Spandidos Publications Logo
  • About
    • About Spandidos
    • Aims and Scopes
    • Abstracting and Indexing
    • Editorial Policies
    • Reprints and Permissions
    • Job Opportunities
    • Terms and Conditions
    • Contact
  • Journals
    • All Journals
    • Oncology Letters
      • Oncology Letters
      • Information for Authors
      • Editorial Policies
      • Editorial Board
      • Aims and Scope
      • Abstracting and Indexing
      • Bibliographic Information
      • Archive
    • International Journal of Oncology
      • International Journal of Oncology
      • Information for Authors
      • Editorial Policies
      • Editorial Board
      • Aims and Scope
      • Abstracting and Indexing
      • Bibliographic Information
      • Archive
    • Molecular and Clinical Oncology
      • Molecular and Clinical Oncology
      • Information for Authors
      • Editorial Policies
      • Editorial Board
      • Aims and Scope
      • Abstracting and Indexing
      • Bibliographic Information
      • Archive
    • Experimental and Therapeutic Medicine
      • Experimental and Therapeutic Medicine
      • Information for Authors
      • Editorial Policies
      • Editorial Board
      • Aims and Scope
      • Abstracting and Indexing
      • Bibliographic Information
      • Archive
    • International Journal of Molecular Medicine
      • International Journal of Molecular Medicine
      • Information for Authors
      • Editorial Policies
      • Editorial Board
      • Aims and Scope
      • Abstracting and Indexing
      • Bibliographic Information
      • Archive
    • Biomedical Reports
      • Biomedical Reports
      • Information for Authors
      • Editorial Policies
      • Editorial Board
      • Aims and Scope
      • Abstracting and Indexing
      • Bibliographic Information
      • Archive
    • Oncology Reports
      • Oncology Reports
      • Information for Authors
      • Editorial Policies
      • Editorial Board
      • Aims and Scope
      • Abstracting and Indexing
      • Bibliographic Information
      • Archive
    • Molecular Medicine Reports
      • Molecular Medicine Reports
      • Information for Authors
      • Editorial Policies
      • Editorial Board
      • Aims and Scope
      • Abstracting and Indexing
      • Bibliographic Information
      • Archive
    • World Academy of Sciences Journal
      • World Academy of Sciences Journal
      • Information for Authors
      • Editorial Policies
      • Editorial Board
      • Aims and Scope
      • Abstracting and Indexing
      • Bibliographic Information
      • Archive
    • International Journal of Functional Nutrition
      • International Journal of Functional Nutrition
      • Information for Authors
      • Editorial Policies
      • Editorial Board
      • Aims and Scope
      • Abstracting and Indexing
      • Bibliographic Information
      • Archive
    • International Journal of Epigenetics
      • International Journal of Epigenetics
      • Information for Authors
      • Editorial Policies
      • Editorial Board
      • Aims and Scope
      • Abstracting and Indexing
      • Bibliographic Information
      • Archive
    • Medicine International
      • Medicine International
      • Information for Authors
      • Editorial Policies
      • Editorial Board
      • Aims and Scope
      • Abstracting and Indexing
      • Bibliographic Information
      • Archive
  • Articles
  • Information
    • Information for Authors
    • Information for Reviewers
    • Information for Librarians
    • Information for Advertisers
    • Conferences
  • Language Editing
Spandidos Publications Logo
  • About
    • About Spandidos
    • Aims and Scopes
    • Abstracting and Indexing
    • Editorial Policies
    • Reprints and Permissions
    • Job Opportunities
    • Terms and Conditions
    • Contact
  • Journals
    • All Journals
    • Biomedical Reports
      • Information for Authors
      • Editorial Policies
      • Editorial Board
      • Aims and Scope
      • Abstracting and Indexing
      • Bibliographic Information
      • Archive
    • Experimental and Therapeutic Medicine
      • Information for Authors
      • Editorial Policies
      • Editorial Board
      • Aims and Scope
      • Abstracting and Indexing
      • Bibliographic Information
      • Archive
    • International Journal of Epigenetics
      • Information for Authors
      • Editorial Policies
      • Editorial Board
      • Aims and Scope
      • Abstracting and Indexing
      • Bibliographic Information
      • Archive
    • International Journal of Functional Nutrition
      • Information for Authors
      • Editorial Policies
      • Editorial Board
      • Aims and Scope
      • Abstracting and Indexing
      • Bibliographic Information
      • Archive
    • International Journal of Molecular Medicine
      • Information for Authors
      • Editorial Policies
      • Editorial Board
      • Aims and Scope
      • Abstracting and Indexing
      • Bibliographic Information
      • Archive
    • International Journal of Oncology
      • Information for Authors
      • Editorial Policies
      • Editorial Board
      • Aims and Scope
      • Abstracting and Indexing
      • Bibliographic Information
      • Archive
    • Medicine International
      • Information for Authors
      • Editorial Policies
      • Editorial Board
      • Aims and Scope
      • Abstracting and Indexing
      • Bibliographic Information
      • Archive
    • Molecular and Clinical Oncology
      • Information for Authors
      • Editorial Policies
      • Editorial Board
      • Aims and Scope
      • Abstracting and Indexing
      • Bibliographic Information
      • Archive
    • Molecular Medicine Reports
      • Information for Authors
      • Editorial Policies
      • Editorial Board
      • Aims and Scope
      • Abstracting and Indexing
      • Bibliographic Information
      • Archive
    • Oncology Letters
      • Information for Authors
      • Editorial Policies
      • Editorial Board
      • Aims and Scope
      • Abstracting and Indexing
      • Bibliographic Information
      • Archive
    • Oncology Reports
      • Information for Authors
      • Editorial Policies
      • Editorial Board
      • Aims and Scope
      • Abstracting and Indexing
      • Bibliographic Information
      • Archive
    • World Academy of Sciences Journal
      • Information for Authors
      • Editorial Policies
      • Editorial Board
      • Aims and Scope
      • Abstracting and Indexing
      • Bibliographic Information
      • Archive
  • Articles
  • Information
    • For Authors
    • For Reviewers
    • For Librarians
    • For Advertisers
    • Conferences
  • Language Editing
Login Register Submit
  • This site uses cookies
  • You can change your cookie settings at any time by following the instructions in our Cookie Policy. To find out more, you may read our Privacy Policy.

