Spandidos Publications Logo
  • About
    • About Spandidos
    • Aims and Scopes
    • Abstracting and Indexing
    • Editorial Policies
    • Reprints and Permissions
    • Job Opportunities
    • Terms and Conditions
    • Contact
  • Journals
    • All Journals
    • Oncology Letters
      • Oncology Letters
      • Information for Authors
      • Editorial Policies
      • Editorial Board
      • Aims and Scope
      • Abstracting and Indexing
      • Bibliographic Information
      • Archive
    • International Journal of Oncology
      • International Journal of Oncology
      • Information for Authors
      • Editorial Policies
      • Editorial Board
      • Aims and Scope
      • Abstracting and Indexing
      • Bibliographic Information
      • Archive
    • Molecular and Clinical Oncology
      • Molecular and Clinical Oncology
      • Information for Authors
      • Editorial Policies
      • Editorial Board
      • Aims and Scope
      • Abstracting and Indexing
      • Bibliographic Information
      • Archive
    • Experimental and Therapeutic Medicine
      • Experimental and Therapeutic Medicine
      • Information for Authors
      • Editorial Policies
      • Editorial Board
      • Aims and Scope
      • Abstracting and Indexing
      • Bibliographic Information
      • Archive
    • International Journal of Molecular Medicine
      • International Journal of Molecular Medicine
      • Information for Authors
      • Editorial Policies
      • Editorial Board
      • Aims and Scope
      • Abstracting and Indexing
      • Bibliographic Information
      • Archive
    • Biomedical Reports
      • Biomedical Reports
      • Information for Authors
      • Editorial Policies
      • Editorial Board
      • Aims and Scope
      • Abstracting and Indexing
      • Bibliographic Information
      • Archive
    • Oncology Reports
      • Oncology Reports
      • Information for Authors
      • Editorial Policies
      • Editorial Board
      • Aims and Scope
      • Abstracting and Indexing
      • Bibliographic Information
      • Archive
    • Molecular Medicine Reports
      • Molecular Medicine Reports
      • Information for Authors
      • Editorial Policies
      • Editorial Board
      • Aims and Scope
      • Abstracting and Indexing
      • Bibliographic Information
      • Archive
    • World Academy of Sciences Journal
      • World Academy of Sciences Journal
      • Information for Authors
      • Editorial Policies
      • Editorial Board
      • Aims and Scope
      • Abstracting and Indexing
      • Bibliographic Information
      • Archive
    • International Journal of Functional Nutrition
      • International Journal of Functional Nutrition
      • Information for Authors
      • Editorial Policies
      • Editorial Board
      • Aims and Scope
      • Abstracting and Indexing
      • Bibliographic Information
      • Archive
    • International Journal of Epigenetics
      • International Journal of Epigenetics
      • Information for Authors
      • Editorial Policies
      • Editorial Board
      • Aims and Scope
      • Abstracting and Indexing
      • Bibliographic Information
      • Archive
    • Medicine International
      • Medicine International
      • Information for Authors
      • Editorial Policies
      • Editorial Board
      • Aims and Scope
      • Abstracting and Indexing
      • Bibliographic Information
      • Archive
  • Articles
  • Information
    • Information for Authors
    • Information for Reviewers
    • Information for Librarians
    • Information for Advertisers
    • Conferences
  • Language Editing
Spandidos Publications Logo
  • About
    • About Spandidos
    • Aims and Scopes
    • Abstracting and Indexing
    • Editorial Policies
    • Reprints and Permissions
    • Job Opportunities
    • Terms and Conditions
    • Contact
  • Journals
    • All Journals
    • Biomedical Reports
      • Information for Authors
      • Editorial Policies
      • Editorial Board
      • Aims and Scope
      • Abstracting and Indexing
      • Bibliographic Information
      • Archive
    • Experimental and Therapeutic Medicine
      • Information for Authors
      • Editorial Policies
      • Editorial Board
      • Aims and Scope
      • Abstracting and Indexing
      • Bibliographic Information
      • Archive
    • International Journal of Epigenetics
      • Information for Authors
      • Editorial Policies
      • Editorial Board
      • Aims and Scope
      • Abstracting and Indexing
      • Bibliographic Information
      • Archive
    • International Journal of Functional Nutrition
      • Information for Authors
      • Editorial Policies
      • Editorial Board
      • Aims and Scope
      • Abstracting and Indexing
      • Bibliographic Information
      • Archive
    • International Journal of Molecular Medicine
      • Information for Authors
      • Editorial Policies
      • Editorial Board
      • Aims and Scope
      • Abstracting and Indexing
      • Bibliographic Information
      • Archive
    • International Journal of Oncology
      • Information for Authors
      • Editorial Policies
      • Editorial Board
      • Aims and Scope
      • Abstracting and Indexing
      • Bibliographic Information
      • Archive
    • Medicine International
      • Information for Authors
      • Editorial Policies
      • Editorial Board
      • Aims and Scope
      • Abstracting and Indexing
      • Bibliographic Information
      • Archive
    • Molecular and Clinical Oncology
      • Information for Authors
      • Editorial Policies
      • Editorial Board
      • Aims and Scope
      • Abstracting and Indexing
      • Bibliographic Information
      • Archive
    • Molecular Medicine Reports
      • Information for Authors
      • Editorial Policies
      • Editorial Board
      • Aims and Scope
      • Abstracting and Indexing
      • Bibliographic Information
      • Archive
    • Oncology Letters
      • Information for Authors
      • Editorial Policies
      • Editorial Board
      • Aims and Scope
      • Abstracting and Indexing
      • Bibliographic Information
      • Archive
    • Oncology Reports
      • Information for Authors
      • Editorial Policies
      • Editorial Board
      • Aims and Scope
      • Abstracting and Indexing
      • Bibliographic Information
      • Archive
    • World Academy of Sciences Journal
      • Information for Authors
      • Editorial Policies
      • Editorial Board
      • Aims and Scope
      • Abstracting and Indexing
      • Bibliographic Information
      • Archive
  • Articles
  • Information
    • For Authors
    • For Reviewers
    • For Librarians
    • For Advertisers
    • Conferences
  • Language Editing
Login Register Submit
  • This site uses cookies
  • You can change your cookie settings at any time by following the instructions in our Cookie Policy. To find out more, you may read our Privacy Policy.

    I agree
Search articles by DOI, keyword, author or affiliation
Search
Advanced Search
presentation
Biomedical Reports
Join Editorial Board Propose a Special Issue
Print ISSN: 2049-9434 Online ISSN: 2049-9442
Journal Cover
September-2025 Volume 23 Issue 3

Full Size Image

Sign up for eToc alerts
Recommend to Library

Journals

International Journal of Molecular Medicine

International Journal of Molecular Medicine

International Journal of Molecular Medicine is an international journal devoted to molecular mechanisms of human disease.

International Journal of Oncology

International Journal of Oncology

International Journal of Oncology is an international journal devoted to oncology research and cancer treatment.

Molecular Medicine Reports

Molecular Medicine Reports

Covers molecular medicine topics such as pharmacology, pathology, genetics, neuroscience, infectious diseases, molecular cardiology, and molecular surgery.

Oncology Reports

Oncology Reports

Oncology Reports is an international journal devoted to fundamental and applied research in Oncology.

Experimental and Therapeutic Medicine

Experimental and Therapeutic Medicine

Experimental and Therapeutic Medicine is an international journal devoted to laboratory and clinical medicine.

Oncology Letters

Oncology Letters

Oncology Letters is an international journal devoted to Experimental and Clinical Oncology.

