Spandidos Publications Logo
  • About
    • About Spandidos
    • Aims and Scopes
    • Abstracting and Indexing
    • Editorial Policies
    • Reprints and Permissions
    • Job Opportunities
    • Terms and Conditions
    • Contact
  • Journals
    • All Journals
    • Oncology Letters
      • Oncology Letters
      • Information for Authors
      • Editorial Policies
      • Editorial Board
      • Aims and Scope
      • Abstracting and Indexing
      • Bibliographic Information
      • Archive
    • International Journal of Oncology
      • International Journal of Oncology
      • Information for Authors
      • Editorial Policies
      • Editorial Board
      • Aims and Scope
      • Abstracting and Indexing
      • Bibliographic Information
      • Archive
    • Molecular and Clinical Oncology
      • Molecular and Clinical Oncology
      • Information for Authors
      • Editorial Policies
      • Editorial Board
      • Aims and Scope
      • Abstracting and Indexing
      • Bibliographic Information
      • Archive
    • Experimental and Therapeutic Medicine
      • Experimental and Therapeutic Medicine
      • Information for Authors
      • Editorial Policies
      • Editorial Board
      • Aims and Scope
      • Abstracting and Indexing
      • Bibliographic Information
      • Archive
    • International Journal of Molecular Medicine
      • International Journal of Molecular Medicine
      • Information for Authors
      • Editorial Policies
      • Editorial Board
      • Aims and Scope
      • Abstracting and Indexing
      • Bibliographic Information
      • Archive
    • Biomedical Reports
      • Biomedical Reports
      • Information for Authors
      • Editorial Policies
      • Editorial Board
      • Aims and Scope
      • Abstracting and Indexing
      • Bibliographic Information
      • Archive
    • Oncology Reports
      • Oncology Reports
      • Information for Authors
      • Editorial Policies
      • Editorial Board
      • Aims and Scope
      • Abstracting and Indexing
      • Bibliographic Information
      • Archive
    • Molecular Medicine Reports
      • Molecular Medicine Reports
      • Information for Authors
      • Editorial Policies
      • Editorial Board
      • Aims and Scope
      • Abstracting and Indexing
      • Bibliographic Information
      • Archive
    • World Academy of Sciences Journal
      • World Academy of Sciences Journal
      • Information for Authors
      • Editorial Policies
      • Editorial Board
      • Aims and Scope
      • Abstracting and Indexing
      • Bibliographic Information
      • Archive
    • International Journal of Functional Nutrition
      • International Journal of Functional Nutrition
      • Information for Authors
      • Editorial Policies
      • Editorial Board
      • Aims and Scope
      • Abstracting and Indexing
      • Bibliographic Information
      • Archive
    • International Journal of Epigenetics
      • International Journal of Epigenetics
      • Information for Authors
      • Editorial Policies
      • Editorial Board
      • Aims and Scope
      • Abstracting and Indexing
      • Bibliographic Information
      • Archive
    • Medicine International
      • Medicine International
      • Information for Authors
      • Editorial Policies
      • Editorial Board
      • Aims and Scope
      • Abstracting and Indexing
      • Bibliographic Information
      • Archive
  • Articles
  • Information
    • Information for Authors
    • Information for Reviewers
    • Information for Librarians
    • Information for Advertisers
    • Conferences
  • Language Editing
Spandidos Publications Logo
  • About
    • About Spandidos
    • Aims and Scopes
    • Abstracting and Indexing
    • Editorial Policies
    • Reprints and Permissions
    • Job Opportunities
    • Terms and Conditions
    • Contact
  • Journals
    • All Journals
    • Biomedical Reports
      • Information for Authors
      • Editorial Policies
      • Editorial Board
      • Aims and Scope
      • Abstracting and Indexing
      • Bibliographic Information
      • Archive
    • Experimental and Therapeutic Medicine
      • Information for Authors
      • Editorial Policies
      • Editorial Board
      • Aims and Scope
      • Abstracting and Indexing
      • Bibliographic Information
      • Archive
    • International Journal of Epigenetics
      • Information for Authors
      • Editorial Policies
      • Editorial Board
      • Aims and Scope
      • Abstracting and Indexing
      • Bibliographic Information
      • Archive
    • International Journal of Functional Nutrition
      • Information for Authors
      • Editorial Policies
      • Editorial Board
      • Aims and Scope
      • Abstracting and Indexing
      • Bibliographic Information
      • Archive
    • International Journal of Molecular Medicine
      • Information for Authors
      • Editorial Policies
      • Editorial Board
      • Aims and Scope
      • Abstracting and Indexing
      • Bibliographic Information
      • Archive
    • International Journal of Oncology
      • Information for Authors
      • Editorial Policies
      • Editorial Board
      • Aims and Scope
      • Abstracting and Indexing
      • Bibliographic Information
      • Archive
    • Medicine International
      • Information for Authors
      • Editorial Policies
      • Editorial Board
      • Aims and Scope
      • Abstracting and Indexing
      • Bibliographic Information
      • Archive
    • Molecular and Clinical Oncology
      • Information for Authors
      • Editorial Policies
      • Editorial Board
      • Aims and Scope
      • Abstracting and Indexing
      • Bibliographic Information
      • Archive
    • Molecular Medicine Reports
      • Information for Authors
      • Editorial Policies
      • Editorial Board
      • Aims and Scope
      • Abstracting and Indexing
      • Bibliographic Information
      • Archive
    • Oncology Letters
      • Information for Authors
      • Editorial Policies
      • Editorial Board
      • Aims and Scope
      • Abstracting and Indexing
      • Bibliographic Information
      • Archive
    • Oncology Reports
      • Information for Authors
      • Editorial Policies
      • Editorial Board
      • Aims and Scope
      • Abstracting and Indexing
      • Bibliographic Information
      • Archive
    • World Academy of Sciences Journal
      • Information for Authors
      • Editorial Policies
      • Editorial Board
      • Aims and Scope
      • Abstracting and Indexing
      • Bibliographic Information
      • Archive
  • Articles
  • Information
    • For Authors
    • For Reviewers
    • For Librarians
    • For Advertisers
    • Conferences
  • Language Editing
Login Register Submit
  • This site uses cookies
  • You can change your cookie settings at any time by following the instructions in our Cookie Policy. To find out more, you may read our Privacy Policy.

