Spandidos Publications Logo
  • About
    • About Spandidos
    • Aims and Scopes
    • Abstracting and Indexing
    • Editorial Policies
    • Reprints and Permissions
    • Job Opportunities
    • Terms and Conditions
    • Contact
  • Journals
    • All Journals
    • Oncology Letters
      • Oncology Letters
      • Information for Authors
      • Editorial Policies
      • Editorial Board
      • Aims and Scope
      • Abstracting and Indexing
      • Bibliographic Information
      • Archive
    • International Journal of Oncology
      • International Journal of Oncology
      • Information for Authors
      • Editorial Policies
      • Editorial Board
      • Aims and Scope
      • Abstracting and Indexing
      • Bibliographic Information
      • Archive
    • Molecular and Clinical Oncology
      • Molecular and Clinical Oncology
      • Information for Authors
      • Editorial Policies
      • Editorial Board
      • Aims and Scope
      • Abstracting and Indexing
      • Bibliographic Information
      • Archive
    • Experimental and Therapeutic Medicine
      • Experimental and Therapeutic Medicine
      • Information for Authors
      • Editorial Policies
      • Editorial Board
      • Aims and Scope
      • Abstracting and Indexing
      • Bibliographic Information
      • Archive
    • International Journal of Molecular Medicine
      • International Journal of Molecular Medicine
      • Information for Authors
      • Editorial Policies
      • Editorial Board
      • Aims and Scope
      • Abstracting and Indexing
      • Bibliographic Information
      • Archive
    • Biomedical Reports
      • Biomedical Reports
      • Information for Authors
      • Editorial Policies
      • Editorial Board
      • Aims and Scope
      • Abstracting and Indexing
      • Bibliographic Information
      • Archive
    • Oncology Reports
      • Oncology Reports
      • Information for Authors
      • Editorial Policies
      • Editorial Board
      • Aims and Scope
      • Abstracting and Indexing
      • Bibliographic Information
      • Archive
    • Molecular Medicine Reports
      • Molecular Medicine Reports
      • Information for Authors
      • Editorial Policies
      • Editorial Board
      • Aims and Scope
      • Abstracting and Indexing
      • Bibliographic Information
      • Archive
    • World Academy of Sciences Journal
      • World Academy of Sciences Journal
      • Information for Authors
      • Editorial Policies
      • Editorial Board
      • Aims and Scope
      • Abstracting and Indexing
      • Bibliographic Information
      • Archive
    • International Journal of Functional Nutrition
      • International Journal of Functional Nutrition
      • Information for Authors
      • Editorial Policies
      • Editorial Board
      • Aims and Scope
      • Abstracting and Indexing
      • Bibliographic Information
      • Archive
    • International Journal of Epigenetics
      • International Journal of Epigenetics
      • Information for Authors
      • Editorial Policies
      • Editorial Board
      • Aims and Scope
      • Abstracting and Indexing
      • Bibliographic Information
      • Archive
    • Medicine International
      • Medicine International
      • Information for Authors
      • Editorial Policies
      • Editorial Board
      • Aims and Scope
      • Abstracting and Indexing
      • Bibliographic Information
      • Archive
  • Articles
  • Information
    • Information for Authors
    • Information for Reviewers
    • Information for Librarians
    • Information for Advertisers
    • Conferences
  • Language Editing
Spandidos Publications Logo
  • About
    • About Spandidos
    • Aims and Scopes
    • Abstracting and Indexing
    • Editorial Policies
    • Reprints and Permissions
    • Job Opportunities
    • Terms and Conditions
    • Contact
  • Journals
    • All Journals
    • Biomedical Reports
      • Information for Authors
      • Editorial Policies
      • Editorial Board
      • Aims and Scope
      • Abstracting and Indexing
      • Bibliographic Information
      • Archive
    • Experimental and Therapeutic Medicine
      • Information for Authors
      • Editorial Policies
      • Editorial Board
      • Aims and Scope
      • Abstracting and Indexing
      • Bibliographic Information
      • Archive
    • International Journal of Epigenetics
      • Information for Authors
      • Editorial Policies
      • Editorial Board
      • Aims and Scope
      • Abstracting and Indexing
      • Bibliographic Information
      • Archive
    • International Journal of Functional Nutrition
      • Information for Authors
      • Editorial Policies
      • Editorial Board
      • Aims and Scope
      • Abstracting and Indexing
      • Bibliographic Information
      • Archive
    • International Journal of Molecular Medicine
      • Information for Authors
      • Editorial Policies
      • Editorial Board
      • Aims and Scope
      • Abstracting and Indexing
      • Bibliographic Information
      • Archive
    • International Journal of Oncology
      • Information for Authors
      • Editorial Policies
      • Editorial Board
      • Aims and Scope
      • Abstracting and Indexing
      • Bibliographic Information
      • Archive
    • Medicine International
      • Information for Authors
      • Editorial Policies
      • Editorial Board
      • Aims and Scope
      • Abstracting and Indexing
      • Bibliographic Information
      • Archive
    • Molecular and Clinical Oncology
      • Information for Authors
      • Editorial Policies
      • Editorial Board
      • Aims and Scope
      • Abstracting and Indexing
      • Bibliographic Information
      • Archive
    • Molecular Medicine Reports
      • Information for Authors
      • Editorial Policies
      • Editorial Board
      • Aims and Scope
      • Abstracting and Indexing
      • Bibliographic Information
      • Archive
    • Oncology Letters
      • Information for Authors
      • Editorial Policies
      • Editorial Board
      • Aims and Scope
      • Abstracting and Indexing
      • Bibliographic Information
      • Archive
    • Oncology Reports
      • Information for Authors
      • Editorial Policies
      • Editorial Board
      • Aims and Scope
      • Abstracting and Indexing
      • Bibliographic Information
      • Archive
    • World Academy of Sciences Journal
      • Information for Authors
      • Editorial Policies
      • Editorial Board
      • Aims and Scope
      • Abstracting and Indexing
      • Bibliographic Information
      • Archive
  • Articles
  • Information
    • For Authors
    • For Reviewers
    • For Librarians
    • For Advertisers
    • Conferences
  • Language Editing
Login Register Submit
  • This site uses cookies
  • You can change your cookie settings at any time by following the instructions in our Cookie Policy. To find out more, you may read our Privacy Policy.

    I agree
Search articles by DOI, keyword, author or affiliation
Search
Advanced Search
presentation
Biomedical Reports
Join Editorial Board Propose a Special Issue
Print ISSN: 2049-9434 Online ISSN: 2049-9442
Journal Cover
August-2024 Volume 21 Issue 2

Full Size Image

Sign up for eToc alerts
Recommend to Library

Journals

International Journal of Molecular Medicine

International Journal of Molecular Medicine

International Journal of Molecular Medicine is an international journal devoted to molecular mechanisms of human disease.

International Journal of Oncology

International Journal of Oncology

International Journal of Oncology is an international journal devoted to oncology research and cancer treatment.

Molecular Medicine Reports

Molecular Medicine Reports

Covers molecular medicine topics such as pharmacology, pathology, genetics, neuroscience, infectious diseases, molecular cardiology, and molecular surgery.

Oncology Reports

Oncology Reports

Oncology Reports is an international journal devoted to fundamental and applied research in Oncology.

Experimental and Therapeutic Medicine

Experimental and Therapeutic Medicine

Experimental and Therapeutic Medicine is an international journal devoted to laboratory and clinical medicine.

Oncology Letters

Oncology Letters

Oncology Letters is an international journal devoted to Experimental and Clinical Oncology.

Biomedical Reports

Biomedical Reports

Explores a wide range of biological and medical fields, including pharmacology, genetics, microbiology, neuroscience, and molecular cardiology.

Molecular and Clinical Oncology

Molecular and Clinical Oncology

International journal addressing all aspects of oncology research, from tumorigenesis and oncogenes to chemotherapy and metastasis.

World Academy of Sciences Journal

World Academy of Sciences Journal

Multidisciplinary open-access journal spanning biochemistry, genetics, neuroscience, environmental health, and synthetic biology.

