Spandidos Publications Logo
  • About
    • About Spandidos
    • Aims and Scopes
    • Abstracting and Indexing
    • Editorial Policies
    • Reprints and Permissions
    • Job Opportunities
    • Terms and Conditions
    • Contact
  • Journals
    • All Journals
    • Oncology Letters
      • Oncology Letters
      • Information for Authors
      • Editorial Policies
      • Editorial Board
      • Aims and Scope
      • Abstracting and Indexing
      • Bibliographic Information
      • Archive
    • International Journal of Oncology
      • International Journal of Oncology
      • Information for Authors
      • Editorial Policies
      • Editorial Board
      • Aims and Scope
      • Abstracting and Indexing
      • Bibliographic Information
      • Archive
    • Molecular and Clinical Oncology
      • Molecular and Clinical Oncology
      • Information for Authors
      • Editorial Policies
      • Editorial Board
      • Aims and Scope
      • Abstracting and Indexing
      • Bibliographic Information
      • Archive
    • Experimental and Therapeutic Medicine
      • Experimental and Therapeutic Medicine
      • Information for Authors
      • Editorial Policies
      • Editorial Board
      • Aims and Scope
      • Abstracting and Indexing
      • Bibliographic Information
      • Archive
    • International Journal of Molecular Medicine
      • International Journal of Molecular Medicine
      • Information for Authors
      • Editorial Policies
      • Editorial Board
      • Aims and Scope
      • Abstracting and Indexing
      • Bibliographic Information
      • Archive
    • Biomedical Reports
      • Biomedical Reports
      • Information for Authors
      • Editorial Policies
      • Editorial Board
      • Aims and Scope
      • Abstracting and Indexing
      • Bibliographic Information
      • Archive
    • Oncology Reports
      • Oncology Reports
      • Information for Authors
      • Editorial Policies
      • Editorial Board
      • Aims and Scope
      • Abstracting and Indexing
      • Bibliographic Information
      • Archive
    • Molecular Medicine Reports
      • Molecular Medicine Reports
      • Information for Authors
      • Editorial Policies
      • Editorial Board
      • Aims and Scope
      • Abstracting and Indexing
      • Bibliographic Information
      • Archive
    • World Academy of Sciences Journal
      • World Academy of Sciences Journal
      • Information for Authors
      • Editorial Policies
      • Editorial Board
      • Aims and Scope
      • Abstracting and Indexing
      • Bibliographic Information
      • Archive
    • International Journal of Functional Nutrition
      • International Journal of Functional Nutrition
      • Information for Authors
      • Editorial Policies
      • Editorial Board
      • Aims and Scope
      • Abstracting and Indexing
      • Bibliographic Information
      • Archive
    • International Journal of Epigenetics
      • International Journal of Epigenetics
      • Information for Authors
      • Editorial Policies
      • Editorial Board
      • Aims and Scope
      • Abstracting and Indexing
      • Bibliographic Information
      • Archive
    • Medicine International
      • Medicine International
      • Information for Authors
      • Editorial Policies
      • Editorial Board
      • Aims and Scope
      • Abstracting and Indexing
      • Bibliographic Information
      • Archive
  • Articles
  • Information
    • Information for Authors
    • Information for Reviewers
    • Information for Librarians
    • Information for Advertisers
    • Conferences
  • Language Editing
Spandidos Publications Logo
  • About
    • About Spandidos
    • Aims and Scopes
    • Abstracting and Indexing
    • Editorial Policies
    • Reprints and Permissions
    • Job Opportunities
    • Terms and Conditions
    • Contact
  • Journals
    • All Journals
    • Biomedical Reports
      • Information for Authors
      • Editorial Policies
      • Editorial Board
      • Aims and Scope
      • Abstracting and Indexing
      • Bibliographic Information
      • Archive
    • Experimental and Therapeutic Medicine
      • Information for Authors
      • Editorial Policies
      • Editorial Board
      • Aims and Scope
      • Abstracting and Indexing
      • Bibliographic Information
      • Archive
    • International Journal of Epigenetics
      • Information for Authors
      • Editorial Policies
      • Editorial Board
      • Aims and Scope
      • Abstracting and Indexing
      • Bibliographic Information
      • Archive
    • International Journal of Functional Nutrition
      • Information for Authors
      • Editorial Policies
      • Editorial Board
      • Aims and Scope
      • Abstracting and Indexing
      • Bibliographic Information
      • Archive
    • International Journal of Molecular Medicine
      • Information for Authors
      • Editorial Policies
      • Editorial Board
      • Aims and Scope
      • Abstracting and Indexing
      • Bibliographic Information
      • Archive
    • International Journal of Oncology
      • Information for Authors
      • Editorial Policies
      • Editorial Board
      • Aims and Scope
      • Abstracting and Indexing
      • Bibliographic Information
      • Archive
    • Medicine International
      • Information for Authors
      • Editorial Policies
      • Editorial Board
      • Aims and Scope
      • Abstracting and Indexing
      • Bibliographic Information
      • Archive
    • Molecular and Clinical Oncology
      • Information for Authors
      • Editorial Policies
      • Editorial Board
      • Aims and Scope
      • Abstracting and Indexing
      • Bibliographic Information
      • Archive
    • Molecular Medicine Reports
      • Information for Authors
      • Editorial Policies
      • Editorial Board
      • Aims and Scope
      • Abstracting and Indexing
      • Bibliographic Information
      • Archive
    • Oncology Letters
      • Information for Authors
      • Editorial Policies
      • Editorial Board
      • Aims and Scope
      • Abstracting and Indexing
      • Bibliographic Information
      • Archive
    • Oncology Reports
      • Information for Authors
      • Editorial Policies
      • Editorial Board
      • Aims and Scope
      • Abstracting and Indexing
      • Bibliographic Information
      • Archive
    • World Academy of Sciences Journal
      • Information for Authors
      • Editorial Policies
      • Editorial Board
      • Aims and Scope
      • Abstracting and Indexing
      • Bibliographic Information
      • Archive
  • Articles
  • Information
    • For Authors
    • For Reviewers
    • For Librarians
    • For Advertisers
    • Conferences
  • Language Editing
Login Register Submit
  • This site uses cookies
  • You can change your cookie settings at any time by following the instructions in our Cookie Policy. To find out more, you may read our Privacy Policy.

    I agree
Search articles by DOI, keyword, author or affiliation
Search
Advanced Search
presentation
Experimental and Therapeutic Medicine
Join Editorial Board Propose a Special Issue
Print ISSN: 1792-0981 Online ISSN: 1792-1015
Journal Cover
July-2022 Volume 24 Issue 1

Full Size Image

Sign up for eToc alerts
Recommend to Library

Journals

International Journal of Molecular Medicine

International Journal of Molecular Medicine

International Journal of Molecular Medicine is an international journal devoted to molecular mechanisms of human disease.

International Journal of Oncology

International Journal of Oncology

International Journal of Oncology is an international journal devoted to oncology research and cancer treatment.

