Spandidos Publications Logo
  • About
    • About Spandidos
    • Aims and Scopes
    • Abstracting and Indexing
    • Editorial Policies
    • Reprints and Permissions
    • Job Opportunities
    • Terms and Conditions
    • Contact
  • Journals
    • All Journals
    • Oncology Letters
      • Oncology Letters
      • Information for Authors
      • Editorial Policies
      • Editorial Board
      • Aims and Scope
      • Abstracting and Indexing
      • Bibliographic Information
      • Archive
    • International Journal of Oncology
      • International Journal of Oncology
      • Information for Authors
      • Editorial Policies
      • Editorial Board
      • Aims and Scope
      • Abstracting and Indexing
      • Bibliographic Information
      • Archive
    • Molecular and Clinical Oncology
      • Molecular and Clinical Oncology
      • Information for Authors
      • Editorial Policies
      • Editorial Board
      • Aims and Scope
      • Abstracting and Indexing
      • Bibliographic Information
      • Archive
    • Experimental and Therapeutic Medicine
      • Experimental and Therapeutic Medicine
      • Information for Authors
      • Editorial Policies
      • Editorial Board
      • Aims and Scope
      • Abstracting and Indexing
      • Bibliographic Information
      • Archive
    • International Journal of Molecular Medicine
      • International Journal of Molecular Medicine
      • Information for Authors
      • Editorial Policies
      • Editorial Board
      • Aims and Scope
      • Abstracting and Indexing
      • Bibliographic Information
      • Archive
    • Biomedical Reports
      • Biomedical Reports
      • Information for Authors
      • Editorial Policies
      • Editorial Board
      • Aims and Scope
      • Abstracting and Indexing
      • Bibliographic Information
      • Archive
    • Oncology Reports
      • Oncology Reports
      • Information for Authors
      • Editorial Policies
      • Editorial Board
      • Aims and Scope
      • Abstracting and Indexing
      • Bibliographic Information
      • Archive
    • Molecular Medicine Reports
      • Molecular Medicine Reports
      • Information for Authors
      • Editorial Policies
      • Editorial Board
      • Aims and Scope
      • Abstracting and Indexing
      • Bibliographic Information
      • Archive
    • World Academy of Sciences Journal
      • World Academy of Sciences Journal
      • Information for Authors
      • Editorial Policies
      • Editorial Board
      • Aims and Scope
      • Abstracting and Indexing
      • Bibliographic Information
      • Archive
    • International Journal of Functional Nutrition
      • International Journal of Functional Nutrition
      • Information for Authors
      • Editorial Policies
      • Editorial Board
      • Aims and Scope
      • Abstracting and Indexing
      • Bibliographic Information
      • Archive
    • International Journal of Epigenetics
      • International Journal of Epigenetics
      • Information for Authors
      • Editorial Policies
      • Editorial Board
      • Aims and Scope
      • Abstracting and Indexing
      • Bibliographic Information
      • Archive
    • Medicine International
      • Medicine International
      • Information for Authors
      • Editorial Policies
      • Editorial Board
      • Aims and Scope
      • Abstracting and Indexing
      • Bibliographic Information
      • Archive
  • Articles
  • Information
    • Information for Authors
    • Information for Reviewers
    • Information for Librarians
    • Information for Advertisers
    • Conferences
  • Language Editing
Spandidos Publications Logo
  • About
    • About Spandidos
    • Aims and Scopes
    • Abstracting and Indexing
    • Editorial Policies
    • Reprints and Permissions
    • Job Opportunities
    • Terms and Conditions
    • Contact
  • Journals
    • All Journals
    • Biomedical Reports
      • Information for Authors
      • Editorial Policies
      • Editorial Board
      • Aims and Scope
      • Abstracting and Indexing
      • Bibliographic Information
      • Archive
    • Experimental and Therapeutic Medicine
      • Information for Authors
      • Editorial Policies
      • Editorial Board
      • Aims and Scope
      • Abstracting and Indexing
      • Bibliographic Information
      • Archive
    • International Journal of Epigenetics
      • Information for Authors
      • Editorial Policies
      • Editorial Board
      • Aims and Scope
      • Abstracting and Indexing
      • Bibliographic Information
      • Archive
    • International Journal of Functional Nutrition
      • Information for Authors
      • Editorial Policies
      • Editorial Board
      • Aims and Scope
      • Abstracting and Indexing
      • Bibliographic Information
      • Archive
    • International Journal of Molecular Medicine
      • Information for Authors
      • Editorial Policies
      • Editorial Board
      • Aims and Scope
      • Abstracting and Indexing
      • Bibliographic Information
      • Archive
    • International Journal of Oncology
      • Information for Authors
      • Editorial Policies
      • Editorial Board
      • Aims and Scope
      • Abstracting and Indexing
      • Bibliographic Information
      • Archive
    • Medicine International
      • Information for Authors
      • Editorial Policies
      • Editorial Board
      • Aims and Scope
      • Abstracting and Indexing
      • Bibliographic Information
      • Archive
    • Molecular and Clinical Oncology
      • Information for Authors
      • Editorial Policies
      • Editorial Board
      • Aims and Scope
      • Abstracting and Indexing
      • Bibliographic Information
      • Archive
    • Molecular Medicine Reports
      • Information for Authors
      • Editorial Policies
      • Editorial Board
      • Aims and Scope
      • Abstracting and Indexing
      • Bibliographic Information
      • Archive
    • Oncology Letters
      • Information for Authors
      • Editorial Policies
      • Editorial Board
      • Aims and Scope
      • Abstracting and Indexing
      • Bibliographic Information
      • Archive
    • Oncology Reports
      • Information for Authors
      • Editorial Policies
      • Editorial Board
      • Aims and Scope
      • Abstracting and Indexing
      • Bibliographic Information
      • Archive
    • World Academy of Sciences Journal
      • Information for Authors
      • Editorial Policies
      • Editorial Board
      • Aims and Scope
      • Abstracting and Indexing
      • Bibliographic Information
      • Archive
  • Articles
  • Information
    • For Authors
    • For Reviewers
    • For Librarians
    • For Advertisers
    • Conferences
  • Language Editing
Login Register Submit
  • This site uses cookies
  • You can change your cookie settings at any time by following the instructions in our Cookie Policy. To find out more, you may read our Privacy Policy.

    I agree
Search articles by DOI, keyword, author or affiliation
Search
Advanced Search
presentation
Biomedical Reports
Join Editorial Board Propose a Special Issue
Print ISSN: 2049-9434 Online ISSN: 2049-9442
Journal Cover
September-2025 Volume 23 Issue 3

Full Size Image

Sign up for eToc alerts
Recommend to Library

Journals

International Journal of Molecular Medicine

International Journal of Molecular Medicine

International Journal of Molecular Medicine is an international journal devoted to molecular mechanisms of human disease.

International Journal of Oncology

International Journal of Oncology

International Journal of Oncology is an international journal devoted to oncology research and cancer treatment.

Molecular Medicine Reports

Molecular Medicine Reports

Covers molecular medicine topics such as pharmacology, pathology, genetics, neuroscience, infectious diseases, molecular cardiology, and molecular surgery.

Oncology Reports

Oncology Reports

Oncology Reports is an international journal devoted to fundamental and applied research in Oncology.

Experimental and Therapeutic Medicine

Experimental and Therapeutic Medicine

Experimental and Therapeutic Medicine is an international journal devoted to laboratory and clinical medicine.

Oncology Letters

Oncology Letters

Oncology Letters is an international journal devoted to Experimental and Clinical Oncology.

Biomedical Reports

Biomedical Reports

Explores a wide range of biological and medical fields, including pharmacology, genetics, microbiology, neuroscience, and molecular cardiology.