Biomedical Reports

Biomedical Reports

Explores a wide range of biological and medical fields, including pharmacology, genetics, microbiology, neuroscience, and molecular cardiology.

Molecular and Clinical Oncology

Molecular and Clinical Oncology

International journal addressing all aspects of oncology research, from tumorigenesis and oncogenes to chemotherapy and metastasis.

World Academy of Sciences Journal

World Academy of Sciences Journal

Multidisciplinary open-access journal spanning biochemistry, genetics, neuroscience, environmental health, and synthetic biology.

International Journal of Functional Nutrition

International Journal of Functional Nutrition

Open-access journal combining biochemistry, pharmacology, immunology, and genetics to advance health through functional nutrition.

International Journal of Epigenetics

International Journal of Epigenetics

Publishes open-access research on using epigenetics to advance understanding and treatment of human disease.

Medicine International

Medicine International

An International Open Access Journal Devoted to General Medicine.

Journal Cover
September-2025 Volume 23 Issue 3

Full Size Image

Sign up for eToc alerts
Recommend to Library

  • Article
  • Citations
    • Cite This Article
    • Download Citation
    • Create Citation Alert
    • Remove Citation Alert
    • Cited By
  • Similar Articles
    • Related Articles (in Spandidos Publications)
    • Similar Articles (Google Scholar)
    • Similar Articles (PubMed)
  • Download PDF
  • Download XML
  • View XML
Article Open Access

Anti‑neuroinflammatory potential of porcine liver decomposition products in improving behavioral abnormalities: Effects on formalin‑ and LPS‑induced inflammation

  • Authors:
    • Ikuya Sato
    • Tomoji Maeda
    • So Katsuyama
    • Takahiro Kawase
    • Teppei Kaku
    • Toru Takahashi
    • Hisao Haniu
    • Tamotsu Tsukahara
    • Takamitsu Tsukahara
    • Yoshikazu Matsuda
  • View Affiliations / Copyright

    Affiliations: Division of Clinical Pharmacology, Graduate School of Pharmaceutical Science, Nihon Pharmaceutical University, Saitama 362‑0806, Japan, Kyoto Institute of Nutrition and Pathology, Kyoto 610‑0231, Japan, Institute for Biomedical Sciences, Interdisciplinary Cluster for Cutting Edge Research, Shinshu University, Matsumoto 390‑8621, Japan, SLC Pharmaceuticals Co., Ltd., Tokyo 107‑6011, Japan
    Copyright: © Sato et al. This is an open access article distributed under the terms of Creative Commons Attribution License.
  • Article Number: 154
    |
    Published online on: July 18, 2025
       https://doi.org/10.3892/br.2025.2032
  • Expand metrics +
Metrics: Total Views: 0 (Spandidos Publications: | PMC Statistics: )
Metrics: Total PDF Downloads: 0 (Spandidos Publications: | PMC Statistics: )
Cited By (CrossRef): 0 citations Loading Articles...

This article is mentioned in:



Abstract

Porcine liver decomposition product (PLDP) is a functional food that enhances delayed memory recall and frontal lobe function in humans and exerts antidepressant and anxiolytic effects. In the present study, the previously unexplored anti‑inflammatory effects of PLDP were investigated both in vitro and in vivo. The effects of PLDP on interleukin (IL)‑1β production were examined in lipopolysaccharide (LPS)‑stimulated Raw 264.7 cells and on their transition to an M1 or M2 phenotype. The effects of PLDP administered 30 min before the initiation of a formalin‑induced inflammation‑related behavior were also evaluated. Furthermore, the effects of PLDP on LPS‑induced inflammation related to cytokine production and behavior in vivo were examined. PLDP was orally administered for five consecutive days and 24 h after LPS administration the mice were evaluated in an open field test and plasma cytokine production was measured. PLDP and its lipid fraction, PLDP extracted lipids (PEL) suppressed LPS‑induced IL‑1β production. Flow cytometry revealed that PEL shifted Raw 264.7 cells to the M2 phenotype. Moreover, PEL reduced phase 2 inflammation‑related behavior in formalin‑induced inflammation. In the LPS‑induced inflammation model, PLDP improved the LPS‑attenuated locomotor activity and exploratory behavior and reduced the increased plasma interferon‑γ levels. These results suggest that PLDP exerts anti‑inflammatory effects and shifts macrophages to the M2 phenotype. Furthermore, our results indicate that the lipid components in PLDP, especially phospholipids, could exert considerable central neuroprotective effects.

Introduction

Porcine liver decomposition product (PLDP), obtained by treating porcine liver with proteases, is abundant in proteins, phospholipids, peptides, essential amino acids, B vitamins, and minerals such as iron and zinc (1). Matsuda et al (2) evaluated the efficacy of PLDP in improving cognitive function using the Hasegawa Dementia Scale-Revised (HDS-R) and revealed that it improves delayed memory recall and HDS-R scores. Additionally, Matsuda et al (3) conducted a randomized, double-blind, placebo-controlled study to examine the effects of PLDP on cognitive function using the Wechsler Memory Scale-Revised in healthy adults aged 40 years or older, revealing that PLDP improves visual memory and delayed recall ability. Furthermore, Suzuki et al (4) investigated changes in the total HDS-R score and individual HDS-R question items following oral PLDP administration in participants with HDS-R scores between 15 and 23 points and confirmed that PLDP improves delayed verbal memory recall and verbal fluency task. Verbal fluency tasks reflect the function of the prefrontal cortex (5), which has been linked to depressive symptoms (6). Therefore, PLDP may improve prefrontal cortex function and exert antidepressant and anti-anxiety effects.

Phosphatidylcholine and lysophosphatidylcholine present in PLDP were previously investigated and a radial arm maze experiment using rats was conducted to examine memory acquisition when choline, a breakdown product of PLDP, was administered (7). It was confirmed that the administration of choline promotes both the memory acquisition process and delayed recall. In the aforementioned study, the levels of brain-derived neurotrophic factor (BDNF) in the hippocampus were measured and it was confirmed that the production of BDNF increases at both the gene and protein levels in rats with choline administration (7).

Tsukahara et al (8-10) reported that PLDP suppresses the production of inflammatory cytokines, suggesting that the underlying mechanism could be a shift from M1 to M2 microglial phenotype induced by PLDP extracted lipids (PEL), the phospholipid fraction contained in PLDP. Microglia play a crucial role in the inflammatory response of the central nervous system in neurodegenerative diseases. Excessive microglial activation and inflammatory cytokine release can cause neuronal damage and cognitive decline with signaling pathways such as the NF-κB and MAP kinase pathways believed to play an important role in the molecular mechanisms underlying microglial neurotoxicity (11,12).

Recent research has revealed that this neuroimmune response, called neuroinflammation, is an important precursor to various neurological diseases. Therefore, it is considered that balancing the induction and inhibition of neuroinflammation by PLDP is important for alleviating brain diseases. Furthermore, PLDP, which has been shown to improve learning and memory and regulate frontal lobe function, is expected to improve symptoms caused by neuroinflammation. In the present study, the anti-inflammatory effects of PLDP and PEL were first investigated in vitro. Further, the anti-neuroinflammatory efficacy of PLDP was investigated in vivo using formalin-induced inflammation-related behavior and lipopolysaccharide (LPS)-induced inflammation-related cytokine production and behavior as indicators.

