Spandidos Publications Logo
  • About
    • About Spandidos
    • Aims and Scopes
    • Abstracting and Indexing
    • Editorial Policies
    • Reprints and Permissions
    • Job Opportunities
    • Terms and Conditions
    • Contact
  • Journals
    • All Journals
    • Oncology Letters
      • Oncology Letters
      • Information for Authors
      • Editorial Policies
      • Editorial Board
      • Aims and Scope
      • Abstracting and Indexing
      • Bibliographic Information
      • Archive
    • International Journal of Oncology
      • International Journal of Oncology
      • Information for Authors
      • Editorial Policies
      • Editorial Board
      • Aims and Scope
      • Abstracting and Indexing
      • Bibliographic Information
      • Archive
    • Molecular and Clinical Oncology
      • Molecular and Clinical Oncology
      • Information for Authors
      • Editorial Policies
      • Editorial Board
      • Aims and Scope
      • Abstracting and Indexing
      • Bibliographic Information
      • Archive
    • Experimental and Therapeutic Medicine
      • Experimental and Therapeutic Medicine
      • Information for Authors
      • Editorial Policies
      • Editorial Board
      • Aims and Scope
      • Abstracting and Indexing
      • Bibliographic Information
      • Archive
    • International Journal of Molecular Medicine
      • International Journal of Molecular Medicine
      • Information for Authors
      • Editorial Policies
      • Editorial Board
      • Aims and Scope
      • Abstracting and Indexing
      • Bibliographic Information
      • Archive
    • Biomedical Reports
      • Biomedical Reports
      • Information for Authors
      • Editorial Policies
      • Editorial Board
      • Aims and Scope
      • Abstracting and Indexing
      • Bibliographic Information
      • Archive
    • Oncology Reports
      • Oncology Reports
      • Information for Authors
      • Editorial Policies
      • Editorial Board
      • Aims and Scope
      • Abstracting and Indexing
      • Bibliographic Information
      • Archive
    • Molecular Medicine Reports
      • Molecular Medicine Reports
      • Information for Authors
      • Editorial Policies
      • Editorial Board
      • Aims and Scope
      • Abstracting and Indexing
      • Bibliographic Information
      • Archive
    • World Academy of Sciences Journal
      • World Academy of Sciences Journal
      • Information for Authors
      • Editorial Policies
      • Editorial Board
      • Aims and Scope
      • Abstracting and Indexing
      • Bibliographic Information
      • Archive
    • International Journal of Functional Nutrition
      • International Journal of Functional Nutrition
      • Information for Authors
      • Editorial Policies
      • Editorial Board
      • Aims and Scope
      • Abstracting and Indexing
      • Bibliographic Information
      • Archive
    • International Journal of Epigenetics
      • International Journal of Epigenetics
      • Information for Authors
      • Editorial Policies
      • Editorial Board
      • Aims and Scope
      • Abstracting and Indexing
      • Bibliographic Information
      • Archive
    • Medicine International
      • Medicine International
      • Information for Authors
      • Editorial Policies
      • Editorial Board
      • Aims and Scope
      • Abstracting and Indexing
      • Bibliographic Information
      • Archive
  • Articles
  • Information
    • Information for Authors
    • Information for Reviewers
    • Information for Librarians
    • Information for Advertisers
    • Conferences
  • Language Editing
Spandidos Publications Logo
  • About
    • About Spandidos
    • Aims and Scopes
    • Abstracting and Indexing
    • Editorial Policies
    • Reprints and Permissions
    • Job Opportunities
    • Terms and Conditions
    • Contact
  • Journals
    • All Journals
    • Biomedical Reports
      • Information for Authors
      • Editorial Policies
      • Editorial Board
      • Aims and Scope
      • Abstracting and Indexing
      • Bibliographic Information
      • Archive
    • Experimental and Therapeutic Medicine
      • Information for Authors
      • Editorial Policies
      • Editorial Board
      • Aims and Scope
      • Abstracting and Indexing
      • Bibliographic Information
      • Archive
    • International Journal of Epigenetics
      • Information for Authors
      • Editorial Policies
      • Editorial Board
      • Aims and Scope
      • Abstracting and Indexing
      • Bibliographic Information
      • Archive
    • International Journal of Functional Nutrition
      • Information for Authors
      • Editorial Policies
      • Editorial Board
      • Aims and Scope
      • Abstracting and Indexing
      • Bibliographic Information
      • Archive
    • International Journal of Molecular Medicine
      • Information for Authors
      • Editorial Policies
      • Editorial Board
      • Aims and Scope
      • Abstracting and Indexing
      • Bibliographic Information
      • Archive
    • International Journal of Oncology
      • Information for Authors
      • Editorial Policies
      • Editorial Board
      • Aims and Scope
      • Abstracting and Indexing
      • Bibliographic Information
      • Archive
    • Medicine International
      • Information for Authors
      • Editorial Policies
      • Editorial Board
      • Aims and Scope
      • Abstracting and Indexing
      • Bibliographic Information
      • Archive
    • Molecular and Clinical Oncology
      • Information for Authors
      • Editorial Policies
      • Editorial Board
      • Aims and Scope
      • Abstracting and Indexing
      • Bibliographic Information
      • Archive
    • Molecular Medicine Reports
      • Information for Authors
      • Editorial Policies
      • Editorial Board
      • Aims and Scope
      • Abstracting and Indexing
      • Bibliographic Information
      • Archive
    • Oncology Letters
      • Information for Authors
      • Editorial Policies
      • Editorial Board
      • Aims and Scope
      • Abstracting and Indexing
      • Bibliographic Information
      • Archive
    • Oncology Reports
      • Information for Authors
      • Editorial Policies
      • Editorial Board
      • Aims and Scope
      • Abstracting and Indexing
      • Bibliographic Information
      • Archive
    • World Academy of Sciences Journal
      • Information for Authors
      • Editorial Policies
      • Editorial Board
      • Aims and Scope
      • Abstracting and Indexing
      • Bibliographic Information
      • Archive
  • Articles
  • Information
    • For Authors
    • For Reviewers
    • For Librarians
    • For Advertisers
    • Conferences
  • Language Editing
Login Register Submit
  • This site uses cookies
  • You can change your cookie settings at any time by following the instructions in our Cookie Policy. To find out more, you may read our Privacy Policy.

    I agree
Search articles by DOI, keyword, author or affiliation
Search
Advanced Search
presentation
Biomedical Reports
Join Editorial Board Propose a Special Issue
Print ISSN: 2049-9434 Online ISSN: 2049-9442
Journal Cover
April-2025 Volume 22 Issue 4

Full Size Image

Sign up for eToc alerts
Recommend to Library

Journals

International Journal of Molecular Medicine

International Journal of Molecular Medicine

International Journal of Molecular Medicine is an international journal devoted to molecular mechanisms of human disease.

International Journal of Oncology

International Journal of Oncology

International Journal of Oncology is an international journal devoted to oncology research and cancer treatment.

Molecular Medicine Reports

Molecular Medicine Reports

Covers molecular medicine topics such as pharmacology, pathology, genetics, neuroscience, infectious diseases, molecular cardiology, and molecular surgery.

Oncology Reports

Oncology Reports

Oncology Reports is an international journal devoted to fundamental and applied research in Oncology.

Experimental and Therapeutic Medicine

Experimental and Therapeutic Medicine

Experimental and Therapeutic Medicine is an international journal devoted to laboratory and clinical medicine.

Oncology Letters

Oncology Letters

Oncology Letters is an international journal devoted to Experimental and Clinical Oncology.

Biomedical Reports

Biomedical Reports

Explores a wide range of biological and medical fields, including pharmacology, genetics, microbiology, neuroscience, and molecular cardiology.

Molecular and Clinical Oncology

Molecular and Clinical Oncology

International journal addressing all aspects of oncology research, from tumorigenesis and oncogenes to chemotherapy and metastasis.

World Academy of Sciences Journal

World Academy of Sciences Journal

Multidisciplinary open-access journal spanning biochemistry, genetics, neuroscience, environmental health, and synthetic biology.

International Journal of Functional Nutrition

International Journal of Functional Nutrition

Open-access journal combining biochemistry, pharmacology, immunology, and genetics to advance health through functional nutrition.

International Journal of Epigenetics

International Journal of Epigenetics

Publishes open-access research on using epigenetics to advance understanding and treatment of human disease.

Medicine International

Medicine International

An International Open Access Journal Devoted to General Medicine.

