Spandidos Publications Logo
  • About
    • About Spandidos
    • Aims and Scopes
    • Abstracting and Indexing
    • Editorial Policies
    • Reprints and Permissions
    • Job Opportunities
    • Terms and Conditions
    • Contact
  • Journals
    • All Journals
    • Oncology Letters
      • Oncology Letters
      • Information for Authors
      • Editorial Policies
      • Editorial Board
      • Aims and Scope
      • Abstracting and Indexing
      • Bibliographic Information
      • Archive
    • International Journal of Oncology
      • International Journal of Oncology
      • Information for Authors
      • Editorial Policies
      • Editorial Board
      • Aims and Scope
      • Abstracting and Indexing
      • Bibliographic Information
      • Archive
    • Molecular and Clinical Oncology
      • Molecular and Clinical Oncology
      • Information for Authors
      • Editorial Policies
      • Editorial Board
      • Aims and Scope
      • Abstracting and Indexing
      • Bibliographic Information
      • Archive
    • Experimental and Therapeutic Medicine
      • Experimental and Therapeutic Medicine
      • Information for Authors
      • Editorial Policies
      • Editorial Board
      • Aims and Scope
      • Abstracting and Indexing
      • Bibliographic Information
      • Archive
    • International Journal of Molecular Medicine
      • International Journal of Molecular Medicine
      • Information for Authors
      • Editorial Policies
      • Editorial Board
      • Aims and Scope
      • Abstracting and Indexing
      • Bibliographic Information
      • Archive
    • Biomedical Reports
      • Biomedical Reports
      • Information for Authors
      • Editorial Policies
      • Editorial Board
      • Aims and Scope
      • Abstracting and Indexing
      • Bibliographic Information
      • Archive
    • Oncology Reports
      • Oncology Reports
      • Information for Authors
      • Editorial Policies
      • Editorial Board
      • Aims and Scope
      • Abstracting and Indexing
      • Bibliographic Information
      • Archive
    • Molecular Medicine Reports
      • Molecular Medicine Reports
      • Information for Authors
      • Editorial Policies
      • Editorial Board
      • Aims and Scope
      • Abstracting and Indexing
      • Bibliographic Information
      • Archive
    • World Academy of Sciences Journal
      • World Academy of Sciences Journal
      • Information for Authors
      • Editorial Policies
      • Editorial Board
      • Aims and Scope
      • Abstracting and Indexing
      • Bibliographic Information
      • Archive
    • International Journal of Functional Nutrition
      • International Journal of Functional Nutrition
      • Information for Authors
      • Editorial Policies
      • Editorial Board
      • Aims and Scope
      • Abstracting and Indexing
      • Bibliographic Information
      • Archive
    • International Journal of Epigenetics
      • International Journal of Epigenetics
      • Information for Authors
      • Editorial Policies
      • Editorial Board
      • Aims and Scope
      • Abstracting and Indexing
      • Bibliographic Information
      • Archive
    • Medicine International
      • Medicine International
      • Information for Authors
      • Editorial Policies
      • Editorial Board
      • Aims and Scope
      • Abstracting and Indexing
      • Bibliographic Information
      • Archive
  • Articles
  • Information
    • Information for Authors
    • Information for Reviewers
    • Information for Librarians
    • Information for Advertisers
    • Conferences
  • Language Editing
Spandidos Publications Logo
  • About
    • About Spandidos
    • Aims and Scopes
    • Abstracting and Indexing
    • Editorial Policies
    • Reprints and Permissions
    • Job Opportunities
    • Terms and Conditions
    • Contact
  • Journals
    • All Journals
    • Biomedical Reports
      • Information for Authors
      • Editorial Policies
      • Editorial Board
      • Aims and Scope
      • Abstracting and Indexing
      • Bibliographic Information
      • Archive
    • Experimental and Therapeutic Medicine
      • Information for Authors
      • Editorial Policies
      • Editorial Board
      • Aims and Scope
      • Abstracting and Indexing
      • Bibliographic Information
      • Archive
    • International Journal of Epigenetics
      • Information for Authors
      • Editorial Policies
      • Editorial Board
      • Aims and Scope
      • Abstracting and Indexing
      • Bibliographic Information
      • Archive
    • International Journal of Functional Nutrition
      • Information for Authors
      • Editorial Policies
      • Editorial Board
      • Aims and Scope
      • Abstracting and Indexing
      • Bibliographic Information
      • Archive
    • International Journal of Molecular Medicine
      • Information for Authors
      • Editorial Policies
      • Editorial Board
      • Aims and Scope
      • Abstracting and Indexing
      • Bibliographic Information
      • Archive
    • International Journal of Oncology
      • Information for Authors
      • Editorial Policies
      • Editorial Board
      • Aims and Scope
      • Abstracting and Indexing
      • Bibliographic Information
      • Archive
    • Medicine International
      • Information for Authors
      • Editorial Policies
      • Editorial Board
      • Aims and Scope
      • Abstracting and Indexing
      • Bibliographic Information
      • Archive
    • Molecular and Clinical Oncology
      • Information for Authors
      • Editorial Policies
      • Editorial Board
      • Aims and Scope
      • Abstracting and Indexing
      • Bibliographic Information
      • Archive
    • Molecular Medicine Reports
      • Information for Authors
      • Editorial Policies
      • Editorial Board
      • Aims and Scope
      • Abstracting and Indexing
      • Bibliographic Information
      • Archive
    • Oncology Letters
      • Information for Authors
      • Editorial Policies
      • Editorial Board
      • Aims and Scope
      • Abstracting and Indexing
      • Bibliographic Information
      • Archive
    • Oncology Reports
      • Information for Authors
      • Editorial Policies
      • Editorial Board
      • Aims and Scope
      • Abstracting and Indexing
      • Bibliographic Information
      • Archive
    • World Academy of Sciences Journal
      • Information for Authors
      • Editorial Policies
      • Editorial Board
      • Aims and Scope
      • Abstracting and Indexing
      • Bibliographic Information
      • Archive
  • Articles
  • Information
    • For Authors
    • For Reviewers
    • For Librarians
    • For Advertisers
    • Conferences
  • Language Editing
Login Register Submit
  • This site uses cookies
  • You can change your cookie settings at any time by following the instructions in our Cookie Policy. To find out more, you may read our Privacy Policy.

