Spandidos Publications Logo
  • About
    • About Spandidos
    • Aims and Scopes
    • Abstracting and Indexing
    • Editorial Policies
    • Reprints and Permissions
    • Job Opportunities
    • Terms and Conditions
    • Contact
  • Journals
    • All Journals
    • Oncology Letters
      • Oncology Letters
      • Information for Authors
      • Editorial Policies
      • Editorial Board
      • Aims and Scope
      • Abstracting and Indexing
      • Bibliographic Information
      • Archive
    • International Journal of Oncology
      • International Journal of Oncology
      • Information for Authors
      • Editorial Policies
      • Editorial Board
      • Aims and Scope
      • Abstracting and Indexing
      • Bibliographic Information
      • Archive
    • Molecular and Clinical Oncology
      • Molecular and Clinical Oncology
      • Information for Authors
      • Editorial Policies
      • Editorial Board
      • Aims and Scope
      • Abstracting and Indexing
      • Bibliographic Information
      • Archive
    • Experimental and Therapeutic Medicine
      • Experimental and Therapeutic Medicine
      • Information for Authors
      • Editorial Policies
      • Editorial Board
      • Aims and Scope
      • Abstracting and Indexing
      • Bibliographic Information
      • Archive
    • International Journal of Molecular Medicine
      • International Journal of Molecular Medicine
      • Information for Authors
      • Editorial Policies
      • Editorial Board
      • Aims and Scope
      • Abstracting and Indexing
      • Bibliographic Information
      • Archive
    • Biomedical Reports
      • Biomedical Reports
      • Information for Authors
      • Editorial Policies
      • Editorial Board
      • Aims and Scope
      • Abstracting and Indexing
      • Bibliographic Information
      • Archive
    • Oncology Reports
      • Oncology Reports
      • Information for Authors
      • Editorial Policies
      • Editorial Board
      • Aims and Scope
      • Abstracting and Indexing
      • Bibliographic Information
      • Archive
    • Molecular Medicine Reports
      • Molecular Medicine Reports
      • Information for Authors
      • Editorial Policies
      • Editorial Board
      • Aims and Scope
      • Abstracting and Indexing
      • Bibliographic Information
      • Archive
    • World Academy of Sciences Journal
      • World Academy of Sciences Journal
      • Information for Authors
      • Editorial Policies
      • Editorial Board
      • Aims and Scope
      • Abstracting and Indexing
      • Bibliographic Information
      • Archive
    • International Journal of Functional Nutrition
      • International Journal of Functional Nutrition
      • Information for Authors
      • Editorial Policies
      • Editorial Board
      • Aims and Scope
      • Abstracting and Indexing
      • Bibliographic Information
      • Archive
    • International Journal of Epigenetics
      • International Journal of Epigenetics
      • Information for Authors
      • Editorial Policies
      • Editorial Board
      • Aims and Scope
      • Abstracting and Indexing
      • Bibliographic Information
      • Archive
    • Medicine International
      • Medicine International
      • Information for Authors
      • Editorial Policies
      • Editorial Board
      • Aims and Scope
      • Abstracting and Indexing
      • Bibliographic Information
      • Archive
  • Articles
  • Information
    • Information for Authors
    • Information for Reviewers
    • Information for Librarians
    • Information for Advertisers
    • Conferences
  • Language Editing
Spandidos Publications Logo
  • About
    • About Spandidos
    • Aims and Scopes
    • Abstracting and Indexing
    • Editorial Policies
    • Reprints and Permissions
    • Job Opportunities
    • Terms and Conditions
    • Contact
  • Journals
    • All Journals
    • Biomedical Reports
      • Information for Authors
      • Editorial Policies
      • Editorial Board
      • Aims and Scope
      • Abstracting and Indexing
      • Bibliographic Information
      • Archive
    • Experimental and Therapeutic Medicine
      • Information for Authors
      • Editorial Policies
      • Editorial Board
      • Aims and Scope
      • Abstracting and Indexing
      • Bibliographic Information
      • Archive
    • International Journal of Epigenetics
      • Information for Authors
      • Editorial Policies
      • Editorial Board
      • Aims and Scope
      • Abstracting and Indexing
      • Bibliographic Information
      • Archive
    • International Journal of Functional Nutrition
      • Information for Authors
      • Editorial Policies
      • Editorial Board
      • Aims and Scope
      • Abstracting and Indexing
      • Bibliographic Information
      • Archive
    • International Journal of Molecular Medicine
      • Information for Authors
      • Editorial Policies
      • Editorial Board
      • Aims and Scope
      • Abstracting and Indexing
      • Bibliographic Information
      • Archive
    • International Journal of Oncology
      • Information for Authors
      • Editorial Policies
      • Editorial Board
      • Aims and Scope
      • Abstracting and Indexing
      • Bibliographic Information
      • Archive
    • Medicine International
      • Information for Authors
      • Editorial Policies
      • Editorial Board
      • Aims and Scope
      • Abstracting and Indexing
      • Bibliographic Information
      • Archive
    • Molecular and Clinical Oncology
      • Information for Authors
      • Editorial Policies
      • Editorial Board
      • Aims and Scope
      • Abstracting and Indexing
      • Bibliographic Information
      • Archive
    • Molecular Medicine Reports
      • Information for Authors
      • Editorial Policies
      • Editorial Board
      • Aims and Scope
      • Abstracting and Indexing
      • Bibliographic Information
      • Archive
    • Oncology Letters
      • Information for Authors
      • Editorial Policies
      • Editorial Board
      • Aims and Scope
      • Abstracting and Indexing
      • Bibliographic Information
      • Archive
    • Oncology Reports
      • Information for Authors
      • Editorial Policies
      • Editorial Board
      • Aims and Scope
      • Abstracting and Indexing
      • Bibliographic Information
      • Archive
    • World Academy of Sciences Journal
      • Information for Authors
      • Editorial Policies
      • Editorial Board
      • Aims and Scope
      • Abstracting and Indexing
      • Bibliographic Information
      • Archive
  • Articles
  • Information
    • For Authors
    • For Reviewers
    • For Librarians
    • For Advertisers
    • Conferences
  • Language Editing
Login Register Submit
  • This site uses cookies
  • You can change your cookie settings at any time by following the instructions in our Cookie Policy. To find out more, you may read our Privacy Policy.

