International Journal of Molecular Medicine is an international journal devoted to molecular mechanisms of human disease.
International Journal of Oncology is an international journal devoted to oncology research and cancer treatment.
Covers molecular medicine topics such as pharmacology, pathology, genetics, neuroscience, infectious diseases, molecular cardiology, and molecular surgery.
Oncology Reports is an international journal devoted to fundamental and applied research in Oncology.
Experimental and Therapeutic Medicine is an international journal devoted to laboratory and clinical medicine.
Oncology Letters is an international journal devoted to Experimental and Clinical Oncology.
Explores a wide range of biological and medical fields, including pharmacology, genetics, microbiology, neuroscience, and molecular cardiology.
International journal addressing all aspects of oncology research, from tumorigenesis and oncogenes to chemotherapy and metastasis.
Multidisciplinary open-access journal spanning biochemistry, genetics, neuroscience, environmental health, and synthetic biology.
Open-access journal combining biochemistry, pharmacology, immunology, and genetics to advance health through functional nutrition.
Publishes open-access research on using epigenetics to advance understanding and treatment of human disease.
An International Open Access Journal Devoted to General Medicine.
Sepsis is a life-threatening condition and the major cause of mortality among patients in intensive care units (ICUs). The gold standard to distinguish sepsis from non-infectious diseases is blood microbiological culture analysis, which is more time-consuming than other potential biomarkers for early detection of sepsis, including acute phase proteins such as C-reactive protein (CRP) and procalcitonin (PCT). However, the lack of specifity of these more frequently used biomarkers impedes the significant requirement to identify novel biomarkers for early sepsis detection.
microRNAs (miRNAs) are a class of small (21–23 nucleotides), non-protein-coding RNAs that regulate the expression of target mRNAs post-transcriptionally. miRNAs are associated with a number of biological processes and the expression signatures of miRNAs serve as diagnostic and prognostic markers for various diseases. Numerous studies have established that the levels of miRNAs in serum or plasma are stable (4–7). After being normalized or quantified, circulating miRNAs yield high sensitivity and specificity by microarrays, next-generation sequencing or quantitative reverse transcription-polymerase chain reaction (RT-PCR) methods. miR-146a is one of the miRNAs that regulates the inflammatory response through a negative feedback nuclear factor (NF)-κB pathway (8), by directly downregulating interleukin-1 receptor-associated kinase 1 (IRAK1), tumor necrosis factor receptor-associated factor 6 (TRAF6) (8,9) and IRAK2 (9). miR-146a may serve as a biomarker for rheumatoid arthritis (RA) (10) and sepsis (11). To investigate the clinical implication of miR-146a as a biomarker for sepsis diagnosis, we developed a qPCR-based precise quantification assay that reliably quantifies miR-146a (normalized to U6) from archived patient samples. We identified that plasma/serum miR-146a levels from sepsis patients were slightly decreased compared with non-sepsis-SIRS samples. However, different set points should be determined according to the control samples used during each experiment in clinical diagnostic practice.
Blood samples were collected from 28 patients from Guangzhou Brain Hospital and Guangdong Provincial Hospital of Traditional Medicine, China. All patients provided informed consent. The study was approved by the ethics committee of Guangdong Provincial Hospital of Traditional Medicine, Guangzhou, China. Plasma samples in cohort 1 were collected and archived in April 2011 and plasma samples for cohort 2 were collected and archived between May and June 2011. All samples were collected when the first blood microbiological culture samples were collected. The results of blood microbiological culture determined whether patients had sepsis or non-sepsis-SIRS.
Both sodium citrate and ethylenediaminetetraacetic acid (EDTA) K2 anticoagulant samples were collected from the same patient at a particular time. Blood samples were centrifuged at 1,760 × g for 10 min at room temperature. Plasma were obtained and mixed with TRIzol reagent (Dongsheng Biotech Co., Ltd., Guangzhou, China) at a ratio of 1:2 and stored at −80°C. Total RNA was extracted from serum according to the manufacturer’s instructions.
