Spandidos Publications Logo
  • About
    • About Spandidos
    • Aims and Scopes
    • Abstracting and Indexing
    • Editorial Policies
    • Reprints and Permissions
    • Job Opportunities
    • Terms and Conditions
    • Contact
  • Journals
    • All Journals
    • Oncology Letters
      • Oncology Letters
      • Information for Authors
      • Editorial Policies
      • Editorial Board
      • Aims and Scope
      • Abstracting and Indexing
      • Bibliographic Information
      • Archive
    • International Journal of Oncology
      • International Journal of Oncology
      • Information for Authors
      • Editorial Policies
      • Editorial Board
      • Aims and Scope
      • Abstracting and Indexing
      • Bibliographic Information
      • Archive
    • Molecular and Clinical Oncology
      • Molecular and Clinical Oncology
      • Information for Authors
      • Editorial Policies
      • Editorial Board
      • Aims and Scope
      • Abstracting and Indexing
      • Bibliographic Information
      • Archive
    • Experimental and Therapeutic Medicine
      • Experimental and Therapeutic Medicine
      • Information for Authors
      • Editorial Policies
      • Editorial Board
      • Aims and Scope
      • Abstracting and Indexing
      • Bibliographic Information
      • Archive
    • International Journal of Molecular Medicine
      • International Journal of Molecular Medicine
      • Information for Authors
      • Editorial Policies
      • Editorial Board
      • Aims and Scope
      • Abstracting and Indexing
      • Bibliographic Information
      • Archive
    • Biomedical Reports
      • Biomedical Reports
      • Information for Authors
      • Editorial Policies
      • Editorial Board
      • Aims and Scope
      • Abstracting and Indexing
      • Bibliographic Information
      • Archive
    • Oncology Reports
      • Oncology Reports
      • Information for Authors
      • Editorial Policies
      • Editorial Board
      • Aims and Scope
      • Abstracting and Indexing
      • Bibliographic Information
      • Archive
    • Molecular Medicine Reports
      • Molecular Medicine Reports
      • Information for Authors
      • Editorial Policies
      • Editorial Board
      • Aims and Scope
      • Abstracting and Indexing
      • Bibliographic Information
      • Archive
    • World Academy of Sciences Journal
      • World Academy of Sciences Journal
      • Information for Authors
      • Editorial Policies
      • Editorial Board
      • Aims and Scope
      • Abstracting and Indexing
      • Bibliographic Information
      • Archive
    • International Journal of Functional Nutrition
      • International Journal of Functional Nutrition
      • Information for Authors
      • Editorial Policies
      • Editorial Board
      • Aims and Scope
      • Abstracting and Indexing
      • Bibliographic Information
      • Archive
    • International Journal of Epigenetics
      • International Journal of Epigenetics
      • Information for Authors
      • Editorial Policies
      • Editorial Board
      • Aims and Scope
      • Abstracting and Indexing
      • Bibliographic Information
      • Archive
    • Medicine International
      • Medicine International
      • Information for Authors
      • Editorial Policies
      • Editorial Board
      • Aims and Scope
      • Abstracting and Indexing
      • Bibliographic Information
      • Archive
  • Articles
  • Information
    • Information for Authors
    • Information for Reviewers
    • Information for Librarians
    • Information for Advertisers
    • Conferences
  • Language Editing
Spandidos Publications Logo
  • About
    • About Spandidos
    • Aims and Scopes
    • Abstracting and Indexing
    • Editorial Policies
    • Reprints and Permissions
    • Job Opportunities
    • Terms and Conditions
    • Contact
  • Journals
    • All Journals
    • Biomedical Reports
      • Information for Authors
      • Editorial Policies
      • Editorial Board
      • Aims and Scope
      • Abstracting and Indexing
      • Bibliographic Information
      • Archive
    • Experimental and Therapeutic Medicine
      • Information for Authors
      • Editorial Policies
      • Editorial Board
      • Aims and Scope
      • Abstracting and Indexing
      • Bibliographic Information
      • Archive
    • International Journal of Epigenetics
      • Information for Authors
      • Editorial Policies
      • Editorial Board
      • Aims and Scope
      • Abstracting and Indexing
      • Bibliographic Information
      • Archive
    • International Journal of Functional Nutrition
      • Information for Authors
      • Editorial Policies
      • Editorial Board
      • Aims and Scope
      • Abstracting and Indexing
      • Bibliographic Information
      • Archive
    • International Journal of Molecular Medicine
      • Information for Authors
      • Editorial Policies
      • Editorial Board
      • Aims and Scope
      • Abstracting and Indexing
      • Bibliographic Information
      • Archive
    • International Journal of Oncology
      • Information for Authors
      • Editorial Policies
      • Editorial Board
      • Aims and Scope
      • Abstracting and Indexing
      • Bibliographic Information
      • Archive
    • Medicine International
      • Information for Authors
      • Editorial Policies
      • Editorial Board
      • Aims and Scope
      • Abstracting and Indexing
      • Bibliographic Information
      • Archive
    • Molecular and Clinical Oncology
      • Information for Authors
      • Editorial Policies
      • Editorial Board
      • Aims and Scope
      • Abstracting and Indexing
      • Bibliographic Information
      • Archive
    • Molecular Medicine Reports
      • Information for Authors
      • Editorial Policies
      • Editorial Board
      • Aims and Scope
      • Abstracting and Indexing
      • Bibliographic Information
      • Archive
    • Oncology Letters
      • Information for Authors
      • Editorial Policies
      • Editorial Board
      • Aims and Scope
      • Abstracting and Indexing
      • Bibliographic Information
      • Archive
    • Oncology Reports
      • Information for Authors
      • Editorial Policies
      • Editorial Board
      • Aims and Scope
      • Abstracting and Indexing
      • Bibliographic Information
      • Archive
    • World Academy of Sciences Journal
      • Information for Authors
      • Editorial Policies
      • Editorial Board
      • Aims and Scope
      • Abstracting and Indexing
      • Bibliographic Information
      • Archive
  • Articles
  • Information
    • For Authors
    • For Reviewers
    • For Librarians
    • For Advertisers
    • Conferences
  • Language Editing
Login Register Submit
  • This site uses cookies
  • You can change your cookie settings at any time by following the instructions in our Cookie Policy. To find out more, you may read our Privacy Policy.