Molecular Medicine Reports

Molecular Medicine Reports

Covers molecular medicine topics such as pharmacology, pathology, genetics, neuroscience, infectious diseases, molecular cardiology, and molecular surgery.

Oncology Reports

Oncology Reports

Oncology Reports is an international journal devoted to fundamental and applied research in Oncology.

Experimental and Therapeutic Medicine

Experimental and Therapeutic Medicine

Experimental and Therapeutic Medicine is an international journal devoted to laboratory and clinical medicine.

Oncology Letters

Oncology Letters

Oncology Letters is an international journal devoted to Experimental and Clinical Oncology.

Biomedical Reports

Biomedical Reports

Explores a wide range of biological and medical fields, including pharmacology, genetics, microbiology, neuroscience, and molecular cardiology.

Molecular and Clinical Oncology

Molecular and Clinical Oncology

International journal addressing all aspects of oncology research, from tumorigenesis and oncogenes to chemotherapy and metastasis.

World Academy of Sciences Journal

World Academy of Sciences Journal

Multidisciplinary open-access journal spanning biochemistry, genetics, neuroscience, environmental health, and synthetic biology.

International Journal of Functional Nutrition

International Journal of Functional Nutrition

Open-access journal combining biochemistry, pharmacology, immunology, and genetics to advance health through functional nutrition.

International Journal of Epigenetics

International Journal of Epigenetics

Publishes open-access research on using epigenetics to advance understanding and treatment of human disease.

Medicine International

Medicine International

An International Open Access Journal Devoted to General Medicine.

Journal Cover
July-2022 Volume 24 Issue 1

Full Size Image

Sign up for eToc alerts
Recommend to Library

  • Article
  • Citations
    • Cite This Article
    • Download Citation
    • Create Citation Alert
    • Remove Citation Alert
    • Cited By
  • Similar Articles
    • Related Articles (in Spandidos Publications)
    • Similar Articles (Google Scholar)
    • Similar Articles (PubMed)
  • Download PDF
  • Download XML
  • View XML
Article Open Access

Evaluation of qSOFA score, and conjugated bilirubin and creatinine levels for predicting 28‑day mortality in patients with sepsis

  • Authors:
    • Yufei Xiao
    • Xiaotian Yan
    • Lingwei Shen
    • Qi Wang
    • Fugang Li
    • Dan Yang
    • Weiwei Wu
    • Yun Qian
  • View Affiliations / Copyright

    Affiliations: Department of Clinical Laboratory, The Second Affiliated Hospital, Zhejiang University School of Medicine, Hangzhou, Zhejiang 310009, P.R. China, Department of Clinical Laboratory, Stomatology Hospital, School of Stomatology, Zhejiang University School of Medicine, Clinical Research Center for Oral Diseases of Zhejiang Province, Key Laboratory of Oral Biomedical Research of Zhejiang Province, Cancer Center of Zhejiang University, Hangzhou, Zhejiang 310006, P.R. China, Shanghai Upper Biotech Pharma Co. Ltd., Shanghai 201201, P.R. China, Department of Clinical Laboratory, The First People's Hospital of Fuyang District, Hangzhou, Zhejiang 311499, P.R. China, School of Advanced Materials and Nanotechnology, Interdisciplinary Research Center of Smart Sensors, Xidian University, Xi'an, Shaanxi 710071, P.R. China
    Copyright: © Xiao et al. This is an open access article distributed under the terms of Creative Commons Attribution License.
  • Article Number: 447
    |
    Published online on: May 16, 2022
       https://doi.org/10.3892/etm.2022.11374
  • Expand metrics +
Metrics: Total Views: 0 (Spandidos Publications: | PMC Statistics: )
Metrics: Total PDF Downloads: 0 (Spandidos Publications: | PMC Statistics: )
Cited By (CrossRef): 0 citations Loading Articles...

This article is mentioned in:



Abstract

Sepsis is a dangerous disease that develops rapidly and has a high mortality rate. A timely and accurate assessment of the patient's condition is beneficial in improving prognosis and reducing mortality. Therefore, the present study was designed to investigate the potential association between quick sequential organ failure assessment (qSOFA) scores and biochemical indicators, such as conjugated bilirubin (CB) and creatinine levels, with the 28‑day prognosis of patients with sepsis in a retrospective observational study. All cases were divided into survival and non‑survival groups on the 28th day after diagnosis. The qSOFA scores, and CB and creatinine levels were significantly higher in the non‑survival group than in the survival group (both P<0.01). Cox regression models identified CB [hazard ratio (HR), 1.006; P=0.002] and creatinine levels (HR, 1.002; P=0.024) as independent factors affecting 28‑day mortality. The area under the curve (AUC) for CB and creatinine levels plus qSOFA score was 0.792 (95% confidence interval, 0.745‑0.834), which was larger than the values for CB level, creatinine level and qSOFA score alone (all P<0.01) in the prognosis of 28‑day mortality. The cut‑off value of CB and creatinine levels plus qSOFA score for the 28‑day mortality was 0.275 (‑2.466 + 0.012 x CB + 0.002 x creatinine + 1.289 x qSOFA). Patients with lower combined predictor values had a better prognosis as demonstrated by Kaplan‑Meier survival curves (log‑rank test, 10.060; P=0.002). In both the septic shock and sepsis groups, the combined predictor value was higher in the non‑survival group than in the survival group (P<0.001). Therefore, an increase in the combined predictor value of CB and creatinine levels plus qSOFA score may be an important predictor of disease progression and prognosis in patients with sepsis and septic shock.

Introduction

Sepsis is a condition of life-threatening organ dysfunction caused by a dysregulated host response to infection (1). As sepsis progresses, the systemic inflammatory response can lead to multiple organ failures, including that of the lung, kidney and liver. According to research data published in The Lancet in 2020(2), it is estimated that there were 48.9 million global cases of sepsis in 2017, resulting in ~11 million deaths and accounting for 19.7% of all global deaths. Due to its complex pathogenesis, high morbidity and high fatality rate, sepsis has caused a notable burden on human health and medical resources, and has therefore become a major clinical research area in the field of critical care medicine.

In recent years, a large number of studies have explored the significance of biochemical indicators in the diagnosis, staging, prognosis and clinical monitoring of patients with sepsis (3-5). Early diagnosis of sepsis allows clinicians to initiate effective interventions at an early stage, such as the use of antibiotics and supportive care, through the implementation of goal-directed treatment to reduce the risk of mortality and improve the prognosis of patients with sepsis. C-reactive protein (CRP) and procalcitonin (PCT) are proteins produced during infection and inflammatory response, and are currently the most widely used biomarkers in sepsis diagnosis and disease monitoring (6,7). CRP is an acute-phase protein, the level of which increases with the inflammatory response; however, it has limited accuracy in reflecting disease progression (6). PCT is a sensitive marker of the early stages of infection (8), but it does not reflect the disease progression in later stages, and therefore its prognostic value is not high. It can be argued that there is a lack of useful indicators for the rapid diagnosis and prognosis of sepsis, and there is an urgent need to develop more prognostic markers.