    I agree
Search articles by DOI, keyword, author or affiliation
Search
Advanced Search
presentation
Biomedical Reports
Join Editorial Board Propose a Special Issue
Print ISSN: 2049-9434 Online ISSN: 2049-9442
Journal Cover
December-2020 Volume 13 Issue 6

Full Size Image

Sign up for eToc alerts
Recommend to Library

Journals

International Journal of Molecular Medicine

International Journal of Molecular Medicine

International Journal of Molecular Medicine is an international journal devoted to molecular mechanisms of human disease.

International Journal of Oncology

International Journal of Oncology

International Journal of Oncology is an international journal devoted to oncology research and cancer treatment.

Molecular Medicine Reports

Molecular Medicine Reports

Covers molecular medicine topics such as pharmacology, pathology, genetics, neuroscience, infectious diseases, molecular cardiology, and molecular surgery.

Oncology Reports

Oncology Reports

Oncology Reports is an international journal devoted to fundamental and applied research in Oncology.

Experimental and Therapeutic Medicine

Experimental and Therapeutic Medicine

Experimental and Therapeutic Medicine is an international journal devoted to laboratory and clinical medicine.

Oncology Letters

Oncology Letters

Oncology Letters is an international journal devoted to Experimental and Clinical Oncology.

Biomedical Reports

Biomedical Reports

Explores a wide range of biological and medical fields, including pharmacology, genetics, microbiology, neuroscience, and molecular cardiology.

Molecular and Clinical Oncology

Molecular and Clinical Oncology

International journal addressing all aspects of oncology research, from tumorigenesis and oncogenes to chemotherapy and metastasis.

World Academy of Sciences Journal

World Academy of Sciences Journal

Multidisciplinary open-access journal spanning biochemistry, genetics, neuroscience, environmental health, and synthetic biology.

International Journal of Functional Nutrition

International Journal of Functional Nutrition

Open-access journal combining biochemistry, pharmacology, immunology, and genetics to advance health through functional nutrition.

International Journal of Epigenetics

International Journal of Epigenetics

Publishes open-access research on using epigenetics to advance understanding and treatment of human disease.

Medicine International

Medicine International

An International Open Access Journal Devoted to General Medicine.

Journal Cover
December-2020 Volume 13 Issue 6

Full Size Image

Sign up for eToc alerts
Recommend to Library

  • Article
  • Citations
    • Cite This Article
    • Download Citation
    • Create Citation Alert
    • Remove Citation Alert
    • Cited By
  • Similar Articles
    • Related Articles (in Spandidos Publications)
    • Similar Articles (Google Scholar)
    • Similar Articles (PubMed)
  • Download PDF
  • Download XML
  • View XML
Article Open Access

Effects of platelet‑derived growth factor‑BB on cellular morphology and cellular viability of stem cell spheroids composed of bone‑marrow‑derived stem cells

  • Authors:
    • Soung-Chu Paek
    • Sae Kyung Min
    • Jun-Beom Park
  • View Affiliations / Copyright

    Affiliations: Department of Dental Implantology, Graduate School of Clinical Dental Science, The Catholic University of Korea, Seoul 06591, Republic of Korea, Department of Periodontics, College of Medicine, The Catholic University of Korea, Seoul 06591, Republic of Korea
    Copyright: © Paek et al. This is an open access article distributed under the terms of Creative Commons Attribution License.
  • Article Number: 59
    |
    Published online on: October 13, 2020
       https://doi.org/10.3892/br.2020.1366
  • Expand metrics +
Metrics: Total Views: 0 (Spandidos Publications: | PMC Statistics: )
Metrics: Total PDF Downloads: 0 (Spandidos Publications: | PMC Statistics: )
Cited By (CrossRef): 0 citations Loading Articles...

This article is mentioned in:



Abstract

Platelet‑derived growth factor‑BB (PDGF‑BB) is a potent mitogenic, angiogenic and chemoattractant, and is one of the most abundant growth factors in platelet‑derived products. The goal of the present study was to examine the effects of PDGF‑BB on cellular morphology and cellular viability using 3D stem cell cultures. On day 1, spheroids formed well in silicon‑elastomer‑based concave microwells. The addition of 10 or 100 ng/ml PDGF‑BB did not affect the morphology of the cell spheroids. During longer periods of incubation, the cell spheroids maintained their shape without noticeable alterations. The majority of cells in the spheroids exhibited green fluorescence when analyzed using a live/dead assay, indicative of live cells. On day 1, the Cell Counting Kit‑8 (CCK‑8) assay values for PDGF‑BB at 0, 10 and 100 ng/ml were 0.241±0.003, 0.227±0.001 and 0.241±0.004, respectively; on day 3, the CCK‑8 assay values for PDGF‑BB were 0.233±0.005, 0.278±0.001 and 0.194±0.003, respectively; and on day 7, they were 0.248±0.014, 0.293±0.031 and 0.346±0.034, respectively. The 100 ng/ml group showed significantly higher values compared with the control group on day 7. Together, the results of the present study showed that the addition of 10 and 100 ng/ml PDGF‑BB increased cellular viability, suggesting that PDGF‑BB may be usable in cell therapy.

