Spandidos Publications Logo
  • About
    • About Spandidos
    • Aims and Scopes
    • Abstracting and Indexing
    • Editorial Policies
    • Reprints and Permissions
    • Job Opportunities
    • Terms and Conditions
    • Contact
  • Journals
    • All Journals
    • Oncology Letters
      • Oncology Letters
      • Information for Authors
      • Editorial Policies
      • Editorial Board
      • Aims and Scope
      • Abstracting and Indexing
      • Bibliographic Information
      • Archive
    • International Journal of Oncology
      • International Journal of Oncology
      • Information for Authors
      • Editorial Policies
      • Editorial Board
      • Aims and Scope
      • Abstracting and Indexing
      • Bibliographic Information
      • Archive
    • Molecular and Clinical Oncology
      • Molecular and Clinical Oncology
      • Information for Authors
      • Editorial Policies
      • Editorial Board
      • Aims and Scope
      • Abstracting and Indexing
      • Bibliographic Information
      • Archive
    • Experimental and Therapeutic Medicine
      • Experimental and Therapeutic Medicine
      • Information for Authors
      • Editorial Policies
      • Editorial Board
      • Aims and Scope
      • Abstracting and Indexing
      • Bibliographic Information
      • Archive
    • International Journal of Molecular Medicine
      • International Journal of Molecular Medicine
      • Information for Authors
      • Editorial Policies
      • Editorial Board
      • Aims and Scope
      • Abstracting and Indexing
      • Bibliographic Information
      • Archive
    • Biomedical Reports
      • Biomedical Reports
      • Information for Authors
      • Editorial Policies
      • Editorial Board
      • Aims and Scope
      • Abstracting and Indexing
      • Bibliographic Information
      • Archive
    • Oncology Reports
      • Oncology Reports
      • Information for Authors
      • Editorial Policies
      • Editorial Board
      • Aims and Scope
      • Abstracting and Indexing
      • Bibliographic Information
      • Archive
    • Molecular Medicine Reports
      • Molecular Medicine Reports
      • Information for Authors
      • Editorial Policies
      • Editorial Board
      • Aims and Scope
      • Abstracting and Indexing
      • Bibliographic Information
      • Archive
    • World Academy of Sciences Journal
      • World Academy of Sciences Journal
      • Information for Authors
      • Editorial Policies
      • Editorial Board
      • Aims and Scope
      • Abstracting and Indexing
      • Bibliographic Information
      • Archive
    • International Journal of Functional Nutrition
      • International Journal of Functional Nutrition
      • Information for Authors
      • Editorial Policies
      • Editorial Board
      • Aims and Scope
      • Abstracting and Indexing
      • Bibliographic Information
      • Archive
    • International Journal of Epigenetics
      • International Journal of Epigenetics
      • Information for Authors
      • Editorial Policies
      • Editorial Board
      • Aims and Scope
      • Abstracting and Indexing
      • Bibliographic Information
      • Archive
    • Medicine International
      • Medicine International
      • Information for Authors
      • Editorial Policies
      • Editorial Board
      • Aims and Scope
      • Abstracting and Indexing
      • Bibliographic Information
      • Archive
  • Articles
  • Information
    • Information for Authors
    • Information for Reviewers
    • Information for Librarians
    • Information for Advertisers
    • Conferences
  • Language Editing
Spandidos Publications Logo
  • About
    • About Spandidos
    • Aims and Scopes
    • Abstracting and Indexing
    • Editorial Policies
    • Reprints and Permissions
    • Job Opportunities
    • Terms and Conditions
    • Contact
  • Journals
    • All Journals
    • Biomedical Reports
      • Information for Authors
      • Editorial Policies
      • Editorial Board
      • Aims and Scope
      • Abstracting and Indexing
      • Bibliographic Information
      • Archive
    • Experimental and Therapeutic Medicine
      • Information for Authors
      • Editorial Policies
      • Editorial Board
      • Aims and Scope
      • Abstracting and Indexing
      • Bibliographic Information
      • Archive
    • International Journal of Epigenetics
      • Information for Authors
      • Editorial Policies
      • Editorial Board
      • Aims and Scope
      • Abstracting and Indexing
      • Bibliographic Information
      • Archive
    • International Journal of Functional Nutrition
      • Information for Authors
      • Editorial Policies
      • Editorial Board
      • Aims and Scope
      • Abstracting and Indexing
      • Bibliographic Information
      • Archive
    • International Journal of Molecular Medicine
      • Information for Authors
      • Editorial Policies
      • Editorial Board
      • Aims and Scope
      • Abstracting and Indexing
      • Bibliographic Information
      • Archive
    • International Journal of Oncology
      • Information for Authors
      • Editorial Policies
      • Editorial Board
      • Aims and Scope
      • Abstracting and Indexing
      • Bibliographic Information
      • Archive
    • Medicine International
      • Information for Authors
      • Editorial Policies
      • Editorial Board
      • Aims and Scope
      • Abstracting and Indexing
      • Bibliographic Information
      • Archive
    • Molecular and Clinical Oncology
      • Information for Authors
      • Editorial Policies
      • Editorial Board
      • Aims and Scope
      • Abstracting and Indexing
      • Bibliographic Information
      • Archive
    • Molecular Medicine Reports
      • Information for Authors
      • Editorial Policies
      • Editorial Board
      • Aims and Scope
      • Abstracting and Indexing
      • Bibliographic Information
      • Archive
    • Oncology Letters
      • Information for Authors
      • Editorial Policies
      • Editorial Board
      • Aims and Scope
      • Abstracting and Indexing
      • Bibliographic Information
      • Archive
    • Oncology Reports
      • Information for Authors
      • Editorial Policies
      • Editorial Board
      • Aims and Scope
      • Abstracting and Indexing
      • Bibliographic Information
      • Archive
    • World Academy of Sciences Journal
      • Information for Authors
      • Editorial Policies
      • Editorial Board
      • Aims and Scope
      • Abstracting and Indexing
      • Bibliographic Information
      • Archive
  • Articles
  • Information
    • For Authors
    • For Reviewers
    • For Librarians
    • For Advertisers
    • Conferences
  • Language Editing
Login Register Submit
  • This site uses cookies
  • You can change your cookie settings at any time by following the instructions in our Cookie Policy. To find out more, you may read our Privacy Policy.