Journal Cover
April-2025 Volume 22 Issue 4

Full Size Image

Sign up for eToc alerts
Recommend to Library

  • Article
  • Citations
    • Cite This Article
    • Download Citation
    • Create Citation Alert
    • Remove Citation Alert
    • Cited By
  • Similar Articles
    • Related Articles (in Spandidos Publications)
    • Similar Articles (Google Scholar)
    • Similar Articles (PubMed)
  • Download PDF
  • Download XML
  • View XML
Article Open Access

Non‑high‑density lipoprotein cholesterol to high‑density lipoprotein cholesterol ratio as a biomarker for liver health: Insights from National Health and Nutrition Examination Survey data

  • Authors:
    • Liekai Hong
    • Yifan Sun
    • Xiaojia Lu
    • Xinwu Xu
  • View Affiliations / Copyright

    Affiliations: Department of Cardiology, First Affiliated Hospital of Shantou University Medical College, Shantou, Guangdong 515000, P.R. China, Department of Cardiology, Second Affiliated Hospital of Shantou University Medical College, Shantou, Guangdong 515000, P.R. China
    Copyright: © Hong et al. This is an open access article distributed under the terms of Creative Commons Attribution License.
  • Article Number: 61
    |
    Published online on: February 7, 2025
       https://doi.org/10.3892/br.2025.1939
  • Expand metrics +
Metrics: Total Views: 0 (Spandidos Publications: | PMC Statistics: )
Metrics: Total PDF Downloads: 0 (Spandidos Publications: | PMC Statistics: )
Cited By (CrossRef): 0 citations Loading Articles...

This article is mentioned in:



Abstract

The non‑high‑density lipoprotein cholesterol to high‑density lipoprotein cholesterol ratio (NHHR), a lipid‑related biomarker, remains underexplored in relation to the risk of advanced fibrosis and hepatic steatosis. The present study aimed to investigate the potential association between the NHHR and these hepatic conditions. A total of 6,907 individuals aged 20 years and older from the National Health and Nutrition Examination Survey 2017‑2020 were included in the present study. Advanced fibrosis and hepatic steatosis were assessed using hepatic vibration‑controlled transient elastography. Multivariate regression analysis and subgroup analysis were performed to explore the independent association between the NHHR and the presence of advanced fibrosis and hepatic steatosis. Among the 6,907 adults included in the present study (mean age, 50.56±17.21 years; 3,398 male patients and 3,509 female patients), 409 (5.92%) were diagnosed with advanced fibrosis and 3,034 (43.93%) were diagnosed with hepatic steatosis. Following multivariable adjustment (age, sex, ethnicity, education level, family income‑to‑poverty ratio, smoking status, alcohol use and vigorous physical activity), logistic regression analysis demonstrated that an elevated NHHR was positively associated with increased possibility for advanced fibrosis [odds ratio (OR), 1.10; 95% confidence interval (CI), 1.03‑1.17; P=0.005]. The restricted cubic spline model indicated a linear dose‑response association between the NHHR and advanced fibrosis. The NHHR also exhibited a significant association with a higher risk of hepatic steatosis after full adjustment for covariates (OR, 1.61; 95% CI, 1.53‑1.68; P<0.001). Using a two‑segment linear regression model, an S‑shaped relationship was identified between the NHHR and hepatic steatosis, with an inflection point at 3.83. In conclusion, the present study established a robust association of the NHHR with advanced fibrosis and hepatic steatosis. The NHHR may serve as a straightforward anthropometric index for predicting these conditions.

Introduction

The prevalence of non-alcoholic fatty liver disease (NAFLD) is increasing globally in tandem with rising rates of obesity and associated metabolic conditions, such as insulin resistance, dyslipidemia, central obesity and hypertension. Estimates suggest that NAFLD affects 25-30% of the adult population worldwide, which varies based on the clinical setting, ethnicity and geographical region, and NAFLD often remains undiagnosed (1,2). Consequently, the incidence of hepatic decompensation, hepatocellular carcinoma (HCC) and mortality due to non-alcoholic steatohepatitis (NASH)-associated cirrhosis is projected to rise 2- to 3-fold by 2030(1). Therefore, early identification of hepatic steatosis and screening for advanced fibrosis are crucial for planning appropriate management strategies (3,4).

Pathological biopsy remains the gold standard for evaluating the severity of hepatic steatosis and liver fibrosis; however, vibration-controlled transient elastography (VCTE) is an increasingly utilized non-invasive alternative (5). VCTE, a non-invasive technique, employs the controlled-attenuation parameter (CAP) score to quantify the severity of hepatic steatosis, as well as the liver stiffness measurement (LSM) to assess the degree of fibrosis (6). The procedure involves placing a probe on the patient's skin over the liver, where it emits a mechanical pulse and measures the velocity of the resulting shear wave as it travels through the liver tissue. The speed of the wave is directly related to liver stiffness, with higher velocities indicating more severe fibrosis. Therefore, VCTE serves as an effective tool for diagnosing liver fibrosis and hepatic steatosis. Furthermore, LSM provides prognostic insights beyond fibrosis staging, such as the assessment of liver stiffness changes over time, which are crucial for monitoring fibrosis progression and its complications, including cirrhosis, portal hypertension and HCC (7,8). These insights can help identify patients at higher risk for adverse outcomes and guide clinical management. Integrating LSM and CAP into nationally representative datasets offers an opportunity to accurately explore the relationship between the non-high-density lipoprotein cholesterol (non-HDL-C) to high-density lipoprotein cholesterol (HDL-C) ratio (NHHR) and the population-level risks of liver steatosis and fibrosis.

Due to important advances in understanding the metabolic determinants of NAFLD incidence and progression, specific blood-related markers of dyslipidemia, particularly the NHHR, have been extensively associated with various conditions such as nephritis (9), abdominal aortic aneurysm (10), diabetes mellitus (11), periodontitis (12) and depression (13), demonstrating a promising predictive value. However, the association of the NHHR with liver fibrosis and hepatic steatosis remains incompletely explored. Yang et al (14) revealed a positive association between the NHHR and NAFLD in Chinese children and adolescents. However, this finding is constrained by its focus on a single ethnic group, the exclusion of adults, the inadequate control of complex confounders, imprecise methods for categorizing liver disease via ultrasound and the inability to assess steatosis severity.

In the present study, to further investigate the association between the NHHR and the risk of liver steatosis and fibrosis, a large, nationally representative cross-sectional study was conducted using National Health and Nutrition Examination Survey (NHANES) data.

Materials and methods

Study population

NHANES (https://wwwn.cdc.gov/nchs/nhanes/continuousnhanes/default.aspx?Cycle=2017-2020) is a biennial cross-sectional survey conducted to assess the nutritional and physical health of the United States population. The evaluation includes standardized in-home interviews, physical examinations, records of examinations (including liver ultrasound transient elastography) and laboratory tests conducted at mobile examination centers. The NHANES protocols (NHANES 2017-2020; protocol nos. #2011-17 and #2018-01) were approved by the Centers for Disease Control and Prevention, with all participants providing written informed consent.

From the initial 15,560 patients included in NHANES (2017-2020), 6,907 individuals aged ≥20 years, who had undergone hepatic VCTE examinations, were included. The age and sex distribution of the participants are further detailed in the Results section and Table I. Individuals were excluded if they met the following criteria: i) Age <20 years (n=6,328); ii) missing elastography examination data (the examination was not performed at all; n=1,243); iii) absence of elastography examination data (fasting time <3 h, inability to obtain 10 valid measurements, interquartile range/median ratio of LSM >30% and cases where CAP was not performed; n=594); and iv) lack of complete data on the NHHR (n=488). The flowchart depicting the sample selection process is presented in Fig. 1.

Figure 1

Flowchart of the sample selection process from NHANES 2017-2020. NHANES, National Health and Nutrition Examination Survey; VCTE, vibration-controlled transient elastography; IQR/M, interquartile range/median; LSM, liver stiffness measurement; CAP, controlled-attenuation parameter; NHHR, non-high-density lipoprotein cholesterol to high-density lipoprotein cholesterol ratio.

Table I

Characteristics of the study population according to non-high-density lipoprotein cholesterol to high-density lipoprotein cholesterol ratio data.

Table I

Characteristics of the study population according to non-high-density lipoprotein cholesterol to high-density lipoprotein cholesterol ratio data.