Introduction

Platelet-derived growth factor-BB (PDGF-BB) is a potent mitogenic and angiogenic agent, and chemoattractant (1) that is involved in tissue repair and stimulates tissue regeneration following injury (2,3). PDGF-BB can be used for wound healing as it enhances the formation of granulation tissue (2). Furthermore, PDGF-BB induces cell migration of preosteoblast cells (4), and increases osteoclast formation and chemotaxis of osteoclast precursor cells (5). Moreover, preosteoclasts secrete PDGF, which leads to enhanced angiogenesis and osteogenesis (6). Recently, it has been shown that PDGF-BB significantly promotes stem cell proliferation and increases stem cell marker expression (7). PDGF-BB has been confirmed to stimulate mesenchymal stem cell recruitment (8), and to significantly increase the migration of adipose tissue-derived stem cells in a dose-dependent manner (9). Moreover, PDGF-BB alters gene targeting related to the differentiation of stem cells (9). Additionally, PDGF-BB facilitates bone-marrow stem-cell-based bone regeneration by enhancing the osteogenic and angiogenic capabilities of stem cells (10). However, PDGF-BB has been shown to suppress adipogenic differentiation in vitro (11).

The use of 3D cultures for assessing the effects of agents is increasing (12,13). 3D cultures can interact well with their surroundings and more accurately simulate in vivo conditions compared with 2D cultures (14). Various methods can be used to produce 3D cultures, including the hanging-drop method and bioreactors (15). The use of silicone elastomer-based concave microwells is suitable for producing spheroids (16).

To the best of our knowledge, there are no previous studies evaluating the effects of PDGF on the cell spheroids composed of bone-marrow-derived stem cells using microwells. In light of the promising findings in previous studies on PDGF-BB, the aim of the present study was to examine the effects of PDGF-BB on cellular morphology and cellular viability using 3D cultures of stem cells.

Materials and methods

Generation of cell spheroids using bone marrow mesenchymal stem cells

The Institutional Review Board of Seoul St Mary's Hospital, College of Medicine, The Catholic University of Korea reviewed and approved the present study (approval no. KC19SESI0234). Human bone marrow mesenchymal stem cells (BMSCs; Catholic MASTER cells) were obtained from the Catholic Institute of Cell Therapy (CIC) (17). CIC verified that all samples showed >90% positive CD-73 and CD-90 expression. The Catholic MASTER Cells supplied by CIC were derived from human bone marrow donated by healthy donors who provided informed consent.

Fig. 1 shows an overview of the study design. The cells were plated on a culture dish, and any cells which did not adhere to the dish after 2 days were removed. The culture medium was replaced every 2 or 3 days, and the BMSCs were grown in a humidified incubator with an atmosphere of 95% air and 5% CO2 at 37˚C. Commercially available concave microwells (cat. no. H389600; StemFIT 3D; MicroFIT) was used to establish the stem cell spheroids. A total of 1x106 cells was added to each well, and 1 ml medium was added to each microwell. The cell spheroids of BMSCs were treated with 0, 10 or 100 ng/ml PDGF-BB, based on previous studies (7,18). Their morphological characteristics were evaluated using an inverted microscope (Leica DM IRM, Leica Microsystems GmbH). The morphology of the spheroids was evaluated on days 1, 3 and 7.

Figure 1

Overview of the design of the present study.

Determination of cellular viability

The stem cell spheroids were cultured in growth medium and a commercially available two-color assay based on plasma membrane integrity and esterase activity (Live/Dead kit assay; Molecular Probes; Thermo Fisher Scientific, Inc.) was used for qualitative analysis of the stem cell spheroids on days 1 and 3 according to the manufacturer's protocol. A Cell Counting Kit-8 (CCK-8) assay was also used to assess cell viability according to the manufacturer's protocol (Dojindo Molecular Technologies, Inc.). Absorbance was measured at 450 n using a microplate reader (BioTek Instruments, Inc.).

Statistical analysis

Statistical analysis was performed using SPSS version 12 (SPSS, Inc.). Data are presented as the mean ± the standard deviation. A normality and equal variance test was performed. Subsequently, a two-way ANOVA was used to evaluate the effects of concentration and time points, with a post hoc test Tukey's to compare the differences amongst groups. P<0.05 was considered to indicate a statistically significant difference.

Results

Morphological characteristics of stem cell spheroids with human bone marrow-derived stem cells

Intact stem cell spheroids were established in concave microwells made of a silicone elastomer on day 1 (Fig. 2). The addition of 10 or 100 ng/ml PDGF-BB did not affect cell spheroid morphology after 3 days (Fig. 2). Following longer periods of incubation of 7 days, the cell spheroids maintained their shape, and no noticeable alterations were observed.

Figure 2

Morphology of the stem cell spheroids on days 1, 3 and 7. Scale bar, 200 µm. Magnification, x200.

Determination of cellular viability

Figs. 3-5 show the results of qualitative cell spheroid viability analyzed using a live/dead assay on days 1, 3 and 7, respectively. In all cases, the majority of cells in the spheroids presented green fluorescence when analyzed using the live/dead assay, indicating that the majority of cells were alive.

