Spandidos Publications Logo
  • About
    • About Spandidos
    • Aims and Scopes
    • Abstracting and Indexing
    • Editorial Policies
    • Reprints and Permissions
    • Job Opportunities
    • Terms and Conditions
    • Contact
  • Journals
    • All Journals
    • Oncology Letters
      • Oncology Letters
      • Information for Authors
      • Editorial Policies
      • Editorial Board
      • Aims and Scope
      • Abstracting and Indexing
      • Bibliographic Information
      • Archive
    • International Journal of Oncology
      • International Journal of Oncology
      • Information for Authors
      • Editorial Policies
      • Editorial Board
      • Aims and Scope
      • Abstracting and Indexing
      • Bibliographic Information
      • Archive
    • Molecular and Clinical Oncology
      • Molecular and Clinical Oncology
      • Information for Authors
      • Editorial Policies
      • Editorial Board
      • Aims and Scope
      • Abstracting and Indexing
      • Bibliographic Information
      • Archive
    • Experimental and Therapeutic Medicine
      • Experimental and Therapeutic Medicine
      • Information for Authors
      • Editorial Policies
      • Editorial Board
      • Aims and Scope
      • Abstracting and Indexing
      • Bibliographic Information
      • Archive
    • International Journal of Molecular Medicine
      • International Journal of Molecular Medicine
      • Information for Authors
      • Editorial Policies
      • Editorial Board
      • Aims and Scope
      • Abstracting and Indexing
      • Bibliographic Information
      • Archive
    • Biomedical Reports
      • Biomedical Reports
      • Information for Authors
      • Editorial Policies
      • Editorial Board
      • Aims and Scope
      • Abstracting and Indexing
      • Bibliographic Information
      • Archive
    • Oncology Reports
      • Oncology Reports
      • Information for Authors
      • Editorial Policies
      • Editorial Board
      • Aims and Scope
      • Abstracting and Indexing
      • Bibliographic Information
      • Archive
    • Molecular Medicine Reports
      • Molecular Medicine Reports
      • Information for Authors
      • Editorial Policies
      • Editorial Board
      • Aims and Scope
      • Abstracting and Indexing
      • Bibliographic Information
      • Archive
    • World Academy of Sciences Journal
      • World Academy of Sciences Journal
      • Information for Authors
      • Editorial Policies
      • Editorial Board
      • Aims and Scope
      • Abstracting and Indexing
      • Bibliographic Information
      • Archive
    • International Journal of Functional Nutrition
      • International Journal of Functional Nutrition
      • Information for Authors
      • Editorial Policies
      • Editorial Board
      • Aims and Scope
      • Abstracting and Indexing
      • Bibliographic Information
      • Archive
    • International Journal of Epigenetics
      • International Journal of Epigenetics
      • Information for Authors
      • Editorial Policies
      • Editorial Board
      • Aims and Scope
      • Abstracting and Indexing
      • Bibliographic Information
      • Archive
    • Medicine International
      • Medicine International
      • Information for Authors
      • Editorial Policies
      • Editorial Board
      • Aims and Scope
      • Abstracting and Indexing
      • Bibliographic Information
      • Archive
  • Articles
  • Information
    • Information for Authors
    • Information for Reviewers
    • Information for Librarians
    • Information for Advertisers
    • Conferences
  • Language Editing
Spandidos Publications Logo
  • About
    • About Spandidos
    • Aims and Scopes
    • Abstracting and Indexing
    • Editorial Policies
    • Reprints and Permissions
    • Job Opportunities
    • Terms and Conditions
    • Contact
  • Journals
    • All Journals
    • Biomedical Reports
      • Information for Authors
      • Editorial Policies
      • Editorial Board
      • Aims and Scope
      • Abstracting and Indexing
      • Bibliographic Information
      • Archive
    • Experimental and Therapeutic Medicine
      • Information for Authors
      • Editorial Policies
      • Editorial Board
      • Aims and Scope
      • Abstracting and Indexing
      • Bibliographic Information
      • Archive
    • International Journal of Epigenetics
      • Information for Authors
      • Editorial Policies
      • Editorial Board
      • Aims and Scope
      • Abstracting and Indexing
      • Bibliographic Information
      • Archive
    • International Journal of Functional Nutrition
      • Information for Authors
      • Editorial Policies
      • Editorial Board
      • Aims and Scope
      • Abstracting and Indexing
      • Bibliographic Information
      • Archive
    • International Journal of Molecular Medicine
      • Information for Authors
      • Editorial Policies
      • Editorial Board
      • Aims and Scope
      • Abstracting and Indexing
      • Bibliographic Information
      • Archive
    • International Journal of Oncology
      • Information for Authors
      • Editorial Policies
      • Editorial Board
      • Aims and Scope
      • Abstracting and Indexing
      • Bibliographic Information
      • Archive
    • Medicine International
      • Information for Authors
      • Editorial Policies
      • Editorial Board
      • Aims and Scope
      • Abstracting and Indexing
      • Bibliographic Information
      • Archive
    • Molecular and Clinical Oncology
      • Information for Authors
      • Editorial Policies
      • Editorial Board
      • Aims and Scope
      • Abstracting and Indexing
      • Bibliographic Information
      • Archive
    • Molecular Medicine Reports
      • Information for Authors
      • Editorial Policies
      • Editorial Board
      • Aims and Scope
      • Abstracting and Indexing
      • Bibliographic Information
      • Archive
    • Oncology Letters
      • Information for Authors
      • Editorial Policies
      • Editorial Board
      • Aims and Scope
      • Abstracting and Indexing
      • Bibliographic Information
      • Archive
    • Oncology Reports
      • Information for Authors
      • Editorial Policies
      • Editorial Board
      • Aims and Scope
      • Abstracting and Indexing
      • Bibliographic Information
      • Archive
    • World Academy of Sciences Journal
      • Information for Authors
      • Editorial Policies
      • Editorial Board
      • Aims and Scope
      • Abstracting and Indexing
      • Bibliographic Information
      • Archive
  • Articles
  • Information
    • For Authors
    • For Reviewers
    • For Librarians
    • For Advertisers
    • Conferences
  • Language Editing
Login Register Submit
  • This site uses cookies
  • You can change your cookie settings at any time by following the instructions in our Cookie Policy. To find out more, you may read our Privacy Policy.