 P-value
CharacteristicTotal (n=6,907)Q1 (0.67-2.71) (n=1,727)Q2 (2.72-3.36) (n=1,726)Q3 (3.37-4.06) (n=1,723)Q4 (4.07-10.58) (n=1,731)OverallQ1 vs. Q2Q2 vs. Q3Q3 vs. Q4Q1 vs. Q4
Age, years50.56±17.2150.62±19.0951.15±17.8551.03±16.3449.43±15.260.0070.3790.7650.0040.023
Sex, n (%)     0.007----
     Female3,509 (50.80)1,084 (62.77)973 (56.37)847 (49.16)605 (34.95)     
     Male3,398 (49.20)643 (37.23)753 (43.63)879 (50.84)1,123 (65.05)     
Ethnicity, n (%)     <0.001----
     Non-Hispanic White2,394 (34.66)604 (34.97)610 (35.34)591 (34.30)589 (34.03)     
     Hispanic1,586 (22.96)283 (16.39)381 (22.07)424 (24.61)498 (28.77)     
     Non-Hispanic Black1,748 (25.31)567 (32.83)462 (26.77)406 (23.56)313 (18.08)     
     Non-Hispanic Asian837 (12.12)198 (11.46)192 (11.12)208 (12.07)239 (13.81)     
     Others342 (4.95)75 (4.34)81 (4.69)94 (5.46)92 (5.31)     
Education, n (%)     <0.001----
     Less than high school1,266 (18.33)247 (14.30)282 (16.34)341 (19.79)396 (22.88)     
     High school graduate2,327 (33.69)428 (24.78)396 (22.94)413 (23.97)413 (23.86)     
     College or associate's degree2,022 (29.27)576 (33.35)572 (33.14)574 (33.31)526 (30.39)     
     College or above907 (13.13)474 (27.45)474 (27.46)393 (22.81)393 (22.70)     
Ratio of family income to poverty     0.716----
     <1.31,651 (23.90)423 (24.49)385 (22.31%)429 (24.90%)414 (23.92%)     
     1.3-4.92,327 (33.69)564 (32.66)580 (33.60%)572 (33.20%)611 (35.30%)     
     ≥52,022 (29.27)534 (30.92)534 (30.94%)481 (27.92%)473 (27.33%)     
Body mass index, n (%)     <0.001----
     Under weight (<18.5 kg/m2)84 (1.22)52 (3.01)17 (0.98)8 (0.46)7 (0.40)     
     Normal weight (18.5-24.9 kg/m2)1,670 (24.18)713 (41.29)461 (26.71)295 (17.12)201 (11.61)     
     Overweight (25.0-29.9 kg/m2)2,243 (32.47)511 (29.59)568 (32.91)581 (33.72)583 (33.68)     
     Obese (>30.0 kg/m2)2,856 (41.35)436 (25.25)658 (38.12)829 (48.11)933 (53.90)     
Alcohol abuse, n (%)     0.004----
     Yes1,180 (17.08)313 (18.12)251 (14.54)289 (16.77)327 (18.89)     
     No5,727 (82.92)1,414 (81.88)1,475 (85.46)1,440 (83.29)1,398 (81.11)     
Smoking status, n (%)     <0.001----
     Never smokers4,040 (58.49)1,023 (59.24)1,054 (61.07)1,025 (59.49)938 (54.19)     
     Former smokers1,634 (23.66)387 (22.41)418 (24.22)386 (22.40)443 (25.59)     
     Current smokers1,233 (17.85)317 (18.36)254 (14.72)312 (18.11)350 (20.22)     
Vigorous activity, n (%)     0.147----
     Yes2,487 (36.01)617 (35.73)609 (35.28)599 (34.76)662 (38.24)     
     No4,420 (63.99)1,110 (64.27)1,118 (64.72)1,128 (65.24)1,064 (61.65)     
Comorbidities, n (%)          
     Diabetes     <0.001----
          Yes1,312 (17.08)283 (16.39)301 (17.44)330 (19.15)398 (22.99)     
          No5,595 (81.00)1,444 (83.61)1,426 (82.56)1,397 (80.85)1,328 (77.03)     
     Hypertension     0.601----
          Yes2,612 (37.82)642 (37.17)638 (36.96)658 (38.19)674 (38.94)     
          No4,295 (62.18)1,085 (62.82)1,088 (63.04)1,071 (61.85)1,051 (60.93)     
     Congestive heart failure     0.205----
          Yes188 (2.72)57 (3.30)49 (2.84)45 (2.61)37 (2.14)     
          No6,719 (97.28)1,670 (96.70)1,678 (97.16)1,684 (97.39)1,687 (97.86)     
     Coronary heart disease     0.020----
          Yes274 (3.97)84 (4.86)78 (4.52)55 (3.19)57 (3.29)     
          No6,633 (96.03)1,643 (95.14)1,649 (95.48)1,674 (96.81)1,667 (96.71)     
     Angina     0.148----
          Yes156 (2.26)40 (2.32)49 (2.84)38 (2.21)29 (1.68)     
          No6,571 (97.74)1,687 (97.68)1,678 (97.16)1,691 (97.79)1,695 (98.32)     
     Stroke     0.048----
          Yes314 (4.55)96 (5.56)82 (4.75)73 (4.24)63 (3.64)     
          No6,593 (95.45)1,631 (94.44)1,645 (95.25)1,656 (95.76)1,661 (96.35)     
     Asthma     0.583----
          Yes1058 (15.32)278 (16.10)270 (15.64)259 (15.03)251 (14.50)     
          No5,849 (84.68)1,449 (83.90)1,457 (84.36)1,468 (85.00)1,475 (85.46)     
     COPD     0.651----
          Yes574 (8.31)153 (8.86)146 (8.46)142 (8.24)133 (7.68)     
          No6,333 (91.69)1,574 (91.14)1,581 (91.54)1,587 (91.76)1,591 (92.32)     
     Thyroid problems     <0.001----
          Yes808 (11.70)200 (11.58)251 (14.54)206 (11.96)151 (8.72)     
          No6,099 (88.30)1,527 (88.42)1,475 (85.46)1,524 (88.10)1,573 (91.24)     
     Arthritis     <0.001----
          Yes2,059 (29.81)523 (30.28)525 (30.42)565 (32.79)446 (25.77)     
          No4,848 (70.19)1,204 (69.72)1,201 (69.51)1,162 (67.28)1,281 (74.17) ----
Laboratory features          
     Total cholesterol (0-5.18), mmol/l4.82±1.054.25±0.934.58±0.874.89±0.875.57±1.05<0.001<0.001<0.001<0.001<0.001
     HDL cholesterol (0-3.11), mmol/l1.38±0.411.79±0.451.45±0.281.25±0.231.04±0.20<0.001<0.001<0.001<0.001<0.001
     Triglycerides (0-1.70), mmol/l1.57±1.230.94±0.421.21±0.531.56±0.672.59±1.90<0.001<0.001<0.001<0.001<0.001
     Glycohemoglobin (4.00-6.00), %5.85±1.105.66±0.875.77±0.985.85±0.986.10±1.44<0.001<0.001<0.001<0.001<0.001
     AST (0-37.00), U/l21.96±14.4422.50±18.5121.45±15.8921.03±9.3022.86±12.27<0.0010.5710.359<0.001<0.001
     ALT (0-40.00), U/l22.48±18.8719.31±17.3120.74±21.3622.41±14.9127.44±20.20<0.001<0.001<0.001<0.001<0.001
     ALP (40.00-129.00), U/l77.52±25.6773.62±25.9276.53±23.5577.63±22.0782.29±29.72<0.001<0.0010.098<0.001<0.001
     γGT (11.00-51.00), U/l32.18±45.7930.42±52.6829.40±41.9029.60±33.6839.26±51.52<0.001<0.001<0.001<0.001<0.001
     Total bilirubin (6.60-8.70), g/dl7.84±4.708.41±5.437.86±4.477.57±4.577.51±4.18<0.0010.0200.0150.754<0.001
     Albumin (35.00-50.00), g/l40.67±3.3040.59±3.3840.67±3.4040.53±3.2340.87±3.180.0090.3900.1300.0010.010
     Creatinine, (45.10-84.00) µmol/l79.52±40.2279.24±50.0078.34±42.0078.43±26.9482.05±38.38<0.0010.1530.070<0.001<0.001
     Uric acid (202.20-416.40), µmol/l321.48±87.07293.67±83.23307.34±80.82331.71±85.06353.11±86.96<0.001<0.001<0.001<0.001<0.001
     Platelet count (150.00-450.00), 109/µl246.07±64.97239.12±64.74245.50±64.97248.79±65.03250.84±64.60<0.0010.0030.1110.420<0.001
     hsCRP (<5.00), mg/l3.98±8.273.14±8.443.90±9.454.31±7.154.58±7.82<0.001<0.001<0.001<0.001<0.001
Liver ultrasound transient elastography          
     LSM value, kPa5.82±4.585.58±4.105.68±4.205.73±3.996.30±5.75<0.0010.0860.031<0.001<0.001
     Advanced fibrosis, n (%)     0.016----
          Yes409 (5.92)86 (4.98)102 (5.91)93 (5.40)128 (7.39)     
          No6,498 (94.08)1,641 (95.02)1,625 (94.09)1,636 (94.60)1,596 (92.61)     
     CAP value, dB/m265.10±62.04237.25±57.86255.08±58.76275.03±58.76292.96±58.24<0.001<0.001<0.001<0.001<0.001
     Hepatic steatosis, n (%)     <0.001----
          Yes3,034 (43.93)435 (25.19)623 (36.10)876 (50.84)1,100 (63.55)     
          No3,873 (56.07)1,292 (74.81)1,103 (63.90)852 (49.16)626 (36.45)     

