Spandidos Publications Logo
  • About
    • About Spandidos
    • Aims and Scopes
    • Abstracting and Indexing
    • Editorial Policies
    • Reprints and Permissions
    • Job Opportunities
    • Terms and Conditions
    • Contact
  • Journals
    • All Journals
    • Oncology Letters
      • Oncology Letters
      • Information for Authors
      • Editorial Policies
      • Editorial Board
      • Aims and Scope
      • Abstracting and Indexing
      • Bibliographic Information
      • Archive
    • International Journal of Oncology
      • International Journal of Oncology
      • Information for Authors
      • Editorial Policies
      • Editorial Board
      • Aims and Scope
      • Abstracting and Indexing
      • Bibliographic Information
      • Archive
    • Molecular and Clinical Oncology
      • Molecular and Clinical Oncology
      • Information for Authors
      • Editorial Policies
      • Editorial Board
      • Aims and Scope
      • Abstracting and Indexing
      • Bibliographic Information
      • Archive
    • Experimental and Therapeutic Medicine
      • Experimental and Therapeutic Medicine
      • Information for Authors
      • Editorial Policies
      • Editorial Board
      • Aims and Scope
      • Abstracting and Indexing
      • Bibliographic Information
      • Archive
    • International Journal of Molecular Medicine
      • International Journal of Molecular Medicine
      • Information for Authors
      • Editorial Policies
      • Editorial Board
      • Aims and Scope
      • Abstracting and Indexing
      • Bibliographic Information
      • Archive
    • Biomedical Reports
      • Biomedical Reports
      • Information for Authors
      • Editorial Policies
      • Editorial Board
      • Aims and Scope
      • Abstracting and Indexing
      • Bibliographic Information
      • Archive
    • Oncology Reports
      • Oncology Reports
      • Information for Authors
      • Editorial Policies
      • Editorial Board
      • Aims and Scope
      • Abstracting and Indexing
      • Bibliographic Information
      • Archive
    • Molecular Medicine Reports
      • Molecular Medicine Reports
      • Information for Authors
      • Editorial Policies
      • Editorial Board
      • Aims and Scope
      • Abstracting and Indexing
      • Bibliographic Information
      • Archive
    • World Academy of Sciences Journal
      • World Academy of Sciences Journal
      • Information for Authors
      • Editorial Policies
      • Editorial Board
      • Aims and Scope
      • Abstracting and Indexing
      • Bibliographic Information
      • Archive
    • International Journal of Functional Nutrition
      • International Journal of Functional Nutrition
      • Information for Authors
      • Editorial Policies
      • Editorial Board
      • Aims and Scope
      • Abstracting and Indexing
      • Bibliographic Information
      • Archive
    • International Journal of Epigenetics
      • International Journal of Epigenetics
      • Information for Authors
      • Editorial Policies
      • Editorial Board
      • Aims and Scope
      • Abstracting and Indexing
      • Bibliographic Information
      • Archive
    • Medicine International
      • Medicine International
      • Information for Authors
      • Editorial Policies
      • Editorial Board
      • Aims and Scope
      • Abstracting and Indexing
      • Bibliographic Information
      • Archive
  • Articles
  • Information
    • Information for Authors
    • Information for Reviewers
    • Information for Librarians
    • Information for Advertisers
    • Conferences
  • Language Editing
Spandidos Publications Logo
  • About
    • About Spandidos
    • Aims and Scopes
    • Abstracting and Indexing
    • Editorial Policies
    • Reprints and Permissions
    • Job Opportunities
    • Terms and Conditions
    • Contact
  • Journals
    • All Journals
    • Biomedical Reports
      • Information for Authors
      • Editorial Policies
      • Editorial Board
      • Aims and Scope
      • Abstracting and Indexing
      • Bibliographic Information
      • Archive
    • Experimental and Therapeutic Medicine
      • Information for Authors
      • Editorial Policies
      • Editorial Board
      • Aims and Scope
      • Abstracting and Indexing
      • Bibliographic Information
      • Archive
    • International Journal of Epigenetics
      • Information for Authors
      • Editorial Policies
      • Editorial Board
      • Aims and Scope
      • Abstracting and Indexing
      • Bibliographic Information
      • Archive
    • International Journal of Functional Nutrition
      • Information for Authors
      • Editorial Policies
      • Editorial Board
      • Aims and Scope
      • Abstracting and Indexing
      • Bibliographic Information
      • Archive
    • International Journal of Molecular Medicine
      • Information for Authors
      • Editorial Policies
      • Editorial Board
      • Aims and Scope
      • Abstracting and Indexing
      • Bibliographic Information
      • Archive
    • International Journal of Oncology
      • Information for Authors
      • Editorial Policies
      • Editorial Board
      • Aims and Scope
      • Abstracting and Indexing
      • Bibliographic Information
      • Archive
    • Medicine International
      • Information for Authors
      • Editorial Policies
      • Editorial Board
      • Aims and Scope
      • Abstracting and Indexing
      • Bibliographic Information
      • Archive
    • Molecular and Clinical Oncology
      • Information for Authors
      • Editorial Policies
      • Editorial Board
      • Aims and Scope
      • Abstracting and Indexing
      • Bibliographic Information
      • Archive
    • Molecular Medicine Reports
      • Information for Authors
      • Editorial Policies
      • Editorial Board
      • Aims and Scope
      • Abstracting and Indexing
      • Bibliographic Information
      • Archive
    • Oncology Letters
      • Information for Authors
      • Editorial Policies
      • Editorial Board
      • Aims and Scope
      • Abstracting and Indexing
      • Bibliographic Information
      • Archive
    • Oncology Reports
      • Information for Authors
      • Editorial Policies
      • Editorial Board
      • Aims and Scope
      • Abstracting and Indexing
      • Bibliographic Information
      • Archive
    • World Academy of Sciences Journal
      • Information for Authors
      • Editorial Policies
      • Editorial Board
      • Aims and Scope
      • Abstracting and Indexing
      • Bibliographic Information
      • Archive
  • Articles
  • Information
    • For Authors
    • For Reviewers
    • For Librarians
    • For Advertisers
    • Conferences
  • Language Editing
Login Register Submit
  • This site uses cookies
  • You can change your cookie settings at any time by following the instructions in our Cookie Policy. To find out more, you may read our Privacy Policy.

    I agree
Search articles by DOI, keyword, author or affiliation
Search
Advanced Search
presentation
Biomedical Reports
Join Editorial Board Propose a Special Issue
Print ISSN: 2049-9434 Online ISSN: 2049-9442
Journal Cover
July-2024 Volume 21 Issue 1

Full Size Image

Sign up for eToc alerts
Recommend to Library

Journals

International Journal of Molecular Medicine

International Journal of Molecular Medicine

International Journal of Molecular Medicine is an international journal devoted to molecular mechanisms of human disease.

International Journal of Oncology

International Journal of Oncology

International Journal of Oncology is an international journal devoted to oncology research and cancer treatment.

Molecular Medicine Reports

Molecular Medicine Reports

Covers molecular medicine topics such as pharmacology, pathology, genetics, neuroscience, infectious diseases, molecular cardiology, and molecular surgery.

Oncology Reports

Oncology Reports

Oncology Reports is an international journal devoted to fundamental and applied research in Oncology.

Experimental and Therapeutic Medicine

Experimental and Therapeutic Medicine

Experimental and Therapeutic Medicine is an international journal devoted to laboratory and clinical medicine.

Oncology Letters

Oncology Letters

Oncology Letters is an international journal devoted to Experimental and Clinical Oncology.

Biomedical Reports

Biomedical Reports

Explores a wide range of biological and medical fields, including pharmacology, genetics, microbiology, neuroscience, and molecular cardiology.

Molecular and Clinical Oncology

Molecular and Clinical Oncology

International journal addressing all aspects of oncology research, from tumorigenesis and oncogenes to chemotherapy and metastasis.

World Academy of Sciences Journal

World Academy of Sciences Journal

Multidisciplinary open-access journal spanning biochemistry, genetics, neuroscience, environmental health, and synthetic biology.

International Journal of Functional Nutrition

International Journal of Functional Nutrition

Open-access journal combining biochemistry, pharmacology, immunology, and genetics to advance health through functional nutrition.

International Journal of Epigenetics

International Journal of Epigenetics

Publishes open-access research on using epigenetics to advance understanding and treatment of human disease.

Medicine International

Medicine International

An International Open Access Journal Devoted to General Medicine.