The third international consensus on sepsis in 2016(9) emphasized the use of the sequential organ failure assessment (SOFA) score for functional assessment and risk stratification of organs, and proposed the ‘infection + quick SOFA score (qSOFA) ≥2’ for the rapid diagnosis of patients with suspected sepsis. The qSOFA score contains three indicators: Hypotension [systolic blood pressure (BP) ≤100 mmHg], shortness of breath (respiratory rate ≥22 breaths/min) and altered mental status (Glasgow Coma Scale score ≤13). Each index is assigned 1 point, and the risk of sepsis is significantly increased in patients with qSOFA ≥2 points (10). This criterion will help clinicians identify patients with sepsis as well as infected patients at risk of developing sepsis.

Furthermore, patients with elevated conjugated bilirubin (CB) levels have presented with higher illness severity scores, and higher incidences of sepsis, shock and organ failure (11). In addition, sepsis is often accompanied by acute kidney injury, of which serum creatinine level is a reliable indicator. As an independent risk factor, it has significance for the diagnosis of acute kidney injury secondary to sepsis (12,13). Thus, the qSOFA score, along with CB and creatinine levels, may play a role as indicators in the progression of sepsis. However, the significance of these factors in the prediction of sepsis remains unknown. Hence, the aim of the present study was to evaluate qSOFA scores, and serum CB and creatinine levels during sepsis and septic shock to identify whether they are associated with disease prognosis (28-day mortality).

Patients and methods

Patients

A retrospective, observational study was conducted at The Second Affiliated Hospital, Zhejiang University School of Medicine (Hangzhou, China). A total of 360 nonsurgical and non-trauma adult patients with sepsis or septic shock, who were admitted to the Department of Emergency Intensive Care consecutively between January 2015 and December 2019, were included in the present study. The inclusion criteria included a diagnosis for sepsis or septic shock according to the Third International Consensus Definitions (9). The exclusion criteria were as follows: i) Age of <18 or >90 years; ii) presence of conditions, such as surgical trauma and/or severe heart, liver, lung, kidney, blood system or metabolic diseases; iii) presence of tumors; iv) pregnancy; v) receipt of antibiotic treatment within 28 days before study enrollment; and vi) patients with rapid death outcomes (within 24 h after admission). The basic and test data of the enrolled patients within 24 h of the first visit to the emergency room were collected. All patients were followed up for 28 days after admission, and those who were discharged within 28 days were followed up by telephone. All eligible patients were divided into two groups: i) The survival group, which included patients who survived 28 days after the initial diagnosis; and ii) the non-survival group, which included patients who died within 28 days after diagnosis. The study was carried out in accordance with The Declaration of Helsinki for research involving humans. The present study received approval from the Ethics Committee of The Second Affiliated Hospital, Zhejiang University School of Medicine (approval no. 2021-0641; Hangzhou, China), while the Ethics Committee waived the need for written informed consent of the patients because of the anonymous nature of the clinical data acquired retrospectively.

Clinical data collection and processing

Basic patient data, such as age, sex, height, weight, comorbidities, infection site, qSOFA score and preliminary diagnosis within 24 h after admission, were collected. The following evaluations were performed within 24 h after the patients first arrived at the emergency room: Routine blood examination, arterial blood gas analysis, biochemical examination, coagulation parameters, myocardial enzyme spectrum, PCT, CRP, and blood, urine or sputum pathogen detection. The routine blood tests were performed using an automatic blood analyzer (XN-9000; Sysmex Corporation). Arterial blood gas analyses were conducted using an automated blood gas analyzer (ABL800; Radiometer Medical ApS). The levels of biochemical markers and CRP were determined using an automated dry chemistry analyzer (v5600; Johnson & Johnson). Coagulation parameters were measured with an automated blood coagulation analyzer (STA R Max systems; Stago). Myocardial enzyme and PCT levels were determined using an automated electrochemical enzyme immunoluminescence analyzer (E601; Roche Diagnostics).

Statistical analysis

All statistical analyses were performed using SPSS software (version 24.0; IBM Corp.), and P<0.05 was considered to indicate a statistically significant difference. Data with normal distribution are presented as the mean ± standard deviation, and those not conforming to normal distribution are presented as median (25-75%). All numerical variables were compared using the Mann-Whitney U test. χ2 or Fisher's exact probability test was used to compare categorical variables. Bonferroni's correction was used to compare differences among three or more groups. Cox regression analysis was used to analyze potential prognostic risk factors. Risk factors were incorporated into the multivariate model based on univariate analyses. Receiver operating characteristic (ROC) curves for mortality risk factors were plotted. The area under the curve (AUC) was calculated using MedCalc software (version 18.2.1; MedCalc software bvba).

A multivariable Cox proportional hazard regression analysis was performed to evaluate the independent association of qSOFA score, CB level or creatinine level with 28-day mortality, and the results are expressed as hazard ratios (HRs) and 95% confidence intervals (CIs). The survival curves for the two groups according to the qSOFA score, CB level or creatinine level were plotted using the Kaplan-Meier method, and the log-rank test was applied. Age, sex, body mass index (BMI) and variables considered to be associated with infection, such as whether the lung and urogenital organs were primary sites of infection, serum creatinine concentration and coagulation parameters, were included in the analysis.

Results

Patient characteristics

The current study investigated patients with sepsis admitted between January 2015 and December 2019. Patients with rapid death outcomes (within 24 h after admission) were excluded from the analysis, and 360 patients with sepsis were eventually included in the study. Among them, 216 (60.0%) and 144 (40.0%) cases were diagnosed with sepsis and septic shock, respectively. These patients included 212 men (58.9%) and 148 women (41.1%), aged between 18 and 89 years (median age, 64.5 years). The 28-day mortality rate was 28.6% (103/360). The 28-day mortality of the septic shock group was significantly higher than that of the sepsis group (34.7% vs. 24.5%; χ2=4.388; P=0.043). In comparison with survivors, non-survivors were older (P<0.05), more frequently male (P<0.05) and had a lower BMI and BP (both P<0.01), as well as higher heart rate, respiratory rate and qSOFA scores (all P<0.01). The 28-day mortality rates associated with pulmonary infection, urinary tract infection (UTI) and other infections were significantly different between the two groups (χ2 =15.148; P=0.001). The 28-day mortality rate of pulmonary infection was the highest (39.6%; 53/134), followed by other infections (24.5%; 45/184), while the 28-day mortality rate of UTIs was the lowest (11.9%; 5/42). The 28-day mortality rate of pulmonary infection was significantly different from those of other infections and UTIs (Bonferroni correction, P<0.0167), while there was no significant difference in 28-day mortality rates between UTIs and other infections (Bonferroni correction, P≥0.0167) (data not shown). Prothrombin time, international normalized ratio, activated partial thromboplastin time, thrombin time and D-dimer values in non-survivors were higher than those in the survival group, and fibrinogen values in non-survivors were significantly lower than those in the survival group (all P<0.05). The levels of red blood cell distribution width, pro B-type natriuretic peptide, CB, aspartate aminotransferase, lactate dehydrogenase, cardiac troponin T, blood urea nitrogen and creatinine in the non-survival group were significantly higher than those in the survival group, whereas red blood cell and platelet counts were significantly lower in the non-survival group (all P<0.01). The white blood cell count and PCT level in the non-survival group were higher than those in the survival group, but the difference was not significant. Table I presents the baseline clinical characteristics of the 360 patients included in the current study.