Materials and methods

PLDP and preparation of PEL

PLDP (cat. no. 170130) was supplied by Sugar Lady Cosmetics Co., Ltd. The components of PLDP are listed in Table I. PEL was extracted from PLDP using the Bligh & Dyer method (13). Briefly, PLDP was mixed with equal amounts of 0.2 M acetic acid, followed by the addition of 5-fold the volume of methanol and 2.5-fold the volume of chloroform. The mixture was stirred for 1-2 min using a vortex. After allowing it to stand for 10 min, 5 ml of chloroform and distilled water were added to the mixture and stirred for 1 min. The mixture was centrifuged at 1,500 x g for 10 min and the lower layer was collected. An equal amount of washing solution (water: methanol: chloroform=47: 48: 3) was added to the collected sample, and the mixture was centrifuged at 1,500 x g for 10 min. The lower chloroform layer was collected and dried using a nitrogen gas evaporator.

Table I

PLDP component analysis.

Table I

PLDP component analysis.

PLDP component Amount
Moisturea 72.90%
Crude fatb 3.09%
Phospholipid subtypec  
PCTotal phosphatidylcholine21.716 mg
LPCTotal lysophosphatidylcholine3.390 mg
PETotal phosphatidylethanolamine2.569 mg
PITotal phosphatidylinositol1.076 mg
SMTotal sphingomyelin0.764 mg
PATotal phosphatidic acid0.648 mg
PSTotal phosphatidylserine0.085 mg

[i] aNormal-pressure heating drying method (105˚C, 3 h);

[ii] bEther extraction method;

[iii] cPhospholipids were extracted from PEL using the Bligh & Dyer method (13) and analyzed by Liquid chromatography-tandem mass spectrometry method. PLDP, porcine liver decomposition product.

Inhibition of interleukin (IL)-1β production

LPS (0000130083; E. coli, O111:B4) was purchased from Sigma-Aldrich. The enzyme-linked immunosorbent assay (ELISA) kits used for detection of mouse IL-1β were purchased from Abcam. Murine macrophage Raw 264.7 cells (RIKEN BRC) were seeded in a 24-well plate (5x105 cells/well) and cultured (37˚C, 5% CO2) for 24 h. LPS, LPS + PLDP, or LPS + PEL were then added and incubated for an additional 48 h. LPS was added at a concentration of 100 ng/ml, PLDP was administered at a 1,000-fold dilution of the original solution, and PEL was administered at 25 µg/ml. After the final incubation, IL-1β levels in the supernatant were measured as an indicator of neurotoxic factors.

Effect of PEL on M1 and M2 macrophages

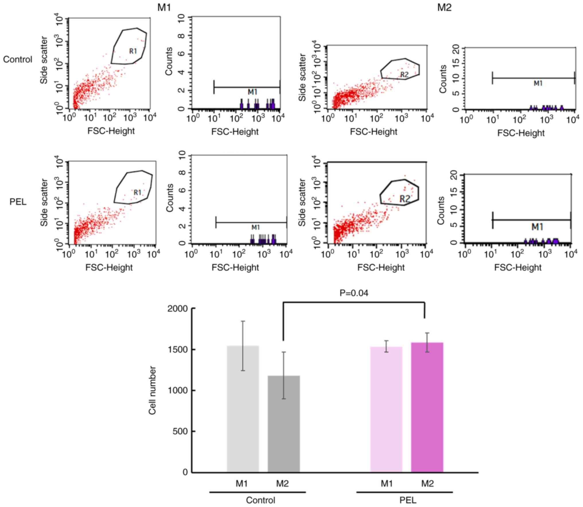
Antibodies used for flow cytometry included monoclonal antibodies CD86 (1:100; cat. no. 11-0862-81) and CD16/CD32 (1:100; cat. no. 14-0161-82), both purchased from Abcam; and CD206 (1:100; cat. no. 141705), purchased from BioLegend, Inc. Raw 264.7 cells (1x106 cells) were treated for 48 h with PEL (25 µg/ml) + LPS (100 ng/ml) or only LPS (100 ng/ml) and then immuno-stained at 4˚C for overnight for flow cytometric analysis. Briefly, the cells were collected, and the Fc receptors were blocked for 20 min on ice using the CD16/CD32 monoclonal antibody. This was followed by incubation with the CD86 monoclonal antibody at room temperature to label the M1 macrophages. After washing, the CD206 monoclonal antibody was added for labeling M2 macrophages. Following the staining, the samples were evaluated using a BD FACSCalibur flow cytometer (BD Biosciences). The data was analyzed using the BD CellQuest Pro software (part no. 349226; Rev A July 2002; BD Biosciences).

Effect of PLDP on the formalin-induced inflammation model

Male ddY mice (n=14, Japan SLC, Inc.) weighing 20-26 g was used in this experiment. The mice were maintained in a controlled environment with a 12/12-h light-dark cycle (light period 07:00-19:00, dark period 19:00-7:00), a temperature of 23±1˚C, and humidity of 52±2% until the experiment. The animals were allowed free access to solid food (SLC F2; CLEA Japan, Inc.) and tap water. The present study was planned and approved in accordance with the animal experiment regulations of Nihon Pharmaceutical University (approval no. AE2023-005; Saitama, Japan) and was performed using the fewest number of animals necessary and ensuring that pain was minimized.

Inflammation pain models, including the formalin-induced inflammation model, evaluate pain and analgesia by administering chemicals that stimulate peripheral nerves to induce inflammation and are broadly considered neuropathic pain models. In the present study, the formalin induced inflammation model was performed according to the method described by Tan-No et al (14). Prior to the experiment, mice were individually placed in transparent plastic cages (22.0x15.0x12.5 cm) to enable observation and allowed to acclimate to the environment for ~1 h. PLDP or distilled water (Otsuka Pharmaceutical Factory) was orally administered (0.2 ml/mouse, n=7) 30 min before injection of 20 µl of 2% formalin (Fujifilm Wako Pure Chemical Industries) into the hind footpad of the mice. The formalin was diluted with saline (Otsuka Pharmaceutical Factory). Behavioral observations were performed for 30 min after formalin administration. The antinociceptive effect of PLDP was evaluated based on observed pain-related behaviors (licking and biting).

Effect of PLDP on the LPS-induced inflammation model

In total, 8-week-old C57BL/6J male mice (CLEA Japan, Inc.) were used for the experiment (15). The mice were placed in a room with a controlled temperature of 25±1˚C (12-h light/dark cycle) and allowed to acclimate for 7 days. After acclimatization, the mice were divided based on uniform body weight into three experimental groups (n=8/group) and housed in cages (345x403x177 mm). Water was provided ad libitum. This study was planned and approved in accordance with the animal experiment regulations of; University (approval no. AE2024-017; Saitama, Japan). The present study was conducted at the Kyoto Institute of Nutritional Pathology with the approval of the Animal Ethics Committee of the Kyoto Institute of Nutritional Pathology (approval date: May 7, 2024, approval number: 23027NY②; Kyoto, Japan). The experiment was also conducted with the minimum number of animals necessary, with care taken to minimize pain.

The experimental groups included group 1 (saline), group 2 (LPS), and group 3 (LPS + PLDP). From days 2 to 7 of the experiment, group 3 received orally administered PLDP [0.2 ml/20 g body weight (BW)] while groups 1 and 2 were administered an equivalent volume of saline. The administration periods of PLDP and saline were set based on the papers by Wakasugi et al (16) and Hong et al (17). On the 7th day of the experiment, LPS (E. coli O111:B4) adjusted to 0.1 mg/ml with saline was intraperitoneally administered to groups 2 and 3 at 0.1 ml/20 g BW. Group 1 administered an equal volume of saline only.