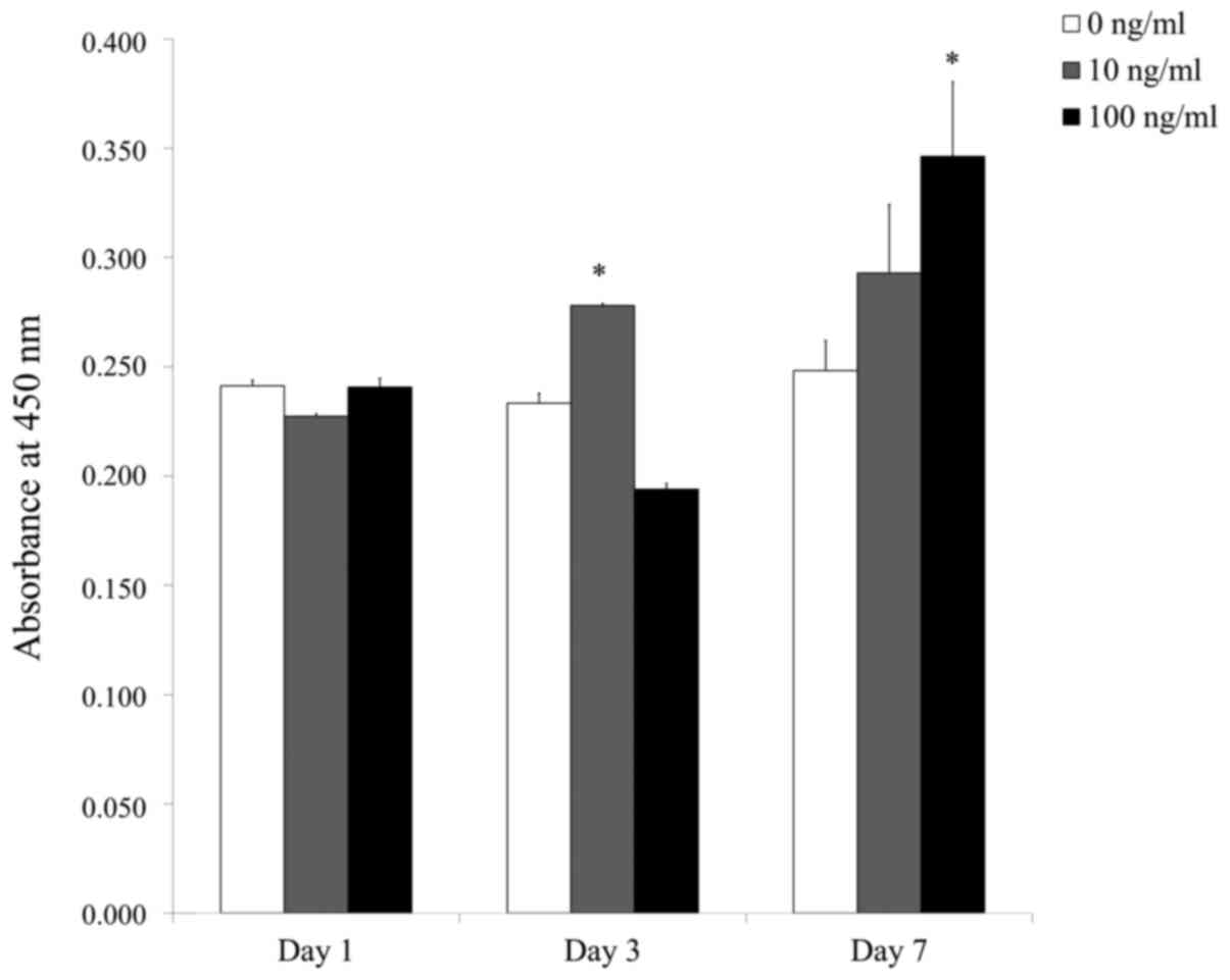
Fig. 6 shows quantitative results of cellular viability on days 1, 3 and 7. On day 1, the CCK-8 assay values for PDGF-BB at 0, 10 and 100 ng/ml were 0.241±0.003, 0.227±0.001 and 0.241±0.004, respectively; on day 3, the CCK-8 assay values for 0, 10 and 100 ng/ml PDGF-BB were 0.233±0.005, 0.278±0.001 and 0.194±0.003, respectively; and on day 7, they were 0.248±0.014, 0.293±0.031 and 0.346±0.034, respectively. On day 3, the 10 ng/ml group showed significantly higher viability compared with the control group (P<0.05), and on day 7 the 100 ng/ml group showed significantly increased viability compared with the control group (P<0.05).

Figure 6

Cellular viability was assessed using a Cell Counting Kit-8 assay on days 1, 3 and 7. *P<0.05 vs. respective control.

Discussion

The aim of the present study was to assess the effects of PDGF-BB on cellular morphology and cellular viability of stem cell spheroids produced using 3D culturing methods. Treatment with 10 and 100 ng/ml PDGF-BB increased cellular viability.

PDGF-BB is applied with bone matrix for the clinical treatment of intraosseous periodontal defects (19). PDGF-BB applied with an osteoconductive bone matrix exhibits similar or superior efficacy to autogenous bone grafts in terms of bone regeneration (20). Histological analysis has shown that the addition of recombinant human PDGF-BB (rhPDGF-BB) to bone marrow stem cells and β-tricalcium phosphate yields superior performance when compared with a β-tricalcium phosphate group (18). When PDGF-BB was delivered to tooth-supporting osseous defects, an increased release of pyridinoline cross-linked carboxyterminal telopeptide of type I collagen (a biomarker of bone turnover) was observed. This increase promoted periodontal regeneration (21). Furthermore, rhPDGF-BB can be applied to ridge augmentation, which is necessary for implant installation (22). The effects of PDGF-BB, a potent osteoinductive factor, are modulated by pro-inflammatory cytokines (23). PDGF-BB enhances the chemotaxis of osteoclast precursor cells and the formation of osteoclasts (5).

The effects of different concentrations of PDGF-BB have been evaluated in previous studies (7,18,24-26). rhPDGF-BB concentrations of 0, 10, and 50 ng/ml were evaluated for stem cell proliferation and differentiation, and it was shown that 50 ng/ml increased osteogenic differentiation, as exhibited by increased alkaline phosphatase activity and elevated mRNA expression levels of osteogenic genes (18). Similarly, PDGF-BB stimulated the proliferation of human periodontal ligament cells with maximal effects observed with 50 ng/ml (7). In the present study, 10 and 100 ng/ml PDGF-BB increased cellular viability. Moreover, 100 ng/ml appeared to be more effective when cells were incubated for a longer period of 7 days. However, it should be noted that this was based on qualitative evaluation of trends in the data rather than a statistically significant difference in the effects of the two concentrations. Moreover, the use of only two concentrations of 10 and 100 ng/ml may be considered a limitation of the present study. In a previous study, application of PDGF-BB at the physiologically relevant concentration of 20 ng/ml promoted osteogenic differentiation and vascular network stability (24). In an in vivo experiment, mice were treated with 0.25 or 1 mg/ml/day PDGF-BB, and PDGF-BB treatment yielded a range of favorable results (25). A meta-analysis found that 0.3 mg/ml PDGF-BB exhibited greater capacity for clinical periodontal regeneration than other concentrations (26). However, when using 3D cultures, several considerations should be taken into account. The cells in the center of a spheroid may receive insufficient oxygen and nutrients and it is difficult to evaluate the actual conditions of the cells in the central area (27,28). Discrepancies in cellular viability between groups and times may result from culture conditions, interactions between the cells and the distribution of nutrients and waste (29,30).