Table I

Baseline characteristics of the study population.

Table I

Baseline characteristics of the study population.

CharacteristicsOverall (n=360)Survivors (n=257)Non-survivors (n=103)χ2 or U valueP-value
Age, years [median (IQR)]64.50 (54.00-74.00)64.00 (52.00-72.50)66.00 (58.00-75.00)-1.994a0.046
Male sex, n (%)212 (58.89)142 (55.25)70 (67.96)4.905b0.033
BMI, kg/m2 (mean ± SD)21.80±3.7922.18±3.8620.47±3.23-3.776a<0.001
BP, mmHg (mean ± SD)     
     Systolic119.74±22.88121.99±21.59113.26±25.28-3.048a0.002
     Diastolic69.16±14.9571.23±13.3763.19±17.54-4.015a<0.001
Heart rate, beats/min [median (IQR)]87.00 (76.00-102.00)83.00 (74.00-97.75)98.00 (86.00-119.00)-6.136a<0.001
Respiratory rate, breaths/min [median (IQR)]19.00 (18.00-20.00)18.00 (18.00-20.00)20.00 (18.00-25.00)-3.710a<0.001
Body temperature, ˚C [median (IQR)]37.10 (36.80-37.70)37.10 (36.80-37.60)37.20 (36.60-37.90)-0.467a0.641
Comorbidities, n (%)   2.617b0.454
     No326 (90.56)229 (89.11)97 (94.17)1.833b,c0.176
     Hypertension10 (2.78)9 (3.50)1 (0.97)0.561b,d0.454
     Diabetes19 (5.28)15 (5.84)4 (3.89)0.003b,e0.959
     Combination of hypertension and diabetes5 (1.39)4 (1.56)1 (0.97)7l.956b,f0.005
qSOFA score, n (%)   75.857b<0.001
     ≥260 (16.67)15 (5.84)45 (43.69)  
     <2300 (83.33)242 (94.16)58 (56.31)  
Septic shock, n (%)144 (40.00)94 (36.58)50 (48.54)4.388b0.043
Infection site, n (%)   15.148b0.001
     Lung134 (37.22)81 (31.52)53 (51.46)11.063b,g0.001
     Urinary tract42 (11.67)37 (14.40)5 (4.85)3.127b,h0.099
     Others184 (51.11)139 (54.09)45 (43.69)8.287b,i0.005
WBC, x109/l [median (IQR)]12.85 (7.43-19.68)12.70 (7.90-18.80)13.10 (6.40-21.00)-0.447a0.655
RBC, x1012/l [median (IQR)]3.73 (3.09-4.27)3.81 (3.21-4.32)3.57 (2.60-4.15)-3.147a0.002
RDW, % [median (IQR)]13.75 (12.80-15.28)13.50 (12.70-14.70)14.70 (13.30-16.50)-4.706a<0.001
PLT, x109/l [median (IQR)]126.00 (64.00-201.50)138.00 (81.50-202.50)89.00 (40.00-190.00)-3.044a0.002
PCT, ng/ml [median (IQR)]10.85 (1.22-54.01)10.53 (1.14-54.03)11.15 (1.53-52.79)-0.492a0.623
NT-proBNP, pg/ml [median (IQR)]3,057.00 (915.59-9,072.38)2,180.00 (775.00-6,309.00)4,204.50 (1,465.25-1,6156.75)-3.245a0.001
CB, µmol/l [median (IQR)]1.10 (0.10-7.73)0.80 (0.10-6.18)3.10 (0.65-17.20)-3.303a0.001
AST, U/l [median (IQR)]45.00 (25.00-106.50)40.00 (23.00-81.00)69.00 (35.00-278.50)-4.400a<0.001
LDH, U/l [median (IQR)]254.00 (191.00-415.50)233.00 (182.00-340.75)350.00 (231.00-720.50)-5.314a<0.001
cTn-T, ng/ml [median (IQR)]0.04 (0.02-0.12)0.03 (0.01-0.09)0.07 (0.03-0.22)-4.841a<0.001
BUN, mmol/l [median (IQR)]8.44 (5.77-13.35)7.78 (5.37-11.31)11.80 (7.51-21.72)-5.318a<0.001
Creatinine, µmol/l [median (IQR)]102.00 (68.00-183.75)92.00 (65.00-157.00)142.00 (82.50-244.00)-3.762a<0.001
Coagulation parameter     
     PT, sec [median (IQR)]15.70 (14.50-17.60)15.15 (14.30-16.90)16.95 (15.30-19.35)-5.870a<0.001
     PT, % (mean ± SD)69.33±18.7673.09±17.4059.94±18.83-5.853a<0.001
     INR [median (IQR)]1.25 (1.14-1.46)1.21 (1.12-1.39)1.40 (1.22-1.64)-5.880a<0.001
     APTT, sec [median (IQR)]42.45 (37.53-49.00)41.90 (37.40-47.60)45.75 (38.18-52.48)-2.947a0.003
     TT, sec [median (IQR)]16.00 (15.10-17.50)15.80 (15.00-17.23)16.45 (15.28-18.38)-2.709a0.007
     Fbg, g/l (mean ± SD)5.02±2.155.22±2.044.52±2.33-2.949a0.003
     DD, µg/l [median (IQR)]3,770.00 (2,210.00-9,080.00)3,425.00 (2,030.00-7,927.50)4,390.00 (2,715.00-10,585.00)-2.234a0.025

[i] Data are presented as mean ± SD, median (IQR) or n (%).

[ii] aMann-Whitney U test;

[iii] bχ2 test. Compared with

[iv] chypertension;

[v] ddiabetes;

[vi] ecombination of hypertension and diabetes;

[vii] fno comorbidities;

[viii] gurinary tract;

[ix] hothers; and

[x] ilung. IQR, interquartile range; SD, standard deviation; BMI, body mass index; BP, blood pressure; WBC, white blood cell; RBC, red blood cell; RDW, red blood cell distribution width; PLT, platelet; PCT, procalcitonin; NT-proBNT, N terminal pro B type natriuretic peptide; CB, conjugated bilirubin; AST, aspartate aminotransferase; LDH, lactate dehydrogenase; cTn-T, cardiac troponin T; BUN, blood urea nitrogen; PT, prothrombin time; INR, international normalized ratio; APTT, activated partial thromboplastin time; TT, thrombin time; Fbg, fibrinogen; DD, D-dimer; qSOFA, quick sequential organ failure assessment.

Analysis of relevant variables using Cox regression

qSOFA scores ≥2 and the CB and creatinine levels were closely associated with 28-day mortality. Cox regression models identified CB (HR, 1.006; P=0.002) and creatinine levels (HR, 1.002; P=0.024) as independent factors of 28-day mortality (Table II).