    I agree
Search articles by DOI, keyword, author or affiliation
Search
Advanced Search
presentation
Experimental and Therapeutic Medicine
Join Editorial Board Propose a Special Issue
Print ISSN: 1792-0981 Online ISSN: 1792-1015
Journal Cover
April-2020 Volume 19 Issue 4

Full Size Image

Sign up for eToc alerts
Recommend to Library

Journals

International Journal of Molecular Medicine

International Journal of Molecular Medicine

International Journal of Molecular Medicine is an international journal devoted to molecular mechanisms of human disease.

International Journal of Oncology

International Journal of Oncology

International Journal of Oncology is an international journal devoted to oncology research and cancer treatment.

Molecular Medicine Reports

Molecular Medicine Reports

Covers molecular medicine topics such as pharmacology, pathology, genetics, neuroscience, infectious diseases, molecular cardiology, and molecular surgery.

Oncology Reports

Oncology Reports

Oncology Reports is an international journal devoted to fundamental and applied research in Oncology.

Experimental and Therapeutic Medicine

Experimental and Therapeutic Medicine

Experimental and Therapeutic Medicine is an international journal devoted to laboratory and clinical medicine.

Oncology Letters

Oncology Letters

Oncology Letters is an international journal devoted to Experimental and Clinical Oncology.

Biomedical Reports

Biomedical Reports

Explores a wide range of biological and medical fields, including pharmacology, genetics, microbiology, neuroscience, and molecular cardiology.

Molecular and Clinical Oncology

Molecular and Clinical Oncology

International journal addressing all aspects of oncology research, from tumorigenesis and oncogenes to chemotherapy and metastasis.

World Academy of Sciences Journal

World Academy of Sciences Journal

Multidisciplinary open-access journal spanning biochemistry, genetics, neuroscience, environmental health, and synthetic biology.

International Journal of Functional Nutrition

International Journal of Functional Nutrition

Open-access journal combining biochemistry, pharmacology, immunology, and genetics to advance health through functional nutrition.

International Journal of Epigenetics

International Journal of Epigenetics

Publishes open-access research on using epigenetics to advance understanding and treatment of human disease.

Medicine International

Medicine International

An International Open Access Journal Devoted to General Medicine.

Journal Cover
April-2020 Volume 19 Issue 4

Full Size Image

Sign up for eToc alerts
Recommend to Library

  • Article
  • Citations
    • Cite This Article
    • Download Citation
    • Create Citation Alert
    • Remove Citation Alert
    • Cited By
  • Similar Articles
    • Related Articles (in Spandidos Publications)
    • Similar Articles (Google Scholar)
    • Similar Articles (PubMed)
  • Download PDF
  • Download XML
  • View XML
Article Open Access

Dexmedetomidine combined with ropivacaine in ultrasound‑guided tranversus abdominis plane block improves postoperative analgesia and recovery following laparoscopic colectomy

  • Authors:
    • Weizhong Pan
    • Guizhen Liu
    • Tao Li
    • Qiaoxia Sun
    • Meiru Jiang
    • Ganggang Liu
    • Jiahai Ma
    • Hong Liu
  • View Affiliations / Copyright

    Affiliations: Department of Anesthesiology, The Affiliated Yantai Yuhuangding Hospital of Qingdao University, Yantai, Shandong 264000, P.R. China, Department of Anesthesiology, Laiyang Central Hospital, Laiyang, Shandong 264000, P.R. China, Department of Anesthesiology and Pain Medicine, University of California Davis Health, Sacramento, CA 95817, USA
    Copyright: © Pan et al. This is an open access article distributed under the terms of Creative Commons Attribution License.
  • Pages: 2535-2542
    |
    Published online on: February 10, 2020
       https://doi.org/10.3892/etm.2020.8508
  • Expand metrics +
Metrics: Total Views: 0 (Spandidos Publications: | PMC Statistics: )
Metrics: Total PDF Downloads: 0 (Spandidos Publications: | PMC Statistics: )
Cited By (CrossRef): 0 citations Loading Articles...

This article is mentioned in:



Abstract

The present prospective, double blind, randomized clinical study was designed to evaluate whether dexmedetomidine (Dex) combined with ropivacaine for tranversus abdominis plane (TAP) block could improve analgesic quality and duration, and promote recovery following laparoscopic colectomy. Following induction of anesthesia, ultrasound‑guided bilateral TAP block was performed in 60 patients scheduled for elective laparoscopic colectomy with either 20 ml of 0.375% ropivacaine plus 2 ml normal saline 0.9% (R group), or 20 ml of 0.375% ropivacaine plus 2 ml Dex (0.5 µg/kg) (RD group). Visual analogue scale (VAS) score for pain, sedation level, length of hospital stay (LOS), and bowel function recovery time and associated complications were recorded. Overall patient satisfaction with postoperative pain management was also assessed. The hemodynamic variables were not significantly different between the two groups during the surgery. However, the duration of analgesia was significantly longer in the RD group compared with the R group (P<0.05). VAS scores at 1, 2, 6 and 12 h following surgery were significantly decreased in the RD group compared with those in the R group (P<0.05). There was no significant difference in sedation level between the two groups. Notably, postoperative nausea and vomiting in the RD group was significantly decreased compared with those in the R group in the first 24 h (P<0.05). There were no serious adverse events in any group. Furthermore, 90.0 and 66.7% patients were satisfied with the postoperative pain management in the RD group and R group, respectively. The postoperative first bowel movement time was significantly shorter in the RD group compared with the R group (P<0.05). However, the LOS was not significantly different between the two groups. In conlusion, the addition of Dex to ropivacaine could significantly improve the analgesic quality and duration of TAP block, which in turn promotes recovery following laparoscopic colectomy.

Introduction

Satisfactory pain management is important during postoperative treatment as it can increase patient comfort and improve recovery (1). Multimodal analgesia techniques, and techniques combining general and local anesthesia lead to greater pain control, with less reliance on opioids and fewer side effects (2). The optimal regional block should have a rapid onset, a long duration of analgesia and high-quality pain control without adverse side effects. Tranversus abdominis plane (TAP) block is novel peripheral nerve block method, which is used for any surgery technique involving the anterolateral abdominal wall (3). As an important part of multimodal analgesia following abdominal surgery, TAP block can be performed to provide effective analgesia (4). However, a single-shot TAP block is limited in duration and analgesia. Increasing the volume (dose) of local anesthetics (LAs) may provide more effective analgesia duration and long-lasting nerve block, but can also increase the risk of dose-associated systemic toxicity (5). Although continuous catheter-based nerve blocks can improve postoperative analgesia, this procedure is expensive and requires skillful placement techniques (6). Thus far, a range of adjuvants, including dexamethasone, clonidine, fentanyl and midazolam, have been used to prolong the duration of nerve block analgesia with varying degrees of success (7). The roles of adjuvants on peripheral nerve blocks are debated, and previous studies have suggested active and passive impacts (7). Dexmedetomidine (Dex) is a highly selective α2-adrenergic agonist that has sedative, analgesic, sympatholytic and antianxiety effects without respiratory depression (8). Due to its multiple beneficial properties, the systemic administration of Dex during the perioperative period is prevalent as a favorable sedative and analgesic agent (9). Additionally, Dex has been described as an effective adjuvant for regional anesthetic agents. However, clinical trials have produced contradictory results. Some animal and clinical studies have demonstrated that Dex administered as an adjuvant to LAs for peripheral nerve block and plexus block results faster, with a longer duration of block and improved analgesic efficacy without neurologic complications (10-12). Other results have indicated a delay in sensory and motor block onset time, or no effect on sensory and motor block duration (13).