[i] AST, aspartate aminotransferase; ALP, alkaline phosphatase; ALT, alanine aminotransferase; CAP, controlled-attenuation parameter; COPD, chronic obstructive pulmonary disease; γGT, γ glutamyl transferase; LSM, liver stiffness measurement; HDL, high-density lipoprotein; hsCRP, high-sensitivity C-reactive protein; Q, quartile; -, not applicable.

Definition of NHHR

The NHHR was included as an exposure variable in the present study and calculated as follows: NHHR=non-HDL-C/HDL-C.

The computation of non-HDL-C involved subtracting HDL-C from total cholesterol (TC). The present study stratified participants based on their NHHR values, and categorized them into four quartiles (Q1: 0.67-2.71; Q2: 2.72-3.36; Q3: 3.37-4.06; and Q4: 4.07-10.58) for analytical convenience.

Measurement of liver fibrosis and hepatic steatosis

The elastography measurements at the NHANES mobile examination center were conducted using the FibroScan® model 502 V2 Touch (Echosens), which was outfitted with either a medium (M) or extra-large (XL) probe. Participants were placed in the supine position with the right arm fully extended for hepatic measurements via intercostal spaces in the right lobe. A minimum 3-h fasting period was performed by the participants before the procedure. The selection of M and XL probes was guided by the automatic selection function of the device system, the manual assessment of skin to liver envelope distance and body mass index. This selection process was performed in accordance with the manufacturer's instructions to ensure accurate and reliable measurements. The success of each measurement was evaluated by the software of the aforementioned system, with the overall validity based on meeting the following criteria: i) A minimum of 10 valid shots; ii) a success rate >60% (calculated as valid shots divided by total shots); and iii) an interquartile range <30% of the median LSM value (interquartile range/median <30%). LSM was recorded in kilopascals (kPa), while CAP was recorded in decibels per meter (dB/m). Previous studies (6,15) suggested that a CAP cut-off value of ≥274 dB/m, with a sensitivity of 90%, is indicative of hepatic steatosis. Furthermore, an LSM cut-off value of ≥9.7 kPa, with a sensitivity of 71% and specificity of 75%, is suggestive of advanced fibrosis (≥F3) (6).

Covariates

According to the literature, several covariates were analyzed in the present study, including age, sex, ethnicity, educational attainment, family income-to-poverty ratio, smoking status, alcohol abuse and vigorous activity (16-18). For the purposes of the present study, ethnicity was divided into five categories: i) Non-Hispanic White; ii) Hispanic; iii) non-Hispanic Black; iv) non-Hispanic Asian; and v) other (which encompasses multiethnic groups). Educational attainment was also classified into four distinct categories: i) Less than high school; ii) high school graduate; iii) college or associate's degree; and iv) college graduate or higher.

The ratio of family income to poverty, determined by dividing the income of the family or individual by the poverty guidelines specific to the year of the survey, classified familial income into three categories: i) Low (<1.3); ii) medium (1.3-4.9); and iii) high (≥5.0). Smoking status was determined based on the responses of the participants to two questions in the ‘Smoking Cigarette Use’ questionnaire: i) Whether they now smoke cigarettes; and ii) whether they have smoked at least 100 cigarettes in their entire life. Participants were categorized into three smoking status groups: i) Never smokers (<100 cigarettes in their entire life); ii) former smokers (≥100 cigarettes but had quit smoking); and iii) current smokers (19). Alcohol abuse was defined as the consumption of more than two or more than three standard drinks per day on average for female and male participants, respectively, with a standard drink defined as a 12 oz. beer, a 5 oz. glass of wine or 1.5 oz. liquor. Vigorous activity was characterized as participation in activities with a metabolic equivalent of ≥6.

Statistical analysis

All statistical analyses were performed using R software v.4.1.3 (Posit Software). Continuous variables are presented as the mean ± SD, while categorical variables are presented as counts and percentages. Baseline differences between NHHR quartile (Q) groups were compared using one-way ANOVA followed by Bonferroni post hoc test for continuous variables or χ2 test for categorical variables. For study variables of primary interest (such as the NHHR), records containing missing values were removed entirely. For important covariates that required adjustment (such as educational attainment, smoking status and alcohol abuse), the missing records were filled in by transforming them into categorical variables (‘missing’ category). The association between the NHHR and the presence of steatosis and fibrosis was explored using multivariate logistic regression analyses. Odds ratio (OR) and 95% (confidence interval) CI values for the NHHR were calculated, treating it as both a continuous and categorical variable. The multivariate analysis comprised three models: i) Model 1, unadjusted; ii) model 2, adjusted for age, sex and ethnicity; and iii) model 3, additionally adjusted for education level, family income-to-poverty ratio, smoking status, alcohol use and vigorous physical activity.

In addition, a restricted cubic spline (RCS) regression model was utilized to analyze dose-response associations of the NHHR with liver fibrosis and hepatic steatosis. Subgroup analyses were performed to evaluate the robustness of these associations across diverse population factors. A log-likelihood ratio test was applied to ascertain the presence of a threshold, contrasting a single-linear model (non-segmented) with a two-piecewise linear regression model. The inflection point (K) was determined through a two-step recursive method.

Several sensitivity analyses were performed to evaluate the robustness of the results. First, hepatic steatosis was defined using a CAP cut-off value of ≥285 dB/m, which was selected to optimize sensitivity (80%) and specificity (77%) (20). Second, an optimal LSM cut-off of ≥8.6 kPa was applied (sensitivity of 66% and specificity of 80%) to indicate clinically significant fibrosis (stage F2-F4) (4,5). Third, the analysis was restricted to patients with NAFLD (n=5,478) to exclude confounding factors on steatosis. Patients with alcohol consumption (n=1,234), use of steatogenic medications for >6 months (n=89) and hepatitis B (n=38) or C (n=157) were excluded (3,4). Certain patients had more than one of these conditions; therefore, the number of excluded patients may overlap.

A two-sided P<0.05 was considered to indicate a statistically significant difference.

Results

Baseline characteristics

Among the 15,560 participants enrolled in NHANES between 2017 and 2020, 8,653 individuals were excluded due to their age being <20 years, missing or absent elastography data or incomplete NHHR records. This resulted in a final analytical cohort of 6,907 patients. The average age of these adults was 50.56±17.21 years, with 3,398 male patients and 3,509 female patients. The baseline characteristics of the NHANES participants from 2017 to 2020 are presented in Table I, stratified by the following NHHR Qs: i) 0.67-2.71; ii) 2.72-3.36; iii) 3.37-4.06; and iv) 4.07-10.58. Significant differences were observed among the groups. Compared with subjects in the lowest Q of the NHHR, those in the highest Q were more likely to be male, more obese as assessed by body mass index, had higher percentage of diabetes and worse liver function (higher aspartate aminotransferase and alanine aminotransferase levels). The mean ± SD values of CAP and LSM were 265.10±62.04 dB/m and 5.82±4.58 kPa, respectively. The overall prevalence of advanced fibrosis was 5.92%, with rates by Q (Q1 to Q4) of 4.98, 5.91, 5.40 and 7.39%, respectively (P=0.016). Hepatic steatosis occurred in 43.93% of cases, showing a significant increase with higher NHHR Qs (Q1, 25.19%; Q2, 36.10%; Q3, 50.84%; and Q4, 63.55%; P<0.001).