    I agree
Search articles by DOI, keyword, author or affiliation
Search
Advanced Search
presentation
Biomedical Reports
Join Editorial Board Propose a Special Issue
Print ISSN: 2049-9434 Online ISSN: 2049-9442
Journal Cover
November-2015 Volume 3 Issue 6

Full Size Image

Sign up for eToc alerts
Recommend to Library

Journals

International Journal of Molecular Medicine

International Journal of Molecular Medicine

International Journal of Molecular Medicine is an international journal devoted to molecular mechanisms of human disease.

International Journal of Oncology

International Journal of Oncology

International Journal of Oncology is an international journal devoted to oncology research and cancer treatment.

Molecular Medicine Reports

Molecular Medicine Reports

Covers molecular medicine topics such as pharmacology, pathology, genetics, neuroscience, infectious diseases, molecular cardiology, and molecular surgery.

Oncology Reports

Oncology Reports

Oncology Reports is an international journal devoted to fundamental and applied research in Oncology.

Experimental and Therapeutic Medicine

Experimental and Therapeutic Medicine

Experimental and Therapeutic Medicine is an international journal devoted to laboratory and clinical medicine.

Oncology Letters

Oncology Letters

Oncology Letters is an international journal devoted to Experimental and Clinical Oncology.

Biomedical Reports

Biomedical Reports

Explores a wide range of biological and medical fields, including pharmacology, genetics, microbiology, neuroscience, and molecular cardiology.

Molecular and Clinical Oncology

Molecular and Clinical Oncology

International journal addressing all aspects of oncology research, from tumorigenesis and oncogenes to chemotherapy and metastasis.

World Academy of Sciences Journal

World Academy of Sciences Journal

Multidisciplinary open-access journal spanning biochemistry, genetics, neuroscience, environmental health, and synthetic biology.

International Journal of Functional Nutrition

International Journal of Functional Nutrition

Open-access journal combining biochemistry, pharmacology, immunology, and genetics to advance health through functional nutrition.

International Journal of Epigenetics

International Journal of Epigenetics

Publishes open-access research on using epigenetics to advance understanding and treatment of human disease.

Medicine International

Medicine International

An International Open Access Journal Devoted to General Medicine.

Journal Cover
November-2015 Volume 3 Issue 6

Full Size Image

Sign up for eToc alerts
Recommend to Library

  • Article
  • Citations
    • Cite This Article
    • Download Citation
    • Create Citation Alert
    • Remove Citation Alert
    • Cited By
  • Similar Articles
    • Related Articles (in Spandidos Publications)
    • Similar Articles (Google Scholar)
    • Similar Articles (PubMed)
  • Download PDF
  • Download XML
  • View XML
Article

Quantification of preeclampsia-related microRNAs in maternal serum

  • Authors:
    • Qian Li
    • Anxiong Long
    • Liansheng Jiang
    • Leiming Cai
    • Li Xie
    • Ji'an Gu
    • Xiong Chen
    • Longyi Tan
  • View Affiliations / Copyright

    Affiliations: Department of Clinical Laboratory, Shanghai First People's Hospital Baoshan Branch, Shanghai 200940, P.R. China, Department of Obstetrics and Gynecology, Shanghai First People's Hospital Baoshan Branch, Shanghai 200940, P.R. China
  • Pages: 792-796
    |
    Published online on: September 30, 2015
       https://doi.org/10.3892/br.2015.524
  • Expand metrics +
Metrics: Total Views: 0 (Spandidos Publications: | PMC Statistics: )
Metrics: Total PDF Downloads: 0 (Spandidos Publications: | PMC Statistics: )
Cited By (CrossRef): 0 citations Loading Articles...