The present study was designed to assess the hypothesis that adding Dex to ropivacaine in an ultrasound-guided TAP block could improve analgesic quality and promote recovery following laparoscopic colectomy.

Materials and methods

Study protocol

This prospective, randomized, double blind clinical study was approved by the Institutional Human Investigations Committee of Yantai Yuhuangding Hospital of Qingdao University and registered at the following clinical trial website: http://www.chictr.org.cn (ChiCTR-IOR-17014122). Written informed consent was obtained from all participants. A total of 64 patients (aged 38-72 years; weighing 52-83 kg) at American Society of Anesthesiologists, with a physical status score (ASA) II-III grade and were scheduled for elective laparoscopic colectomy under general anesthesia, were recruited between February 2017 and March 2018.

Randomization and blinding

Patients were excluded from the present study due to the following reasons: A history of allergic reactions to ropivacaine, treatment with other amino-amide LAs or dexmedetomidine, psychological disorders, infection at the injection site or any other contraindications to TAP block, tolerance to opioids or the use of opioids within 2 days prior to the start of the current study. The patients and all staff involved in patient management and data collection were blind to the group assignment until the end of the study. All TAP blocks were performed by experienced anesthesiologists who were not involved in data collection. Patients agreed to receive TAP blocks while they were under general anesthesia. An anesthesiologist, who did not participate in patient grouping or the research, prepared the therapeutic agents based on randomization. The prepared syringes contained either 20 ml 0.375% ropivacaine (Qilu Pharmaceutical Co., Ltd.) plus 2 ml normal saline for the R group, or 20 ml 0.375% ropivacaine plus 2 ml of Dex (0.5 µg/kg; Jiangsu Hengrui Medicine Co., Ltd.) for the RD group.

Study procedures

One day before surgery, patients were instructed on how to use patient-controlled intravenous analgesia (PCIA), and the Visual Analogue Scale (VAS) scores were determined (0=no pain and 10=the worst possible pain). Patients were assigned to either the R (n=31) or RD (n=31) group on arrival to the operating room using a computer-generated randomization list. Blood pressure (BP), electrocardiograms (ECG), heart rate (HR), blood oxygen saturation (SpO2) and the bispectral index (BIS) were monitored in all patients. A total of 0.2 mg penehyclidine hydrochloride was infused intravenously 5 min prior to the initiation of anesthesia. General anesthesia was induced using midazolam (0.05 mg/kg), sufentanil (0.4 µg/kg), propofol (1.5-2.0 mg/kg) and cisatracurium (0.15 mg/kg). Following tracheal intubation, anesthesia was maintained with 3-12 mg/kg/h propofol and 0.06-0.1 µg/kg/min remifentanil. Cisatracurium (0.03 mg/kg) was administered intermittently to maintain muscle relaxation. The tidal volume was set at 6-8 ml/kg and the respiratory rate at 12 times/min in order to maintain the PETCO2 at 35-45 mmHg. Sufentanil (0.2 µg/kg) was administered prior to skin incision. A BIS value between 45 and 60 was maintained.

Following induction, a bilateral ultrasound-guided TAP block was implemented with an ultrasound machine (Venue 50; GE Healthcare) using the same method outlined in a previous study (14). Following the preparation of the skin with antiseptic solution, a 7-12 MHz high-frequency linear probe was placed transversely on the anterolateral abdominal wall between the costal margin and iliac crest on the mid-axillary line. Optimal images captured the three layers of muscles: The external oblique, the internal oblique and the transversus abdominis. The needle was introduced in the plane of the ultrasound probe directly under the probe and advanced until it reached the plane between the internal oblique and transversus abdominis muscles. Correct positioning of the needle tip was confirmed with an injection of 1 ml normal saline, which led to separation between the internal oblique and transversus abdominis muscle. Subsequently, a total of 22 ml prepared solution was injected using the ultrasound for guidance. From the ultrasound image, expansion of hypoechoic liquid, which reflected the distribution of LAs during injection, indicated a successful outcome. The same procedures were followed on the opposite side.

Propofol and remifentanil were terminated upon completion of skin closure. Dezocine (5 mg) and palonosetron (0.25 mg) were administrated intravenously 30 min prior to termination of the surgical procedure. The infusion of the cisatracurium was stopped ~30 min prior to the end of surgery. Upon completion of surgery, neuromuscular blockade was antagonized via intravenous administration of 1.0 mg neostigmine and 0.5 mg atropine. Propofol and remifentanil infusions were stopped at the end of surgery. Patients were extubated once the extubation criteria (T4/T1 ratio >0.9) were met, and the extubation time was recorded (15). The patients were subsequently sent to the ward, where they received nasal O2 supplementation and had their vital signs continuously monitored. The PCIA pump (WZ-6523C-4 Disposable Infusion Pump; Royal Fornia Medical Equipment Co., Ltd., Zhuhai, China) regimen consisted of 10 mg butorphanol. The PCIA pump was connected to the intravenous line. Settings included a basal infusion rate of 2 ml/h, 15 min lockout and self-controlled doses at 0.5 ml each.

Hemodynamic indexes (HR, BP and SpO2) were recorded at the following time-points: Arrival at the operating room (baseline, T0); induction (T1); intubation (T2); 5 min following TAP block (T3); 60 min following intubation (T4); at extubation (T5); and 1, 2, 6, 12 and 24 h post-surgery (T6-T10). All patients were sent to the ward once they met the recovery room criteria (15). Lactated Ringer's solution was tailored to the requirements of the patients during surgery. Clear fluids were allowed on the day of surgery and free fluids were allowed from the first postoperative day. Ambulation was encouraged on postoperative day 1 and the urinary catheter was removed when the patient was mobile. Patients were discharged from the hospital when the discharge criteria were met (15).