Association between the NHHR and advanced fibrosis

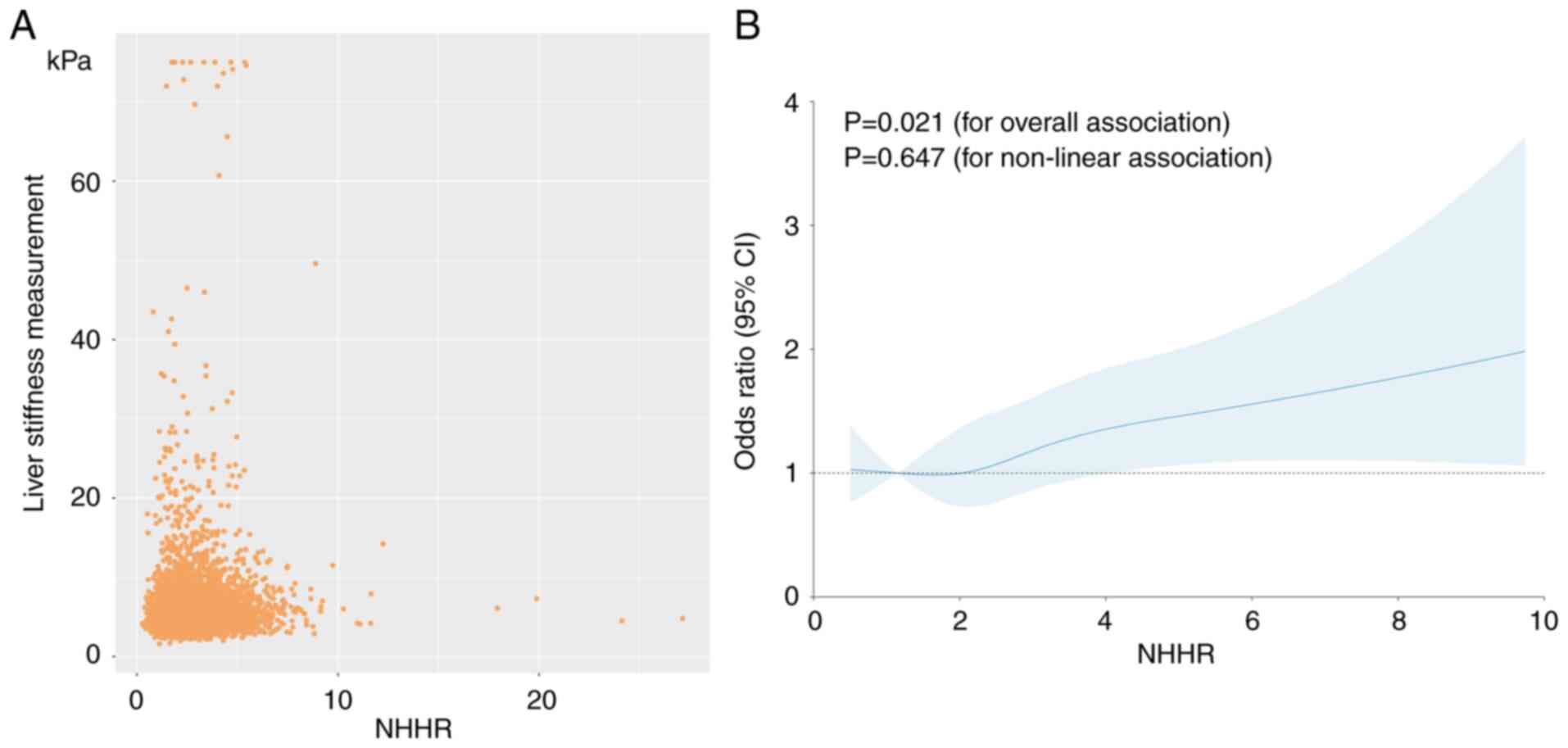
The results of the multivariate logistic regression analysis are presented in Table II. In the unadjusted model, an elevated NHHR exhibited a positive association with increased possibility for advanced fibrosis (OR, 1.10; 95% CI, 1.03-1.17; P=0.002), which remained consistent after adjusting for multiple confounding factors (Model 2: OR, 1.10; 95% CI, 1.03-1.17; P=0.005; Model 3: OR, 1.10; 95% CI, 1.03-1.17; P=0.007). Stratifying the NHHR into Qs for further analysis revealed that individuals in the highest Q (Q4) had a higher risk of advanced fibrosis compared with those in the lower Qs (Q1-Q3) in a fully adjusted model (OR, 1.44; 95% CI, 1.07-1.93; P=0.016). This finding highlights the association between higher NHHR levels and advanced fibrosis risk. The association between the NHHR and advanced fibrosis is shown in Fig. 2A, where each yellow point represents a sample. The RCS model indicated a linear dose-response relationship between the NHHR and advanced fibrosis (P=0.647 for non-linearity; Fig. 2B; Table III). When NHHR is <5.01, the chance of developing advanced fibrosis increases by 13% (OR, 1.13; 95% CI, 1.02-1.24; P=0.014) for every additional unit of NHHR. Conversely, when the NHHR was ≥5.01, no significant change in the relative risk of advanced fibrosis was observed.

Figure 2

Association between the NHHR and advanced fibrosis. (A) Scatter plot depicting the association between NHHR and liver stiffness values, with each yellow point representing a sample. (B) Restricted cubic spline model of the association between the NHHR and advanced fibrosis. NHHR, non-high-density lipoprotein cholesterol to high-density lipoprotein cholesterol ratio; CI, confidence interval.

Table II

Association between NHHR and advanced fibrosis.

Table II

Association between NHHR and advanced fibrosis.

 Model 1Model 2Model 3
NHHR categoryOR (95% CI)P-valueOR (95% CI)P-valueOR (95% CI)P-value
NHHR total1.10 (1.03-1.17)0.0021.10 (1.03-1.17)0.0051.10 (1.03-1.17)0.007
NHHR quartile      
     Q11.00 (Reference) 1.00 (Reference) 1.00 (Reference) 
     Q21.20 (0.89-1.61)0.2291.16 (0.86-1.56)0.3401.16 (0.86-1.57)0.324
     Q31.09 (0.81-1.47)0.5801.03 (0.76-1.40)0.8311.02 (0.75-1.39)0.889
     Q41.52 (1.15-2.02)0.0031.45 (1.08-1.95)0.0121.44 (1.07-1.93)0.016
     P-value for trend 0.008 0.027 0.038

[i] Model 1, no variables adjusted; model 2, age, sex and ethnicity adjusted; model 3, further adjustments for education level, ratio of family income to poverty, smoking status, alcohol abuse and vigorous activity. NHHR, non-high-density lipoprotein cholesterol to high-density lipoprotein cholesterol ratio; OR, odds ratio; CI, confidence interval; Q, quartile.

Table III

Two-segment piecewise linear regression model for the analysis of threshold effects between the NHHR, advanced fibrosis and hepatic steatosis.

Table III

Two-segment piecewise linear regression model for the analysis of threshold effects between the NHHR, advanced fibrosis and hepatic steatosis.

Liver function parameterOR (95% CI)P-value
Advanced fibrosis  
     Fitting by standard linear model1.10 (1.03-1.17)0.007
     Fitting by two-piecewise linear model  
          <5.011.13 (1.02-1.24)0.014
          ≥5.011.04 (0.90-1.21)0.589
     Log-likelihood ratio0.402 
Hepatic steatosis  
     Fitting by standard linear model1.61 (1.53-1.68)<0.001
     Fitting by two-piecewise linear model  
          <3.831.96 (1.84-2.09)<0.001
          ≥3.831.07 (0.98-1.16)0.135
     Log-likelihood ratio0.039 

[i] The multivariate logistic regression model was adjusted for age, sex, ethnicity, education level, family income-to-poverty ratio, smoking status, alcohol use and vigorous physical activity. NHHR, non-high-density lipoprotein cholesterol to high-density lipoprotein cholesterol ratio; OR, odds ratio; CI, confidence interval.

The robustness of the association between the NHHR and advanced fibrosis was assessed through subgroup analysis (Fig. 3). The results revealed significant associations between the NHHR and advanced fibrosis among men (OR, 1.09; 95% CI, 1.01-1.18; P=0.028), individuals aged 20-39 years (OR, 1.24; 95% CI, 1.11-1.40; P=0.001) and non-Hispanic Black individuals (OR, 1.38; 95% CI, 1.17-1.62; P=0.001). Furthermore, significant associations were observed in individuals without heavy alcohol use (OR, 1.08; 95% CI, 1.00-1.17; P=0.042), former smokers (OR, 1.23; 95% CI, 1.07-1.41; P=0.003) and those without vigorous physical activity (OR, 1.13; 95% CI, 1.04-1.22; P=0.005).