    I agree
Search articles by DOI, keyword, author or affiliation
Search
Advanced Search
presentation
Experimental and Therapeutic Medicine
Join Editorial Board Propose a Special Issue
Print ISSN: 1792-0981 Online ISSN: 1792-1015
Journal Cover
June-2016 Volume 11 Issue 6

Full Size Image

Sign up for eToc alerts
Recommend to Library

Journals

International Journal of Molecular Medicine

International Journal of Molecular Medicine

International Journal of Molecular Medicine is an international journal devoted to molecular mechanisms of human disease.

International Journal of Oncology

International Journal of Oncology

International Journal of Oncology is an international journal devoted to oncology research and cancer treatment.

Molecular Medicine Reports

Molecular Medicine Reports

Covers molecular medicine topics such as pharmacology, pathology, genetics, neuroscience, infectious diseases, molecular cardiology, and molecular surgery.

Oncology Reports

Oncology Reports

Oncology Reports is an international journal devoted to fundamental and applied research in Oncology.

Experimental and Therapeutic Medicine

Experimental and Therapeutic Medicine

Experimental and Therapeutic Medicine is an international journal devoted to laboratory and clinical medicine.

Oncology Letters

Oncology Letters

Oncology Letters is an international journal devoted to Experimental and Clinical Oncology.

Biomedical Reports

Biomedical Reports

Explores a wide range of biological and medical fields, including pharmacology, genetics, microbiology, neuroscience, and molecular cardiology.

Molecular and Clinical Oncology

Molecular and Clinical Oncology

International journal addressing all aspects of oncology research, from tumorigenesis and oncogenes to chemotherapy and metastasis.

World Academy of Sciences Journal

World Academy of Sciences Journal

Multidisciplinary open-access journal spanning biochemistry, genetics, neuroscience, environmental health, and synthetic biology.

International Journal of Functional Nutrition

International Journal of Functional Nutrition

Open-access journal combining biochemistry, pharmacology, immunology, and genetics to advance health through functional nutrition.

International Journal of Epigenetics

International Journal of Epigenetics

Publishes open-access research on using epigenetics to advance understanding and treatment of human disease.

Medicine International

Medicine International

An International Open Access Journal Devoted to General Medicine.

Journal Cover
June-2016 Volume 11 Issue 6

Full Size Image

Sign up for eToc alerts
Recommend to Library

  • Article
  • Citations
    • Cite This Article
    • Download Citation
    • Create Citation Alert
    • Remove Citation Alert
    • Cited By
  • Similar Articles
    • Related Articles (in Spandidos Publications)
    • Similar Articles (Google Scholar)
    • Similar Articles (PubMed)
  • Download PDF
  • Download XML
  • View XML
Article

MicroRNA-138 suppresses proliferation, invasion and glycolysis in malignant melanoma cells by targeting HIF-1α

Retraction in: /10.3892/etm.2023.12353
  • Authors:
    • Yao Chen
    • Ke Cao
    • Shaohua Wang
    • Jia Chen
    • Bin He
    • Gu He
    • Yong Chen
    • Bin Peng
    • Jianda Zhou
  • View Affiliations / Copyright

    Affiliations: Department of Plastic Surgery, The Third Xiangya Hospital of Central South University, Changsha, Hunan 410013, P.R. China, Department of Oncology, The Third Xiangya Hospital of Central South University, Changsha, Hunan 410013, P.R. China
  • Pages: 2513-2518
    |
    Published online on: April 4, 2016
       https://doi.org/10.3892/etm.2016.3220
  • Expand metrics +
Metrics: Total Views: 0 (Spandidos Publications: | PMC Statistics: )
Metrics: Total PDF Downloads: 0 (Spandidos Publications: | PMC Statistics: )
Cited By (CrossRef): 0 citations Loading Articles...

This article is mentioned in:



Abstract

MicroRNAs (miRs) may induce mRNA degradation or inhibit protein translation by directly binding to the 3'-untranslational region of target mRNAs. It has been reported that miR-138 is downregulated in malignant melanoma (MM) cells. However, the role of miR-138 in MM cell proliferation, invasion and energy metabolism remains unknown. These were investigated using reverse transcription‑quantitative polymerase chain reaction was used to evaluate the expression of miR-138 and the mRNA expression of hypoxia-inducible factor‑1α (HIF‑1α), as HIF‑1α serves a crucial role in glycolysis, which is important for tumor growth. In addition, western blot analysis was used to detected the protein expression of HIF‑1α, while MTT and Transwell assays evaluated cell proliferation and invasion, respectively. Furthermore, glucose consumption and lactic acid production were assessed. These tests were conducted using the normal human melanocyte cell line HM and the MM cell line WM451, which was transfected variously with scramble miR mimics, miR‑138 mimics, miR‑138 inhibitor, non‑specific small interfering (si)RNA, HIF‑1α siRNA, or co‑transfected with miR‑138 mimics and pc‑DNA3.1(+)‑HIF‑1α plasmid. The results showed that miR‑138 was significantly downregulated in MM WM451 cells compared to a normal melanocyte cell line HM. Overexpression of miR‑138 significantly inhibited the proliferation and invasion of WM451 cells. These effects were similar to those induced by the siRNA‑mediated knockdown of HIF‑1α, a direct target of miR‑138. Further investigation found that miR‑138 negatively regulated the protein expression of HIF‑1α in WM451 cells. Moreover, upregulation of miR‑138 notably inhibited the glycolysis level, as demonstrated by reduced glucose consumption and lactic acid production, which could be reversed by the overexpression of HIF-1α. In summary, the present study demonstrated that miR-138 is able to inhibit proliferation, invasion and glycolysis in MM cells, potentially by directly targeting HIF-1α.