This article is mentioned in:



Abstract

To identify the specific serum preeclampsia (PE)-related biomarkers, 10 microRNAs (miRNAs) were selected based on their reported aberrant (4 upregulated and 6 downregulated) expression in PE placenta. A total of 1,035 pregnant patients were enrolled. Finally, 32 pregnancies with PE and 32 healthy pregnancies were incorporated in the study. The expression of these 10 miRNAs in the different trimesters was determined by SYBR‑Green reverse transcription‑quantitative polymerase chain reaction. Compared with that in the healthy controls, the expression levels of miR‑152, miR‑183 and miR‑210 in PE serum were higher in the second and third trimester, whereas the expression of miR‑182 was only higher in the third trimester. The expression levels of 6 miRNAs (miR‑1, miR‑328, miR‑363, miR‑377, miR‑500 and miR‑584) that were downregulated in PE placenta showed no significant differences between pregnancies complicated by PE and healthy pregnancies throughout the 3 trimesters. Areas under the receiver operating characteristic [standard error (SE)] during the 20‑24th gestational week for predicting PE were miR‑152: 0.94 (SE, 0.026), miR‑183: 0.97 (SE, 0.031) and miR‑210: 0.93 (SE, 0.018). In conclusion, the expression levels of serum miR‑152, miR‑183 and miR‑210 were elevated since the second trimester in pregnancies complicated with PE, indicating their potentials as serum biomarkers for forecasting PE.

Introduction

Preeclampsia (PE) is a multi-systemic disorder characterized by the new onset of hypertension and proteinuria after the 20th gestation week. PE affects 2–8% pregnancies worldwide and remains one of the leading causes of maternal and neonatal mortality and morbidity (1). Although the exact pathological mechanism has not been identified, the defective placenta is recognized to have a vital role in PE (2).

MicroRNAs (miRs or miRNAs) are endogenously expressed, small (19–25 nucleotides) non-coding RNAs that regulate the expression of different genes via post-transcriptional repression. Pineles et al (3) reported differential miR expression in PE placenta for the first time. Thereafter, more investigations were performed with regards to placental miRs in PE and numerous differential placental miRs were identified, including miR-210, miR-152 and miR-584 (4–6). These studies suggested a potential role of miRs in PE pathophysiology (7).

The differential placental miRs may be present in the circulation through possible secretory machinery from cells (8). Therefore, those miRs dysregulated in placenta may be detected in serum and serve as potential biomarkers for early screening or diagnosis of PE. The aim of the present study was to quantify 10 previously reported differential placental miRs in serum and evaluate their potential value in PE early screening or diagnosis. These 10 miRs were chosen based on previous studies (3,4,6,9,10; Table I), which demonstrated differential miRs expression in placenta, including 4 upregulated miRs (miR-152, miR-182, miR-183 and miR-210) and 6 dowregulated miRs (miR-1, miR-328, miR-363, miR-377, miR-500 and miR-584).

Table I.

Characteristics of the 10 selected microRNAs.

Table I.

Characteristics of the 10 selected microRNAs.

microRNASequence of microRNASelection reason(Refs.)
miR-1 5′-UGGAAUGUAAAGAAGUAUGUAU-3′Downregulated in PE placenta(4,6)
miR-152 5′-UCAGUGCAUGACAGAACUUGG-3′Upregulated in PE placenta(4)
miR-182 5′-UUUGGCAAUGGUAGAACUCACACU-3′Upregulated in PE placenta(3,9)
miR-183 5′-UAUGGCACUGGUAGAAUUCACU-3′Upregulated in PE placenta(3)
miR-210 5′-CUGUGCGUGUGACAGCGGCUGA-3′Upregulated in PE placenta(3,4,6,10)
miR-328 5′-CUGGCCCUCUCUGCCCUUCCGU-3′Downregulated in PE placenta(6)
miR-363 5′-AAUUGCACGGUAUCCAUCUGUA-3′Downregulated in PE placenta(4)
miR-377 5′-AUCACACAAAGGCAACUUUUGU-3′Downregulated in PE placenta(4)
miR-500 5′-UAAUCCUUGCUACCUGGGUGAGA-3′Downregulated in PE placenta(6)
miR-584 5′-UUAUGGUUUGCCUGGGACUGAG-3′Downregulated in PE placenta  (6,10)

[i] PE, preeclamsia.