Several studies have explored the molecular mechanisms modulated by PDGF-BB (20,23,31-33), and PDGF-BB is known to initiate the repair and regeneration of bone and surrounding soft tissue (20). The effects of PDGF-BB on mesenchymal stem cells and endothelial cells may be explained by notch signaling, the PI3K pathway, ERK pathway and the protein kinase B pathway (10,32,33). PDGF-BB was also involved in multiple signaling pathways which strongly stimulate migration and reduce sensitivity to inhibitory signals (31). PDGF-BB accelerates the maturation of collagen chains through increased lysyl oxidase activity and expression of secreted protein, acidic and rich in cysteine (7). PDGF-BB also stimulates cell proliferation and osteogenic differentiation of stem cells through the ERK pathway (34). PDGF-BB-induced ERK signaling, which has been reported to be involved in parallel stimulatory and inhibitory pathways, promotes Smad1/5/8 signaling (35).

A steady-rate of growth factor release (without burst release) is required to achieve stable results (36,37). Various scaffolds, including composite scaffolds, have been applied for clinically relevant sustained release of PDGF-BB (4). Using a partition-type tubular scaffold resulted in a steady cumulative release of 52% of PDGF-BB for 4 weeks (37). In a previous report, PDGF-BB was loaded in chitosan nanoparticles incorporated into electrospun nanofibers; this led to increased fibroblast migration, showing possible applications for wound dressing (38). Polycaprolactone electrospun fibers containing PDGF-BB-loaded chitosan nanoparticles enhanced the chemotaxic effects of PDGF-BB (38). PDGF-BB-encapsulated poly(lactic-co-glycolic acid) microspheres showed increased responses in terms of cell attachment, cell viability and release of osteogenic differentiation markers (39). Dual delivery of PDGF-BB and vascular endothelial growth factor was achieved by electrospinning chitosan and poly(ethylene oxide) into nanofibrous meshes, which led to short-term release of vascular endothelial growth factor and sustained release of PDGF-BB (40). Dual delivery of PDGF-BB and fibroblast growth factor-2 showed synergistic effects on cell proliferation, migration and secretion of vascular endothelial growth factor by endothelial progenitor cells (41).

Another means of achieving sustained growth factor release is gene therapy (42). Sustained PDGF nonviral gene delivery was attained through a gene-activated matrix delivering polyplexes of polyethylenimine-plasmid DNA encoding PDGF (42). PDGF-BB gene-modified stem cells through lentiviral delivery resulted in enhanced dentin-pulp tissue regeneration (1). Dual delivery of PDGF-BB and stem-cell-expressing bone morphogenetic protein-2 resulted in enhanced bone formation in critical-sized defects with a higher-quality od regenerated bone (43). Similarly, co-expression of PDGF-BB and vascular endothelial growth factor led to increased angiogenesis (44), as well as stable angiogenesis with long-term safety outcomes (45).

Nonetheless, some opposing results have been reported regarding the effects of PDGF-BB (7,46,47). In one study, PDGF-BB enhanced osteogenesis in adipose-derived stem cells, but not in bone marrow-derived mesenchymal stem cells (46). Conversely, PDGF-BB was found to inhibit the production of collagen, but to accelerate the maturation of collagen chains (7). Additional studies are also required before PDGF-BB can be applied confidently in socket augmentation (47).

In conclusion, the present study showed that application of 10 and 100 ng/ml PDGF-BB increased cellular viability, highlighting its potential for use in cell therapy. Further studies are required to elucidate the underlying mechanisms by which PDGF-BB exerts its beneficial effects.

Acknowledgements

Not applicable.

Funding

This study was supported by a National Research Foundation of Korea grant funded by the Korean government (MSIT) (grant no. 2020R1A2C4001624) and by the Research Fund of Seoul St. Mary's Hospital, The Catholic University of Korea.

Availability of data and materials

All data generated or analyzed during this study are included in the published article.

Authors' contributions

S-CP, SKM and J-BP designed the study, performed the experiments and data analysis, and wrote the manuscript. All authors read and approved the final manuscript.

Ethics approval and consent to participate

The present study was approved by the Institutional Review Board at Seoul St Mary's Hospital, College of Medicine and The Catholic University of Korea (approval no. KC19SESI0234). Informed consent was obtained from all participants as specified in the Declaration of Helsinki, and all of the experiments were performed in accordance with the guidelines set out in the Declaration of Helsinki.

Patient consent for publication

Not applicable.

Competing interests

The authors declare that they have no competing interests.