Journal Cover
July-2024 Volume 21 Issue 1

Full Size Image

Sign up for eToc alerts
Recommend to Library

  • Article
  • Citations
    • Cite This Article
    • Download Citation
    • Create Citation Alert
    • Remove Citation Alert
    • Cited By
  • Similar Articles
    • Related Articles (in Spandidos Publications)
    • Similar Articles (Google Scholar)
    • Similar Articles (PubMed)
  • Download PDF
  • Download XML
  • View XML
Article Open Access

Aberrant functional hubs and related networks attributed to cognitive impairment in patients with anti‑N‑methyl‑D‑aspartate receptor encephalitis

  • Authors:
    • Binglin Fan
    • Xia Zhou
    • Linlin Pang
    • Qijia Long
    • Caitiao Lv
    • Jinou Zheng
  • View Affiliations / Copyright

    Affiliations: Department of Neurology, The First Affiliated Hospital of Guangxi Medical University, Nanning, Guangxi Zhuang Autonomous Region 530021, P.R. China, Department of Neurology, The First Affiliated Hospital of Guangxi Medical University, Nanning, Guangxi Zhuang Autonomous Region 530021, P.R. China
    Copyright: © Fan et al. This is an open access article distributed under the terms of Creative Commons Attribution License.
  • Article Number: 104
    |
    Published online on: May 22, 2024
       https://doi.org/10.3892/br.2024.1792
  • Expand metrics +
Metrics: Total Views: 0 (Spandidos Publications: | PMC Statistics: )
Metrics: Total PDF Downloads: 0 (Spandidos Publications: | PMC Statistics: )
Cited By (CrossRef): 0 citations Loading Articles...

This article is mentioned in:



Abstract

Anti‑N‑methyl‑D‑aspartate receptor (anti-NMDAR) encephalitis results in severe neuropsychiatric symptoms and persistent cognitive impairment; however, the underlying mechanism is still not fully understood. The present study utilized the degree centrality (DC), functional connectivity (FC) and multivariate pattern analysis (MVPA) to further explore neurofunctional symptoms in patients with anti‑NMDAR encephalitis. A total of 29 patients with anti‑NMDAR encephalitis and 26 healthy controls (HCs) were enrolled for neuropsychological assessment and resting‑state functional MRI (rs‑fMRI) scans. DC, FC and MVPA were examined to investigate cerebral functional activity and distinguish neuroimaging characteristics between the patient and HC groups based on the rs‑fMRI data. Compared with the HCs, the patients exhibited cognitive deficits, anxiety and depression. In the DC analysis, the patients exhibited significantly decreased DC strength in the left rectus gyrus, left caudate nucleus (LCN) and bilateral superior medial frontal gyrus, as well as increased DC strength in the cerebellar anterior lobe, compared with the HCs. In the subsequent FC analysis, the LCN showed decreased FC strength in the bilateral middle frontal gyrus and right precuneus. Furthermore, correlation analysis indicated that disrupted cerebral functional activity was significantly correlated with the alerting effect and Hamilton Depression Scale score. Using DC maps and receiver operating characteristic curve analysis, the MVPA classifier exhibited an area under curve of 0.79, and the accuracy classification rate was 76.36%, with a sensitivity of 79.31% and a specificity of 78.18%. The present study revealed that the disrupted functional activity of hub and related networks in the cerebellum, including the default mode network and executive control network, contributed to deficits in cognition and emotion in patients with anti‑NMDAR encephalitis. In conclusion, the present study provided imaging evidence and primary diagnostic markers for pathological and compensatory mechanisms of anti‑NMDAR encephalitis, with the aim of improving the understanding of this disease.

Introduction

Anti-N-methyl-D-aspartate receptor (anti-NMDAR) encephalitis, the most common type of autoimmune encephalitis, was first described by Vitaliani et al (1) in 2005, and related autoantigens were first reported in 2007(2). Anti-NMDAR encephalitis is attributed to a disrupted autoimmune mechanism and the relevant autoantibodies mainly target the NR1 subunit of NMDARs on the neuronal surface or synaptic protein (2). Patients with anti-NMDAR encephalitis often present with psychiatric/behavioral abnormalities, cognitive impairment, seizures and movement disorders, and may have a favorable prognosis with early and comprehensive treatment, especially immunotherapy (3,4). A previous study has demonstrated that the cognitive recovery process in patients with anti-NMDAR encephalitis is time-dependent and improves gradually after initial treatment (5). Immunotherapy is the most important treatment for anti-NMDAR encephalitis, and various clinical symptoms are examined to evaluate the degree of cognitive impairment, including alertness, which is expected to improve gradually after treatment (6-8). However, the majority of patients still suffer from long-term deficits, particularly cognitive abnormalities such as memory deficit (9). To better understand the potential pathogenetic mechanism of anti-NMDAR encephalitis, multimodal imaging investigations have been increasingly conducted to explore the influence of functional and structural abnormalities on neuropsychological disorders (10).

Reversible damage to neurons can be attributed to the elimination of anti-NMDAR antibodies, which can be observed on a small scale. However, cerebral functional and structural abnormalities involving neural functional activity, cortical and subcortical volumes, white matter and cerebral blood perfusion have also been reported on a larger scale in previous studies. For instance, Peer et al (11) found that in patients with anti-NMDAR encephalitis, functional connectivity (FC) was disrupted between and within subnetworks, including the default mode network (DMN), medial-temporal lobe network, sensorimotor network and visual network. Furthermore, connections between brain regions were also disrupted and mostly located in the frontal lobe, medial temporal lobe and inferior parietal lobe on the large-scale network level. Using surface-based morphometric analyses, decreased cortical and subcortical volumes have been found in the DMN, language network and left cornu ammonis 1 region of the hippocampus, and these changes were suggested to contribute to different aspects of cognitive impairment (12). Analysis of white matter has revealed a widespread reduction in fractional anisotropy across the entire white matter skeleton, which was prominently located in the bilateral cingulum, right middle temporal gyrus and left middle cerebellar peduncle (13,14). Widespread superficial white matter impairments have been observed in patients with anti-NMDAR encephalitis (15). An abnormal glucose metabolic pattern has also been identified in patients with anti-NMDAR encephalitis, which dynamically changes between hypermetabolism and hypometabolism, based on the recovery mode, disease course and clinical features (16-18). The studies mentioned above may contribute to elucidating the pathophysiology of anti-NMDAR encephalitis and providing promising diagnostic methods for treating this disease from different perspectives, including functional activity, brain structure, neuropsychological deficits and disease course. Although a certain understanding of the cerebral damage in patients with anti-NMDAR encephalitis from the perspective of multimodal imaging exists, relevant reports are scarce and are insufficient for evaluating other neurological comorbidity, such as seizure, depression and psychiatric symptoms. Furthermore, little attention has been given to the functional hubs and related networks contributing to cognitive impairment in patients with anti-NMDAR encephalitis based on the previous studies (12-14).

The brain is a complex system in which certain regions perform primary functions, and other adjacent or even distant brain regions need to closely cooperate to form neural networks and complete different tasks together. In a previous study by our group (19), voxel-mirrored homotopic connectivity was used to estimate the resting-state FC between a voxel within one hemisphere and its mirrored counterpart within the opposing hemisphere, which was found to serve an important role in the diagnosis of encephalitis. To date, a graph theory-based approach has been used to explore the changes in the functional and structural neural networks in patients with anti-NMDAR encephalitis. By combining multimodal MRI data and graph-based network approaches, various network parameters, including global network metrics, nodal metrics and connections between different brain regions, have been shown to be altered in patients with anti-NMDAR encephalitis (13-15). Furthermore, in graph theory-based analysis, degree centrality (DC) is the most reliable property for investigating abnormalities in the FC matrix at the large-scale level, when the regions of interest (ROIs) are not initially defined (20,21). DC can be used to evaluate the importance of each node in the brain network by determining its direct association with the remaining nodes in the whole brain at the global network level. Therefore, DC is a measure of the hub distribution that reflects information processing and communication abilities throughout functional brain networks (22,23). By defining hubs as ROIs in subsequent analyses using a traditional FC approach, disrupted networks between the hub and other brain regions can be further displayed at the global level to reveal pathogenetic mechanisms from different perspectives (24). However, to the best of our knowledge, this combination analysis has not been applied to patients with anti-NMDAR encephalitis. The present study aimed to combine DC and seed-based FC to explore abnormal cerebral functional activity in patients with anti-NMDAR encephalitis in a comprehensive manner.

In the present study, abnormal functional activity at the local and global cerebral levels in patients with anti-NMDAR encephalitis was explored, and its effects on neuropsychological impairments were examined. The DC method was first used to compare the distribution of abnormal functional hubs at the local level between 26 healthy controls (HCs) and 29 patients with anti-NMDAR encephalitis based on resting-state functional MRI (rs-fMRI). Subsequently, brain regions with significant DC differences between groups were defined as ROIs for subsequent FC analysis to investigate the potential disrupted hub network in the entire brain. Furthermore, correlation analysis was performed to reveal the influence of the aberrant functional activity and related networks of cerebral hubs on cognitive impairment in patients with anti-NMDAR encephalitis. Finally, multivariate pattern analysis (MVPA) was performed to explore neuroimaging characteristics based on the rs-fMRI data of the patients. The present study could be conducive to revealing the functional hub distributions and abnormalities in patients with anti-NMDAR encephalitis, and to further elucidate the pathological mechanisms of clinical deficits in these patients.