    I agree
Search articles by DOI, keyword, author or affiliation
Search
Advanced Search
presentation
Experimental and Therapeutic Medicine
Join Editorial Board Propose a Special Issue
Print ISSN: 1792-0981 Online ISSN: 1792-1015
Journal Cover
June-2020 Volume 19 Issue 6

Full Size Image

Sign up for eToc alerts
Recommend to Library

Journals

International Journal of Molecular Medicine

International Journal of Molecular Medicine

International Journal of Molecular Medicine is an international journal devoted to molecular mechanisms of human disease.

International Journal of Oncology

International Journal of Oncology

International Journal of Oncology is an international journal devoted to oncology research and cancer treatment.

Molecular Medicine Reports

Molecular Medicine Reports

Covers molecular medicine topics such as pharmacology, pathology, genetics, neuroscience, infectious diseases, molecular cardiology, and molecular surgery.

Oncology Reports

Oncology Reports

Oncology Reports is an international journal devoted to fundamental and applied research in Oncology.

Experimental and Therapeutic Medicine

Experimental and Therapeutic Medicine

Experimental and Therapeutic Medicine is an international journal devoted to laboratory and clinical medicine.

Oncology Letters

Oncology Letters

Oncology Letters is an international journal devoted to Experimental and Clinical Oncology.

Biomedical Reports

Biomedical Reports

Explores a wide range of biological and medical fields, including pharmacology, genetics, microbiology, neuroscience, and molecular cardiology.

Molecular and Clinical Oncology

Molecular and Clinical Oncology

International journal addressing all aspects of oncology research, from tumorigenesis and oncogenes to chemotherapy and metastasis.

World Academy of Sciences Journal

World Academy of Sciences Journal

Multidisciplinary open-access journal spanning biochemistry, genetics, neuroscience, environmental health, and synthetic biology.

International Journal of Functional Nutrition

International Journal of Functional Nutrition

Open-access journal combining biochemistry, pharmacology, immunology, and genetics to advance health through functional nutrition.

International Journal of Epigenetics

International Journal of Epigenetics

Publishes open-access research on using epigenetics to advance understanding and treatment of human disease.

Medicine International

Medicine International

An International Open Access Journal Devoted to General Medicine.

Journal Cover
June-2020 Volume 19 Issue 6

Full Size Image

Sign up for eToc alerts
Recommend to Library

  • Article
  • Citations
    • Cite This Article
    • Download Citation
    • Create Citation Alert
    • Remove Citation Alert
    • Cited By
  • Similar Articles
    • Related Articles (in Spandidos Publications)
    • Similar Articles (Google Scholar)
    • Similar Articles (PubMed)
  • Download PDF
  • Download XML
  • View XML
Article Open Access

PTEN inhibitor VO‑OHpic suppresses TSC2‑/‑ MEFs proliferation by excessively inhibiting autophagy via the PTEN/PRAS40 pathway

  • Authors:
    • Wenda Wang
    • Xu Wang
    • Hao Guo
    • Yi Cai
    • Yushi Zhang
    • Hanzhong Li
  • View Affiliations / Copyright

    Affiliations: Department of Urology, Peking Union Medical College Hospital, Chinese Academy of Medical Sciences and Peking Union Medical College, Beijing 100730, P.R. China, Department of Urology, Xiangya Hospital, Central South University, Changsha, Hunan 410008, P.R. China
    Copyright: © Wang et al. This is an open access article distributed under the terms of Creative Commons Attribution License.
  • Pages: 3565-3570
    |
    Published online on: March 31, 2020
       https://doi.org/10.3892/etm.2020.8629
  • Expand metrics +
Metrics: Total Views: 0 (Spandidos Publications: | PMC Statistics: )
Metrics: Total PDF Downloads: 0 (Spandidos Publications: | PMC Statistics: )
Cited By (CrossRef): 0 citations Loading Articles...