The RNA extracted from plasma were reverse transcribed as follows: a mixture consisting of 2 μl RNA, 2 μl stem-loop RT primer (RiboBio Co., Ltd., Guangzhou, China) and 15 μl ddH2O were mixed and incubated at 70°C for 10 min and then maintained at 4°C. Then, an additional 16.5 μl ddH2O, 10 μl 5X RT buffer, 2 μl 2.5 nM deoxynucleotide triphosphate (dNTP) and 2.5 μl 200 U/μl PrimeScript RTase (Takara Bio Inc., Japan) were added, for a total volume of 50 μl. RT was performed on a Veriti® Thermal Cycler (Applied Biosystems, Carlsbad, CA, USA) at 30°C for 10 min, 42°C for 60 min, 70°C for 15 min and then held at 4°C.
The EvaGreen PCR Master Mix (Bio-Rad, Hercules, CA, USA) was used to analyze the expression of miRNA. The U6 and miR-146a specific stem-loop amplification primers (RiboBio Co., Ltd.) were diluted to the working concentration. Then 9 μl EvaGreen Master Mix was mixed with 4 μl miRNA specific primers, 2 μl RT product and 5 μl ddH2O in RNase-free strip-tubes. The qRT-PCR was then performed at 95°C for 20 sec, at 95°C for 10 sec and at 60°C for 34 sec, with the last two steps repeated for 40 cycles. Then, the dissociation curve was generated. Data were analyzed with SDS software (Applied Biosystems), using the automatic Ct setting for assigning the threshold for Ct determination.
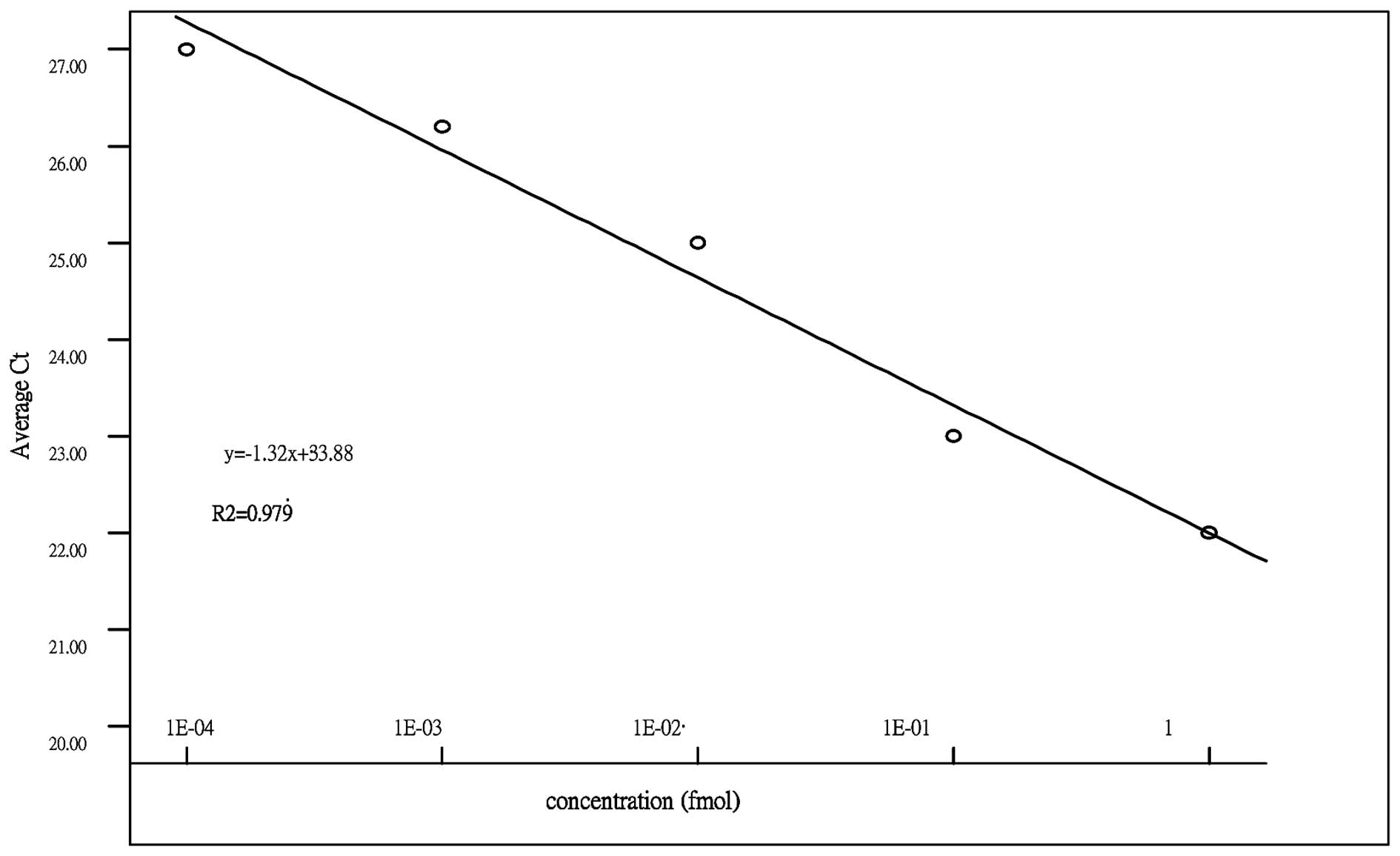
Standard curves were generated using synthetic miR-146a (RiboBio Co., Ltd), serially diluted and input into the RT reaction mixtures at the volume of 2 μl per reaction.