    I agree
Search articles by DOI, keyword, author or affiliation
Search
Advanced Search
presentation
Experimental and Therapeutic Medicine
Join Editorial Board Propose a Special Issue
Print ISSN: 1792-0981 Online ISSN: 1792-1015
Journal Cover
July-2023 Volume 26 Issue 1

Full Size Image

Sign up for eToc alerts
Recommend to Library

Journals

International Journal of Molecular Medicine

International Journal of Molecular Medicine

International Journal of Molecular Medicine is an international journal devoted to molecular mechanisms of human disease.

International Journal of Oncology

International Journal of Oncology

International Journal of Oncology is an international journal devoted to oncology research and cancer treatment.

Molecular Medicine Reports

Molecular Medicine Reports

Covers molecular medicine topics such as pharmacology, pathology, genetics, neuroscience, infectious diseases, molecular cardiology, and molecular surgery.

Oncology Reports

Oncology Reports

Oncology Reports is an international journal devoted to fundamental and applied research in Oncology.

Experimental and Therapeutic Medicine

Experimental and Therapeutic Medicine

Experimental and Therapeutic Medicine is an international journal devoted to laboratory and clinical medicine.

Oncology Letters

Oncology Letters

Oncology Letters is an international journal devoted to Experimental and Clinical Oncology.

Biomedical Reports

Biomedical Reports

Explores a wide range of biological and medical fields, including pharmacology, genetics, microbiology, neuroscience, and molecular cardiology.

Molecular and Clinical Oncology

Molecular and Clinical Oncology

International journal addressing all aspects of oncology research, from tumorigenesis and oncogenes to chemotherapy and metastasis.

World Academy of Sciences Journal

World Academy of Sciences Journal

Multidisciplinary open-access journal spanning biochemistry, genetics, neuroscience, environmental health, and synthetic biology.

International Journal of Functional Nutrition

International Journal of Functional Nutrition

Open-access journal combining biochemistry, pharmacology, immunology, and genetics to advance health through functional nutrition.

International Journal of Epigenetics

International Journal of Epigenetics

Publishes open-access research on using epigenetics to advance understanding and treatment of human disease.

Medicine International

Medicine International

An International Open Access Journal Devoted to General Medicine.

Journal Cover
July-2023 Volume 26 Issue 1

Full Size Image

Sign up for eToc alerts
Recommend to Library

  • Article
  • Citations
    • Cite This Article
    • Download Citation
    • Create Citation Alert
    • Remove Citation Alert
    • Cited By
  • Similar Articles
    • Related Articles (in Spandidos Publications)
    • Similar Articles (Google Scholar)
    • Similar Articles (PubMed)
  • Download PDF
  • Download XML
  • View XML
Article Open Access

Efficacy and safety of unilateral biportal endoscopy compared with microscopic decompression in the treatment of lumbar spinal stenosis: A systematic review and updated meta‑analysis

  • Authors:
    • Yue-Peng Wang
    • Shi-Lei Qin
    • Su Yang
    • Yun-Feng Xu
    • Peng-Fei Han
  • View Affiliations / Copyright

    Affiliations: Department of Orthopaedics, Heping Hospital Affiliated to Changzhi Medical College, Changzhi, Shanxi 046000, P.R. China, Department of Orthopaedics, Changzhi Yunfeng Hospital, Changzhi, Shanxi 046000, P.R. China
    Copyright: © Wang et al. This is an open access article distributed under the terms of Creative Commons Attribution License.
  • Article Number: 309
    |
    Published online on: May 10, 2023
       https://doi.org/10.3892/etm.2023.12008
  • Expand metrics +
Metrics: Total Views: 0 (Spandidos Publications: | PMC Statistics: )
Metrics: Total PDF Downloads: 0 (Spandidos Publications: | PMC Statistics: )
Cited By (CrossRef): 0 citations Loading Articles...