International Journal of Functional Nutrition

International Journal of Functional Nutrition

Open-access journal combining biochemistry, pharmacology, immunology, and genetics to advance health through functional nutrition.

International Journal of Epigenetics

International Journal of Epigenetics

Publishes open-access research on using epigenetics to advance understanding and treatment of human disease.

Medicine International

Medicine International

An International Open Access Journal Devoted to General Medicine.

Journal Cover
August-2024 Volume 21 Issue 2

Full Size Image

Sign up for eToc alerts
Recommend to Library

  • Article
  • Citations
    • Cite This Article
    • Download Citation
    • Create Citation Alert
    • Remove Citation Alert
    • Cited By
  • Similar Articles
    • Related Articles (in Spandidos Publications)
    • Similar Articles (Google Scholar)
    • Similar Articles (PubMed)
  • Download PDF
  • Download XML
  • View XML

  • Supplementary Files
    • Supplementary_Data.pdf
Article Open Access

Impact of SLC22A1 variants rs622342 and rs72552763 on HbA1c and metformin plasmatic concentration levels in patients with type 2 diabetes mellitus

  • Authors:
    • Adiel Ortega‑Ayala
    • Fernando De Andrés
    • Adrián Llerena
    • Carlos M. Bartolo‑Montiel
    • Juan Arcadio Molina‑Guarneros
  • View Affiliations / Copyright

    Affiliations: Department of Pharmacology, Faculty of Medicine, National Autonomous University of Mexico, Mexico City 04510, Mexico, Department of Analytical Chemistry and Food Technology, Faculty of Pharmacy, University of Castilla‑La Mancha, 02071 Albacete, Spain, University Institute for Bio‑sanitary Research of Extremadura, 06002 Badajoz, Spain, Directorate of Planification, Teaching, and Research, High‑Speciality Regional Hospital of Ixtapaluca, Ixtapaluca 56530, Mexico
    Copyright: © Ortega‑Ayala et al. This is an open access article distributed under the terms of Creative Commons Attribution License.
  • Article Number: 117
    |
    Published online on: June 17, 2024
       https://doi.org/10.3892/br.2024.1806
  • Expand metrics +
Metrics: Total Views: 0 (Spandidos Publications: | PMC Statistics: )
Metrics: Total PDF Downloads: 0 (Spandidos Publications: | PMC Statistics: )
Cited By (CrossRef): 0 citations Loading Articles...

This article is mentioned in:



Abstract

Type 2 diabetes mellitus (T2DM) is a major global health problem. Response to first‑line therapy is variable. This is partially due to interindividual variability across those genes codifying transport, metabolising, and drug activation proteins involved in first‑line pharmacological treatment. Single nucleotide polymorphisms (SNPs) of genes SLC22A1, SLC22A2 and SLC22A3 affect metformin therapeutic response in patients with T2DM patients. The present study investigated allelic and genotypic frequencies of organic cation (OCT)1, OCT2, and OCT3 polymorphisms among metformin‑treated patients with type 2 diabetes mellitus (T2DM). It also reports the association between clinical and genetic variables with glycated haemoglobin (HbA1c) control in 59 patients with T2DM. Patients were genotyped through real‑time PCR (TaqMan assays). Metformin plasmatic levels were determined by mass spectrometry. Neither the analysis of HbA1c control by SNPs in SLC22A1, SLC22A2 and SLC22A3, nor the dominant genotypic model analysis yielded statistical significance between genotypes in polymorphisms rs72552763 (P=0.467), rs622342 (P=0.221), rs316019 (P=0.220) and rs2076828 (P=0.215). HbA1c levels were different in rs72552763 [GAT/GAT, 6.0 (5.7‑6.6), GAT/del=6.5 (6.2‑9.0), del/del=6.5 (6.4‑6.8); P=0.022] and rs622342 [A/A=6.0 (5.8‑6.5), A/C=6.4 (6.1‑7.7), C/C=6.8 (6.4‑9.3); P=0.009] genotypes. The dominant genotypic model found the lowest HbA1c levels in GAT/GAT (P=0.005) and A/A (P=0.010), in rs72552763 (GAT/GAT vs. GAT/del + del/del) and rs622342 (A/A vs. A/C + CC), respectively. There was a significant correlation between HbA1c levels and metformin dosage amongst del allele carriers in rs72552763 (β1=0.14, P<0.001, r2=0.387), as opposed to GAT/GAT in rs72552763. There were no differences between HbA1c values in the test set and those predicted by machine learning models employing a simple linear regression based on metformin dosage. Therefore, rs72552763 and rs622342 polymorphisms in SLC22A1 may affect metformin response determined by HbA1c levels in patients with T2DM. The del allele of SNP rs72552763 may serve as a metformin response biomarker.

Introduction

The United Nations and World Health Organization (WHO) have pointed to diabetes as the greatest health issue from a global epidemic prospect (1). Global diagnosis criteria have already been standardised between the WHO, the International Diabetes Federation (IDF) and the American Diabetes Association (ADA) (1). The 2021 edition of the International Diabetes Federation Atlas estimates that 537 million adults between 20 and 79 years of age have diabetes (10.5% prevalence), of whom 90% have type 2 diabetes mellitus (T2DM) (2). Moreover, an estimated 240 million people are undiagnosed, meaning that almost half of patients globally are not aware of their condition (2). By 2045, ~783 million people are predicted to have diabetes (12.2% prevalence) (2).

In Mexico, the National Institute for Public Health has carried out the National Health and Nutrition Survey (ENSANUT) for >25 years. According to the latest data of ENSANUT 2021 COVID 19(3), the prevalence of diabetes was 11.1% (confidence interval 95%=9.5-12.8) in a country whose population was 128.9 million in 2020.

Glycaemic control is fundamental to treat diabetes. The United Kingdom Prospective Diabetes Study confirmed that glycaemic control significantly decreases complication rates in patients with T2DM (4). HbA1c control objective <7% (53 mmol) was associated with fewer microvascular complications in patients with type 1 and 2 diabetes, thus T2DM handling should be focused on adequate control of hyperglycaemia and other risk factors such as overweight, hypertension, and dyslipidemia (5).

Metformin is classified as a biguanide and it is considered an essential drug by the WHO. It is the first-line therapy against T2DM because of its efficacy, safety and low cost. It has a beneficial effect on HbA1c and weight reduction and it can reduce cardiovascular and death risk (4).

The primary effect of metformin is the hepatic inhibition of gluconeogenesis, however, its mechanism is still debated (6). Patients receiving a daily dose of 500-2,550 mg metformin have a plasmatic concentration of 10-40 µM (6). Metformin is a positively charged hydrophilic molecule that is mainly transported by organic cations 1-3 (OCT1-3), equilibrant nucleoside transporter 4 (ENT4) and multidrug and toxin extrusions (MATEs) 1 and 2k (6,7). In the intestinal lumen, metformin is absorbed by enterocytes via ENT4 and OCT3, then it is released into the intravascular space through OCT1 and distributed across the organism. Hepatocytes absorb metformin through OCT1 and OCT3, and excrete it into bile via MATE1. Renal tubular cells absorb metformin via OCT2, excreting it in urine via MATE1, MATE2-k and OCT1(7). Thus, metformin distribution in humans is associated with the location of these transporters, where higher concentrations of metformin are found in the liver, kidney and intestine, while lower concentrations are found in peripheral organs (6). The efficacy and toxicity of any drug are determined by its pharmacokinetic and pharmacodynamic balance. Inherent genetic variations contribute to this variability, since multiple genes encode proteins directly involved in the aforementioned pharmacological balance (8). Transporters involved in metformin pharmacokinetics and pharmacodynamics belong to the solute carrier (SLC) family. This superfamily encompasses OCTs. OCT1 is a 554 amino acid protein with a molecular weight of 61,154 Da; it is codified by gene SLC22A1, located in the long arm of chromosome 6, in region 25.3 (6q25.3), possessing a total of 12 exons (9). Like numerous other members of the SLC22 family, it has 12 helixes or transmembrane domains (TMDs), including a large extracellular loop between domains 6 and 7(10). SLC22A1 is a highly polymorphic gene and its polymorphisms may induce altered OCT1 function, which affects metformin pharmacokinetics and response (7,11). This study aims to determine the effects of one exonic (due to direct protein changes) and one intronic polymorphism (due to possible changes in the protein translation) on HbA1c levels. The exonic polymorphism in question is rs72552763 (c.1260_1262del), since it may represent another 3: rs35167514 (c.1258del), rs34305973 (c.1259del), and rs35191146 (c.1260del), located in exon 7, which would be found by TMD 9 in the final protein (10,12). The intronic OCT1 polymorphism is rs622342 (g.160151834), a variant which affects transcription rate decrease (13). Studying the frequency and functionality of these two polymorphisms could lead to identifying pharmacogenetic biomarkers of relevance in T2DM therapeutic response.