All animals were autopsied 8 days after the start of the experiment. After anesthesia using of sodium medetomidine (0.3 mg/kg B.W., Meiji Seika Kaisha, Ltd.), midazolam (4.0 mg/kg B.W.), and butorphanol tartrate (5.0 mg/kg B.W., Meiji Seika Kaisha, Ltd.) (15,18) with an intraperitoneal injection, and blood was collected from the abdominal vena cava. The blood was heparinized, and plasma was promptly separated, frozen, and stored at -80˚C until use.

Open field test (OFT)

Mice from each experimental group were individually placed in an open field (500x500x400 mm, Obara Medical Industry Co., Ltd.), which was disinfected with alcohol and lit under 100 lux lighting conditions. The amount of spontaneous movement and time spent in the field center were analyzed for 10 min for each mouse. The OFT was conducted at 10:00 a.m.

Quantification of blood cytokine levels

The plasma concentrations of inflammatory cytokines, namely IL-6, IL-10, IL-12 p70, interferon (IFN)-γ, monocyte chemoattractant protein (MCP)-1, and TNF, were measured using a cytometric bead array (Mouse Inflammation CBA kit; BD Biosciences), according to the manufacturer's protocol.

Statistical analysis

The data regarding the inhibition of IL-1β production were analyzed using one-way ANOVA, followed by multiple comparison analysis using the Tukey method to compare differences in the average values between the three groups. Results are presented as mean ± SE After confirming the normality of the M1 and M2 macrophage flow cytometry data, the mean values between groups were compared using paired or unpaired t-tests, depending on whether the data were paired. After confirming the normality of the formalin-induced inflammation model data, the mean values between groups were compared using paired or unpaired t-tests, depending on whether the data were paired. Results are presented as the mean ± SE Baseline data on total distance traveled, exploratory behavior, number of entries into the central area, time spent in the central area, and cytokine levels were established based on the data obtained from the first day of the OFT. Changes from baseline on the second day of the OFT were calculated. Comparisons were made between groups using the Holm multiple comparison test. For plasma cytokine concentrations, multiple comparison analysis was performed using the Tukey-Kramer method to compare the differences in the average values between the three groups. Moreover, statistical verification of the distribution of data was performed using the Smirnoff rejection test. P<0.05 was considered to indicate a statistically significant difference for all statistical analyses.

Results

PLDP- and PEL-mediated inhibition of IL-1β production

IL-1β production induced by LPS stimulation was inhibited by ~95% when PLDP was diluted 1,000-fold from the original solution. Similarly, IL-1β production induced by LPS stimulation was inhibited by ~93% when PEL was used at a concentration of 25 µg/ml (Fig. 1).

Effects of PLDP and its lipid fraction
PEL on (IL)-1β production in LPS-stimulated Raw 264.7 cells. IL-1β
production induced by LPS stimulation (100 ng/ml) was inhibited by
~95% when PLDP was diluted 1,000-fold from the original solution
and by ~93% when PEL was used at a concentration of 25 µg/ml. Data
are expressed as the mean ± S.E (n=3/group); Cont=LPS; PLDP=PLDP +
LPS (P=0.01); PEL=PEL + LPS (P=0.01). PLDP, porcine liver
decomposition product; PEL, PLDP extracted lipids; IL, interleukin;
LPS, lipopolysaccharide.

Figure 1

Effects of PLDP and its lipid fraction PEL on (IL)-1β production in LPS-stimulated Raw 264.7 cells. IL-1β production induced by LPS stimulation (100 ng/ml) was inhibited by ~95% when PLDP was diluted 1,000-fold from the original solution and by ~93% when PEL was used at a concentration of 25 µg/ml. Data are expressed as the mean ± S.E (n=3/group); Cont=LPS; PLDP=PLDP + LPS (P=0.01); PEL=PEL + LPS (P=0.01). PLDP, porcine liver decomposition product; PEL, PLDP extracted lipids; IL, interleukin; LPS, lipopolysaccharide.

Effects of PEL on M1 and M2 macrophages

The PEL-treated group exhibited an increased proportion of M2 macrophages compared with the control group (Fig. 2). Stimulation of Raw264.7 cells with LPS tended to shift the phenotype to M1, whereas addition of PLDP significantly shifted the phenotype to M2.

PEL activates macrophages and induces
the M2 phenotype. Total phospholipids (PEL) were extracted from
PLDP using the Bligh and Dyer method. Data are expressed as the
mean ± SE (n=3); Control=LPS (100 ng/ml); PEL=PEL (25 µg/ml) + LPS
(100 ng/ml). PLDP, porcine liver decomposition product; PEL, PLDP
extracted lipids; LPS, lipopolysaccharide.

Figure 2

PEL activates macrophages and induces the M2 phenotype. Total phospholipids (PEL) were extracted from PLDP using the Bligh and Dyer method. Data are expressed as the mean ± SE (n=3); Control=LPS (100 ng/ml); PEL=PEL (25 µg/ml) + LPS (100 ng/ml). PLDP, porcine liver decomposition product; PEL, PLDP extracted lipids; LPS, lipopolysaccharide.

Effect of PLDP on the formalin-induced inflammation model

Pain and inflammation-related behaviors (licking and biting) were observed following the subcutaneous administration of 2% formalin (20 µl) into the hind footpads of mice. These behaviors included primary responses observed within 10 min of subcutaneous administration and secondary responses observed between 10 and 30 min after administration. No significant differences in the primary responses were observed between the PLDP-administered and control groups; however, a significant reduction in pain-related behaviors was observed in the secondary response (Fig. 3).

PLDP significantly reduces pain
behaviors during the secondary reaction time in a formalin-induced
acute pain model. PLDP was administered into the footpads of mice
30 min before the irritant formalin was administered. Data are
expressed as the mean ± SE (n=7). PLDP, porcine liver decomposition
product.

Figure 3

PLDP significantly reduces pain behaviors during the secondary reaction time in a formalin-induced acute pain model. PLDP was administered into the footpads of mice 30 min before the irritant formalin was administered. Data are expressed as the mean ± SE (n=7). PLDP, porcine liver decomposition product.

