Spandidos Publications Logo
  • About
    • About Spandidos
    • Aims and Scopes
    • Abstracting and Indexing
    • Editorial Policies
    • Reprints and Permissions
    • Job Opportunities
    • Terms and Conditions
    • Contact
  • Journals
    • All Journals
    • Oncology Letters
      • Oncology Letters
      • Information for Authors
      • Editorial Policies
      • Editorial Board
      • Aims and Scope
      • Abstracting and Indexing
      • Bibliographic Information
      • Archive
    • International Journal of Oncology
      • International Journal of Oncology
      • Information for Authors
      • Editorial Policies
      • Editorial Board
      • Aims and Scope
      • Abstracting and Indexing
      • Bibliographic Information
      • Archive
    • Molecular and Clinical Oncology
      • Molecular and Clinical Oncology
      • Information for Authors
      • Editorial Policies
      • Editorial Board
      • Aims and Scope
      • Abstracting and Indexing
      • Bibliographic Information
      • Archive
    • Experimental and Therapeutic Medicine
      • Experimental and Therapeutic Medicine
      • Information for Authors
      • Editorial Policies
      • Editorial Board
      • Aims and Scope
      • Abstracting and Indexing
      • Bibliographic Information
      • Archive
    • International Journal of Molecular Medicine
      • International Journal of Molecular Medicine
      • Information for Authors
      • Editorial Policies
      • Editorial Board
      • Aims and Scope
      • Abstracting and Indexing
      • Bibliographic Information
      • Archive
    • Biomedical Reports
      • Biomedical Reports
      • Information for Authors
      • Editorial Policies
      • Editorial Board
      • Aims and Scope
      • Abstracting and Indexing
      • Bibliographic Information
      • Archive
    • Oncology Reports
      • Oncology Reports
      • Information for Authors
      • Editorial Policies
      • Editorial Board
      • Aims and Scope
      • Abstracting and Indexing
      • Bibliographic Information
      • Archive
    • Molecular Medicine Reports
      • Molecular Medicine Reports
      • Information for Authors
      • Editorial Policies
      • Editorial Board
      • Aims and Scope
      • Abstracting and Indexing
      • Bibliographic Information
      • Archive
    • World Academy of Sciences Journal
      • World Academy of Sciences Journal
      • Information for Authors
      • Editorial Policies
      • Editorial Board
      • Aims and Scope
      • Abstracting and Indexing
      • Bibliographic Information
      • Archive
    • International Journal of Functional Nutrition
      • International Journal of Functional Nutrition
      • Information for Authors
      • Editorial Policies
      • Editorial Board
      • Aims and Scope
      • Abstracting and Indexing
      • Bibliographic Information
      • Archive
    • International Journal of Epigenetics
      • International Journal of Epigenetics
      • Information for Authors
      • Editorial Policies
      • Editorial Board
      • Aims and Scope
      • Abstracting and Indexing
      • Bibliographic Information
      • Archive
    • Medicine International
      • Medicine International
      • Information for Authors
      • Editorial Policies
      • Editorial Board
      • Aims and Scope
      • Abstracting and Indexing
      • Bibliographic Information
      • Archive
  • Articles
  • Information
    • Information for Authors
    • Information for Reviewers
    • Information for Librarians
    • Information for Advertisers
    • Conferences
  • Language Editing
Spandidos Publications Logo
  • About
    • About Spandidos
    • Aims and Scopes
    • Abstracting and Indexing
    • Editorial Policies
    • Reprints and Permissions
    • Job Opportunities
    • Terms and Conditions
    • Contact
  • Journals
    • All Journals
    • Biomedical Reports
      • Information for Authors
      • Editorial Policies
      • Editorial Board
      • Aims and Scope
      • Abstracting and Indexing
      • Bibliographic Information
      • Archive
    • Experimental and Therapeutic Medicine
      • Information for Authors
      • Editorial Policies
      • Editorial Board
      • Aims and Scope
      • Abstracting and Indexing
      • Bibliographic Information
      • Archive
    • International Journal of Epigenetics
      • Information for Authors
      • Editorial Policies
      • Editorial Board
      • Aims and Scope
      • Abstracting and Indexing
      • Bibliographic Information
      • Archive
    • International Journal of Functional Nutrition
      • Information for Authors
      • Editorial Policies
      • Editorial Board
      • Aims and Scope
      • Abstracting and Indexing
      • Bibliographic Information
      • Archive
    • International Journal of Molecular Medicine
      • Information for Authors
      • Editorial Policies
      • Editorial Board
      • Aims and Scope
      • Abstracting and Indexing
      • Bibliographic Information
      • Archive
    • International Journal of Oncology
      • Information for Authors
      • Editorial Policies
      • Editorial Board
      • Aims and Scope
      • Abstracting and Indexing
      • Bibliographic Information
      • Archive
    • Medicine International
      • Information for Authors
      • Editorial Policies
      • Editorial Board
      • Aims and Scope
      • Abstracting and Indexing
      • Bibliographic Information
      • Archive
    • Molecular and Clinical Oncology
      • Information for Authors
      • Editorial Policies
      • Editorial Board
      • Aims and Scope
      • Abstracting and Indexing
      • Bibliographic Information
      • Archive
    • Molecular Medicine Reports
      • Information for Authors
      • Editorial Policies
      • Editorial Board
      • Aims and Scope
      • Abstracting and Indexing
      • Bibliographic Information
      • Archive
    • Oncology Letters
      • Information for Authors
      • Editorial Policies
      • Editorial Board
      • Aims and Scope
      • Abstracting and Indexing
      • Bibliographic Information
      • Archive
    • Oncology Reports
      • Information for Authors
      • Editorial Policies
      • Editorial Board
      • Aims and Scope
      • Abstracting and Indexing
      • Bibliographic Information
      • Archive
    • World Academy of Sciences Journal
      • Information for Authors
      • Editorial Policies
      • Editorial Board
      • Aims and Scope
      • Abstracting and Indexing
      • Bibliographic Information
      • Archive
  • Articles
  • Information
    • For Authors
    • For Reviewers
    • For Librarians
    • For Advertisers
    • Conferences
  • Language Editing
Login Register Submit
  • This site uses cookies
  • You can change your cookie settings at any time by following the instructions in our Cookie Policy. To find out more, you may read our Privacy Policy.

    I agree
Search articles by DOI, keyword, author or affiliation
Search
Advanced Search
presentation
Biomedical Reports
Join Editorial Board Propose a Special Issue
Print ISSN: 2049-9434 Online ISSN: 2049-9442
Journal Cover
May-2025 Volume 22 Issue 5

Full Size Image

Sign up for eToc alerts
Recommend to Library

Journals

International Journal of Molecular Medicine

International Journal of Molecular Medicine

International Journal of Molecular Medicine is an international journal devoted to molecular mechanisms of human disease.

International Journal of Oncology

International Journal of Oncology

International Journal of Oncology is an international journal devoted to oncology research and cancer treatment.

Molecular Medicine Reports

Molecular Medicine Reports

Covers molecular medicine topics such as pharmacology, pathology, genetics, neuroscience, infectious diseases, molecular cardiology, and molecular surgery.

Oncology Reports

Oncology Reports

Oncology Reports is an international journal devoted to fundamental and applied research in Oncology.