This article is mentioned in:



Abstract

The incidence of lumbar spinal stenosis is increasing annually, and with an ever‑aging population and longer life expectancies, this trend will further continue. It is hoped that a more effective treatment can be found so that the patients can be relieved of their pain. The aim of this systematic review and meta‑analysis was to evaluate the effectiveness and safety of unilateral biportal endoscopic surgery (UBE) and microscopic decompression surgery (MD) for the treatment of lumbar spinal stenosis. A literature search of related studies published until April 2022 was performed using PubMed, EMBASE, Cochrane Library, Web of Science, ClinicalTrials.gov, Google Scholar, China National Knowledge Infrastructure (CNKI), and other databases. After filtering of references, 12 eligible studies were identified that compared UBE with MD as a treatment for lumbar spinal stenosis. Data were extracted and analysed using R. A total of 12 articles (four randomized controlled and eight cohort studies) were included, with a total of 1,067 patients: 250 men and 249 women in the UBE group and 290 men and 278 women in the MD group. The meta-analysis showed that the mean intraoperative blood loss in the UBE group [standardized mean difference (SMD)=‑2.10, 95% confidence interval (CI) (‑3.97, ‑0.23), P=0.03] was lower than that in the MD group. The postoperative Visual analogue scale (VAS) score for back pain [SMD=‑0.52, 95% CI (‑0.76, ‑0.27), P<0.01], leg pain [SMD=‑0.30, 95% CI (‑0.51, ‑0.08), P<0.01], postoperative Oswestry disability index [(ODI); SMD=‑0.25, 95% CI (‑0.48, ‑0.03), P=0.03], and postoperative C‑reactive protein [(CRP); odds ratio (OR)=‑0.92, 95% CI (‑1.80, 0.03), P=0.04] were lower than those in the MD group. Complications (OR=0.60, 95% CI (0.37, 0.98), P=0.04) and hospital stay (SMD=‑1.84, 95% CI (‑2.85, 0.83), P <0.01] were also lesser in the UBE group than in the MD group. UBE was preferable to that in the MD group according to the modified MacNab score [OR=2.28, 95% CI (1.28, 4.06), P<0.01]. No significant differences were observed in the operation times between the groups. UBE surgery was found to be a better option for the treatment of lumbar spinal stenosis than MD surgery.

Introduction

The incidence of lumbar degenerative diseases is increasing annually, and with an ever-aging population and longer life expectancies, this trend will further continue (1). Lumbar spinal stenosis is the most common cause of lumbar spinal disease in patients aged >65 years who require surgical treatment (1). The symptoms of lumbar spinal stenosis include compression of the nerve roots and dural sac as well as pathological stenosis of the spinal canal (2). Surgical treatment is usually recommended for patients in whom conservative treatment fails as it results in better clinical outcomes (3). In contrast, traditional open surgery requires extensive dissection of the paravertebral muscles, resulting in muscle ischemia, denervation, and atrophy, leaving patients with residual back pain (4,5). Various minimally invasive techniques have been developed in recent years to overcome these shortcomings. Through small incisions, arthroscopes, endoscopes, and microscopes are used to provide a clear working field and reduce tissue damage (4,6,7). The compression of the nerve caused by lumbar spinal canal stenosis typically results in lower back pain, leg pain, and other symptoms, thus affecting the quality of life of patients. Microscopic decompression (MD) surgery has been widely used in the clinic for patients with lumbar spinal stenosis and has good outcomes. However, the operation space is narrow, and the cost of training surgeons is high. In addition, when performing lumbar spinal canal decompression using MD, the instrument must first pass through the working cannula, so the choice of available instruments is greatly limited (8).

Recently, clinicians in China and other countries have paid increasing attention to unilateral biportal endoscopic (UBE) surgery given the improvements introduced in this surgical method by Korean researchers (9). In this method, one channel is implanted into the endoscope for visual field coverage and the other serves as a working channel. In several cases, the two channels are located 1.0 cm from the midline and 1.0-1.5 cm from the upper and lower midlines of the lesion gap. This biportal approach prevents damage to the erector spinae caused by conventional debridement procedures that crush the important muscles. Otherwise, variable access angles provide a wider, more detailed view of the surgeon's contralateral side. It allows a wider view of the intervertebral foramen, and possible injuries to the exiting nerve and the radicular artery can be avoided by using a paraspinal extraforaminal approach (10). As a relatively novel surgical technique, it has gained popularity in China and other countries for the treatment of lumbar spinal stenosis (11).

Although the efficacy of these two surgical procedures has been compared, there are no sufficient literature or medical records available to reach accurate conclusions. In this paper, a comprehensive literature search on UBE and MD surgeries for the treatment of lumbar spinal stenosis was performed. The aim was to objectively evaluate the two methods' effectiveness and safety.