Molecular and Clinical Oncology

Molecular and Clinical Oncology

International journal addressing all aspects of oncology research, from tumorigenesis and oncogenes to chemotherapy and metastasis.

World Academy of Sciences Journal

World Academy of Sciences Journal

Multidisciplinary open-access journal spanning biochemistry, genetics, neuroscience, environmental health, and synthetic biology.

International Journal of Functional Nutrition

International Journal of Functional Nutrition

Open-access journal combining biochemistry, pharmacology, immunology, and genetics to advance health through functional nutrition.

International Journal of Epigenetics

International Journal of Epigenetics

Publishes open-access research on using epigenetics to advance understanding and treatment of human disease.

Medicine International

Medicine International

An International Open Access Journal Devoted to General Medicine.

Journal Cover
September-2025 Volume 23 Issue 3

Full Size Image

Sign up for eToc alerts
Recommend to Library

  • Article
  • Citations
    • Cite This Article
    • Download Citation
    • Create Citation Alert
    • Remove Citation Alert
    • Cited By
  • Similar Articles
    • Related Articles (in Spandidos Publications)
    • Similar Articles (Google Scholar)
    • Similar Articles (PubMed)
  • Download PDF
  • Download XML
  • View XML
Article Open Access

TiO2 NPs improve ultrasound response: CS/β‑GP/TiO2 NP hydrogel enabling on‑demand administration

  • Authors:
    • Yue Zhou
    • Yi-Ran Yao
    • Yan Xu
    • Xin Rong
    • Yue-Feng Qiu
    • Ting-Yue Qi
  • View Affiliations / Copyright

    Affiliations: Department of Ultrasound, Medical Imaging Center, Affiliated Hospital of Yangzhou University, Yangzhou University, Yangzhou, Jiangsu 225012, P.R. China, Department of Ultrasound, Medical Imaging Center, Affiliated Hospital of Yangzhou University, Yangzhou University, Yangzhou, Jiangsu 225012, P.R. China, College of Chemical Engineering, Nanjing Tech University, Nanjing, Jiangsu 211816, P.R. China
    Copyright: © Zhou et al. This is an open access article distributed under the terms of Creative Commons Attribution License.
  • Article Number: 142
    |
    Published online on: June 17, 2025
       https://doi.org/10.3892/br.2025.2020
  • Expand metrics +
Metrics: Total Views: 0 (Spandidos Publications: | PMC Statistics: )
Metrics: Total PDF Downloads: 0 (Spandidos Publications: | PMC Statistics: )
Cited By (CrossRef): 0 citations Loading Articles...

This article is mentioned in:



Abstract

The present study developed a novel injectable, biocompatible, and thermosensitive hydrogel system for ultrasound‑triggered drug release, using a chitosan/sodium β‑glycerophosphate/titanium dioxide nanoparticle (CS/β‑GP/TiO2 NP) composite. The inclusion of TiO2 NPs aimed to enhance ultrasound sensitivity, enabling precise therapeutic release to targeted tissues. The hydrogels displayed excellent injectability (maximum injection force <6.5 N) and gelled effectively at body temperature. Biocompatibility was confirmed through Cell Counting Kit‑8, LIVE/DEAD, and western blot assays. The present study demonstrated that hydrogels with TiO2 NPs significantly increased the release rates of sodium fluorescein and bovine serum albumin, affirming the role of TiO2 NPs as a sensitizer. This establishes the CS/β‑GP/TiO2 NP hydrogel as a promising system for ultrasound‑responsive drug delivery. Potential applications include drug delivery, tissue engineering, and wound healing, with the system offering controlled and targeted therapy under ultrasound stimulation. Future research will optimize hydrogel properties, assess in vivo performance, and evaluate long‑term stability and effectiveness in clinical settings.

Introduction

The administration of medication to patients, which often necessitates controlled and sustained delivery over predefined time intervals, is accomplished through drug delivery systems (1). In addition to minimizing dosage, such systems can reduce dosing frequency. Water-based hydrogels, characterized by low protein adhesion and a diminished propensity for inflammatory responses, have been extensively used in drug delivery systems. However, the conventional implantation of hydrogels via surgical procedures may inflict considerable trauma. Recent studies focused on the development of minimally invasive injectable hydrogels (2,3).

Medications are encapsulated within drug delivery systems and subsequently released into their pertinent matrices. Furthermore, researchers have discovered avenues to impart responsiveness to drug delivery systems, such as light stimulation (4), pH modulation (5), ultrasound activation (6), and thermal triggers (7), achieving ‘on-demand’ drug release. Compared with other stimuli, ultrasound presents the advantages of affordability, non-invasiveness, and rapid response kinetics when acting as a triggering modality. Ultrasound has been substantiated as an effective means of motivating hydrogels to release drugs and has been widely applied in various diseases, including cancer, fractures, thrombosis and infections (8).

Chitosan (CS), a natural alkaline polysaccharide, has gained extensive attention in medical research owing to its biocompatibility, biodegradability in both intra- and extracorporeal environments, and notable antibacterial properties (9). In this context, the present study delves into the ultrasonic response performance of the CS/sodium β-glycerophosphate (β-GP) composite as a model for the temperature-sensitive hydrogel. Crosslinked by physical means, this hydrogel can both possess the ability to transition from liquid states to gel states at body temperature and preserve its inherent characteristic, thus imparting ideal attributes for injectability.

A challenge in the advancement of ultrasound-responsive hydrogels lies in the fact that numerous hydrogel matrices have been regularly observed to have low ultrasound adsorption capacity, which results in diminished responsiveness to ultrasound. Researchers have explored the augmentation of hydrogel ultrasound responsiveness by incorporating sonosensitizers (6). These sonosensitizers include organic compounds such as porphyrin derivatives and phthalocyanines, as well as inorganic compounds such as calcium carbonate and titanium dioxide. However, conventional organic sonosensitizers have shortcomings such as toxicity, poor water solubility, and suboptimal utilization (10).

To address these challenges, the present study opts to add titanium dioxide nanoparticles (TiO2 NPs) as a sonosensitizer into the CS/β-GP temperature-sensitive hydrogel. The selection was based on the advantageous attributes of TiO2 NPs, including improved biocompatibility and water solubility, compared to those of traditional organic alternatives. The incorporation of this sonosensitizer was anticipated to elevate the ultrasound responsiveness of the hydrogel, and its performance was evaluated through simulated release studies involving both small- and large-molecule drugs.

Materials and methods

Materials and apparatus. Experimental materials

The following materials were used: i) CS powder (95% deacetylation degree; cat. no. C105799; Aladdin Scientific Corp.), ii) β-GP pentahydrate (cat. no. D106347; Aladdin Scientific Corp.), iii) sodium fluorescein (NaF; cat. no. F105615; Aladdin), iv) TiO2 NPs (20-40 nm; cat. no. NM000800; Beijing Solarbio Science & Technology Co., Ltd.), v) L929 murine fibroblast cells (cat. no. KGG1306-1), vi) RPMI-1640 medium (containing newborn calf serum, double antibiotics; cat. no. KGL1509-500), vii) Cell Counting Kit-8 (CCK-8) cell proliferation assay kit (cat. no. KGA9305-500), viii) LIVE/DEAD cell viability assay kit (cat. no. KGA9501-1000), ix) bovine serum albumin (BSA) (standard grade, heat-treated) (cat. no. KGL2314-10), x) bicinchoninic acid (BCA) protein quantification assay kit (cat. no. KGB2101-250), all from Jiangsu KeyGen Biotech Co., Ltd., xi) mouse anti-proliferating cell nuclear antigen (PCNA) antibody (1:1,000; cat. no. BM0104) and xii) goat anti-mouse IgG/HRP antibody (1:10,000; cat. no. BA1056) both from Boster Biological Technology Co. Ltd.