Experimental and Therapeutic Medicine

Experimental and Therapeutic Medicine

Experimental and Therapeutic Medicine is an international journal devoted to laboratory and clinical medicine.

Oncology Letters

Oncology Letters

Oncology Letters is an international journal devoted to Experimental and Clinical Oncology.

Biomedical Reports

Biomedical Reports

Explores a wide range of biological and medical fields, including pharmacology, genetics, microbiology, neuroscience, and molecular cardiology.

Molecular and Clinical Oncology

Molecular and Clinical Oncology

International journal addressing all aspects of oncology research, from tumorigenesis and oncogenes to chemotherapy and metastasis.

World Academy of Sciences Journal

World Academy of Sciences Journal

Multidisciplinary open-access journal spanning biochemistry, genetics, neuroscience, environmental health, and synthetic biology.

International Journal of Functional Nutrition

International Journal of Functional Nutrition

Open-access journal combining biochemistry, pharmacology, immunology, and genetics to advance health through functional nutrition.

International Journal of Epigenetics

International Journal of Epigenetics

Publishes open-access research on using epigenetics to advance understanding and treatment of human disease.

Medicine International

Medicine International

An International Open Access Journal Devoted to General Medicine.

Journal Cover
May-2025 Volume 22 Issue 5

Full Size Image

Sign up for eToc alerts
Recommend to Library

  • Article
  • Citations
    • Cite This Article
    • Download Citation
    • Create Citation Alert
    • Remove Citation Alert
    • Cited By
  • Similar Articles
    • Related Articles (in Spandidos Publications)
    • Similar Articles (Google Scholar)
    • Similar Articles (PubMed)
  • Download PDF
  • Download XML
  • View XML
Article Open Access

Protective effect of Astragalus polysaccharide on diabetic nephropathy: A systematic review and meta‑analysis reveals the efficacy and potential mechanisms

  • Authors:
    • Yong He
    • Wen-Ju Zhao
    • Ze-Chun Yang
    • Ming-Ming Qin
    • Qin Wang
    • Sen Lin
  • View Affiliations / Copyright

    Affiliations: Department of Pharmacy, Chongqing Rongchang Hospital of Traditional Chinese Medicine, Chongqing 402460, P.R. China, Guokang Pharmacy, Shanxi Sinopharm Group, Taiyuan, Shanxi 030000, P.R. China, Department of Pharmacy, Chongqing City Hospital of Traditional Chinese Medicine, Chongqing 400000, P.R. China
    Copyright: © He et al. This is an open access article distributed under the terms of Creative Commons Attribution License.
  • Article Number: 85
    |
    Published online on: March 17, 2025
       https://doi.org/10.3892/br.2025.1963
  • Expand metrics +
Metrics: Total Views: 0 (Spandidos Publications: | PMC Statistics: )
Metrics: Total PDF Downloads: 0 (Spandidos Publications: | PMC Statistics: )
Cited By (CrossRef): 0 citations Loading Articles...

This article is mentioned in:



Abstract

Astragali radix is widely used to treat diabetes and Astragalus polysaccharides (APS) is a primary bioactive compound. Previous evidence has demonstrated that APS, when administered, is an effective monomer in the treatment of diabetic nephropathy (DN). In the present systematic review and meta‑analysis, the effects and potential underlying mechanisms of APS in the treatment of DN were evaluated. PubMed, Embase, EBSCO, Web of Science and OVID databases were employed to obtain the published studies included in the present meta‑analysis up to April 2024. Each article's quality was assessed using the Jadad score assessment scale. The odds ratios of risk factors were pooled using a random‑effects meta‑analysis model. Heterogeneity was assessed using the Cochrane Q statistics and I‑Square (I2) tests, and publication bias was detected using the funnel plot and/or Egger's test. If necessary, the authors of the identified papers were contacted for more information. The primary outcomes were analyzed, including the parameters of creatinine, kidney‑to‑urine protein, blood urea nitrogen, urine protein and fasting blood glucose. Additionally, APS was found to reduce known risk factors, including kidney weight and total cholesterol levels. Furthermore, it was revealed that the therapeutic effects of APS in DN may be associated with antifibrotic, anti‑inflammatory and anti‑oxidative stress processes. The findings of the present study have validated the anti‑DN effects of APS, and the safety of its use; however, further rigorously designed and well‑performed preclinical trials are required in order to fully evaluate the anti‑DN effects and safety of APS, and to verify these findings prior to its possible clinical application.

Introduction

Worldwide, diabetes represents a major public health challenge: Its prevalence among the population was 10.5% in 2021, and this is projected to be 12.2% in 2045(1). The mortality and morbidity rates of diabetes are associated with various chronic complications, of which diabetic nephropathy (DN) is typical. This is one of the main microvascular complications that lead to end-stage renal disease (2,3). DN is also termed diabetic kidney disease and it similarly poses one of the leading public health challenges globally. DN is characterized by an increase in urine albumin excretion (microalbuminuria) and/or a decreased glomerular filtration rate in clinical practice (4,5). DN may lead to progressive renal failure if not diagnosed and treated in a timely manner, and its progression may lead to irreversible kidney damage, a decreased quality of life and premature death (6,7). At present, the conventional DN treatment medications are angiotensin II receptor blockers (ARBs) and angiotensin-converting enzyme inhibitors (ACEIs) (8). However, patients who are treated with ARBs or ACEIs may be at high risk of diabetic ketoacidosis and irreversible kidney damage due to the side effects of these medications and their long-term use, which limits the clinical usefulness of these drugs (9,10). At present, no specific medications or treatment options are available that are effective in slowing the progression of DN to kidney failure; however, natural components remain an important resource and research ‘hotspot’ in the field of developing novel drugs, as they are able to continuously provide new chemical scaffolds, and are of great benefit for the treatment of different diseases (11). Therefore, the search for safe and more effective natural components as therapeutic options is urgently required.

According to the Chinese Pharmacopoeia (2020 edition), Astragalus is well recognized as a traditional herb, and is a leguminous plant known as ‘Huangqi’ in China (12). It has been shown that Astragalus exerts a variety of biological effects, including immune regulation, also acting as an anti-inflammatory antioxidant and an antitumor agent, and it has been widely used in the treatment of diabetes, cardiovascular diseases, respiratory diseases, nervous system diseases, cancer and several other diseases, according to previous studies (13-16). Astragalus polysaccharides (APS; molecular formula, C10H7ClN2O2S) (Fig. 1) are important natural active compounds extracted from Astragalus, and this natural component has been mainly used in studies in the preclinical stages (17). Numerous studies have shown that APS possesses a range of biological activities, including regulating kidney injury, blood glucose and blood lipid levels, in addition to functioning as an anticancer and anti-aging agent, among which the treatment of DN via modulating kidney injury is the most important (18-21). The aforementioned preclinical findings were performed by different research groups, however, which may lead to inconsistencies in their conclusions. Hence, systematic reviews and meta-analyses should logically be performed to integrate the findings, and to minimize any bias (22). Through integrating the previously obtained experimental data, the possibility of applying preclinical findings to clinical settings is increased, and the need for animal studies is thereby reduced (with the attendant reduction in the numbers of animals needing to be sacrificed) (23,24). To the best of the authors' knowledge, however, a high-level, evidence-based study of the therapeutic effects of APS on DN, together with an exploration of the underlying potential mechanisms, has not been summarized to date. Therefore, in the present study, it was aimed to undertake a systematic review and meta-analysis to elucidate both the pharmacological effects of APS on models of DN, and the potential underlying biological mechanisms, through analyzing the original observational data.