Materials and methods

Serum collection

The study was approved by the Local Ethics Review Board of Shanghai First People's Hospital Baoshan Branch (Shanghai, China). Peripheral blood samples were obtained from 1,035 Chinese pregnancies who received routine obstetric examination in the hospital between January 2011 and February 2014. Informed consent was obtained from every subject prior to blood collection. According to the clinical data, 32 singleton pregnancies who delivered in the hospital complicated with PE were identified in the serum bank, and 32 healthy pregnant women without complications were selected as the control based on similar maternal age at delivery within a 1-year-old gap and the same gestational week of blood sampling. The relevant clinical details for the pregnancies are shown in Table II. PE was defined as systolic pressure >140 mmHg or diastolic blood pressure >90 mmHg in 2 different occasions with proteinuria (>0.3 g/24 h) after the 20th gestation week. All the serum were collected from different trimester pregnancies after ≥8 h fasting and maintained at −80°C until used.

Table II.

Clinical characteristics of the subjects.

Table II.

Clinical characteristics of the subjects.

CharacteristicsPE (n=32)Control (n=32)
Maternal age, year28.7±3.628.1±3.8
Basic BMI, kg/m222.7±3.121.6±2.6
PE diagnosis week35.3±2.5NA
Birth weight, g3,054.4±547.53,366.9±437.6

[i] PE, preeclampsia; BMI, body mass index; NA, not applicable.

RNA extraction

Total RNA was extracted from 200 µl serum using the miRNeasy Serum/Plasma kit (Qiagen, Hilden, Germany) following the manufacturer's instructions. Synthetic spike-in control Cel-miR-39-1 (Qiagen) was used to monitor miRNA purification and amplification. The RNAs were dissolved in 14 µl RNase-free water.

miRNA reverse transcription-quantitative polymerase chain reaction (RT-qPCR) analysis

miR RT-qPCR was performed as previously described. Briefly, total RNA (4 µl) was reverse transcribed using the miScript IIRT kit (Qiagen) in a 20 µl total volume reaction system containing the miScript Primer Assay (Qiagen) on a PCR system (Bioer Technology Co., Ltd., Hangzhou, China) with the following thermal parameters: 60 min at 37°C and 5 min at 95°C. Subsequently, RT-qPCR was performed on the 7500 Real-Time PCR System (Applied Biosystems, Foster City, CA, USA) using the miScript SYBR-Green PCR kit (Qiagen) in a total reaction volume of 20 µl containing 2 µl cDNA (200X diluted). The PCR thermal parameters were as follows: A total of 15 min at 95°C, 40 cycles of 15 sec at 94°C followed by 30 sec at 55°C, and 34 sec at 70°C. All the PCR reactions were run in triplicate. The expression levels of miRs were determined utilizing the comparative CT method relative to cel-miR-39-1 (11).

Statistical analysis

Expression levels of serum miRs were compared using the Mann-Whitney U test. Receiver operating characteristic curves were plotted and the area under curve (AUC) was estimated to illustrate the potential of miRNAs being a predictive biomarker. P<0.01 was considered to indicate a statistically significant difference. All the statistical analysis was performed with SPSS 17.0 software (SPSS Inc., Chicago, IL, USA).

Results

Serum expression of the miRs (miR-152, miR-182, miR-183 and miR-210) elevated in PE placenta

Compared with those in the control group, the relative quantification of 3 miRs (miR-152, miR183 and miR-210) were elevated in pregnancies with PE since the 20th gestation week and maintained at a high level until the third trimester. The expression of miR-182 showed no difference between pregnancies with PE and healthy pregnancies in the first and second trimester. In the third trimester, the miR-182 level in pregnancies with PE was higher than that in the healthy pregnancies (Fig. 1).

Figure 1.

Box plot of the relative levels of serum (A) miR-152, (B) miR-182, (C) miR-183 and (D) miR-210 in different pregnancy trimesters. *P<0.01; n.s., no significance; N, normal; P preeclampsia.

Serum expression of the miRs (miR-1, miR-328, miR-363, miR-377, miR-500 and miR-584) that were reduced in PE placenta