Figure 3

Subgroup analysis for the association between the non-high-density lipoprotein cholesterol to high-density lipoprotein cholesterol ratio and advanced fibrosis. Stratification was performed for age, sex, ethnicity, smoking status, alcohol abuse and vigorous activity. BMI, body mass index; OR, odds ratio; CI, confidence interval.

Using an LSM cut-off of ≥8.6 kPa to define clinically significant fibrosis, the association between the NHHR and clinically significant fibrosis remained statistically significant (OR, 1.10; 95% CI, 1.03-1.16; P=0.003). To reduce the influence of other factors contributing to hepatic steatosis, the analysis was restricted to patients with NAFLD. In a logistic regression sensitivity analysis, the NHHR was significantly associated with advanced fibrosis in patients with NAFLD (OR, 1.08; 95% CI, 1.01-1.17; P=0.042) (Table IV).

Table IV

Sensitivity analyses of the association between NHHR and advanced fibrosis or hepatic steatosis.

Table IV

Sensitivity analyses of the association between NHHR and advanced fibrosis or hepatic steatosis.

AnalysisOR (95% CI)P-value
Advanced fibrosis  
     LSM cut-off of ≥8.6 kPa1.10 (1.03-1.16)0.003
     Patients with NAFLD1.08 (1.01-1.17)0.042
Hepatic steatosis  
     CAP cut-off value of ≥285 dB/m1.56 (1.49-1.63)<0.001
     Patients with NAFLD1.55 (1.47-1.64)<0.001

[i] CAP, controlled-attenuation parameter; LSM, liver stiffness measurement; OR, odds ratio; CI, confidence interval.

Association between the NHHR and hepatic steatosis

The association between the NHHR and hepatic steatosis is presented in Table V. In the continuous model, the NHHR exhibited a significant association with an increased risk of hepatic steatosis after full adjustment for covariates (OR, 1.61; 95% CI, 1.53-1.68; P<0.001). In the fully adjusted categorical model, compared with the lowest Q reference, participants in the second, third and fourth Qs had an OR of 1.60 (95% CI, 1.37-1.85; P<0.001), 2.91 (95% CI, 2.51-3.38; P<0.001) and 4.86 (95% CI, 4.17-5.67; P<0.001) for hepatic steatosis risk, respectively, which demonstrated a significant trend (P<0.001). The association between the NHHR and hepatic steatosis is demonstrated in Fig. 4A. As shown in Fig. 4B, the NHHR was non-linearly linked with the prevalence of hepatic steatosis (P<0.001 for non-linearity). Utilizing biphasic linear models and recursive algorithms, the present study identified an inflection point at an NHHR value of 3.83 (Table III). Below an NHHR of 3.83, there was a 96% increase in the likelihood of developing hepatic steatosis per unit increase in the NHHR (OR, 1.96; 95% CI, 1.84-2.09; P<0.001). Conversely, NHHR values ≥3.83 were not significantly associated with the relative risk of hepatic steatosis (OR, 1.07; 95% CI, 0.98-1.16; P=0.135).

Figure 4

Association between the NHHR and hepatic steatosis. (A) Scatter plot depicting the association between NHHR and hepatic steatosis, with each yellow point representing a sample. (B) Restricted cubic spline model of the association between the NHHR and hepatic steatosis. NHHR, non-high-density lipoprotein cholesterol to high-density lipoprotein cholesterol ratio; CI, confidence interval.

Table V

Association between NHHR and hepatic steatosis.

Table V

Association between NHHR and hepatic steatosis.

 Model 1Model 2Model 3
NHHR categoryOR (95% CI)P-valueOR (95% CI)P-valueOR (95% CI)P-value
NHHR total1.64 (1.56-1.71)<0.0011.59 (1.52-1.67)<0.0011.61 (1.53-1.68)<0.001
NHHR quartile      
     Q11.00 (Reference) 1.00 (Reference) 1.00 (Reference) 
     Q21.68 (1.45-1.94)<0.0011.59 (1.37-1.85)<0.0011.60 (1.37-1.85)<0.001
     Q33.07 (2.66-3.55)<0.0012.88 (2.48-3.33)<0.0012.91 (2.51-3.38)<0.001
     Q45.18 (4.47-5.99)<0.0014.76 (4.09-5.55)<0.0014.86 (4.17-5.67)<0.001
     P-value for trend <0.001 <0.001 <0.001

[i] Model 1, no variables adjusted; model 2, age, sex and ethnicity adjusted; model 3, further adjustments for education level, ratio of family income to poverty, smoking status, alcohol abuse and vigorous activity. NHHR, non-high-density lipoprotein cholesterol to high-density lipoprotein cholesterol ratio; OR, odds ratio; CI, confidence interval; Q, quartile.

The subgroup analyses results are shown in Fig. 5. The NHHR exhibited a significant association with hepatic steatosis across all subgroups, including those stratified by age, sex, ethnicity, smoking status, alcohol use and vigorous physical activity (all P<0.001).

Figure 5

Subgroup analysis for the association between the non-high-density lipoprotein cholesterol to high-density lipoprotein cholesterol ratio and hepatic steatosis. Stratification was performed for age, sex, ethnicity, smoking status, alcohol abuse and vigorous activity. BMI, body mass index; OR, odds ratio; CI, confidence interval.

Using a CAP cut-off of ≥285 dB/m to define hepatic steatosis, the association between the NHHR and hepatic steatosis was significant (OR, 1.56; 95% CI, 1.49-1.63; P<0.001). To minimize the influence of other factors contributing to hepatic steatosis, the analysis focused exclusively on patients with NAFLD. In a logistic regression sensitivity analysis, the NHHR remained significantly associated with hepatic steatosis in patients with NAFLD (OR, 1.55; 95% CI, 1.47-1.64; P<0.001) (Table IV).

Discussion

Lipoprotein metabolism serves a crucial role in the pathogenesis of NAFLD. The present study aimed to investigate the potential associations between the NHHR and the presence of advanced fibrosis and hepatic steatosis. Utilizing a nationally representative sample of United States adults, it was observed that an elevated NHHR was significantly associated with an increased likelihood of advanced fibrosis. The RCS model demonstrated a linear dose-response relationship between the NHHR and advanced fibrosis. Additionally, the NHHR was significantly associated with a higher risk of hepatic steatosis after adjusting for covariates. An S-shaped relationship was identified between the NHHR and hepatic steatosis, with an inflection point at 3.83. Given the use of the NHANES design to obtain national estimates, these findings are likely generalizable to the broader adult outpatient population in the United States.

NAFLD encompasses a spectrum of pathological features, ranging from the ectopic accumulation of triglycerides in hepatocytes (hepatic steatosis) to inflammation and hepatocellular injury, known as NASH. This condition can lead to fibrosis, cirrhosis, end-stage liver disease or HCC (21). Dyslipidemia serves a crucial role in the pathogenesis of NAFLD. The underlying metabolic mechanisms reflect an imbalance in hepatic energy metabolism, where excess energy, primarily from carbohydrates and fats, is stored as triglycerides in the liver (22). Adipocyte dysfunction also contributes to the development of NAFLD (23). Severe forms of NAFLD and NASH can occur as complications of congenital lipodystrophy, where the absence of adipose tissue forces the liver to store excess fatty acids, leading to notable insulin resistance (24). Increased visceral adipose tissue is associated with hyperlipidemia, insulin resistance and NAFLD (25). It is widely accepted that visceral adipose tissue contributes to NAFLD and its metabolic complications, partly due to a higher rate of lipolysis, which typically occurs during conditions such as insulin resistance, excess caloric intake, or inflammation. This increased lipolysis may be mediated by interleukin-6 and results in an increased influx of fatty acids to the liver, promoting hepatic steatosis, insulin resistance and dyslipidemia (26). Additionally, the gut microbiota influences hepatic triglyceride metabolism by increasing endotoxin levels, affecting nutrient absorption, and altering the composition and levels of metabolites such as amino acids, fatty acids and bile acids (27).