Effect of PLDP on the LPS-induced inflammation model

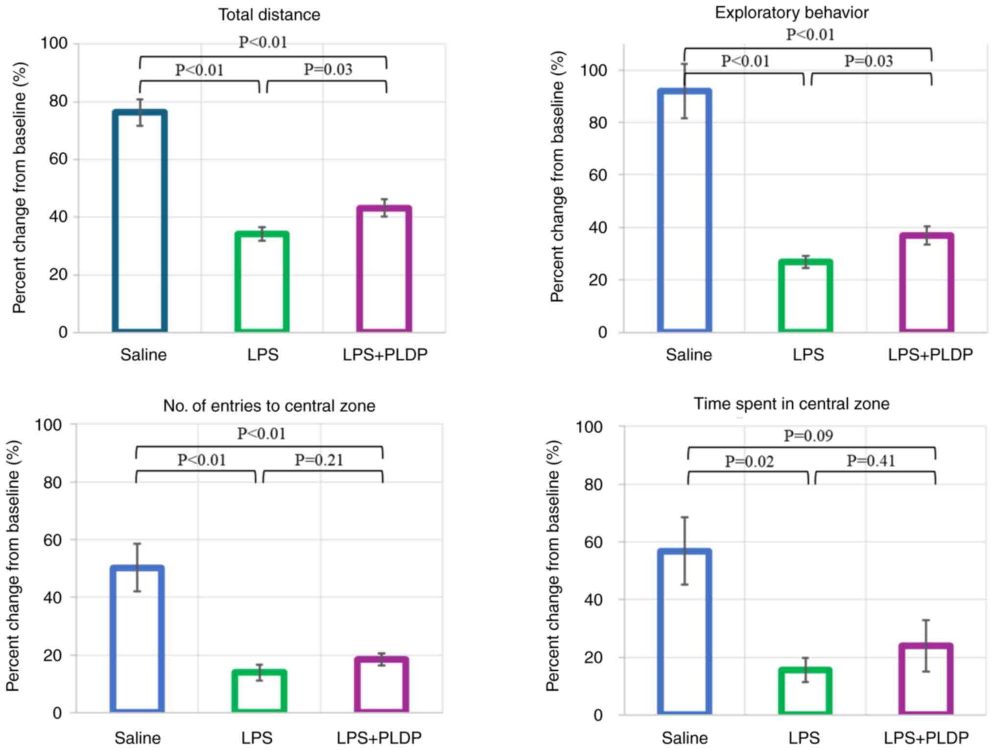
Significant changes in OFT behavior were observed on the first day after LPS administration, which gradually recovered and returned to baseline behavior. The percentage of change (mean ± SE) from day-one baseline in the mean total distance traveled, number of exploratory behaviors, number of central zone entries, and time spent in the central zone on the second day of the OFT, are shown in Fig. 4. The percentage change in the mean total distance traveled on the second day of the OFT was 76.3±4.6% in group 1 (saline), 34.2±2.4% in group 2 (LPS), and 43.2±3.0% in group 3 (PLDP + LPS), with group 2 exhibiting the lowest value. Significant differences were observed between groups 1 and 2 and between groups 1 and 3, and a significant decrease in the total distance traveled (change rate) was observed due to LPS administration. Furthermore, a significant difference was observed between groups 2 and 3, indicating that PLDP administration significantly improved decrease in the total distance traveled (change rate) induced by LPS.

Percentage change from day-one
baseline in the mean total distance traveled, number of exploratory
behaviors, number of central entries, and time spent in the central
zone on the second day of the OFT in the LPS-induced inflammation
model. PLDP or saline were orally administered daily for 5 days
prior to LPS administration. The LPS group received saline + LPS,
and the PLDP group received PLDP + LPS. Data are expressed as the
mean ± SE (n=8). OFT, open field test; LPS, lipopolysaccharide;
PLDP, porcine liver decomposition product.

Figure 4

Percentage change from day-one baseline in the mean total distance traveled, number of exploratory behaviors, number of central entries, and time spent in the central zone on the second day of the OFT in the LPS-induced inflammation model. PLDP or saline were orally administered daily for 5 days prior to LPS administration. The LPS group received saline + LPS, and the PLDP group received PLDP + LPS. Data are expressed as the mean ± SE (n=8). OFT, open field test; LPS, lipopolysaccharide; PLDP, porcine liver decomposition product.

The rate of change (mean ± SE) in the number of exploratory behaviors on the second day of the OFT was 91.9±10.4% in group 1, 26.8±2.3% in group 2, and 37.0±3.5% in group 3, with group 2 exhibiting the lowest value. A significant difference was observed between groups 1 and 2, indicating that LPS administration significantly reduced the number of exploratory behaviors. Furthermore, a significant difference was observed between groups 2 and 3, indicating that PLDP administration significantly mitigated the decrease in the number of exploratory behaviors (rate of change) induced by LPS.

The rate of change (mean ± SE) in the median number of entry attempts on the second day of the OFT was 50.2±8.2% in group 1, 13.9±2.7% in group 2, and 18.4±2.1% in group 3, with group 2 exhibiting the lowest value. A significant difference was observed between groups 1 and 2, indicating that LPS administration significantly reduced the median number of entry attempts (rate of change). Conversely, no significant differences were observed between groups 2 and 3.

The rate of change (mean ± SE) in median dwell time on the second day of the OFT was 56.8±11.7% in group 1, 15.5±4.3% in group 2, and 24.0±8.9% in group 3, with group 2 showing the lowest value. Significant differences were observed between groups 1 and 2, as well as between groups 1 and 3; however, no significant differences were observed between groups 2 and 3, with LPS administration leading to a significant decrease in median dwell time (rate of change).

Changes in plasma cytokine levels were analyzed using plasma collected on the eighth day after LPS administration; however, no significant changes were observed (P<0.05). In a separate experiment, plasma cytokine levels were also analyzed 24 h after LPS administration. The measured cytokine concentrations in abdominal vena cava blood plasma 24 h after LPS administration are depicted in Fig. 5.

Percentage change from day-one
baseline in plasma cytokine levels on the second day of the
LPS-induced inflammation model. PLDP and saline were orally
administered daily for 5 days prior to LPS administration. The LPS
group received saline + LPS, and the PLDP group received PLDP +
LPS. Data are expressed as the mean ± SE (n=8). LPS,
lipopolysaccharide; PLDP, porcine liver decomposition product.

Figure 5

Percentage change from day-one baseline in plasma cytokine levels on the second day of the LPS-induced inflammation model. PLDP and saline were orally administered daily for 5 days prior to LPS administration. The LPS group received saline + LPS, and the PLDP group received PLDP + LPS. Data are expressed as the mean ± SE (n=8). LPS, lipopolysaccharide; PLDP, porcine liver decomposition product.

The mean plasma concentration of IL-12p70 (± SE) was 2.46±1.31 pg/ml in group 1, 0.21±0.21 pg/ml in group 2, and 0 pg/ml in group 3. Group 1 exhibited the highest value, followed by groups 2 and 3 respectively. No significant differences were observed between the groups.

The mean plasma TNF concentration was 5.95±0.59 pg/ml in group 1, 39.93±4.02 pg/ml in group 2, and 31.14±1.92 pg/ml in group 3. Group 2 had the greatest value, and significant differences were observed between groups 1 and 2 and between groups 1 and 3. However, no significant differences were observed between groups 2 and 3.

Group 2 had the highest IFN-γ levels at 2.24±0.08 pg/ml, while those in groups 1 and 3 were 1.32±0.03 pg/ml and 1.86±0.10 pg/ml, respectively. Significant differences were observed between all three groups (groups 1 and 2, 1 and 3, and 2 and 3).

Monocyte chemoattractant protein-1 (MCP-1) was highest in group 2 at 509.35±100.98 pg/ml, while groups 1 and 3 had mean MCP-1 levels of 6.61±2.19 and 442.73±67.12 pg/ml, respectively. Significant differences were observed between groups 1 and 2 and between groups 1 and 3, but not between groups 2 and 3.

Similarly, group 2 had the highest IL-10 levels at 17.70±0.77 pg/ml, while those in groups 1 and 3 were 2.68±1.59 and 17.18±0.93 pg/ml, respectively. Significant differences were observed between groups 1 and 2 and between groups 1 and 3; however, no significant differences were observed between groups 2 and 3.

IL-6 levels were highest in group 2 at 43.70±6.17 pg/ml, followed by 2.84±0.71 pg/ml in group 1 and 38.76±5.49 pg/ml in group 3. Significant differences were observed between groups 1 and 2 and between groups 1 and 3, but not between groups 2 and 3.