Experimental apparatus

The primary apparatus were the following: i) CO2 cell culture incubator, ii) laboratory heating magnetic stirrer, iii) Fourier-transform infrared spectrometer (Nicolet 8700; Thermo Fisher Scientific, Inc.), iv) rheometer (TA Instruments), v) inverted fluorescence microscope (Zeiss GmbH); vi) electrophoresis system, vii) blotting apparatus (Bio-Rad Laboratories, Inc.), viii) automated digital gel imaging system (Tanon GIS 2010; Tanon Science and Technology Co., Ltd.), ix) LAS X4.4.0 (Leica Microsystems GmbH), x) microplate reader (Anthos ht2; Anthos Labtec), xi) mechanical testing machine (ZwickRoell; Zwick GmbH & Co.) and xii) Vibra-CellTM ultrasonic disruptor (Sonics & Materials, Inc.).

Methods. Preparation of hydrogels

Preparation of CS solution. CS powder (95% deacetylation degree) was dissolved in an ice acetic acid solution (2% w/v concentration in 0.1 mol/l solution). The mixture was stirred at 25˚C overnight until complete dissolution. After filtration through a 150-mesh silk screen, the solution was allowed to stand and underwent high-pressure steam sterilization (151˚C for 15 min), followed by storage at 4˚C.

Preparation of β-GP solution. β-GP powder (5.6 g) was dissolved at a concentration of 56% w/v in deionized water, stirred at room temperature for 10 min until complete dissolution, and then sterilized by filtration through a 0.2-µm filter. The solution was stored at 4˚C.

Preparation of TiO2 NP solution. After 6 h of ultraviolet sterilization, the TiO2 NP powder was added to deionized water at a concentration of 1% w/v. The mixture was sonicated (the ultrasonic power was 240W) to obtain a uniform dispersion and was immediately used.

CS/β-GP/TiO2 NP hydrogel preparation. The CS solution was then stirred in an ice bath using a magnetic stirrer. The β-GP solution was added dropwise in a 9:1 ratio, followed by continuous stirring at room temperature for 10 min. Subsequently, different proportions (0, 0.5, 1, and 1.5%) of TiO2 NP solution were added dropwise to the prepared CS/β-GP solution, followed by 20 min of stirring at room temperature. The mixture was sealed and placed in a 37˚C water bath incubator to solidify for 24 h.

Chemical characterization

Fourier-transform infrared spectroscopy (FTIR) was used to analyze the formation of copolymers in the hydrogels. Hydrogels with varying contents of TiO2 NPs were prepared, and FTIR was conducted in the wavelength range of 400-4,000 cm-1 with four scans obtained per sample. The scanning resolution was set at 4 cm-1, and the scanning speed was 0.2 mm/sec.

Rheological analysis

Hydrogels with varying TiO2 NP content were analyzed using a rheometer with a cone and plate geometry featuring a cone angle of 2˚, a diameter of 20 mm, and a gap of 0.054 mm. The plate was equilibrated to the initial temperature (25˚C), and a temperature ramp test was performed in the range of 25-50˚C, for 250 min. The ramp rate was 0.1˚C/min, the frequency was 1.5 Hz, the shear strain was controlled at 1%, and the angular frequency was set to 10 rad/sec. Data were collected every second to determine solid-state transition temperatures. Cold traps were employed in all the rheometers to minimize solvent evaporation.

Injectable property of hydrogels

The injectability of the hydrogel was evaluated using a mechanical testing machine equipped with a 5 kN load cell. During the test, 10 ml of each hydrogel were loaded into a custom injection mold. The test was conducted at room temperature with a displacement of 5 mm and a crosshead speed of 30 mm/min, simulating the speed of manually injecting the hydrogel from a syringe. Each experiment was repeated three times to ensure accuracy and reliability. The load required as function of piston displacement was measured, and the average maximum force value for each composition was determined.

Assessment of hydrogel biocompatibility

Cell proliferation toxicity test (CCK-8 assay). L929 murine fibroblast cells were cultured in RPMI-1640 medium containing 10% fetal bovine serum and 1% double antibiotics, according to the manufacturer's instructions. Upon reaching 90% confluence, cells were trypsinized and passaged during the logarithmic growth phase. L929 cells were seeded at a density of 4x103 cells/well in 96-well plates. After 24 h of culture under 37˚C and 5% CO2, the original culture medium was aspirated. The control group received 100 µl RPMI-1640 medium, while the other groups were treated with 90 µl RPMI-1640 medium (containing fetal bovine serum and double antibiotics) along with 10 µl of different concentrations of CS/β-GP/TiO2 NP hydrogel (0, 0.5, 1 and 1.5%). On days 1, 3, 5 and 7, the CCK-8 cell proliferation toxicity assay was performed (concentration, 10%). The supernatants were collected, and the optical density (OD) at a wavelength of 450 nm was measured using an ELISA reader.

Cell viability and cytotoxicity staining. L929 cells were seeded at a density of 8x103 cells/well in a 96-well plate. After 24 h of culture under 37˚C and 5% CO2, the original culture medium was aspirated. The control group received 100 µl RPMI-1640 medium, while the other groups were treated with 90 µl RPMI-1640 medium (containing fetal bovine serum and double antibiotics) along with 10 µl of different concentrations of CS/β-GP/TiO2 NP hydrogel (0, 0.5, 1 and 1.5%). After 24 h of incubation at 37˚C, the cells were stained using Calcein-AM and PI dyes (included in the LIVE/DEAD cell viability assay kit). The cells were incubated with the staining solution for 2 h at 37˚C and observed under an inverted fluorescence microscope at an excitation wavelength of 490 nm for live cells and 545 nm for dead cells.

Western blot analysis. L929 cells in good growth condition were seeded at a density of 5x105 cells/well in 6-well plates. When cell growth reached 80-90% confluence, the intervention groups were treated with 200 µl of CS/β-GP/TiO2 NP hydrogel (0, 0.5, 1 and 1.5%) along with 1.8 ml of RPMI-1640 medium. The control group received 2 ml of the medium solution. After 24 h of incubation, the total cellular protein was extracted using Cell Lysis Buffer for Western or IP (cat. no. P0013; Beyotime Insitute of Biotechnology), and the protein concentration was determined using a BCA protein quantification assay kit. Samples were boiled in 5X loading buffer for 10 min. For western blot analysis, 20 µg of protein was loaded per lane to ensure consistent sample loading. Electrophoresed at 80 V at a constant voltage until they entered the separating gel (10%), and then transferred to a PVDF membrane. The membrane was blocked with TBST buffer containing 5% skim milk powder at room temperature for 1 h. Mouse anti-PCNA antibody (1:1,000) was added and incubated overnight at 4˚C. After washing the membrane with TBST (including 0.1% Tween-20), goat anti-mouse IgG/HRP antibody (1:10,000) was added and the membrane was incubated for 1 h at 4˚C. Protein expression was detected using a highly sensitive ECL luminescence reagent (Epizyme Biomedical Technology). β-actin (cat. no. BA2305; Boster Biological Technology Co., Ltd.) was used as the reference protein. ImageJ 1.45 (National Institutes of Health) was used for densitometric analysis. PCNA is a sensitive and specific marker of cell proliferation, capable of accurately reflecting the proliferative activity of cells. It has been widely used in biocompatibility studies of various biomaterials, especially in the fields of tissue engineering and regenerative medicine (11-14).