Table II

Cox regression analysis of the risk factors for 28-day mortality.

Table II

Cox regression analysis of the risk factors for 28-day mortality.

A, Univariable Cox regression
VariablesβHR95% CIP-value
qSOFA (≥2)0.5411.7181.155-2.5550.008
Septic shock0.3201.3770.932-2.0350.108
Heart rate0.0091.0090.999-1.0190.081
CB0.0041.0041.001-1.0080.014
Creatinine0.0011.0011.000-1.0030.041
APTT0.0081.0080.998-1.0180.102
TT0.0081.0080.998-1.0180.107
B, Multivariable Cox regression
VariablesβHR95% CIP-value
CB0.0061.0061.003-1.0110.002
Creatinine0.0021.0021.000-1.0050.024

[i] HR, hazard ratio; CI, confidence interval; qSOFA, quick sequential organ failure assessment; CB, conjugated bilirubin; APTT, activated partial thromboplastin time; TT, thrombin time.

Combined evaluation of CB and creatinine levels, and qSOFA scores in the prognosis of 28-day mortality

A logistic regression model was established based on the CB and creatinine levels and qSOFA values, and a ROC curve analysis was used to generate the combined diagnostic curve to evaluate the prognostic value of CB and creatinine levels plus qSOFA scores in 28-day mortality (Fig. 1). The larger the AUC, the better the prognostic performance. AUC <0.5 was considered to have no prognostic significance and AUC >0.9 was considered to have high prognostic accuracy (14). The AUC of CB level alone was 0.613 (95% CI, 0.558-0.665). The AUC of creatinine level alone was 0.628 (95% CI, 0.575-0.678), and that of the qSOFA score alone was 0.749 (95% CI, 0.701-0.793). However, the AUC of CB and creatinine levels plus the qSOFA score was 0.792 (95% CI, 0.745-0.834), which was larger than the AUCs of the individual factors alone (all P<0.01) (Table III).

Figure 1

Receiver operating characteristic curves of CB and creatinine levels, and qSOFA scores for 28-day mortality. CB, conjugated bilirubin; qSOFA, quick sequential organ failure assessment.

Table III

Receiver operating characteristic curve data for CB and creatinine levels, and qSOFA scores in the prediction of 28-day mortality.

Table III

Receiver operating characteristic curve data for CB and creatinine levels, and qSOFA scores in the prediction of 28-day mortality.

 Vs. CB + Creatinine + qSOFA
VariablesAUC (95% CI)Cut-off valueP-valueSensitivity, %Specificity, %PPV, %NPV, %Z-valueP-value
CB0.613 (0.558-0.665)>0.50.000876.0041.4529.9470.064.869<0.0001
Creatinine0.628 (0.575-0.678)1170.000159.4163.5328.3771.634.413<0.0001
qSOFA0.749 (0.701-0.793)1<0.000175.7362.2628.6171.392.6370.0084
CB + Creatinine + qSOFA0.792 (0.745-0.834) >0.275a<0.000174.7574.3629.7370.27--

[i] aCombined predictors obtained using the logistic regression equation as follows: -2.466 + 0.012 x CB + 0.002 x creatinine + 1.289 x qSOFA. AUC, area under the curve; CI, confidence interval; PPV, positive predictive value; NPV, negative predictive value; CB, conjugated bilirubin; qSOFA, quick sequential organ failure assessment.

The cut-off was defined as the value of the point on the curve when the Youden index (sensitivity + specificity-1) was the greatest. A value greater than the cut-off value may be considered to indicate the possibility of dying within 28 days.

The sensitivity and specificity of combined detection were 74.75 and 74.36%, respectively. The specificity of combined detection was notably higher than that of the single tests, while the sensitivity of combined detection was almost the same as those of CB alone and qSOFA alone, and was higher than that of creatinine alone (Table III).

Kaplan-Meier survival curve analysis

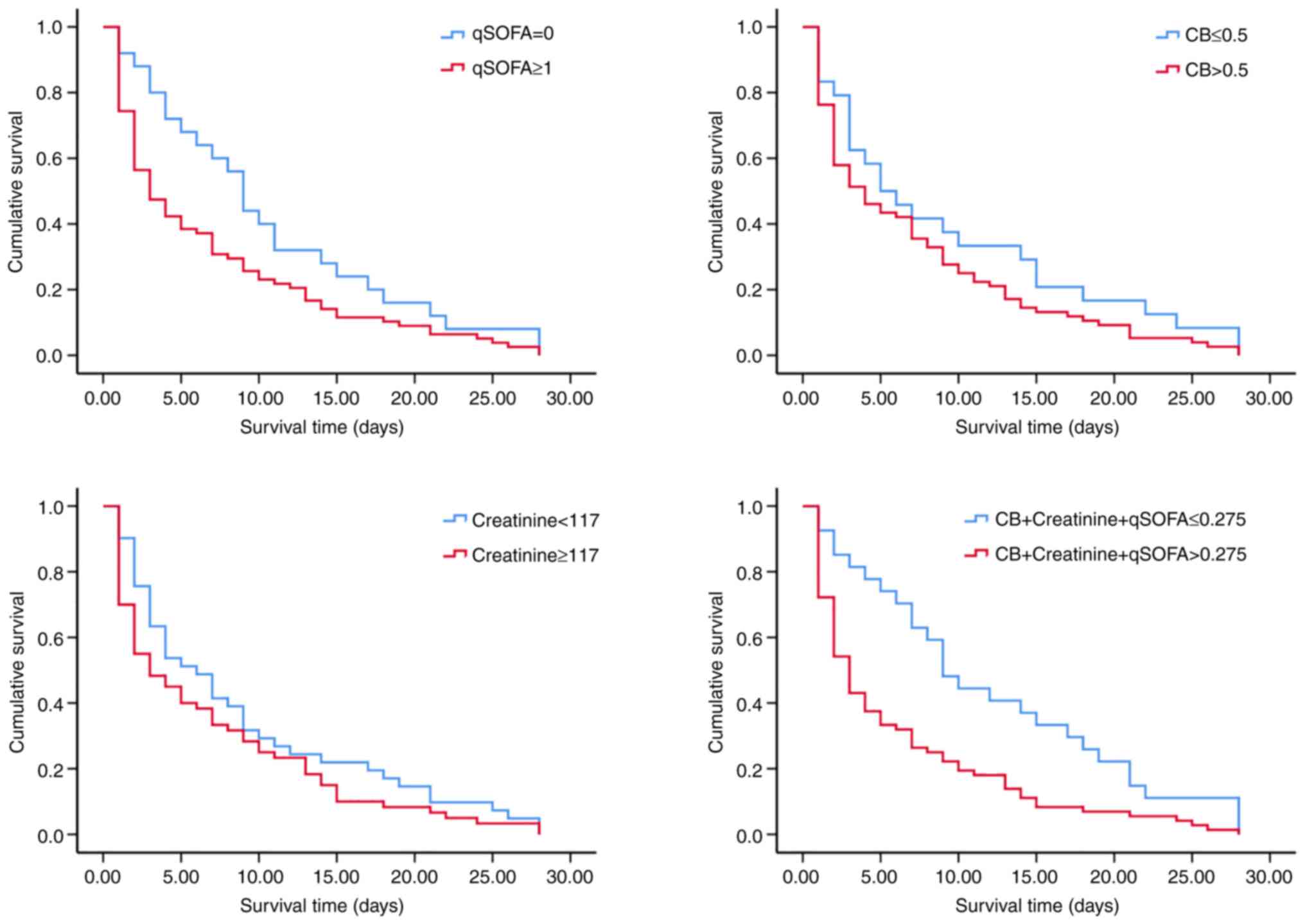
Using the cut-off value determined by the ROC curve, Kaplan-Meier survival curves of CB, creatinine, qSOFA and combined detection were established. The Kaplan-Meier analysis indicated that patients with a qSOFA score of 0 had a better chance of 28-day survival than those with qSOFA ≥1 (log-rank, 4.069; P=0.044). In addition, patients with a combined predictor (-2.466 + 0.012 x CB + 0.002 x creatinine + 1.289 x qSOFA) value ≤0.275 had a better chance of 28-day survival than those with a combined predictor value >0.275 (log-rank, 10.060; P=0.002) (Table IV; Fig. 2).