This article is mentioned in:



Abstract

Tuberous sclerosis complex (TSC) is a relatively rare autosomal dominant disease which involves multiple organs, including the brain, kidney, lung, skin and heart. Renal angiomyolipomas (RAML) are the main causes of mortality in patients with TSC. The preferred treatment for RAML is the use of mTOR inhibitors, but the efficacy of these are not satisfactory. Therefore, an alternative treatment is urgently required. Autophagy levels decline in TSC associated cortical tubers, and the inhibition of autophagy in animal or cell models of TSC may suppress tumor development and cell proliferation. PTEN is a protein tyrosine phosphatase and can inhibit the activation of Akt. In the present study, it was indicated that the PTEN inhibitor, hydroxyl(oxo)vanadium 3‑hydroxypiridine‑2‑carboxylic acid (VO‑OHpic), suppressed proliferation and growth of TSC2‑/‑ murine embryonic fibroblasts (MEFs) by further inhibiting autophagy of cells. The expression levels of human microtubule‑associated protein 1 light chain 3‑I (LC3‑I) and LC3‑II, which are autophagy associated proteins, were demonstrated to decline following VO‑OHpic treatment. The expression levels of phosphorylated proline‑rich Akt substrate 40 kDa (PRAS40) also decreased in TSC2‑/‑ MEFs treated with VO‑OHpic. The PTEN inhibitor may inhibit the proliferation of TSC2‑/‑ MEFs through the PTEN‑PRAS40 pathway by excessively inhibiting autophagy, without the dependence of the Ras homolog, mTORC1 binding/mTOR pathway. PTEN may be a potential therapeutic target for the treatment of TSC. Further in vivo studies are required to confirm these results.

Introduction

Tuberous sclerosis complex (TSC) is a relatively rare autosomal dominant disorder, which can involve multiple organs, including brain, kidney, lung, skin and heart (1). The typical manifestations of TSC in the kidneys include angiomyolipomas (AMLs), multiple renal cysts and renal carcinomas (2). Renal AML (RAML) is present in ~70-90% of patients with TSC, and it is the leading cause of mortality in adult patients with the disorder (3). The recommended first-line therapy for TSC-RAML is the use of mTOR inhibitors. However, ~30-40% patients using mTOR inhibitors do not achieve clinical remission, which is defined as a RAML volume reduction ≥50% and severe adverse reactions may also occur in some patients (4,5). Despite these issues, there are currently no other treatment options for RAML (5). The critical role of autophagy in the formation and development of tumors has become increasingly recognized (6). Autophagy influences the rearrangement of the plasma membrane, leading to the sequestration of proteins and organelles intended for delivery into lysosomes for degradation (7). Autophagy is a highly conserved catabolic process of cellular proteins and organelles in which they are sequestered into lysosomes for degradation to maintain cellular homeostasis (8). There are three types of autophagy, including microautophagy, macroautophagy and chaperone-mediated autophagy (7), in which macroautophagy is among the most researched. During macroautophagy, the membrane expands to form phagophores, which expand and bend continuously. The membrane then wraps around the cargo to form complete autophagosomes, which is then delivered into the lysosomes for degradation where the materials are then reused (7). Human microtubule-associated protein 1 light chain 3 (LC3) is an important protein for autophagosome formation (7). LC3 is normally spliced further into LC3-I and LC3-II, which is mainly localized in the cytoplasm and on the autophagosomal double membrane, respectively (9). The levels of LC3-I and II can therefore be used to reflect the degree of autophagy. Miyahara et al (9) previously demonstrated in the cerebral cortical tubers of patients with TSC that the levels of LC3-I and LC3-II were lower compared with those in normal cerebral tissues. Autophagy may promote or inhibit tumorigenesis, depending on the cellular context (6). Autophagic dysfunction can lead to a variety of human pathologies, including cancer, metabolic diseases and degenerative conditions (10). In Myc-induced lymphomas, chloroquine may inhibit autophagy and the fusion of autophagosomes and lysosomes, resulting in the suppression of lymphoma development (11). Haploinsufficiency of the autophagy gene, Beclin 1, promotes tumor formation in the TSC2+/- mouse model (6) and allelic loss of Beclin 1 may be associated with breast, ovarian and prostate cancers (12).

mTOR also participates in the regulation of autophagy by inhibiting the formation of the autophagosome (13). Ras homolog-enriched in brain (Rheb) is a principal downstream target of the TSC1/TSC2 complex and an upstream regulator of mTOR. When TSC1 or TSC2 mutates, Rheb can be abnormally activated and promote mTOR activation to downregulate autophagy (13). PTEN is an upstream regulator of Akt that regulates the TSC1/TSC2 complex (14,15), but has also been revealed to potentially regulate autophagy via a different signaling pathway independent of TSC1/TSC2(15). The current study indicated that the PTEN inhibitor, hydroxyl(oxo)vanadium 3-hydroxypiridine-2-carboxylic acid (VO-OHpic), could suppress the proliferation of TSC2-/- murine embryonic fibroblasts (MEFs) by excessively inhibiting autophagy via the PTEN/proline-rich Akt substrate 40 kDa (PRAS40) pathway.

Materials and methods

Cell culture

The TSC2-/- and TSC2+/+ MEF cell lines, as aforementioned (16), were donated by Professor Hongbing Zhang, Chinese Academy of Medical Sciences and Peking Union Medical College (Beijing, China). The cells were cultured in DMEM supplemented with 10% FBS, 100 U/ml penicillin and 100 mg/ml streptomycin at 37˚C in a humidified 5% CO2 atmosphere. The TSC2-/- MEFs were used as two groups: i) With VO-OHpic treatment at 1 µM as previously described (17); or ii) without VO-OHpic treatment. All cultured TSC2-/- and TSC2+/+ MEFs were harvested at 24, 48 and 72 h, respectively, for further analysis.

Cell proliferation analysis

Cell proliferation assays were conducted using a Cell Counting kit-8 (CCK-8; Beijing Solarbio Science & Technology Co., Ltd.; cat. no CA1210) according to the manufacturer's protocol. The harvested cells (5,000 cells/well) were seeded in 96-well plates at 100 µl per well and cultured in growth medium at 37˚C and 5% CO2. A total of 10 µl of CCK-8 were added to each well at 24, 48 and 72 h. Subsequently, the cells were incubated at 37˚C for 3 h and the optical density was measured at 450 nm.