Materials and methods

Study design

The present study was an observational, transversal, clinical and analytical trial conducted at the Hospital Regional de Alta Especialidad de Ixtapaluca, Mexico (HRAEI) between April 2018 and April 2019. Patient histories were compiled collecting clinical and biochemical data found in their electronic records. These included age, disease duration, HbA1c levels, height, weight, BMI, blood pressure, metformin dosage, fasting glucose, cholesterol total, triglyceride and glomerular filtration rate. A peripheral venous blood sample was collected from every patient using two tubes containing ethylenediaminetetraacetic acid (EDTA). Following a fasting period of at least 8 h, blood samples were taken within 8 h after the evening's metformin dose. A 10 ml peripheral venous blood sample was extracted using EDTA vacutainer tubes. The sample was centrifuged at 400 x g for 5 min at 4˚C. Plasma aliquots were collected using Eppendorf tubes and the samples were frozen at -80˚C until drug determination assay.

Patient recruitment

Out of a previously studied sample of 103 Mexican-Mestizo patients with T2DM [diagnosed by ADA (5) and WHO criteria (14)] from HRAEI (15, Ortega), 59 (17 (28.81%) male; women=42 (71.18%), (age, men=51.00-62.00, women (46.20-61.00)] undergoing metformin monotherapy were selected for the present study.

Clinical evaluation

Patients were recruited according to the following inclusion criteria: i) Patient was undergoing metformin treatment; ii) the patient had undergone a treatment schedule comprising a stable metformin dose for at least 3 months. The clinical record and treatment characteristics of each individual were accessible via their medical file at the corresponding healthcare centre, particularly data concerning drug dosage (including hypoglycemic agents) during the aforementioned 3 month period. The medical file comprised anthropometric parameters and clinical laboratory reports performed at High-Speciality Regional Hospital of Ixtapaluca, Ixtapaluca, Mexico on a number of key biochemical variables including HbA1c via high-performance liquid chromatography (HPLC) in a Variant II Turbo 2.0 (Bio-Rad Laboratories, Inc.); fasting glucose levels, total cholesterol, low density lipoprotein (LDL), high density lipoproteins (HDL), triglycerides and creatinine by photometry in an AU480 Chemistry Analyzer (Beckman Coulter, Inc.)]. Individuals who reported chronic alcoholism, previous pancreatic pathology, renal failure, hypoglycemic treatment with insulin or insulin analogs, insufficient medical records, T1DM or voluntary withdrawal were excluded. A database was created to retrieve and analyse the information of the 103 patients. File revision was performed through random probabilistic sampling.

Genotyping procedure

Genotyping was performed as previously described (15). A peripheral 10 ml blood sample was collected from all participants in EDTA tubes, and genomic DNA was extracted from 200 µl venous peripheral blood using UltraClean® BloodSpin® DNA isolation reagents (Mo Bio Laboratories; Qiagen, Inc.), evaluated for integrity and concentration via 1% agarose electrophoresis and spectrophotometry using NanoDrop™ 2000/2000c (Thermo Scientific, Inc.), respectively. For SLC22A1, SLC22A2 and SLC22A3, different allelic variants were analysed by real time PCR technology using fluorescence-based TaqMan® assays on a Fast 7300 Real-Time PCR System (both Applied Biosystems; Thermo Fisher Scientific, Inc.). Reactions were performed in a final reaction volume of 10 µl with 30 ng genomic DNA template, 1X TaqMan® Universal PCR Master mix, 1X each probe assessed (SLC22A1: rs12208357, C__30634096_10; SLC22A1: rs2282143, C__15877554_40; SLC22A1: rs594709, C___1898206_20; SLC22A1: rs622342, C____928527_30; SLC22A1: rs628031, C___8709275_60; SLC22A1: rs683369, C____928536_30; SLC22A1: rs72552763, C__34211613_10; SLC22A2: rs316019, C___3111809_20; SLC22A3: rs2076828, C___2763995_1_ and SLC22A3: rs8187725, C__30633894_10) and water. Thermocycling conditions and allelic discrimination to identify the genotypes using allelic discrimination software ABI PRISM 700 Sequence Detection System v1.0 (Applied Biosystems; Thermo Fisher Scientific, Inc.) were as previously described (15). SNP allelic and genotypic frequencies of OCT1, OCT2, and OCT3 were performed by direct counting.

Genotypic and allelic frequency analysis

Allelic frequencies were counted, and expected values were calculated for each genotype (Appendix S1). Hardy Weinberg equilibrium was calculated through χ2 and P-value was determined through 1-pchisq(χ2, df=1) with one degree of freedom for each of the four SNPs (rs72552763, rs622342, rs316019, and rs2076828). P>0.05 was considered to indicate a Hardy-Weinberg equilibrium.

Plasmatic metformin determination

Determinations were performed in the Clinical Pharmacology Unit of the Faculty of Medicine of the Universidad Nacional Autónoma de México (UNAM), Mexico City, Mexico. The methodology was validated in accordance with the Mexican Official Normativity NOM-177-SSA 1-2013(16), which establishes tests and procedures to demonstrate drug interchangeability, the mandatory requirements authorised third parties must observe, which research or healthcare institutions may perform biocompatibility tests and the internal procedure of analytical methodology validation. The study adhered to international requirements established in the Standard Operating Procedure SOP-UA-05-09 ‘Validation of analytical methodology on special and bioavailability and/or bioequivalence studies’ (17). Biological samples were analysed according to analytical methodology index card FMA-018/B, previously validated according to Mexican Official Normativity NOM-177-SSA1-2013(16). The analytical method was selective over the quantification of both plasmatic metformin and glibenclamide, without interference of either endogenous or exogenous compounds. The employed methodology is selective, linear, precise,and exact over the assessed concentration range. For sample analysis, ultra-HPLC-mass spectroscopy in multiple reaction monitoring (20˚C; flow rate 0.6 ml/min) mode was performed using an Agilent Technologies G6490A mass spectrometer. Calibration curves and controls for sample analysis were prepared using the following reference substances: Metformin hydrochloride (United States Pharmacopea batch R069H0, purity 99.7%), glibenclamide (batch R022S0, purity 99.4%), and loratadine (U.S.P. R052U0, purity 99.8%). To quantify plasmatic metformin/glibenclamide, mass/charge ratio of metformin 130.1/71.0, glibenclamide 494.0/369.0 and the internal standard loratadine 383.1/337.1 were used. A Luna PFP analytical column (2.0x100.00 mm, 3.0 µm; Phenomenex) was used for analyte separation and determination. The isocratic elution of samples was performed using acidified ammonium formate 10 mM (A): acetonitrile 100% (B), as mobile phase. Analytes were extracted through protein extraction/precipitation: A 100 µl aliquot was extracted from a plasma sample centrifuged at 400 x g for 5 min at 4˚C and deposited into a microtube. A total of 10 µl loratadine internal standard solution (30 µg/ml) was added. For protein precipitation, 400 µl HPLC-grade acetonitrile was added. The tube was shaken on a multiple vortex at maximum (438 x g) speed for 1 min at room temperature. The tube was centrifuged at 20,600 x g and 4˚C for 5 min. A total of 250 µl supernatant was transferred to a 96-well plate. The injection volume on the chromatographic system was 2.0 µl. The method was linear in the range of 20-10,000 ng/ml. Intra- and inter-day variation coefficients were <15%. In the case of metformin, recovery ranged from 89.676 to 90.731%. The association between chromatographic response and concentration on every calibration curve was adjusted by linear least squares regression for metformin. To quantify the plasmatic samples, regression was performed using Mass Hunter B.08 Quantitative Analysis software (agilent.com/en/product/software-informatics/mass-spectrometry-software/data-analysis).