Subjects and methods

Subjects

The present study was approved by the Medical Research Ethics Committee of The First Affiliated Hospital of Guangxi Medical University (approval no. 2015-KY-National Fund-064; Nanning, China). All participants provided detailed written informed consent for the entire study. A total of 29 patients (age range, 18-65 years) with anti-NMDAR encephalitis after 3 months after their first diagnosis were recruited at the Department of Neurology, The First Affiliated Hospital of Guangxi Medical University (Nanning, China), between January 2019 and December 2020. All patients met the diagnostic standard for anti-NMDAR encephalitis as follows: i) Typical clinical features, such as psychological and behavioral abnormalities, cognitive deficits, seizures, disturbance of consciousness, and autonomic dysfunction, were observed rapidly <3 months from onset; and ii) anti-NMDAR IgG antibodies were detected to be present in the cerebrospinal fluid of the patients (25). Patients who suffered from other central nervous system disorders, such as intracranial infection, metabolic diseases or brain tumors, were excluded. A total of 26 HCs matched for age (age range, 18-65 years), sex and education level were enrolled. The HCs had no neuropsychological disease. All participants were right-handed and completed the entire experimental process. The Montreal Cognitive Assessment (MoCA) test was used to evaluate cognitive function (26), and the Hamilton Anxiety Scale (HAMA) and Hamilton Depression Scale (HAMD24) were used to assess anxiety and depression, respectively (27). Furthermore, the participants underwent attention network tests to assess alertness (28).

Rs-fMRI data acquisition

Rs-fMRI scans were performed at The First Affiliated Hospital of Guangxi Medical University. An Achieva 3T MRI scanner (Philips Medical Systems Nederland B.V.) was used for the acquisition of MRI data. The parameters of the gradient-echo planar image sequence were as follows: Repetition time, 2,000 msec; echo time; 30 msec, flip angle, 90˚; field of view, 220x220 mm; voxel size, 3.44x3.44x3.50 mm; matrix size, 64x64; slice number, 41; slice gap, 0.5 mm; and volume number, 225 slices. During the scanning process, all participants were kept in a quiet and relaxed state, without any particular thoughts, keeping their eyes closed and staying awake. Spongy pads provided stability for the head, and wearing headphones helped to minimize the impact of noise. The entire scanning process lasted ~8 min.

Rs-fMRI data preprocessing

Rs-fMRI data were preprocessed using Data Processing & Analysis of Brain Imaging version 5.0 (DPABI 5.0, http://rfmri.org/dpabi) and Statistical Parametric Mapping 12 software (https://www.fil.ion.ucl.ac.uk/spm/software/spm12). The detailed procedure was as follows: Conversion to the Neuroimaging Informatics Technology Initiative format; removal of the first 10 volumes; slice timing correction; head movement correction (displacement <2 mm or angular rotation <2 in all directions); normalization to the Montreal Neurological Institute template (29); resampling to 3x3x3 mm3 resolution; temporal bandpass filtering between 0.01 and 0.08 Hz; spatial smoothing with a 6-mm full-width at half-maximum Gaussian kernel and nuisance signal regression, including 24 head motion parameters; and mean white matter signals and cerebrospinal fluid signals.

Functional activity analysis

After preprocessing, the rs-fMRI data were subjected to DC and FC analyses using DPABI software. For the DC analysis, the voxel-based functional Pearson correlation coefficients of all pairs of brain voxels were first calculated to obtain the ‘n x n’ matrix depicting the FC pattern across the entire brain. Subsequently, functional correlation coefficients were subjected to Fisher's z-score transformation. An undirected adjacency matrix was obtained by setting the suprathreshold correlation value at 0.25 to eliminate possible spurious connectivity at the individual level. Furthermore, DC was subsequently calculated by counting the number of remaining functional correlations at the individual level. The resulting data were spatially smoothed with a Gaussian kernel of 6x6x6 mm3 full width at half-maximum. Finally, DC z-maps from each group were compared using a two independent-samples t-test (Gaussian random field correction; voxel-level P<0.001; cluster-level P<0.05).

FC analysis was performed based on the ROIs. The brain regions with significant differences in DC between groups were selected as ROIs for subsequent FC analyses. The average time series from each ROI was extracted, and correlation analyses were subsequently performed with the remaining voxels in the entire brain. Subsequently, Fisher's-to-z transformation was conducted for a z-score FC map for each participant. The z-score FC maps in each group were subjected to a two independent-samples t-test (false discovery rate correction, P<0.01) for between-group comparisons. Age, sex and education level served as nuisance covariates in the group comparisons. T-values were used to represent the strength of functional activity of the cerebral regions with significant differences between groups.

MVPA

MVPA has gained increasing attention for analysis of specific characteristics of brain signals in MRI data (30,31). MVPA was applied to the DC signals of each participant in the two groups using PRONTO software 2.0 version on the MATLAB2018 platform (https://ww2.mathworks.cn) (32). A binary support vector machine was employed to construct the anti-NMDAR encephalitis and HC group classification model. A permutation test was performed 1,000 times to assess the statistical significance of the differences in brain region voxels. Ultimately, the classification plot, receiver operating characteristic curve and weight map for the different brain regions were used to present the diagnostic value of the DC maps in differentiating the patient and HC groups.

Statistical analysis

SPSS 16.0 (SPSS, Inc.) software was used for statistical analyses. The data are presented as the mean ± standard deviation or numbers. Two independent-samples t-tests were used for group comparisons of age, education level, alerting effect, MoCA, HAMA and HAMD24 scores. The χ2 test was used for sex comparisons. The functional activity strengths of the significant brain regions in the FC and DC analyses were extracted to analyze their Pearson correlation with clinical features. P<0.05 was considered to indicate a statistically significant difference.

Results

Demographic information and clinical characteristics

A total of 29 patients with anti-NMDAR encephalitis (13 men and 16 women) and 26 sex-, age- and education-matched HCs (11 men and 15 women) were recruited. The patients participated in the study after 3 months after their first diagnosis. There was no difference in alertness between the patients with anti-NMDAR encephalitis and HCs. However, although the scores were within the normal range, the HAMA and HMAD24 scores of anti-NMDAR patients were significantly higher than those of the normal control group (4.10±3.27 vs. 0.11±0.43, P<0.001; 5.69±5.66 vs. 0.69±1.05, P<0.001). As expected, MOCA scores were lower in NMDAR-resistant patients than in normal controls (23.93±4.14 vs. 28.54±1.70, P<0.001). The patient group (11/29) showed abnormal T2 or fluid-attenuated inversion recovery signals on conventional brain MRI. These signals were mainly located unilaterally or bilaterally in the frontal lobe, temporal lobe and limbic system, and even in the deep brain nuclei and meninges. Typical clinical manifestations in the patient group included at least one of the following syndromes: Acute neuropsychiatric symptoms, cognitive deficits, memory impairments and seizures. The detailed clinical characteristics of all participants are presented in Table I.

Table I

Clinical information of all participants.

Table I

Clinical information of all participants.

CharacteristicPatients with anti-NMDAR encephalitisHCsP-value
Age, years26.90±8.6027.50±5.360.759
Sex, n (male/female)13/1611/150.851
Education, years12.55±3.0513.58±2.870.207
Disease duration, years1.33±1.14--
MoCA, score23.93±4.1428.54±1.70<0.001
HAMD24, score5.69±5.660.69±1.05<0.001
HAMA, score4.10±3.270.11±0.43<0.001
Alerting effect RT, msec52.47±14.3554.10±14.970.683
Abnormalities in conventional MRI, n110<0.001
Neuropsychiatric symptoms, n230<0.001
Cognitive deficit, n90<0.001
Memory disorder, n60<0.001
Seizure, n230<0.001

[i] HC, healthy control; NMDAR, N-methyl-D-aspartate receptor; MoCA, Montreal Cognitive Assessment; HAMA, Hamilton Anxiety Scale; HAMD24, Hamilton Depression Scale; RT, reaction time.

DC analysis

The differences between the patient group and the HC group according to the results of the DC analysis are shown in Fig. 1 and Table II presents the value of the different brain regions in DC. As indicated in Fig. 1 and Table II, compared with the HCs, the patients with anti-NMDAR encephalitis exhibited increased DC strength in the anterior lobe of the cerebellum. Furthermore, the patient group also exhibited decreased DC strength in the left rectus gyrus (LRG), left caudate nucleus (LCN) and bilateral superior medial frontal gyrus (BSMFG).