Figure 1

The chemical structure of Astragalus polysaccharides.

Materials and methods

The Preferred Reporting Items for Systematic reviews and Meta-Analysis (PRISMA) were applied for the conception and performance of this meta-analysis (25).

Search strategy and study selection

Objective studies were identified through searching for papers published between January 2007 and March 2024 in the following databases: Web of Science (www.webofscience.com), PubMed (https://pubmed.ncbi.nlm.nih.gov/), Embase (www.embase.com) and China National Knowledge Infrastructure (oversea.cnki.net/index/), without implementing any language restrictions. Broader terms of mesh and free-text terms were applied to identify target drugs and diseases: ‘Astragalus polysaccharide’, ‘Diabetic nephropathies’, ‘Diabetic Glomerulosclerosis’ and ‘Diabetic Kidney Disease’. If necessary, the authors of the identified studies were contacted to obtain more information.

Eligibility criteria

According to the patient/population, intervention, comparison and outcomes principle, the following inclusion criteria were applied: i) Regarding the participants, DN model animals were selected; ii) concerning the intervention, the animals were treated with APS; iii) comparisons were made between the treated animals and the control groups, including untreated controls; and iv) regarding the outcomes, the primary outcome indicators included creatinine (CR), kidney to body weight ratio (KI), blood urea nitrogen (BUN), urine protein (Upro) and fasting blood glucose (FBG).

The exclusion criteria comprised the following: i) Duplicate data or studies; ii) if the article was merely a case report, clinical trial, opinion, abstract, review or an in vitro trial; iii) no control group or treatment group was provided, or the study was performed either without APS, or APS was combined with other drugs; iv) no sample size or specific statistical analysis method was shown; and v) the study did meet the aforementioned inclusion criteria, but the full text was not available (Fig. 2).

Figure 2

Flowchart of selection for studies inclusion. CNKI, China National Knowledge Infrastructure.

Extraction of data and quality control

All selected documents were imported into Endnote X9, and duplicates were removed. According to the inclusion and exclusion criteria, two researchers performed the literature searches independently. Both the title and the abstract were checked to remove irrelevant literature, and the remaining studies were then carefully examined by reading the full text. The following relevant information from the selected studies was extracted: i) The first author name and the publication date; ii) the basic information, including species, group, body weight (BW) and sample size; iii) the modeling methods and success criteria; iv) the APS intervention route, APS dose and treatment duration; and v) the outcome measures and statistical differences between the different groups. An Excel database was created, and the data were extracted from the target articles manually. The authors of the relevant articles were contacted for their original data when the results were presented graphically only; if no response was received from the authors concerned, then WebPlotDigitizer 4.5 software (https://automeris.io/WebPlotDigitizer) was used to quantify the graphic data. The last data point among the multiple time points was subsequently extracted for meta-analysis. If multiple doses of APS were applied in the treatment groups, the highest group was selected for analysis. The formula ‘SD=SEM x n1/2’ was employed to convert the data into SD where the data in the text were shown as SEM (26). The SYRCLE risk of bias tool for animal studies was applied to examine the risk of bias in the included studies by two assessors independently (27). The assessments of measurement bias, selection bias, reporting bias, implementation bias and other sources of bias were included. Any disagreements were resolved with the corresponding author during the quality evaluation.

Statistical analysis

The statistical software package STATA (15.1 edition; StataCorp LP) was applied for the statistical analyses. It was ensured that the results included were continuous variables; therefore, the total effect size was expressed in terms of standardized mean differences (SMDs) and 95% confidence intervals (CIs). P<0.05 of was considered to indicate a statistically significant difference. The statistical heterogeneity was assessed using I-Square (I2) analysis. If I2>50% was considered to indicate statistically significant heterogeneity, the random effects model was used, whereas the fixed effects model was used in all other cases (28). To explore the underlying causes of heterogeneity, subgroup and sensitivity analyses were performed, including the indicators of FBG, Cr, BUN and Upro. To perform the subgroup analysis, subgroups were designated according to the following: i) the species (mice or rats); ii) the treatment duration (≤8 weeks or >8 weeks); and iii) the APS dose (<400 mg/kg/day or ≥400 mg/kg/day). Egger's linear regression analysis and Begg's rank correlation analysis were applied to evaluate the publication bias of FBG, Cr, BUN and Upro. If publication biases were to be identified, then trim-and-fill methods were applied. In order to better present the effects of intervention duration and the APS dose on the results, time-dose response relationship plots of FBG, Cr, BUN and Upro were created. All groups with results P<0.05 were included in the time-dose analysis for the multiple groups that participated in the same study.

Results

Study selection

Conducting a search of the four major databases (Web of Science, PubMed, Embase and CNKI), the existence of 179 potential target articles was disclosed, including 59 from PubMed, 14 from Web of Science, 22 from Embase and 84 from CNKI. After consolidating the 179 articles and removing the duplicates, 93 records were retained. After performing two more screenings according to the pre-set criteria, a final total of 8 articles met the eligibility requirements, and were finally selected in the current meta-analysis. The selection process of the articles is shown in Fig. 2.

Features of the selected studies

A total of 8 studies were included, and the DN models were based on either male rats or mice. In total, 226 animals were used, including 82 in the model group and 144 in the treatment group. A total of 6 studies used Sprague Dawley rats (184/226; 81.4%), 1 study used Wistar rats (30/226; 13.3%), and 1 study used db/db mice (12/226,5.3%). The animal weight was mentioned in five of the studies, and age was mentioned in six of the studies. Different doses of streptozotocin (STZ) were applied during the construction of the DN model in 7 studies, among which three of those studies used STZ combined with a high sugar, high fat diet, with high fat feed to replicate the conditions of diabetes. Spontaneous diabetic model (SDM) mice were used in 1 study. All studies considered FBG >11.1 mmol/l (range: 11.1~16.7 mmol/l) as the criterion to evaluate the success of the models, with the exception of the study that used SDM model mice. The minimum and the maximum duration of administration of APS were 6 and 12 weeks, respectively, whereas the minimum and the maximum doses of APS were 25 mg/kg/day and 1,000 mg/kg/day, respectively. Regarding the primary outcome measures, 6 studies recorded FBG levels, 7 studies recorded BUN levels, 5 studies recorded Cr levels, and 6 studies recorded Upro levels. A total of 3 studies focused on inflammatory indicators, including IL-6, IL-1β and TNF-α. Certain studies mentioned markers of oxidative stress, such as malondialdehyde (MDA) and superoxide dismutase (SOD). The detailed information concerning APS is shown in Table I, and the features of the present study are shown in Table II.

Table I

Information of Astragalus polysaccharides in each study.

Table I

Information of Astragalus polysaccharides in each study.