VAS scores were assessed at rest (VASR) and at movement (VASM) at T6-T10 by an investigator blinded to the group allocation. After surgery, the duration of sensory block was assessed via pinprick testing in the area of the TAP block (16). A 3-point scale was applied to evaluate the level of pain by pinprick with a 23 G needle (0, sharp sensation; 1, blunt sensation; 2, no sensation). The duration of sensory block was defined as the time from completion of TAP block to complete recovery of sensation. The duration of analgesia was defined as the time from completion of TAP block to first rescue analgesia (when the VAS score was ≥4 or on patient demand).

The following 5-point scale was applied to assess the level of sedation at T6-T10: Completely awake, 0; drowsy/closed eyes, 1; asleep/easily aroused with light tactile stimulation or a simple verbal command, 2; asleep/arousable only by strong physical stimulation, 3; unarousable, 4. The degree of nausea severity was evaluated using the following 4-point scale: None, 1; mild, 2; moderate, 3; severe, 4. Bradycardia (HR <50 beats/min), hypotension (BP <90/60 mmHg), somnolence (sedation score ≥3) and respiratory depression (SpO2 <90% or respiratory rate <10 bpm lasting 3 min or more) (17) were considered severe adverse events and were treated appropriately. Postoperative nausea and vomiting (PONV) following surgery was also recorded. When the VAS score was ≥4 or the patient demanded rescue analgesia, 5 mg dezocine was intravenously administered as rescue analgesia. Ondansetron (4 mg) was administrated intravenously for PONV when needed. At 48 h following surgery, a 3-point scale was used to evaluate the patient overall satisfaction with the postoperative pain management (1, highly satisfied; 2, satisfied; 3, dissatisfied). The time of bowel function recovery (passage of flatus or stool since the first time of oral fluid and normal diet consumption) post-surgery (15) and the length of hospital stay (LOS) were recorded.

Statistical analysis

All data in the present study were analyzed using SPSS version 16.0 (SPSS, Inc.). Data are presented as the mean ± standard deviation, and count (%). Patient parameters, including age, weight, body mass index (BMI), operation time, blood loss, infusion volume, urine output, duration of sensory block and analgesia, time of bowel function recovery and LOS were compared using an unpaired Student's t-test. HR and mean BP at different time-points were compared between the two groups using a one-way ANOVA, followed by Bonferroni's post hoc test. The male/female ratio, ASA grade, incidence of adverse events and degree of satisfaction were analyzed using the χ2 or Fisher's exact test. The Mann-Whitney U test was performed to compare pain and sedation scores between the groups. The present study considered that block duration differences for ≥60 min revealed the clinical significance between the two groups. To achieve a statistical power of at least 90% using ANOVA with a significance level of 0.05 and a predicted dropout of ~15%, at least 32 subjects were recruited in each group. P<0.05 was considered to indicate a statistically significant difference.

Results

A total of 64 patients were assessed for eligibility. However, a total of 4 patients were excluded from the study as 2 patients refused to participate and 2 surgeries were cancelled. A total of 60 patients completed the trial (n=30 in each group; Fig. 1). TAP block was accurately localized under ultrasound guidance and blocks were successfully completed in all patients. In each group, no patients had any complications that were attributed to TAP block.

Figure 1.

CONSORT flow diagram indicating patient inclusion in the current study.

There were no significant differences between the two groups regarding the clinical characteristics of patients, including age, male/female ratio, ASA grade, weight, BMI and intraoperative data (Table I). In addition, hemodynamic variables were similar in both groups during the surgery. The BP and HR were slightly reduced following anesthesia induction in both groups. Furthermore, decreased HR was indicated in the RD group following TAP block; however, there was no significant difference between the two groups (Fig. 2).

Figure 2.

HR and MBP at different time-points. (A) HR and (B) MBP. T0, baseline; T1, induction; T2, intubation; T3, 5 min following TAP block; T4, 60 min following intubation; T5, extubation; T6-T10, 1, 2, 6, 12 and 24 h post-surgery, respectively; MBP, mean blood pressure; HR, heart rate.

Table I

Clinical characteristics of patients in the R and RD groups.

Table I

Clinical characteristics of patients in the R and RD groups.

CharacteristicR Group (n=30)RD Group (n=30)P-value
Age61.5±12.360.2±13.50.698
Male/female16/1417/130.795
ASA grade (II/III)22/820/100.573
Weight (kg)69.2±15.671.3±14.40.593
Height (cm)165.2±10.5163.9±11.80.654
BMI (kg/m2)23.3±4.823.6±5.10.815
Operative time (min)172.6±52.5178.8±48.60.637
Blood loss (ml)187±69192±940.814
Infusion volume (ml)1738±4211766±3840.789
Urine output (ml)596±156622±1430.504

[i] Data are expressed as mean ± standard deviation. ASA, American Society of Anesthesiologists physical status score.

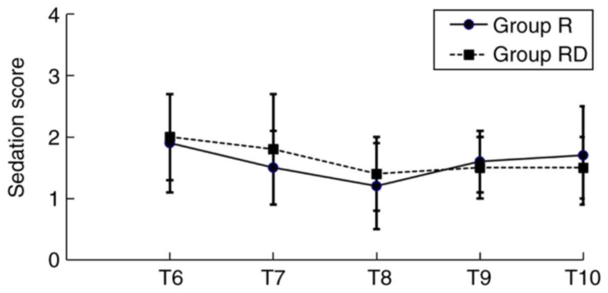
The duration of sensory block and analgesia was significantly increased in the RD group compared with the R group (P<0.05; Table II). However, the highest level of sensory block achieved was similar in both groups. VAS scores at T6-T9 in the RD group, either at rest or movement, were decreased compared with the Group R (Fig. 3). However, no significant difference was observed regarding the levels of sedation between the two groups at T6-T10. The majority of the patients in the present study exhibited a sedation grade ≤3 (Fig. 4).

Figure 3.

VAS pain scores at different time-points. (A) VAS pain scores at rest and (B) at movement. *P<0.05. T6-T10: 1, 2, 6, 12 and 24 h post-surgery, respectively; VAS, visual analogue scale.

Figure 4.

Sedation scores at different time-points. T6-T10, 1, 2, 6, 12 and 24 h post-surgery, respectively.

Table II

Duration of sensory block and analgesia (h).

Table II

Duration of sensory block and analgesia (h).