Data were analyzed using the Mann-Whitney U test for the comparison of the different groups. The Wilcoxon matched pairs test was used to compare differences between the different anticoagulant groups. SPSS 13.0 software (SPSS Inc., Chicago, IL, USA) was used for all statistical analyses. Relative quantification using the 2−ΔΔCt method in the sepsis vs. non-sepsis-SIRS groups was carried out and fold changes were calculated for miR-146a.
Raw Ct values of U6 small nuclear RNA (snRNA) demonstrated no significant differences between the sepsis and non-sepsis-SIRS groups (P=0.067 in cohort 1 and P=0.122 in cohort 2; Kruskal-Wallis test). Paired samples were collected in sodium citrate or ethylenediaminetetraacetic acid (EDTA) K2 anticoagulant tubes, respectively, from the same patient. No significant differences were detected in raw Ct values of U6 snRNA or miR-146a between the two anticoagulant groups.
In cohort 1, plasma miR-146a, normalized to U6 snRNA, demonstrated significant differences between the two groups, when normalized values were calculated as 2[Ct(miR-146a) - Ct(U6)]. Additionally, in cohort 2, plasma miR-146a in the sepsis group was significantly lower compared to that in the non-sepsis-SIRS group, when the same normalized values were used (Fig. 1).
The absolute expression levels of miR-146a were also calculated according to the standard curve of miR-146a (Fig. 2). No significant differences between the sepsis and non-sepsis-SIRS patients were identified in either cohort (P=0.762 in cohort 1 and P=0.696 in cohort 2). Additionally, no significant difference was observed when the absolute miR-146a levels were normalized to total RNA (P=0.067 in cohort 1 and P=0.274 in cohort 2).
Receiver operating characteristics (ROC) curve analysis indicated that the area under the curve (AUC) of miR-146a was 0.813 and at a cut-off point set at 7.97, miR-146a yielded a specificity of 87.5% and sensitivity of 60%, respectively (cohort 2; Fig. 3).
SIRS occurs when the body experiences an ongoing inflammatory response, which may arise from infectious or non-infectious triggers, including pancreatitis, trauma, drug fever and immunologic reactions. Sepsis is a potentially fatal condition characterized by a whole-body inflammatory state (12–14).
Sepsis may lead to multiple organ dysfunction syndrome (MODS) and mortality. A previous study demonstrated that for every hour delay in the appropriate antibiotic treatment of sepsis there is a 7% rise in mortality (15). The risk of mortality as a result of sepsis is strongly affected by the underlying disease. The 30-day survival rates for severe sepsis and septic shock patients are 65–80 and 40–60%, respectively. The case-fatality rates are similar for culture-negative and culture-positive severe sepsis (16).
The majority of Gram-negative bacteria produce endotoxin, which causes fever and shock that are common symptoms during severe infections. Endotoxin binds to CD14 and then interacts with toll-like receptor 4 (TLR4). TLR2 is involved in the systemic response to Gram-positive bacteria infections (17). Studies are currently being performed to elucidate the mechanism of the response to these organisms.