Materials and methods

Literature search

The present study was conducted following the PRISMA guidelines (12). The databases searched included PubMed, EMBASE, Cochrane Library, Web of Science, ClinicalTrials.gov, Google Scholar, China National Knowledge Infrastructure (CNKI), Chinese Biomedical databases, Cochrane Library and ProQuest Dissertations and Theses to analyse the efficacy and safety of UBE vs. MD for treating lumbar spinal stenosis. The literature retrieval strategy was as follows: [‘UBE’(All Fields) OR ‘BESS’ (All Fields) OR (‘biportal’ (All Fields) AND (‘endoscoped’(All Fields) OR ‘endoscopes’ (MeSH Terms) OR ‘endoscopes’ (All Fields) OR ‘endoscope’ (All Fields) OR ‘endoscopical’ (All Fields) OR ‘endoscopically’ (All Fields) OR ‘endoscopy’ (MeSH Terms) OR ‘endoscopy’ (All Fields) OR ‘endoscopic’ (All Fields))] AND [‘MD’ (All Fields) OR “MD” (Journal) OR ‘monde dent’ (Journal) OR ‘md chic’ (Journal) OR ((“microscop” (All Fields) OR ‘microscopal’ (All Fields) OR ‘microscope’ (All Fields) OR ‘microscopes’ (All Fields) OR ‘microscopic’ (All Fields) OR ‘microscopical’ (All Fields) OR ‘microscopically’ (All Fields) OR ‘microscopics’ (All Fields)] AND [‘decompress’ (All Fields) OR ‘decompressed’ (All Fields) OR ‘decompresses’ (All Fields) OR ‘decompressing’ (All Fields) OR ‘decompression’ (MeSH Terms) OR ‘decompression’ (All Fields) OR ‘decompressions’ (All Fields) OR ‘decompressive’(All Fields))]. The period for retrieval was the establishment of the database to April 2022, and the retrieval languages were limited to English and Chinese.

Eligibility criteria

The inclusion criteria for studies were: i) Patients with clear clinical symptoms and diagnosis of lumbar spinal stenosis by physical and auxiliary examinations; ii) the research design was a randomized controlled trial (RCT) or cohort study (CS); iii) no significant difference in baseline data between the two groups (UBE and MD); iv) at least 6 months of follow-up time; and v) availability of full-text. Studies were excluded based on the following criteria: i) Literature in a language other than Chinese and English; ii) when there were multiple reports from a single centre, the study with the largest sample size without duplication was selected after reading the full text; iii) multiple similar studies in the same unit; duplicate cases were excluded after reading the full text; and iv) studies with a sample size <20.

Data extraction

Following the selection criteria, two authors read the full text of the literature. They independently searched the aforementioned databases and the information was extracted from the literature. Finally, they thoroughly searched and extracted all relevant information from all the studies by repeatedly checking them. The two authors discussed the extracted information and any disagreements were resolved by a third researcher.

Based on the studies reviewed, the following information was extracted: i) Last name of the first author; ii) year of publication; iii) country in which the study was conducted; iv) study design (CS or RCT); and v) patient characteristics (treatment level, follow-up time, age, and sex).

Quality assessment

The Newcastle-Ottawa Quality Assessment Scale (NOS) was used to evaluate the quality of the articles included in the CS. The maximum score was 9, and studies with a NOS score ≥7 were considered high-quality studies (13). For RCTs, the risk of bias was assessed using the Cochrane Collaboration Risk of Bias Assessment Tool (14).

Credibility analysis

Data analysis was implemented using the R version 4.1.3 R Core Team (http://www.R-project.org/). Binomial variables were analysed by calculating the odds ratios (OR) and 95% confidence intervals (CI). For continuous variables, the standardized mean difference (SMD) and 95% CI for analysis were used. Heterogeneity was assessed using I2 statistics, and a random effects model was chosen when heterogeneity was significant (I2>50%); otherwise, a fixed-effects model was selected. Publication bias was assessed for outcomes in >10 included studies using funnel plots.

Results

Description of included studies

The initial search yielded 268 data points. After removing duplicates, 228 records were screened, after which 156 were excluded due to irrelevance. Subsequently, 72 full-text articles or abstracts were assessed for eligibility, and 60 articles were excluded. The remaining 12 studies were included in the data synthesis. A total of three Chinese articles (15-17) and nine foreign articles (18-26), including four RCTs and eight CSs, with a total of 1,067 patients, including 250 men and 249 women in the UBE group and 290 men and 278 women in the MD group. The screening process and results are presented in Fig. 1, and the basic characteristics of the study participants are summarized in Table I.

Figure 1

Flow diagram of the literature search.

Table I

Information on the included studies.

Table I

Information on the included studies.

 Follow-up 
 Treated level Sex 
StudyCountryStudy designGroupL1/2L2/3L3/4L4/5L5/S1Time, monthAge, year, mean ± SDMaleFemaleNOS score(Refs.)
Guo et al, 2022China Retrospective-CSUBE  917161237.5±12.2522208(15)
   MD  720181241.5±1.732322  
Wang et al, 2022ChinaRetrospective -CSUBE   2723NA44.7±14.626248(16)
   MD   2822NA45.2±11.02723  
Aygun et al, 2021Saudi ArabiaRCTUBE  NA  2464.64±10.094433Fig.2(18)
   MD  NA  2465.05±9.245027  
Ito et al, 2021JapanRetrospective -CSUBE  132456.7±0.666.3±12.328147(19)
   MD  3886156.9±0.865.0±11.17168  
Yu et al, 2021ChinaRetrospective -CSUBE  51071259.1±11.712108(17)
   MD  61181258.3±8.71114  
Kim et al, 2020KoreaRetrospective -CSUBE 281821264.23±5.2613178(20)
   MD 481621266.20±6.011218  
Min et al, 2020KoreaRCTUBE 1743227.2±5.465.74±10.522727Fig.2(21)
   MD 1724331.5±7.366.74±7.961916  
Park et al, 2020KoreaRCTUBE0252501266.2 (41-80)1319Fig.2(22)
   MD3371721267.1 (45-79)1814  
Choi, et al, 2019KoreaRetrospective -CSUBE  NA  665.4±11.814217(23)
   MD  NA  665.2±12.01713  
Heo et al, 2019KoreaRetrospective -CSUBE   37 1266.7±9.415228(24)
   MD   33 1263.4±11.11221  
Kang et al, 2019KoreaRCTUBE  41612665.1±8.61814Fig.2(25)
   MD  51510667.2±9.51416  
Heo et al, 2018KoreaProspective-CSUBE 1833414.5±2.365.4±11.818287(26)
   MD 2730314.5±2.365.2±12.01626  

[i] UBE, unilateral biportal endoscopic; MD, microscopic decompression; CS, cohort study; RCT, randomized controlled trial; NA, not available.