Figure 2

Survival curves of CB and creatinine levels and qSOFA scores. CB, conjugated bilirubin; qSOFA, quick sequential organ failure assessment.

Table IV

Kaplan-Meier survival curve analysis.

Table IV

Kaplan-Meier survival curve analysis.

VariablesCut-off valueMedian, days95% CILog-rankP-value
CB≤0.551.399-8.6011.8900.169
 >0.541.677-6.323  
Creatinine<11763.212-8.7881.7240.189
 ≥11730.471-5.529  
qSOFA097.378-10.6224.0690.044
 ≥131.428-4.572  
CB + Creatinine + qSOFA≤0.27596.456-11.54410.0600.002
 >0.27532.216-3.784  

[i] CI, confidence intervals; CB, conjugated bilirubin, qSOFA, quick sequential organ failure assessment.

Subgroup analysis

Of the 360 patients, 144 patients were diagnosed with septic shock. The combined predictor value of CB and creatinine levels, and qSOFA scores in the septic shock group was higher than that in the sepsis group (median, 0.2750 vs. 0.1496; P<0.001). Among patients with septic shock, survivors tended to have lower combined predictor values than non-survivors (median, 0.2545 vs. 0.5780; P<0.001). For patients with sepsis, survivors had significantly lower combined predictor values than non-survivors (median, 0.1103 vs. 0.4500; P<0.001) as shown in Table V.

Table V

Combined predictor values in subgroup analyses.

Table V

Combined predictor values in subgroup analyses.

VariablesCombined predictor values (median)P-value
Sepsis0.1496 <0.001a
     Survivors0.1103 <0.001b
     Non-survivors0.4500 
Septic shock0.2750 
     Survivors0.2545 <0.001b
     Non-survivors0.5780 

[i] aCompared with septic shock group;

[ii] bcompared with non-survivors of the same group.

As presented in Table VI, Cox regression models were applied in subgroup analyses, which indicated that the combination of CB and creatinine levels and qSOFA scores could serve as an independent risk factor of 28-day mortality for patients with septic shock (HR, 4.240; 95% CI, 1.408-12.767; P=0.010), as well as for those with sepsis (HR, 4.068; 95% CI, 1.287-12.858; P=0.017).

Table VI

Cox regression models in subgroup analyses.

Table VI

Cox regression models in subgroup analyses.

VariablesβHR95% CIP-value
Septic shock1.4444.2401.408-12.7670.010
Sepsis1.4034.0681.287-12.8580.017
All1.4794.3882.007-9.591<0.001

[i] HR, hazard ratio; CI, confidence interval.

Discussion

Sepsis is a rapidly progressive condition and a major cause of death. Therefore, timely and accurate assessment of the patient's condition is beneficial in improving prognosis and reducing mortality (1,2). In the present study, serum CB and creatinine levels, and qSOFA scores at admission in patients with sepsis were higher in the non-surviving group than in the surviving group. In multivariate analysis, serum CB and creatinine levels were indicated to be independent predictors of poor sepsis outcomes. When the combined predictor value of CB and creatinine levels and qSOFA scores reached 0.275, 28-day mortality increased.

Several studies (15-17) have attempted to predict the prognosis of sepsis by indirectly estimating liver and renal function. Serum bilirubin concentration has been used as one of the indicators for the assessment of liver function in critically ill patients. For example, Pierrakos et al (15) reported that hyperbilirubinemia was an independent factor for patient morbidity and mortality in the Intensive Care Unit (ICU), and mortality was linearly associated with bilirubin concentrations between 1.1 and 6 mg/dl. Patel et al (16) also found that elevated serum bilirubin levels within 72 h of admission were associated with an increased risk of death in patients with severe sepsis and septic shock. However, in addition to being an indicator of liver dysfunction, bilirubin itself may also influence patient outcomes. Bilirubin can impair the bactericidal properties of neutrophils (17) through its antioxidant action (18), and may be nephrotoxic (19) and neurotoxic (20). It also inhibits inducible nitric oxide synthase (21) and exerts an anti-platelet aggregation effect by inhibiting collagen-induced platelet activation (22). However, certain reports have suggested that bilirubin may play a role in suppressing inflammatory responses (23) and that hyperbilirubinemia may be an adaptive response to critical illness (24). The present data emphasized that altered liver function has an important role in septic multi-organ failure and that elevated serum CB levels are common in patients with sepsis and are associated with 28-day mortality. Multivariable analysis showed that the serum CB level was an independent risk factor for increased mortality. It was demonstrated that an increased bilirubin level was accompanied by increased inflammation (increased white blood cell count), and we hypothesize that high CB levels may reduce blood flow velocity and induce microcirculation disturbances, while stimulating the production of inflammatory factors to promote liver damage and cholestasis, thereby affecting the poor prognosis of sepsis. The specific mechanism remains to be further studied in the future.

One of the most commonly affected organs in sepsis is the kidney, and sepsis-induced acute kidney injury is the most common form of acute kidney injury in the ICU (25). Sepsis-induced acute kidney injury is associated with an increased risk of subsequent chronic kidney disease (26), as well as being associated with increased morbidity and mortality rates in sepsis (27). During sepsis, endothelial cell activation, increased microvascular permeability, changes in regional blood flow distribution, and the resulting hypoperfusion and hypoxemia can lead to acute kidney injury (28). Elevated serum creatinine is one of the indicators of acute renal impairment (29) and is directly related to the prognosis of sepsis. The current study findings suggested that altered renal function may also play an important role in the progression of multi-organ failure in sepsis. It was also indicated that increased serum creatinine levels are common in patients with sepsis, are associated with 28-day mortality, and moreover are an independent risk factor for increased mortality.