Statistical analysis

Statistical analyses were conducted using R-4.2.0 language (r-project.org/). Apposite code lines were generated to programme every analysis. Kolmogorov-Smirnov or Shapiro-Wilk test was performed for the population description analysis. According to distribution, quantitative variables were analysed using either unpaired Student's t or Mann-Whitney U tests for independent groups. Data are presented as the median and standard deviation or 25 and 75 percentiles. Qualitative variables were analysed by Pearson's χ2 test. Kruskal-Wallis test was used to conduct comparisons between >2 groups, followed by Mann-Whitney U post hoc test using the pgirmess package version 2.0.2 (R-project.org/.) pairwise.wilcox.test() command.

Simple and multiple linear regression models. Assessed variables included metformin concentration effect (ng/dl), age (years), metformin dosage (mg/kg/day) and BMI (kg/m2) with respect to HbA1c percentage (as dependent variable) in patients grouped by a dominant genotypic model. A total of eight simple and two multiple linear regression models were used.

Two linear regression machine learning models were applied to the dominant genotypic model in rs72552763 GAT/GAT (n=28) and GAT/del + del/del (n=31) groups, where atypical and influential values were assessed through Cook's distance and leverage, and three observations were eliminated. Models were constructed in R-4.2.0 (r-project.org/), where simple validation through sample.split (caTools library version 1.18.2, SplitRatio at 2/3), was used to create a training and a testing set.

By means of adjustment, a model was trained with the first set. Predicted values were obtained by adjusting the trained model with the testing set. The model was validated by graphic collinearity exploration, residue distribution via Shapiro-Wilk (shapiro.test) and graphic and numeric analysis of atypical and influential values by Cook's distance and leverage. Variance homogeneity was evaluated with Breusch-Pagan's test using the bptest function from Imtest library (version 0.9-40; R-project.org/. Kruskal-Wallis inference was performed to compare HbA1c levels predicted by the model vs. the training and testing sets. P<0.05 was considered to indicate a statistically significant difference.

Results

Clinical and biochemical data of patients

Out of 103 patients, 59 fulfilled the inclusion criteria. As shown in Table I, patients were grouped by sex. Significant differences were only found for height. HbA1c median was 6.30 (5.80-7.30) and 6.40 (6.10-7.85), respectively, for male and female patients. Uncontrolled (HbA1c >7%) proportions were 29.42% for male and 26.19% for female patients; there was no significant difference.

Table I

Clinical and demographic characteristics of patients with type 2 diabetes mellitus undergoing metformin treatment.

Table I

Clinical and demographic characteristics of patients with type 2 diabetes mellitus undergoing metformin treatment.

CharacteristicMale (n=17)Female (n=42)P-value
Age, years59.00 (51.00-62.00)54.50 (46.20-61.00)0.335
Height, m1.64±0.051.54±0.05 <0.001a
Weight, kg81.50±11.9077.70±18.300.224
BMI, kg/m230.20±4.0432.60±6.930.095
BMI classificationd (%)  0.283
     Normal (18.50-24.99)0 (0.00)4 (9.52) 
     Overweight (25.00-29.99)8 (47.05)12 (28.57) 
     Obese I (30.00-34.99)7 (41.17)11 (26.19) 
     Obese II (35.00-39.99)2 (11.76)10 (23.80) 
     Obese III (≥ 40.00)0 (0.00)5 (11.90) 
Systolic BP, mmHg127 (119-136)124 (110-134)0.513
Diastolic BP, mmHg78 (68-88)77 (70-80)0.906
Time since diagnosis, years3.00 (1.00-6.00)3.50 (1.62-8.00)0.453
Metformin dose, mg/kg/day19.80 (10.50-23.80)18.4 (12.70-26.80)0.383
Metformin doseb, mg/day (%)  0.587
     5000 (0.00)2 (5.00) 
     8507 (43.75)13 (32.50) 
     1,7007 (43.75)16 (40.00) 
     2,5502 (12.50)9 (22.50) 
Metformin concentration, ng/ml650.00 (135.00-877.00)263.00 (107.00-748.00)0.375
Fasting glucosec, mg/dl107.00 (102.00-134.00)121.00 (100.00-187.00)0.505
     Control (<126)13 (76.47%)22 (53.65%)0.186
     Uncontrolled (≥126)4 (23.53%)19 (46.35%) 
NGSP%6.30 (5.80-7.30)6.40 (6.10-7.85) 
IFCC mmol/mol45.35 (39.89-56.28)46.45 (43.17-62.30)0.322
Control HbA1c (<7%)12 (70.58)31 (73.81) 
Uncontrolled HbA1c (≥7%)5 (29.42)11 (26.19)>0.999
Total cholesterol, mg/dl165.00±32.40179.00±41.600.236
     Control (<200)13 (81.25%)28 (66.66%)0.442
     Uncontrolled (≥200)3 (18.75%)14 (33.33%) 
Triglyceride, mg/dl185.00 (108.00-201.00)195.00 (132.00-239.00)0.333
     Control (<150)6 (42.75%)10 (24.39%)0.330
     Uncontrolled (≥150)8 (57.15%)31 (75.61) 
GFR, MDRD-4, ml/min92.80 (80.7-113.00)94.50 (89.30-115.00)0.933

[i] aP<0.05. Data missing for one

[ii] bmale and

[iii] cfemale patient.

[iv] dNutritional status according to the World Health Organization. BP, blood pressure; HbA1c, glycated haemoglobin; NGSP, National Glycohemoglobin Standarization Program; IFCC, International Federation of Clinical Chemistry standardization of HbA1c; GFR, Glomerular Filtration Rate; MDRD-4, Modification of Diet in Renal Disease 4-variable version.

Allelic and genotypical frequencies of the studied polymorphisms among patients with T2DM undergoing metformin treatment

Table II shows the allelic and genotypic frequencies. P-value for Hardy-Weinberg equilibrium test was >0.05 across all polymorphisms in every case, except rs622342.

Table II

Allele and genotype frequency of SLC22A1, SLC22A2 and SLC22A3 polymorphisms in patients with type 2 diabetes mellitus undergoing metformin treatment.

Table II

Allele and genotype frequency of SLC22A1, SLC22A2 and SLC22A3 polymorphisms in patients with type 2 diabetes mellitus undergoing metformin treatment.

GeneSNPGenotypenFrequencyAllelenFrequencyP-value
SLC22A1rs72552763GAT/GAT280.474GAT780.6610.197
  (c.1260_1262del)GAT/del220.372del400.338 
  del/del90.152    
 rs622342A/A250.423A690.5840.009
 (g.160572866)A/C190.322C490.415 
  C/C150.254    
SLC22A2rs316019C/C520.881C1100.9320.133
 (c.808G>T)C/A60.101A80.067 
  A/A10.016    
SLC22A3rs2076828C/C460.779C1030.8720.219
 (g.160451754)C/G110.186G150.127 
  G/G20.033    

[i] SLC, Solute carrier; SNP, Single Nucleotide Polymorphism; del, deletion.

HbA1c control associated with SNPs in SLC22A1, SLC22A2, and SLC22A3

The present study assessed frequency distribution among patients with controlled (HbA1c <7%) and uncontrolled (HbA1c ≥7%) T2DM. Frequency distribution based on polymorphism genotype and dominant genotypic model for every SNP was assessed but no statistical significance was found (data not shown).