Discussion

In the present study, it was demonstrated that PLDP, which has previously been shown to improve cognitive function in clinical trials, suppressed the production of IL-1β in LPS-stimulated Raw 264.7 macrophages. Furthermore, it was revealed that the mechanism underlying this was attributed to a shift towards M2-type macrophages. These results suggest that PLDP may also exert an anti-inflammatory effect within the brain via M2 microglial cells. Similar activity was observed with PEL treatment, suggesting that the lipid fraction of PLDP may play a key role in the mitigation of chronic inflammation by PLDP. However, the in vivo effects of PLDP have been largely unexplored, primarily due to the lack of appropriate pathological models. The effects of PLDP were therefore investigated using a formalin-induced inflammation model, where IL-1β plays a key role in the pathological mechanism. It was also found that a single administration of PLDP, 30 min before formalin administration, suppressed pain-related responses during the second phase. Furthermore, the effects of PLDP in an LPS-induced inflammation model were investigated and it was found that daily oral administration of PLDP for 5 days alleviated abnormal behavior and suppressed the increased IFN-γ levels induced by LPS administration.

Infections with viruses such as SARS CoV 2 or influenza can cause acute inflammation in humans, leading to the production of inflammatory cytokines such as IL-1β and antiviral cytokines such as IFN in the periphery, which cause symptoms such as fever and abnormal psychological and physical symptoms referred to as depressive symptoms. Early symptoms include a loss of appetite and fatigue, with cognitive impairment manifesting during the later stages (19).

Shirato and Kizaki (20) reported that the SARS-CoV-2 spike protein S1 subunit activates macrophage signaling through toll-like receptor (TLR) 4, such as LPS, and promotes inflammatory cytokine production [IL-6 and tumor necrosis factor (TNF)-α] (20). Similarly, Khan et al (21) reported that the SARS-CoV-2 spike protein S1 subunit activates TLR2 and the NF-κB signaling pathway, thereby enhancing inflammatory cytokine production (IL-1β, IL-6 and TNF-α) (21). These findings indicate that the SARS-CoV-2 spike protein triggers inflammatory pathology through TLR4 and TLR2.

Yamato et al (22) induced neuroinflammation in rats by intraperitoneally injecting polyriboinosinic acid: polyribocytidylic acid (poly I:C), a TLR3 agonist that mimics viral infection, and examined the mechanism by which neuroinflammation transitions from an acute to a chronic condition. Rats exhibit transient fever and a prolonged suppression of spontaneous activity several days after poly I:C injection, and although fever is suppressed by administering a cyclooxygenase-2 inhibitor (NS-398), spontaneous activity is not improved, suggesting that the reduction in activity is not induced by the arachidonic acid cascade that causes fever (22). Furthermore, IL-1β and IL-1 receptor antagonist (IL-1ra) are overexpressed in the brain, including in the cerebral cortex, following poly I:C treatment. When IL-1ra is administered intracerebroventricularly to inhibit IL-1 receptors in the brain, the suppression of spontaneous activity by poly I:C is completely attenuated. Moreover, fatigue-like behavior is induced by suppressing the serotonergic system, while the amplification of IFN-α expression in the brain is also suppressed (22). These results suggest that IL-1β is a key trigger of neuroinflammation and that IL-1ra suppresses chronic neuroinflammation (22). Meanwhile, Li et al (23) quantitatively evaluated brain inflammation in a rat model of virus infection using PET imaging and reported that inflammatory cytokine levels in the blood increase significantly 2 h after the intraperitoneal administration of poly I:C and that fever persists for several hours, accompanied by significant decreases in spontaneous activity, which gradually recover over several days. This indicates that fatigue persists even after the acute symptoms of fever subside. Moreover, imaging using the PET probe [18F]DPA-714, which specifically recognizes activated microglia in the brain, reveals significant increases in brain inflammation in the nucleus tractus solitarii and parabrachial nucleus, which are vagus nerve afferents. Additionally, inflammatory cytokines released from peripheral tissues stimulate cerebrovascular endothelial cells and vagus nerve afferents, inducing inflammation in the brain, similar to an actual viral infection (23). Furthermore, correlation analysis between [18F] DPA-714 accumulation in areas where intracerebral inflammation is observed and the decrease in spontaneous activity (fatigue) reveals a positive correlation between fatigue and intracerebral inflammation in the dorsal raphe nucleus (and other areas). This suggests a potential relationship with intracerebral inflammation-induced fatigue and serotonin neurons, which are abundant in the dorsal raphe nucleus (23).

These studies suggest a mechanism that explains the relationship between intracerebral inflammation and fatigue due to viral infection. Viruses that infect peripheral tissues may cause inflammation in the dorsal raphe nucleus of the brain. This in turn can cause abnormalities in serotonin nerve function due to intracerebral inflammation. Finally, the abnormalities in serotonin nerve function may ultimately cause long-term fatigue.

Although the detailed mechanisms underlying long COVID and brain fog have not yet been elucidated, ‘neuroinflammation in the brain’ has been identified as a key factor underlying their pathology. The current findings demonstrated that PLDP and the LPS-induced inflammation model can be used as an experimental system to provide important insights into the pathology of long COVID and brain fog. The present study is considered the first in that regard and that PLDP, which was demonstrated in this model to suppress abnormal behavior and inflammatory cytokine production, may be effective against long COVID and brain fog. Moreover, significant suppression of IFN-γ production was observed in the present study; however, only a tendency for suppression was shown for other inflammatory cytokines. Our future studies will examine the expression pattern of each cytokine in more detail, as well as the effects of PLDP dosage, and the timing of PLDP administration and blood collection.

OFT evaluates spontaneous activity and anxiety-like behavior in animals in a novel environment (24). In the present study, the LPS + PLDP group showed significant improvements in spontaneous motor activity and exploratory behavior compared with the LPS group. However, no significant differences were observed in other indices. Mice naturally exhibit ‘thigmotaxis’, a tendency to stay close to the walls the open field (where the body touches the wall), which limits their exploratory behavior toward the center. As a result, it is difficult to accurately assess the effects of PLDP. Nevertheless, the observed improvements in spontaneous motor activity and exploratory behavior may be attributed to the anti-neuroinflammatory effects of PLDP. Altering the dosage and timing of PLDP administration, as well as the duration of OFT, may potentially influence exploratory behavior toward the center.

The optimal dose and duration of PLDP administration remain undetermined. To the best of our knowledge, this is the first in vivo study to investigate the effects of PLDP. Wakasugi et al (16) demonstrated that oral administration of oleacein, a rare component found in olives, for 10 consecutive days followed by intraperitoneal injection of LPS resulted in the suppression of depression-like behavior in mice. Similarly, Hong et al (17) reported comparable findings using cinnamon water extract, which was administered for 6 days. Based on these prior studies indicating that even short-term administration can exert beneficial effects on inflammation-induced behavioral abnormalities, a 5-day administration period was selected for PLDP in the present study. By contrast, clinical trials have reported memory-enhancing effects and improved prefrontal cortex function following longer-term administration of PLDP, typically over 2 to 4 weeks. These findings suggest that the optimal dosage and duration of PLDP administration may vary depending on the specific experimental context and outcome measures. Therefore, future studies should aim to determine the most effective dose and treatment duration of PLDP and PEL using both formalin- and LPS-induced inflammation models. These considerations represent important limitations of the present study and should be addressed in subsequent research.

Identifying the main targets of the gene signaling pathways modulated by PLDP and PEL would provide valuable insights into their mechanisms of action. In this context, it has been previously demonstrated that lyso-phosphatidylethanolamine (LPE) activates mitogen-activated protein kinase (MAPK)/extracellular signal-regulated kinase 1/2 pathway. Furthermore, in cultured cortical neurons, LPE was shown to promote neurite outgrowth via multiple signaling cascades, implicating the involvement of G protein-coupled receptors in these processes (25). Additionally, it was hypothesized that PEL may inhibit TLR4-NF-κB signaling and promote M2 polarization via STAT6(26).