First author, yearSupplierPurity (%)(Refs.)
Chen et al, 2008Macklin Inc. Ltd.>98(18)
Liu et al, 2023Beijing Solarbio Science & Technology Co., Ltd.>90(30)
Meng et al, 2020Lanzhou Wotelaisi Biological Co. Ltd.>98(19)
Zhang et al, 2007Company of Bencao>95(20)
Peng et al, 2020SenxingBio>70(33)
Guo et al, 2023Beijing Solarbio Science & Technology Co., Ltd.>90(21)
Wu et al, 2024MilliporeSigma>99.8(32)
Mao et al, 2010Wosenbio>70(29)

Table II

Basic characteristics of the included studies.

Table II

Basic characteristics of the included studies.

First author/s, yearSpecies (sex, n=treatment/ model group, weight)Modeling method/standardAPS (administration, drug dose, duration)OutcomesIntergroup difference(Refs.)
Chen et al, 2008db/db and db/m mice (male,6/6,4-6 weeks)Spontaneous diabetic modelBy intragastric, 200 mg/kg/d, 12 weeks1. UproP<0.05(18)
    2. FBGP<0.01 
    3. GTTP <0.01 
    4. BWP<0.01 
    5. BUNP<0.01 
Liu et al, 2023Sprague-Dawley rats (male, 27/9, 252±2.7 g)Intraperitoneal injection of STZ (60 mg/kg), FBG >16.7By intragastric, 200 mg/kg/d, 12 weeks1. UproP<0.05(30)
    2. FBGP<0.05 
    3. GHbP<0.05 
    4. BUNP<0.05 
    5. CrP<0.05 
    6. TCP<0.05 
    7. TGP<0.05 
    8. HDLP<0.05 
    9. LDLP<0.05 
    10. SODP<0.05 
    11. MDAP<0.05 
Meng et al, 2020Sprague-Dawley rats (male, 27/9, 252±2.7 g)Intraperitoneal injection of STZ (35 mg/kg), FBG >11.1By intragastric, 25/50/100 mg/kg/d, 8 weeks1. BWP<0.01(19)
    2. FBGP<0.05 
    3. UproP<0.05 
    4. BUNP<0.05 
    5. CrP<0.05 
    6. α-SMAP<0.05 
    7. TGF-βP<0.05 
Zhang et al, 2007Sprague-Dawley rats (male, 16/20, 220-240 g)Intraperitoneal injection of STZ (60 mg/kg), FBG >13.8By intragastric, 1 g/kg/d, 8 weeks1. TGP<0.05(20)
    2. CrP<0.01 
    3. HDLP<0.05 
    4. BUNP<0.01 
    5. TCP<0.05 
    6. FBGP<0.01 
    7. UproP<0.01 
    8. NF-κBP<0.01 
    9. I-κBP<0.01 
    10. BWP<0.01 
Peng et al, 2020Sprague-Dawley rats (male, 8/8, 220±20 g)Intraperitoneal injection of STZ (60 mg/kg), FBG >16.7By intragastric, 400 g/kg/d,8 weeks1. BWP<0.05(33)
    2. FBGP<0.05 
    3. UproP<0.05 
    4. BUNP<0.05 
    5. CrP<0.01 
    6. nephrinP<0.05 
    7. podocinP<0.05 
Guo et al, 2023Sprague-Dawley rats (male, 30/10, 220±20 g)Intraperitoneal injection of STZ (65 mg/kg), FBG >11.7By intragastric, 200/400 g/800/kg/d, 10 weeks1. BWP<0.01(21)
    2. KIP<0.01 
    3. FBGP<0.01 
    4. BUNP<0.01 
    5. CrP<0.01 
    6. UproP<0.01 
    7. MCP-1P<0.01 
    8. TGF-β1P<0.01 
    9. IL-1βP<0.01 
    10. IL-6P<0.01 
    11. TLR-4P<0.01 
    12. NF-κBP<0.01 
Wu et al, 2024Sprague-Dawley rats (male, 10/10, 200-220 g)Intraperitoneal injection of STZ (35 mg/kg), FBG >16.7By intragastric, 400 g/kg/d, 8 weeks1. BUNP<0.05(32)
    2. CrP<0.05 
    3. TCP<0.05 
    4. TGP<0.05 
    5. PI3KP<0.05 
    6. AKTP<0.05 
    7. UproP<0.05 
    8. FBGP<0.05 
    9. IL-1βP<0.05 
Mao et al, 2010Wistar rats (male, 20/10, 200±20 g)Intraperitoneal injection of STZ (55 mg/kg), FBG >16.7By intragastric, 200/400 g/kg/d, 6 weeks1. BUNP<0.01(29)
    2. FBGP<0.01 
    3. BWP<0.01 
    4. CrP<0.01 
    5. KIP<0.01 
    6. UproP<0.01 

[i] BUN, blood urea nitrogen; Upro, urine protein; IL-, interleukin; FBG, fasting blood glucose; TC, total cholesterol; TG, triglyceride; KI, kidney to body weight ratio; TLR, Toll-like receptor; TGF, transforming growth factor; NF-κb, nuclear factor kappa-B; BW, body weight; Cr, creatinine; HDL, high-density lipoprotein; LDL, low-density lipoprotein; SOD, superoxide dismutase; MDA, malondialdehyde; STZ, streptozotocin; GTT, glucose tolerance test; GHb, glycosylated hemoglobin b.

Quality of the included studies

As shown in Fig. 3, the quality of the articles was evaluated strictly according to the aforementioned criteria. The Jadad score results ranged from 5-7 points. One study (29) received 5 points, 2 studies (18,20) received 6 points, and 5 studies (19,21,30-32) received 7 points each (Table III). In all the included studies, animals were grouped using a randomized method. All studies demonstrated baseline characteristics between the APS groups and the DN group. The experimental setting was identical, and none of the studies described whether the distribution of different groups was adequately masked. In addition, whether or not the grouping and setting of animals conformed to the principle of randomization was also considered in the present study. Furthermore, all 8 articles were randomized and described results with complete data, and no selective reporting bias was observed. No other sources of bias were identified in the present meta-analysis (Fig. 3).

Figure 3

Risk of bias graph.

Table III

Jadad Score of the Effects of Astragalus polysaccharides on diabetic nephropathy regarding the enrolled studies.

Table III

Jadad Score of the Effects of Astragalus polysaccharides on diabetic nephropathy regarding the enrolled studies.

Study IDRandomized groupingAllocation concealmentBaseline characteristicsIdentical settingTotal score
Chen et al, 202321116
Liu et al, 202321227
Meng et al, 202022217
Zhang et al, 200721216
Peng et al, 202022217
Guo et al, 202322217
Wu et al, 202321227
Mao et al, 201021115
Primary outcomes. Effect of APS intervention on FBG

All 8 articles presented the FBG data. In all cases, the APS intervention group led to a significant improvement in the FBG level [n=156; SMD: -4.029 (95% CI: -4.929 to -3.13), P<0.05; heterogeneity: I2=58.5%, P<0.05; Fig. 4].

Figure 4

Forest plot: The effect of Astragalus polysaccharide on fasting blood glucose level. SMD, standardized mean difference; CI, confidence interval.