Figure 1

Alterations in DC strength in patients with anti-NMDAR encephalitis. The altered brain regions were located in the BSMFG, LCN, LRG and RCAL. Gaussian random field correction was set at voxel-level P<0.001 and cluster-level P<0.05. The color bar with T-values indicates the strength of functional activity (a warm color represents increased functional strength, while a cool color represents decreased functional strength). *P<0.05. X, coronal plane; Y, sagittal plane; Z, transverse plane; numbers, coordinates. BSMFG, bilateral superior medial frontal gyrus; LCN, left caudate nucleus; LRG, left rectus gyrus; RCAL, right cerebellum anterior lobe; DC, degree centrality; NMDAR, N-methyl-D-aspartate receptor; HC, healthy control.

Table II

Brain regions with significant differences between patients with anti-N-methyl-D-aspartate receptor encephalitis and HCs according to degree centrality analysis.

Table II

Brain regions with significant differences between patients with anti-N-methyl-D-aspartate receptor encephalitis and HCs according to degree centrality analysis.

Brain regionFS in HCsFS in patientsCluster size (voxel)MNI coordination (x, y, z)T-value
Cerebellar anterior lobe_R0.8204±0.10631.0768±0.17297533, -33, -305.7453
Rectal gyrus_L1.5119±0.28531.1465±0.2899550, 51, -21-4.5669
Caudate nucleus_L0.6117±0.14380.4246±0.1145171-6, 12, 12-5.8239
Bilateral superior medial frontal gyrus1.3678±0.26001.0220±0.21211040, 54, 12-4.5116

[i] Gaussian random field correction was set at voxel-level P<0.001 and cluster-level P<0.05. T-values were used to represent the strength of functional activity of the cerebral regions with significant differences between groups. HC, healthy control; MNI, Montreal Neurological Institute; R, right; L, left; FS, functional strength.

FC analysis

The AAL template has a total of 116 regions, but only 90 belong to the brain, and the remaining 26 belong to the cerebellar structure, which is less studied. In the present study, 116 brain regions were compared between the two groups. Brain regions exhibiting statistically significant differences in DC density were selected as ROIs for subsequent seed-based FC analyses. Compared with the HCs, the patients with anti-NMDAR encephalitis showed decreased FC strength between the LCN and the left precuneus and bilateral middle frontal gyrus (Fig. 2 and Table III). Table III presents the value of the different brain regions in FC strength corresponding to Fig. 2. The other brain ROIs of Anatomical Automatic Labeling exhibited no differences in functional maps at the whole-brain level between the patient and HC groups.

Figure 2

Differences in FC between patients with anti-NMDAR encephalitis and HCs. The regions with significant degree centrality values were selected as seeds for FC analysis. The FC between left caudate nucleus with LMFG, RMFG and RPCN was decreased. False discovery rate correction was performed at P<0.01. The color bar with T-values indicates the functional strength (a warm color indicates increased functional strength, while a cool color indicates decreased functional strength). *P<0.05. X, coronal plane; Y, sagittal plane; Z, transverse plane; numbers, coordinates. LPCN, left precuneus; LMFG, left middle frontal gyrus; RMFG, right middle frontal gyrus; FC, functional connectivity; NMDAR, N-methyl-D-aspartate receptor; HC, healthy control.

Table III

Brain regions showing functional connectivity alterations in patients with anti-N-methyl-D-aspartate receptor encephalitis compared with HCs.

Table III

Brain regions showing functional connectivity alterations in patients with anti-N-methyl-D-aspartate receptor encephalitis compared with HCs.

Brain regionFS in HCsFS in patientsMNI coordination (x, y, z)Cluster size (voxel)T-value
Left precuneus-0.0218±0.0973-0.2229±0.1506-9, -72, 1555-5.1393
Right middle frontal gyrus-0.0356±0.0654-0.2389±0.131830, 18, 45123-6.3482
Left middle frontal gyrus-0.0290±0.0726-0.2272±0.1287-27, 9, 4845-5.774

[i] The left caudate nucleus was used as the seed region. False discovery rate correction was set at P<0.01. T-values were used to represent the strength of functional activity of the cerebral regions with significant differences between groups. HC, healthy control; MNI, Montreal Neurological Institute; FS, functional strength.

Correlations between clinical features and functional activity

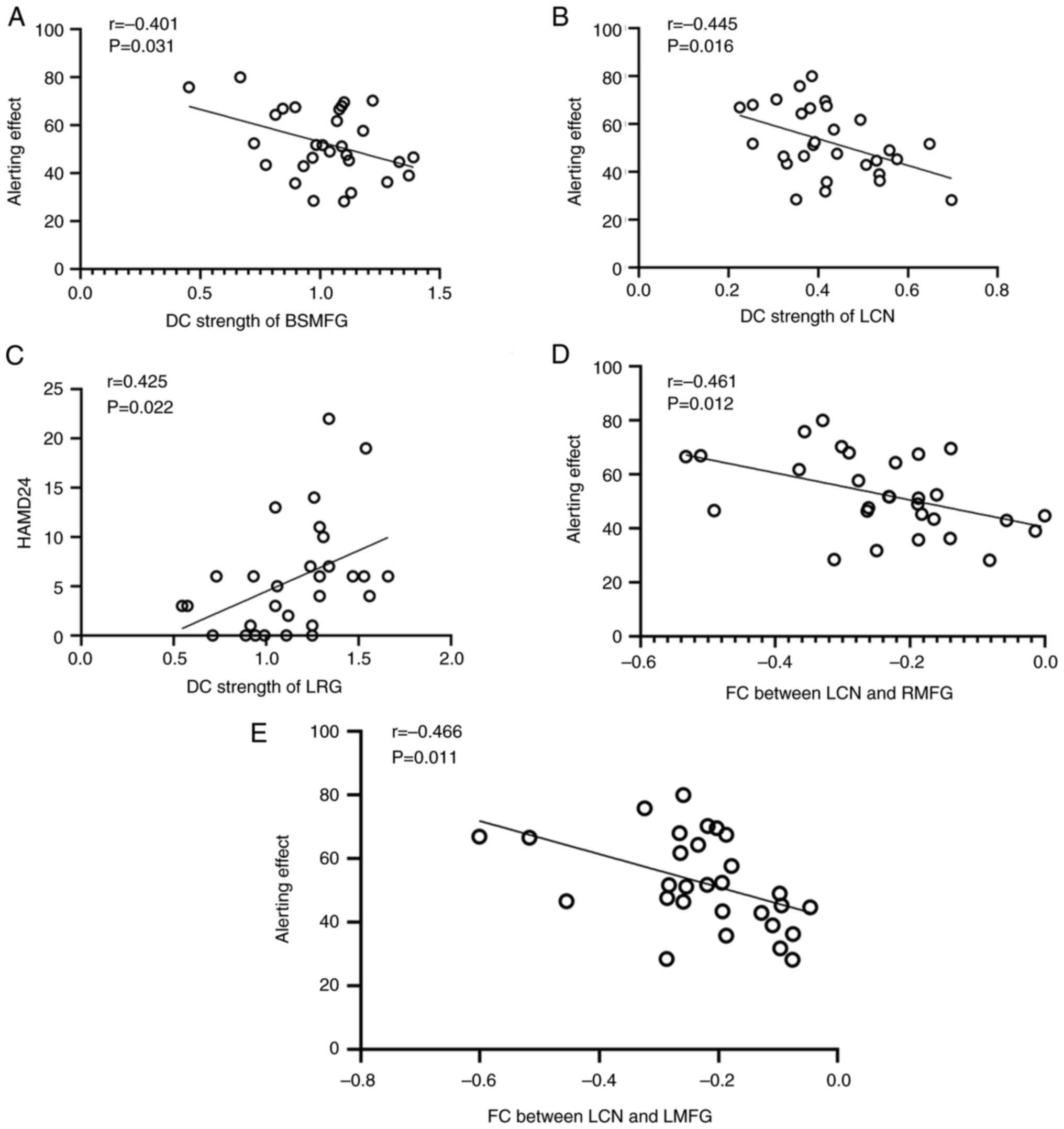
Correlations between clinical features (disease duration, alerting effect, MoCA, HAMA and HAMD24 scores) and functional activity in the brain regions exhibiting significant differences in the DC and FC analyses were further analyzed (Fig. 3). The DC strength in the LRG was positively correlated with the HAMD24 score (r=0.425; P=0.022; Fig. 3C), while negative associations were observed between the alerting effect and the DC strength in the LCN (r=-0.445; P=0.016; Fig. 3B) and BSMFG (r=-0.401; P=0.031; Fig. 3A) in the patient group. According to the FC analysis, the FC strengths between the LCN and the right and left middle frontal gyri were both negatively correlated with the alerting effect (r=-0.461; P=0.012; and r=-0.466; P=0.011; Fig. 3D and E, respectively).

