republic of Korea), and informed consent was obtained from the participants.

The tissues were de-epithelialized, minced into fragments, and digested with dispase (1 mg/ml) and collagenase IV (2 mg/ml). The cells were incubated at 37°C in a humidified incubator with 5% CO2 and 95% O2.

Evaluation of stem cell morphology

The stem cells were plated at a density of 2.0×103 cells/well in 96-well plates. The cells were incubated in MEM-α (composed of 15% FBS, 10 mM ascorbic acid 2-phosphate, 200 mM L-glutamine, 100 U/ml penicillin and 100 µg/ml streptomycin) and in the presence of the risedronate at final concentrations of 0 (untreated control), 1, 5 and 10 µM. The morphology of the cells was viewed under an inverted microscope (Leica DM IRM; Leica Microsystems, Wetzlar, Germany) on days 2, 4 and 7. The images were saved as JPEG files.

Determination of cell viability

The analysis of cell viability was performed on days 2, 4 and 7. Viable cells were identified using a cell counting kit-8, (CCK-8; Dojindo, Tokyo, Japan) assay. The spectrophotometric absorbance of the samples at 450 nm was measured using a microplate reader (BioTek, Winooski, VT, USA), and the analysis was performed in triplicate.

Statistical analysis

The data are presented as mean ± standard deviation. Test of normality and one-way analysis of variance with post hoc test were performed to determine the differences between the groups with a commercially available program (SPSS 12 for Windows; SPSS Inc., Chicago, IL, USA). P<0.05 was considered to indicate a statistically significant difference.

Results

Evaluation of cell morphology

The morphology of the stem cells on day 2 is shown in Fig. 1. The untreated control group showed spindle-shaped, fibroblast-like morphology. The shapes of the cells in the 1 and 5 µM groups were similar to those of the control group. However, the 10 µM group showed significant differences when compared to the control group. The shapes of the cells in the 10 µM group were rounder and fewer cells were present.

Figure 1.

Evaluation of cell morphology on day 2 (original magnification ×200). (A) Control, (B) 1, (C) 5 and (D) 10 µM groups.

The morphology of the cells on day 4 is shown in Fig. 2. The shapes of the cells in the 1 µM group were similar to the shapes of those in the control group on day 4. Significant alterations in cytoskeletal organization were noticed in the 5 and 10 µM groups. Compared to the control group, the 5 and 10 µM groups had fewer, rounder cells.

Figure 2.

Cell morphology on day 4 (original magnification, ×200). (A) Control, (B) 1, (C) 5 and (D) 10 µM groups.

The morphology of the cells on day 7 is shown in Fig. 3. Compared with the cells in the untreated control group, those in the 1, 5 and 10 µM groups were rounder and markedly differed.

Figure 3.

Cell morphology on day 7 (original magnification, ×200). (A) Control, (B) 1, (C) 5 and (D) 10 µM groups.

Cell viability

The cell viability results for days 2, 4 and 7 are shown in Figs. 4–6, respectively. CCK-8 values are shown as a ratio of the CCK-8 result of the untreated control group. The cultures that were growing in the presence of risedronate on day 2 showed an increase in the CCK-8 value at 5 µM (Fig 4). The relative value of the CCK-8 assays at 1 and 5 µM of risedronate were 98.1±1.7 and 119.8±0.9%, respectively when the CCK-8 result of the untreated control group on day 2 was considered 100% (100.0±8.8%).

Figure 4.

Cellular viability on day 2. *P<0.05 when compared with the control.

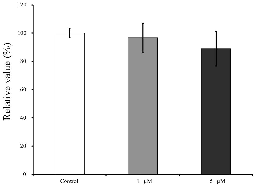
Figure 6.

Cellular viability on day 7.

The results for day 4 are shown in Fig. 5. Compared to this value, growing in the presence of risedronate at concentrations of 1 and 5 µM resulted in decreases in the CCK-8 values, to 89.3±11.5 and 87.1±9.6%, respectively, however, there were no significant differences (P>0.05).

Figure 5.

Cellular viability on day 4.

The results for day 7 are shown in Fig. 6. Relative to this value, growing in the presence of risedronate at concentrations of 1 and 5 µM resulted in decreases in the CCK-8 values to 96.7±10.3 and 89.0±12.3%, respectively.

Discussion

The present study evaluated the effects of risedronate on the morphology, cell viability and mineralization under predetermined concentrations (1–10 µM). The morphology of the cells exposed to risedronate produced fewer, rounder cells and alterations in the cytoskeletal organization. Risedronate clearly reduced the viability of mesenchymal stem cells.

Various application protocols for risedronate have been developed in order to optimize patient adherence and persistence; this was possible due to the long terminal exponential half-life of risedronate (8,9). Risedronate treatment (5 mg/day) increased bone mineral density at the lumbar, femoral neck and trochanter skeletal sites in patients recently initiated on or receiving long-term corticosteroid therapy (10). Development of a 35 mg tablet for once-a-week administration has been suggested (8,11). An alternative risedronate treatment of 75 mg on two consecutive days each month was not inferior to the 5 mg daily treatment in terms of efficacy or safety after 12 months, leading to a similar benefit (12).