Future studies focusing on the transcriptional regulation associated with these pathways are warranted to elucidate the precise molecular mechanisms underlying the effects of PLDP and PEL.

In summary, the present findings suggest that PEL contained in PLDP is a potential functional nutrient that may alleviate long COVID and brain fog by suppressing the production of inflammatory cytokines and reducing the inflammatory response. PLDP was demonstrated to exert anti-inflammatory effects in a systemic inflammation model by shifting macrophages to the M2 phenotype. In addition, PLDP exhibited a substantial central neuroprotective effect, suggesting that it may alleviate brain fog caused by COVID-19, potentially via PEL contained in PLDP as the active component. However, these results require validation, and further research is required to explore the potential role of other PLDP components.

The present study has several limitations. First, the optimal dose and duration of PLDP administration may vary depending on the experimental conditions. The behavioral abnormalities induced by formalin- and LPS-induced inflammation performed in the present study may be experimental systems in which the effects are relatively easy to detect. Second, the timing of evaluations for outcome measures such as behavioral characteristics and cytokine production may not have been optimal, raising the possibility that only a subset of PLDP's effects was captured. Third, the long-term effects of PLDP and its clinical relevance remain elucidated. Comprehensive evaluations, including extended observation periods and clinical studies, are essential for drawing definitive conclusions regarding its therapeutic potential. Nevertheless, the present study demonstrates that PLDP exerts measurable effects within a relatively short period in both the formalin-induced peripheral inflammation model and the LPS-induced neuroinflammation model. These findings suggest that these models are valuable tools for investigating the pharmacological actions of PLDP in greater detail, including its long-term effects and potential clinical applications. Despite limitations, our findings support the potential of PLDP as a promising strategy for neuroinflammatory conditions such as brain fog and related cognitive dysfunctions associated with COVID-19.

Acknowledgements

Not applicable.

Funding

Funding: No funding was received.

Availability of data and materials

The data generated in the present study may be requested from the corresponding author.

Authors' contributions

IS and YM conceptualized the study. TM, SK, TeK, TaK and TTs developed methodology. ToT performed software analysis. HH, TaT and YM validated data. IS and ToT performed formal analysis. YM conducted investigation and provided resources. IS curated data. IS and YM prepared the original draft. YM and TTs wrote, reviewed and edited the manuscript and acquired funding. IS and TM visualized data. YM supervised the study and conducted project administration. IS and YM confirm the authenticity of all the raw data. All authors read and approved the final version of the manuscript.

Ethics approval and consent to participate

The present study was planned and approved in accordance with the animal experiment regulations of Nihon Pharmaceutical University (approval nos. AE2023-005 and AE2024-017; Saitama, Japan). The present study was conducted at the Kyoto Institute of Nutritional Pathology with the approval of the Animal Ethics Committee of the Kyoto Institute of Nutritional Pathology (approval date: May 7, 2024; approval no. 23027NY②; Kyoto, Japan).

Patient consent for publication

Not applicable.

Competing interests

The authors declare that they have no competing interests.

References

1 

Chikwanha OC, Vahmani P, Muchenje V, Dugan MER and Mapiye C: Nutritional enhancement of sheep meat fatty acid profile for human health and wellbeing. Food Res Int. 104:25–38. 2018.PubMed/NCBI View Article : Google Scholar

2 

Matsuda Y, Haniu H, Tsukahara T, Inoue T, Sako K, Sugita K, Mabuchi T, Emizu T and Sato K: Effects of porcine liver decomposition product on the cognitive function in non-dementia patients. Jpn J Med Phram Sci. 73:1057–1066. 2016.(In Japanese).

3 

Matsuda Y, Haniu H, Tsukahara T, Uemura T, Inoue T, Sako KI, Kojima J, Mori T and Sato K: Oral administration of porcine liver decomposition product for 4 weeks enhances visual memory and delayed recall in healthy adults over 40 years of age: A randomized, double-blind, placebo-controlled study. Exp Gerontol. 141(111064)2020.PubMed/NCBI View Article : Google Scholar

4 

Suzuki M, Sato I, Sato M, Iwasaki H, Saito T, Kimura M, Sako K, Maeda T, Haniu H, Tsukahara T and Matsuda Y: Pork liver decomposition product may improve frontal lobe function in humans-open trial. Brain Sci. 14(586)2024.PubMed/NCBI View Article : Google Scholar

5 

Audenaert K, Brans B, van Laere K, Lahorte P, Versijpt J, van Heeringen K and Dierckx R: Verbal fluency as a prefrontal activation probe: A validation study using 99mTc-ECD brain SPET. Eur J Nucl Med. 27:1800–1808. 2000.PubMed/NCBI View Article : Google Scholar

6 

Surguladze S, Brammer MJ, Keedwell P, Giampietro V, Young AW, Travis MJ, Williams SCR and Phillips ML: A differential pattern of neural response toward sad versus happy facial expressions in major depressive disorder. Biol Psychiatry. 57:201–209. 2005.PubMed/NCBI View Article : Google Scholar

7 

Inoue T, Matsuda Y, Sato T, Sakurada C, Haniu H, Tsukahara T, Sugita T, Mabuchi T, Emizu T and Sato K: The impact of repeated administration of choline chloride on spatial cognitive memory in rats. Jpn J Med Phram Sci. 73:1009–1016. 2016.(In Japanese).

8 

Tsukahara T, Haniu H, Uemura T and Matsuda Y: Porcine liver decomposition product-derived lysophospholipids promote microglial activation in vitro. Sci Rep. 10(3748)2020.PubMed/NCBI View Article : Google Scholar

9 

Tsukahara T, Hara H, Haniu H and Matsuda Y: The combined effects of lysophospholipids against lipopolysaccharide-induced inflammation and oxidative stress in microglial cells. J Oleo Sci. 70:947–954. 2021.PubMed/NCBI View Article : Google Scholar

10 

Tsukahara T, Haniu H, Uemura T and Matsuda Y: Therapeutic potential of porcine liver decomposition product: New insights and perspectives for microglia-mediated neuroinflammation in neurodegenerative diseases. Biomedicines. 8(446)2020.PubMed/NCBI View Article : Google Scholar

11 

Bachiller S, Jiménez-Ferrer I, Paulus A, Yang Y, Swanberg M, Deierborg T and Boza-Serrano A: Microglia in neurological diseases: A road map to braindisease dependent-inflammatory response. Front Cell Neurosci. 12(488)2018.PubMed/NCBI View Article : Google Scholar

12 

Perry VH, Nicoll JA and Holmes C: Microglia in neurodegenerative disease. Nat Rev Neurol. 6:193–201. 2010.PubMed/NCBI View Article : Google Scholar

13 

Bligh EG and Dyer WJ: A rapid method of total lipid extraction and purification. Can J Biochem Physiol. 37:911–917. 1959.PubMed/NCBI View Article : Google Scholar

14 

Tan-No K, Sakurada T, Yamada T, Sakurada S and Kisara K: Involvement of opioid receptors in the antinociception produced by intracerebroventricularly administered spantide in mice. Neuropeptides. 29:293–299. 1995.PubMed/NCBI View Article : Google Scholar