    I agree
Search articles by DOI, keyword, author or affiliation
Search
Advanced Search
presentation
Biomedical Reports
Join Editorial Board Propose a Special Issue
Print ISSN: 2049-9434 Online ISSN: 2049-9442
Journal Cover
September-2021 Volume 15 Issue 3

Full Size Image

Sign up for eToc alerts
Recommend to Library

Journals

International Journal of Molecular Medicine

International Journal of Molecular Medicine

International Journal of Molecular Medicine is an international journal devoted to molecular mechanisms of human disease.

International Journal of Oncology

International Journal of Oncology

International Journal of Oncology is an international journal devoted to oncology research and cancer treatment.

Molecular Medicine Reports

Molecular Medicine Reports

Covers molecular medicine topics such as pharmacology, pathology, genetics, neuroscience, infectious diseases, molecular cardiology, and molecular surgery.

Oncology Reports

Oncology Reports

Oncology Reports is an international journal devoted to fundamental and applied research in Oncology.

Experimental and Therapeutic Medicine

Experimental and Therapeutic Medicine

Experimental and Therapeutic Medicine is an international journal devoted to laboratory and clinical medicine.

Oncology Letters

Oncology Letters

Oncology Letters is an international journal devoted to Experimental and Clinical Oncology.

Biomedical Reports

Biomedical Reports

Explores a wide range of biological and medical fields, including pharmacology, genetics, microbiology, neuroscience, and molecular cardiology.

Molecular and Clinical Oncology

Molecular and Clinical Oncology

International journal addressing all aspects of oncology research, from tumorigenesis and oncogenes to chemotherapy and metastasis.

World Academy of Sciences Journal

World Academy of Sciences Journal

Multidisciplinary open-access journal spanning biochemistry, genetics, neuroscience, environmental health, and synthetic biology.

International Journal of Functional Nutrition

International Journal of Functional Nutrition

Open-access journal combining biochemistry, pharmacology, immunology, and genetics to advance health through functional nutrition.

International Journal of Epigenetics

International Journal of Epigenetics

Publishes open-access research on using epigenetics to advance understanding and treatment of human disease.

Medicine International

Medicine International

An International Open Access Journal Devoted to General Medicine.

Journal Cover
September-2021 Volume 15 Issue 3

Full Size Image

Sign up for eToc alerts
Recommend to Library

  • Article
  • Citations
    • Cite This Article
    • Download Citation
    • Create Citation Alert
    • Remove Citation Alert
    • Cited By
  • Similar Articles
    • Related Articles (in Spandidos Publications)
    • Similar Articles (Google Scholar)
    • Similar Articles (PubMed)
  • Download PDF
  • Download XML
  • View XML
Article

Elevated levels of serum IL‑36α in patients with systemic lupus erythematosus

  • Authors:
    • Xue-Rong Wang
    • Jian-Ping Xiao
    • De-Guang Wang
  • View Affiliations / Copyright

    Affiliations: Department of Nephrology, The Second Hospital of Anhui Medical University, Hefei, Anhui 230601, P.R. China
  • Article Number: 76
    |
    Published online on: July 23, 2021
       https://doi.org/10.3892/br.2021.1452
  • Expand metrics +
Metrics: Total Views: 0 (Spandidos Publications: | PMC Statistics: )
Metrics: Total PDF Downloads: 0 (Spandidos Publications: | PMC Statistics: )
Cited By (CrossRef): 0 citations Loading Articles...

This article is mentioned in:



Abstract

The present study aimed to investigate the levels of IL‑36α and its association with disease activity in patients with systemic lupus erythematosus (SLE). A total of 60 patients with SLE and 29 healthy controls were enrolled in the present study. Disease activity was evaluated using the SLE disease activity index (SLEDAI). The serum levels of IL‑36α, IL‑36 receptor antagonist (IL‑36Ra) and IL‑17 were assessed using ELISA. The levels of IL‑36α in patients with SLE were significantly higher compared with those of healthy controls. There was a significant increase in IL‑36α in the active SLE group (SLEDAI score ≥5) compared with that of the healthy controls (P<0.001). The serum IL‑36α levels were higher in patients with active SLE than in patients with quiescent disease (P=0.012). IL‑36Ra was downregulated in patients with SLE (P=0.007). The serum IL‑17 levels were elevated in patients with SLE (P=0.036), and a positive correlation was observed between the IL‑36α and IL‑17 levels (r=0.453, P=0.003). The serum IL‑36α levels were associated with SLEDAI (r=0.374, P=0.003), proteinuria (r=0.329, P=0.010) and complement 3 (r=‑0.336, P=0.009). Patients who were receiving glucocorticoid treatment had lower IL‑36α levels than those who were not receiving glucocorticoid treatment (P=0.003). Patients with lupus nephritis had higher serum IL‑36α levels compared with those found in patients without lupus nephritis (P=0.037). The serum IL‑36α concentration was elevated in patients with SLE, and was correlated with disease activity and IL‑17 levels. The aberrant serum IL‑36α levels observed in the present study and its clinical association with SLE suggest the important role of IL‑36α in onset and progression of SLE. In addition, the association of IL‑36α with IL‑17 level indicates its involvement in the regulation of T helper 17 cytokines.