Biomarker values by genotypic model

Statistical inference across the different SNP genotypes was performed and SNPs were grouped according to an individualised genotypic model (Table III). There were significant differences in HbA1c levels associated with rs72552763 and rs622342 in SLC22A1; however, this result did not parallel fasting glucose levels in rs72552763 [GAT/GAT, 103.00 (100.0-133.20), GAT/del: 127.00 (106.00-195.00), del/del: 127.00 (116.00-146.00)] and rs622342 [A/A: 105.00 (102.00-133.00), A/C: 113.00 (100.00-133.00), C/C: 135.00 (118.50-205.00)]. There was a significant difference between GAT/del and CC in rs72552763 and rs622342 when respectively compared with the wild-type genotype (Table III).

Table III

HbA1c and fasting glucose levels by genotype and dominant genotype model.

Table III

HbA1c and fasting glucose levels by genotype and dominant genotype model.

A, Genotype
GeneSNPGenotypeNGSP HbA1c (%)IFCC HbA1c, mmol/molP-valueFasting glucose, mg/dlP-value
SLC22A1rs72552763GAT/GAT6.05 (5.75-6.65)42.60 (39.30-49.20)0.022a103.00 (100.00-133.20)0.082
   GAT/delc6.55 (6.20-9.05)48.10 (44.30-75.40) 127.00 (106.00-195.00) 
  del/del6.50 (6.40-6.80)47.50 (46.50-50.80) 127.00 (116.00-146.00) 
 rs622342A/A6.00 (5.80-6.50)42.10 (39.90-47.50)0.009a105.00 (102.00-133.00)0.086
  A/C6.40 (6.10-7.70)46.50 (43.20-60.70) 113.00 (100.00-133.00) 
  C/Cc6.80 (6.45-9.35)50.80 (47.00-78.70) 135.00 (118.50-205.00) 
SLC22A2rs316019C/C6.40 (5.98-7.15)46.50 (41.80-54.60)0.609115.00 (101.00-140.00)0.313
  C/A6.25 (5.90-7.65)44.80 (41.00-60.10) 139.00 (107.50-207.20) 
  A/A8.10 (8.10-8.10)65.00 (65.00-65.00) 223.00 (223.00-223.00) 
SLC22A3rs2076828C/C6.35 (5.93-6.88)45.90 (41.30-51.60)0.335115.00 (102.00-152.00)0.507
  C/G6.40 (5.95-8.25)46.50 (41.50-66.70) 107.00 (100.00-167.00) 
  G/G8.65 (7.62-9.67)71.00 (59.80-82.20) 175.00 (151.00-199.00) 
B, Dominant genotype model
GeneSNPGenotypeNGSP HbA1c (%)IFCC HbA1c, mmol/molP-valueFasting glucose (mg/dl)P-value
SLC22A1rs72552763GAT/GAT6.05 (5.75-6.65)42.62 (39.34-49.18)0.005b103.00 (100.00-133.25)0.026b
  GAT/del + del/del6.50 (6.20-8.90)47.54 (44.26-73.77) 127.00 (107.20-193.00) 
 rs622342A/A6.00. (5.80-6.50)42.08 (39.89-47.54)0.010b105.00 (102.00-133.00)0.155
  A/C + C/C6.50 (6.20-8.52)47.54 (44.26-69.67) 127.00 (104.00-187.00) 
SLC22A2rs316019C/C6.40 (5.97-7.15)46.45 (41.80-54.64)0.888115.00 (101.00-140.50)0.210
  C/A + A/A6.30 (6.00-8.10)45.35 (42.08-65.03) 157.00 (112.00-223.50) 
SLC22A3rs2076828C/C6.35 (5.92-6.87)45.90 (41.26-51.64)0.355115.00 (102.00-152.00)0.815
  C/G + G/G6.60 (6.10-9.20)48.63 (43.17-77.05) 121.00 (100.00-204.00) 

[i] P<0.05 assessed by

[ii] aKruskal-Wallis and

[iii] bMann Whitney U test.

[iv] cP<0.05 for Mann-Whitney U test vs. wild-type. SLC, solute carrier; SNP, Single Nucleotide Polymorphism; NGSP, National Glycohemoglobin Standarization Program; HbA1c, glycated haemoglobin; IFCC, International Federation of Clinical Chemistry standardization of HbA1c.

Metformin plasmatic concentrations by genotype and genotypic model

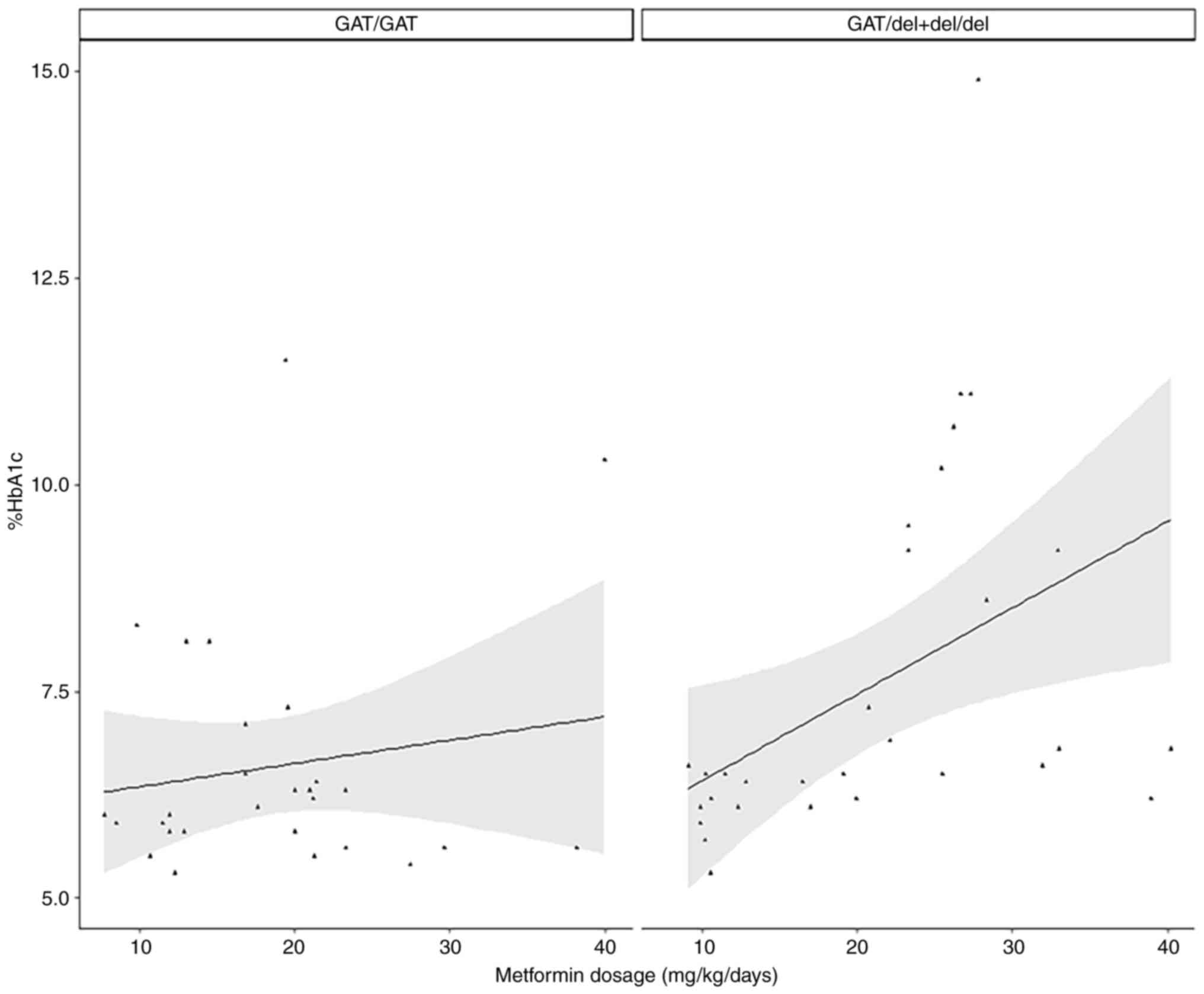
Metformin plasmatic concentrations were assessed across all four polymorphisms. There were no significant differences. The dominant genotypic model assessment revealed no significant difference. There was no significant difference between SNPs in SLC22A2 and SLC22A3 regarding HbA1c levels across genotypes. Grouping by dominant genotypic model (GAT/GAT vs. GAT/del + del/del) revealed significant difference in both HbA1c (Table III) and fasting glucose levels, whilst the dominant genotypic model of rs622342 (A/A vs. A/C+C/C) revealed significant differences only in HbA1c levels, not in fasting glucose (Table III). Models applied to rs316019 and rs2076828 yielded no significant difference. In the GAT/GAT group (n=28), no variable was significantly associated with %HbA1c, but for GAT/del + del/del (n=28), metformin dosage was significantly associated with %HbA1c levels in both the simple and multiple models (Table IV; Fig. 1). Training and testing set groups were created within GAT/GAT (n=28) and GAT/del + del/del (n=31). Linear regression was conducted on every group. Cook's distance and leverage revealed three atypical and influential observations which were eliminated to prepare the final model on the del allele group (n=28). Linear regression models in the training set were subjected to the testing set, yielding predicted values for every patient group (Table V).