Figure 3

Analysis of correlations between clinical parameters and functional activity features. (A) The DC strength of the BSMFG was negatively correlated with the alerting effect (r=-0.401; P=0.031). (B) The DC strength of the LCN was negatively correlated with the alerting effect (r=-0.445; P=0.016). (C) The DC strength of the LRG was positively correlated with the HAMD24 score (r=0.425; P=0.022). (D) The FC between the LCN and RMFG was negatively correlated with the alerting effect (r=-0.461; P=0.012). (E) The FC between the LCN and LMFG was negatively correlated with the alerting effect (r=-0.466; P=0.011). BSMFG, bilateral superior medial frontal gyrus; LCN, left caudate nucleus; LRG, left rectus gyrus; LMFG, left middle frontal gyrus; RMFG, right middle frontal gyrus; DC, degree centrality; FC, functional connectivity; HAMD24, Hamilton Depression Scale.

MVPA

In the present study, MVPA was used to analyze neural signals based on DC maps to identify specific spatial functional activities in patients with anti-NMDAR encephalitis compared with HCs. The specific brain regions were mainly located in the cerebellum, left middle orbital frontal gyrus, left superior orbital frontal gyrus, right precuneus, right postcentral gyrus, right superior medial frontal gyrus, right inferior parietal gyrus, right supplementary motor area, left medial orbital frontal gyrus, right superior parietal gyrus, left angular gyrus and LCN (Table IV). These regions together yielded an area under the curve of 0.79 (Fig. 4B), with an overall classifier accuracy, sensitivity and specificity of 76.36, 75.86 and 76.92%, respectively (Fig. 4A). Based on this analysis, the MVPA classifier can be used to distinguish patients with anti-NMDAR encephalitis from HCs.

Figure 4

Predictive value of the DC. (A) Voxel-based predictive pattern. The DC was able to distinguish between anti-NMDAR encephalitis and HC subjects. (B) Region-based pattern localization map computed from the voxel-based predictive pattern. Receiver operating characteristic curve of the anti-NMDAR encephalitis-HC group classification model based on DC maps with an accuracy of 76.36% (sensitivity, 79.31%; specificity, 78.18%). DC, degree centrality; NMDAR, N-methyl-D-aspartate receptor; HC, healthy control.

Table IV

Brain regions with the largest ROI weight between patients with anti-N-methyl-D-aspartate receptor encephalitis and healthy controls using multivariate pattern analysis classification.

Table IV

Brain regions with the largest ROI weight between patients with anti-N-methyl-D-aspartate receptor encephalitis and healthy controls using multivariate pattern analysis classification.

Brain regionROI size, voxelsROI weight, %
Cerebellum_9_L5991.8768
Vermis_9751.7412
Cerebellum_8_R5171.6727
Vermis_1_2411.5827
Cerebellum_7b_R1291.5812
Parietal_sup_R5581.4246
Cerebellum_3_L5501.4048
Cerebellum_7b_L5071.3974
Frontal_med_orb_L6141.3081
Frontal_sup_medial_R7851.3008
Cerebellum_crus2_L7261.2649
Parietal_inf_R6621.2065
Cerebellum_crus2_R5561.2021
Postcentral_R9931.2012
Angular_L5471.1960
Supp_motor_area_R6271.1869
Frontal_sup_orb_L1,0891.1839
Cerebellum_8_L1241.1745
Caudate_L2001.1702
Frontal_mid_orb_L1,4311.1599
Precuneus_R1,0411.1184

[i] ROI, region of interest; R, right; L, left; sup, super; supp, supplementary; orb, orbital; inf, inferior; mid, middle; med, medial.

Discussion

The present study investigated alterations in the hub distribution and functional activities at the local and global cerebral levels based on DC and FC analyses in patients with anti-NMDAR encephalitis. The patient group exhibited increased DC in the cerebellum anterior lobe and decreased DC in the LRG, LCN and BSMFG, compared with the HC group. In subsequent FC analyses based on the ROIs of the aforementioned brain regions, the LCN showed decreased FC with the left precuneus and bilateral middle frontal gyrus in the patient group compared with HCs. Furthermore, these abnormal functional activities were associated with cognitive and psychological impairments. By performing MVPA, disrupted DC maps could distinguish patients with anti-NMDAR encephalitis from HCs with high classification accuracy and sensitivity. In summary, the present study effectively revealed the features of disrupted functional hubs and related networks in patients with anti-NMDAR encephalitis, which provides a more comprehensive understanding of the mechanism underlying pathological damage in this disease.

Brain regions are closely connected and coordinated with each other while engaging in task processes, and different regions may display predominant functions in diverse neurological states (33). DC analyses can indicate the ability of each voxel to process information by evaluating its number of direct connections with other voxels (34). Disrupted functional activities of hub regions are considered to participate in processes underlying abnormal neuropsychological function. In the present study, it was demonstrated that brain regions with abnormal strength were mainly located in the cerebellar anterior lobe, LRG, LCN, BSMFG, left precuneus and bilateral middle frontal gyrus. These findings indicated that disrupted functional activities were not limited to the limbic system, but were also widely distributed from the frontal lobe to the subcortical region and even the distant cerebellum in patients with anti-NMDAR encephalitis. These results provide evidence that anti-NMDAR encephalitis is a brain network disease.

The prefrontal lobe is the association cortex of the frontal lobe and constitutes nearly one-third of the neocortex (35). The superior medial frontal gyrus, middle frontal gyrus and rectus gyrus are important parts of the prefrontal lobe. A total of five separate prefrontal functions exist, namely energization, task setting, monitoring, meta-cognition and behavioral/emotional regulation (36). It has been widely recognized that the prefrontal lobe is the predominant brain region that transmits signals to and receives signals from other cortical regions, subcortical structures and even the remote cerebellum in high-cognitive processes (36-39). The prefrontal cortex (PFC) is the key node in the executive control network (ECN), and disrupted functional and structural parameters of the PFC contribute to neuropsychological dysfunction, including executive disorders and anxiety (38). It has been demonstrated that older subjects with amnestic mild cognitive impairment exhibited reduced regional cerebral blood flow in the PFC in a retrieval task, causing memory deficit (40). Using the Delis-Kaplan Executive Function Scale and a classic neuropsychological test, a previous study indicated that a larger volume of the lateral PFC was related to greater executive function (41). The correlation analysis in the present study also indicated that disrupted PFC activity was negatively correlated with alerting function. Thus, disruptions of the PFC in the ECN may contribute to complex and diverse clinical disorders of neuropsychological function in patients with anti-NMDAR encephalitis.

The deep nuclei act as information transfer stations in information processing (42). The caudate nucleus is one of the brain regions in the extrapyramidal system involved in motor regulation, and abnormalities in the caudate nucleus cause deficits in motor performance (43). However, converging evidence has indicated that the caudate nucleus receives outputs from the PFC and contributes to different cognitive processes (42). This has been demonstrated in various cognitive tasks such as reading and language showing increased activity both in the caudate nucleus and prefrontal and temporal-parietal lobes (41). Furthermore, the caudate nucleus is also a subcortical component of the DMN and is implicated in numerous clinical disorders such as temporal lobe epilepsy and attention-deficit hyperactivity disorder, including memory, emotion, cognitive function and the processing of emotionally salient stimuli (44,45). In older patients with depression, psychomotor retardation is an important cognitive symptom, and this phenomenon can be predicted through the observation of a reduced volume in the caudate nucleus (40). The present study demonstrated that the LCN exhibited abnormal FC with the left precuneus and bilateral middle frontal gyrus in patients with anti-NMDAR encephalitis. The precuneus is also the core node in the DMN and has been demonstrated to participate in a wide spectrum of higher-order cognition, consciousness and attention regulation (46). There are four specific major types of anatomic connections of the precuneus, namely connections with the superior parietal lobule, occipital cortex, frontal lobe and temporal lobe, which provide an additional illustration of the integration of higher-order information throughout the entire brain network (47). Hebscher et al (48) reported that the precuneus serves a causal role in the retrieval of autobiographical memories and that precuneus stimulation leads to disrupted dynamics in the retrieval process. Combined with the findings of previous studies (47,48), our findings suggest that abnormal FC between the caudate nucleus and the ECN and DMN may contribute to higher-order and motor deficits in patients with anti-NMDAR encephalitis.