Non-HDL-C represents cholesterol carried by atherogenic particles containing apolipoprotein B, including triglyceride-rich lipoproteins, such as low-density lipoprotein cholesterol, intermediate-density lipoprotein cholesterol, very low-density lipoprotein cholesterol and its remnants, chylomicrons and lipoprotein (a). Guidelines emphasize the importance of monitoring non-HDL-C levels, particularly in patients with diabetes, obesity or metabolic syndrome, as these individuals frequently exhibit elevated non-HDL-C and triglyceride levels, along with reduced HDL-C levels, even when low-density lipoprotein-cholesterol levels are not significantly elevated (28,29). The value of non-HDL-C is obtained by subtracting HDL-C from TC. This measurement is advantageous because it is unaffected by fasting conditions and triglyceride variability, making it a reliable indicator. On the other side, the NHHR provides a more comprehensive assessment of lipid dysregulation and offers a superior capacity for evaluating the risk of lipid metabolism-related diseases.

The present study demonstrated that the NHHR is an independent predictor of advanced fibrosis and hepatic steatosis. The present findings are consistent with previous research and contribute to the understanding of the causal relationship between dyslipidemia and NAFLD. For example, Wang et al (30) revealed that the NHHR was associated with an increased risk of NAFLD, with a hazard ratio (HR) of 2.66 (95% CI, 1.13-6.24; P=0.025) in women and an HR of 2.11 (95% CI, 1.15-3.90; P=0.016) in men, demonstrating that the NHHR was a stronger predictor than non-HDL-C in the Chinese population. Similarly, Yang et al (14) reported that the prevalence of NAFLD was positively associated with the NHHR, with an OR of 8.61 (95% CI, 5.90-12.57; P<0.001) in the highest NHHR tertile compared with the lowest tertile. However, a small number of studies have explored the association between the NHHR and advanced fibrosis.

The present study has a number of strengths. First, to the best of our knowledge, this is the first study to examine the potential association of the NHHR with advanced fibrosis and hepatic steatosis as estimated by VCTE, which allows for a more accurate assessment of hepatic fibrosis and steatosis. Furthermore, since the selection of LSM and CAP thresholds may influence diagnostic performance, sensitivity analyses were conducted using different LSM and CAP thresholds to demonstrate a strong association of the NHHR with advanced fibrosis and hepatic steatosis. This suggested that the original findings were not overly dependent on a specific threshold, reinforcing the reliability and consistency of the association across different sensitivity analyses. Second, the present study sample was nationally representative, and all participants had comprehensive data. This broad representation enhanced the generalizability of the present findings and permitted robust subgroup analyses with high statistical power. Additionally, the study employed rigorous exclusion criteria and effectively controlled potential confounding factors by collecting comprehensive data on various lifestyle factors.

Several limitations of the present study should be acknowledged. First, advanced fibrosis and hepatic steatosis were diagnosed using VCTE rather than liver histopathology. Although VCTE is widely recognized as an accurate and reliable tool for detecting advanced fibrosis and hepatic steatosis, certain inaccuracies in the diagnosis may not be excluded. Second, the cross-sectional nature of the present analysis precludes establishing causality or identifying associations with clinical outcomes. Longitudinal and interventional studies are necessary to address this limitation. Third, although numerous potential confounding variables were adjusted for, residual and unmeasured confounding factors could not be entirely ruled out.

In conclusion, the present findings demonstrated a strong association of the NHHR with advanced fibrosis and hepatic steatosis. The NHHR may serve as a simple and effective anthropometric index for predicting these conditions. However, further large-scale prospective studies are necessary to validate the present results in different nations and ethnic groups.

Acknowledgements

Not applicable.

Funding

Funding: No funding was received.

Availability of data and materials

The data generated in the present study may be requested from the corresponding author.

Authors' contributions

LH and YS designed the study, performed the statistical analysis, and drafted the manuscript. XL collected and reviewed the clinical data. XX revised the manuscript and was responsible for the study conception, design, data collection and analysis. LH and XX confirm the authenticity of all the raw data. All authors read and approved the final manuscript.

Ethics approval and consent to participate

Not applicable.

Patient consent for publication

Not applicable.

Competing interests

The authors declare that they have no competing interests.

References

1 

Estes C, Razavi H, Loomba R, Younossi Z and Sanyal AJ: Modeling the epidemic of nonalcoholic fatty liver disease demonstrates an exponential increase in burden of disease. Hepatology. 67:123–133. 2018.PubMed/NCBI View Article : Google Scholar

2 

Le P, Chaitoff A, Rothberg MB, McCullough A, Gupta NM and Alkhouri N: Population-based trends in prevalence of nonalcoholic fatty liver disease in US adults with type 2 diabetes. Clin Gastroenterol Hepatol. 17:2377–2378. 2019.PubMed/NCBI View Article : Google Scholar

3 

European Association for the Study of the Liver (EASL); European Association for the Study of Diabetes (EASD); European Association for the Study of Obesity (EASO). EASL-EASD-EASO clinical practice guidelines on the management of metabolic dysfunction-associated steatotic liver disease (MASLD). J Hepatol. 81:492–542. 2024.PubMed/NCBI View Article : Google Scholar

4 

Rinella ME, Neuschwander-Tetri BA, Siddiqui MS, Abdelmalek MF, Caldwell S, Barb D, Kleiner DE and Loomba R: AASLD practice guidance on the clinical assessment and management of nonalcoholic fatty liver disease. Hepatology. 77:1797–1835. 2023.PubMed/NCBI View Article : Google Scholar

5 

European Association for the Study of the Liver; Clinical Practice Guideline Panel; Chair:; EASL Governing Board representative:; Panel members. EASL clinical practice guidelines on non-invasive tests for evaluation of liver disease severity and prognosis-2021 update. J Hepatol. 75:659–689. 2021.PubMed/NCBI View Article : Google Scholar

6 

Eddowes PJ, Sasso M, Allison M, Tsochatzis E, Anstee QM, Sheridan D, Guha IN, Cobbold JF, Deeks JJ, Paradis V, et al: Accuracy of fibroscan controlled attenuation parameter and liver stiffness measurement in assessing steatosis and fibrosis in patients with nonalcoholic fatty liver disease. Gastroenterology. 156:1717–1730. 2019.PubMed/NCBI View Article : Google Scholar

7 

Vilar-Gomez E, Vuppalanchi R, Gawrieh S, Samala N and Chalasani N: CAP and LSM as determined by VCTE are independent predictors of all-cause mortality in the US adult population. Hepatology. 77:1241–1252. 2023.PubMed/NCBI View Article : Google Scholar

8 

Yu H, Huang Y, Li M, Jiang H, Yang B, Xi X, Smayi A, Wu B and Yang Y: Prognostic significance of dynamic changes in liver stiffness measurement in patients with chronic hepatitis B and compensated advanced chronic liver disease. J Gastroenterol Hepatol. 39:2169–2181. 2024.PubMed/NCBI View Article : Google Scholar

9 

Hong H, He Y, Gong Z, Feng J and Qu Y: The association between non-high-density lipoprotein cholesterol to high-density lipoprotein cholesterol ratio (NHHR) and kidney stones: A cross-sectional study. Lipids Health Dis. 23(102)2024.PubMed/NCBI View Article : Google Scholar

10 

Lin W, Luo S, Li W, Liu J, Zhou T, Yang F, Zhou D, Liu Y, Huang W, Feng Y and Luo J: Association between the non-HDL-cholesterol to HDL- cholesterol ratio and abdominal aortic aneurysm from a Chinese screening program. Lipids Health Dis. 22(187)2023.PubMed/NCBI View Article : Google Scholar

11 

Tan MY, Weng L, Yang ZH, Zhu SX, Wu S and Su JH: The association between non-high-density lipoprotein cholesterol to high-density lipoprotein cholesterol ratio with type 2 diabetes mellitus: Recent findings from NHANES 2007-2018. Lipids Health Dis. 23(151)2024.PubMed/NCBI View Article : Google Scholar

12 

Hou K, Song W, He J and Ma Z: The association between non-high-density lipoprotein cholesterol to high-density lipoprotein cholesterol ratio (NHHR) and prevalence of periodontitis among US adults: A cross-sectional NHANES study. Sci Rep. 14(5558)2024.PubMed/NCBI View Article : Google Scholar

13 

Qi X, Wang S, Huang Q, Chen X, Qiu L, Ouyang K and Chen Y: The association between non-high-density lipoprotein cholesterol to high-density lipoprotein cholesterol ratio (NHHR) and risk of depression among US adults: A cross-sectional NHANES study. J Affect Disord. 344:451–457. 2024.PubMed/NCBI View Article : Google Scholar

14 

Yang S, Zhong J, Ye M, Miao L, Lu G, Xu C, Xue Z and Zhou X: Association between the non-HDL-cholesterol to HDL-cholesterol ratio and non-alcoholic fatty liver disease in Chinese children and adolescents: A large single-center cross-sectional study. Lipids Health Dis. 19(242)2020.PubMed/NCBI View Article : Google Scholar