Instruction

Malignant melanoma (MM) is an aggressive skin cancer, which results in ~80% of the mortality associated with skin cancer (1,2). Furthermore, the incidence of MM increases by 3.1% per year in the US (3). Further investigation into the molecular mechanisms underlying the pathogenesis of MM may provide potential targets for its diagnosis and treatment.

MicroRNAs (miRs) are a type of non-coding RNA that can cause mRNA degradation or inhibit protein translation by directly binding to the 3′-untranslational region of their target mRNAs (4). By regulating the expression of their target genes, miRs influence various biological processes, including cell proliferation, differentiation, survival, apoptosis and cell cycle progression (5). Previous studies have shown that many miRs are crucially involved in tumor cell growth, proliferation, apoptosis, metabolism, migration, invasion and metastasis in vitro and in vivo (6). Among these miRs, miR-138 generally functions as a tumor suppressor in human cancers (7–9). For example, Chen et al found that miR-138 was downregulated in ovarian cancer, and that the overexpression of miR-138 inhibited ovarian cancer cell proliferation, migration and invasion (10). Recently, deregulation of miR-138 was suggested to be associated with MM. Poliseno et al aimed to investigate the use of an miR signature that may serve as a marker of the most common melanoma histological subtypes, superficial spreading melanoma (SSM) and nodular melanoma (NM), and found that miR-138 was downregulated in SSM compared with NM (11). However, the function of miR-138 in mediating the proliferation and invasive capacities of MM cells, as well as the energy metabolism (including glycolysis), remain largely unknown.

HIF-1α is an important regulator in the cellular and systemic homeostatic responses to hypoxia by activation of gene transcription (12). In recent studies, the role of HIF-1α in tumorigenesis has gradually been determined (13–15). The expression levels of HIF-1α were demonstrated to be significantly increased in multiple types of human cancer (12,13,16). Furthermore, HIF-1α was observed to be upregulated in advanced MM compared with melanocytic nevi or thin melanomas localized to the skin (17). However, the regulatory mechanism of HIF-1α expression in MM has yet to be elucidated.

The present study aimed to elucidate the role of miR-138 in mediating proliferation, invasiveness and glycolysis, as well as the underlying mechanisms in MM cells.

Materials and methods

Cell culture

Human MM cell line WM451 and normal human melanocyte cell line HM were purchased from the Cell Bank of Central South University (Changsha, China). Cells were cultured in Dulbecco's modified Eagle's medium (DMEM; Thermo Fisher Scientific, Inc., Waltham, MA, USA) with 10% fetal bovine serum (FBS; Thermo Fisher Scientific, Inc.) at 37°C in a humidified incubator containing 5% CO2.

Reverse transcription-quantitative polymerase chain reaction (RT-qPCR)

Total RNA was extracted using the TRIzol Reagent (Life Technologies, Thermo Fisher Scientific, Inc.) according to the manufacturer's instruction. miRs were isolated from cells using an MiRNeasy Mini Kit (cat no. AM1560; Thermo Fisher Scientific, Inc.), according to the manufacturer's instructions. An MiRNA Reverse Transcription Kit (QIAGEN, Inc., Valencia, CA, USA) was used to convert RNA into cDNA (0.5 µl), according to the manufacturer's instructions. RT was performed at 16°C for 30 min, followed by an incubation step at 42°C for 30 min and enzyme inactivation at 85°C for 5 min. The expression of miR was then determined using a TaqMan MicroRNA Assays Kit (Thermo Fisher Scientific, Inc.) in a 7500 Fast Real Time PCR System (Thermo Fisher Scientific, Inc.). For qPCR, 0.5 µl cDNA solution, 10 µl PCR master mix (Thermo Fisher Scientific, Inc.), 2 µl primers, and 7.5 µl H2O were mixed to obtain a final reaction volume of 20 µl. U6 was used as an endogenous reference. The relative expression of miR was analyzed using the 2−∆∆Cq method (18) and the fluorophore used was SYBR Green PCR Master Mix (Thermo Fisher Scientific, Inc.). The primers were as follows: Forward, 5′-CACCACAGGACAGTACAGGAT-3′ and reverse, 5′-CGTGCTGAATAATACCACTCACA-3′ for HIF-1α; forward, 5′-CTGGGCTACACTGAGCACC-3′ and reverse, 5′-AAGTGGTCGTTGAGGGCAATG-3′ for GAPDH, which was used as an internal control. The PCR cycling conditions were 95°C for 10 min, and 40 cycles of denaturation at 95°C for 15 sec and annealing/elongation step at 60°C for 60 sec. Detection was performed three times.

Transfection

Transfection was performed using Lipofectamine 2000 (Thermo Fisher Scientific, Inc.), in accordance with the manufacturer's instructions. For functional analysis, WM451 cells were transfected with scramble miR mimics (cat no. NL0801), miR-138 mimics (cat no. NL0871), miR-138 inhibitor (cat no. NL0954), non-specific siRNA (cat no. NL0201), HIF-1α siRNA (cat no. NL0256), or co-transfected with miR-138 mimics and pc-DNA3.1(+)-HIF-1α plasmid (cat no. NL0201) all purchased from Nlunbio (Changsha, China), respectively.