Duration measureR Group (n=30)RD group (n=30)P-value
Sensory block (h)9.4±3.513.5±4.1<0.001
Analgesia (h)6.4±3.810.2±4.30.001

[i] Data are expressed as mean ± standard deviation. Duration of sensory block, time from completion of TAP block to complete recovery of sensation; Duration of analgesia, time from completion of TAP block to first rescue analgesia.

In the RD group, bradycardia was observed in 5 patients (4 did not require treatments and 1 patient was treated with atropine). In the R group, bradycardia was observed in 2 patients who did not require treatments. Notably, the 0-24 h rates of PONV in the RD group were significantly decreased compared with the R group (P<0.05; Table III). During the postoperative period, no other side effects, including respiratory depression, hypoxemia, hypotension or somnolence, were indicated in either group.

Table III

Patients' rates of PONV 0-24 h following surgery.

Table III

Patients' rates of PONV 0-24 h following surgery.

MeasurementR Group (n=30) (%)RD Group (n=30) (%)P-value
Nausea
     0-24 h18(60)5 (16.7)0.001
     0-4 h8 (26.7)2 (6.7)0.038
     4-24 h10 (33.3)3(10)0.028
Vomiting
     0-24 h17 (56.7)3(10)0.001
     0-4 h8 (26.7)1 (3.3)0.026
     4-24 h9(30)2 (6.7)0.023

[i] Data are expressed as number (%). PONV, postoperative nausea and vomiting.

There were 90.0 and 66.7% patients who seemed satisfied with the postoperative pain management in the RD and R group, respectively (Table IV). The mean time of first passage of flatus and stool, and time of oral fluid and normal diet consumption was significantly reduced in the RD group compared with the R group (P<0.05). Furthermore, the LOS did not significantly differ between the study groups (Table V).

Table IV

Patient overall satisfaction with anesthesia.

Table IV

Patient overall satisfaction with anesthesia.

SatisfactionR Group (n=30) (%)RD Group (n=30) (%)P-value
Overall satisfied20 (66.7)27(90)0.028
Very satisfied6 (20.0)10 (33.3)0.243
Satisfied7 (23.3)12(40)0.165
Moderately satisfied7 (23.3)5 (16.7)0.519
Not satisfied10 (33.3)3(10)0.028

[i] Data are expressed as number (%).

Table V

Time to recovery of bowel function and hospital LOS.

Table V

Time to recovery of bowel function and hospital LOS.

Recovery measureR Group (n=30)RD Group (n=30)P-value
Time to first flatus (h)2.8±0.42.2±0.30.001
Time to first stool (days)4.2±1.73.3±1.40.029
Time to oral fluids (days)1.2±0.20.9±0.10.036
Time to normal diet (days)3.6±0.82.9±1.10.007
Hospital LOS (days)9.5±0.99.2±0.80.178

[i] Data are expressed as mean ± standard deviation. LOS, length of stay.

Discussion

Based on the observations of the current study, it was suggested that adding 0.5 µg/kg Dex to ropivacaine in bilateral TAP block was able to prolong the analgesic duration and improve recovery in patients undergoing laparoscopic colectomy.

TAP block is an ultrasound-guided regional anesthetic technique used for analgesia, which is designed to block the abdominal wall neural afferents (T7-L1) by injection of a local anesthetic between the internal oblique and transversus abdominis muscles. Since first being proposed in 2001 by Rafi (18), TAP block has become increasingly popular. A meta-analysis of 9 studies, which included 413 patients, investigated the efficacy of TAP block. The study revealed that that TAP block reduced the postoperative morphine requirements, opioid associated side-effects and the severity of pain, and enhanced recovery in patients following abdominal surgery (19). Previous research has demonstrated that a single-shot TAP block improved post-cesarean analgesia and the duration of analgesia was limited when compared with intrathecal morphine (20). Many analgesic adjuvants, including opioids, epinephrine and α2 agonists (including clonidine), have been added to LAs in various peripheral nerve blocks to prolong the analgesic duration. A previous study of healthy volunteers revealed that epinephrine, as an adjuvant to TAP block, was effective in decreasing peak plasma concentrations of levobupivacaine, with limited value on block characteristics or duration (21). The addition of dexamethasone (8 mg) to 30 ml levobupivacaine (0.25%) in a TAP block for analgesia following a cesarean delivery prolonged effective analgesia duration, and decreased deep and superficial pain scores (22). In contrast, Bollag et al (23) reported no benefit of a TAP block with or without clonidine following cesarean delivery for a low-risk population receiving a spinal anesthetic with morphine and multimodal analgesia as the analgesic consumption and pain scores were low overall.

Dex is a commonly used sedative for anesthesia and intensive care medicine (24). The clinical effect of Dex as an adjuvant to LAs for peripheral nerve blocks has been investigated in experimental and clinical studies (25-28). The addition of Dex to LAs in various nerve blocks can increase the duration of block and improve analgesia effects, including ulnar nerve block, palatine nerve block, infraorbital nerve block, axillary brachial plexus and cervical plexus, which has been described in scientific literature and applied in the daily clinical practice (12,25-28). Previous studies have indicated that various doses of Dex (20 to 150 µg) can be added to LAs. Dex combined with ropivacaine produces a dose-dependent (50, 100 and 150 µg) prolongation of ulnar nerve sensory block and dose-dependent sedation (29). The addition of 0.75 µg/kg Dex to 0.5% levobupivacaine for supraclavicular plexus block shortens sensory and motor block onset time, and extends sensory block, motor block and analgesia duration (30). A dosage of 0.5 µg/kg Dex in bilateral TAP block was chosen in present study, which was based from data obtained in previous studies and on doses that have been proven safe for sedation (31). Furthermore, this dose was chosen due to concerns regarding potential dose-dependent adverse systemic events that have been associated with Dex. Dex has been broadly applied as an additive to LAs under clinical settings.

To the best of our knowledge, the impact of Dex with ropivacaine in TAP block for postoperative analgesia and recovery has not been reported. The current study, which performed the TAP's block prior to surgery, indicated that this method may be helpful in decreasing opioid dosage and stabilizing BP and HR during operation. Furthermore, patients were not indicated to feel pain under general anesthesia. The present study demonstrated that the addition of Dex to ropivacaine was able to prolong the analgesic duration and enhance analgesic effects. The mechanism of action of Dex in peripheral nerve blocks is not completely understood. A number of mechanisms have been proposed, including central analgesia, vasoconstriction and anti-inflammatory effects (32). Dalle et al (33) indicated that clonidine (an α-2 adrenoreceptor agonist) improves the sensory blockade by blocking the inhibiting hyperpolarization-activated cation (Ih) current, which enhances the level of hyperpolarization and inhibits subsequent action potentials. Other research has suggested that adding Dex to LAs increases the time required for analgesia by decreasing the release of norepinephrine and causing α-2 receptor independent inhibitory effects on nerve fiber action potentials (28). However, further studies are required to investigate the underling effects of Dex in TAP block.