References

1 

Zhang M, Jiang F, Zhang X, Wang S, Jin Y, Zhang W and Jiang X: The effects of platelet-derived growth factor-BB on human dental pulp stem cells mediated dentin-pulp complex regeneration. Stem Cells Transl Med. 6:2126–2134. 2017.PubMed/NCBI View Article : Google Scholar

2 

LeGrand EK: Preclinical promise of becaplermin (rhPDGF-BB) in wound healing. Am J Surg. 176 (Suppl 2A):S48–S54. 1998.PubMed/NCBI View Article : Google Scholar

3 

Wang C, Liu Y and He D: Diverse effects of platelet-derived growth factor-BB on cell signaling pathways. Cytokine. 113:13–20. 2019.PubMed/NCBI View Article : Google Scholar

4 

Zhao X and Hadjiargyrou M: Induction of cell migration in vitro by an electrospun PDGF-BB/PLGA/PEG-PLA nanofibrous scaffold. J Biomed Nanotechnol. 7:823–829. 2011.PubMed/NCBI View Article : Google Scholar

5 

Li DQ, Wan QL, Pathak JL and Li ZB: Platelet-derived growth factor BB enhances osteoclast formation and osteoclast precursor cell chemotaxis. J Bone Miner Metab. 35:355–365. 2017.PubMed/NCBI View Article : Google Scholar

6 

Gao SY, Zheng GS, Wang L, Liang YJ, Zhang SE, Lao XM, Li K and Liao GQ: Zoledronate suppressed angiogenesis and osteogenesis by inhibiting osteoclasts formation and secretion of PDGF-BB. PLoS One. 12(e0179248)2017.PubMed/NCBI View Article : Google Scholar

7 

Mihaylova Z, Tsikandelova R, Sanimirov P, Gateva N, Mitev V and Ishkitiev N: Role of PDGF-BB in proliferation, differentiation and maintaining stem cell properties of PDL cells in vitro. Arch Oral Biol. 85:1–9. 2018.PubMed/NCBI View Article : Google Scholar

8 

Phipps MC, Xu Y and Bellis SL: Delivery of platelet-derived growth factor as a chemotactic factor for mesenchymal stem cells by bone-mimetic electrospun scaffolds. PLoS One. 7(e40831)2012.PubMed/NCBI View Article : Google Scholar

9 

Gehmert S, Gehmert S, Hidayat M, Sultan M, Berner A, Klein S, Zellner J, Müller M and Prantl L: Angiogenesis: The role of PDGF-BB on adipose-tissue derived stem cells (ASCs). Clin Hemorheol Microcirc. 48:5–13. 2011.PubMed/NCBI View Article : Google Scholar

10 

Zhang M, Yu W, Niibe K, Zhang W, Egusa H, Tang T and Jiang X: The effects of platelet-derived growth factor-BB on bone marrow stromal cell-mediated vascularized bone regeneration. Stem Cells Int. 2018(3272098)2018.PubMed/NCBI View Article : Google Scholar

11 

Jin Y, Zhang W, Liu Y, Zhang M, Xu L, Wu Q, Zhang X, Zhu Z, Huang Q and Jiang X: rhPDGF-BB via ERK pathway osteogenesis and adipogenesis balancing in ADSCs for critical-sized calvarial defect repair. Tissue Eng Part A. 20:3303–3313. 2014.PubMed/NCBI View Article : Google Scholar

12 

Edmondson R, Broglie JJ, Adcock AF and Yang L: Three-dimensional cell culture systems and their applications in drug discovery and cell-based biosensors. Assay Drug Dev Technol. 12:207–218. 2014.PubMed/NCBI View Article : Google Scholar

13 

Kim BB, Tae JY, Ko Y and Park JB: Lovastatin increases the proliferation and osteoblastic differentiation of human gingiva-derived stem cells in three-dimensional cultures. Exp Ther Med. 18:3425–3430. 2019.PubMed/NCBI View Article : Google Scholar

14 

Tae JY, Ko Y and Park JB: Evaluation of fibroblast growth factor-2 on the proliferation of osteogenic potential and protein expression of stem cell spheroids composed of stem cells derived from bone marrow. Exp Ther Med. 18:326–331. 2019.PubMed/NCBI View Article : Google Scholar

15 

Chaicharoenaudomrung N, Kunhorm P and Noisa P: Three-dimensional cell culture systems as an in vitro platform for cancer and stem cell modeling. World J Stem Cells. 11:1065–1083. 2019.PubMed/NCBI View Article : Google Scholar

16 

Tae JY, Lee H, Lee H, Ko Y and Park JB: Osteogenic potential of cell spheroids composed of varying ratios of gingiva-derived and bone marrow stem cells using concave microwells. Exp Ther Med. 16:2287–2294. 2018.PubMed/NCBI View Article : Google Scholar

17 

Jeong CH, Kim SM, Lim JY, Ryu CH, Jun JA and Jeun SS: Mesenchymal stem cells expressing brain-derived neurotrophic factor enhance endogenous neurogenesis in an ischemic stroke model. Biomed Res Int. 2014(129145)2014.PubMed/NCBI View Article : Google Scholar

18 

Xu L, Lv K, Zhang W, Zhang X, Jiang X and Zhang F: The healing of critical-size calvarial bone defects in rat with rhPDGF-BB, BMSCs, and β-TCP scaffolds. J Mater Sci Mater Med. 23:1073–1084. 2012.PubMed/NCBI View Article : Google Scholar

19 

Lee JY, Na HJ, Kim HM, Lee SC, Lee JY, Chung CP, Seol YJ and Park YJ: Comparative study of rhPDGF-BB plus equine-derived bone matrix versus rhPDGF-BB plus β-TCP in the treatment of periodontal defects. Int J Periodontics Restorative Dent. 37:825–832. 2017.PubMed/NCBI View Article : Google Scholar

20 

Friedlaender GE, Lin S, Solchaga LA, Snel LB and Lynch SE: The role of recombinant human platelet-derived growth factor-BB (rhPDGF-BB) in orthopaedic bone repair and regeneration. Curr Pharm Des. 19:3384–3390. 2013.PubMed/NCBI View Article : Google Scholar

21 

Sarment DP, Cooke JW, Miller SE, Jin Q, McGuire MK, Kao RT, McClain PK, McAllister BS, Lynch SE and Giannobile WV: Effect of rhPDGF-BB on bone turnover during periodontal repair. J Clin Periodontol. 33:135–140. 2006.PubMed/NCBI View Article : Google Scholar