Quality evaluation of the included literature

This was a high-quality study, in that all included studies were RCTs or CSs, and all included studies met the inclusion and exclusion criteria (Fig. 2 and Table I).

Figure 2

Risk of bias assessment of randomized controlled trials. D1, random sequence generation (selection bias); D2, allocation concealment (selection bias); D3, blinding of participants and personnel (performance bias); D4, blinding of outcome assessment (detection bias); D5, incomplete outcome data (attrition bias); D6, selective reporting (reporting bias); D7, other bias.

Curative effect after operation

The curative effects of surgery from four aspects (VAS score for back pain, VAS score for leg pain, ODI, and the modified MacNab score) were evaluated.

A total of nine studies (15-17,19,21-24,26) presented postoperative VAS scores for back pain. The total meta-analysis showed that the postoperative VAS scores of the UBE group were lower than those of the MD group [SMD=-0.52, 95% CI (-0.76, -0.27), P<0.01]. Subgroup analysis was performed by follow-up time. The postoperative VAS score for back pain in the UBE group was lower than that in the MD group as follows: 1-3 days [SMD=-1.33, 95% CI (-1.84, -0.81], P<0.01], 1-3 months [SMD=-0.56, 95% CI (-1.03, 0.09), P=0.02], and 6 months [SMD=-0.26, 95% CI (-0.47, -0.05), P=0.01] after operation. No significant differences were observed between the UBE and MD groups after 12 months [SMD=-0.10, 95% CI (-0.27, 0.07), P=0.26] (Fig. 3A). In terms of overall data, the postoperative back pain of UBE was lighter than that of MD within 6 months of operation, but both techniques had similar VAS scores for back pain after 12 months. A total of nine studies (15-17,19,21-24,26) presented postoperative VAS scores for leg pain. The total meta-analysis showed that the postoperative VAS score for leg pain was lower in the UBE group than that in the MD group [SMD=-0.30, 95% CI (-0.51, -0.08), P<0.01]. Subgroup analysis performed by the follow-up time showed that the postoperative VAS score for leg pain in the UBE group was lower than that in the MD group; 1-3 days [SMD=-0.49, 95% CI (-0.88, -0.11), P=0.01] and 6 months [SMD=-0.41, 95% CI (-0.62, -0.20), P<0.01]. However, no significant difference was observed in the VAS score for leg pain between the two groups at 1-3 months [SMD=-0.08, 95% CI (-0.36, 0.19), P=0.54] and 12 months [SMD=-0.24, 95% CI (-0.82, 0.34), P=0.42] after the operation (Fig. 3B). In terms of overall data, the postoperative leg pain of UBE was lighter than that of MD in the first 3 days and half a year. The patients treated with UBE achieved satisfactory curative effects in the early stage.

Figure 3

Forest plot of the curative effect after operation. (A) Analysis of the postoperative VAS score for back pain between UBE and MD in the treatment of lumbar spinal stenosis. (B) Analysis of the postoperative VAS score for leg pain between UBE and MD in the treatment of lumbar spinal stenosis. (C) Analysis of the postoperative ODI between UBE and MD in the treatment of lumbar spinal stenosis. (D) Analysis of the modified MacNab score between UBE and MD in the treatment of lumbar spinal stenosis. Intervention=UBE group, Control=MD group. UBE, unilateral biportal endoscopic; MD, microscopic decompression; VAS, visual analogue scale; CI, confidence interval; IV, inverse-variance weighting; MH, Mantel-Haenszel; d, days; m, months; w, weeks; postop, postoperative time; df, degrees of freedom.

A total of nine studies (15-17,19-22,24,26) included the postoperative ODI data. The total meta-analysis showed that the postoperative ODI was lower in the UBE group than that in the MD group [SMD=-0.25, 95% CI (-0.48, -0.03), P=0.03]. Follow-up time-based subgroup analysis did not reveal significant differences in ODI between the UBE and MD groups during the ≤1 week, 1-3 months, 6 months, and 12 months periods (Fig. 3C). In terms of overall data, the postoperative ODI of UBE was lower than that of MD, but based on the subgroup analysis, the two techniques had a similar postoperative ODI. A total of five studies (15-18,20) presented the modified MacNab score data. The total meta-analysis showed that the modified MacNab score was better in the UBE group than that in the MD group [SMD=2.28, 95% CI (1.28, 4.06), P<0.01]. Subgroup analysis showed no significant difference in the 12 months postoperative modified MacNab score between the UBE and MD groups [SMD=1.38, 95% CI (0.65, 2.93), P=0.40] (Fig. 3D). In terms of overall data, the modified MacNab score of the UBE group was better than that of the MD group.