Ultrasound-triggered simulated drug release

Ultrasound-triggered release of NaF from CS/β-GP/TiO2 NP hydrogel. NaF, a water-soluble fluorescent dye, was used as a small-molecule drug analog to assess the ultrasound-controlled release of the hydrogel. Two hydrogel formulations were evaluated: i) CS/β-GP and ii) CS/β-GP/TiO2 NPs containing 1.5% TiO2 NPs. A total of 10 mg of NaF salt were added to 10 ml of double-distilled water, resulting in a NaF solution with a concentration of 1 mg/ml. During the preparation of composite hydrogels, the NaF solution was incorporated into the hydrogel mixture at a ratio of 100 µl/ml before mixing β-GP into the hydrogels, ensuring the uniform distribution of NaF. For release studies, a 1-ml sample of the hydrogel was immersed in 5 ml of a buffer medium consisting of 0.01 M calcium- and magnesium-free Dulbecco's phosphate-buffered saline (DPBS; cat. no. KGL2208-500; Jiangsu KeyGen Biotech Co., Ltd.) at pH 7.4 and maintained at 37˚C throughout the testing period. The diffusion-mediated release of NaF was evaluated at 0, 5, and 24 h after incubation without ultrasound treatment.

The ultrasound treatment was performed as revealed in Table I. The approach involved applying ultrasound for 5 h at time point 0 (ultrasound intensity=9.6 mW/cm2; 25% amplitude; 2.5 min/h; 37˚C; 5-h cycles). This scheme was based on previous studies conducted by Huebsch et al (15) and Levingstone et al (16). The amount of NaF released after ultrasound application was compared with the control group without ultrasound treatment at the 5-h time point. At each time point, 1 ml of the supernatant was collected, and the absorbance at 512 nm was measured using an ELISA reader to assess the NaF concentration.

Table I

Ultrasound treatment regimes.

Table I

Ultrasound treatment regimes.

Ultrasound treatment groupsUltrasound treatment 1Ultrasound treatment 2Ultrasound treatment 3
Treatment detailsUltrasound applied in 2.5-min pulses once per hour for 5 hUltrasound applied in 2.5-min pulses once per hour for 5 h following an initial 24-h immersion periodUltrasound applied in 2.5-min pulses once per hour for 5 h following an initial 72-h immersion period

[i] Ultrasound with an intensity of 9.6 mW/cm2 was applied in 2.5-min pulses, once per hour for a 5-h period. For ultrasound treatment 1, the ultrasound regime was applied at 0 h; for ultrasound treatment 2, it was applied after incubation for 24 h; and for ultrasound treatment 3, it was applied after incubation for 72 h.

Ultrasound-triggered release of BSA from CS/β-GP/TiO2 NP hydrogel. Subsequently, the ultrasound-controlled release of BSA was investigated as a large-molecule drug/protein analog. For BSA release studies, two hydrogel compositions were tested: i) CS/β-GP and ii) CS/β-GP/TiO2 NPs containing 1.5% TiO2 NPs, prepared as aforementioned. BSA was added to double-distilled water to achieve a concentration of 10 mg/ml and then added to the hydrogel to create a 1 mg/ml BSA solution. Subsequently, 1 ml of the hydrogel sample was suspended in a buffer medium containing 5 ml of 0.01 M calcium-magnesium-free DPBS at pH 7.4 and 37˚C.

Release studies were conducted at 0, 5, 24, 29, 72 and 77 h without ultrasound application. Ultrasound treatment was performed using three different approaches, as shown in Table I. For the first ultrasound treatment, ultrasound was applied for 5 h at time point 0 (ultrasound intensity=9.6 mW/cm2; 25% amplitude; 2.5 min/h; 37˚C; 5-h cycles) (15,16). For the second ultrasound treatment, hydrogels were incubated for 24 h at 37˚C, followed by 5-h ultrasound treatment using the first ultrasound treatment protocol. For the third ultrasound treatment, hydrogels were incubated for 72 h at 37˚C, followed by 5-h ultrasound treatment using the first protocol. The results at the same time points were compared with those of the diffusion-based release control group without ultrasound treatment.

BSA was quantified using a BCA protein quantification assay kit. The assay was conducted according to the manufacturer's instructions, and the absorbance at 562 nm was measured using an ELISA reader to determine BSA concentration.

Statistical analysis

Unless otherwise specified, the experiments were conducted in triplicate. The data results were generally reported as the mean ± standard deviation (SD) and analyzed statistically based on this format. Statistical analyses were performed using GraphPad Prism 8 software (GraphPad; Dotmatics) and SPSS 25.0 (IBM Corp.). Statistical significance was determined using the unpaired t-test and one-way analysis of variance (ANOVA). Tukey's post hoc test was used after ANOVA. P<0.05 was considered to indicate a statistically significant dofference.

Results

Preparation of composite hydrogels

Composite hydrogels with TiO2 NP contents of 0, 0.5, 1, and 1.5% in CS/β-GP/TiO2 NPs were successfully synthesized.

Chemical characteristics of composite hydrogels

Characterization analysis of pure CS/β-GP and CS/β-GP/TiO2 NPs was conducted using FTIR, confirming the successful incorporation of TiO2 NPs at different concentrations into the hydrogels (Fig. 1). The wide absorption peak at 3,600-3,200 cm-1 corresponded to the stretching vibrations of hydroxyl groups (O-H) and amino groups (N-H). The peaks at 2,932 and 2,856 cm-1 represented the antisymmetric and symmetric stretching vibrations of methylene groups (CH2), respectively. The absorption peak at 1,648 cm-1 corresponded to the amide I band stretching vibration of C=O. The peak at 1,557 cm-1 corresponded to the bending vibration of C-N-H in the amide II band. The peak at 1,384 cm-1 corresponded to the symmetric bending vibration of methyl groups (C-CH3). The peaks at 1,122 and 1,079 cm-1 corresponded to the stretching vibrations of C-O, while those at 1,079 and 974 cm-1 corresponded to the antisymmetric and symmetric stretching vibrations of phosphate groups, respectively. The peak at 783 cm-1 was possibly associated with the swinging vibration of C-H.

Fourier transform infrared
spectroscopy for thermally responsive hydrogels, showing the
incorporation of TiO2 NPs into the CS/β-GP co-polymer.
TiO2 NPs, titanium dioxide nanoparticles; CS/β-GP,
chitosan/β-glycerophosphate.

Figure 1

Fourier transform infrared spectroscopy for thermally responsive hydrogels, showing the incorporation of TiO2 NPs into the CS/β-GP co-polymer. TiO2 NPs, titanium dioxide nanoparticles; CS/β-GP, chitosan/β-glycerophosphate.

With increasing TiO2 NP content, the absorption peak at 3,600-3,200 cm-1 broadened, indicating the introduction of more hydroxyl groups (O-H), possibly owing to the residual water in TiO2 NPs. The absorption peak of the amide I band C=O stretching vibration shifted from 1,628 cm-1 to 1,648 cm-1, indicating a blue shift. The peaks at 1,557 cm-1, 1,384 cm-1, and 1,300-700 cm-1 intensified, which might be attributed to the vibrations of organic compounds present in TiO2 NPs. New absorption peaks appeared at 500-700 cm-1, possibly corresponding to the stretching and bending vibrations of Ti-O in the introduced TiO2 NPs.

Rheological analysis

The thermal response characteristics of all the hydrogels were evaluated by rheological analysis. The solidification temperatures of pure CS/β-GP hydrogel and hydrogels with added TiO2 NPs were found to be in the range of 36.5-37.3˚C (Fig. 2).

Storage modulus as a function of
TiO2 NP concentration from 20 to 50˚C indicating the low
critical solution temperature transition points from liquid to
solid state. TiO2 NPs, titanium dioxide nanoparticles;
CS/β-GP, chitosan/β-glycerophosphate.

Figure 2

Storage modulus as a function of TiO2 NP concentration from 20 to 50˚C indicating the low critical solution temperature transition points from liquid to solid state. TiO2 NPs, titanium dioxide nanoparticles; CS/β-GP, chitosan/β-glycerophosphate.