Figure 1

Linear regression models for patients grouped by dominant genotypic model of SNP rs72552763 in SLC22A1. GAT/GAT, β1=0.02, P=0.435, r2=0.02; GAT/del + del/del, β1=0.14, P<0.001, r2=0.387. Grey, confidence interval at 95% of the median predicted value (black line), HbA1c, glycated haemoglobin.

Table IV

Linear regression in the dominant genotypical model of rs72552763 (c.1260_1262del).

Table IV

Linear regression in the dominant genotypical model of rs72552763 (c.1260_1262del).

A, GAT/GAT carriers (n=28)
 UnivariateMultivariate
Variableβ (95% CI)P-valueβ (95% CI)P-value
Metformin concentration-0.0003 (-0.0015, 0.0008)0.549-0.0007 (-0.0021, 0.0005)0.229
Age-0.0001 (-0.0494, 0.0490)0.9940.0036 (-0.0589, 0.0662)0.902
Dosage0.0282 (-0.0448, 0.1012)0.4350.0677 (-0.0366, 0.1722)0.187
BMI0.0309 (-0.0564, 0.1183)0.4720.0581 (-0.0556, 0.1719)0.293
B, GAT/del + del/del carriers (n=28)a
 UnivariateMultivariate
Variableβ (95% CI)P-valueβ (95% CI)P-value
Metformin concentration0.0001 (-0.0006, 0.0010)0.6980.0001 (-0.0004, 0.0007)0.642
Age-0.0412 (-0.1101, 0.0276)0.230-0.0144 (-0.0807, 0.0517)0.651
Dosage0.1436 (0.0742, 0.2130) <0.001b0.1591 (0.0820, 0.2362) <0.001b
BMI0.0512 (-0.0662, 0.1687)0.3780.0760 (-0.0236, 0.1758)0.326

[i] aAtypical/influential values removed (n=3).

[ii] bP<0.001. 95% CI, 95% Confidence interval.

Table V

Machine learning model summary.

Table V

Machine learning model summary.

A, GAT/GAT (n=28)
Training set (n=18)Testing set (n=10)Predicted (n=10)P-value
6.25 (5.60-6.92)5.95 (5.82-6.07)6.32 (6.23-6.37)0.365
B, GAT/del + del/del (n=28)
Training set (n=18)Testing set (n=10)Predicted (n=10)P-value
6.55 (6.40-8.27)6.45 (6.12-8.55)6.63 (6.04-7.58)0.599

[i] Data are described with median and 25-75th percentile.

The model assessment detected one atypical but non-influential value in GAT/GAT, where Shapiro-Wilk residue distribution was P=0.001 and variance homogeneity was P=0.432. In GAT/del + del/del, there were detected two atypical but non-influential values and a plausible influential observation which was not eliminated due to the sample size. Residue normality and variance homogeneity were validated. Finally, central tendency and dispersion measurements of both data sets, as well as predicted values, were compared using Kruskal-Wallis test, which revealed no significance in GAT/GAT (P=0.365) or GAT/del + del/del.

Discussion

There are official reports which indicate an HbA1c non-control prevalence of ~75% among patients with T2DM (15,19); the present study reported a non-control prevalence of 29.42% among male and 26.19% among female patients; the difference was not significant. The present study reported an overall non-control prevalence of 27.11%, a lower rate compared with ENSANUT 2012(18). ENSANUT reports consider all people with diabetes undergoing any kind of treatment, not solely metformin monotherapy. The present data suggested that the non-controlled proportion of patients receiving metformin monotherapy was lower than that reported by ENSANUT. This may be due to the median diagnosis period (3 years) in the present study, which likely reflects early disease stages. However, according to central tendency measurements, ≥50% of the population had a BMI >30 kg/m2, which represents a risk factor non-controlled T2DM (15,19). OCTs directly affect metformin pharmacokinetics, since they absorb, distribute and eliminate the drug (7). Moreover, genetic variations caused by polymorphisms in SLC22A1, SLC22A2, and SLC22A3 alter metformin pharmacokinetics, affecting its hepatic action (7). Polymorphism rs72552763 in SLC22A1, where 3 bases (ATG) in codon 420 (p.M420del) are deleted, has been studied in Mexican populations by Reséndiz-Abarca et al (20) and Menjivar et al (21). On rs622342 Reséndiz-Abarca et al (20) found significant differences between genotypes AA, AC, and the minor allele CC regarding HbA1c among patients treated with metformin for <3 years. In a linear model association analysis of rs622342, adjusted by sex, age, disease duration and waist circumference, there was a significant difference associated with CC, where HbA1c value (P<0.001) increased after 12 months (20). Nonetheless, Menjívar et al (21) investigated rs72552763 and found no significant difference between fasting glucose (P=0.368) and HbA1c levels (P=0.181). The aforementioned study reported differences in rs72552763 genotypic frequencies in controlled vs. uncontrolled patients depending on HbA1c levels, respectively: GAT/GAT=33/107, GAT/del=19/39, and del/del=16/16, (P=0.011). These results differ from the present study, because there were no significant differences between controlled and uncontrolled patients across rs72552763 genotypes (P=0.467). The present analysis of HbA1c suggested lower levels were associated with GAT/GAT compared with the minor allele. Menjívar et al (21) included patients undergoing a combined treatment of metformin and glibenclamide, whereas the present study included only metformin monotherapy, similar to Reséndiz-Abarca et al (20). The present results coincide with Christensen et al (22), which reported that minor alleles in SLC22A1 SNPs, including rs72552763, are associated with a lower steady-state metformin plasma concentration (P=0.001) and higher HbA1c levels (P=0.043). The present study analysed metformin plasmatic concentrations; while its median value was higher for GAT/GAT (504.04; 131.65-900.16 ng/ml), there was no significant difference compared with deletion carriers of s72552763 (236.4; 86.76-785.24 ng/ml). The Audit trail in Tayside, Scotland (23), a cohort survey including 1,531 patients treated with metformin, reported that genotypes of rs72552763 have no effect on HbA1c levels or its decrease after 42 months; however, in the aforementioned study the proportion of del/del was three times lower than in the present study (4.70 vs. 15.25%). On the other hand, in 2015 Umamaheswaran et al (24) studied patients with recently diagnosed T2DM treated with metformin monotherapy, starting at 500 mg/day, which increased to 2.5 g/day after 12 weeks. Comparison between respondent (HbA1c decrease ≥0.5%) and non-respondent patients (fasting glucose >180 mg; HbA1c decrease <1% after 12 weeks) by logistic regression based on AA as the reference group found that carriers of the minor allele C presented a greater non-response risk in genotypes AC (P=0.011; OR=3.50; 1.39-8.84 95% CI) and CC (P=0.033; OR=5.60; 1.24-25.80 95% CI). A dominant genotypic model (AA vs. AC + CC), found that minor allele C confers greater non-response risk (P=0.003; OR=3.85; 1.61-9.19 95% CI). These results coincide with the present study, which found higher HbA1c levels in patients carrying the minor allele C of rs622342 in SLC22A1. Simple linear regression analysis revealed no association between metformin dosage and %HbA1c levels in patients carrying GAT/GAT of rs72552763 in SLC22A1. However, a significant correlation was found for del allele carriers (GAT/del + del/del). These results suggest that GAT/GAT patients exhibit stable %HbA1c levels when the metformin dosage increases, whereas del allele carriers exhibit high %HbA1c levels in spite of increased metformin intake. These finds concur with our previous study (15), which reported higher %HbA1c levels in patients with T2DM carrying the del allele (P=0.022). In a prospective study conducted on patients with metformin-treated T2DM from the University Clinical Centre of Sarajevo, Bosnia-Herzegovina by Dujic et al (25), the number of minor alleles of two OCT1 SNPs, including rs72552763, was associated with adverse gastroenteric reaction [OR=2.31 (IC95% 1.07-5.01), P=0.034]. Considering the aforementioned and the present results, rs72552763 minor allele carriers may require higher metformin doses to effectively regulate HbA1c levels, which fosters adverse reactions. An in vitro study of mouse hepatocytes by Shu et al (26) found that OCT1 deletion (420del) decreases metformin absorption ordinally according to the number of minor alleles in the rs72552763 genotype, which further supports the present results. The del minor allele may be associated with a lower metformin response. To the best of our knowledge, the present study is the first to combine a machine learning model with a linear regression to predict HbA1c levels (affected by metformin daily dosage) in patients grouped according to a dominant genotypical rs72552763 model. Although there were no significant differences between the predicted data and the training and testing sets, the GAT/GAT model revealed one influential value and residual normality absence. The del allele model detected neither atypical nor influential values and residues were normally distributed, but there was variance heterogeneity, which may be a consequence of the aforementioned atypical and influential adjustment. Nevertheless, these models approach quantitative prediction of metformin-affected %HbA1c levels in a patient population studied through this genotypical model of SNP rs72552763, which is associated with uptake and response in metformin monotherapy clinically (15,25) and in vitro (26). Although the present sample size is small, the data suggested that polymorphisms of rs72552763 and rs622342 in SLC22A1 affect metformin response in patients with T2DM. Longitudinal studies in a population undergoing metformin monotherapy are necessary to observe this effect over time. While it is necessary to perform further studies using different method designs (including statistical techniques and machine learning), these findings may support personalised medicine for patients with T2DM.