Effect of APS intervention on Cr. All 8 articles presented the Cr data, and the results of all these studies revealed that the APS intervention group led to a significant improvement in the Cr level [n=156; SMD: -5.037 (95% CI: -6.353 to -4.26), P<0.05; heterogeneity: I2=53%, P<0.01; Fig. 5].

Figure 5

Forest plot: The effect of Astragalus polysaccharide on creatinine. SMD, standardized mean difference; CI, confidence interval.

Effect of APS intervention on BUN. All 8 articles presented the BUN data, and the results of all these studies showed that the APS intervention group led to a significant improvement in the BUN level [n=156, SMD: -3.13 (95% CI: -3.954 to -2.306), P<0.01; heterogeneity: I2=63.4%, P<0.01; Fig. 6].

Figure 6

Forest plot: The effect of Astragalus polysaccharide on blood urea nitrogen. SMD, standardized mean difference; CI, confidence interval.

Effect of APS intervention on Upro. All 8 articles presented the Upro data, and the results of all these studies demonstrated that the APS intervention group led to a significant improvement in the Upro level [n=156; SMD: -3.241 (95% CI: -4.479 to -2.003), P<0.01; heterogeneity: I2=84.2%, P<0.01; Fig. 7].

Figure 7

Forest plot: The effect of Astragalus polysaccharide on urine protein. SMD, standardized mean difference; CI, confidence interval.

Effect of APS intervention on KI. Usually, the kidney-to-body weight ratio remains relatively stable (33). An increase in the level of KI is indicative of edema, congestion or hypertrophy in the kidney tissue, whereas a decrease in KI suggests the presence of degenerative changes, such as renal atrophy (34). Data on KI were provided in all studies. The KI increased in the DN model in the 6 relevant articles, and the results identified that APS treatment led to an improvement in the KI level [n=120; SMD: 3.956 (95% CI: 5.825 to 2.087), P<0.01; heterogeneity: I2=88.3%, P<0.01; Fig. 8A]. The KI was found to decrease in the remaining 2 articles that described a DN model, and the results showed that APS treatment led to an improvement in the KI level [n=36; SMD: 1.058 (95% CI: 0.445 1.870), P<0.05; heterogeneity: I2=0%, P>0.01; Fig. 8B]. Considered overall, APS treatment led to an improvement in the KI level of the DN groups.

Figure 8

Forest plot: the effect of Astragalus polysaccharide on (A) an increase of KI in the DN model, (B) a decrease of KI in the DN model. KI, kidney to body weight ratio; DN, diabetic nephropathy; SMD, standardized mean difference; CI, confidence interval.

Secondary outcomes. Effect of APS intervention on BW

The indicator of BW was provided in 6 of the articles, which all described a decrease in the BW in the DN model, and the data indicated that APS intervention led to an improvement in the BW level compared with the model group [n=118; SMD: 2.361 (95% CI: 1.545-3.178), P<0.05; heterogeneity: I2=61.4%, P<0.01; Fig. 9].

Figure 9

Forest plot: The effect of Astragalus polysaccharide on body weight. SMD, standardized mean difference; CI, confidence interval.

Effect of APS intervention on total cholesterol (TC). Only 3 articles employed TC as an outcome index. The studies showed a TC increase in the DN model groups, whereas APS intervention groups could improve the TC level (P<0.05). [n=70; SMD: -4.832 (95% CI: -7.394 to -2.27), P<0.01; heterogeneity: I2=83.8%, P<0.01; Fig. 10].

Figure 10

Forest plot: The effect of Astragalus polysaccharide on total cholesterol. SMD, standardized mean difference; CI, confidence interval.

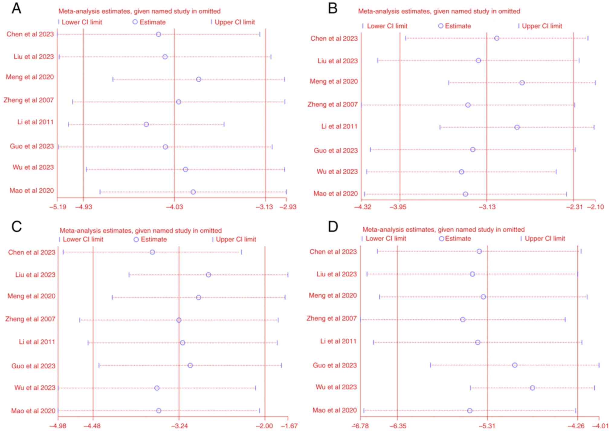
Sensitivity and subgroup analysis

The sensitivity of FBG, BUN, Cr and Upro was subsequently analyzed. After sequentially excluding each study from the meta-analysis, no significant difference was observed between the pre-sensitivity and post-pooled effects of FBG, BUN, Cr and Upro (Fig. 11). Due to the high heterogeneity of each study, FBG, Cr, BUN, Upro and other indicators associated with animal species, the type of DN modeling method, treatment time and APS dose were evaluated. These analyses revealed that the DN modeling method, animal species and APS dose may have provided the source of heterogeneity in FBG and BUN, whereas the DN modeling method and animal species may have provided the source of heterogeneity in Upro and Cr.

Figure 11

Sensitivity analysis for (A) fasting blood glucose, (B) blood urea nitrogen, (C) urine protein and (D) creatinine. CI, confidence interval.

Publication bias

The results obtained showed that the publication bias of FBG, Cr, BUN and Upro was statistically significant (P<0.05). The findings also revealed that data from the missing studies did not change the size of the overall combined effect size. The publication bias details are shown in Fig. 12.

Figure 12

The publication bias analysis for (A) fasting blood glucose, (B) blood urea nitrogen, (C) urine protein and (D) creatinine. SMD, standardized mean difference.

Discussion

Effectiveness summary of APS treatment for DN. The present systematic review and meta-analysis of 8 preclinical studies revealed that APS plays a beneficial role in DN treatment, particularly in improving glucose intolerance and alleviating pathological renal damage. Since HbA1c is influenced by multiple factors such as diet, exercise and different antidiabetic medications in patients, including it would impede isolating and accurately assessing APS's independent impact on kidney damage. The selected indicators (renal function: BUN, Cr, Upro, KI; inflammatory: TNF-α, IL 6; endocrine: FBG; risk factors: TG, TC) were chosen due to their mention in all included literature, facilitating subsequent data analysis. The analyzed data showed that APS treatment improves these indicators and reduces the risk factors. Subgroup analysis indicated that study heterogeneity may arise from animal species, DN modeling protocols and APS dose. Moreover, sensitivity analysis suggests that any publication bias of BUN, FBG, Cr and Upro does not affect result stability. Furthermore, the highest dose group was selected for meta-analysis as it is more likely to manifest the maximal therapeutic effect, clarifying the drug's upper limit of efficacy in treating diabetic kidney damage. Future study will explore other doses, conducting a detailed dose-response analysis for a comprehensive understanding of the optimal dosing strategy.

Summary of the potential mechanisms of APS treatment of DN

The analysis of the included studies demonstrated the potential primary mechanisms of APS treatment on DN (Fig. 13).

Figure 13

Mechanisms of APS in the treatment of diabetic nephropathy. APS, Astragalus polysaccharides.