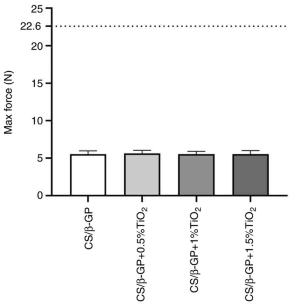
Injectable properties of composite hydrogels

Injectability experiments were conducted to assess the feasibility of the prepared hydrogels as clinical injection materials. No significant differences in the injection forces between the four hydrogel groups were observed (Fig. 3). The injection force for the CS/β-GP group was 5.79±0.57 N, for the CS/β-GP + 0.5% TiO2 NP group it was 5.63±0.41 N, for the CS/β-GP + 1.0% TiO2 NP group it was 5.54±0.67 N, and for the CS/β-GP + 1.5% TiO2 NP group it was 5.70±0.49 N. Additionally, all these values were lower than the maximum force (22.6 N) that a surgeon's hand can comfortably apply to an injector (17). This indicates that all the hydrogel formulations prepared were suitable for use as injection materials in a clinical setting.

Injectability of the pure CS/β-GP
hydrogel and thermally responsive hydrogels containing 0.5, 1.0 and
1.5% wt./vol. TiO2 NPs. No significant difference was
observed between groups. The forces recorded for all hydrogels were
below the maximum force that can be comfortably applied to a
syringe by a surgeon's hand, highlighted on the graph at 22.6 N.
TiO2 NPs, titanium dioxide nanoparticles; CS/β-GP,
chitosan/β-glycerophosphate.

Figure 3

Injectability of the pure CS/β-GP hydrogel and thermally responsive hydrogels containing 0.5, 1.0 and 1.5% wt./vol. TiO2 NPs. No significant difference was observed between groups. The forces recorded for all hydrogels were below the maximum force that can be comfortably applied to a syringe by a surgeon's hand, highlighted on the graph at 22.6 N. TiO2 NPs, titanium dioxide nanoparticles; CS/β-GP, chitosan/β-glycerophosphate.

Biocompatibility assessment of hydrogels. CCK-8 assay

The doubling time of L929 cells is generally 28-36 h. In the present experiment, the number of L929 cells increased by only ~2-fold over 7 days, which is indeed lower than the typically expected proliferation rate. It is considered that the possible reasons for this could be the use of a different culture medium or a lower initial cell density at the beginning of the experiment. The cell count increased over time, and the absorbance values at various time points after seeding the cells onto different composite hydrogels were not significantly different from those of the control group, which was cultured in conventional plastic 96-well plates (Fig. 4). There were no statistically significant differences between the groups (P>0.05).

CCK-8 assays of different composite
hydrogels. Different composite hydrogels were not significantly
different from the control group by CCK-8 assay. There were no
statistically significant differences (P>0.05). CCK-8, Cell
Counting Kit-8; OD, optical density; CS/β-GP,
chitosan/β-glycerophosphate; TiO2 NPs, titanium dioxide
nanoparticles.

Figure 4

CCK-8 assays of different composite hydrogels. Different composite hydrogels were not significantly different from the control group by CCK-8 assay. There were no statistically significant differences (P>0.05). CCK-8, Cell Counting Kit-8; OD, optical density; CS/β-GP, chitosan/β-glycerophosphate; TiO2 NPs, titanium dioxide nanoparticles.

Cell viability and cytotoxicity staining

Cell viability staining accurately distinguished live from dead cells on the material surface. The survival rates of cells co-cultured with various hydrogel formulations were not significantly different from those of the control group (Fig. 5), which were consistent with the CCK-8 results. Both the CCK-8 assay and cell viability staining indicated that the prepared composite hydrogels exhibited excellent biocompatibility. Due to the experimental results showing a very clear distinction between live and dead cells, with almost no dead cells detected across all groups and a live cell proportion close to 100%, further quantitative analysis was not conducted.

Survival rates of different composite
hydrogels. The survival rates of cells co-cultured with various
hydrogel formulations were not significantly different from the
those of the control group, as assessed by LIVE/DEAD assay.
CS/β-GP, chitosan/β-glycerophosphate; TiO2 NPs, titanium
dioxide nanoparticles.

Figure 5

Survival rates of different composite hydrogels. The survival rates of cells co-cultured with various hydrogel formulations were not significantly different from the those of the control group, as assessed by LIVE/DEAD assay. CS/β-GP, chitosan/β-glycerophosphate; TiO2 NPs, titanium dioxide nanoparticles.

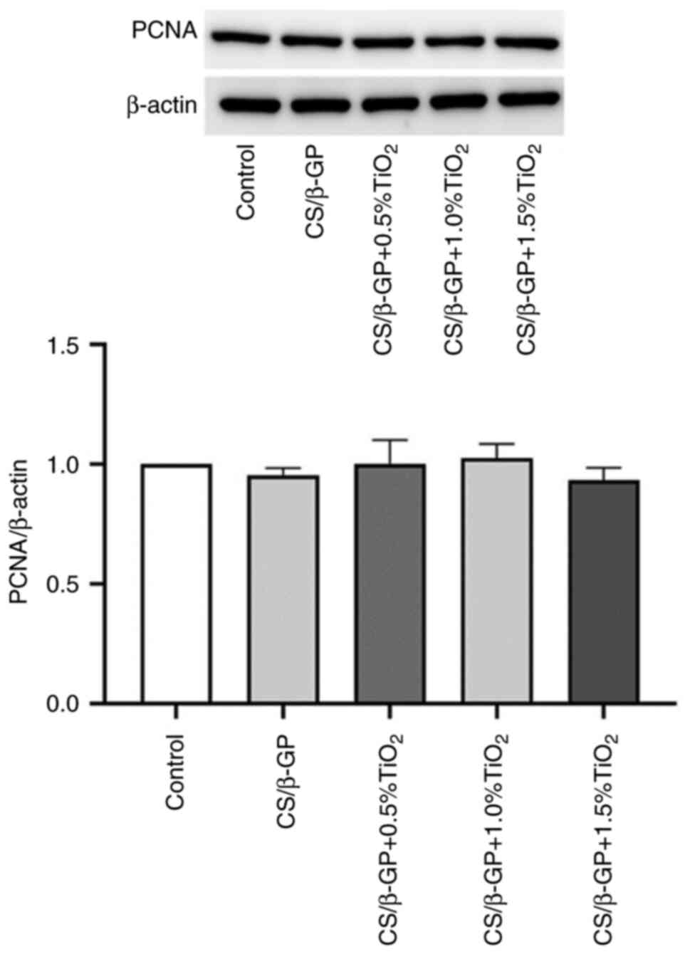
Western blot analysis

After co-culturing L929 cells with various hydrogel groups for 24 h, western blot analysis was performed to assess protein PCNA expression. No significant differences in cellular protein expression among the different groups were observed (P>0.05) (Fig. 6).

Western blotting results of different
composite hydrogels. The results of western blotting assay revealed
no significant differences in cell protein expression among the
different groups (P>0.05). PCNA, proliferating cell nuclear
antigen; CS/β-GP, chitosan/β-glycerophosphate; TiO2 NPs,
titanium dioxide nanoparticles.

Figure 6

Western blotting results of different composite hydrogels. The results of western blotting assay revealed no significant differences in cell protein expression among the different groups (P>0.05). PCNA, proliferating cell nuclear antigen; CS/β-GP, chitosan/β-glycerophosphate; TiO2 NPs, titanium dioxide nanoparticles.

Considering the results from the injectability test, the CCK-8 cell proliferation assay, the cell viability staining experiment, and given that all CS/β-GP and TiO2 NP polymer composites exhibited the required properties for injectable hydrogels and showed no cell toxicity, the CS/β-GP + 1.5% TiO2 NP hydrogel was selected for further investigation into ultrasound-triggered drug release. This hydrogel was opted due to the high percentage of the sonosensitizer TiO2 NPs.