Supplementary Material

APPENDIX S1

Acknowledgements

Not applicable.

Funding

Funding: The present study was supported by the Research and Technological Innovation Support Programme (grant no. IN205121) of the General Directorate for Academic Personnel Support, National Autonomous University of Mexico, and Extremaduran International Cooperation Agency for Development, Council of Extremadura, Spain (‘Hampi-Yachay’ grant no. AEXCID 22IA002).

Availability of data and materials

The data generated in the present study are not publicly available due to legal constraints but may be requested from the corresponding author.

Authors' contributions

AOA, CBM, FDA, AL, and JAMG conceived the study, designed the methodology, analysed data and wrote the manuscript. AL and JAMG performed experiments. AOA, FDA, AL, and JAMG edited the manuscript. JAMG and AOA confirm the authenticity of all the raw data presented in this study. All authors have read and approved the final manuscript.

Ethics approval and consent to participate

The present study was conducted in accordance with the Declaration of Helsinki. Protocol NR-005-2016 was approved on the 8th of April, 2016 by the Research and Ethics Commissions of the Hospital Regional de Alta Especialidad de Ixtapaluca, the Secretary of Health, and the Research Division of Universidad Nacional Autónoma de México's Faculty of Medicine (approval no. 001/SR/2016). All patients provided written informed consent to participate. No identifying information, including names, initials, date of birth, or hospital numbers, images, or statements are included in the manuscript.

Patient consent for publication

Not applicable.

Competing interests

The authors declare that they have no competing interests.

References

1 

Standl E, Khunti K, Hansen TB and Schnell O: The global epidemics of diabetes in the 21st century: Current situation and perspectives. Eur J Prev Cardiol. 26 (2_suppl):S7–S14. 2019.PubMed/NCBI View Article : Google Scholar

2 

Sun H, Pouya P, Karuranga S, Pinkepank M, Ogurtsova K, Duncan BB, Stein C, Basit A, Chan JCN, Mbanya JC, et al: IDF DiabetesAtlas:Global, regional and country-level diabetes prevalence estimates for 2021 and projections for 2045. Diabetes Res Clin Pract. 183(109119)2022.PubMed/NCBI View Article : Google Scholar

3 

Romero-Martínez M, Barrientos-Gutiérrez T, Cuevas-Nasu L, Bautista-Arredondo S, Colchero A, Gaona-Pineda EB, Lazcano-Ponce E, Martínez-Barnetche J, Alpuche-Aranda C, Rivera-Dommarco J and Shamah-Levy T: Metodología de la Encuesta Nacional de Salud y Nutrición 2020 sobre Covid-19. Salud Publica Mex. 63:444–451. 2021.PubMed/NCBI View Article : Google Scholar : (In Spanish).

4 

Intensive blood-glucose control with sulphonylureas or insulin compared with conventional treatment and risk of complications in patients with type 2 diabetes (UKPDS 33). UK Prospective Diabetes Study (UKPDS) Group. Lancet. 352:837–853. 1998.PubMed/NCBI

5 

American Diabetes Association. Introduction: Standards of Medical Care in Diabetes-2022. Diabetes Care. 45 (Suppl 1):S1–S2. 2022.PubMed/NCBI View Article : Google Scholar

6 

LaMoia TE and Shulman GI: Cellular and molecular mechanisms of metformin action. Endocr Rev. 42:77–96. 2021.PubMed/NCBI View Article : Google Scholar

7 

Staiger H, Schaeffeler E, Schwab M and Häring HU: Pharmacogenetics: Implications for modern type 2 diabetes therapy. Rev Diabet Stud. 12:363–376. 2015.PubMed/NCBI View Article : Google Scholar

8 

Huang C and Florez JC: Pharmacogenetics in type 2 diabetes: Potential implications for clinical practice. Genome Med. 3(76)2011.PubMed/NCBI View Article : Google Scholar

9 

Weizzman Institute of Science: Gene cards SLC22A1. https://www.genecards.org/cgi-bin/carddisp.pl?gene=SLC22A1. Accessed July 20, 2023.

10 

Koepsell H, Lips K and Volk C: Polyspecific organic cation transporters: Structure, function, physiological roles, and biopharmaceutical implications. Pharm Res. 24:1227–1251. 2007.PubMed/NCBI View Article : Google Scholar

11 

Lai Y: Organic anion, organic cation and zwitterion transporters of the SLC22 and SLC47 superfamily (OATs, OCTs, OCTNs and MATEs). In: Transporters in Drug Discovery and Development. Woodhead Publishing, Sawston, 2013.

12 

Goswami S, Gong L, Giacomini K, Altman RB and Klein TE: PharmGKB summary: Very important pharmacogene information for SLC22A1. Pharmacogenet Genomics. 24:324–328. 2014.PubMed/NCBI View Article : Google Scholar

13 

Becker ML, Visser LE, van Schaik RHN, Hofman A, Uitterlinden AG and Stricker BH: Interaction between polymorphisms in the OCT1 and MATE1 transporter and metformin response. Pharmacogenet Genomics. 20:38–44. 2010.PubMed/NCBI View Article : Google Scholar

14 

World Health Organization (WHO): Definition and diagnosis of diabetes mellitus and intermediate hyperglycemia: Report of a WHO/IDF consultation. WHO, Geneva, 2006. https://iris.who.int/handle/10665/43588. Accessed April 08, 2024).