Several circulating miRNAs, including miR-150, miR-182, miR-342-5p and miR-486 in peripheral blood mononuclear cells (PBMCs), miR-150 in plasma (18), and miR-146a and miR-223 in serum (11) are associated with sepsis. Nahid et al (19) identified that the miR-146a level was continuously elevated in THP-1 cells until 24 h after lipopolysaccharide (LPS) treatment. Taganov et al (8) identified that miR-146a/b, miR-132 and miR-155 are endotoxin-responsive genes and miR-146 is involved in the signaling cascade of TLR4/MyD88/IRAK1/TRAF6, which triggers the activation of IκB kinase, c-jun N-terminal kinases (JNK), NF-κB and activator protein (AP)-1, resulting in an upregulation of immune-responsive genes. Through a NF-κB/IRAK1/TRAF6/ miR-146a negative feedback regulation loop, the activity of the inflammatory response is reduced.
There are several types of calibrators for absolute quantification of miRNAs by qRT-PCR, including plasmid (20), RNA fraction (21), cDNA samples (22) and synthetic target miRNA (23). For relative qRT-PCR, an appropriate reference gene must be selected. U6 snRNA was selected for the reference gene in this study since no difference in U6 snRNA levels has been detected in the serum/plasma of candidates with certain diseases and in control conditions (24–26), which was confirmed by our data. It was demonstrated that plasma miR-146a/U6 with the 2−ΔΔCt method yielded a similar AUC to serum miR-146a/cel-miR-39 with the 2−ΔΔCt method (11).
The role of miR-146a in the physiopathology of sepsis continues to be poorly understood. However, we demonstrated, using various sample types and normalized methods, that miR-146a may be used as a potential marker to difference sepsis from non-sepsis-SIRS. It may be used in clinical practice as a complementary test for sepsis in patients where a diagnosis is not clear.
|
Simon L, Gauvin F, Amre DK, Saint-Louis P and Lacroix J: Serum procalcitonin and C-reactive protein levels as markers of bacterial infection: a systematic review and meta-analysis. Clin Infect Dis. 39:206–217. 2004. View Article : Google Scholar : PubMed/NCBI | |
|
Tang BM, Eslick GD, Craig JC and McLean AS: Accuracy of procalcitonin for sepsis diagnosis in critically ill patients: systematic review and meta-analysis. Lancet Infect Dis. 7:210–217. 2007. View Article : Google Scholar : PubMed/NCBI | |
|
Young L: Gram-negative sepsis. Principles and Practice of Infectious Diseases. Mandell GL, Douglas RG and Bennett JE: Churchill Livingstone; New York: pp. 611–636. 1990 | |
|
Chen X, Ba Y, Ma L, et al: Characterization of microRNAs in serum: a novel class of biomarkers for diagnosis of cancer and other diseases. Cell Res. 18:997–1006. 2008. View Article : Google Scholar : PubMed/NCBI | |
|
Mitchell PS, Parkin RK, Kroh EM, et al: Circulating microRNAs as stable blood-based markers for cancer detection. Proc Natl Acad Sci USA. 105:10513–10518. 2008. View Article : Google Scholar : PubMed/NCBI | |
|
McDonald JS, Milosevic D, Reddi HV, Grebe SK and Algeciras-Schimnich A: Analysis of circulating microRNA: preanalytical and analytical challenges. Clin Chem. 57:833–840. 2011. View Article : Google Scholar : PubMed/NCBI | |
|
Ho AS, Huang X, Cao H, et al: Circulating miR-210 as a novel hypoxia marker in pancreatic cancer. Transl Oncol. 3:109–113. 2010. View Article : Google Scholar : PubMed/NCBI | |
|
Taganov KD, Boldin MP, Chang KJ and Baltimore D: NF-kappaB dependent induction of microRNA miR-146, an inhibitor targeted to signaling proteins of innate immune responses. Proc Natl Acad Sci USA. 103:12481–12486. 2006. View Article : Google Scholar : PubMed/NCBI | |
|
Hou J, Wang P, Lin L, et al: MicroRNA-146a feedback inhibits RIGI-dependent type I IFN production in macrophages by targeting TRAF6, IRAK1 and IRAK2. J Immunol. 183:2150–2158. 2009. View Article : Google Scholar : PubMed/NCBI | |
|