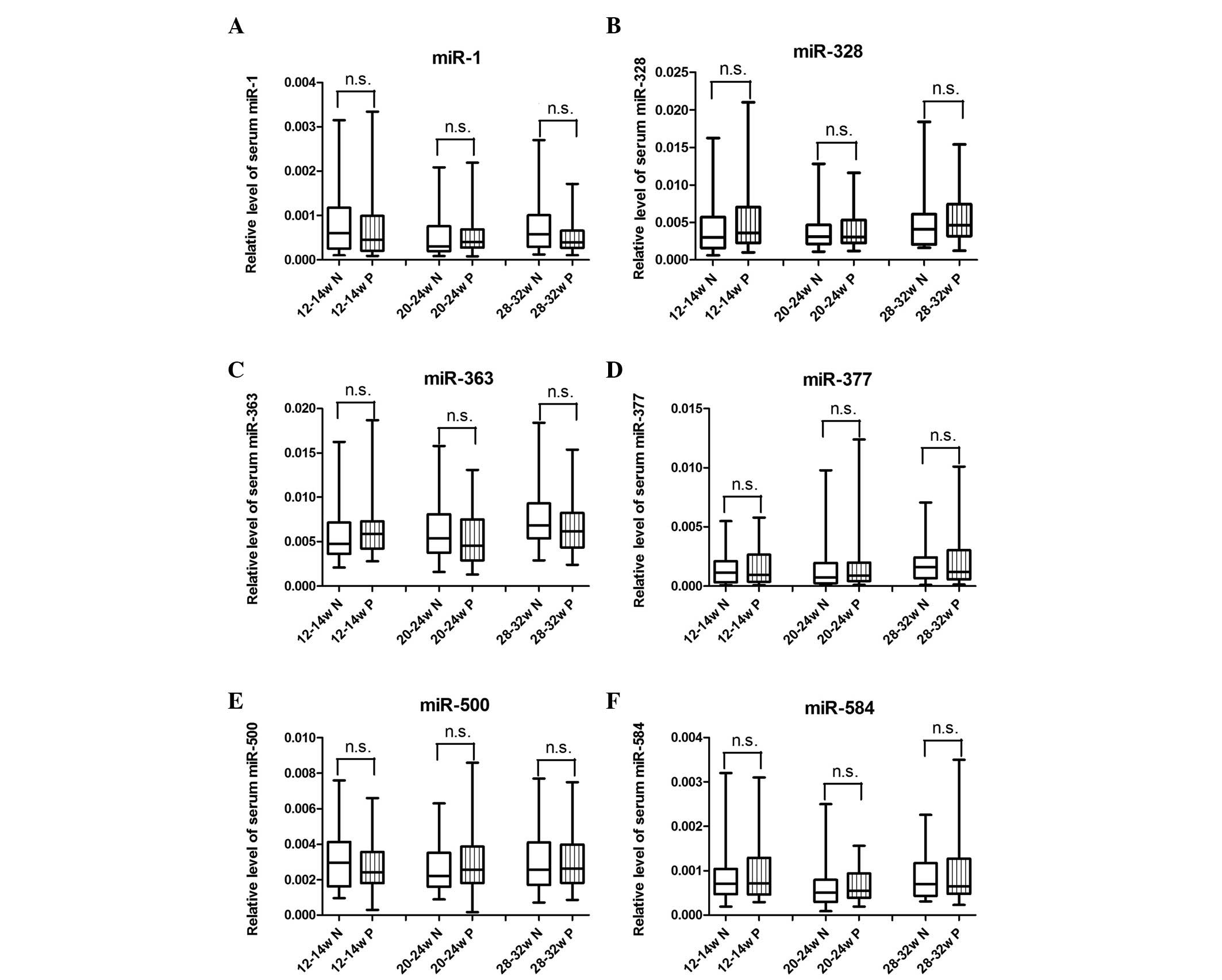
Throughout the 3 trimesters there were no significant differences of serum miRs (miR-1, miR-328, miR-363, miR-377, miR-500 and miR-584) that were reduced in PE placenta identified between pregnancies with PE and healthy pregnancies (Fig. 2).

Figure 2.

Box plot of the relative level of serum (A) miR-1, (B) miR-328, (C) miR-363, (D) miR-377, (E) miR-500 and (F) miR-584 in different pregnancy trimesters. n.s., no significance; N, normal; P, preeclampsia.

Elevated miRNAs (miR-152, miR-183 and miR-210) during the 20–24th gestational weeks may predict later onset of preeclampsia

As is shown in Fig. 3, AUC during the 20–24th gestational weeks for predicting PE of miR-152, miR-183 and miR-210 were 0.94 (SE, 0.026), 0.97 (SE, 0.031) and 0.93 (SE, 0.018), respectively.

Figure 3.

Receiver operating characteristic (ROC) curves of (A) miR-152, (B) miR-183 and (C) miR-210 during the 20–24th gestational weeks. AUC, area under curve.

Discussion

Circulating miRNAs have emerged as novel potential biomarkers for a host of diseases due to their presence and stability in the circulation (8). Previous studies on placental miRNAs in PE have indicated the involvement of miRNAs in the pathophysiology of PE. Although several reports (11–15) have already revealed the probable usefulness of measuring certain miRs for predicting the occurrence of PE, there were few overlaps among those studies and more investigation is required in order to clarify the exact role of PE-related miRNAs. The present study has quantified the relative expression levels of 10 miRNAs in maternal serum that had been reported to be dysregulated in the PE placenta.