A previous study suggested a balanced anesthesia with Dex decreased PONV following laparoscopic surgery via the addition of Dex to ropivacaine (34). This may be due to the antiemetic properties of Dex. Pain itself is considered a significant risk factor for PONV (34,35). Intense pain may result in PONV and enhanced analgesia in the RD group in turn decreased PONV.

One concern about the use of Dex in TAP block is that Dex may be systemically absorbed and induce bradycardia and excessive sedation (25-28). However, in the current study, the hemodynamic variables that were assessed did not reveal significant differences between two groups during or after surgery. Furthermore, there was no excessive sedation post-surgery and no significant difference in the levels of sedation between the two groups. This may be primarily due to lower doses of Dex used in the present study. Additionally, Dex may be absorbed slowly in the TAP, so the plasma concentration of Dex would be too low to induce bradycardia and excessive sedation.

In the present study, although the HR was not significantly different between the two groups following surgery, bradycardia was observed in 5 patients post-surgery in the RD group, which may be explained by systemic absorption and cannot be ignored. Bradycardia could potentially be life-threatening if not detected and treated in time (26,28). Therefore, when Dex is used as an adjuvant to ropivacaine, patients should be monitored during the operation for potential side effects, including bradycardia, hypotension and sedation. The lack of other side effects, including PONV and respiratory depression, make Dex an appealing adjuvant for the TAP block.

A study by Cheung et al (36) indicated that intraoperative Dex in colorectal surgery did not improve recovery in patients, which was due to inhibition of Dex on intestinal motility via the suppression of acetylcholine release. A few studies have investigated the quality of postoperative recovery following the use of TAP block (37). In the present study, TAP block with Dex and ropivacaine shortened the time to first passage of flatus and first stool, promoted bowel movement and increased patient satisfaction. Multiple factors are considered for recovery from surgery, including pain, and surgery-induced metabolic, endocrine and immune changes, which are also known as ‘stress responses’ (36,37). Acute postoperative pain will reduce movement motivation and restrict patients at a relatively ‘comfortable position’, which impairs the ability of responding to stress physically and mentally, and defer recovery. It has previously been speculated that improvement of recovery in the RD group was primarily associated with promoted analgesia following surgery. However, further investigations are required to verify this hypothesis. No significant difference was observed in the mean LOS between the two groups. It is well know that there are a number of factors (including the surgical floor capacity, discharge criteria and patient- and institution-associated factors) other than the difference in TAP block in the current study that have an influence on the LOS.

The onset time of TAP block was not assessed in the current study, since the procedure was performed when patients were under general anesthesia. Some trials have indicated that adding Dex to LAs reduces the onset time of peripheral nerve or plexus block (25,28). Therefore, it was speculated that adding Dex to ropivacaine could also reduce the onset time of TAP block. However, this requires further study. Additionally, a number of anatomical structures can cause pain following abdominal surgeries, and may be considered superficial and deep, or visceral and somatic. Different analgesic techniques may not indicate a similar pain-relieving effect on different causes of pain. The effect of TAP block on visceral pain that causes deep pain sensations may not be expected to be efficient. In the present study, even though a significant difference in pain score was observed between the two groups, visceral and somatic pain components were not separately assessed. Opioid dosage during and after operation was also not recorded, because this may be an important factor for PONV and bowel function recovery. The majority of postoperative parameters assessment were subjective, however, all parameters were assessed by an investigator blinded to the group allocation. Finally, a relatively low dosage of Dex was used in the present study. Therefore, there is a possibility that a prolongation may be observed if the dosage of Dex had been higher. Therefore, whether a higher dosage of Dex may have better analgesic efficacy of the TAP block should be the focus of future studies. Additional analgesic agents can impact VAS scores. If patients required additional analgesic agents (for example, at 1 h post-surgery), then it would be expected to have an impact on the VAS score at the 2 h time-point.

In conclusion, data from the present study demonstrated that adding Dex to ropivacaine could improve postoperative analgesia and the duration of TAP block, and promote recovery of bowel function following laparoscopic colectomy.

Acknowledgements

Not applicable.

Funding

The current study was financed by the Science and Technology Program Foundation of Yantai, China (grant no. 2019YD022).

Availability of data and materials

The datasets used and/or analyzed during the current study are available from the corresponding author on reasonable request.

Authors' contributions

WP and GZL performed the study and also were major contributors in writing the manuscript. MJ and GGL performed the study and collected the data. TL and QS analyzed data. JM and HL designed the study and edited the manuscript. All authors approved the final manuscript.

Ethics approval and consent to participate

Approval was obtained from the Institutional Human Investigations Committee of Yantai Yuhuangding Hospital of Qingdao University. All patients provided written informed consent for participation.

Patient consent for publication

No applicable.

Competing interests

The authors declare that they have no competing interests.

References

1 

Ong CK, Lirk P, Seymour RA and Jenkins BJ: The efficacy of preemptive analgesia for acute postoperative pain management: A meta-analysis. Anesth Analg. 100:757–773, table of contents. 2005.PubMed/NCBI View Article : Google Scholar

2 

Buvanendran A and Kroin JS: Multimodal analgesia for controlling acute postoperative pain. Curr Opin Anaesthesiol. 22:588–593. 2009.PubMed/NCBI View Article : Google Scholar

3 

McDonnell JG, O'Donnell B, Curley G, Heffernan A, Power C and Laffey JG: The analgesic efficacy of transversus abdominis plane block after abdominal surgery: A prospective randomized controlled trial. Anesth Analg. 104:193–197. 2007.PubMed/NCBI View Article : Google Scholar

4 

Yu N, Long X, Lujan-Hernandez JR, Succar J, Xin X and Wang X: Transversus abdominis-plane block versus local anesthetic wound infiltration in lower abdominal surgery: A systematic review and meta-analysis of randomized controlled trials. BMC Anesthesiol. 14(121)2014.PubMed/NCBI View Article : Google Scholar

5 

Schoenmakers KP, Wegener JT and Stienstra R: Effect of local anesthetic volume (15 vs. 40 ml) on the duration of ultrasound-guided single shot axillary brachial plexus block: A prospective randomized, observer-blinded trial. Reg Anesth Pain Med. 37:242–247. 2012.PubMed/NCBI View Article : Google Scholar