In the DC analysis, disrupted activities in the cerebellum were also observed. The cerebellum has been traditionally recognized as the dominant region of motor regulation. However, with the increasing knowledge of the cerebellar function, its role in non-motor tasks, such as emotion, social behavior, executive function and working memory language function, has been widely recognized (49,50). In functional and structural explorations, widespread connections from/to the cerebellum in the cerebrum were identified, involving the frontal lobe, parietal lobe, temporal lobe, occipital lobe and subcortical brain regions, which are the basis of motor and non-motor functions (49,51,52). Lesions in the cerebellum are considered to contribute to cerebellar cognitive affective syndrome, which is associated with more pronounced cognitive deficits (53). In previous studies, abnormal functional activity and fiber damage in the cerebellum have been observed in patients with anti-NMDAR encephalitis (14,54). Recently, compensatory effects in the cerebellum in neurodegenerative disease such as Parkinson's disease have been proposed (55), and increased functional activity, increased volume and metabolic enhancement are considered to alleviate clinical symptoms and delay the course of the disease. Thus, the increased DC strength in the cerebellum observed in the patient group in the present study indicates a more intensive information processing ability that could enhance motor and cognitive function in patients with anti-NMDAR encephalitis.

In the present study, correlation analyses were performed between clinical parameters and the brain regions with significant differences in DC and FC analyses. It was observed that the DC strength of the BSMFG and LCN was negatively correlated with the alerting effect, the DC strength of the LRG was positively correlated with the HAMD24 score, and the FCs between LCN and the right and left middle frontal gyri were negatively correlated with the alerting effect, while the other clinical parameters were not affected by the abnormal brain regions. The correlation analysis results demonstrated that abnormal DCs or FCs in affected brain regions contribute to cognitive impairment or depression, as indicated in our previous study (19). Our previous study demonstrated that the alerting effect of patients with anti-NMDAR encephalitis was decreased compared with that of HCs (19); however, no difference was found in the alerting effect between patients and HCs in the present study, which may be due to a gradual recovery of cognitive function over time. The results of the correlation analysis suggested that the alerting function was affected by the area of brain damage in patients with anti-NMDAR encephalitis, and brain impairment could be observed even when the alerting function was close to normal in the late recovery period, which highlighted the importance of rs-fMRI in the study of anti-NMDAR encephalitis.

MVPA can be used as a potential diagnostic approach for categorizing individuals by investigating spatial and temporal information from neuroimaging data in numerous neurological and psychiatric diseases, such as mild cognitive impairment, major depressive disorder, obsessive-compulsive disorder and temporal lobe epilepsy (42-45). In clinically atypical patients with anti-NMDAR encephalitis, the clinical symptoms are mild, and there are no obvious abnormalities on MRI, electroencephalogram or negative cerebrospinal fluid anti-NMDAR antibody (56). Multimodal imaging may be an auxiliary diagnostic method, which is expected to have certain diagnostic value for the clinically confirmed patients (57). Although rs-fMRI needs more time to finish scanning and coordinate to keep headless motion, it can be used as a potentially important diagnostic method to neurological and psychotic disorders, such as schizophrenia or attention deficit hyperactivity disorder (58). Therefore, multimodal imaging may provide novel supporting evidence for the diagnosis of anti-NMDAR encephalitis, particularly in undiagnosed patients or patients in the convalescence period. In the present study, by performing MVPA using DC maps, the regions that were more important in discriminating between patients with anti-NMDAR encephalitis and HCs were predominantly located in the cerebellum, prefrontal lobe, parietal lobe and LCN. These brain regions were consistent with those identified in the DC and FC analyses of the present study. As aforementioned (39,53,59), these regions are involved in cognitive function and psychosis, and are associated with clinical symptoms, such as psychiatric/behavioral abnormalities, cognitive impairment, seizures and movement disorders, in patients with anti-NMDAR encephalitis. In the present study, correlation analyses also showed that abnormal DC and FC values in affected brain regions were correlated with cognitive deficits, and further demonstrated that these abnormalities in brain regions were involved in the clinical disorder. In brief, DC analysis is conducive to revealing the imaging parameters involved in the development of clinical symptoms, and when combined with the MVPA approach, DC analysis may be a powerful tool for diagnosing anti-NMDAR encephalitis, especially in patients with no abnormalities on regular MRI or with non-specific imaging findings.

Several limitations should be considered in the present study. First, the small sample in our research maybe lack representativeness and homogeneity, reduces statistical power and can only partially reflect real-world evidence results (for example, the alerting effect did not differ between patients and HCs in the present study). Therefore, more participants in both groups should be recruited to establish the stability and reliability of the research results. Furthermore, obtaining data from patients with anti-NMDAR encephalitis during the acute stage may be important for exploring potential imaging alterations that illustrate clinical features. In addition, as patients may present various symptoms, subgroup analysis based on different clinical symptoms may be helpful for elucidating the pathogenesis of the corresponding symptoms. Patients may have a favorable prognosis after early and comprehensive treatment; however, most patients still suffer from long-term deficits in different aspects (5). Therefore, a longitudinal study may be useful for identifying vulnerable brain regions responsible for persistent neuropsychological dysfunction.

In summary, the current study revealed the presence of disrupted DC and FC in the entire brain, which were predominantly located in the cerebellar network, DMN and ECN in patients with anti-NMDAR encephalitis. Furthermore, it was demonstrated that by combining DC maps with MVPA and disrupted functional activity may yield high accuracy, sensitivity and specificity for the primary diagnosis of anti-NMDAR encephalitis. These abnormal functional activities may be associated with severe and complex clinical symptoms, and could provide pathological and compensatory imaging evidence for a deeper understanding of anti-NMDAR encephalitis.

Acknowledgements

Not applicable.

Funding

Funding: The present study was funded by the National Natural Science Foundation of China (grant no. 81560223), the Natural Science Foundation of Guangxi Province (grant no. 2016GXNSFAA380182) and the Medical and Health Appropriate Technology Development and Application Project of Guangxi Province (grant no. S2023017).

Availability of data and materials

The data generated in the present study may be requested from the corresponding author.

Authors' contributions

JZ and BF conceived the study, designed the methodology, analyzed data and wrote the manuscript. XZ, LP, LQ and CL analyzed data. XZ wrote the manuscript. BF and LP interpreted data and edited the manuscript. All authors have read and approved the final manuscript. JZ and BF confirm the authenticity of all the raw data.

Ethics approval and consent to participate

All subjects were informed in detail about the study and provided written informed consent. The study was approved by the Medical Research Ethics Committee of The First Affiliated Hospital of Guangxi Medical University (approval no. 2015-KY-National Fund-064; Nanning, China).

Patient consent for publication

Not applicable.

Competing interests

The authors declare that they have no competing interests.

References

1 

Vitaliani R, Mason W, Ances B, Zwerdling T, Jiang Z and Dalmau J: Paraneoplastic encephalitis, psychiatric symptoms, and hypoventilation in ovarian teratoma. Ann Neurol. 58:594–604. 2005.PubMed/NCBI View Article : Google Scholar

2 

Dalmau J, Tuzun E, Wu HY, Masjuan J, Rossi JE, Voloschin A, Baehring JM, Shimazaki H, Koide R, King D, et al: Paraneoplastic anti-N-methyl-D-aspartate receptor encephalitis associated with ovarian teratoma. Ann Neurol. 61:25–36. 2007.PubMed/NCBI View Article : Google Scholar

3 

Staley EM, Jamy R, Phan AQ, Figge DA and Pham HP: N-Methyl-d-aspartate receptor antibody encephalitis: A concise review of the disorder, diagnosis, and management. ACS Chem Neurosci. 10:132–142. 2019.PubMed/NCBI View Article : Google Scholar

4 

Neyens RR, Gaskill GE and Chalela JA: Critical care management of Anti-N-Methyl-D-aspartate receptor encephalitis. Crit Care Med. 46:1514–1521. 2018.PubMed/NCBI View Article : Google Scholar

5 

Heine J, Kopp UA, Klag J, Ploner CJ, Prüss H and Finke C: Long-Term cognitive outcome in Anti-N-Methyl-D-Aspartate receptor encephalitis. Ann Neurol. 90:949–961. 2021.PubMed/NCBI View Article : Google Scholar

6 

Dalmau J, Lancaster E, Martinez-Hernandez E, Rosenfeld MR and Balice-Gordon R: Clinical experience and laboratory investigations in patients with anti-NMDAR encephalitis. Lancet Neurol. 10:63–74. 2011.PubMed/NCBI View Article : Google Scholar

7 

Titulaer MJ, McCracken L, Gabilondo I, Armangué T, Glaser C, Iizuka T, Honig LS, Benseler SM, Kawachi I, Martinez-Hernandez E, et al: Treatment and prognostic factors for long-term outcome in patients with anti-NMDA receptor encephalitis: An observational cohort study. Lancet Neurol. 12:157–165. 2013.PubMed/NCBI View Article : Google Scholar

8 

Nosadini M, Eyre M, Molteni E, Thomas T, Irani SR, Dalmau J, Dale RC and Lim M: International NMDAR Antibody Encephalitis Consensus Group. Anlar B, et al: Use and safety of immunotherapeutic management of N-Methyl-d-Aspartate receptor antibody encephalitis: A meta-analysis. JAMA Neurol. 78:1333–1344. 2021.PubMed/NCBI View Article : Google Scholar