The concentration of serum risedronate has been investigated in previous studies (13,14). Plasma concentration-time profiles of risedronate were evaluated following a single oral administrations at different dose times in association with breakfast, using healthy volunteers and a dose of 5 mg (13). Plasma concentration varied depending on dosage timing; the maximum concentration was 2.85 ng/ml when fasting without breakfast, 2.11 ng/ml at 30 min before breakfast, 0.19 ng/ml at 30 min after breakfast and 0.38 ng/ml at 3 h after breakfast (13). Another study showed that the dose-adjusted (dose-normalized to 1 mg) maximum concentration of a single dose with the oral administration of a 30 mg tablet was 0.16 ng/ml (14). It should be taken into account that the actual concentrations at the niche surrounding the mesenchymal stem cell and preosteoblasts in the bone marrow could be higher than the average concentration in the serum due to the affinity of risedronate for the bone matrix (1).

The effects of risedronate on mesenchymal stem cells may differ between the studies. Risedronate at concentrations of 0.3–10 µM suppressed the formation of mineralized nodules and the expression of osteoblast gene markers, including bone sialoprotein and osteocalcin (7). The addition of risedronate resulted in a significant downregulation of gene sets for osteoblast differentiation and proliferation in endothelial progenitor cells (15). Conversely, risedronate at 0.01 and 0.001 µM positively affected the osteogenic differentiation of human mesenchymal stem cells (1). Estrogen-deficient rats treated with a low dose (0.24 µg/kg) of risedronate showed enhanced osteoblast differentiation (16). The morphological changes and the reduced viability shown in the present study may be due to higher doses of risedronate. These contrasting effects of risedronate may be attributed to the differences in culturing conditions, culturing periods, the type of cells and the system model (1,17).

Within the limits of the present study, risedronate in the tested concentrations produced notable alterations in cell morphology and reduced viability of mesenchymal stem cells. Direct application of risedronate onto oral tissues may produce adverse effects at high doses. The concentration and application time of risedronate should be meticulously controlled to obtain optimal results.

Acknowledgements

The present study was supported by the Basic Science Research Program through the National Research Foundation of Korea (NRF) funded by the Ministry of Science, Information and Communication Technology and Future Planning (grant no. NRF-2014R1A1A1003106).

References

1 

Casado-Díaz A, Santiago-Mora R, Dorado G and Quesada-Gómez JM: Risedronate positively affects osteogenic differentiation of human mesenchymal stromal cells. Arch Med Res. 44:325–334. 2013. View Article : Google Scholar : PubMed/NCBI

2 

Crandall C: Risedronate: A clinical review. Arch Intern Med. 161:353–360. 2001. View Article : Google Scholar : PubMed/NCBI

3 

Dunn CJ and Goa KL: Risedronate. A review of its pharmacological properties and clinical use in resorptive bone disease. Drugs. 61:685–712. 2001. View Article : Google Scholar : PubMed/NCBI

4 

Välimäki MJ, Farrerons-Minguella J, Halse J, Kröger H, Maroni M, Mulder H, Muñoz-Torres M, Sääf M and Snorre Øfjord E: Effects of risedronate 5 mg/d on bone mineral density and bone turnover markers in late-postmenopausal women with osteopenia: A multinational, 24-month, randomized, double-blind, placebo-controlled, parallel-group, phase III trial. Clin Ther. 29:1937–1949. 2007. View Article : Google Scholar : PubMed/NCBI

5 

D'Amelio P, Grimaldi A, Di Bella S, Tamone C, Brianza SZ, Ravazzoli MG, Bernabei P, Cristofaro MA, Pescarmona GP and Isaia G: Risedronate reduces osteoclast precursors and cytokine production in postmenopausal osteoporotic women. J Bone Miner Res. 23:373–379. 2008. View Article : Google Scholar : PubMed/NCBI

6 

Jin SH, Lee JE, Yun JH, Kim I, Ko Y and Park JB: Isolation and characterization of human mesenchymal stem cells from gingival connective tissue. J Periodontal Res. 50:461–467. 2015. View Article : Google Scholar : PubMed/NCBI

7 

Fujita H, Kurokawa K, Ogino T, Ono M, Yamamoto M, Oka T, Nakanishi T, Kobayashi N, Tanaka N, Ogawa T, et al: Effect of risedronate on osteoblast differentiation, expression of receptor activator of NF-κB ligand and apoptosis in mesenchymal stem cells. Basic Clin Pharmacol Toxicol. 109:78–84. 2011. View Article : Google Scholar : PubMed/NCBI

8 

White NJ and Perry CM: Risedronate once a week. Treat Endocrinol. 2:415–420; discussion 421. 2003. View Article : Google Scholar : PubMed/NCBI