Anti-fibrotic and autophagy promotion. Renal interstitial fibrosis is the eventual result of all progressive chronic kidney diseases that lead to end-stage renal disease (35). APS treatment is known to promote autophagy via reducing the protein levels of p62 and mammalian target of rapamycin, while promoting the microtubule-associated protein light chain 3 I/II ratio. Furthermore, APS has been shown to reduce fibrosis by downregulating the expression levels of fibronectin, collagen IV and transforming growth factor-β (TGF-β) (18). The activation of the advanced glycation end products pathway in advanced diabetes mellitus has been identified to be closely associated with the occurrence of DN (36), and activation of AGE receptor can induce activation of the PI3K-Akt, TGF-β/Smad and NF-κB signaling pathways, among others (37). APS was also shown to reduce the expression of the inflammatory factors IL-1β, IL-6 and monocyte chemoattractant protein 1 in DN rats, to inhibit the activity of the Toll-like receptor 4 (TLR4)/NF-κB pathway, and to significantly alleviate kidney injury (21). The PI3K-Akt signaling pathway is involved in multiple cellular processes, including cell proliferation, migration, adhesion and survival (38). APS treatment also has been revealed to decrease the levels of serum inflammatory factors, and to increase the extent of apoptosis of glomerular cells in DN rats, which is associated with inhibition of the PI3K/Akt signaling pathway (32). Ski-related protein N functions as a primary nuclear transcriptional suppressor in the TGF-β/Smad pathway (39). APS treatment has also been shown to influence the TGF-β/Smad signaling pathway, leading to the protection of renal function (19). Activation of aldose reductase can trigger the activation of protein kinase C, mitogen-activated protein kinase, and other signaling pathways, resulting in the overexpression of TGF-β, TNF-α and other cytokines, leading to a variety of pathophysiological chain reactions associated with DN (40).

The relief of inflammation. The chemokines and cytokines that participate in inflammatory processes have been shown to be closely associated with the occurrence and development of DN (41). NF-κB is a downstream effector of the TLR4 signaling pathway that mediates various inflammatory processes (42). APS has been demonstrated to ameliorate DN renal injury through inhibiting the TLR4/NF-κB signaling pathway, and thereby alleviating the inflammatory response. In addition, APS treatment was also found to increase the expression of IκB mRNA and decrease the level of NF-κB mRNA in the renal cortex (20).

The relief of oxidative stress. Oxidative stress is one of the most important factors in the occurrence and development of DN (43). AMP-activated protein kinase (AMPK), as a metabolic regulator and energy sensor, has an important role in the entire pathophysiological process of DN (44). It has been reported that AMPK can affect the expression and phosphorylation process of peroxisome proliferator-activated receptor gamma coactivator 1α, thereby influencing the production of cell energy (45). APS treatment has been revealed to downregulate the AMPK/SIRT1/FOXO1 signaling pathway in DN rats, and to activate autophagy, inhibit oxidative stress and alleviate kidney injury (30).

Limitations and considerations. In general, demonstrating the effects of therapeutic drugs through performing animal experiments is an important requirement in the preclinical research and development of new drugs. However, problems with preclinical animal studies may arise from a high risk of experimental bias and the low reproducibility of results. These lead to low success rates for the development of safe and effective drugs in clinical trials (46). Along these lines, the systematic evaluation of the present study has the following shortcomings. First, only 8 high-quality studies were identified and screened, which may inevitably lead to a bias. Secondly, the data extracted from certain of these articles were obtained indirectly through data extraction software, which may have led to measurement bias. Thirdly, the high heterogeneity of the FBG, BUN, Cr, Upro and KI values cannot be ignored in spite of the subgroup analysis. This heterogeneity may have caused the calculated results to differ from the actual values. The current experimental conclusions are mainly based on male animals, and the lack of female mice is a limitation, thus their applicability to females remains uncertain until further studies with female subjects are conducted. While suggesting APS could improve DN potentially via relieving inflammatory responses and attenuating the TLR4/NF-κB signaling pathway, it is acknowledged that basing the current findings on only male mice is a limitation as sex differences may influence these mechanisms, warranting future studies with female mice for a more comprehensive understanding.

In conclusion, the data obtained to date have suggested that treatment with APS leads to improvements in renal function and proteinuria in DN animal models, and that this has a role in reducing the burden of renal dysfunction secondary to diabetes. According to our data, the protective mechanisms of APS on DN may be associated with improving the inflammatory status, fibrosis degree and oxidative stress status of DN model animals. In order to more accurately evaluate the DN efficacy and safety of APS, however, larger and more long-term studies of higher quality are required to confirm these findings prior to clinical application.

Acknowledgements

Not applicable.

Funding

Funding: The present study was supported by the Chongqing Medical Scientific Research project (Joint project of Chongqing Health Commission and Science and Technology Bureau) of China (grant no. 2025ZYYB004)

Availability of data and materials

The data generated in the present study may be requested from the corresponding author.

Authors' contributions

YH curated data and wrote the original draft. YH and SL confirm the authenticity of all the raw data. WJZ, ZCY, QW, SL and MMQ performed literature review, data analyses and manuscript revision. All authors read and approved the final version of the manuscript.

Ethics approval and consent to participate

Not applicable.

Patient consent for publication

Not applicable.

Competing interests

The authors declare that they have no competing interests.

References

1 

Sun H, Saeedi P, Karuranga S, Pinkepank M, Ogurtsova K, Duncan BB, Stein C, Basit A, Chan JCN, Mbanya JC, et al: IDF diabetes atlas: Global, regional and country-level diabetes prevalence estimates for 2021 and projections for 2045. Diabetes Res Clin Pract. 183(109119)2022.PubMed/NCBI View Article : Google Scholar

2 

Papatheodorou K, Papanas N, Banach M, Papazoglou D and Edmonds M: Complications of diabetes 2016. J Diabetes Res. 2016(6989453)2016.PubMed/NCBI View Article : Google Scholar

3 

Lotfy M, Adeghate J, Kalasz H, Singh J and Adeghate E: Chronic complications of diabetes mellitus: A mini review. Curr Diabetes Rev. 13:3–10. 2017.PubMed/NCBI View Article : Google Scholar

4 

Mariye Zemicheal T, Bahrey Tadesse D, Tasew Atalay H, Teklay Weldesamuel G, Gebremichael GB, Tesfay HN and Haile TG: Determinants of diabetic nephropathy among diabetic patients in general public hospitals of tigray, ethiopia, 2018/19. Int J Endocrinol. 2020(6396483)2020.PubMed/NCBI View Article : Google Scholar

5 

Nagib AM, Elsayed Matter Y, Gheith OA, Refaie AF, Othman NF and Al-Otaibi T: diabetic nephropathy following posttransplant diabetes mellitus. Exp Clin Transplant. 17:138–146. 2019.PubMed/NCBI View Article : Google Scholar

6 

Koye DN, Magliano DJ, Nelson RG and Pavkov ME: The global epidemiology of diabetes and kidney disease. Adv Chronic Kidney Dis. 25:121–132. 2018.PubMed/NCBI View Article : Google Scholar

7 

Rao Kondapally Seshasai S, Kaptoge S, Thompson A, Di Angelantonio E, Gao P, Sarwar N, Whincup PH, Mukamal KJ, Gillum RF, Holme I, et al: Diabetes mellitus, fasting glucose, and risk of cause-specific death. N Engl J Med. 364:829–841. 2011.PubMed/NCBI View Article : Google Scholar