Ultrasound-triggered simulated drug release. Release of NaF from CS/β-GP/TiO2 NP hydrogels upon ultrasound stimulation

The release of NaF from CS/β-GP and CS/β-GP + 1.5% TiO2 NP thermosensitive hydrogels upon ultrasound stimulation was evaluated. When hydrogel samples were suspended in DPBS at 37˚C, the hydrogel remained in a gel state. After treatment with an ultrasonic disruptor, the main changes observed in the hydrogel samples were local structural damage or disintegration, rather than complete dissolution. The analysis of diffusion-related release for each hydrogel group revealed that NaF was gradually released over time, with up to 33.15±0.89% release observed within 24 h solely due to diffusion. At the 0 and 5-h time points, the incorporation of TiO2 NPs into the thermo-responsive hydrogel had no significant impact on the NaF diffusion-related release. However, at the 24-h time point, the NaF release level from the CS/β-GP + 1.5% TiO2 NP group was significantly lower than that from the CS/β-GP group (P<0.01) (Fig. 7A). This suggests that hydrogels containing TiO2 NPs may reduce diffusion-related NaF release. Ultrasound increased the release of NaF from both hydrogel groups. For the CS/β-GP group, ultrasound treatment method 1 resulted in 24.16±1.32% NaF release, significantly increasing NaF release compared with the control group at the same time point (5 h; 16.05±0.07%; P<0.01). For the CS/β-GP + 1.5% TiO2 NP group, the first ultrasound treatment method led to 27.77±0.98% NaF release, significantly increasing NaF release compared with the control group at the same time point (18.21±0.48%; P<0.01). Furthermore, using the first ultrasound treatment method, the release of NaF from the CS/β-GP + 1.5% TiO2 NP group was significantly higher than that from the CS/β-GP group (P<0.01) (Fig. 7B).

Cumulative release of NaF from
NaF-loaded thermally responsive hydrogels. (A) Diffusion-related
release of NaF from the pure CS/β-GP and CS/β-GP + 1.5%
TiO2 NP groups up to 24 h. (B) Ultrasound triggered
release of NaF following the first ultrasound treatment.
***P<0.001. NaF, sodium fluorescein; CS/β-GP,
chitosan/β-glycerophosphate; TiO2 NPs, titanium dioxide
nanoparticles.

Figure 7

Cumulative release of NaF from NaF-loaded thermally responsive hydrogels. (A) Diffusion-related release of NaF from the pure CS/β-GP and CS/β-GP + 1.5% TiO2 NP groups up to 24 h. (B) Ultrasound triggered release of NaF following the first ultrasound treatment. ***P<0.001. NaF, sodium fluorescein; CS/β-GP, chitosan/β-glycerophosphate; TiO2 NPs, titanium dioxide nanoparticles.

Release of BSA from CS/β-GP/TiO2 NP hydrogels upon ultrasound stimulation

The ultrasound-triggered release of BSA was evaluated for CS/β-GP and CS/β-GP + 1.5% TiO2 NP hydrogels. The analysis of diffusion-related BSA release for each hydrogel group revealed relatively low BSA release levels over time, with 6.63±0.50% and 6.97±0.30% BSA released from CS/β-GP and CS/β-GP + 1.5% TiO2 NP groups, respectively, at the 72-h time point (Fig. 8A). No significant differences in diffusion-related BSA release between CS/β-GP and CS/β-GP + 1.5% TiO2 NP groups was observed. And under the experimental conditions, no significant degradation or disintegration of the hydrogel network was observed within 72 h. The physical integrity of the hydrogels remained intact. Ultrasound application increased the release of BSA from pure CS/β-GP and CS/β-GP + 1.5% TiO2 NP hydrogels. For the CS/β-GP hydrogel, the BSA release recorded after ultrasound treatment method 1 was 24.94±1.82% (Fig. 8B), which was significantly higher than that for the control group at the same time point (5 h), which released only 3.46±0.34% BSA. Compared with the BSA level recorded for the first ultrasound treatment method, the levels recorded for the second and third ultrasound treatment methods were slightly lower, possibly due to BSA degradation over time. Notably, in the first ultrasound treatment method, the incorporation of TiO2 NPs into the thermo-responsive hydrogel increased BSA release, with the CS/β-GP + 1.5% TiO2 NP group releasing 49.42±0.55%, which was significantly higher than the release from the CS/β-GP group (24.94±1.82%). Similar increases were observed for the second and third ultrasound treatment method (Fig. 8C and D).

Cumulative release of BSA from BSA
loaded thermally responsive hydrogels. (A) Diffusion related
release of pure CS/β-GP and CS/β-GP + 1.5% TiO2 NP
groups up to 72 h. Ultrasound-triggered release of BSA is shown
following (B) first ultrasound treatment, (C) second ultrasound
treatment and (D) third ultrasound treatment.
***P<0.001 and ****P<0.0001. BSA,
bovine serum albumin; CS/β-GP, chitosan/β-glycerophosphate;
TiO2 NPs, titanium dioxide nanoparticles.

Figure 8

Cumulative release of BSA from BSA loaded thermally responsive hydrogels. (A) Diffusion related release of pure CS/β-GP and CS/β-GP + 1.5% TiO2 NP groups up to 72 h. Ultrasound-triggered release of BSA is shown following (B) first ultrasound treatment, (C) second ultrasound treatment and (D) third ultrasound treatment. ***P<0.001 and ****P<0.0001. BSA, bovine serum albumin; CS/β-GP, chitosan/β-glycerophosphate; TiO2 NPs, titanium dioxide nanoparticles.

Discussion

The development of minimally invasive systems for precise control of therapeutic delivery holds significant promise for drug administration applications. To address this need, a biocompatible and thermosensitive hydrogel system was developed as a delivery platform. This dual-stimulus system allows for the minimally invasive delivery of hydrogels that gel in situ at body temperature and then release therapeutic agents or drugs on demand through ultrasound waves. In the present study, the release of NaF and BSA mimics from CS/β-GP and CS/β-GP/TiO2 NP hydrogels was controlled by ultrasound. The results demonstrated that the inclusion of TiO2 NPs as a sensitizer enhanced the ultrasound-responsive capability of hydrogels, leading to an increased release of the mimics.

This hydrogel exhibits significant thermosensitivity, which can be regulated by temperature changes. This characteristic makes it highly promising for applications such as controlled drug release (18), tissue engineering (19), and biosensors (20). As the temperature increases, the hydrogel undergoes a phase transition, altering its swelling behavior and mechanical properties. This reversible temperature-responsive feature allows the hydrogel to achieve desired functions under specific conditions. For instance, in drug delivery systems, by adjusting the temperature, the release rate and dosage of the drug can be controlled, achieving precise drug delivery.

Various biocompatible hydrogels with excellent drug-loading capacities have been widely used in drug delivery applications (21-23). Implanting such hydrogels into the human body in a minimally invasive manner would likely be better accepted by patients. Injectable biomaterials that can transition from liquid to solid in response to specific stimuli are highly attractive for clinical use (24,25). The therapeutic targets within the human body often have irregular shapes that can be initially filled as a liquid in the form of a thermoresponsive hydrogel and then transformed into a gel state at a physiological temperature after injection. In addition to the sustained slow release after implantation, the intermittent release of bioactive compounds may also be necessary for certain biological effects. Thus, the platform should possess features of external stimulus responsiveness to achieve a scenario-based release (26). Acoustic-responsive scaffolds have been designed with the potential for controlled release (27). CS is a naturally biodegradable and biocompatible polymer that has shown promise for various applications (28). Incorporating β-GP into CS to create a composite hydrogel has been shown to yield a thermo-responsive hydrogel. In the present study, the addition of TiO2 NPs to CS/β-GP hydrogel was demonstrated to have no negative impact on its thermal responsiveness through rheological analysis. Through CCK-8 experiments, LIVE/DEAD staining, and western blot experiments, the biocompatibility of CS/β-GP and CS/β-GP/TiO2 NP hydrogels was confirmed, rendering them suitable for clinical research.