Western blot assay

Cells were lysed in cold RIPA buffer (Beyotime Institute of Biotechnology, Haimen, China). A BCA Protein Assay Kit (Pierce Biotechnology; Thermo Fisher Scientific, Inc.) was used to determine the protein concentration. Protein (50 µg) was then separated using 10% SDS-PAGE, and transferred to a polyvinylidine fluoride (PVDF; both Thermo Fisher Scientific, Inc.) membranes. The PVDF membrane was blocked in 5% nonfat dried milk in phosphate-buffered saline (PBS; Thermo Fisher Scientific, Inc.) for 4 h. Subsequently, the PVDF membrane was incubated with mouse anti-HIF-1α monoclonal antibody (cat no. ab199004; 1:200) and mouse anti-GAPDH monoclonal antibody (cat no. ab8245; 1:100) for 3 h at room temperature. After washing with PBS three times, each time for 5 min, the PVDF membrane was incubated with rabbit anti-mouse secondary antibody (cat no. ab190475; 1:5,000) for 1 h at room temperature. All antibodies were purchased from Abcam (Cambridge, UK). After washing with PBS three times (5 min per wash), a Pierce ECL Western Blotting Kit (cat no. 32109; Pierce Biotechnology) was used to detect the immune complexes on the PVDF membrane. Image-Pro Plus software, version 6.0 (Media Cybernetics, Inc., Rockville, MD, USA) was used to analyze the relative protein expression levels, as represented as the density ratio versus GAPDH. GAPDH was used as an internal reference.

Cell proliferation assay

For all groups, 10,000 cells per well were plated in a 96-well plate. Following treatment, the plates were incubated for 0, 24, 48 or 72 h at 37°C in 5% CO2. To assess cell proliferation, an MTT assay was performed according to the manufacturer's instructions. In brief, 10 µl MTT reagent (5 mg/ml; Sigma-Aldrich, St. Louis, MO, USA) in PBS was added to each well and incubated for 4 h at 37°C in 5% CO2. The supernatant was removed and 100 µl dimethyl sulfoxide (Beyotime Institute of Biotechnology) was added. The absorbance was detected at 490 nm using an ELx800 type absorbance reader (BioTek Instruments, Inc., Winooski, VT, USA).

Cell invasion assay

Cell invasion assay was performed using a Cell Invasion Assay kit (cat no. QIA129-1KIT; EMD Millipore, Billerica, MA, USA). Transwell chambers were pre-coated with Matrigel, both purchased from EMD Millipore. A suspension containing 5×105 cells/ml was prepared in serum-free medium, and 300 µl cell suspension was added into the upper chamber. Then, 500 µl DMEM with 10% FBS was added into the lower chamber and the cells were incubated for 24 h. Then, a cotton-tipped swab was used to carefully wipe out the cells that did not migrate or invade through the pores. The filters were fixed in 90% alcohol and stained with crystal violet (Beyotime Institute of Biotechnology). Cell number was determined in five fields randomly selected under an inverted microscope (model no. CX23; Olympus Corporation, Tokyo, Japan).

Glucose uptake assay

After culture for 24 or 48 h, the medium supernatant was collected and diluted to 1:4,000 in PBS. The quantity of glucose in the supernatant was then detected using a Glucose Uptake Colorimetric Assay kit (cat no. MAK083; Sigma-Aldrich) in accordance with the manufacture's protocol. The absorbance was detected at 412 nm using the ELx800 absorbance reader.

Lactate quantification

Metabolites were quantified from medium supernatant using a Lactate Assay kit (cat no. MAK064; Sigma-Aldrich) after culture for 24 or 48 h, according to the manufacturer's instructions. The concentrations were normalized against protein contents as determined by a BCA Pierce Protein Assay Kit (cat no. 23225; Pierce Biotechnology) using bovine serum albumin (Sigma-Aldrich) as a standard protein.

Statistical analysis

Data are expressed as the mean ± standard deviation of at least three independent experiments. The differences between groups were determined by Student's t-test. Statistical analysis was performed using SPSS statistical software, version 18.0 (SPSS, Inc., Chicago, IL, USA). P<0.05 was considered to indicate a statistically significant difference.

Results

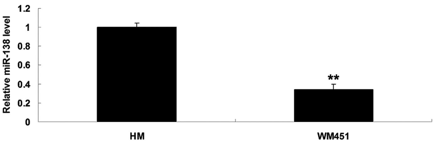
miR-138 was significantly downregulated in MM WM451 cells

To elucidate the role of miR-138 in MM in vitro, the expression levels of miR-138 in the MM WM451 and normal human melanocyte HM cell lines were evaluated. As shown in Fig. 1, the expression levels of miR-138 were notably reduced in the MM WM451 cells compared with the HM cells.

Figure 1.

Reverse transcription-quantitative polymerase chain reaction was conducted to detect the expression levels of miR-138 in malignant melanoma WM451 cells and in the normal human melanocyte cell line HM. **P<0.01 vs. HM.

Roles of miR-138 and HIF-1α in the regulation of WM451 cell proliferation

As HIF-α has been reported to be a direct target of miR-138 (19), the roles of miR-138 and HIF-1α in the regulation of WM451 cell proliferation was investigated. Two groups of WM451 cells were transfected with miR-138 mimics and HIF-1α siRNA, respectively. Following transfection, miR-138 was significantly upregulated compared with the control group, while HIF-1α was notably downregulated compared with the control group, indicating that the transfection was successful (Fig. 2A–C). Subsequently, an MTT assay was performed to determine the cell proliferation in each group. As shown in Fig. 2D, overexpression of miR-138 significantly suppressed WM451 cell proliferation, comparable with the effect of HIF-1α knockdown. These results suggest that miR-138 may be involved in the regulation of MM cell proliferation, in opposition to HIF-1α.