15 

Ciardullo S and Perseghin G: Statin use is associated with lower prevalence of advanced liver fibrosis in patients with type 2 diabetes. Metabolism. 121(154752)2021.PubMed/NCBI View Article : Google Scholar

16 

Vilar-Gomez E, Nephew LD, Vuppalanchi R, Gawrieh S, Mladenovic A, Pike F, Samala N and Chalasani N: High-quality diet, physical activity, and college education are associated with low risk of NAFLD among the US population. Hepatology. 75:1491–1506. 2022.PubMed/NCBI View Article : Google Scholar

17 

Yu H, Li M, Yang B, Sun H, Jiang H, Liang Z, Smayi A, Wu B and Yang Y: Proton pump inhibitor use is associated with increased liver steatosis. Biomed Rep. 21(116)2024.PubMed/NCBI View Article : Google Scholar

18 

Leung CW and Tapper EB: Sugar-sweetened beverages are associated with increased liver stiffness and steatosis among apparently healthy adults in the United States. Clin Gastroenterol Hepatol. 20:959–961.e1. 2022.PubMed/NCBI View Article : Google Scholar

19 

Ruan Z, Lu T, Chen Y, Yuan M, Yu H, Liu R and Xie X: Association between psoriasis and nonalcoholic fatty liver disease among outpatient US adults. JAMA Dermatol. 158:745–753. 2022.PubMed/NCBI View Article : Google Scholar

20 

Siddiqui MS, Vuppalanchi R, Van Natta ML, Hallinan E, Kowdley KV, Abdelmalek M, Neuschwander-Tetri BA, Loomba R, Dasarathy S, Brandman D, et al: Vibration-Controlled transient elastography to assess fibrosis and steatosis in patients with nonalcoholic fatty liver disease. Clin Gastroenterol Hepatol. 17:156–163.e2. 2019.PubMed/NCBI View Article : Google Scholar

21 

Rinella ME, Lazarus JV, Ratziu V, Francque SM, Sanyal AJ, Kanwal F, Romero D, Abdelmalek MF, Anstee QM, Arab JP, et al: A multisociety Delphi consensus statement on new fatty liver disease nomenclature. Ann Hepatol. 29(101133)2024.PubMed/NCBI View Article : Google Scholar

22 

Loomba R, Friedman SL and Shulman GI: Mechanisms and disease consequences of nonalcoholic fatty liver disease. Cell. 184:2537–2564. 2021.PubMed/NCBI View Article : Google Scholar

23 

Lotta LA, Gulati P, Day FR, Payne F, Ongen H, van de Bunt M, Gaulton KJ, Eicher JD, Sharp SJ, Luan J, et al: Integrative genomic analysis implicates limited peripheral adipose storage capacity in the pathogenesis of human insulin resistance. Nat Genet. 49:17–26. 2017.PubMed/NCBI View Article : Google Scholar

24 

Petersen KF, Oral EA, Dufour S, Befroy D, Ariyan C, Yu C, Cline GW, DePaoli AM, Taylor SI, Gorden P and Shulman GI: Leptin reverses insulin resistance and hepatic steatosis in patients with severe lipodystrophy. J Clin Invest. 109:1345–1350. 2002.PubMed/NCBI View Article : Google Scholar

25 

Kelley DE, McKolanis TM, Hegazi RA, Kuller LH and Kalhan SC: Fatty liver in type 2 diabetes mellitus: Relation to regional adiposity, fatty acids, and insulin resistance. Am J Physiol Endocrinol Metab. 285:E906–E916. 2003.PubMed/NCBI View Article : Google Scholar

26 

Wueest S, Item F, Lucchini FC, Challa TD, Müller W, Blüher M and Konrad D: Mesenteric fat lipolysis mediates obesity-associated hepatic steatosis and insulin resistance. Diabetes. 65:140–148. 2016.PubMed/NCBI View Article : Google Scholar

27 

Caussy C, Tripathi A, Humphrey G, Bassirian S, Singh S, Faulkner C, Bettencourt R, Rizo E, Richards L, Xu ZZ, et al: A gut microbiome signature for cirrhosis due to nonalcoholic fatty liver disease. Nat Commun. 10(1406)2019.PubMed/NCBI View Article : Google Scholar

28 

Mach F, Baigent C, Catapano AL, Koskinas KC, Casula M, Badimon L, Chapman MJ, De Backer GG, Delgado V, Ference BA, et al: 2019 ESC/EAS guidelines for the management of dyslipidaemias: Lipid modification to reduce cardiovascular risk. Eur Heart J. 41:111–188. 2020.PubMed/NCBI View Article : Google Scholar

29 

Garber AJ, Abrahamson MJ, Barzilay JI, Blonde L, Bloomgarden ZT, Bush MA, Dagogo-Jack S, DeFronzo RA, Einhorn D, Fonseca VA, et al: Consensus statement by the American Association of Clinical Endocrinologists and American College Of Endocrinology on the comprehensive type 2 diabetes management algorithm-2019 executive summary. Endocr Pract. 25:69–100. 2019.PubMed/NCBI View Article : Google Scholar

30 

Wang K, Shan S, Zheng H, Zhao X, Chen C and Liu C: Non-HDL-cholesterol to HDL-cholesterol ratio is a better predictor of new-onset non-alcoholic fatty liver disease than non-HDL-cholesterol: A cohort study. Lipids Health Dis. 17(196)2018.PubMed/NCBI View Article : Google Scholar

Related Articles

  • Abstract
  • View
  • Download
  • Twitter
Copy and paste a formatted citation
Spandidos Publications style
Hong L, Sun Y, Lu X and Xu X: Non‑high‑density lipoprotein cholesterol to high‑density lipoprotein cholesterol ratio as a biomarker for liver health: Insights from National Health and Nutrition Examination Survey data. Biomed Rep 22: 61, 2025.
APA
Hong, L., Sun, Y., Lu, X., & Xu, X. (2025). Non‑high‑density lipoprotein cholesterol to high‑density lipoprotein cholesterol ratio as a biomarker for liver health: Insights from National Health and Nutrition Examination Survey data. Biomedical Reports, 22, 61. https://doi.org/10.3892/br.2025.1939
MLA
Hong, L., Sun, Y., Lu, X., Xu, X."Non‑high‑density lipoprotein cholesterol to high‑density lipoprotein cholesterol ratio as a biomarker for liver health: Insights from National Health and Nutrition Examination Survey data". Biomedical Reports 22.4 (2025): 61.
Chicago
Hong, L., Sun, Y., Lu, X., Xu, X."Non‑high‑density lipoprotein cholesterol to high‑density lipoprotein cholesterol ratio as a biomarker for liver health: Insights from National Health and Nutrition Examination Survey data". Biomedical Reports 22, no. 4 (2025): 61. https://doi.org/10.3892/br.2025.1939
Copy and paste a formatted citation
x
Spandidos Publications style
Hong L, Sun Y, Lu X and Xu X: Non‑high‑density lipoprotein cholesterol to high‑density lipoprotein cholesterol ratio as a biomarker for liver health: Insights from National Health and Nutrition Examination Survey data. Biomed Rep 22: 61, 2025.
APA
Hong, L., Sun, Y., Lu, X., & Xu, X. (2025). Non‑high‑density lipoprotein cholesterol to high‑density lipoprotein cholesterol ratio as a biomarker for liver health: Insights from National Health and Nutrition Examination Survey data. Biomedical Reports, 22, 61. https://doi.org/10.3892/br.2025.1939
MLA
Hong, L., Sun, Y., Lu, X., Xu, X."Non‑high‑density lipoprotein cholesterol to high‑density lipoprotein cholesterol ratio as a biomarker for liver health: Insights from National Health and Nutrition Examination Survey data". Biomedical Reports 22.4 (2025): 61.
Chicago
Hong, L., Sun, Y., Lu, X., Xu, X."Non‑high‑density lipoprotein cholesterol to high‑density lipoprotein cholesterol ratio as a biomarker for liver health: Insights from National Health and Nutrition Examination Survey data". Biomedical Reports 22, no. 4 (2025): 61. https://doi.org/10.3892/br.2025.1939
Follow us
  • Twitter
  • LinkedIn
  • Facebook
About
  • Spandidos Publications
  • Careers
  • Cookie Policy
  • Privacy Policy
How can we help?
  • Help
  • Live Chat
  • Contact
  • Email to our Support Team