8 

Yamout H, Lazich I and Bakris GL: Blood pressure, hypertension, RAAS blockade, and drug therapy in diabetic kidney disease. Adv Chronic Kidney Dis. 21:281–286. 2014.PubMed/NCBI View Article : Google Scholar

9 

Doulton TW: ACE inhibitor-angiotensin receptor blocker combinations: A clinician's perspective. Mini Rev Med Chem. 6:491–497. 2006.PubMed/NCBI View Article : Google Scholar

10 

Forclaz A, Maillard M, Nussberger J, Brunner HR and Burnier M: Angiotensin II receptor blockade: Is there truly a benefit of adding an ACE inhibitor? Hypertension. 41:31–36. 2003.PubMed/NCBI View Article : Google Scholar

11 

Newman DJ and Cragg GM: Natural products as sources of new drugs from 1981 to 2014. J Nat Prod. 79:629–661. 2016.PubMed/NCBI View Article : Google Scholar

12 

Shen MR, He Y and Shi SM: Development of chromatographic technologies for the quality control of traditional Chinese medicine in the Chinese pharmacopoeia. J Pharm Anal. 11:155–162. 2021.PubMed/NCBI View Article : Google Scholar

13 

Song Y, Yang J, Bai WL and Ji WY: Antitumor and immunoregulatory effects of Astragalus on nasopharyngeal carcinoma in vivo and in vitro. Phytother Res. 25:909–915. 2011.PubMed/NCBI View Article : Google Scholar

14 

Song J, Li J, Zheng SR, Jin Y and Huang Y: Anti-inflammatory and immunoregulatory effects of Yupingfeng powder on chronic bronchitis rats. Chin J Integr Med. 19:353–359. 2013.PubMed/NCBI View Article : Google Scholar

15 

Qin Q, Niu J, Wang Z, Xu W, Qiao Z and Gu Y: Astragalus embranaceus extract activates immune response in macrophages via heparanase. Molecules. 17:7232–7240. 2012.PubMed/NCBI View Article : Google Scholar

16 

Jung Y, Jerng U and Lee S: A systematic review of anticancer effects of radix astragali. Chin J Integr Med. 22:225–236. 2016.PubMed/NCBI View Article : Google Scholar

17 

Jin M, Zhao K, Huang Q and Shang P: Structural features and biological activities of the polysaccharides from Astragalus membranaceus. Int J Biol Macromol. 64:257–266. 2014.PubMed/NCBI View Article : Google Scholar

18 

Chen Z, Liang H, Yan X, Liang Q, Bai Z, Xie T, Dai J, Zhao X and Xiao Y: Astragalus polysaccharide promotes autophagy and alleviates diabetic nephropathy by targeting the lncRNA Gm41268/PRLR pathway. Ren Fail. 45(2284211)2023.PubMed/NCBI View Article : Google Scholar

19 

Meng X, Wei M, Wang D, Qu X, Zhang K, Zhang N and Li X: Astragalus polysaccharides protect renal function and affect the TGF-β/Smad signaling pathway in streptozotocin-induced diabetic rats. J Int Med Res. 48(300060520903612)2020.PubMed/NCBI View Article : Google Scholar

20 

Zhang YW, Wu CY and Cheng JT: Merit of Astragalus polysaccharide in the improvement of early diabetic nephropathy with an effect on mRNA expressions of NF-kappaB and IkappaB in renal cortex of streptozotoxin-induced diabetic rats. J Ethnopharmacol. 114:387–392. 2007.PubMed/NCBI View Article : Google Scholar

21 

Guo M, Gao J, Jiang L and Dai Y: Astragalus polysaccharide ameliorates renal inflammatory responses in a diabetic nephropathy by suppressing the TLR4/NF-κB pathway. Drug Des Devel Ther. 17:2107–2118. 2023.PubMed/NCBI View Article : Google Scholar

22 

Siddaway AP, Wood AM and Hedges LV: How to do a systematic review: A best practice guide for conducting and reporting narrative reviews, meta-analyses, and meta-syntheses. Annu Rev Psychol. 70:747–770. 2019.PubMed/NCBI View Article : Google Scholar

23 

Levy N: The use of animal as models: Ethical considerations. Int J Stroke. 7:440–442. 2012.PubMed/NCBI View Article : Google Scholar

24 

Ioannidis JP, Greenland S, Hlatky MA, Khoury MJ, Macleod MR, Moher D, Schulz KF and Tibshirani R: Increasing value and reducing waste in research design, conduct, and analysis. Lancet. 383:166–175. 2014.PubMed/NCBI View Article : Google Scholar

25 

Page MJ, McKenzie JE, Bossuyt PM, Boutron I, Hoffmann TC, Mulrow CD, Shamseer L, Tetzlaff JM, Akl EA, Brennan SE, et al: The PRISMA 2020 statement: An updated guideline for reporting systematic reviews. BMJ. 372(n71)2021.PubMed/NCBI View Article : Google Scholar

26 

Sandercock G: The standard error/standard deviation mix-up: Potential impacts on meta-analyses in sports medicine. Sports Med. 54:1723–1732. 2024.PubMed/NCBI View Article : Google Scholar

27 

Hooijmans CR, Rovers MM, de Vries RB, Leenaars M, Ritskes-Hoitinga M and Langendam MW: SYRCLE's risk of bias tool for animal studies. BMC Med Res Methodol. 14(43)2014.PubMed/NCBI View Article : Google Scholar

28 

Wong MCS, Chan CH, Lin J, Huang JLW, Huang J, Fang Y, Cheung WWL, Yu CP, Wong JCT, Tse G, et al: Lower relative contribution of positive family history to colorectal cancer risk with increasing age: A systematic review and meta-analysis of 9.28 million individuals. Am J Gastroenterol. 113:1819–1827. 2018.PubMed/NCBI View Article : Google Scholar

29 

Mao SM, Li CD, Li JJ and Kang B: Effect of Astragalus polysaccharide on expression of aquaporin-2 in kidney of diabetic rats and its protective effect on kidney. Chin J Geriatr. 30:2301–2303. 2010.(In Chinese).

30 

Liu XF, Feng J, Wang SJ and Zuo H: Effect and mechanism of Astragalus polysaccharide on oxidative stress and autophagy in diabetic nephropathy rats. J Shanxi Med Univ. 54:343–351. 2023.(In Chinese). doi: 10.13753/j.issn.1007-6611.2023.03.010.

31 

Li ZJ and Zhang Y, Liu YM, Lu HY, Li YL and Zhang Y: Effects of Astragalus polysaccharide on the expression of nephrin and podocin in podocytes of rats with early diabetic nephropathy. Chin J Pathophysiol. 27:1772–1776. 2011.(In Chinese). doi: 10.3969/j.issn.1000-4718.2011.09.021.

32 

Wu D, Zhang QH, He LQ and Yang SS: Astragalus polysaccharide regulates PI3K/AKT pathway to improve renal injury in diabetic rats. Biotechnology. 1–7. 2023.(In Chinese). https://link.cnki.net/urlid/23.1319.Q.20240306.1042.004.