In the present study, CB and creatinine levels, and qSOFA scores increased with sepsis progression and were higher in non-survivors compared with survivors of sepsis. All three indicators were better predictors in combination than they would have been individually. Therefore, these three indicators may be useful as commonly used laboratory and clinical tests to assess 28-day mortality and the prognosis of sepsis, with the combined prediction showing greater prognostic ability.

The current study had several limitations. Firstly, studying the qSOFA score, CB and creatinine levels alone does not meet the needs and expectations of all patients with sepsis for diagnosis and treatment management. Studying kinetic changes in CB and creatinine levels may be more clinically meaningful than studying unadjusted CB and creatinine levels, suggesting that further research is required. Secondly, since the current study is a single-center retrospective study, whether the findings can be applied to clinical practice requires further investigation by large-sample, multi-center prospective studies.

In conclusion, the prognostic value of combined CB and creatinine levels plus qSOFA score was greater than the predictive value of CB levels, creatinine levels and qSOFA score alone in the prognosis of 28-day mortality in patients with sepsis. Therefore, the combined predictor based on CB and creatinine levels plus qSOFA scores could be used as a prognostic factor in sepsis or septic shock, which could help to rapidly detect critically ill patients and guide clinical treatment.

Acknowledgements

Not applicable.

Funding

Funding: The present work was supported by the National Natural Science Foundation of China (grant no. 81802081).

Availability of data and materials

All data generated or analyzed during this study are included in this published article.

Authors' contributions

YX and XY worked on data analysis and interpretation. LS and QW collected the patients' data. FL and DY interpreted the data. YQ and WW designed the study. YQ drafted the manuscript. YQ and YX confirm the authenticity of all the raw data. All authors read and approved the final version of the manuscript.

Ethics approval and consent to participate

The present study was approved by the Clinical Research Ethics Committee of The Second Affiliated Hospital, Zhejiang University School of Medicine (approval no. 2021-0641; Hangzhou, China).

Patient consent for publication

Not applicable.

Competing interests

The authors declare that they have no competing interests.

References

1 

Esposito S, De Simone G, Boccia G, De Caro F and Pagliano P: Sepsis and septic shock: New definitions, new diagnostic and therapeutic approaches. J Glob Antimicrob Resist. 10:204–212. 2017.PubMed/NCBI View Article : Google Scholar

2 

Rudd KE, Johnson SC, Agesa KM, Shackelford KA, Tsoi D, Kievlan DR, Colombara DV, Ikuta KS, Kissoon N, Finfer S, et al: Global, regional, and national sepsis incidence and mortality, 1990-2017: Analysis for the global burden of disease study. Lancet. 395:200–211. 2020.PubMed/NCBI View Article : Google Scholar

3 

Feng J, Wang L, Feng Y, Yu G, Zhou D and Wang J: Serum levels of angiopoietin 2 mRNA in the mortality outcome prediction of septic shock. Exp Ther Med. 23(362)2022.PubMed/NCBI View Article : Google Scholar

4 

Wang J, Feng Q, Wu Y and Wang H: Involvement of blood lncRNA UCA1 in sepsis development and prognosis, and its correlation with multiple inflammatory cytokines. J Clin Lab Anal. 20(e24392)2022.PubMed/NCBI View Article : Google Scholar

5 

Sun T, Wang Y, Wu X, Cai Y, Zhai T and Zhan Q: Prognostic value of Syndecan-1 in the prediction of sepsis-related complications and mortality: A meta-analysis. Front Public Health. 10(870065)2022.PubMed/NCBI View Article : Google Scholar

6 

Mierzchala-Pasierb M, Krzystek-Korpacka M, Lesnik P, Adamik B, Placzkowska S, Serek P, Gamian A and Lipinska-Gediga M: Interleukin-18 serum levels in sepsis: Correlation with disease severity and inflammatory markers. Cytokine. 120:22–27. 2019.PubMed/NCBI View Article : Google Scholar

7 

Arora S, Singh P, Singh PM and Trikha A: Procalcitonin levels in survivors and nonsurvivors of sepsis: Systematic review and meta-analysis. Shock. 43:212–221. 2015.PubMed/NCBI View Article : Google Scholar

8 

Kumar N, Dayal R, Singh P, Pathak S, Pooniya V, Goyal A, Kamal R and Mohanty KK: A comparative evaluation of presepsin with procalcitonin and CRP in diagnosing neonatal sepsis. Indian J Pediatr. 86:177–179. 2019.PubMed/NCBI View Article : Google Scholar

9 

Singer M, Deutschman CS, Seymour CW, Shankar-Hari M, Annane D, Bauer M, Bellomo R, Bernard GR, Chiche JD, Coopersmith CM, et al: The third international consensus definitions for sepsis and septic shock (sepsis-3). JAMA. 315:801–810. 2016.PubMed/NCBI View Article : Google Scholar

10 

Freund Y, Lemachatti N, Krastinova E, Van Laer M, Claessens YE, Avondo A, Occelli C, Feral-Pierssens AL, Truchot J, Ortega M, et al: Prognostic accuracy of sepsis-3 criteria for in-hospital mortality among patients with suspected infection presenting to the emergency department. JAMA. 317:301–308. 2017.PubMed/NCBI View Article : Google Scholar

11 

Juschten J, Bos LDJ, de Grooth HJ, Beuers U, Girbes ARJ, Juffermans NP, Loer SA, van der Poll T, Cremer OL, Bonten MJM, et al: Incidence, clinical characteristics and outcomes of early hyperbilirubinemia in critically Ill patients: Insights from the MARS study. Shock. 57:161–167. 2022.PubMed/NCBI View Article : Google Scholar

12 

Collazos J, de la Fuente B, de la Fuente J, García A, Gómez H, Menéndez C, Enríquez H, Sánchez P, Alonso M, López-Cruz I, et al: Factors associated with sepsis development in 606 Spanish adult patients with cellulitis. BMC Infect Dis. 20(211)2020.PubMed/NCBI View Article : Google Scholar

13 

Waltz P, Carchman E, Gomez H and Zuckerbraun B: Sepsis results in an altered renal metabolic and osmolyte profile. J Surg Res. 202:8–12. 2016.PubMed/NCBI View Article : Google Scholar

14 

Song R, Xu N, Luo L, Zhang T and Duan H: Diagnostic value of aortic dissection risk score, coagulation function, and laboratory indexes in acute aortic dissection. Biomed Res Int. 2022(7447230)2022.PubMed/NCBI View Article : Google Scholar

15 

Pierrakos C, Velissaris D, Felleiter P, Antonelli M, Vanhems P, Sakr Y and Vincent JL: EPIC II investigators. Increased mortality in critically ill patients with mild or moderate hyperbilirubinemia. J Crit Care. 40:31–35. 2017.PubMed/NCBI View Article : Google Scholar

16 

Patel JJ, Taneja A, Niccum D, Kumar G, Jacobs E and Nanchal R: The association of serum bilirubin levels on the outcomes of severe sepsis. J Intensive Care Med. 30:23–29. 2015.PubMed/NCBI View Article : Google Scholar