Complications

All 12 studies (15-26) presented the complication data. The total meta-analysis revealed that the UBE group had fewer complications than those in the MD group [SMD=-0.60, 95% CI (0.37, 0.68), P=0.04]. Country-based subgroup analysis showed no significant differences between the UBE and MD groups in China [SMD=-0.83, 95% CI (0.35, 1.94), P=0.66], Korea [SMD=0.64, 95% CI (0.32, 1.29), P=0.21], and the other two countries [SMD=0.29,95% CI (0.08, 1.10), P=0.07] (Fig. 4). In terms of overall data, the complications of UBE were lower than that of the MD group. This reduces the patient's pain and greatly reduced the financial burden of dealing with complications.

Figure 4

Analysis of the complications between UBE and MD in the treatment of lumbar spinal stenosis; Intervention=UBE group, Control=MD group. UBE, unilateral biportal endoscopic; MD, microscopic decompression; CI, confidence interval; MH, Mantel-Haenszel; df, degrees of freedom.

Intraoperative condition

The intraoperative situation of the two operations based on the amount of intraoperative blood loss and the operation time was evaluated. A total of four studies (15-17,20) reported data on mean blood loss. The meta-analysis found that patients with UBE experienced less blood loss than patients with MD [SMD=-2.10, 95% CI (-3.97, -0.23), P=0.03]. When subgroup analysis was conducted on the mean blood loss by country, no significant difference was observed between the UBE and MD groups in China [SMD=-2.67, 95% CI (-5.59, 0.26), P=0.07, (Fig. 5A)]. In terms of overall data, UBE resulted in less blood loss than MD, and that was conducive to the rapid recovery of patients. A total of nine studies (15,16,19,20-22,24-26) presented the mean operative time data. The meta-analysis showed no significant difference in operation time between the UBE and MD groups [SMD=0.07, 95% CI (-0.66, 0.81), P=0.85]. Country-based subgroup analysis showed no significant difference between the UBE and MD groups in China [SMD=0.93, 95% CI (-2.37, 4.23), P=0.58] and Korea [SMD=-0.28, 95% CI (-1.02, 0.45), P=0.45, (Fig. 5B)]. In terms of overall data, the operation time of the UBE and MD were basically the same.

Figure 5

Forest plot of the intraoperative condition. (A) Analysis of the mean blood loss (ml) between UBE and MD in the treatment of lumbar spinal stenosis. (B) Analysis of the operation time between UBE and MD in the treatment of lumbar spinal stenosis. Intervention=UBE group, Control=MD group. UBE, unilateral biportal endoscopic; MD, microscopic decompression. CI, confidence interval; IV, inverse-variance weighting; df, degrees of freedom.

Hospital stays and CRP

A total of five studies (16,17,21,22,25) presented hospital stay data. Hospital stays were shorter in the UBE group than those in the MD group [SMD=-1.84, 95% CI (-2.85, -0.83), P<0.01]. Country-based subgroup analysis revealed shorter hospital stays in the UBE group than that in the MD group in China [SMD=-1.84, 95% CI (-2.97, -0.71), P<0.01) and Korea [SMD=-1.85, 95% CI (-3.62, -0.07), P=0.04, (Fig. 6)]. In terms of overall data, the patients staying in the hospital in the UBE group was shorter than that of MD, so UBE could relieve the patient's pain that would otherwise require long-term hospitalization. A total of three studies (16,20,23) presented CRP data. The meta-analysis showed that the postoperative CRP levels were lower in the UBE group than those in the MD group [SMD=-0.92, 95% CI (-1.80, -0.03), P=0.04]. Follow-up time-based subgroup analysis showed that the postoperative CRP levels in the UBE group were lower than those in the MD group in the 1-2-week time point [SMD=-0.55, 95% CI (-1.06, -0.05), P=0.03], with no significant difference at 1-2 days after the operation [SMD=-1.31, 95% CI (-3.34, 0.73), P=0.21, (Fig. 7). In terms of overall data, the postoperative CRP levels in the UBE were lower than that in the MD group.

Figure 6

Analysis of the length of hospital stay between UBE and MD in the treatment of lumbar spinal stenosis. Intervention=UBE group, Control=MD group. UBE, unilateral biportal endoscopic; MD, microscopic decompression. CI, confidence interval; IV, inverse-variance weighting; df, degrees of freedom.

Figure 7

Analysis of the postoperative CRP between UBE and MD in the treatment of lumbar spinal stenosis; Intervention=UBE group, Control=MD group. UBE, unilateral biportal endoscopic; MD, microscopic decompression; CI, confidence interval; IV, inverse-variance weighting. d, days; m, months; w, weeks; postop, postoperative time; df, degrees of freedom.

Heterogeneity and sensitivity analyses

High heterogeneity was observed in the mean blood loss (I2=97%), postoperative VAS score for back pain (I2=83%), postoperative VAS score for leg pain (I2=79%), ODI (I2=79%), postoperative CRP (I2=94%), hospital stay (I2=94%), and operation time (I2=96%). When literature was excluded individually for these parameters followed by merging of the remaining literature, the heterogeneity remained high, indicating that the results of this meta-analysis were stable. Surgeons' surgical techniques or perioperative care in the hospital may have contributed to the heterogeneity of the results.