A total of 4 miRNAs (miR-152, miR-182, miR-183 and miR-210) were identified to be upregulated significantly in the third trimester PE sera. Notably, there were 3 miRNAs (miR-152, miR-183 and miR-210) that showed significant elevation in PE sera since the second trimester. Consistent with the present results, by analyzing 15 pregnancies with mild PE and 15 pregnancies with severe PE, Zhang et al (15) found significantly elevated expression of miR-210 in PE plasma and a correlation of high plasma miR-210 with PE severity. Another study conducted by Xu et al (16) found higher circulatory miR-210 in severe PE at gestational weeks 15–18 and at term than those in the normal controls. In the present study, due to the scarcity of severe PE (only 2 cases), the correlation of the expression level of miRNAs with PE severity were not analyzed. miR-210 was validated to be regulated by NF-κB transcriptional factor p50 and HIF-1α under hypoxia (15). By targeting on hydroxysteroid dehydrogenase 1, Ephrin-A3 and Homeobox-A9, miR-210 was postulated to inhibit cell migration and vascular remodeling and thus was involved in defective placentation (17). For miR-152, inconsistent with the present results, Gunel et al (12) reported downregulated levels in PE plasma. However, no detailed data or figures concerning miR-152 expression were reported. The predicted target for miR-152 is HLA-G (18), which is downregulated in PE pregnancies (19), and to a certain extent supported the present results. As for miR-182 and miR-183, to the best of our knowledge, this is the first report that found their elevation in the serum in preeclampsic patients despite their dysregulated expression in PE placenta (3,4,9). miR-182 is a putative regulator of the Bcl-2-like gene that controls apoptosis, and a possible angiogenesis regulator via angiogenin and VEGF-B (9). Apoptosis and angiogenesis are major mechanisms involved in the pathogenesis of PE (20,21). Functional analysis indicated that miR-183 was involved in cell differentiation, apoptosis and cell invasion in various types of cancer (22). The study by Shi et al (23) revealed a promotional role of miR-183 in endometrial stromal cells and inhibition of miR-183 on cell invasive ability.

The other 6 miRNAs (miR-1, miR-328, miR-363, miR-377, miR-500 and miR-584) that were reduced in PE placenta showed no significant differences in PE sera throughout the 3 trimesters. This phenomenon may be contributed to excessive placental trophoblast apoptosis accompanied in PE, which offset the reduction of miRNAs in the placenta. Subsequently, generation sequencing in 4 pregnancies with PE in the study by Yang et al (14) identified 22 differential miRs during the third trimester of gestational age. Among these 22 dysregulated miRs, only 3 miRs (let-7d, let-7f and miR-223) were previously reported as downregulated in placenta, suggesting a poor correlation of circulating miRs in serum with miRs in placenta. Another study by Wu et al (24), using microarray analysis, identified 13 upregulated and 2 downregulated microRNAs in severe preeclamptic plasma during the 37–40th gestation weeks. Further RT-qPCR validated 7 elevated circulating microRNAs (miR-24, miR26a, miR-103, miR-130b, miR-181a, miR-342-3p and miR-574-5p). Hromadmikova et al (11) reported upregulation of circulating C19MC microRNAs (miR-516-5p, miR-517*, miR-520a*, miR-525 and miR-526a) in an established PE patient. The present results have few overlaps with these studies and no agreement was found among these researches. The inconsistency may be due to different gestational age, disease severity and experimental methods.

In the present study, blood was only sampled from pregnancies at 3 fixed gestational week periods instead of at the time of PE diagnosis. Among the 32 PE cases, only 2 cases were diagnosed as PE before the 32nd gestation week, the additional 30 cases were diagnosed as PE after the 33rd gestation week. A limitation of the study is that the diagnostic profiles of miR-152, miR-183 and miR-210 in PE were not analyzed.

In conclusion, the present study identified elevation of circulatory miR-152, miR-183 and miR-210 since the second trimester in the pregnancies complicated with PE, which indicated the potential of extracellular miRNAs to discriminate the patients at risk of later development of PE from those with normal progressing pregnancies 8–10 weeks ahead of clinical manifestations and diagnostic signs. Considering the small cohort of patients, the conclusion requires further confirmation by a larger sample size and more thorough exploration prior to clinical practice.

Acknowledgements

The present study program was supported by grants from the Shanghai Baoshan Science Foundation (grant no. 11-E-15) and the Shanghai Medical Health Development Foundation in China. The authors would like to thank Ms. Jin Minmin and Mr. Yan Bing for the serum sample collection and storage.