22 

Scheines C, Hokett SD and Katancik JA: Recombinant human platelet-derived growth factor-BB in human alveolar ridge augmentation: A review of the literature. Int J Oral Maxillofac Implants. 33:1047–1056. 2018.PubMed/NCBI View Article : Google Scholar

23 

Davies OG, Grover LM, Lewis MP and Liu Y: PDGF is a potent initiator of bone formation in a tissue engineered model of pathological ossification. J Tissue Eng Regen Med. 12:e355–e367. 2018.PubMed/NCBI View Article : Google Scholar

24 

Hutton DL, Moore EM, Gimble JM and Grayson WL: Platelet-derived growth factor and spatiotemporal cues induce development of vascularized bone tissue by adipose-derived stem cells. Tissue Eng Part A. 19:2076–2086. 2013.PubMed/NCBI View Article : Google Scholar

25 

Ye C, Zhang W, Jiang S, Yu Y, Zhou X, Zhu L, Xue D and He R: Platelet-derived growth factor-BB attenuates titanium-particle-induced osteolysis in vivo. Growth Factors. 34:177–186. 2016.PubMed/NCBI View Article : Google Scholar

26 

Li F, Yu F, Xu X, Li C, Huang D, Zhou X, Ye L and Zheng L: Evaluation of recombinant human FGF-2 and PDGF-BB in periodontal regeneration: A systematic review and meta-analysis. Sci Rep. 7(65)2017.PubMed/NCBI View Article : Google Scholar

27 

Sirenko O, Mitlo T, Hesley J, Luke S, Owens W and Cromwell EF: High-content assays for characterizing the viability and morphology of 3D cancer spheroid cultures. Assay Drug Dev Technol. 13:402–414. 2015.PubMed/NCBI View Article : Google Scholar

28 

Park JB, Jeong JH, Lee M, Lee DY and Byun Y: Xenotransplantation of exendin-4 gene transduced pancreatic islets using multi-component (alginate, poly-L-lysine, and polyethylene glycol) microcapsules for the treatment of type 1 diabetes mellitus. J Biomater Sci Polym Ed. 24:2045–2057. 2013.PubMed/NCBI View Article : Google Scholar

29 

Barisam M, Saidi MS, Kashaninejad N and Nguyen NT: Prediction of necrotic core and hypoxic zone of multicellular spheroids in a microbioreactor with a U-shaped barrier. Micromachines (Basel). 9(94)2018.PubMed/NCBI View Article : Google Scholar

30 

Kang SH, Park JB, Kim I, Lee W and Kim H: Assessment of stem cell viability in the initial healing period in rabbits with a cranial bone defect according to the type and form of scaffold. J Periodontal Implant Sci. 49:258–267. 2019.PubMed/NCBI View Article : Google Scholar

31 

Pukac L, Huangpu J and Karnovsky MJ: Platelet-derived growth factor-BB, insulin-like growth factor-I, and phorbol ester activate different signaling pathways for stimulation of vascular smooth muscle cell migration. Exp Cell Res. 242:548–560. 1998.PubMed/NCBI View Article : Google Scholar

32 

Liang T, Zhu L, Gao W, Gong M, Ren J, Yao H, Wang K and Shi D: Coculture of endothelial progenitor cells and mesenchymal stem cells enhanced their proliferation and angiogenesis through PDGF and Notch signaling. FEBS Open Bio. 7:1722–1736. 2017.PubMed/NCBI View Article : Google Scholar

33 

Salha S and Gehmert S, Brebant V, Anker A, Loibl M, Prantl L and Gehmert S: PDGF regulated migration of mesenchymal stem cells towards malignancy acts via the PI3K signaling pathway. Clin Hemorheol Microcirc. 70:543–551. 2018.PubMed/NCBI View Article : Google Scholar

34 

Zhao Y, Zhang S, Zeng D, Xia L, Lamichhane A, Jiang X and Zhang F: rhPDGF-BB promotes proliferation and osteogenic differentiation of bone marrow stromal cells from streptozotocin-induced diabetic rats through ERK pathway. Biomed Res Int. 2014(637415)2014.PubMed/NCBI View Article : Google Scholar

35 

Tsioumpekou M, Papadopoulos N, Burovic F, Heldin CH and Lennartsson J: Platelet-derived growth factor (PDGF)-induced activation of Erk5 MAP-kinase is dependent on Mekk2, Mek1/2, PKC and PI3-kinase, and affects BMP signaling. Cell Signal. 28:1422–1431. 2016.PubMed/NCBI View Article : Google Scholar

36 

Park JB, Lee JY, Park HN, Seol YJ, Park YJ, Rhee SH, Lee SC, Kim KH, Kim TI, Lee YM, et al: Osteopromotion with synthetic oligopeptide-coated bovine bone mineral in vivo. J Periodontol. 78:157–163. 2007.PubMed/NCBI View Article : Google Scholar

37 

Chen X, Xu ML, Wang CN, Zhang LZ, Zhao YH, Zhu CL, Chen Y, Wu J, Yang YM and Wang XD: A partition-type tubular scaffold loaded with PDGF-releasing microspheres for spinal cord repair facilitates the directional migration and growth of cells. Neural Regen Res. 13:1231–1240. 2018.PubMed/NCBI View Article : Google Scholar

38 

Piran M, Vakilian S, Piran M, Mohammadi-Sangcheshmeh A, Hosseinzadeh S and Ardeshirylajimi A: In vitro fibroblast migration by sustained release of PDGF-BB loaded in chitosan nanoparticles incorporated in electrospun nanofibers for wound dressing applications. Artif Cells Nanomed Biotechnol. 46 (Suppl 1):S511–S520. 2018.PubMed/NCBI View Article : Google Scholar