Figure 2.

(A) Reverse transcription-quantitative polymerase chain reaction (RT-qPCR) was conducted to detect the expression level of miR-138 in WM451 cells transfected with scramble miR (NC) or miR-138 mimics, respectively. (B) RT-qPCR was conducted to determine the mRNA level of HIF-1α in WM451 cells transfected with non-specific siRNA (NC) and HIF-1α siRNA, respectively. (C) Western blot was conducted to determine the protein level of HIF-1α in WM451 cells transfected with NC and HIF-1α siRNA, respectively. (D) MTT assay was performed to determine the cell proliferation capacity of WM451 cells transfected with miR-138 mimics or HIF-1α siRNA, respectively. Control: WM451 cells without any transfection. **P<0.01 vs. control. miR, microRNA; HIF-1α, hypoxia-inducible factor-1α; siRNA, small intefering RNA; OD, optical density.

Roles of miR-138 and HIF-1α in the regulation of WM451 cell invasion

The roles of miR-138 and HIF-1α in the regulation of WM451 cell invasion were investigated using a Transwell assay to determine the cell invasive capacity in each group. As shown in Fig. 3, overexpression of miR-138 significantly inhibited WM451 cell invasion, which was similar to the effect of HIF-1α knockdown, suggesting that miR-138 has a suppressive effect on MM cell invasion, in contrast with HIF-1α.

Figure 3.

Transwell assay was performed to determine the cell migratory capacity of WM451 cells transfected with miR-138 mimics or HIF-1α siRNA, respectively (stain, crystal violet; magnification, ×200). Control: WM451 cells without any transfection. **P<0.01 vs. control. miR, microRNA; HIF-1α, hypoxia-inducible factor-1alpha; siRNA, small interfering RNA.

miR-138 negatively mediates HIF-1α expression in WM451 cells

To further study the relationship between miR-138 and HIF-1α in MM cells, the effects of miR-138 overexpression or knockdown on the protein expression of HIF-1α in MM WM451 cells was investigated. Following transfection with miR-138 mimics or inhibitor, the miR-138 level was determined in each group. As shown in Fig. 4A, transfection with miR-138 mimics significantly upregulated miR-138 expression, while transfection with miR-138 inhibitor notably downregulated miR-138 expression in WM451 cells, indicating that the transfection was successful. Subsequently, western blot analysis was performed to evaluate the protein expression level of HIF-1α in each group. As shown in Fig. 4B, overexpression of miR-138 significantly inhibited the protein level of HIF-1α, while miR-138 knockdown markedly increased its protein expression in WM451 cells. These results indicated that miR-138 negatively mediates the protein expression of its target gene HIF-1α in MM WM451 cells.

Figure 4.

(A) Reverse transcription-quantitative polymerase chain reaction was conducted to detect the expression level of miR-138 in WM451 cells transfected with scramble miR (NC), miR-138 mimics or miR-138 inhibitor, respectively. (B) Western blot was conducted to detect the protein level of HIF-1α in WM451 cells transfected with scramble miRNA (NC), miR-138 mimics or miR-138 inhibitor, respectively. Control: WM451 cells without any transfection. **P<0.01 vs. control. miR, microRNA; HIF-1α, hypoxia-inducible factor-1α.

Roles of miR-138 and HIF-1α in the regulation of WM451 cell glycolysis

As HIF-1α has been demonstrated to serve a crucial function in glycolysis in cancer cells, the roles of miR-138 and HIF-1α in the regulation of WM451 cell glycolysis were investigated. Three groups were established, as follows: WM451 cells in the control group did not receive transfection; WM451 cells in the miR-138 group were transfected with miR-138 mimics; and WM451 cells in the miR-138+HIF-1α group were co-transfected with miR-138 mimics and pcDNA3.1 (+)-HIF-1α plasmid. Following transfection, the protein expression level of HIF-1α was evaluated in each group. As demonstrated in Fig. 5A, the protein level of HIF-1α was significantly reduced after transfection with miR-138 mimics, which was reversed by transfection with pcDNA3.1(+)-HIF-1α plasmid, indicating that the transfection in each group was successful. Subsequently, the glycolysis level in each group was investigated by evaluating the glucose consumption and lactic acid production. As shown in Fig. 5B and C, upregulation of miR-138 notably inhibited the glycolysis level, as demonstrated by reduced glucose consumption and lactic acid production, which could be reversed by overexpression of HIF-1α. These results suggested that the inhibitory effect of miR-138 on MM cell glycolysis may occur via the inhibition of its target HIF-1α.

Figure 5.

(A) Western blot was conducted to detect the protein level of HIF-1α in WM451 cells transfected with miR-138 mimics, or co-transfected with miR-138 mimics and pcDNA3.1(+)-HIF-1α plasmid, respectively. (B) Glucose uptake assay was conducted to detect the glucose consumption in WM451 cells transfected with miR-138 mimics, or co-transfected with miR-138 mimics and pcDNA3.1 (+)-HIF-1α plasmid, respectively. (C) Lactate assay was conducted to detect the lactic acid production in WM451 cells transfected with miR-138 mimics, or co-transfected with miR-138 mimics and pcDNA3.1(+)-HIF-1α plasmid, respectively. Control: WM451 cells without any transfection. **P<0.01. miR, microRNA; HIF-1α, hypoxia-inducible factor-1α;