17 

Arai T, Yoshikai Y, Kamiya J, Nagino M, Uesaka K, Yuasa N, Oda K, Sano T and Nimura Y: Bilirubin impairs bactericidal activity of neutrophils through an antioxidant mechanism in vitro. J Surg Res. 96:107–113. 2001.PubMed/NCBI View Article : Google Scholar

18 

Maruhashi T, Soga J, Fujimura N, Idei N, Mikami S, Iwamoto Y, Kajikawa M, Matsumoto T, Kihara Y, Chayama K, et al: Hyperbilirubinemia, augmentation of endothelial function, and decrease in oxidative stress in Gilbert syndrome. Circulation. 126:598–603. 2012.PubMed/NCBI View Article : Google Scholar

19 

Uslu A, Taşli FA, Nart A, Postaci H, Aykas A, Bati H and Coşkun Y: Human kidney histopathology in acute obstructive jaundice: A prospective study. Eur J Gastroenterol Hepatol. 22:1458–1465. 2010.PubMed/NCBI View Article : Google Scholar

20 

Brites D and Fernandes A: Bilirubin-induced neural impairment: A special focus on myelination, age-related windows of susceptibility and associated co-morbidities. Semin Fetal Neonatal Med. 20:14–19. 2015.PubMed/NCBI View Article : Google Scholar

21 

Lanone S, Bloc S, Foresti R, Almolki A, Taillé C, Callebert J, Conti M, Goven D, Aubier M, Dureuil B, et al: Bilirubin decreases nos2 expression via inhibition of NAD(P)H oxidase: Implications for protection against endotoxic shock in rats. FASEB J. 19:1890–1892. 2005.PubMed/NCBI View Article : Google Scholar

22 

Kundur AR, Bulmer AC and Singh I: Unconjugated bilirubin inhibits collagen induced platelet activation. Platelets. 25:45–50. 2014.PubMed/NCBI View Article : Google Scholar

23 

Li Y, Huang B, Ye T, Wang Y, Xia D and Qian J: Physiological concentrations of bilirubin control inflammatory response by inhibiting NF-κB and inflammasome activation. Int Immunopharmacol. 84(106520)2020.PubMed/NCBI View Article : Google Scholar

24 

Vanwijngaerden YM, Langouche L, Brunner R, Debaveye Y, Gielen M, Casaer M, Liddle C, Coulter S, Wouters PJ, Wilmer A, et al: Withholding parenteral nutrition during critical illness increases plasma bilirubin but lowers the incidence of biliary sludge. Hepatology. 60:202–210. 2014.PubMed/NCBI View Article : Google Scholar

25 

Chen Y, Zhou X and Wu Y: The miR-26a-5p/IL-6 axis alleviates sepsis-induced acute kidney injury by inhibiting renal inflammation. Ren Fail. 44:551–561. 2022.PubMed/NCBI View Article : Google Scholar

26 

Bellomo R, Kellum JA, Ronco C, Wald R, Martensson J, Maiden M, Bagshaw SM, Glassford NJ, Lankadeva Y, Vaara ST and Schneider A: Acute kidney injury in sepsis. Intensive Care Med. 43:816–828. 2017.PubMed/NCBI View Article : Google Scholar

27 

Poston JT and Koyner JL: Sepsis associated acute kidney injury. BMJ. 364(k4891)2019.PubMed/NCBI View Article : Google Scholar

28 

Sun J, Zhang J, Tian J, Virz GM, Digvijay K, Cueto L, Yin Y, Rosner MH and Ronco C: Mitochondria in Sepsis-induced AKI. J Am Soc Nephrol. 30:1151–1161. 2019.PubMed/NCBI View Article : Google Scholar

29 

Ronco C, Bellomo R and Kellum JA: Acute kidney injury. Lancet. 394:1949–1964. 2019.PubMed/NCBI View Article : Google Scholar

Related Articles

  • Abstract
  • View
  • Download
  • Twitter
Copy and paste a formatted citation
Spandidos Publications style
Xiao Y, Yan X, Shen L, Wang Q, Li F, Yang D, Wu W and Qian Y: Evaluation of qSOFA score, and conjugated bilirubin and creatinine levels for predicting 28‑day mortality in patients with sepsis. Exp Ther Med 24: 447, 2022.
APA
Xiao, Y., Yan, X., Shen, L., Wang, Q., Li, F., Yang, D. ... Qian, Y. (2022). Evaluation of qSOFA score, and conjugated bilirubin and creatinine levels for predicting 28‑day mortality in patients with sepsis. Experimental and Therapeutic Medicine, 24, 447. https://doi.org/10.3892/etm.2022.11374
MLA
Xiao, Y., Yan, X., Shen, L., Wang, Q., Li, F., Yang, D., Wu, W., Qian, Y."Evaluation of qSOFA score, and conjugated bilirubin and creatinine levels for predicting 28‑day mortality in patients with sepsis". Experimental and Therapeutic Medicine 24.1 (2022): 447.
Chicago
Xiao, Y., Yan, X., Shen, L., Wang, Q., Li, F., Yang, D., Wu, W., Qian, Y."Evaluation of qSOFA score, and conjugated bilirubin and creatinine levels for predicting 28‑day mortality in patients with sepsis". Experimental and Therapeutic Medicine 24, no. 1 (2022): 447. https://doi.org/10.3892/etm.2022.11374
Copy and paste a formatted citation
x
Spandidos Publications style
Xiao Y, Yan X, Shen L, Wang Q, Li F, Yang D, Wu W and Qian Y: Evaluation of qSOFA score, and conjugated bilirubin and creatinine levels for predicting 28‑day mortality in patients with sepsis. Exp Ther Med 24: 447, 2022.
APA
Xiao, Y., Yan, X., Shen, L., Wang, Q., Li, F., Yang, D. ... Qian, Y. (2022). Evaluation of qSOFA score, and conjugated bilirubin and creatinine levels for predicting 28‑day mortality in patients with sepsis. Experimental and Therapeutic Medicine, 24, 447. https://doi.org/10.3892/etm.2022.11374
MLA
Xiao, Y., Yan, X., Shen, L., Wang, Q., Li, F., Yang, D., Wu, W., Qian, Y."Evaluation of qSOFA score, and conjugated bilirubin and creatinine levels for predicting 28‑day mortality in patients with sepsis". Experimental and Therapeutic Medicine 24.1 (2022): 447.
Chicago
Xiao, Y., Yan, X., Shen, L., Wang, Q., Li, F., Yang, D., Wu, W., Qian, Y."Evaluation of qSOFA score, and conjugated bilirubin and creatinine levels for predicting 28‑day mortality in patients with sepsis". Experimental and Therapeutic Medicine 24, no. 1 (2022): 447. https://doi.org/10.3892/etm.2022.11374
Follow us
  • Twitter
  • LinkedIn
  • Facebook
About
  • Spandidos Publications
  • Careers
  • Cookie Policy
  • Privacy Policy
How can we help?
  • Help
  • Live Chat
  • Contact
  • Email to our Support Team