15 

Tsukahara T, Toyoda A, Kawase T, Nakamura SI and Ochiai K: Consecutive intra-gingival injections of lipopolysaccharide and butyric acid to mice induce abnormal behavior and changes in cytokine concentrations. J Neuroinflammation. 17(331)2020.PubMed/NCBI View Article : Google Scholar

16 

Wakasugi D, Kondo S, Ferdousil F, Miyazono S, Yada A, Tomonaga K, Takahashi S and Isoda H: A rare olive compound oleacein functions as a TrkB agonist and mitigates neuroinflammation both in vitro and in vivo. Cell Commun Signal. 22(309)2024.PubMed/NCBI View Article : Google Scholar

17 

Hong JW, Yang GE, Kim YB, Eom SH, Lew JH and Kangh H: Anti-inflammatory activity of cinnamon water extract in vivo and in vitro LPS-induced models. BMC Complement Altern Med. 12(237)2012.PubMed/NCBI View Article : Google Scholar

18 

Leon C, Ruelle A, Geoffray J, Augeul L, Vogt C, Chiari P, Gomez L, Ovize M, Bidaux G and Pillot B: Evaluation of general anesthesia protocols for a highly controlled cardiac ischemia reperfusion model in mice. PLoS One. 19(e0309799)2024.PubMed/NCBI View Article : Google Scholar

19 

Traynor TR, Majde JA, Bohnet SG and Krueger JM: Interferon type I receptor-deficient mice have altered disease symptoms in response to influenza virus. Brain Behav Immun. 21:311–322. 2007.PubMed/NCBI View Article : Google Scholar

20 

Shirato K and Kizaki T: SARS-CoV-2 spike protein S1 subunit induces pro-inflammatory responses via toll-like receptor 4 signaling in murine and human macrophages. Heliyon. 7(e06187)2021.PubMed/NCBI View Article : Google Scholar

21 

Khan S, Shafiei MS, Longoria C, Schoggins JW, Savani RC and Zaki H: SARS-CoV-2 spike protein induces inflammation via TLR2-dependent activation of the NF-kappaB pathway. Elife. 10(e68563)2021.PubMed/NCBI View Article : Google Scholar

22 

Yamato M, Tamura Y, Eguchi A, Kume S, Miyashige Y, Nakano M, Watanabe Y and Kataoka Y: Brain interleukin-1β and the intrinsic receptor antagonist control peripheral toll-like receptor 3-mediated suppression of spontaneous activity in rats. PLoS One. 9(e90950)2014.PubMed/NCBI View Article : Google Scholar

23 

Li D, Hu D, Ochi Y, Arakaki W, Mawatari A, Shigeta M, Wu Y, Hayashinaka E, Neyama H, Tahara T, et al: Regional neuroinflammation induced by peripheral infection contributes to fatigue-like symptoms: A [18F] DPA-714 positron emission tomography study in rats. Front Immunol. 14(1261256)2023.PubMed/NCBI View Article : Google Scholar

24 

Bruhwyler J: Anxiolytic potential of a microgram dose of chlordiazepoxide in the open-field test. Eur J Pharmacol. 187:547–549. 1990.PubMed/NCBI View Article : Google Scholar

25 

Hisano K, Kawase H, Mimura T, Yoshida H, Yamada H, Haniu H, Tsukahara T, Kurihara T, Matsuda Y, Saito N and Uemura T: Structurally different lysophosphatidylethanolamine species stimulate neurite outgrowth in cultured cortical neurons via distinct G-protein-coupled receptors and signaling cascades. Biochem Biophy Res Commun. 534:179–185. 2021.PubMed/NCBI View Article : Google Scholar

26 

Wang S, Lu M, Cao Y, Tao Z, Sun Z, Liu X, Liu J and Liu S: Degradative polylactide nanofibers promote M2 macrophage polarization via STAT6 pathway in peritendinous adhesion. Composites Part B: Engineering. 253(110520)2023.

Related Articles

  • Abstract
  • View
  • Download
  • Twitter
Copy and paste a formatted citation
Spandidos Publications style
Sato I, Maeda T, Katsuyama S, Kawase T, Kaku T, Takahashi T, Haniu H, Tsukahara T, Tsukahara T, Matsuda Y, Matsuda Y, et al: Anti‑neuroinflammatory potential of porcine liver decomposition products in improving behavioral abnormalities: Effects on formalin‑ and LPS‑induced inflammation. Biomed Rep 23: 154, 2025.
APA
Sato, I., Maeda, T., Katsuyama, S., Kawase, T., Kaku, T., Takahashi, T. ... Matsuda, Y. (2025). Anti‑neuroinflammatory potential of porcine liver decomposition products in improving behavioral abnormalities: Effects on formalin‑ and LPS‑induced inflammation. Biomedical Reports, 23, 154. https://doi.org/10.3892/br.2025.2032
MLA
Sato, I., Maeda, T., Katsuyama, S., Kawase, T., Kaku, T., Takahashi, T., Haniu, H., Tsukahara, T., Tsukahara, T., Matsuda, Y."Anti‑neuroinflammatory potential of porcine liver decomposition products in improving behavioral abnormalities: Effects on formalin‑ and LPS‑induced inflammation". Biomedical Reports 23.3 (2025): 154.
Chicago
Sato, I., Maeda, T., Katsuyama, S., Kawase, T., Kaku, T., Takahashi, T., Haniu, H., Tsukahara, T., Tsukahara, T., Matsuda, Y."Anti‑neuroinflammatory potential of porcine liver decomposition products in improving behavioral abnormalities: Effects on formalin‑ and LPS‑induced inflammation". Biomedical Reports 23, no. 3 (2025): 154. https://doi.org/10.3892/br.2025.2032
Copy and paste a formatted citation
x
Spandidos Publications style
Sato I, Maeda T, Katsuyama S, Kawase T, Kaku T, Takahashi T, Haniu H, Tsukahara T, Tsukahara T, Matsuda Y, Matsuda Y, et al: Anti‑neuroinflammatory potential of porcine liver decomposition products in improving behavioral abnormalities: Effects on formalin‑ and LPS‑induced inflammation. Biomed Rep 23: 154, 2025.
APA
Sato, I., Maeda, T., Katsuyama, S., Kawase, T., Kaku, T., Takahashi, T. ... Matsuda, Y. (2025). Anti‑neuroinflammatory potential of porcine liver decomposition products in improving behavioral abnormalities: Effects on formalin‑ and LPS‑induced inflammation. Biomedical Reports, 23, 154. https://doi.org/10.3892/br.2025.2032
MLA
Sato, I., Maeda, T., Katsuyama, S., Kawase, T., Kaku, T., Takahashi, T., Haniu, H., Tsukahara, T., Tsukahara, T., Matsuda, Y."Anti‑neuroinflammatory potential of porcine liver decomposition products in improving behavioral abnormalities: Effects on formalin‑ and LPS‑induced inflammation". Biomedical Reports 23.3 (2025): 154.
Chicago
Sato, I., Maeda, T., Katsuyama, S., Kawase, T., Kaku, T., Takahashi, T., Haniu, H., Tsukahara, T., Tsukahara, T., Matsuda, Y."Anti‑neuroinflammatory potential of porcine liver decomposition products in improving behavioral abnormalities: Effects on formalin‑ and LPS‑induced inflammation". Biomedical Reports 23, no. 3 (2025): 154. https://doi.org/10.3892/br.2025.2032
Follow us
  • Twitter
  • LinkedIn
  • Facebook
About
  • Spandidos Publications
  • Careers
  • Cookie Policy
  • Privacy Policy
How can we help?
  • Help
  • Live Chat
  • Contact
  • Email to our Support Team