References

1 

Duley L: The global impact of pre-eclampsia and eclampsia. Semin Perinatol. 33:130–137. 2009. View Article : Google Scholar : PubMed/NCBI

2 

Redman CW and Sargent IL: Preeclampsia and the systemic inflammatory response. Semin Nephrol. 24:565–570. 2004. View Article : Google Scholar : PubMed/NCBI

3 

Pineles BL, Romero R, Montenegro D, Tarca AL, Han YM, Kim YM, Draghici S, Espinoza J, Kusanovic JP, Mittal P, et al: Distinct subsets of microRNAs are expressed differentially in the human placentas of patients with preeclampsia. Am J Obstet Gynecol. 196:261.e1–6. 2007. View Article : Google Scholar

4 

Zhu XM, Han T, Sargent IL, Yin GW and Yao YQ: Differential expression profile of microRNAs in human placentas from preeclamptic pregnancies vs normal pregnancies. Am J Obstet Gynecol. 200:661.e1–7. 2009. View Article : Google Scholar

5 

Hu Y, Li P, Hao S, Liu L, Zhao J and Hou Y: Differential expression of microRNAs in the placentae of Chinese patients with severe pre-eclampsia. Clin Chem Lab Med. 47:923–929. 2009. View Article : Google Scholar : PubMed/NCBI

6 

Enquobahrie DA, Abetew DF, Sorensen TK, Willoughby D, Chidambaram K and Williams MA: Placental microRNA expression in pregnancies complicated by preeclampsia. Am J Obstet Gynecol. 204:178. e12–21. 2011. View Article : Google Scholar

7 

Ji L, Brkić J, Liu M, Fu G, Peng C and Wang YL: Placental trophoblast cell differentiation: Physiological regulation and pathological relevance to preeclampsia. Mol Aspects Med. 34:981–1023. 2013. View Article : Google Scholar : PubMed/NCBI

8 

Mitchell PS, Parkin RK, Kroh EM, Fritz BR, Wyman SK, Pogosova-Agadjanyan EL, Peterson A, Noteboom J, O'Briant KC, Allen A, et al: Circulating microRNAs as stable blood-based markers for cancer detection. Proc Natl Acad Sci USA. 105:10513–10518. 2008. View Article : Google Scholar : PubMed/NCBI

9 

Noack F, Ribbat-Idel J, Thorns C, Chiriac A, Axt-Fliedner R, Diedrich K and Feller AC: miRNA expression profiling in formalin-fixed and paraffin-embedded placental tissue samples from pregnancies with severe preeclampsia. J Perinat Med. 39:267–271. 2011. View Article : Google Scholar : PubMed/NCBI

10 

Betoni JS, Derr K, Pahl MC, Rogers L, Muller CL, Packard E, Carey DJ, Kuivaniemi H and Tromp G: MicroRNA analysis in placentas from patients with preeclampsia: Comparison of new and published results. Hypertens Pregnancy. 32:321–339. 2013. View Article : Google Scholar : PubMed/NCBI

11 

Hromadnikova I, Kotlabova K, Ondrackova M, Kestlerova A, Novotna V, Hympanova L, Doucha J and Krofta L: Circulating C19MC microRNAs in preeclampsia, gestational hypertension, and fetal growth restriction. Mediators Inflamm. 2013:1860412013. View Article : Google Scholar : PubMed/NCBI

12 

Gunel T, Zeybek YG, Akçakaya P, Kalelioğlu I, Benian A, Ermis H and Aydınlı K: Serum microRNA expression in pregnancies with preeclampsia. Genet Mol Res. 10:4034–4040. 2011. View Article : Google Scholar : PubMed/NCBI

13 

Hromadnikova I, Kotlabova K, Doucha J, Dlouha K and Krofta L: Absolute and relative quantification of placenta-specific micrornas in maternal circulation with placental insufficiency-related complications. J Mol Diagn. 14:160–167. 2012. View Article : Google Scholar : PubMed/NCBI

14 

Yang Q, Lu J, Wang S, Li H, Ge Q and Lu Z: Application of next-generation sequencing technology to profile the circulating microRNAs in the serum of preeclampsia versus normal pregnant women. Clin Chim Acta. 412:2167–2173. 2011. View Article : Google Scholar : PubMed/NCBI

15 

Zhang Y, Fei M, Xue G, Zhou Q, Jia Y, Li L, Xin H and Sun S: Elevated levels of hypoxia-inducible microRNA-210 in pre-eclampsia: New insights into molecular mechanisms for the disease. J Cell Mol Med. 16:249–259. 2012. View Article : Google Scholar : PubMed/NCBI

16 

Xu P, Zhao Y, Liu M, Wang Y, Wang H, Li YX, Zhu X, Yao Y, Wang H, Qiao J, et al: Variations of microRNAs in human placentas and plasma from preeclamptic pregnancy. Hypertension. 63:1276–1284. 2014. View Article : Google Scholar : PubMed/NCBI