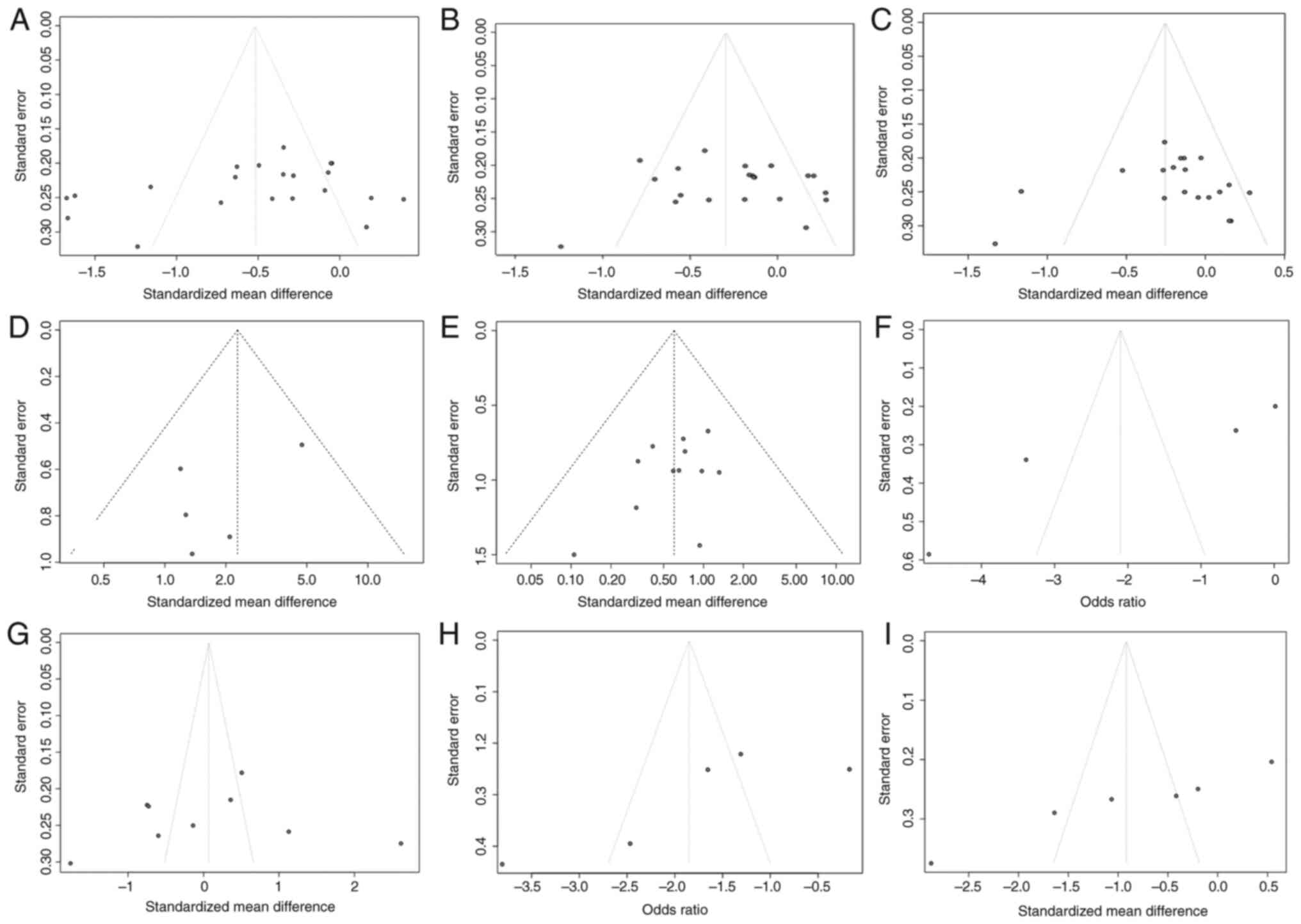
Publication bias

All comparisons were included, and publication bias was estimated using a funnel plot test (Fig. 8). Although funnel plots are symmetrical, publication bias may still have been present given the inclusion of more studies by Korean researchers.

Figure 8

Funnel plots for assessment of publication bias. (A) The postoperative VAS score for back pain. (B) The postoperative VAS score for leg pain. (C) The postoperative ODI. (D) The modified MacNab score. (E) The complications. (F) The mean blood loss (ml). (G) The operation time. (H) The length of hospital stay. (I) The postoperative CRP.

Discussion

The development of UBE. Minimally invasive spine surgery has been widely used in the treatment of degenerative diseases of the lumbar spine. It can preserve the structural integrity of the spine to the greatest extent possible and allows for a faster recovery (27,28). Since its conception, MD surgery has been widely promoted and applied owing to its better vision and lesser surgical trauma than those associated with open surgery. However, the procedure is associated with several shortcomings that hamper its clinical application, such as limited scope regarding indications and incomplete decompression. More recently, less invasive UBE surgery has increasingly been used for the treatment of lumbar spinal stenosis, which has been shown to provide better clinical results (29). Using an endoscope to look into the channel and flush it continuously with normal saline, a clear field of view can be achieved. Conventional spinal surgical instruments are used for the operation through the working channel, similar to traditional posterior fenestrations (30,31). Regardless of the minimally invasive approach used to relieve lumbar spinal stenosis, the goal was to provide extensive decompression of the spinal canal while minimizing damage to the posterior ligament muscle structure (32).