Introduction

Members of the IL-1 family of cytokines are key regulators of inflammatory and innate immunity. IL-36 cytokines [including IL-36α, IL-36β, IL-36γ and IL-36 receptor antagonist (IL36Ra)] are members of the IL-1 family (1). IL-36α is particularly expressed in epithelium, keratinocytes, monocytes/macrophages and αβ and γδ T lymphocytes (1). Psoriasis and primary Sjogren's syndrome (pSS) are autoimmune-mediated inflammatory diseases. A previous study showed that IL-36α was involved in the development of psoriasis, it had a pro-inflammatory effect (2). The serum levels of IL-36α were significantly higher in patients with pSS compared with those in subjects complaining of dry mouth or eyes, but who did not meet the American-European Consensus Group criteria for pSS. In addition, the serum levels of IL-36α were correlated with pSS disease activity (3).

Systemic lupus erythematosus (SLE) is also a common autoimmune and inflammatory disease, which is characterized by complement activation, production of numerous auto-antibodies and damage to multiple organs and tissues. A recent study reported the involvement of T helper (Th)17 cells and cytokines in the pathogenesis of SLE (4). Another study demonstrated that plasma IL-17 levels were elevated in patients with new-onset SLE, and a positive correlation was observed between plasma IL-17 and SLE disease activity index (SLEDAI) (5). Yang et al (6) found that IL-17 derived from patients with active SLE could induce the mRNA expression of adhesion molecules, and promoted the recruitment of neutrophils. In addition, IL-36 receptor (IL-36R) signaling appears to be crucial for the control of the IL-23/IL-17/IL-22 axis (7,8). Carrier et al (9) demonstrated that IL-36 cytokines are upregulated by Th17 cytokines, whereas elevated IL-17 expression was observed in psoriasis. IL-36 signaling facilitates the pathogenesis of renal tubulointerstitial lesions through the activation of the NOD-, LRR- and pyrin domain-containing 3 and the IL-23/IL-17 axis (10). Previous studies found that serum IL-36 levels were elevated in patients with SLE (11,12). However, the role of IL-36α in patients with SLE remains to be fully determined. Therefore, the present study investigated the contribution of IL-36α in the development of SLE, and explored the regulatory effect of IL-36α on IL-17 in patients with SLE.

Materials and methods

Study samples

Serum was obtained from patients with SLE (n=60; 55 women and 5 men; median age, 37.5 years, age range, 19-73 years) and healthy controls (n=29; 25 women and 4 men; median age, 32.0 years, age range, 24-45 years) across two centers: The Department of Nephrology of The First and Second Affiliated Hospitals of Anhui Medical University, and the Department of Rheumatology of The Second Hospital of Anhui Medical University). Patients who had suffered various types of malignancy or severe inflammation were excluded from the present study. Healthy controls were selected from the Health Examination Center of The Second Hospital of Anhui Medical University. The diagnosis of SLE cases was based on the American College of Rheumatology 1997 revised criteria for SLE (13). The SLEDAI was used to assess disease activity. A SLEDAI score ≥5 was defined as active SLE, whereas a SLEDAI score <5 was defined as inactive SLE (14). Patients with lupus nephritis were defined by persistent proteinuria (>0.5 g/24 h) or persistent hematuria, presence of cellular casts or renal biopsy supporting (14). All procedures performed in the present study involving human participants were performed in accordance with the Ethical Standards of the Ethics Committee for Human Research at the Second Hospital of Anhui Medical University as well as in accordance with the 1964 Helsinki Declaration and its later amendments or comparable ethical standards (15). The present study was approved by the Ethics Committee for Human Research at The Second Hospital of Anhui Medical University (approval no.PJ-YX2017-013), and all the participants provided written informed consent prior to being enrolled in the study.

Biochemical measurements

The patients were made to fast for 8 h after dinner in the night. The fasting blood samples were drawn in the morning, as the blood was also used to measured alanine aminotransferase levels for patients. Blood samples were also collected for determination of albumin, creatinine, complement, immunoglobulin (IgG), erythrocyte sedimentation rate (ESR) and extractable nuclear antigen polypeptide antibodies [antinuclear antibodies, double-stranded (ds)DNA antibodies] all of which were routine examinations. Serum was isolated and stored at -80˚C for measuring IL-36α, IL-36Ra and IL-17 levels. The IL-36α levels (Cusabio Biotech; cat. no. CSB-El011617HU), serum IL-36Ra (Cusabio Biotech; cat. no. CSB-EL011616HU) and IL-17 (R&D Systems, Inc.; cat. no. D1700) levels were measured using human ELISA kits.

Statistical analysis

Data were analyzed using SPSS version 16 (IBM Corp.). The data are presented as the mean ± standard deviation for normally distributed variables, or as the median and interquartile ranges otherwise. Differences between two groups were assessed either by an independent samples Student's t-test or by a Wilcoxon's rank sum test for continuous variables. Correlations between two variables were assessed by Spearman's rank correlation. Two-sided P<0.05 was considered to indicate a statistically significant difference.