17 

Ishibashi O, Ohkuchi A, Ali MM, Kurashina R, Luo SS, Ishikawa T, Takizawa T, Hirashima C, Takahashi K, Migita M, et al: Hydroxysteroid (17-β) dehydrogenase 1 is dysregulated by miR-210 and miR-518c that are aberrantly expressed in preeclamptic placentas: A novel marker for predicting preeclampsia. Hypertension. 59:265–273. 2012. View Article : Google Scholar : PubMed/NCBI

18 

Tan Z, Randall G, Fan J, Camoretti-Mercado B, Brockman-Schneider R, Pan L, Solway J, Gern JE, Lemanske RF, Nicolae D, et al: Allele-specific targeting of microRNAs to HLA-G and risk of asthma. Am J Hum Genet. 81:829–834. 2007. View Article : Google Scholar : PubMed/NCBI

19 

Yie SM, Li LH, Li YM and Librach C: HLA-G protein concentrations in maternal serum and placental tissue are decreased in preeclampsia. Am J Obstet Gynecol. 191:525–529. 2004. View Article : Google Scholar : PubMed/NCBI

20 

Heazell AE and Crocker IP: Live and let die-regulation of villous trophoblast apoptosis in normal and abnormal pregnancies. Placenta. 29:772–783. 2008. View Article : Google Scholar : PubMed/NCBI

21 

Smith GC and Wear H: The perinatal implications of angiogenic factors. Curr Opin Obstet Gynecol. 21:111–116. 2009. View Article : Google Scholar : PubMed/NCBI

22 

Zhang QH, Sun HM, Zheng RZ, Li YC, Zhang Q, Cheng P, Tang ZH and Huang F: Meta-analysis of microRNA-183 family expression in human cancer studies comparing cancer tissues with noncancerous tissues. Gene. 527:26–32. 2013. View Article : Google Scholar : PubMed/NCBI

23 

Shi XY, Gu L, Chen J, Guo XR and Shi YL: Downregulation of miR-183 inhibits apoptosis and enhances the invasive potential of endometrial stromal cells in endometriosis. Int J Mol Med. 33:59–67. 2014.PubMed/NCBI

24 

Wu L, Zhou H, Lin H, Qi J, Zhu C, Gao Z and Wang H: Circulating microRNAs are elevated in plasma from severe preeclamptic pregnancies. Reproduction. 143:389–397. 2012. View Article : Google Scholar : PubMed/NCBI

Related Articles

  • Abstract
  • View
  • Download
  • Twitter
Copy and paste a formatted citation
Spandidos Publications style
Li Q, Long A, Jiang L, Cai L, Xie L, Gu J, Chen X and Tan L: Quantification of preeclampsia-related microRNAs in maternal serum. Biomed Rep 3: 792-796, 2015.
APA
Li, Q., Long, A., Jiang, L., Cai, L., Xie, L., Gu, J. ... Tan, L. (2015). Quantification of preeclampsia-related microRNAs in maternal serum. Biomedical Reports, 3, 792-796. https://doi.org/10.3892/br.2015.524
MLA
Li, Q., Long, A., Jiang, L., Cai, L., Xie, L., Gu, J., Chen, X., Tan, L."Quantification of preeclampsia-related microRNAs in maternal serum". Biomedical Reports 3.6 (2015): 792-796.
Chicago
Li, Q., Long, A., Jiang, L., Cai, L., Xie, L., Gu, J., Chen, X., Tan, L."Quantification of preeclampsia-related microRNAs in maternal serum". Biomedical Reports 3, no. 6 (2015): 792-796. https://doi.org/10.3892/br.2015.524
Copy and paste a formatted citation
x
Spandidos Publications style
Li Q, Long A, Jiang L, Cai L, Xie L, Gu J, Chen X and Tan L: Quantification of preeclampsia-related microRNAs in maternal serum. Biomed Rep 3: 792-796, 2015.
APA
Li, Q., Long, A., Jiang, L., Cai, L., Xie, L., Gu, J. ... Tan, L. (2015). Quantification of preeclampsia-related microRNAs in maternal serum. Biomedical Reports, 3, 792-796. https://doi.org/10.3892/br.2015.524
MLA
Li, Q., Long, A., Jiang, L., Cai, L., Xie, L., Gu, J., Chen, X., Tan, L."Quantification of preeclampsia-related microRNAs in maternal serum". Biomedical Reports 3.6 (2015): 792-796.
Chicago
Li, Q., Long, A., Jiang, L., Cai, L., Xie, L., Gu, J., Chen, X., Tan, L."Quantification of preeclampsia-related microRNAs in maternal serum". Biomedical Reports 3, no. 6 (2015): 792-796. https://doi.org/10.3892/br.2015.524
Follow us
  • Twitter
  • LinkedIn
  • Facebook
About
  • Spandidos Publications
  • Careers
  • Cookie Policy
  • Privacy Policy
How can we help?
  • Help
  • Live Chat
  • Contact
  • Email to our Support Team