Western blot analysis

The cells were stored at -80˚C, then proteins were subsequently extracted with protein lysis buffer (Beijing Solarbio Science & Technology Co., Ltd.; cat. no. R0020). The protein concentration was standardized using a BCA protein assay kit (Beijing Solarbio Science & Technology Co. Ltd.; cat. no. PC0020). A total of 30 µg protein extracts from the various groups (with or without VO-OHpic treatment, at 24, 48 or 72 h, respectively) were loaded into a 15% SDS-PAGE gel and transferred onto PVDF membranes. The membranes were blocked with 5% skimmed milk in Tris-buffered saline with Tween 20 (0.01 M Tris-HCl, pH 7.6; 0.15 M NaCl; 0.05% Tween 20) for 2 h at room temperature. The membranes were incubated with rabbit anti-LC3 antibodies Abs (Sigma-Aldrich; Merck KGaA; cat. no. L8918; 1:2,000), rabbit anti-phosphorylated (p)-PTEN Abs (Abcam; cat. no. ab31392; 1:1,000), rabbit anti-PTEN Abs (Abcam; cat. no. ab32199; 1:1,000), rabbit anti-p-PRAS40 Abs (Abcam; cat. no. ab134084; 1:1,000) or rabbit anti-PRAS40 Ab (Abcam; cat. no. ab151719; 1:1,000) overnight at 4˚C. GAPDH antibodies were used as an internal control (Beijing Zhongshan Jinqiao Biotechnology Co., Ltd.; cat. no. TA-08; 1:1,000). The bound primary Ab was detected with horseradish peroxidase-linked goat anti-rabbit immunoglobulin G (IgG; Beijing Zhongshan Jinqiao Biotechnology Co., Ltd.; cat. no. ZB-2301; 1:10,000). The secondary incubation was conducted at room temperature for 1 h. Subsequently, the antigen-antibody complexes were detected using ECL (Tanon Science & Technology Co. Ltd.). Gray values were calculated using Image J 1.50i software (National Institutes of Health).

Statistical analysis

All of the data were analyzed using SPSS version 19.0.0 (IBM Corp.) and GraphPad Prism version 6.0 (GraphPad Software, Inc.). The results are presented as the mean ± SEM. Differences between groups were analyzed using two-way ANOVAs followed by post-hoc Tukey's tests. P<0.05 was considered to indicate a statistically significant difference. All experiments were repeated at least three times.

Results

To confirm the autophagic conditions in TSC2-/- MEFs, the expression levels of LC3 were analyzed. TSC2-/- and TSC2+/+ MEFs were harvested at 24, 48 and 72 h, and western blot analysis was performed (Fig. 1). Overall, LC3 expression in TSC2-/- MEFs was reduced compared with that in TSC2+/+ MEFs at 24 and 72 h. Two-way ANOVA analysis indicated that neither TSC2+/+/TSC2-/- nor the time point of collection, had a significant effect on LC3-I expression levels (P=0.245 and P=0.291, respectively; data not shown). Considering the effect of TSC2+/+/TSC2-/-, no statistically significant differences were found (All P>0.05; Fig. 1B). By contrast, both TSC2+/+/TSC2-/- and the collection time had a significant effect on LC3-II expression (both P<0.001). When considering the effect of TSC2+/+/TSC2-/-, except for the cells at 48 h, LC3-II was expressed at a significantly lower level in TSC2-/- MEFs (24 h, P<0.001; 72 h, P<0.001; Fig. 1C).

Figure 1

The autophagy levels in TSC2-/- and TSC2+/+ MEFs. (A) Western blot analysis of LC3-I and LC3-II in TSC2-/- and TSC2+/+ MEFs. (B) Average relative gray values of LC3-I at the 24, 48 and 72 h. (C) Average relative gray values of LC3-II at the 24, 48 and 72 h. The stated time point represents the time point at which the MEFs were harvested. *P<0.001. MEF, murine embryonic fibroblasts; TSC, tuberous sclerosis complex; LC3, human microtubule-associated protein 1 light chain 3.

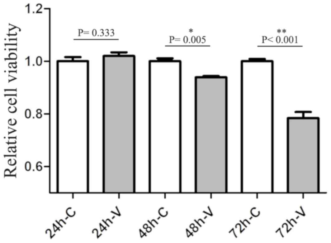
Subsequently, a PTEN inhibitor, VO-OHpic, was added to TSC2-/- MEFs and the effect on cell proliferation and growth was observed. At various time points, the cells that underwent VO-OHpic treatment demonstrated a reduced volume and a decrease in their density (Fig. 2). The MEFs displayed larger cellular bodies and nuclei, with more obvious processes, and the cells grew at a greater density when VO-OHpic was not applied. VO-OHpic treatment led to atrophy of the cell bodies and nuclei of MEFs and a reduction in the size and number of processes. CCK-8 assays were also performed for quantitative analysis. A two-way ANOVA revealed that both the intervention and the time points of collection had a significant effect on the extent of cell viability (both, P<0.001). When considering the effect of the intervention, VO-OHpic led to a reduction in cell viability (with vs. without VO-OHpic treatment: 24 h, P=0.333; 48 h, P=0.005; 72 h, P<0.001; Fig. 3).