Results

In total, 60 patients with SLE, including 47 active patients and 13 inactive patients, and 29 healthy controls were enrolled in the present study. All patients and healthy controls were Chinese. There were no significant differences between patients with SLE and normal controls in terms of age, sex or creatinine levels (Table I). Baseline disease activity (n=60) was highly variable, with SLEDAI scores ranging from 0-36, and a median of 10.58 patients had positive ANA, whereas 30 patients with SLE had positive double-stranded (ds)DNA (Table I). The majority of patients (75%) received prednisone or an equivalent glucocorticoid. In total, 40 patients (66.67%) received glucocorticoids and immunosuppressant (Table I).

Table I

Comparison of clinical and laboratory parameters between the SLE and control group.

Table I

Comparison of clinical and laboratory parameters between the SLE and control group.

VariableSLE group, n=60Control group, n=29P-value
Anti-double stranded DNA, -/+30/30NANA
Antinuclear antibodies, -/+2/58NANA
Albumin, g/l31.40±8.9947.49±2.520.01a
Creatinine, µmol/le66.00 (51.25,117.75)56.00 (50.00,70.50)0.087
Proteinuria, mg/24 he660 (237.5-3062.5)NANA
C3, g/le0.68 (0.44-0.93)NANA
C4, g/le0.09 (0.05-0.22)NANA
IgG, g/le14.75 (11.54-19.45)NANA
IgA, g/le2.48 (1.51-3.28)NANA
IgM, g/le0.95 (0.75-1.35)NANA
Erythrocyte sedimentation rate, mm/he40.00 (22.25-69.25)NANA
SLEDAIe10.00 (6.00-17.50)NANA
Received glucocorticoidsf, n (%)45(75)NANA
Received glucocorticoids or immunosuppressantsg, n (%)40 (66.67)NANA
IL-36α, pg/mle50.08 (39.01-108.02)25.98 (17.19-32.1)0.000c
IL-36Ra, pg/mle42.6 (29.73-107.08)110.45 (45.72-160.95)0.007b
IL-17, pg/mle39.68 (33.03-82.44)35.13 (32.14-41.25)0.036a

[i] aP<0.05;

[ii] bP<0.01;

[iii] cP<0.001;

[iv] dmean ± standard deviation;

[v] emedian (interquartile range);

[vi] fglucocorticoids administered include hydrogenated prednisolone, prednisolone acetate, methylprednisolone;

[vii] gimmunosuppressants administered include Cyclophosphamide, Mycophenolatemofetil and Tacrolimus. NA, not applicable; IL-36Ra, IL-36 receptor antagonist; SLE, systemic lupus erythematosus; SLEDAI, SLE disease activity index.

The association between serum IL-36α levels with the clinical and laboratory parameters of patients with SLE were analyzed, and the results showed that rash, leukocytes, ESR, anti-dsDNA, proteinuria and hematuresis were positively associated with the serum IL-36α levels in patients with SLE (Table II). A negative correlation was observed between complement 3 and serum IL-36α levels. No significant associations between IL-36α with any other clinical or laboratory parameters were observed (P>0.05; Table II).

Table II

Association between plasma IL-36α levels and clinical and laboratory parameters in the patients with systemic lupus erythematosus.

Table II

Association between plasma IL-36α levels and clinical and laboratory parameters in the patients with systemic lupus erythematosus.

ParametersnSerum IL-36α level, pg/ml, median (interquartile range)P-value
Rash  0.003b
     Yes3669.35 (42.74-141.75) 
     No2441.23 (30.58-59.62) 
Arthritis  0.382
     Yes2253.59 (40.14-140.74) 
     No3849.83 (32.66-95.08) 
Oral ulcer  0.647
     Yes1358.68 (32.70-145.68) 
     No4749.14 (39.11-106.98) 
Nervous system disorder  0.597
     Yes455.96 (21.48-114.11) 
     No5650.08 (39.44-108.02) 
Pleuritis  0.405
     Yes1071.10 (40.10-127.37) 
     No5049.39 (37.95-105.4) 
Pericarditis  0.555
     Yes651.34 (39.60-107.32) 
     No5449.39 (37.95-107.32) 
Lymphopenia  0.007b
     Yes1779.70 (48.73-158.64) 
     No4344.68 (32.72-77) 
Thrombocytopenia  0.085
     Yes24119.61 (58.31-165.61) 
     No3645.12 (32.35-76.09) 
ESR  0.001b
     Yes3377.0 (43.16-150.60) 
     No2742.37 (31.24-49.64) 
Hypocomplementemia  0.025a
     Yes4062.43 (39.59-123.46) 
     No2043.03 (28.48-56.52) 
Anti-double stranded-DNA positive  0.019a
     Yes3058.63 (40.57-150.16) 
     No3043.68 (35.05-75.79) 
Proteinuria  0.037a
     Yes4563.19 (39.66-123.44) 
     No1542.63 (32.72-53.46) 
Hematuresis  0.027a
     Yes2455.40 (39.01-132.48) 
     No3644.34 (36.25-87.91) 
Antinuclear antibodies positive  0.538
     Yes5651.34 (39.59-108.02) 
     No436.28 (31.61-182.15) 

[i] aP<0.05;

[ii] bP<0.01.