15 

Ortega-Ayala A, Rodríguez-Rivera NS, Andrés F, Llerena A, Pérez-Silva E, Espinosa-Sánchez AG and Molina-Guarneros JA: Pharmacogenetics of metformin transporters suggests no association with therapeutic inefficacy among diabetes type 2 mexican patients. Pharmaceuticals (Basel). 15(774)2022.PubMed/NCBI View Article : Google Scholar

16 

Health Secretary: Official Mexican Normative NOM-177-SSA1-2013 [Internet]. DOF2013. http://www.dof.gob.mx/nota_detalle.php?codigo=5314833&fecha=20/09/2013. Accessed September 17, 2023.

17 

US Department of Health and Human Services, Food and Drug Administration (FDA), Center for Drug Evaluation and Research (CDER) and Center for Veterinary Medicine (CVM): Bioanalytical Methods Validation, Guidance for lndustry. https://www.fda.gov/files/drugs/published/Bioanalytical-Method-Validation-Guidance-for-Industry.pdf. Accessed May 24, 2018.

18 

Shamah Levy T, Cuevas Nasu L, Morales Ruan MC, Mundo Rosas V, Méndez Gómez-Humarán I and Villalpando Hernández S: Profile of the health and nutritional status of older adults in Mexico. 2012 National Health and Nutrition Survey. J Frailty Aging. 2:184–191. 2013.PubMed/NCBI View Article : Google Scholar

19 

World Health Organization (WHO): Physical Status: The Use of and Interpretation of Anthropometry, Report of a WHO Expert Committee. WHO, Geneva, 1995. https://apps.who.int/iris/handle/10665/37003. Accessed July 21, 2023.

20 

Reséndiz-Abarca CA, Flores-Alfaro E, Suárez-Sánchez F, Cruz M, Valladares-Salgado A, Del Carmen Alarcón-Romero L, Wacher-Rodarte NA and Gómez-Zamudio JH: Altered glycemic control associated with polymorphisms in the SLC22A1 (OCT1) Gene in a Mexican population with type 2 diabetes mellitus treated with metformin: A cohort study. J Clin Pharmacol. 59:1384–1390. 2019.PubMed/NCBI View Article : Google Scholar

21 

Menjivar M, Sánchez-Pozos K, Jaimes-Santoyo J, Monroy-Escutia J, Rivera-Santiago C, de Los Ángeles Granados-Silvestre M and Ortiz-López MG: Pharmacogenetic evaluation of metformin and sulphonylurea response in mexican mestizos with type 2 diabetes. Curr Drug Metab. 21:291–300. 2020.PubMed/NCBI View Article : Google Scholar

22 

Christensen MH, Brasch-Andersenb C, Greene H, Nielsen F, Damkierc P, Beck-Nielsen H and Brosena K: The pharmacogenetics of metformin and its impact on plasma metformin steady-state levels and glycosylated hemoglobin A1c. Pharmacogenet Genomics. 21:837–850. 2011.PubMed/NCBI View Article : Google Scholar

23 

Zhou K, Donnelly LA, Kimber CH, Donnan PT, Doney AS, Leese G, Hattersley AT, McCarthy MI, Morris AD, Palmer CN and Pearson ER: Reduced-function SLC22A1 polymorphisms encoding organic cation transporter 1 and glycemic response to metformin: A GoDARTS study. Diabetes. 58:1434–1439. 2009.PubMed/NCBI View Article : Google Scholar

24 

Umamaheswaran G, Praveen RG, Damodaran SE, Das AK and Adithan C: Influence of SLC22A1 rs622342 genetic polymorphism on metformin response in South Indian type 2 diabetes mellitus patients. Clin Exp Med. 15:511–517. 2015.PubMed/NCBI View Article : Google Scholar

25 

Dujic T, Causevic A, Bego T, Malenica M, Velija-Asimi Z, Pearson ER and Semiz S: Organic cation transporter 1 variants and gastrointestinal side effects of metformin in patients with type 2 diabetes. Diabet Med. 33:511–514. 2016.PubMed/NCBI View Article : Google Scholar

26 

Shu Y, Sheardown SA, Brown C, Owen RP, Zhang S, Castro RA, Ianculescu AG, Yue L, Lo JC, Burchard EG, et al: Effect of genetic variation in the organic cation transporter 1 (OCT1) on metformin action. J Clin Invest. 117:1422–1431. 2007.PubMed/NCBI View Article : Google Scholar

Related Articles

  • Abstract
  • View
  • Download
  • Twitter
Copy and paste a formatted citation
Spandidos Publications style
Ortega‑Ayala A, De Andrés F, Llerena A, Bartolo‑Montiel CM and Molina‑Guarneros J: Impact of <em>SLC22A1</em> variants rs622342 and rs72552763 on HbA1c and metformin plasmatic concentration levels in patients with type 2 diabetes mellitus. Biomed Rep 21: 117, 2024.
APA
Ortega‑Ayala, A., De Andrés, F., Llerena, A., Bartolo‑Montiel, C.M., & Molina‑Guarneros, J. (2024). Impact of <em>SLC22A1</em> variants rs622342 and rs72552763 on HbA1c and metformin plasmatic concentration levels in patients with type 2 diabetes mellitus. Biomedical Reports, 21, 117. https://doi.org/10.3892/br.2024.1806
MLA
Ortega‑Ayala, A., De Andrés, F., Llerena, A., Bartolo‑Montiel, C. M., Molina‑Guarneros, J."Impact of <em>SLC22A1</em> variants rs622342 and rs72552763 on HbA1c and metformin plasmatic concentration levels in patients with type 2 diabetes mellitus". Biomedical Reports 21.2 (2024): 117.
Chicago
Ortega‑Ayala, A., De Andrés, F., Llerena, A., Bartolo‑Montiel, C. M., Molina‑Guarneros, J."Impact of <em>SLC22A1</em> variants rs622342 and rs72552763 on HbA1c and metformin plasmatic concentration levels in patients with type 2 diabetes mellitus". Biomedical Reports 21, no. 2 (2024): 117. https://doi.org/10.3892/br.2024.1806
Copy and paste a formatted citation
x
Spandidos Publications style
Ortega‑Ayala A, De Andrés F, Llerena A, Bartolo‑Montiel CM and Molina‑Guarneros J: Impact of <em>SLC22A1</em> variants rs622342 and rs72552763 on HbA1c and metformin plasmatic concentration levels in patients with type 2 diabetes mellitus. Biomed Rep 21: 117, 2024.
APA
Ortega‑Ayala, A., De Andrés, F., Llerena, A., Bartolo‑Montiel, C.M., & Molina‑Guarneros, J. (2024). Impact of <em>SLC22A1</em> variants rs622342 and rs72552763 on HbA1c and metformin plasmatic concentration levels in patients with type 2 diabetes mellitus. Biomedical Reports, 21, 117. https://doi.org/10.3892/br.2024.1806
MLA
Ortega‑Ayala, A., De Andrés, F., Llerena, A., Bartolo‑Montiel, C. M., Molina‑Guarneros, J."Impact of <em>SLC22A1</em> variants rs622342 and rs72552763 on HbA1c and metformin plasmatic concentration levels in patients with type 2 diabetes mellitus". Biomedical Reports 21.2 (2024): 117.
Chicago
Ortega‑Ayala, A., De Andrés, F., Llerena, A., Bartolo‑Montiel, C. M., Molina‑Guarneros, J."Impact of <em>SLC22A1</em> variants rs622342 and rs72552763 on HbA1c and metformin plasmatic concentration levels in patients with type 2 diabetes mellitus". Biomedical Reports 21, no. 2 (2024): 117. https://doi.org/10.3892/br.2024.1806
Follow us
  • Twitter
  • LinkedIn
  • Facebook
About
  • Spandidos Publications
  • Careers
  • Cookie Policy
  • Privacy Policy
How can we help?
  • Help
  • Live Chat
  • Contact
  • Email to our Support Team