6 

Ilfeld BM: Continuous peripheral nerve blocks: A review of the published evidence. Anesth Analg. 113:904–925. 2011.PubMed/NCBI View Article : Google Scholar

7 

Kirksey MA, Haskins SC, Cheng J and Liu SS: Local anesthetic peripheral nerve block adjuvants for prolongation of analgesia: A systematic qualitative review. PLoS One. 10(e0137312)2015.PubMed/NCBI View Article : Google Scholar

8 

Gerlach AT and Dasta JF: Dexmedetomidine: An updated review. Ann Pharmacother. 41:245–252. 2007.PubMed/NCBI View Article : Google Scholar

9 

Blaudszun G, Lysakowski C, Elia N and Tramer MR: Effect of perioperative systemic α2 agonists on postoperative morphine consumption and pain intensity: Systematic review and meta-analysis of randomized controlled trials. Anesthesiology. 116:1312–1322. 2012.PubMed/NCBI View Article : Google Scholar

10 

Brummett CM, Hong EK, Janda AM, Amodeo FS and Lydic R: Perineural dexmedetomidine added to ropivacaine for sciatic nerve block in rats prolongs the duration of analgesia by blocking the hyperpolarization-activated cation current. Anesthesiology. 115:836–843. 2011.PubMed/NCBI View Article : Google Scholar

11 

Brummett CM, Norat MA, Palmisano JM and Lydic R: Perineural administration of dexmedetomidine in combination with bupivacaine enhances sensory and motor blockade in sciatic nerve block without inducing neurotoxicity in rat. Anesthesiology. 109:502–511. 2008.PubMed/NCBI View Article : Google Scholar

12 

Marhofer D, Kettner SC, Marhofer P, Pils S, Weber M and Zeitlinger M: Dexmedetomidine as an adjuvant to ropivacaine prolongs peripheral nerve block: A volunteer study. Br J Anaesth. 110:438–442. 2013.PubMed/NCBI View Article : Google Scholar

13 

Gandhi R, Shah A and Patel I: Use of dexmedetomidine along with bupivacaine for brachial plexus block. National J Med Res. 2:67–69. 2012.

14 

Hebbard P, Fujiwara Y, Shibata Y and Royse C: Ultrasound-guided transversus abdominis plane (TAP) block. Anaesth Intensive Care. 35:616–617. 2007.PubMed/NCBI

15 

Ris F, Findlay JM Hompes R, Rashid A, Warwick J, Cunningham C, Jones O, Crabtree N and Lindsey I: Addition of transversus abdominis plane block to patient controlled analgesia for laparoscopic high anterior resection improves analgesia, reduces opioid requirement and expedites recovery of bowel function. Ann R Coll Surg Engl. 96:579–585. 2014.PubMed/NCBI View Article : Google Scholar

16 

Nader A, Doty R Jr, Brodskaia A, Kendall MC and McCarthy RJ: Sensory testing of distal sural and posterior tibial nerves provides early prediction of surgical anesthesia after single-injection infragluteal-parabiceps sciatic nerve block. Anesth Analg. 110:951–957. 2010.PubMed/NCBI View Article : Google Scholar

17 

Overdyk FJ, Carter R, Maddox RR, Callura J, Herrin AE and Henriquez C: Continuous oximetry/capnometry monitoring reveals frequent desaturation and bradypnea during patient-controlled analgesia. Anesth Analg. 105:412–418. 2007.PubMed/NCBI View Article : Google Scholar

18 

Rafi AN: Abdominal field block: A new approach via the lumbar triangle. Anaesthesia. 56:1024–1026. 2001.PubMed/NCBI View Article : Google Scholar

19 

Hain E, Maggiori L, Prost À la Denise J and Panis Y: Transversus abdominis plane (TAP) block in laparoscopic colorectal surgery improves postoperative pain management: A meta-analysis. Colorectal Dis. 20:279–287. 2018.PubMed/NCBI View Article : Google Scholar

20 

Kanazi GE, Aouad MT, Abdallah FW, Khatib MI, Adham AM, Harfoush DW and Siddik-Sayyid SM: The analgesic efficacy of subarachnoid morphine in comparison with ultrasound-guided transversus abdominis plane block after cesarean delivery: A randomized controlled trial. Anesth Analg. 111:475–481. 2010.PubMed/NCBI View Article : Google Scholar

21 

Corvetto MA, Echevarria GC, De La Fuente N, Mosqueira L, Solari S and Altermatt FR: Comparison of plasma concentrations of levobupivacaine with and without epinephrine for transversus abdominis plane block. Reg Anesth Pain Med. 37:633–637. 2012.PubMed/NCBI View Article : Google Scholar

22 

Akkaya A, Yildiz I, Tekelioglu UY, Demirhan A, Bayir H, Ozlu T, Bilgi M and Kocoglu H: Dexamethasone added to levobupivacaine in ultrasound-guided tranversus abdominis plain block increased the duration of postoperative analgesia after caesarean section: a randomized, double blind, controlled trial. Eur Rev Med Pharmacol Sci. 18:717–722. 2014.PubMed/NCBI

23 

Bollag L, Richebe P, Siaulys M, Ortner CM, Gofeld M and Landau R: Effect of transversus abdominis plane block with and without clonidine on post-cesarean delivery wound hyperalgesia and pain. Reg Anesth Pain Med. 37:508–514. 2012.PubMed/NCBI View Article : Google Scholar

24 

Carollo DS, Nossaman BD and Ramadhyani U: Dexmedetomidine: A review of clinical applications. Curr Opin Anaesthesiol. 21:457–461. 2008.PubMed/NCBI View Article : Google Scholar

25 

Obayah GM, Refaie A, Aboushanab O, Ibraheem N and Abdelazees M: Addition of dexmedetomidine to bupivacaine for greater palatine nerve block prolongs postoperative analgesia after cleft palate repair. Eur J Anaesthesiol. 27:280–284. 2010.PubMed/NCBI View Article : Google Scholar

26 

Khandaitkar S, Kolte V, Shenoi SR and Budhraja N: A clinical study to determine the efficacy of 7ppm dexmedetomidine as an adjuvant to 2% lignocaine in infraorbital nerve block. Br J Oral Maxillofac Surg. 54:997–1000. 2016.PubMed/NCBI View Article : Google Scholar

27 

Esmaoglu A, Yegenoglu F, Akin A and Turk CY: Dexmedetomidine added to levobupivacaine prolongs axillary brachial plexus block. Anesth Analg. 111:1548–1551. 2010.PubMed/NCBI View Article : Google Scholar