9 

Wang H and Xiao Z: Current progress on assessing the prognosis for Anti-N-Methyl-D-aspartate receptor (NMDAR) encephalitis. Biomed Res Int. 2020(7506590)2020.PubMed/NCBI View Article : Google Scholar

10 

Guo Y, Lv X, Wei Q, Wu Y, Chen Y, Ji Y, Hou Q, Lv H, Zhou N, Wang K and Tian Y: Impaired neurovascular coupling and cognitive deficits in anti-N-methyl-D-aspartate receptor encephalitis. Brain Imaging Behav. 16:1065–1076. 2022.PubMed/NCBI View Article : Google Scholar

11 

Peer M, Prüss H, Ben-Dayan I, Paul F, Arzy S and Finke C: Functional connectivity of large-scale brain networks in patients with anti-NMDA receptor encephalitis: An observational study. Lancet Psychiatry. 4:768–774. 2017.PubMed/NCBI View Article : Google Scholar

12 

Xu J, Guo Y, Li J, Lv X, Zhang J, Zhang J, Hu Q, Wang K and Tian Y: Progressive cortical and sub-cortical alterations in patients with anti-N-methyl-D-aspartate receptor encephalitis. J Neurol. 269:389–398. 2022.PubMed/NCBI View Article : Google Scholar

13 

Finke C, Kopp UA, Scheel M, Pech LM, Soemmer C, Schlichting J, Leypoldt F, Brandt AU, Wuerfel J, Probst C, et al: Functional and structural brain changes in anti-N-methyl-D-aspartate receptor encephalitis. Ann Neurol. 74:284–296. 2013.PubMed/NCBI View Article : Google Scholar

14 

Liang Y, Cai L, Zhou X, Huang H and Zheng J: Voxel-based analysis and multivariate pattern analysis of diffusion tensor imaging study in anti-NMDA receptor encephalitis. Neuroradiology. 62:231–239. 2020.PubMed/NCBI View Article : Google Scholar

15 

Phillips OR, Joshi SH, Narr KL, Shattuck DW, Singh M, Di Paola M, Ploner CJ, Prüss H, Paul F and Finke C: Superficial white matter damage in anti-NMDA receptor encephalitis. J Neurol Neurosurg Psychiatry. 89:518–525. 2018.PubMed/NCBI View Article : Google Scholar

16 

Kerik-Rotenberg N, Diaz-Meneses I, Hernandez-Ramirez R, Muñoz-Casillas R, Reynoso-Mejia CA, Flores-Rivera J, Espinola-Nadurille M, Ramirez-Bermudez J and Aguilar-Palomeque C: A Metabolic brain pattern associated with Anti-N-Methyl-D-Aspartate receptor encephalitis. Psychosomatics. 61:39–48. 2020.PubMed/NCBI View Article : Google Scholar

17 

Leypoldt F, Buchert R, Kleiter I, Marienhagen J, Gelderblom M, Magnus T, Dalmau J, Gerloff C and Lewerenz J: Fluorodeoxyglucose positron emission tomography in anti-N-methyl-D-aspartate receptor encephalitis: Distinct pattern of disease. J Neurol Neurosurg Psychiatry. 83:681–686. 2012.PubMed/NCBI View Article : Google Scholar

18 

Yuan J, Guan H, Zhou X, Niu N, Li F, Cui L and Cui R: Changing brain metabolism patterns in patients With ANMDARE: Serial 18F-FDG PET/CT Findings. Clin Nucl Med. 41:366–370. 2016.PubMed/NCBI View Article : Google Scholar

19 

Fan B, Wu P, Zhou X, Chen Z, Pang L, Shi K and Zheng J: Aberrant resting-state interhemispheric functional connectivity in patients with anti-N-methyl-D-aspartate receptor encephalitis. Neuroradiology. 64:2021–2030. 2022.PubMed/NCBI View Article : Google Scholar

20 

Wang JH, Zuo XN, Gohel S, Milham MP, Biswal BB and He Y: Graph theoretical analysis of functional brain networks: Test-retest evaluation on short- and long-term resting-state functional MRI data. PLoS One. 6(e21976)2011.PubMed/NCBI View Article : Google Scholar

21 

Zuo XN, Ehmke R, Mennes M, Imperati D, Castellanos FX, Sporns O and Milham MP: Network centrality in the human functional connectome. Cereb Cortex. 22:1862–1875. 2012.PubMed/NCBI View Article : Google Scholar

22 

Van Den Heuvel MP and Hulshoff Pol HE: Exploring the brain network: A review on resting-state fMRI functional connectivity. Eur Neuropsychopharmacol. 20:519–534. 2010.PubMed/NCBI View Article : Google Scholar

23 

Stam CJ, De Haan W, Daffertshofer A, Jones BF, Manshanden I, van Cappellen van Walsum AM, Montez T, Verbunt JP, de Munck JC, van Dijk BW, et al: Graph theoretical analysis of magnetoencephalographic functional connectivity in Alzheimer's disease. Brain. 132(Pt 1):213–224. 2009.PubMed/NCBI View Article : Google Scholar

24 

Song L, Peng Q, Liu S and Wang J: Changed hub and functional connectivity patterns of the posterior fusiform gyrus in chess experts. Brain Imaging Behav. 14:797–805. 2020.PubMed/NCBI View Article : Google Scholar

25 

Dutra LA, Abrantes F, Toso FF, Pedroso JL, Barsottini OGP and Hoftberger R: Autoimmune encephalitis: A review of diagnosis and treatment. Arq Neuropsiquiatr. 76:41–49. 2018.PubMed/NCBI View Article : Google Scholar

26 

Nasreddine ZS, Phillips NA, Bédirian V, Charbonneau S, Whitehead V, Collin I, Cummings JL and Chertkow H: The montreal cognitive assessment, MoCA: A brief screening tool for mild cognitive impairment. J Am Geriatr Soc. 53:695–699. 2005.PubMed/NCBI View Article : Google Scholar

27 

Zigmond AS and Snaith RP: The hospital anxiety and depression scale. Acta Psychiatr Scand. 67:361–370. 1983.PubMed/NCBI View Article : Google Scholar

28 

Fan J, McCandliss BD, Sommer T, Raz A and Posner MI: Testing the efficiency and independence of attentional networks. J Cogn Neurosci. 14:340–347. 2002.PubMed/NCBI View Article : Google Scholar

29 

Fonov V, Evans AC, Botteron K, Almli CR, McKinstry RC and Collins DL: Brain Development Cooperative Group. Unbiased average age-appropriate atlases for pediatric studies. Neuroimage. 54:313–327. 2011.PubMed/NCBI View Article : Google Scholar

30 

Aglieri V, Cagna B, Velly L, Takerkart S and Belin P: FMRI-based identity classification accuracy in left temporal and frontal regions predicts speaker recognition performance. Sci Rep. 11(489)2021.PubMed/NCBI View Article : Google Scholar

31 

Sheikh UA, Carreiras M and Soto D: Decoding the meaning of unconsciously processed words using fMRI-based MVPA. Neuroimage. 191:430–440. 2019.PubMed/NCBI View Article : Google Scholar

32 

Schrouff J, Rosa MJ, Rondina JM, Marquand AF, Chu C, Ashburner J, Phillips C, Richiardi J and Mourão-Miranda J: PRoNTo: Pattern recognition for neuroimaging toolbox. Neuroinformatics. 11:319–337. 2013.PubMed/NCBI View Article : Google Scholar

33 

Shine JM, Breakspear M, Bell PT, Ehgoetz Martens KA, Shine R, Koyejo O, Sporns O and Poldrack RA: Human cognition involves the dynamic integration of neural activity and neuromodulatory systems. Nat Neurosci. 22:289–296. 2019.PubMed/NCBI View Article : Google Scholar

34 

Baek EC, Hyon R, López K, Finn ES, Porter MA and Parkinson C: In-degree centrality in a social network is linked to coordinated neural activity. Nat Commun. 13(1118)2022.PubMed/NCBI View Article : Google Scholar

35 

Fuster JM: Frontal lobe and cognitive development. J Neurocytol. 31:373–385. 2002.PubMed/NCBI View Article : Google Scholar

36 

Henri-Bhargava A, Stuss DT and Freedman M: Clinical assessment of prefrontal lobe functions. Behav Neurol Psychiatry. 24:704–726. 2018.PubMed/NCBI View Article : Google Scholar

37 

Paik E: Functions of the prefrontal cortex in the human brain. J Korean Med Sci. 13:569–581. 1998.PubMed/NCBI View Article : Google Scholar

38 

Miller EK and Cohen JD: An integrative theory of prefrontal cortex function. Annu Rev Neurosci. 24:167–202. 2001.PubMed/NCBI View Article : Google Scholar

39 

Miller EK: The prefrontal cortex and cognitive control. Nat Rev Neurosci. 1:59–65. 2000.PubMed/NCBI View Article : Google Scholar