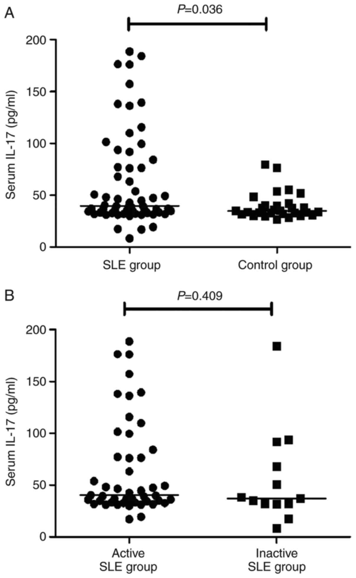
Serum IL-36α levels were significantly higher in patients with SLE than in healthy controls [median (interquartile range); 50.08 (39.01-108.02) pg/ml vs. 25.98 (17.19-32.1) pg/ml; P<0.001)], as shown in Fig. 1A. The serum IL-36α levels were significantly higher in the active group compared with those in the inactive group (P=0.012), as shown in Fig. 1B. Serum IL-36Ra levels were significantly lower in patients with SLE than in controls [42.6 (29.73-107.08) pg/ml vs. 110.45 (45.72-160.95) pg/ml, P=0.007)], as shown in Fig. 2A, and it was lower in patients with active SLE compared with the levels found in patients with inactive SLE (P=0.018, Fig. 2B). Serum IL-17 levels were increased in patients with SLE (Fig. 3), but there was no significant difference between patients with active and inactive SLE.

Figure 1

Comparison of IL-36α levels. (A) Level of serum IL-36α were significantly elevated in patients with SLE compared to the healthy controls (P<0.001). (B) Patients with active SLE had higher IL-36α levels compared with the patients with inactive SLE (P=0.012). SLE, systemic lupus erythematosus.

Figure 2

Serum IL-36Ra levels in patients with SLE. (A) Serum IL-36Ra levels were lower in patients with SLE compared with the controls (P=0.007). (B) The concentration of serum IL-36Ra was higher in patients with active SLE compared with the patients with inactive SLE (P=0.018). SLE, systemic lupus erythematosus.

Figure 3

Serum IL-17 levels in patients with SLE. (A) Serum IL-17 levels were higher in the patients with SLE compared with the controls (P=0.036). (B) There was no difference in the serum IL-17 levels between the active group and inactive group. SLE, systemic lupus erythematosus.

To determine the association between serum IL-36α levels and disease activity, the association between these two parameters was analyzed. A positive correlation between serum IL-36α and the SLEDAI score was observed (r=0.374, P=0.003). In the correlation analysis shown in Fig. 4, the concentration of serum IL-36α was positively correlated with proteinuria (r=0.329, P=0.010).

Figure 4

Correlation between serum IL-36α and other factors. A significant correlation was observed between serum IL-36α levels and the (A) SLEDAI score (r=0.374, P=0.003), (B) proteinuria (r=0.329, P=0.010), (C) C3 (r=-0.336, P=0.009) and (D) IL-17 (r=0.453, P=0.003). SLEDAI, systemic lupus erythematosus disease activity score.

The present study investigated the association between IL-36α levels with serum IL-17 levels. Serum IL-36α was positively correlated with IL-17 (r=0.453, P=0.003; Fig. 4). Serum IL-36α levels showed an inverse correlation with complement 3 (r=-0.336, P=0.009; Fig. 4). There was no significant correlation between serum IL-36α and IgG, IgA, IgE, IgM, complement 4 or ESR (data not shown).

In total, 45 patients received glucocorticoid treatment, whereas 40 patients with SLE received immunosuppressant and glucocorticoid therapies. Patients (n=45) who had received glucocorticoid treatment had lower IL-36α levels compared with those of patients who had not received glucocorticoid treatment (P=0.003; Fig. 5). These results suggested that immunosuppressant and glucocorticoid therapies may have an inhibitory effect on IL-36α. A total of 47 patients (78.33%) had renal involvement. Patients with nephritis had higher serum IL-36α levels than those without nephritis (P=0.037; Table II). Serum IL-36Ra levels were significantly lower in patients with SLE than in controls. IL-36Ra levels were negatively correlated with SLEDAI (r=-0.360, P=0.001). There was no significant association between IL-36Ra levels and proteinuria, ESR, C3 or C4.

Figure 5

Effect of glucocorticoids and immunosuppressants on IL-36α levels in patients with SLE. (A) Patients taking glucocorticoids had lower serum IL-36α levels than those not taking them (P<0.001). (B) Lower IL-36α levels were also observed in patients taking immunosuppressants (P=0.032).

Discussion

A previous study demonstrated that IL-36α binds to a functional heterodimeric receptor complex, which consists of IL-36R, IL-1 receptor (IL-1R)-related protein 2 and IL-1R accessory protein, and activates NF-κB and MAPK to initiate pro-inflammatory pathways (16).

IL-36α is expressed in epithelium and keratinocytes. A previous study indicated that IL-36α may be involved in the pathogenesis of autoimmune disease (2). Previous studies reported that IL-36α exerts pro-inflammatory effects in the skin of patients with psoriasis, who exhibit autoimmune-mediated inflammatory skin lesions (2,17). IL-36 is upregulated in skin lesions caused by psoriasis (18,19). Moreover, transgenic mice overexpressing IL-36α in keratinocytes showed certain similarities to human psoriasis (20).

Although the pathogenesis of SLE is not fully understood, cytokine-mediated immunity plays an important role in SLE (4,5). Currently, little is known regarding the association between IL-36α and SLE. The results of thew present study showed that the serum IL-36α levels were significantly higher in patients with SLE compared with those of the controls, and the serum IL-36α levels were increased in the active SLE group compared with those of the inactive group. Circulating IL-36α levels were correlated with SLEDAI, complement 3 and ESR. These results suggested that IL-36 may be involved in the pathogenesis and progression of SLE.