28 

Lin YN, Li Q, Yang RM, Mao ZX and Liu JC: Addition of dexmedetomidine to ropivacaine improves cervical plexus block. Acta Anaesthesiol Taiwan. 51:63–66. 2013.PubMed/NCBI View Article : Google Scholar

29 

Brummett CM, Padda AK, Amodeo FS, Welch KB and Lydic R: Perineural dexmedetomidine added to ropivacaine causes a dose-dependent increase in the duration of thermal antinociception in sciatic nerve block in rat. Anesthesiology. 111:1111–1119. 2009.PubMed/NCBI View Article : Google Scholar

30 

Bisui B, Samanta S, Ghoshmaulik S, Banerjee A, Ghosh TR and Sarkar S: Effect of locally administered dexmedetomidine as adjuvant to levobupivacaine in supraclavicular brachial plexus block: Double-blind controlled Study. Anesth Essays Res. 11:981–986. 2017.PubMed/NCBI View Article : Google Scholar

31 

Rancourt MP, Albert NT, Côté M, Létourneau DR and Bernard PM: Posterior tibial nerve sensory blockade duration prolonged by adding dexmedetomidine to ropivacaine. Anesth Analg. 115:958–962. 2012.PubMed/NCBI View Article : Google Scholar

32 

Iskandar H, Benard A, Ruel-Raymond J, Cochard G and Manaud B: The analgesic effect of interscalene block using clonidine as an analgesic for shoulder arthroscopy. Anesth Analg. 96:260–262. 2003.PubMed/NCBI View Article : Google Scholar

33 

Dalle C, Schneider M, Clergue F, Bretton C and Jirounek P: Inhibition of the I(h) current in isolated peripheral nerve: A novel mode of peripheral antinociception? Muscle Nerve. 24:254–261. 2001.PubMed/NCBI View Article : Google Scholar

34 

Massad IM, Mohsen WA, Basha AS, Al-Zaben KR, Al-Mustafa MM and Alghanem SM: A balanced anesthesia with dexmedetomidine decreases postoperative nausea and vomiting after laparoscopic surgery. Saudi Med J. 30:1537–1541. 2009.PubMed/NCBI

35 

Schnabel A, Meyer-Frießem CH, Reichl SU, Zahn PK and Pogatzki-Zahn EM: Is intraoperative dexmedetomidine a new option for postoperative pain treatment? A meta-analysis of randomized controlled trials. Pain. 154:1140–1149. 2013.PubMed/NCBI View Article : Google Scholar

36 

Cheung CW, Qiu Q, Ying AC, Choi SW, Law WL and Irwin MG: The effects of intra-operative dexmedetomidine on postoperative pain, side-effects and recovery in colorectal surgery. Anaesthesia. 69:1214–1221. 2014.PubMed/NCBI View Article : Google Scholar

37 

Bekker A, Haile M, Kline R, Didehvar S, Babu R, Martiniuk F and Urban M: The effect of intraoperative infusion of dexmedetomidine on the quality of recovery after major spinal surgery. J Neurosurg Anesthesiol. 25:16–24. 2013.PubMed/NCBI View Article : Google Scholar

Related Articles

  • Abstract
  • View
  • Download
  • Twitter
Copy and paste a formatted citation
Spandidos Publications style
Pan W, Liu G, Li T, Sun Q, Jiang M, Liu G, Ma J and Liu H: Dexmedetomidine combined with ropivacaine in ultrasound‑guided tranversus abdominis plane block improves postoperative analgesia and recovery following laparoscopic colectomy. Exp Ther Med 19: 2535-2542, 2020.
APA
Pan, W., Liu, G., Li, T., Sun, Q., Jiang, M., Liu, G. ... Liu, H. (2020). Dexmedetomidine combined with ropivacaine in ultrasound‑guided tranversus abdominis plane block improves postoperative analgesia and recovery following laparoscopic colectomy. Experimental and Therapeutic Medicine, 19, 2535-2542. https://doi.org/10.3892/etm.2020.8508
MLA
Pan, W., Liu, G., Li, T., Sun, Q., Jiang, M., Liu, G., Ma, J., Liu, H."Dexmedetomidine combined with ropivacaine in ultrasound‑guided tranversus abdominis plane block improves postoperative analgesia and recovery following laparoscopic colectomy". Experimental and Therapeutic Medicine 19.4 (2020): 2535-2542.
Chicago
Pan, W., Liu, G., Li, T., Sun, Q., Jiang, M., Liu, G., Ma, J., Liu, H."Dexmedetomidine combined with ropivacaine in ultrasound‑guided tranversus abdominis plane block improves postoperative analgesia and recovery following laparoscopic colectomy". Experimental and Therapeutic Medicine 19, no. 4 (2020): 2535-2542. https://doi.org/10.3892/etm.2020.8508
Copy and paste a formatted citation
x
Spandidos Publications style
Pan W, Liu G, Li T, Sun Q, Jiang M, Liu G, Ma J and Liu H: Dexmedetomidine combined with ropivacaine in ultrasound‑guided tranversus abdominis plane block improves postoperative analgesia and recovery following laparoscopic colectomy. Exp Ther Med 19: 2535-2542, 2020.
APA
Pan, W., Liu, G., Li, T., Sun, Q., Jiang, M., Liu, G. ... Liu, H. (2020). Dexmedetomidine combined with ropivacaine in ultrasound‑guided tranversus abdominis plane block improves postoperative analgesia and recovery following laparoscopic colectomy. Experimental and Therapeutic Medicine, 19, 2535-2542. https://doi.org/10.3892/etm.2020.8508
MLA
Pan, W., Liu, G., Li, T., Sun, Q., Jiang, M., Liu, G., Ma, J., Liu, H."Dexmedetomidine combined with ropivacaine in ultrasound‑guided tranversus abdominis plane block improves postoperative analgesia and recovery following laparoscopic colectomy". Experimental and Therapeutic Medicine 19.4 (2020): 2535-2542.
Chicago
Pan, W., Liu, G., Li, T., Sun, Q., Jiang, M., Liu, G., Ma, J., Liu, H."Dexmedetomidine combined with ropivacaine in ultrasound‑guided tranversus abdominis plane block improves postoperative analgesia and recovery following laparoscopic colectomy". Experimental and Therapeutic Medicine 19, no. 4 (2020): 2535-2542. https://doi.org/10.3892/etm.2020.8508
Follow us
  • Twitter
  • LinkedIn
  • Facebook
About
  • Spandidos Publications
  • Careers
  • Cookie Policy
  • Privacy Policy
How can we help?
  • Help
  • Live Chat
  • Contact
  • Email to our Support Team