39 

Mohan S, Raghavendran HB, Karunanithi P, Murali MR, Naveen SV, Talebian S, Mehrali M, Mehrali M, Natarajan E, Chan CK and Kamarul T: Incorporation of human-platelet-derived growth factor-BB encapsulated Poly(lactic-co-glycolic acid) microspheres into 3D CORAGRAF enhances osteogenic differentiation of mesenchymal stromal cells. ACS Appl Mater Interfaces. 9:9291–9303. 2017.PubMed/NCBI View Article : Google Scholar

40 

Xie Z, Paras CB, Weng H, Punnakitikashem P, Su LC, Vu K, Tang L, Yang J and Nguyen KT: Dual growth factor releasing multi-functional nanofibers for wound healing. Acta Biomater. 9:9351–9359. 2013.PubMed/NCBI View Article : Google Scholar

41 

Sufen G, Xianghong Y, Yongxia C and Qian P: bFGF and PDGF-BB have a synergistic effect on the proliferation, migration and VEGF release of endothelial progenitor cells. Cell Biol Int. 35:545–551. 2011.PubMed/NCBI View Article : Google Scholar

42 

Plonka AB, Khorsand B, Yu N, Sugai JV, Salem AK, Giannobile WV and Elangovan S: Effect of sustained PDGF nonviral gene delivery on repair of tooth-supporting bone defects. Gene Ther. 24:31–39. 2017.PubMed/NCBI View Article : Google Scholar

43 

Park SY, Kim KH, Shin SY, Koo KT, Lee YM and Seol YJ: Dual delivery of rhPDGF-BB and bone marrow mesenchymal stromal cells expressing the BMP2 gene enhance bone formation in a critical-sized defect model. Tissue Eng Part A. 19:2495–2505. 2013.PubMed/NCBI View Article : Google Scholar

44 

Banfi A, von Degenfeld G, Gianni-Barrera R, Reginato S, Merchant MJ, McDonald DM and Blau HM: Therapeutic angiogenesis due to balanced single-vector delivery of VEGF and PDGF-BB. FASEB J. 26:2486–2497. 2012.PubMed/NCBI View Article : Google Scholar

45 

Gianni-Barrera R, Burger M, Wolff T, Heberer M, Schaefer DJ, Gürke L, Mujagic E and Banfi A: Long-term safety and stability of angiogenesis induced by balanced single-vector co-expression of PDGF-BB and VEGF164 in skeletal muscle. Sci Rep. 6(21546)2016.PubMed/NCBI View Article : Google Scholar

46 

Hung BP, Hutton DL, Kozielski KL, Bishop CJ, Naved B, Green JJ, Caplan AI, Gimble JM, Dorafshar AH and Grayson WL: Platelet-derived growth factor BB enhances osteogenesis of adipose-derived but not bone marrow-derived mesenchymal stromal/stem cells. Stem Cells. 33:2773–2784. 2015.PubMed/NCBI View Article : Google Scholar

47 

Yao W, Shah B, Chan HL, Wang HL and Lin GH: Bone quality and quantity alterations after socket augmentation with rhPDGF-BB or BMPs: A systematic review. Int J Oral Maxillofac Implants. 33:1255–1265. 2018.PubMed/NCBI View Article : Google Scholar

Related Articles

  • Abstract
  • View
  • Download
  • Twitter
Copy and paste a formatted citation
Spandidos Publications style
Paek S, Min SK and Park J: Effects of platelet‑derived growth factor‑BB on cellular morphology and cellular viability of stem cell spheroids composed of bone‑marrow‑derived stem cells. Biomed Rep 13: 59, 2020.
APA
Paek, S., Min, S.K., & Park, J. (2020). Effects of platelet‑derived growth factor‑BB on cellular morphology and cellular viability of stem cell spheroids composed of bone‑marrow‑derived stem cells. Biomedical Reports, 13, 59. https://doi.org/10.3892/br.2020.1366
MLA
Paek, S., Min, S. K., Park, J."Effects of platelet‑derived growth factor‑BB on cellular morphology and cellular viability of stem cell spheroids composed of bone‑marrow‑derived stem cells". Biomedical Reports 13.6 (2020): 59.
Chicago
Paek, S., Min, S. K., Park, J."Effects of platelet‑derived growth factor‑BB on cellular morphology and cellular viability of stem cell spheroids composed of bone‑marrow‑derived stem cells". Biomedical Reports 13, no. 6 (2020): 59. https://doi.org/10.3892/br.2020.1366
Copy and paste a formatted citation
x
Spandidos Publications style
Paek S, Min SK and Park J: Effects of platelet‑derived growth factor‑BB on cellular morphology and cellular viability of stem cell spheroids composed of bone‑marrow‑derived stem cells. Biomed Rep 13: 59, 2020.
APA
Paek, S., Min, S.K., & Park, J. (2020). Effects of platelet‑derived growth factor‑BB on cellular morphology and cellular viability of stem cell spheroids composed of bone‑marrow‑derived stem cells. Biomedical Reports, 13, 59. https://doi.org/10.3892/br.2020.1366
MLA
Paek, S., Min, S. K., Park, J."Effects of platelet‑derived growth factor‑BB on cellular morphology and cellular viability of stem cell spheroids composed of bone‑marrow‑derived stem cells". Biomedical Reports 13.6 (2020): 59.
Chicago
Paek, S., Min, S. K., Park, J."Effects of platelet‑derived growth factor‑BB on cellular morphology and cellular viability of stem cell spheroids composed of bone‑marrow‑derived stem cells". Biomedical Reports 13, no. 6 (2020): 59. https://doi.org/10.3892/br.2020.1366
Follow us
  • Twitter
  • LinkedIn
  • Facebook
About
  • Spandidos Publications
  • Careers
  • Cookie Policy
  • Privacy Policy
How can we help?
  • Help
  • Live Chat
  • Contact
  • Email to our Support Team