Discussion

It has been reported that the expression level of miR-138 is reduced in superficial spreading MM when compared with that in congenital nevi, suggesting that deregulation of miR-138 may play a role in the growth and metastasis of MM (11). However, to date the exact role of miR-138 in the regulation of the proliferation, invasion and energy metabolism in MM cells remains unclear. The present results showed that miR-138 was notably downregulated in MM cells, when compared to a normal melanocyte cell line HM. Furthermore, upregulation of miR-138 suppressed the proliferation, invasion and glycolysis in MM cells, possibly by inhibiting the expression of HIF-1α, a direct target of miR-138.

miR-138 was previously reported to modulate cardiac patterning during embryonic development (20). Furthermore, miR-138 was found to be involved in the regulation of dendritic spine morphogenesis, in addition to the osteogenic differentiation of mesenchymal stem cells (21,22). Previously, deregulation of miR-138 was demonstrated to be associated with multiple types of human malignancies, generally acting as a tumor suppressor (23,24). For instance, miR-138 is able to suppress invasion and promote apoptosis in head and neck squamous cell carcinoma cells, via inhibition of the Rho GTPase signaling pathway (25–27). In addition, miR-138 was found to suppress epithelial-mesenchymal transition in squamous cell carcinoma cell lines, suggesting that it may serve a crucial function in the metastasis of squamous cell carcinoma (28). Furthermore, deregulation of miR-138 was suggested to be associated with different histological subtypes of MM (11). However, the exact role of miR-138 in MM as well as the underlying mechanisms remains largely unknown. In the present study, miR-138 appeared to exert inhibitory effects on MM cell proliferation and invasion, suggesting that it may suppress the growth and metastasis of MM.

HIF-1α has been demonstrated to act as a key regulator in carcinogenesis by mediating the cellular and systemic homeostatic responses to hypoxia by activation of gene transcription (14). HIF-1α was found to be upregulated in advanced MM cells, when compared with those of melanocytic nevi or thin melanomas localized to the skin (17). Furthermore, elevated expression of HIF-1α was previously found to be associated with poor prognosis in MM (29). Accordingly, HIF-1α functions as an oncogene in MM. A prior study reported that miR-138 suppressed ovarian cancer cell invasion and metastasis by targeting HIF-1α (30). Therefore, we further investigated the involvement of HIF-1α in the miR-138-mediated inhibition of MM cell proliferation and invasion. The present results showed that knockdown of HIF-1α was associated with inhibited MM cell proliferation and invasion, which was comparable with the effects of miR-138 overexpression. In addition, miR-138 negatively regulated the protein expression of HIF-1α in MM cells, suggesting that the suppressive effects of miR-138 overexpression on cell proliferation and invasion may occur via the s downregulation of HIF-1α in MM cells.

Aberrantly high levels of glycolysis may be an indication of cancer in humans, including MM, as glycolysis rapidly provides tumor cells with energy and metabolic intermediates for macromolecular biosynthesis, supporting cancer cell proliferation, migration and invasion (31,32). Furthermore, HIF-1α has been demonstrated to directly mediate glycolysis (33,34). Therefore, an aim of the present study was to determine the involvement of miR-138 and HIF-1α in glycolysis in MM cells. The results showed that the upregulation of miR-138 significantly inhibited glycolysis, which could be reversed by overexpression of HIF-1α. These findings suggest that the inhibitory effect of miR-138 on glycolysis may be exerted via the direct inhibition of HIF-1α.

In conclusion, miR-138 appears to be able to inhibit proliferation, invasion and glycolysis in MM cells, potentially via the direct inhibition of HIF-1α. These results may provide insights for the development of new therapeutic strategies for MM.

References

1 

Trotter SC, Sroa N, Winkelmann RR, Olencki T and Bechtel M: A global review of melanoma follow-up guidelines. J Clin Aesthet Dermatol. 6:18–26. 2013.PubMed/NCBI

2 

Rastrelli M, Tropea S, Rossi CR and Alaibac M: Melanoma: Epidemiology, risk factors, pathogenesis, diagnosis and classification. In Vivo. 28:1005–1011. 2014.PubMed/NCBI

3 

Linos E, Swetter SM, Cockburn MG, Colditz GA and Clarke CA: Increasing burden of melanoma in the United States. J Invest Dermatol. 129:1666–1674. 2009. View Article : Google Scholar : PubMed/NCBI

4 

Ambros V: The functions of animal microRNAs. Nature. 431:350–355. 2004. View Article : Google Scholar : PubMed/NCBI

5 

Bartel DP: MicroRNAs: Genomics, biogenesis, mechanism, and function. Cell. 116:281–297. 2004. View Article : Google Scholar : PubMed/NCBI

6 

Calin GA and Croce CM: MicroRNA signatures in human cancers. Nat Rev Cancer. 6:857–866. 2006. View Article : Google Scholar : PubMed/NCBI

7 

Gong H, Song L, Lin C, Liu A, Lin X, Wu J, Li M and Li J: Downregulation of miR-138 sustains NF-kB activation and promotes lipid raft formation in esophageal squamous cell carcinoma. Clin Cancer Res. 19:1083–1093. 2013. View Article : Google Scholar : PubMed/NCBI

8 

Yang H, Tang Y, Guo W, Du Y, Wang Y, Li P, Zang W, Yin X, Wang H, Chu H, et al: Up-regulation of microRNA-138 induce radiosensitization in lung cancer cells. Tumour Biol. 35:6557–6565. 2014. View Article : Google Scholar : PubMed/NCBI

9 

Qiu S, Huang D, Yin D, Li F, Li X, Kung HF and Peng Y: Suppression of tumorigenicity by microRNA-138 through inhibition of EZH2-CDK4/6-pRb-E2F1 signal loop in glioblastoma multiforme. Biochim Biophys Acta. 1832:1697–1707. 2013. View Article : Google Scholar : PubMed/NCBI