Figure 2

Different morphological features of TSC2-/- MEFs with or without VO-OHpic treatment at 24, 48 and 72 h. (A) TSC2-/- MEFs with VO-OHpic (1 µM) treatment at 24 h. (B) TSC2-/- MEFs without VO-OHpic treatment at 24 h. (C) TSC2-/- MEFs with VO-OHpic (1 µM) treatment at 48 h. (D) TSC2-/- MEFs without VO-OHpic treatment at 48 h. (E) TSC2-/- MEFs with VO-OHpic (1 µM) treatment at 72 h. (F) TSC2-/- MEFs without VO-OHpic treatment at 72 h. The application of VO-OHpic appeared to lead to a reduction in the density of the cells and in the cell volume at each time point. The MEFs which had not received VO-OHpic treatment presented with larger cell bodies and nuclei; more obvious processes; and the cells appeared denser. magnification, x200. MEF, murine embryonic fibroblasts; TSC, tuberous sclerosis complex; VO-OHpic, hydroxyl(oxo)vanadium 3-hydroxypiridine-2-carboxylic acid.

Figure 3

Quantitative analysis of the proliferation of TSC2-/- MEFs with or without VO-OHpic treatment. The results of the Cell Counting kit-8 assay revealed a downwards trend in the relative cell viability of TSC2-/- MEFs treated with VO-OHpic compared with TSC2-/- MEFs without VO-OHpic treatment over time. *P<0.01 and **P<0.001. C, control; MEF, murine embryonic fibroblasts; TSC, tuberous sclerosis complex; V, with VO-OHpic treatment; VO-OHpic, hydroxyl(oxo)vanadium 3-hydroxypiridine-2-carboxylic acid.

To further analyze the effects of the PTEN inhibitor on autophagy of TSC2-/- MEFs, the LC3 levels of cells treated with or without VO-Ohpic, were examined (Fig. 4). Two-way ANOVA analysis showed that the intervention had a significant effect on LC3-I expression levels (overall, P<0.001; intervention vs. control: 24 h, P<0.001; 48 h, P=0.015; and 72 h, P=0.001); however, this did not change with time (P=0.800). Similar results were indicated for LC3-II expression levels (overall intervention, P<0.001; overall time, P=0.644; intervention vs. control: 24 h, P=0.020; 48 h, P<0.001; and 72 h, P=0.007).

Figure 4

The autophagy levels and related molecular pathways assessed in TSC2-/- MEFs that received VO-OHpic treatment. (A) Western blot assays of LC3, p-PTEN and p-PRAS40 in TSC2-/- MEFs, with or without VO-OHpic treatment. Quantitative analysis of (B) LC3-I and (C) LC3-II expression levels in TSC2-/- MEFs, with or without VO-OHpic treatment. Quantitative analysis of (D) p-PTEN/PTEN and (E) p-PRAS40/PRAS40 relative expression levels in TSC2-/- MEFs, with or without VO-OHpic treatment. *P<0.05, **P<0.01 and ***P<0.001. VO-OHpic, hydroxyl(oxo)vanadium 3-hydroxypiridine-2-carboxylic acid; +V, VO-OHpic treatment; MEF, murine embryonic fibroblasts; p, phosphorylated; TSC, tuberous sclerosis complex; LC3, human microtubule-associated protein 1 light chain 3; PRAS40, proline-rich Akt substrate 40 kDa.

The potential pathways which allowed for this change were subsequently investigated. p-PTEN and PTEN levels were examined in TSC2-/- MEFs under various conditions (with or without VO-OHpic treatment at 24, 48 or 72 h). The relative expression ratios of p-PTEN/PTEN were then calculated. Two-way ANOVA analysis revealed that both interventions and time points had a significant effect on the p-PTEN/PTEN expression ratio (interventions, P<0.001; time points, P=0.013). When considering the effect of the PTEN inhibitor intervention, the relative expression ratio of p-PTEN/PTEN declined in TSC2-/- MEFs which were treated with VO-OHpic (Fig. 4), reflecting the decrease in the activity of the cells (intervention vs. control: 24 h, P=0.001; 48 h, P=0.005; and 72 h, P=0.011; Fig. 4). The activity of PRAS40, which is a downstream regulator of PTEN, was also affected by treatment with VO-OHpic. Both interventions and time point measured had a significant effect on p-PRAS40/PRAS40 expression ratio, as indicated by two-way ANOVA analysis (both, P<0.001). When considering the effect of the intervention, the relative expression ratio of p-PRAS40/PRAS40 deceased in TSC2-/- MEFs treated with VO-OHpic (intervention vs. control: 24 h, P=0.137; 48 and 72 h, P<0.001; Fig. 4).

Discussion

TSC-associated RAML is a life-threatening disease in adult patients (3). Recently, mTOR inhibitors such as everolimus are the preferred treatment option for TSC-RAML (4). However, in addition to severe adverse reactions associated with these treatment options, ≤40% patients don't respond effectively to mTOR inhibitors (4,5). Therefore, finding an alternative therapeutic strategy for TSC-RAML is of urgent importance. The present study revealed that PTEN inhibitors can suppress TSC2-/- MEFs proliferation by inhibition of autophagy through the PTEN/PRAS40/mTOR pathway, bypassing the PTEN/Akt/Rheb/mTOR pathway. These observations provide a research basis for further feasibility study of PTEN inhibitor in TSC treatment.