Studies have shown that glucocorticoids downregulate the serum levels of IL-12 family cytokines and IL-37 (21,22). The most important mechanism by which glucocorticoids exert their anti-inflammatory effects is considered to be the inhibition of the NF-κB activity (21,22). In the present study, patients who were receiving glucocorticoid or immunosuppressant therapy had lower IL-36α levels, indicating that glucocorticoids or immunosuppressants may inhibit the production of IL-36α. Zhang et al (23) found that serum IL-36 levels in patients with SLE did not differ significantly from that of the controls. There are several possible reasons for such inconsistent results. Firstly, the patients in the current study were primarily in the active state. Furthermore, IL-36α rather than all IL-36 cytokines serve an important role in autoimmune diseases (9,24).

A positive correlation between serum IL-36α levels and proteinuria was observed in the present study. Patients with kidney involvement had higher serum IL-36 levels. In agreement with the present study, overexpression of IL-36α (IL-1F6) in the kidney led to increased expression of IL-6, TGF-β receptor-1 and mesenchymal markers, and aggravated tumor-infiltrating lymphocytes in a B6.MRLc1 model (25). In addition, overexpression of IL-36α upregulated α-smooth muscle actin expression. Further studies are required to investigate the expression of IL-36α in lupus nephritis.

IL-17 secretion is primarily derived from Th17 cells, which are CD4+ Th cells that produce IL-17, but not Th1 or Th2 cytokines. Several studies have reported elevated serum IL-17a levels in patients with SLE compared with the levels found in healthy controls (26,27). Although it was not previously reported, the strong correlation between serum IL-36α and IL-17 levels that was found in the present study was expected, since IL-36α acts as a pro-inflammatory cytokine, upregulating pro-inflammatory mediators, such as IL-6, IL-8 and TNF-α, and, in combination with TGF-β, may induce naive T cells to differentiate into Th17 cells (28-31). This observation suggests that IL-36α may affect the Th17 cell response in patients with lupus.

IL-36Ra, which is an endogenous receptor antagonist, displays 50% amino acid sequence homology with IL-1Ra (32). IL-36Ra binds to IL-36R, but does not induce any cellular response. It prevents the interaction of IL-36α, IL-36β and IL-36γ with IL-36R, and thus acts as a endogenous inhibitor (33). In the present study, serum IL-36Ra levels were lower in patients with SLE than in the controls. The results of the present study support the hypothesis that the underlying mechanism of IL-36Ra deficiency leading to the progression of SLE results from the reduced suppressing effect of IL-36Ra on IL-36α responses. This imbalance of IL-36α and IL-36Ra would result in a pathologically increased Th17 response, which is associated with SLE.

The present study recruited 60 patients with SLE and 29 healthy subjects as the control group. This was a relatively small sample size, which may be considered a limitation of the present study. Larger sample sizes are being recruited/collected for more accurate and representative comparisons in future studies.

In conclusion, the present study confirmed that IL-36α was associated with SLE and may be involved in the regulation of Th17 cytokines. Antagonism of IL-36α should be explored as a treatment of SLE. Lower IL-36Ra levels resulted in a reduced inhibitory effect on IL-36α and contributed to SLE development.

Acknowledgements

Not applicable.

Funding

This study was supported by funding from the Natural Science Foundation of Anhui Province (grant no. 1508085MH148), the China Postdoctoral Science Foundation funded project (grant no. 2012M511399) and the Clinical Research Cultivation Program of The Second Hospital of Anhui Medical University Foundation (grant no. 2020LCYB06).

Availability of data and materials

The datasets used and/or analyzed during the present study are available from the corresponding author on reasonable request.

Authors' contributions

DGW conceived and designed the study. XRW and JPX performed the experiments and wrote the manuscript. All authors have read and approved the final manuscript. DGW, XRW and JPX confirm the authenticity of all the raw data. All authors read and approved the final manuscript.

Ethics approval and consent to participate

All procedures performed in the present study involving human participants were performed in accordance with the Ethical Standards of the Ethics Committee for Human Research at the Second Hospital of Anhui Medical University as well as in accordance with the 1964 Helsinki Declaration and its later amendments or comparable ethical standards. The present study was approved by the Ethics Committee for Human Research at The Second Hospital of Anhui Medical University (approval no.PJ-YX2017-013), and all the participants provided written informed consent prior to being enrolled in the study.

Patient consent for publication

Not applicable.

Competing interests

The authors declare that they have no competing interests.

References

1 

van de Veerdonk FL and Netea MG: New insights in the immunobiology of IL-1 family members. Front Immunol. 4(167)2013.PubMed/NCBI View Article : Google Scholar

2 

Tortola L, Rosenwald E, Abel B, Blumberg H, Schäfer M, Coyle AJ, Renauld JC, Werner S, Kisielow J and Kopf M: Psoriasiform dermatitis is driven by IL-36-mediated DC-keratinocyte crosstalk. J Clin Invest. 122:3965–3976. 2012.PubMed/NCBI View Article : Google Scholar

3 

Ciccia F, Accardo-Palumbo A, Alessandro R, Alessandri C, Priori R, Guggino G, Raimondo S, Carubbi F, Valesini G, Giacomelli R, et al: Interleukin-36α axis is modulated in patients with primary Sjögren's syndrome. Clin Exp Immunol. 181:230–238. 2015.PubMed/NCBI View Article : Google Scholar

4 

Perry D, Peck AB, Carcamo WC, Morel L and Nguyen CQ: The current concept of T(h)17 cells and their expanding role in systemic lupus erythematosus. Arthritis (Egypt). 2011(810649)2011.PubMed/NCBI View Article : Google Scholar