10 

Chen P, Zeng M, Zhao Y and Fang X: Upregulation of limk1 caused by microRNA-138 loss aggravates the metastasis of ovarian cancer by activation of limk1/cofilin signaling. Oncol Rep. 32:2070–2076. 2014.PubMed/NCBI

11 

Poliseno L, Haimovic A, Segura MF, Hanniford D, Christos PJ, Darvishian F, Wang J, Shapiro RL, Pavlick AC, Berman RS, et al: Histology-specific microRNA alterations in melanoma. J Invest Dermatol. 132:1860–1868. 2012. View Article : Google Scholar : PubMed/NCBI

12 

Masoud GN and Li W: HIF-1α pathway: Role, regulation and intervention for cancer therapy. Acta Pharm Sin B. 5:378–389. 2015. View Article : Google Scholar : PubMed/NCBI

13 

Hu Y, Liu J and Huang H: Recent agents targeting HIF-1α for cancer therapy. J Cell Biochem. 114:498–509. 2013. View Article : Google Scholar : PubMed/NCBI

14 

Cuninghame S, Jackson R and Zehbe I: Hypoxia-inducible factor 1 and its role in viral carcinogenesis. Virology. 456-457:370–383. 2014. View Article : Google Scholar : PubMed/NCBI

15 

Dong ZZ, Yao M, Wang L, Wu W, Gu X and Yao DF: Hypoxia-inducible factor-1alpha: Molecular-targeted therapy for hepatocellular carcinoma. Mini Rev Med Chem. 13:1295–1304. 2013. View Article : Google Scholar : PubMed/NCBI

16 

Zhu CL, Huang Q, Liu CH, Lin XS and Xie F: Prognostic value of HIF-1α expression in patients with gastric cancer. Mol Biol Rep. 40:6055–6062. 2013. View Article : Google Scholar : PubMed/NCBI

17 

Slominski A, Kim TK, Brożyna AA, Janjetovic Z, Brooks DL, Schwab LP, Skobowiat C, Jóźwicki W and Seagroves TN: The role of melanogenesis in regulation of melanoma behavior: Melanogenesis leads to stimulation of HIF-1α expression and HIF-dependent attendant pathways. Arch Biochem Biophys. 563:79–93. 2014. View Article : Google Scholar : PubMed/NCBI

18 

Livak KJ and Schmittgen TD: Analysis of relative gene expression data using real-time quantitative PCR and the 2(−Delta Delta C(T)) Method. Methods. 25:402–408. 2001. View Article : Google Scholar : PubMed/NCBI

19 

Song T, Zhang X, Wang C, Wu Y, Cai W, Gao J and Hong B: MiR-138 suppresses expression of hypoxia-inducible factor 1α (HIF-1α) in clear cell renal cell carcinoma 786-O cells. Asian Pac J Cancer Prev. 12:1307–1311. 2011.PubMed/NCBI

20 

Morton SU, Scherz PJ, Cordes KR, Ivey KN, Stainier DY and Srivastava D: microRNA-138 modulates cardiac patterning during embryonic development. Proc Natl Acad Sci USA. 105:17830–17835. 2008. View Article : Google Scholar : PubMed/NCBI

21 

Siegel G, Obernosterer G, Fiore R, Oehmen M, Bicker S, Christensen M, Khudayberdiev S, Leuschner PF, Busch CJ, Kane C, et al: A functional screen implicates microRNA-138-dependent regulation of the depalmitoylation enzyme APT1 in dendritic spine morphogenesis. Nat Cell Biol. 11:705–716. 2009. View Article : Google Scholar : PubMed/NCBI

22 

Eskildsen T, Taipaleenmäki H, Stenvang J, Abdallah BM, Ditzel N, Nossent AY, Bak M, Kauppinen S and Kassem M: MicroRNA-138 regulates osteogenic differentiation of human stromal (mesenchymal) stem cells in vivo. Proc Natl Acad Sci USA. 108:6139–6144. 2011. View Article : Google Scholar : PubMed/NCBI

23 

Gao S, Wang J, Xie J, Zhang T and Dong P: Role of miR-138 in the regulation of larynx carcinoma cell metastases. Tumour Biol. Oct 24–2015.(Epub ahead of print).

24 

Li J, Wang Q, Wen R, Liang J, Zhong X, Yang W, Su D and Tang J: MiR-138 inhibits cell proliferation and reverses epithelial-mesenchymal transition in non-small cell lung cancer cells by targeting GIT1 and SEMA4C. J Cell Mol Med. 19:2793–2805. 2015. View Article : Google Scholar : PubMed/NCBI

25 

Liu X, Jiang L, Wang A, Yu J, Shi F and Zhou X: MicroRNA-138 suppresses invasion and promotes apoptosis in head and neck squamous cell carcinoma cell lines. Cancer Lett. 286:217–222. 2009. View Article : Google Scholar : PubMed/NCBI

26 

Jiang L, Liu X, Kolokythas A, Yu J, Wang A, Heidbreder CE, Shi F and Zhou X: Downregulation of the Rho GTPase signaling pathway is involved in the microRNA-138-mediated inhibition of cell migration and invasion in tongue squamous cell carcinoma. Int J Cancer. 127:505–512. 2010. View Article : Google Scholar : PubMed/NCBI

27 

Jiang L, Dai Y, Liu X, Wang C, Wang A, Chen Z, Heidbreder CE, Kolokythas A and Zhou X: Identification and experimental validation of G protein alpha inhibiting activity polypeptide 2 (GNAI2) as a microRNA-138 target in tongue squamous cell carcinoma. Hum Genet. 129:189–197. 2011. View Article : Google Scholar : PubMed/NCBI