Pauley KM, Satoh M, Chan AL, Bubb MR, Reeves WH and Chan EK: Upregulated miR-146a expression in peripheral blood mononuclear cells from rheumatoid arthritis patients. Arthritis Res Ther. 10:R1012008. View Article : Google Scholar : PubMed/NCBI | |
|
Wang JF, Yu ML, Yu G, Bian JJ, Deng XM, Wan XJ and Zhu KM: Serum miR-146a and miR-223 as potential new biomarkers for sepsis. Biochem Biophys Res Commun. 394:184–188. 2010. View Article : Google Scholar : PubMed/NCBI | |
|
Bone RC, Balk RA, Cerra FC, et al: Definitions for sepsis and organ failure and guidelines for the use of innovative therapies in sepsis. Chest. 101:1644–1655. 1992. View Article : Google Scholar | |
|
Levy MM, Fink MP, Marshall JC, et al: 2001 SCCM/ESICM/ACCP/ATS/SIS International Sepsis Definitions Conference. Crit Care Med. 31:1250–1256. 2003. View Article : Google Scholar : PubMed/NCBI | |
|
No authors listed. American College of Chest Physicians/Society of Critical Care Medicine Consensus Conference: definitions for sepsis and organ failure and guidelines for the use of innovative therapies in sepsis. Crit Care Med. 20:864–74. 1992. View Article : Google Scholar | |
|
Dellinger RP, Levy MM, Carlet JM, et al: Surviving sepsis sampaign: international guidelines for management of severe sepsis and septic shock: 2008. Crit Care Med. 36:296–327. 2008. View Article : Google Scholar | |
|
Shapiro NI, Wolfe RE, Moore RB, Smith E, Burdick E and Bates DW: Mortality in Emergency Department Sepsis (MEDS) score: a prospectively derived and validated clinical prediction rule. Critical Care Medicine. 31:670–675. 2003. View Article : Google Scholar : PubMed/NCBI | |
|
Takeuchi O, Hoshino K, Kawai T, et al: Differential roles of TLR2 and TLR4 in recognition of Gram-negative and Gram-positive bacterial cell wall components. Immunity. 11:443–451. 1999. View Article : Google Scholar : PubMed/NCBI | |
|
Vasilescu C, Rossi S, Shimizu M, et al: MicroRNA fingerprints identify miR-150 as a plasma prognostic marker in patients with sepsis. PLoS One. 4:e74052009. View Article : Google Scholar : PubMed/NCBI | |
|
Nahid MA, Pauley KM, Satoh M, et al: miR-146a is critical for endotoxin-induced tolerance, implication in innate immunity. J Biol Chem. 284:34590–34599. 2009. View Article : Google Scholar : PubMed/NCBI | |
|
Formisano-Treziny C, de San Feliciano M and Gabert J: Development of plasmid calibrators for absolute quantification of miRNAs by using real-time qPCR. J Mol Diagn. 14:314–321. 2012. View Article : Google Scholar : PubMed/NCBI | |
|
Hromadnikova I, Kotlabova K, Doucha J, Dlouha K and Krofta L: Absolute and relative quantification of placenta-specific micrornas in maternal circulation with placental insufficiency-related complications. J Mol Diagn. 14:160–167. 2012. View Article : Google Scholar | |
|
Pu XX, Huang GL, Guo HQ, et al: Circulating miR-221 directly amplified from plasma is a potential diagnostic and prognostic marker of colorectal cancer and is correlated with p53 expression. J Gastroenterol Hepatol. 25:1674–1680. 2010. View Article : Google Scholar : PubMed/NCBI | |
|
Tomasetti M, Staffolani S, Nocchi L, et al: Clinical significance of circulating miR-126 quantification in malignant mesothelioma patients. Clin Biochem. 45:575–581. 2012. View Article : Google Scholar : PubMed/NCBI | |
|
Zhang Y, Jia Y, Zheng R, et al: Plasma microRNA-122 as a biomarker fro viral-, alcohol- and chemical-related hepatic diseases. Clin Chem. 56:1830–1838. 2010. View Article : Google Scholar : PubMed/NCBI | |
|
Starkey Lewis PJ, Dear J, Platt V, et al: Circulating microRNAs as potential markers of human drug-induced liver injury. Hepatology. 54:1767–1776. 2011.PubMed/NCBI | |
|
Gui J, Tian Y, Wen X, et al: Serum microRNA characterization identifies miR-885-5p as a potential marker for detecting liver pathologies. Clin Sci (Lond). 120:183–193. 2011. View Article : Google Scholar : PubMed/NCBI |