9 

Frampton JE: Risedronate on two consecutive days per month. Drugs Aging. 26:355–362. 2009. View Article : Google Scholar : PubMed/NCBI

10 

Dougherty JA: Risedronate for the prevention and treatment of corticosteroid-induced osteoporosis. Ann Pharmacother. 36:512–516. 2002. View Article : Google Scholar : PubMed/NCBI

11 

Tauchmanovà L, De Simone G, Musella T, Orio F, Ricci P, Nappi C, Lombardi G, Colao A, Rotoli B and Selleri C: Effects of various antireabsorptive treatments on bone mineral density in hypogonadal young women after allogeneic stem cell transplantation. Bone Marrow Transplant. 37:81–88. 2006.PubMed/NCBI

12 

Delmas PD, Benhamou CL, Man Z, Tlustochowicz W, Matzkin E, Eusebio R, Zanchetta J, Olszynski WP, Recker RR and McClung MR: Monthly dosing of 75 mg risedronate on 2 consecutive days a month: Efficacy and safety results. Osteoporos Int. 19:1039–1045. 2008. View Article : Google Scholar : PubMed/NCBI

13 

Ogura Y, Gonsho A, Cyong JC and Orimo H: Clinical trial of risedronate in Japanese volunteers: A study on the effects of timing of dosing on absorption. J Bone Miner Metab. 22:120–126. 2004. View Article : Google Scholar : PubMed/NCBI

14 

Mitchell DY, Barr WH, Eusebio RA, Stevens KA, Duke FP, Russell DA, Nesbitt JD, Powell JH and Thompson GA: Risedronate pharmacokinetics and intra- and inter-subject variability upon single-dose intravenous and oral administration. Pharm Res. 18:166–170. 2001. View Article : Google Scholar : PubMed/NCBI

15 

Peris P, Atkinson EJ, Gössl M, Kane TL, McCready LK, Lerman A, Khosla S and McGregor UI: Effects of bisphosphonate treatment on circulating osteogenic endothelial progenitor cells in postmenopausal women. Mayo Clin Proc. 88:46–55. 2013. View Article : Google Scholar : PubMed/NCBI

16 

Wang G, Zhu Z, Lei C, Li M, Liu F, Mao Y, Yu Z, Liu M, Zhao X and Tang T: Low-dose risedronate sodium protects bone cells after abrupt oestrogen withdrawal. J Int Med Res. 40:1761–1774. 2012. View Article : Google Scholar : PubMed/NCBI

17 

Park JB, Zhang H, Lin CY, Chung CP, Byun Y, Park YS and Yang VC: Simvastatin maintains osteoblastic viability while promoting differentiation by partially regulating the expressions of estrogen receptors α. J Surg Res. 174:278–283. 2012. View Article : Google Scholar : PubMed/NCBI

Related Articles

  • Abstract
  • View
  • Download
  • Twitter
Copy and paste a formatted citation
Spandidos Publications style
Kim BB, Ko Y and Park JB: Effects of risedronate on the morphology and viability of gingiva-derived mesenchymal stem cells. Biomed Rep 3: 845-848, 2015.
APA
Kim, B., Ko, Y., & Park, J. (2015). Effects of risedronate on the morphology and viability of gingiva-derived mesenchymal stem cells. Biomedical Reports, 3, 845-848. https://doi.org/10.3892/br.2015.520
MLA
Kim, B., Ko, Y., Park, J."Effects of risedronate on the morphology and viability of gingiva-derived mesenchymal stem cells". Biomedical Reports 3.6 (2015): 845-848.
Chicago
Kim, B., Ko, Y., Park, J."Effects of risedronate on the morphology and viability of gingiva-derived mesenchymal stem cells". Biomedical Reports 3, no. 6 (2015): 845-848. https://doi.org/10.3892/br.2015.520
Copy and paste a formatted citation
x
Spandidos Publications style
Kim BB, Ko Y and Park JB: Effects of risedronate on the morphology and viability of gingiva-derived mesenchymal stem cells. Biomed Rep 3: 845-848, 2015.
APA
Kim, B., Ko, Y., & Park, J. (2015). Effects of risedronate on the morphology and viability of gingiva-derived mesenchymal stem cells. Biomedical Reports, 3, 845-848. https://doi.org/10.3892/br.2015.520
MLA
Kim, B., Ko, Y., Park, J."Effects of risedronate on the morphology and viability of gingiva-derived mesenchymal stem cells". Biomedical Reports 3.6 (2015): 845-848.
Chicago
Kim, B., Ko, Y., Park, J."Effects of risedronate on the morphology and viability of gingiva-derived mesenchymal stem cells". Biomedical Reports 3, no. 6 (2015): 845-848. https://doi.org/10.3892/br.2015.520
Follow us
  • Twitter
  • LinkedIn
  • Facebook
About
  • Spandidos Publications
  • Careers
  • Cookie Policy
  • Privacy Policy
How can we help?
  • Help
  • Live Chat
  • Contact
  • Email to our Support Team