28 

Liu X, Wang C, Chen Z, Jin Y, Wang Y, Kolokythas A, Dai Y and Zhou X: MicroRNA-138 suppresses epithelial-mesenchymal transition in squamous cell carcinoma cell lines. Biochem J. 440:23–31. 2011. View Article : Google Scholar : PubMed/NCBI

29 

Giatromanolaki A, Sivridis E, Kouskoukis C, Gatter KC, Harris AL and Koukourakis MI: Hypoxia-inducible factors 1alpha and 2alpha are related to vascular endothelial growth factor expression and a poorer prognosis in nodular malignant melanomas of the skin. Melanoma Res. 13:493–501. 2003. View Article : Google Scholar : PubMed/NCBI

30 

Yeh YM, Chuang CM, Chao KC and Wang LH: MicroRNA-138 suppresses ovarian cancer cell invasion and metastasis by targeting SOX4 and HIF-1α. Int J Cancer. 133:867–878. 2013. View Article : Google Scholar : PubMed/NCBI

31 

Elstrom RL, Bauer DE, Buzzai M, Karnauskas R, Harris MH, Plas DR, Zhuang H, Cinalli RM, Alavi A, Rudin CM and Thompson CB: Akt stimulates aerobic glycolysis in cancer cells. Cancer Res. 64:3892–3899. 2004. View Article : Google Scholar : PubMed/NCBI

32 

Dang CV: Links between metabolism and cancer. Genes Dev. 26:877–890. 2012. View Article : Google Scholar : PubMed/NCBI

33 

Cheng SC, Quintin J, Cramer RA, Shepardson KM, Saeed S, Kumar V, Giamarellos-Bourboulis EJ, Martens JH, Rao NA, Aghajanirefah A, et al: mTOR- and HIF-1α-mediated aerobic glycolysis as metabolic basis for trained immunity. Science. 345:12506842014. View Article : Google Scholar : PubMed/NCBI

34 

Cheng Y, Chen G, Hong L, Zhou L, Hu M, Li B, Huang J, Xia L and Li C: How does hypoxia inducible factor-1α participate in enhancing the glycolysis activity in cervical cancer? Ann Diagn Pathol. 17:305–311. 2013. View Article : Google Scholar : PubMed/NCBI

Related Articles

  • Abstract
  • View
  • Download
  • Twitter
Copy and paste a formatted citation
Spandidos Publications style
Chen Y, Cao K, Wang S, Chen J, He B, He G, Chen Y, Peng B and Zhou J: MicroRNA-138 suppresses proliferation, invasion and glycolysis in malignant melanoma cells by targeting HIF-1α Retraction in /10.3892/etm.2023.12353. Exp Ther Med 11: 2513-2518, 2016.
APA
Chen, Y., Cao, K., Wang, S., Chen, J., He, B., He, G. ... Zhou, J. (2016). MicroRNA-138 suppresses proliferation, invasion and glycolysis in malignant melanoma cells by targeting HIF-1α Retraction in /10.3892/etm.2023.12353. Experimental and Therapeutic Medicine, 11, 2513-2518. https://doi.org/10.3892/etm.2016.3220
MLA
Chen, Y., Cao, K., Wang, S., Chen, J., He, B., He, G., Chen, Y., Peng, B., Zhou, J."MicroRNA-138 suppresses proliferation, invasion and glycolysis in malignant melanoma cells by targeting HIF-1α Retraction in /10.3892/etm.2023.12353". Experimental and Therapeutic Medicine 11.6 (2016): 2513-2518.
Chicago
Chen, Y., Cao, K., Wang, S., Chen, J., He, B., He, G., Chen, Y., Peng, B., Zhou, J."MicroRNA-138 suppresses proliferation, invasion and glycolysis in malignant melanoma cells by targeting HIF-1α Retraction in /10.3892/etm.2023.12353". Experimental and Therapeutic Medicine 11, no. 6 (2016): 2513-2518. https://doi.org/10.3892/etm.2016.3220
Copy and paste a formatted citation
x
Spandidos Publications style
Chen Y, Cao K, Wang S, Chen J, He B, He G, Chen Y, Peng B and Zhou J: MicroRNA-138 suppresses proliferation, invasion and glycolysis in malignant melanoma cells by targeting HIF-1α Retraction in /10.3892/etm.2023.12353. Exp Ther Med 11: 2513-2518, 2016.
APA
Chen, Y., Cao, K., Wang, S., Chen, J., He, B., He, G. ... Zhou, J. (2016). MicroRNA-138 suppresses proliferation, invasion and glycolysis in malignant melanoma cells by targeting HIF-1α Retraction in /10.3892/etm.2023.12353. Experimental and Therapeutic Medicine, 11, 2513-2518. https://doi.org/10.3892/etm.2016.3220
MLA
Chen, Y., Cao, K., Wang, S., Chen, J., He, B., He, G., Chen, Y., Peng, B., Zhou, J."MicroRNA-138 suppresses proliferation, invasion and glycolysis in malignant melanoma cells by targeting HIF-1α Retraction in /10.3892/etm.2023.12353". Experimental and Therapeutic Medicine 11.6 (2016): 2513-2518.
Chicago
Chen, Y., Cao, K., Wang, S., Chen, J., He, B., He, G., Chen, Y., Peng, B., Zhou, J."MicroRNA-138 suppresses proliferation, invasion and glycolysis in malignant melanoma cells by targeting HIF-1α Retraction in /10.3892/etm.2023.12353". Experimental and Therapeutic Medicine 11, no. 6 (2016): 2513-2518. https://doi.org/10.3892/etm.2016.3220
Follow us
  • Twitter
  • LinkedIn
  • Facebook
About
  • Spandidos Publications
  • Careers
  • Cookie Policy
  • Privacy Policy
How can we help?
  • Help
  • Live Chat
  • Contact
  • Email to our Support Team