5 

Chen XQ, Yu YC, Deng HH, Sun JZ, Dai Z, Wu YW and Yang M: Plasma IL-17A is increased in new-onset SLE patients and associated with disease activity. J Clin Immunol. 30:221–225. 2010.PubMed/NCBI View Article : Google Scholar

6 

Yang J, Chu Y, Yang X, Gao D, Zhu L, Yang X, Wan L and Li M: Th17 and natural Treg cell population dynamics in systemic lupus erythematosus. Arthritis Rheum. 60:1472–1483. 2009.PubMed/NCBI View Article : Google Scholar

7 

Gresnigt MS and van de Veerdonk FL: Biology of IL-36 cytokines and their role in disease. Semin Immunol. 25:458–465. 2013.PubMed/NCBI View Article : Google Scholar

8 

Gresnigt MS, Rösler B, Jacobs CW, Becker KL, Joosten LA, van der Meer JW, Netea MG, Dinarello CA and van de Veerdonk FL: The IL-36 receptor pathway regulates Aspergillus fumigatus-induced Th1 and Th17 responses. Eur J Immunol. 43:416–426. 2013.PubMed/NCBI View Article : Google Scholar

9 

Carrier Y, Ma HL, Ramon HE, Napierata L, Small C, O'Toole M, Young DA, Fouser LA, Nickerson-Nutter C, Collins M, et al: Inter-regulation of Th17 cytokines and the IL-36 cytokines in vitro and in vivo: Implications in psoriasis pathogenesis. J Invest Dermatol. 131:2428–2437. 2011.PubMed/NCBI View Article : Google Scholar

10 

Chi HH, Hua KF, Lin YC, Chu CL, Hsieh CY, Hsu YJ, Ka SM, Tsai YL, Liu FC and Chen A: IL-36 signaling facilitates activation of the NLRP3 inflammasome and IL-23/IL-17 axis in renal inflammation and fibrosis. J Am Soc Nephrol. 28:2022–2037. 2017.PubMed/NCBI View Article : Google Scholar

11 

Mai SZ, Li CJ, Xie XY, Xiong H, Xu M, Zeng FQ, Guo Q and Han YF: Increased serum IL-36α and IL-36γ levels in patients with systemic lupus erythematosus: Association with disease activity and arthritis. Int Immunopharmacol. 58:103–108. 2018.PubMed/NCBI View Article : Google Scholar

12 

Chu M, Wong CK, Cai Z, Dong J, Jiao D, Kam NW, Lam CW and Tam LS: Elevated expression and pro-inflammatory activity of IL-36 in patients with systemic lupus erythematosus. Molecules. 20:19588–19604. 2015.PubMed/NCBI View Article : Google Scholar

13 

Hochberg MC: Updating the American College of Rheumatology revised criteria for the classification of systemic lupus erythematosus. Arthritis Rheum. 40(1725)1997.PubMed/NCBI View Article : Google Scholar

14 

Bombardier C, Gladman DD, Urowitz MB, Caron D and Chang CH: Derivation of the SLEDAI. A disease activity index for lupus patients. The Committee on Prognosis Studies in SLE. Arthritis Rheum. 35:630–640. 1992.PubMed/NCBI View Article : Google Scholar

15 

Gandevia B and Tovell A: Declaration Of Helsinki. Med J Aust. 2:320–321. 1964.PubMed/NCBI

16 

Towne JE, Garka KE, Renshaw BR, Virca GD and Sims JE: Interleukin (IL)-1F6, IL-1F8, and IL-1F9 signal through IL-1Rrp2 and IL-1RAcP to activate the pathway leading to NF-kappaB and MAPKs. J Biol Chem. 279:13677–13688. 2004.PubMed/NCBI View Article : Google Scholar

17 

Frey S, Derer A, Messbacher ME, Baeten DL, Bugatti S, Montecucco C, Schett G and Hueber AJ: The novel cytokine interleukin-36α is expressed in psoriatic and rheumatoid arthritis synovium. Ann Rheum Dis. 72:1569–1574. 2013.PubMed/NCBI View Article : Google Scholar

18 

Debets R, Timans JC, Homey B, Zurawski S, Sana TR, Lo S, Wagner J, Edwards G, Clifford T, Menon S, et al: Two novel IL-1 family members, IL-1 delta and IL-1 epsilon, function as an antagonist and agonist of NF-kappa B activation through the orphan IL-1 receptor-related protein 2. J Immunol. 167:1440–1446. 2001.PubMed/NCBI View Article : Google Scholar

19 

Zhou X, Krueger JG, Kao MC, Lee E, Du F, Menter A, Wong WH and Bowcock AM: Novel mechanisms of T-cell and dendritic cell activation revealed by profiling of psoriasis on the 63,100-element oligonucleotide array. Physiol Genomics. 13:69–78. 2003.PubMed/NCBI View Article : Google Scholar

20 

Blumberg H, Dinh H, Trueblood ES, Pretorius J, Kugler D, Weng N, Kanaly ST, Towne JE, Willis CR, Kuechle MK, et al: Opposing activities of two novel members of the IL-1 ligand family regulate skin inflammation. J Exp Med. 204:2603–2614. 2007.PubMed/NCBI View Article : Google Scholar

21 

Qiu F, Song L, Yang N and Li X: Glucocorticoid downregulates expression of IL-12 family cytokines in systemic lupus erythematosus patients. Lupus. 22:1011–1016. 2013.PubMed/NCBI View Article : Google Scholar

22 

Song L, Qiu F, Fan Y, Ding F, Liu H, Shu Q, Liu W and Li X: Glucocorticoid regulates interleukin-37 in systemic lupus erythematosus. J Clin Immunol. 33:111–117. 2013.PubMed/NCBI View Article : Google Scholar