mTORC1 is a complex, which contains mTOR, and the Rheb-mTORC1 pathway activates the translation of mRNA (18). The excessive activation of mTORC1 has been revealed to participate in a number of different diseases, including lung cancer, diabetes, neurodegeneration and age-related diseases (19). Overactive mTORC1 can perturb ribosome synthesis and reduce the accuracy of translation, therefore leading to the production and accumulation of abnormal proteins (19). Hamartin and tuberin negatively regulate mTORC1 and GAP negatively regulates Rheb (18). In a study on patients with TSC and in TSC animal models, the overactive mTORC1 pathway was revealed to be inhibited using rapamycin (20,21). Rapamycin and its homologs are used in the clinical treatment for TSC associated RAML, subependymal giant cell astrocytoma and lymphangioleiomyomatosis (4,6,22-24). However, rapamycin is not a cytotoxic agent, but a cytostatic agent; thus, cannot be used to eliminate RAML. The tumors will recover following the withdrawal of treatment; therefore, alternative medical strategies are required (4,5).

In a previous study investigating TSC and autophagy, Parkhitko et al (6) reported that chloroquine, which may function by preventing the fusion of autophagosomes and lysosomes, could prevent the proliferation of TSC2-/- MEFs. It was also demonstrated that in TSC2-/- xenograft tumors or renal tumors from TSC2+/- mice, rapamycin combined with chloroquine presented a stronger inhibitory effect than either single drug. Beclin 1 knockdown has also been demonstrated to inhibit the development of the tumors (6). It is hypothesized that there is a balance between the inhibition and activation of autophagy in TSC tumors (6). The inhibition of autophagy leads to the accumulation of P62/SQSTM1 in TSC2-/- MEFs, which initiates the development of TSC tumors (6). Autophagy cannot be induced adequately with numerous metabolic defects existing in TSC2-/- MEFs; therefore, further suppression of autophagy may exhibit an inhibitory effect on tumor development. Therefore, the development of TSC tumors may also depend on autophagy.

PTEN is a highly conserved dual-function protein tyrosine phosphatase, which can dephosphorylate both inositol lipids and proteins. PTEN can dephosphorylate the lipid second messengers phosphatidylinositol 3,4,5-trisphosphate and phosphatidylinositol 3,4-bisphosphate to produce phosphatidylinositol 4,5-bisphosphate and phosphatidylinositol 4-phosphate, respectively, leading to the inhibition of Akt activation (14). VO-OHpic is a specific and reversible small molecule inhibitor of PTEN (14). PRAS40 is a component of the mTORC1 complex and is also a downstream target of Akt (25). However, p70 ribosome S6 kinase and 4E-binding protein 1, substrates of mTORC1, can combine with mTORC1, thereby competing with PRAS40(26). The inhibition of PRAS40 increases the frequency of interactions between mTORC1 and its substrates, and suppresses autophagy by upregulating mTOR-p70S6K, resulting in further mTORC1 activation and autophagy inhibition (26).

In a study by Nardella et al (15) on prostate cancer, PTEN deficiencies promoted prostate tumor formation in Rheb overexpressing mice. The aforementioned study indicated that PTEN not only regulates autophagy through the Akt/Rheb/mTOR pathway, but also through the Akt/PRAS40 pathway (Fig. 5). In the present study, the effect of PTEN inhibitors on autophagy in TSC2-/- MEFs was investigated. It was revealed that the PTEN inhibitor, VO-OHpic, could suppress autophagy, cell proliferation and cell growth in TSC2-/- MEFs. The expression of p-PTEN and p-PRAS40 also declined, revealing that VO-OHpic may regulate autophagy via the PTEN-PRAS40 pathway. The results are based on in vitro experiments, and further in vivo studies are required to validate these results. The further downstream proteins also require investigation.

Figure 5

PTEN may regulate autophagy by allowing for a bypass of PTEN/PRAS40 signaling in TSC2-/- cells and influence cell proliferation. PTEN could suppress the activation of mTOR and promote autophagy not only by inhibiting Akt/Rheb/mTOR pathway, but also by activating the PTEN/PRAS40 pathway.

In conclusion, the PTEN inhibitor, VO-OHpic, may suppress the proliferation of TSC2-/- MEFs, potentially through the excessive inhibition of autophagy via the PTEN/PRAS40 pathway, and may be a potential therapeutic target for the treatment of TSC-RAML.

Acknowledgements

We thank Professor Hongbing Zhang (Institute of Basic Medical Sciences and School of Basic Medicine, Chinese Academy of Medical Sciences and Peking Union Medical College, Beijing, China) for the donation of TSC2-/- and TSC2+/+ MEF cell lines.

Funding

The present study was supported by National Natural Science Foundation of China (grant nos. 81670611 and 81800590).

Availability of data and materials

The datasets used and/or analyzed during the current study are available from the corresponding author on reasonable request.

Author's contributions

YZ and HL conceived and designed the experiments. WW, XW and HG performed the cellular experiments. YC provided and performed the cell culture. WW produced the manuscript. WW and YZ conducted data analysis. All the authors have read and approved the final version of the manuscript.

Ethics approval and consent to participate

Not applicable.

Patient consent for publication

Not applicable.

Competing interests

The authors declare that they have no competing interests.