Ultrasound-triggered release of loaded molecules from thermo-responsive CS/β-GP hydrogels, with or without TiO2 NPs, was studied. First, the release of the small-molecule drug mimic NaF and large-molecule mimic BSA from two thermo-responsive hydrogel compositions (CS/β-GP and CS/β-GP/TiO2 NPs) was assessed. The release of the mimics from both hydrogel groups was higher with the ultrasound treatment than with the untreated control, and hydrogels containing TiO2 NPs exhibited more significant ultrasound-responsive capability, releasing more mimics than the CS/β-GP group after ultrasound treatment. This demonstrated that the addition of TiO2 NPs to CS/β-GP hydrogel confered ultrasound-responsive capabilities on a biocompatible basis.

The results of the present study highlight the need to develop a novel dual-stimulus delivery system for drug delivery. The results indicate that successful inclusion of TiO2 NPs into CS/β-GP hydrogel creates a thermo-responsive hydrogel suitable for minimally invasive delivery. Furthermore, the study suggests that the incorporation of TiO2 NPs enhances sensitivity to ultrasound stimulation, thereby increasing the release rate of therapeutic factors. Overall, the dual-stimulus system studied here holds promise for new applications in therapeutic delivery in a relatively inexpensive and minimally invasive manner.

In conclusion, the present study demonstrated CS/β-GP/TiO2 NPs as composite hydrogels that are injectable, biocompatible, and thermosensitive systems suitable for ultrasound-triggered drug release. Furthermore, all hydrogels gelated at temperatures close to 37˚C, enabling in situ gelation upon delivery to the body, and possessed the required injectability for minimally invasive delivery. Compared with the control group, the hydrogels exhibited the ability to promote sustained delivery of NaF and BSA drug mimics, with enhanced release achieved under all circumstances owing to ultrasound application. Importantly, hydrogel groups containing TiO2 NPs demonstrated higher levels of release after ultrasound treatment than pure hydrogels, confirming that TiO2 NPs increased the sensitivity of the thermos-responsive hydrogel to ultrasound stimulation. Ultrasound-triggered thermos-responsive hydrogels are promising for drug delivery applications.

The present study primarily focused on the validation of ultrasound-triggered drug release. While drug release under ultrasound activation was observed, the authors have not yet delved into specific release mechanisms, such as thermal effects or cavitation. Therefore, future research will emphasize this aspect to gain a deeper understanding of the mechanisms behind ultrasound-triggered drug release and its applications in drug delivery systems.

To this end, the authors plan to apply for the ethical approval required to conduct animal experiments, ensuring the compliance and scientific integrity of the present study. These experiments will provide deeper insights, helping to validate the behavior of hydrogels in vivo and their impact on drug release. A series of experiments will be designed to evaluate the effects of hydrogel materials on major organs (heart, liver, lungs, kidneys). Specifically, future research will focus on the following aspects: i) Histopathological analysis: By preparing tissue sections and utilizing microscopy, the impact of hydrogel materials on the structural integrity of major organ tissues will be assessed. ii) Physiological parameter monitoring: Physiological parameters, such as heart rate and respiratory rate, will be recorded throughout the experimental period to evaluate the biocompatibility and safety of the materials. iii) Biochemical indicator assessment: Routine blood tests will be conducted to monitor changes in biomarkers (such as liver and kidney function) to assess the overall health effects of the materials on the animals.

The aim of these future experiments will be to gain a comprehensive understanding of the mechanisms of ultrasound-triggered drug release and its biocompatibility, laying the groundwork for future clinical applications. The authors look forward to further exploring and validating these critical factors in their future research to advance the development of ultrasound-triggered drug delivery systems.

Acknowledgements

Not applicable.

Funding

Funding: No funding was received.

Availability of data and materials

The data generated in the present study may be requested from the corresponding author.

Authors' contributions

YZ was responsible for conceptualization, investigation, and writing the original draft as well as reviewing and editing the manuscript. YRY designed the experimental methods and performed the analysis of results using software. YX contributed through data curation and preparation of experimental materials (resources). XR focused on visualization of results, also prepared experimental materials and acquired the data. YFQ was in charge of validation and formal analysis. TYQ oversaw supervision, project administration, funding acquisition and data collection. YX, XR, YFQ and TYQ confirm the authenticity of all the raw data. All authors read and approved the final manuscript.

Ethics approval and consent to participate

Not applicable.

Patient consent for publication

Not applicable.

Competing interests

The authors declare that they have no competing interests.

References

1 

Shamay Y, Adar L, Ashkenasy G and David A: Light induced drug delivery into cancer cells. Biomaterials. 32:1377–1386. 2011.PubMed/NCBI View Article : Google Scholar

2 

Chao Y, Chen Q and Liu Z: Smart injectable hydrogels for cancer immunotherapy. Adv Funct Mater. 30(1902785)2020.

3 

Bertsch P, Diba M, Mooney DJ and Leeuwenburgh SCG: Self-healing injectable hydrogels for tissue regeneration. Chem Rev. 123:834–873. 2022.PubMed/NCBI View Article : Google Scholar

4 

Abdollahi A, Roghani-Mamaqani H, Razavi B and Salami-Kalajahi M: The light-controlling of temperature-responsivity in stimuli-responsive polymers. Polym Chem. 10:5686–5720. 2019.

5 

Lee SY, Yang M, Seo JH, Jeong DI, Hwang C, Kim HJ, Lee J, Lee K, Park J and Cho HJ: . Serially pH-modulated hydrogels based on boronate ester and polydopamine linkages for local cancer therapy. ACS Appl Mater Interfaces. 13:2189–2203. 2021.PubMed/NCBI View Article : Google Scholar

6 

Lin X, Song J, Chen X and Yang H: Ultrasound-activated sensitizers and applications. Angew Chem Int Ed Engl. 59:14212–14233. 2020.PubMed/NCBI View Article : Google Scholar

7 

Wu J, Zheng K, Huang X, Liu J, Liu H, Boccaccini AR, Wan Y, Guo X and Shao Z: Thermally triggered injectable chitosan/silk fibroin/bioactive glass nanoparticle hydrogels for in-situ bone formation in rat calvarial bone defects. Acta Biomater. 91:60–71. 2019.PubMed/NCBI View Article : Google Scholar

8 

Kim G, Wu Q, Chu JL, Smith EJ, Oelze ML, Moore JS and Li KC: Ultrasound controlled mechanophore activation in hydrogels for cancer therapy. Proc NatI Acad Sci USA. 119(e2109791119)2022.PubMed/NCBI View Article : Google Scholar

9 

Liu H, Wang C, Li C, Qin Y, Wang Z, Yang F, Li Z and Wang J: A functional chitosan-based hydrogel as a wound dressing and drug delivery system in the treatment of wound healing. RSC Adv. 8:7533–7549. 2018.PubMed/NCBI View Article : Google Scholar

10 

Son S, Kim JH, Wang X, Zhang C, Yoon SA, Shin J, Sharma A, Lee MH, Cheng L, Wu J and Kim JS: Multifunctional sonosensitizers in sonodynamic cancer therapy. Chem Soc Rev. 49:3244–3261. 2020.PubMed/NCBI View Article : Google Scholar

11 

Yu S, Zheng J, Xie H, Deng Q and Wang J, Chen J, Zhou H and Wang J: Biocompatible hydrogel nanoparticles with lysosomal escape properties for the delivery of siRNA for the gene therapy of colorectal carcinoma. ACS Appl Nano Mater. 7:6612–6625. 2024.