33 

Feng H, Wu T, Zhou Q, Li H, Liu T, Ma X and Yue R: Protective effect and possible mechanisms of artemisinin and its derivatives for diabetic nephropathy: A systematic review and meta-analysis in animal models. Oxid Med Cell Longev. 2022(5401760)2022.PubMed/NCBI View Article : Google Scholar

34 

Zhang Z, Zhao H, Ge D, Wang S and Qi B: β-casomorphin-7 ameliorates sepsis-induced acute kidney injury by targeting NF-κB pathway. Med Sci Monit. 25:121–127. 2019.PubMed/NCBI View Article : Google Scholar

35 

Livingston MJ, Ding HF, Huang S, Hill JA, Yin XM and Dong Z: Persistent activation of autophagy in kidney tubular cells promotes renal interstitial fibrosis during unilateral ureteral obstruction. Autophagy. 12:976–998. 2016.PubMed/NCBI View Article : Google Scholar

36 

Kay AM, Simpson CL and Stewart JA Jr: The role of AGE/RAGE signaling in diabetes-mediated vascular calcification. J Diabetes Res. 2016(6809703)2016.PubMed/NCBI View Article : Google Scholar

37 

Sanajou D, Ghorbani Haghjo A, Argani H and Aslani S: AGE-RAGE axis blockade in diabetic nephropathy: Current status and future directions. Eur J Pharmacol. 833:158–164. 2018.PubMed/NCBI View Article : Google Scholar

38 

Bai C, Sun Y, Pan X, Yang J, Li X, Wu A, Qin D, Cao S, Zou W and Wu J: Antitumor effects of trimethylellagic acid isolated from sanguisorba officinalis L. on colorectal cancer via angiogenesis inhibition and apoptosis induction. Front Pharmacol. 10(1646)2020.PubMed/NCBI View Article : Google Scholar

39 

Sarker KP, Wilson SM and Bonni S: SnoN is a cell type-specific mediator of transforming growth factor-beta responses. J Biol Chem. 280:13037–13046. 2005.PubMed/NCBI View Article : Google Scholar

40 

Price SA, Agthong S, Middlemas AB and Tomlinson DR: Mitogen-activated protein kinase p38 mediates reduced nerve conduction velocity in experimental diabetic neuropathy: Interactions with aldose reductase. Diabetes. 53:1851–1856. 2004.PubMed/NCBI View Article : Google Scholar

41 

Rivero A, Mora C, Muros M, García J, Herrera H and Navarro-González JF: Pathogenic perspectives for the role of inflammation in diabetic nephropathy. Clin Sci (Lond). 116:479–492. 2009.PubMed/NCBI View Article : Google Scholar

42 

Navarro-González JF, Mora-Fernández C, Muros de Fuentes M and García-Pérez J: Inflammatory molecules and pathways in the pathogenesis of diabetic nephropathy. Nat Rev Nephrol. 7:327–340. 2011.PubMed/NCBI View Article : Google Scholar

43 

Liu L, Zheng T, Wang F, Wang N, Song Y, Li M, Li L, Jiang J and Zhao W: Pro12Ala polymorphism in the PPARG gene contributes to the development of diabetic nephropathy in Chinese type 2 diabetic patients. Diabetes Care. 33:144–149. 2010.PubMed/NCBI View Article : Google Scholar

44 

Dugan LL, You YH, Ali SS, Diamond-Stanic M, Miyamoto S, DeCleves AE, Andreyev A, Quach T, Ly S, Shekhtman G, et al: AMPK dysregulation promotes diabetes-related reduction of superoxide and mitochondrial function. J Clin Invest. 123:4888–4899. 2013.PubMed/NCBI View Article : Google Scholar

45 

Jäger S, Handschin C, St-Pierre J and Spiegelman BM: AMP-activated protein kinase (AMPK) action in skeletal muscle via direct phosphorylation of PGC-1alpha. Proc Natl Acad Sci USA. 104:12017–12022. 2007.PubMed/NCBI View Article : Google Scholar

46 

Perrin S: Preclinical research: Make mouse studies work. Nature. 507:423–425. 2014.PubMed/NCBI View Article : Google Scholar

Related Articles

  • Abstract
  • View
  • Download
  • Twitter
Copy and paste a formatted citation
Spandidos Publications style
He Y, Zhao W, Yang Z, Qin M, Wang Q and Lin S: Protective effect of <em>Astragalus</em> polysaccharide on diabetic nephropathy: A systematic review and meta‑analysis reveals the efficacy and potential mechanisms. Biomed Rep 22: 85, 2025.
APA
He, Y., Zhao, W., Yang, Z., Qin, M., Wang, Q., & Lin, S. (2025). Protective effect of <em>Astragalus</em> polysaccharide on diabetic nephropathy: A systematic review and meta‑analysis reveals the efficacy and potential mechanisms. Biomedical Reports, 22, 85. https://doi.org/10.3892/br.2025.1963
MLA
He, Y., Zhao, W., Yang, Z., Qin, M., Wang, Q., Lin, S."Protective effect of <em>Astragalus</em> polysaccharide on diabetic nephropathy: A systematic review and meta‑analysis reveals the efficacy and potential mechanisms". Biomedical Reports 22.5 (2025): 85.
Chicago
He, Y., Zhao, W., Yang, Z., Qin, M., Wang, Q., Lin, S."Protective effect of <em>Astragalus</em> polysaccharide on diabetic nephropathy: A systematic review and meta‑analysis reveals the efficacy and potential mechanisms". Biomedical Reports 22, no. 5 (2025): 85. https://doi.org/10.3892/br.2025.1963
Copy and paste a formatted citation
x
Spandidos Publications style
He Y, Zhao W, Yang Z, Qin M, Wang Q and Lin S: Protective effect of <em>Astragalus</em> polysaccharide on diabetic nephropathy: A systematic review and meta‑analysis reveals the efficacy and potential mechanisms. Biomed Rep 22: 85, 2025.
APA
He, Y., Zhao, W., Yang, Z., Qin, M., Wang, Q., & Lin, S. (2025). Protective effect of <em>Astragalus</em> polysaccharide on diabetic nephropathy: A systematic review and meta‑analysis reveals the efficacy and potential mechanisms. Biomedical Reports, 22, 85. https://doi.org/10.3892/br.2025.1963
MLA
He, Y., Zhao, W., Yang, Z., Qin, M., Wang, Q., Lin, S."Protective effect of <em>Astragalus</em> polysaccharide on diabetic nephropathy: A systematic review and meta‑analysis reveals the efficacy and potential mechanisms". Biomedical Reports 22.5 (2025): 85.
Chicago
He, Y., Zhao, W., Yang, Z., Qin, M., Wang, Q., Lin, S."Protective effect of <em>Astragalus</em> polysaccharide on diabetic nephropathy: A systematic review and meta‑analysis reveals the efficacy and potential mechanisms". Biomedical Reports 22, no. 5 (2025): 85. https://doi.org/10.3892/br.2025.1963
Follow us
  • Twitter
  • LinkedIn
  • Facebook
About
  • Spandidos Publications
  • Careers
  • Cookie Policy
  • Privacy Policy
How can we help?
  • Help
  • Live Chat
  • Contact
  • Email to our Support Team