References

1 

Sasongko TH, Ismail NF and Zabidi-Hussin Z: Rapamycin and rapalogs for tuberous sclerosis complex. Cochrane Database Syst Rev. 7(CD011272)2016.PubMed/NCBI View Article : Google Scholar

2 

Lam HC, Siroky BJ and Henske EP: Renal disease in tuberous sclerosis complex: Pathogenesis and therapy. Nat Rev Nephrol. 14:704–716. 2018.PubMed/NCBI View Article : Google Scholar

3 

Vekeman F, Magestro M, Karner P, Duh MS, Nichols T, van Waalwijk van Doorn-Khosrovani SB and Zonnenberg BA: Kidney involvement in tuberous sclerosis complex: The impact on healthcare resource use and costs. J Med Econ. 18:1060–1070. 2015.PubMed/NCBI View Article : Google Scholar

4 

Bissler JJ, Kingswood JC, Radzikowska E, Zonnenberg BA, Frost M, Belousova E, Sauter M, Nonomura N, Brakemeier S, de Vries PJ, et al: Everolimus for renal angiomyolipoma in patients with tuberous sclerosis complex or sporadic lymphangioleiomyomatosis: Extension of a randomized controlled trial. Nephrol Dial Transplant. 31:111–119. 2016.PubMed/NCBI View Article : Google Scholar

5 

Cai Y, Guo H, Wang W, Li H, Sun H, Shi B and Zhang Y: Assessing the outcomes of everolimus on renal angiomyolipoma associated with tuberous sclerosis complex in China: A two years trial. Orphanet J Rare Dis. 13(43)2018.PubMed/NCBI View Article : Google Scholar

6 

Parkhitko A, Myachina F, Morrison TA, Hindi KM, Auricchio N, Karbowniczek M, Wu JJ, Finkel T, Kwiatkowski DJ, Yu JJ and Henske EP: Tumorigenesis in tuberous sclerosis complex is autophagy and p62/sequestosome 1 (SQSTM1)-dependent. Proc Natl Acad Sci USA. 108:12455–12460. 2011.PubMed/NCBI View Article : Google Scholar

7 

Parzych KR and Klionsky DJ: An overview of autophagy: Morphology, mechanism, and regulation. Antioxid Redox Signal. 20:460–473. 2014.PubMed/NCBI View Article : Google Scholar

8 

Wang CW and Klionsky DJ: The molecular mechanism of autophagy. Mol Med. 9:65–76. 2003.PubMed/NCBI

9 

Miyahara H, Natsumeda M, Shiga A, Aoki H, Toyoshima Y, Zheng Y, Takeuchi R, Murakami H, Masuda H, Kameyama S, et al: Suppressed expression of autophagosomal protein LC3 in cortical tubers of tuberous sclerosis complex. Brain Pathol. 23:254–262. 2013.PubMed/NCBI View Article : Google Scholar

10 

Wirawan E, Vanden Berghe T, Lippens S, Agostinis P and Vandenabeele P: Autophagy: For better or for worse. Cell Res. 22:43–61. 2012.PubMed/NCBI View Article : Google Scholar

11 

Amaravadi RK, Yu D, Lum JJ, Bui T, Christophorou MA, Evan GI, Thomas-Tikhonenko A and Thompson CB: Autophagy inhibition enhances therapy-induced apoptosis in a Myc-induced model of lymphoma. J Clin Invest. 117:326–336. 2007.PubMed/NCBI View Article : Google Scholar

12 

Levine B and Kroemer G: Autophagy in the pathogenesis of disease. Cell. 132:27–42. 2008.PubMed/NCBI View Article : Google Scholar

13 

Kim YC and Guan KL: mTOR: A pharmacologic target for autophagy regulation. J Clin Invest. 125:25–32. 2015.PubMed/NCBI View Article : Google Scholar

14 

Pulido R: PTEN inhibition in human disease therapy. Molecules. 23(E285)2018.PubMed/NCBI View Article : Google Scholar

15 

Nardella C, Chen Z, Salmena L, Carracedo A, Alimonti A, Egia A, Carver B, Gerald W, Cordon-Cardo C and Pandolfi PP: Aberrant Rheb-mediated mTORC1 activation and Pten haploinsufficiency are cooperative oncogenic events. Genes Dev. 22:2172–2177. 2008.PubMed/NCBI View Article : Google Scholar

16 

Zhang H, Bajraszewski N, Wu E, Wang H, Moseman AP, Dabora SL, Griffin JD and Kwiatkowski DJ: PDGFRs are critical for PI3K/Akt activation and negatively regulated by mTOR. J Clin Invest. 117:730–738. 2007.PubMed/NCBI View Article : Google Scholar

17 

Spinelli L, Lindsay YE and Leslie NR: PTEN inhibitors: An evaluation of current compounds. Adv Biol Regul. 57:102–111. 2015.PubMed/NCBI View Article : Google Scholar

18 

Saran U, Foti M and Dufour JF: Cellular and molecular effects of the mTOR inhibitor everolimus. Clin Sci (Lond). 129:895–914. 2015.PubMed/NCBI View Article : Google Scholar

19 

Yun YS, Kim KH, Tschida B, Sachs Z, Noble-Orcutt KE, Moriarity BS, Ai T, Ding R, Williams J, Chen L, et al: mTORC1 coordinates protein synthesis and immunoproteasome formation via PRAS40 to prevent accumulation of protein stress. Mol Cell. 61:625–639. 2016.PubMed/NCBI View Article : Google Scholar

20 

Kenerson HL, Aicher LD, True LD and Yeung RS: Activated mammalian target of rapamycin pathway in the pathogenesis of tuberous sclerosis complex renal tumors. Cancer Res. 62:5645–5650. 2002.PubMed/NCBI