12 

Qi F, Li H, Wang Y and Ding C: Responsive DNA hydrogels: Design strategies and prospects in biosensing. Chem Commun. 60:11744–11751. 2024.PubMed/NCBI View Article : Google Scholar

13 

Wang S: Soft hydrogel semiconductors with augmented biointeractive functions. Science. 377(eadp9314)2024.PubMed/NCBI View Article : Google Scholar

14 

Wei X, Li H and Yue W: A highly linear stretchable MXene-based biocompatible hydrogel-elastomer hybrid for organ monitoring. Sci China Materials. 67:2956–2968. 2024.(In Chinese).

15 

Huebsch N, Kearney CJ, Zhao X, Kim J, Cezar CA, Suo Z and Mooney DJ: Ultrasound-triggered disruption and self-healing of reversibly cross-linked hydrogels for drug delivery and enhanced chemotherapy. Proc Natl Acad Sci USA. 111:9762–9767. 2014.PubMed/NCBI View Article : Google Scholar

16 

Levingstone T, Ali B, Kearney C and Dunne N: Hydroxyapatite sonosensitization of ultrasound-triggered, thermally responsive hydrogels: An on-demand delivery system for bone repair applications. J Biomed Mater Res B, Appl Biomater. 109:1622–1633. 2021.PubMed/NCBI View Article : Google Scholar

17 

MacDonald V, Wilson K, Sonne MWL and Keir PJ: Grip type alters maximal pinch forces in syringe use. Hum Factors. 59:1088–1095. 2017.PubMed/NCBI View Article : Google Scholar

18 

Elisa L and Filippo R: Polymer-based thermoresponsive hydrogels for controlled drug delivery. Exp Opin Drug Deliv. 19:1203–1215. 2022.PubMed/NCBI View Article : Google Scholar

19 

Khan MUA, Stojanović GM, Abdullah MFB, Dolatshahi-Pirouz A, Marei HE, Ashammakhi N and Hasan A: Fundamental properties of smart hydrogels for tissue engineering applications: A review. Int J Biol Macromol. 254:127882. 2023.PubMed/NCBI View Article : Google Scholar

20 

Zhao F, Liu M, Guo H, Wang Y, Zhang Y, He M and Cai Z: Stimuli-responsive hydrogels based on protein/peptide and their sensing applications. Prog Mater Sci. 148(101355)2025.

21 

Liu W, Borrell MA, Venerus DC, Mieler WF and Kang-Mieler JJ: Characterization of biodegradable microsphere-hydrogel ocular drug delivery system for controlled and extended release of Ranibizumab. Transl Vis Sci Technol. 8(12)2019.PubMed/NCBI View Article : Google Scholar

22 

Zhou X, He X, Shi K, Yuan L, Yang Y, Liu Q, Ming Y, Yi C and Qian Z: Injectable thermosensitive hydrogel containing erlotinib-loaded hollow mesoporous silica nanoparticles as a localized drug delivery system for NSCLC therapy. Adv Sci. 7(2001442)2020.PubMed/NCBI View Article : Google Scholar

23 

Amini-Fazl MS, Mohammadi R and Kheiri K: 5-Fluorouracil loaded chitosan/polyacrylic acid/Fe3O4 magnetic nanocomposite hydrogel as a potential anticancer drug delivery system. Int J Biol Macromol. 132:506–513. 2019.PubMed/NCBI View Article : Google Scholar

24 

Mathew AP, Uthaman S, Cho KH, Cho CS and Park IK: Injectable hydrogels for delivering biotherapeutic molecules. Int J Biol Macromol. 110:17–29. 2018.PubMed/NCBI View Article : Google Scholar

25 

Kim J, Choi Y, Kim DH, Yoon HY and Kim K: Injectable hydrogel-based combination cancer immunotherapy for overcoming localized therapeutic efficacy. Pharmaceutics. 14(1908)2022.PubMed/NCBI View Article : Google Scholar

26 

Sundararaj SC, Thomas MV, Dziubla TD and Puleo DA: Bioerodible system for sequential release of multiple drugs. Acta Biomater. 10:115–125. 2014.PubMed/NCBI View Article : Google Scholar

27 

El-Husseiny HM, Mady EA, El-Dakroury WA, Doghish AS and Tanaka R: Stimuli-responsive hydrogels: Smart state of-the-art platforms for cardiac tissue engineering. Front Bioeng Biotechnol. 11(1174075)2023.PubMed/NCBI View Article : Google Scholar

28 

Jiménez-Gómez CP and Cecilia JA: Chitosan: A natural biopolymer with a wide and varied range of applications. Molecules. 25(3981)2020.PubMed/NCBI View Article : Google Scholar

Related Articles

  • Abstract
  • View
  • Download
  • Twitter
Copy and paste a formatted citation
Spandidos Publications style
Zhou Y, Yao Y, Xu Y, Rong X, Qiu Y and Qi T: TiO<sub>2</sub> NPs improve ultrasound response: CS/&beta;‑GP/TiO<sub>2</sub> NP hydrogel enabling on‑demand administration. Biomed Rep 23: 142, 2025.
APA
Zhou, Y., Yao, Y., Xu, Y., Rong, X., Qiu, Y., & Qi, T. (2025). TiO<sub>2</sub> NPs improve ultrasound response: CS/&beta;‑GP/TiO<sub>2</sub> NP hydrogel enabling on‑demand administration. Biomedical Reports, 23, 142. https://doi.org/10.3892/br.2025.2020
MLA
Zhou, Y., Yao, Y., Xu, Y., Rong, X., Qiu, Y., Qi, T."TiO<sub>2</sub> NPs improve ultrasound response: CS/&beta;‑GP/TiO<sub>2</sub> NP hydrogel enabling on‑demand administration". Biomedical Reports 23.3 (2025): 142.
Chicago
Zhou, Y., Yao, Y., Xu, Y., Rong, X., Qiu, Y., Qi, T."TiO<sub>2</sub> NPs improve ultrasound response: CS/&beta;‑GP/TiO<sub>2</sub> NP hydrogel enabling on‑demand administration". Biomedical Reports 23, no. 3 (2025): 142. https://doi.org/10.3892/br.2025.2020
Copy and paste a formatted citation
x
Spandidos Publications style
Zhou Y, Yao Y, Xu Y, Rong X, Qiu Y and Qi T: TiO<sub>2</sub> NPs improve ultrasound response: CS/&beta;‑GP/TiO<sub>2</sub> NP hydrogel enabling on‑demand administration. Biomed Rep 23: 142, 2025.
APA
Zhou, Y., Yao, Y., Xu, Y., Rong, X., Qiu, Y., & Qi, T. (2025). TiO<sub>2</sub> NPs improve ultrasound response: CS/&beta;‑GP/TiO<sub>2</sub> NP hydrogel enabling on‑demand administration. Biomedical Reports, 23, 142. https://doi.org/10.3892/br.2025.2020
MLA
Zhou, Y., Yao, Y., Xu, Y., Rong, X., Qiu, Y., Qi, T."TiO<sub>2</sub> NPs improve ultrasound response: CS/&beta;‑GP/TiO<sub>2</sub> NP hydrogel enabling on‑demand administration". Biomedical Reports 23.3 (2025): 142.
Chicago
Zhou, Y., Yao, Y., Xu, Y., Rong, X., Qiu, Y., Qi, T."TiO<sub>2</sub> NPs improve ultrasound response: CS/&beta;‑GP/TiO<sub>2</sub> NP hydrogel enabling on‑demand administration". Biomedical Reports 23, no. 3 (2025): 142. https://doi.org/10.3892/br.2025.2020
Follow us
  • Twitter
  • LinkedIn
  • Facebook
About
  • Spandidos Publications
  • Careers
  • Cookie Policy
  • Privacy Policy
How can we help?
  • Help
  • Live Chat
  • Contact
  • Email to our Support Team