40 

Uemura K, Shimada H, Doi T, Makizako H, Tsutsumimoto K, Park H and Suzuki T: Reduced prefrontal oxygenation in mild cognitive impairment during memory retrieval. Int J Geriatr Psychiatry. 31:583–591. 2016.PubMed/NCBI View Article : Google Scholar

41 

Mace RA, Waters AB, Sawyer KS, Turrisi T and Gansler DA: Components of executive function model regional prefrontal volumes. Neuropsychology. 33:1007–1019. 2019.PubMed/NCBI View Article : Google Scholar

42 

Grahn JA, Parkinson JA and Owen AM: The cognitive functions of the caudate nucleus. Prog Neurobiol. 86:141–155. 2008.PubMed/NCBI View Article : Google Scholar

43 

Çırak M, Yağmurlu K, Kearns KN, Ribas EC, Urgun K, Shaffrey ME and Kalani MYS: The caudate nucleus: Its connections, surgical implications, and related complications. World Neurosurg. 139:e428–e438. 2020.PubMed/NCBI View Article : Google Scholar

44 

Mohan A, Roberto AJ, Mohan A, Lorenzo A, Jones K, Carney MJ, Liogier-Weyback L, Hwang S and Lapidus KA: The significance of the default mode network (DMN) in neurological and neuropsychiatric disorders: A review. Yale J Biol Med. 89:49–57. 2016.PubMed/NCBI

45 

Li J, Curley WH, Guerin B, Dougherty DD, Dalca AV, Fischl B, Horn A and Edlow BL: Mapping the subcortical connectivity of the human default mode network. Neuroimage. 245(118758)2021.PubMed/NCBI View Article : Google Scholar

46 

Smallwood J, Bernhardt BC, Leech R, Bzdok D, Jefferies E and Margulies DS: The default mode network in cognition: A topographical perspective. Nat Rev Neurosci. 22:503–513. 2021.PubMed/NCBI View Article : Google Scholar

47 

Tanglay O, Young IM, Dadario NB, Briggs RG, Fonseka RD, Dhanaraj V, Hormovas J, Lin YH and Sughrue ME: Anatomy and white-matter connections of the precuneus. Brain Imaging Behav. 16:574–586. 2022.PubMed/NCBI View Article : Google Scholar

48 

Hebscher M, Ibrahim C and Gilboa A: Precuneus stimulation alters the neural dynamics of autobiographical memory retrieval. Neuroimage. 210(116575)2020.PubMed/NCBI View Article : Google Scholar

49 

Koziol LF, Budding D, Andreasen N, D'Arrigo S, Bulgheroni S, Imamizu H, Ito M, Manto M, Marvel C, Parker K, et al: Consensus paper: The cerebellum's role in movement and cognition. Cerebellum. 13:151–177. 2014.PubMed/NCBI View Article : Google Scholar

50 

Leggio M and Olivito G: Topography of the cerebellum in relation to social brain regions and emotions. Handb Clin Neurol. 154:71–84. 2018.PubMed/NCBI View Article : Google Scholar

51 

Sbardella E, Upadhyay N, Tona F, Prosperini L, De Giglio L, Petsas N, Pozzilli C and Pantano P: Dentate nucleus connectivity in adult patients with multiple sclerosis: Functional changes at rest and correlation with clinical features. Mult Scler. 23:546–555. 2017.PubMed/NCBI View Article : Google Scholar

52 

Zhou X, Zhang Z, Liu J, Qin L, Pang X and Zheng J: Disruption and lateralization of cerebellar-cerebral functional networks in right temporal lobe epilepsy: A resting-state fMRI study. Epilepsy Behav. 96:80–86. 2019.PubMed/NCBI View Article : Google Scholar

53 

Ahmadian N, Van Baarsen K, Van Zandvoort M and Robe PA: The cerebellar cognitive affective syndrome-a meta-analysis. Cerebellum. 18:941–950. 2019.PubMed/NCBI View Article : Google Scholar

54 

Cai L, Liang Y, Huang H, Zhou X and Zheng J: Cerebral functional activity and connectivity changes in anti-N-methyl-D-aspartate receptor encephalitis: A resting-state fMRI study. Neuroimage Clin. 25(102189)2020.PubMed/NCBI View Article : Google Scholar

55 

Liang KJ and Carlson ES: Resistance, vulnerability and resilience: A review of the cognitive cerebellum in aging and neurodegenerative diseases. Neurobiol Learn Mem. 170(106981)2020.PubMed/NCBI View Article : Google Scholar

56 

Flanagan EP, Geschwind MD, Lopez-Chiriboga AS, Blackburn KM, Turaga S, Binks S, Zitser J, Gelfand JM, Day GS, Dunham SR, et al: Autoimmune encephalitis misdiagnosis in adults. JAMA Neurol. 80:30–39. 2023.PubMed/NCBI View Article : Google Scholar

57 

Beutler BD, Moody AE, Thomas JM, Sugar BP, Ulanja MB, Antwi-Amoabeng D and Tsikitas LA: Anti-N-methyl-D-aspartate receptor-associated encephalitis: A review of clinicopathologic hallmarks and multimodal imaging manifestations. World J Radiol. 16:1–8. 2024.PubMed/NCBI View Article : Google Scholar

58 

Lam SL, Criaud M, Lukito S, Westwood SJ, Agbedjro D, Kowalczyk OS, Curran S, Barret N, Abbott C, Liang H, et al: Double-Blind, Sham-controlled randomized trial testing the efficacy of fMRI neurofeedback on clinical and cognitive measures in children with ADHD. Am J Psychiatry. 179:947–958. 2022.PubMed/NCBI View Article : Google Scholar

59 

Dadario NB and Sughrue ME: The functional role of the precuneus. Brain. 146:3598–3607. 2023.PubMed/NCBI View Article : Google Scholar

Related Articles

  • Abstract
  • View
  • Download
  • Twitter
Copy and paste a formatted citation
Spandidos Publications style
Fan B, Zhou X, Pang L, Long Q, Lv C and Zheng J: Aberrant functional hubs and related networks attributed to cognitive impairment in patients with anti‑N‑methyl‑D‑aspartate receptor encephalitis. Biomed Rep 21: 104, 2024.
APA
Fan, B., Zhou, X., Pang, L., Long, Q., Lv, C., & Zheng, J. (2024). Aberrant functional hubs and related networks attributed to cognitive impairment in patients with anti‑N‑methyl‑D‑aspartate receptor encephalitis. Biomedical Reports, 21, 104. https://doi.org/10.3892/br.2024.1792
MLA
Fan, B., Zhou, X., Pang, L., Long, Q., Lv, C., Zheng, J."Aberrant functional hubs and related networks attributed to cognitive impairment in patients with anti‑N‑methyl‑D‑aspartate receptor encephalitis". Biomedical Reports 21.1 (2024): 104.
Chicago
Fan, B., Zhou, X., Pang, L., Long, Q., Lv, C., Zheng, J."Aberrant functional hubs and related networks attributed to cognitive impairment in patients with anti‑N‑methyl‑D‑aspartate receptor encephalitis". Biomedical Reports 21, no. 1 (2024): 104. https://doi.org/10.3892/br.2024.1792
Copy and paste a formatted citation
x
Spandidos Publications style
Fan B, Zhou X, Pang L, Long Q, Lv C and Zheng J: Aberrant functional hubs and related networks attributed to cognitive impairment in patients with anti‑N‑methyl‑D‑aspartate receptor encephalitis. Biomed Rep 21: 104, 2024.
APA
Fan, B., Zhou, X., Pang, L., Long, Q., Lv, C., & Zheng, J. (2024). Aberrant functional hubs and related networks attributed to cognitive impairment in patients with anti‑N‑methyl‑D‑aspartate receptor encephalitis. Biomedical Reports, 21, 104. https://doi.org/10.3892/br.2024.1792
MLA
Fan, B., Zhou, X., Pang, L., Long, Q., Lv, C., Zheng, J."Aberrant functional hubs and related networks attributed to cognitive impairment in patients with anti‑N‑methyl‑D‑aspartate receptor encephalitis". Biomedical Reports 21.1 (2024): 104.
Chicago
Fan, B., Zhou, X., Pang, L., Long, Q., Lv, C., Zheng, J."Aberrant functional hubs and related networks attributed to cognitive impairment in patients with anti‑N‑methyl‑D‑aspartate receptor encephalitis". Biomedical Reports 21, no. 1 (2024): 104. https://doi.org/10.3892/br.2024.1792
Follow us
  • Twitter
  • LinkedIn
  • Facebook
About
  • Spandidos Publications
  • Careers
  • Cookie Policy
  • Privacy Policy
How can we help?
  • Help
  • Live Chat
  • Contact
  • Email to our Support Team