21 

Kenerson H, Dundon TA and Yeung RS: Effects of rapamycin in the Eker rat model of tuberous sclerosis complex. Pediatr Res. 57:67–75. 2005.PubMed/NCBI View Article : Google Scholar

22 

Bissler JJ, Kingswood JC, Radzikowska E, Zonnenberg BA, Frost M, Belousova E, Sauter M, Nonomura N, Brakemeier S, de Vries PJ, et al: Everolimus for angiomyolipoma associated with tuberous sclerosis complex or sporadic lymphangioleiomyomatosis (EXIST-2): A multicentre, randomised, double-blind, placebo-controlled trial. Lancet. 381:817–824. 2013.PubMed/NCBI View Article : Google Scholar

23 

Franz DN, Belousova E, Sparagana S, Bebin EM, Frost M, Kuperman R, Witt O, Kohrman MH, Flamini JR, Wu JY, et al: Efficacy and safety of everolimus for subependymal giant cell astrocytomas associated with tuberous sclerosis complex (EXIST-1): A multicentre, randomised, placebo-controlled phase 3 trial. Lancet. 381:125–132. 2013.PubMed/NCBI View Article : Google Scholar

24 

Bissler JJ, McCormack FX, Young LR, Elwing JM, Chuck G, Leonard JM, Schmithorst VJ, Laor T, Brody AS, Bean J, et al: Sirolimus for angiomyolipoma in tuberous sclerosis complex or lymphangioleiomyomatosis. N Engl J Med. 358:140–151. 2008.PubMed/NCBI View Article : Google Scholar

25 

Xiong X, Xie R, Zhang H, Gu L, Xie W, Cheng M, Jian Z, Kovacina K and Zhao H: PRAS40 plays a pivotal role in protecting against stroke by linking the Akt and mTOR pathways. Neurobiol Dis. 66:43–52. 2014.PubMed/NCBI View Article : Google Scholar

26 

Chong ZZ: Targeting PRAS40 for multiple diseases. Drug Discov Today. 21:1222–1231. 2016.PubMed/NCBI View Article : Google Scholar

Related Articles

  • Abstract
  • View
  • Download
  • Twitter
Copy and paste a formatted citation
Spandidos Publications style
Wang W, Wang X, Guo H, Cai Y, Zhang Y and Li H: PTEN inhibitor VO‑OHpic suppresses TSC2‑/‑ MEFs proliferation by excessively inhibiting autophagy via the PTEN/PRAS40 pathway. Exp Ther Med 19: 3565-3570, 2020.
APA
Wang, W., Wang, X., Guo, H., Cai, Y., Zhang, Y., & Li, H. (2020). PTEN inhibitor VO‑OHpic suppresses TSC2‑/‑ MEFs proliferation by excessively inhibiting autophagy via the PTEN/PRAS40 pathway. Experimental and Therapeutic Medicine, 19, 3565-3570. https://doi.org/10.3892/etm.2020.8629
MLA
Wang, W., Wang, X., Guo, H., Cai, Y., Zhang, Y., Li, H."PTEN inhibitor VO‑OHpic suppresses TSC2‑/‑ MEFs proliferation by excessively inhibiting autophagy via the PTEN/PRAS40 pathway". Experimental and Therapeutic Medicine 19.6 (2020): 3565-3570.
Chicago
Wang, W., Wang, X., Guo, H., Cai, Y., Zhang, Y., Li, H."PTEN inhibitor VO‑OHpic suppresses TSC2‑/‑ MEFs proliferation by excessively inhibiting autophagy via the PTEN/PRAS40 pathway". Experimental and Therapeutic Medicine 19, no. 6 (2020): 3565-3570. https://doi.org/10.3892/etm.2020.8629
Copy and paste a formatted citation
x
Spandidos Publications style
Wang W, Wang X, Guo H, Cai Y, Zhang Y and Li H: PTEN inhibitor VO‑OHpic suppresses TSC2‑/‑ MEFs proliferation by excessively inhibiting autophagy via the PTEN/PRAS40 pathway. Exp Ther Med 19: 3565-3570, 2020.
APA
Wang, W., Wang, X., Guo, H., Cai, Y., Zhang, Y., & Li, H. (2020). PTEN inhibitor VO‑OHpic suppresses TSC2‑/‑ MEFs proliferation by excessively inhibiting autophagy via the PTEN/PRAS40 pathway. Experimental and Therapeutic Medicine, 19, 3565-3570. https://doi.org/10.3892/etm.2020.8629
MLA
Wang, W., Wang, X., Guo, H., Cai, Y., Zhang, Y., Li, H."PTEN inhibitor VO‑OHpic suppresses TSC2‑/‑ MEFs proliferation by excessively inhibiting autophagy via the PTEN/PRAS40 pathway". Experimental and Therapeutic Medicine 19.6 (2020): 3565-3570.
Chicago
Wang, W., Wang, X., Guo, H., Cai, Y., Zhang, Y., Li, H."PTEN inhibitor VO‑OHpic suppresses TSC2‑/‑ MEFs proliferation by excessively inhibiting autophagy via the PTEN/PRAS40 pathway". Experimental and Therapeutic Medicine 19, no. 6 (2020): 3565-3570. https://doi.org/10.3892/etm.2020.8629
Follow us
  • Twitter
  • LinkedIn
  • Facebook
About
  • Spandidos Publications
  • Careers
  • Cookie Policy
  • Privacy Policy
How can we help?
  • Help
  • Live Chat
  • Contact
  • Email to our Support Team