23 

Zhang M, Xu WD, Zhu Y, Wen PF, Leng RX, Pan HF and Ye DQ: Serum levels of cytokines in systemic lupus erythematosus: Association study in a Chinese population. Z Rheumatol. 73:277–280. 2013.PubMed/NCBI View Article : Google Scholar

24 

Maddur MS, Miossec P, Kaveri SV and Bayry J: Th17 cells: Biology, pathogenesis of autoimmune and inflammatory diseases, and therapeutic strategies. Am J Pathol. 181:8–18. 2012.PubMed/NCBI View Article : Google Scholar

25 

Ichii O, Otsuka S, Sasaki N, Yabuki A, Ohta H, Takiguchi M, Hashimoto Y, Endoh D and Kon Y: Local overexpression of interleukin-1 family, member 6 relates to the development of tubulointerstitial lesions. Lab Invest. 90:459–475. 2010.PubMed/NCBI View Article : Google Scholar

26 

Wong CK, Lit LC, Tam LS, Li EK, Wong PT and Lam CW: Hyperproduction of IL-23 and IL-17 in patients with systemic lupus erythematosus: Implications for Th17-mediated inflammation in auto-immunity. Clin Immunol. 127:385–393. 2008.PubMed/NCBI View Article : Google Scholar

27 

Wong CK, Ho CY, Li EK and Lam CW: Elevation of proinflammatory cytokine (IL-18, IL-17, IL-12) and Th2 cytokine (IL-4) concentrations in patients with systemic lupus erythematosus. Lupus. 9:589–593. 2000.PubMed/NCBI View Article : Google Scholar

28 

Veldhoen M, Hocking RJ, Atkins CJ, Locksley RM and Stockinger B: TGFbeta in the context of an inflammatory cytokine milieu supports de novo differentiation of IL-17-producing T cells. Immunity. 24:179–189. 2006.PubMed/NCBI View Article : Google Scholar

29 

Nalbandian A, Crispín JC and Tsokos GC: Interleukin-17 and systemic lupus erythematosus: Current concepts. Clin Exp Immunol. 157:209–215. 2009.PubMed/NCBI View Article : Google Scholar

30 

Bettelli E, Carrier Y, Gao W, Korn T, Strom TB, Oukka M, Weiner HL and Kuchroo VK: Reciprocal developmental pathways for the generation of pathogenic effector TH17 and regulatory T cells. Nature. 441:235–238. 2006.PubMed/NCBI View Article : Google Scholar

31 

Mangan PR, Harrington LE, O'Quinn DB, Helms WS, Bullard DC, Elson CO, Hatton RD, Wahl SM, Schoeb TR and Weaver CT: Transforming growth factor-beta induces development of the T(H)17 lineage. Nature. 441:231–234. 2006.PubMed/NCBI View Article : Google Scholar

32 

Nicklin MJ: Finally, function for ‘IL-1Fs’. Blood. 118:5713–5714. 2011.PubMed/NCBI View Article : Google Scholar

33 

Towne JE, Renshaw BR, Douangpanya J, Lipsky BP, Shen M, Gabel CA and Sims JE: Interleukin-36 (IL-36) ligands require processing for full agonist (IL-36α, IL-36β, and IL-36γ) or antagonist (IL-36Ra) activity. J Biol Chem. 286:42594–42602. 2011.PubMed/NCBI View Article : Google Scholar

Related Articles

  • Abstract
  • View
  • Download
  • Twitter
Copy and paste a formatted citation
Spandidos Publications style
Wang X, Xiao J and Wang D: Elevated levels of serum IL‑36α in patients with systemic lupus erythematosus. Biomed Rep 15: 76, 2021.
APA
Wang, X., Xiao, J., & Wang, D. (2021). Elevated levels of serum IL‑36α in patients with systemic lupus erythematosus. Biomedical Reports, 15, 76. https://doi.org/10.3892/br.2021.1452
MLA
Wang, X., Xiao, J., Wang, D."Elevated levels of serum IL‑36α in patients with systemic lupus erythematosus". Biomedical Reports 15.3 (2021): 76.
Chicago
Wang, X., Xiao, J., Wang, D."Elevated levels of serum IL‑36α in patients with systemic lupus erythematosus". Biomedical Reports 15, no. 3 (2021): 76. https://doi.org/10.3892/br.2021.1452
Copy and paste a formatted citation
x
Spandidos Publications style
Wang X, Xiao J and Wang D: Elevated levels of serum IL‑36α in patients with systemic lupus erythematosus. Biomed Rep 15: 76, 2021.
APA
Wang, X., Xiao, J., & Wang, D. (2021). Elevated levels of serum IL‑36α in patients with systemic lupus erythematosus. Biomedical Reports, 15, 76. https://doi.org/10.3892/br.2021.1452
MLA
Wang, X., Xiao, J., Wang, D."Elevated levels of serum IL‑36α in patients with systemic lupus erythematosus". Biomedical Reports 15.3 (2021): 76.
Chicago
Wang, X., Xiao, J., Wang, D."Elevated levels of serum IL‑36α in patients with systemic lupus erythematosus". Biomedical Reports 15, no. 3 (2021): 76. https://doi.org/10.3892/br.2021.1452
Follow us
  • Twitter
  • LinkedIn
  • Facebook
About
  • Spandidos Publications
  • Careers
  • Cookie Policy
  • Privacy Policy
How can we help?
  • Help
  • Live Chat
  • Contact
  • Email to our Support Team