Lower intraoperative blood loss, ODI, CRP changes, and shorter hospital stays were associated with UBE than with MD, indicating a less traumatic and rapid recovery process. This may be due to the flexibility of UBE. In addition, UBE offers a wider operating space, and the surgical procedure is similar to traditional open surgery, which allows for easier identification of the anatomical structures, thus preventing damage to adjacent tissues. UBE has a larger field of vision under a normal saline medium of 25-30 mmHg, and it is easier to find the bleeding point and stop the bleeding as soon as possible in this medium (33-35).

Within 1-3 days after surgery, the UBE group had a lower VAS score for leg pain. The UBE operation channel is smaller than the MD channel (1.0 cm vs. 1.8 cm). This allows for reduced damage to the tissues, a clearer operation field to avoid nerve contact during operation, and effective reduction of early postoperative pain. However, within 1-3 months after surgery, the VAS score for leg pain in the UBE group was similar to that in the MD group. However, as a result of soft tissue injury healing, the pain gradually eased and the oppressed nerve root was decompressed, showing that both UBE and MD treatments were very effective. Compared with MD however, UBE resulted in less postoperative back pain, irrespective of whether it manifested early (days) or later (months) after the operation because of the preservation of the back muscle and a smaller incision.

All the included articles mentioned complications such as nerve root injury, dural tear, epidural hematoma, and wound infection (15-26). According to the present meta-analysis, UBE had a lower overall incidence of complications than MD. MD may be associated with a higher rate of complications due to limitations in the surgical field of view and mechanical damage caused by constraints of the limited surgical space. UBE solves this problem by providing a clear surgical field of view (11,36). Interestingly, subgroup analyses in China, Korea, and the other two countries did not show any significant differences between the UBE and MD groups, indicating that the data included in the subgroup analysis were limited; that is, it was not sufficient to show the overall effect. In the present study, cases from several countries were included, and the results showed that the UBE group had fewer complications than the MD group, as determined by the analyses.

The present study has some limitations. First, it included primarily Korean and Chinese studies, and this is not reflective of surgical procedures in other countries around the world. Each subgroup had a smaller sample size in the subgroup analysis and may not be sufficient in power to reflect the real-world scenario. Second, a publication bias exists since small-scale studies are prone to remain unpublished, which could account for language limitations in the inclusion criteria or selective publication. Third, in this study, four RCTs were included, whereas the rest of the studies were CSs. Since it is difficult to completely apply randomized and blinded controls in practice, observational studies were included, which limited the quality of the literature included. In certain studies, only descriptive analyses were performed, precluding accurate clinical data extraction. The use of different surgical procedures can also lead to bias. Finally, the absence of ethical approvals may have affected data analysis, causing inevitable bias. Therefore, the conclusions of this study need to be further verified using a large sample prospective RCT. It is important to note that this evaluation was based on a small number of studies; therefore, caution should be exercised when interpreting and extrapolating the results.

In conclusion, compared with MD surgery, UBE is less prone to intraoperative bleeding and has a shorter postoperative hospital stay, milder short-term pain symptoms, faster recovery, and fewer postoperative complications. UBE surgery may replace MD surgery as a better treatment option for lumbar spinal stenosis. The results confirm that the UBE technique is a viable option for lumbar surgery. This technology is not only applicable to the lumbar spine but can also be used to treat diseases such as the cervical and thoracic spine. However, existing studies are limited to small cohort studies with short-term follow-ups, and further large cohort prospective studies and long-term follow-up studies are required to evaluate the relative benefits and harms of UBE. It is hypothesized that as UBE technology is further developed, it will usher in a new era in spinal endoscopy. However, at present, additional randomized controlled studies are required to compare these two technologies.

Acknowledgements

Not applicable.

Funding

Funding: No funding was received.

Availability of data and materials

The datasets used and/or analysed during the present study are available from the corresponding author on reasonable request.

Authors' contributions

YPW and SLQ designed the study, performed the research, collected and analysed the data, and wrote the manuscript. SY collected and analysed the data. YPW, SLQ and SY confirm the authenticity of all the raw data. YFX and PFH conceived the study, performed the interpretation of data and reviewed the article. All authors have read and approved the final manuscript.

Ethics approval and consent to participate

Not applicable.

Patient consent for publication

Not applicable.

Competing interests

The authors declare that they have no competing interests.

References

1 

Hennemann S and de Abreu MR: Estenose degenerativa do canal lombar. Rev Bras Ortop. 56:9–17. 2021.PubMed/NCBI View Article : Google Scholar

2 

Deer T, Sayed D, Michels J, Josephson Y, Li S and Calodney AK: A review of lumbar spinal stenosis with intermittent neurogenic claudication: Disease and diagnosis. Pain Med. 20:S32–S44. 2019.PubMed/NCBI View Article : Google Scholar

3 

Weinstein NJ, Tosteson TD, Lurie JD, Tosteson ANA, Blood E, Hanscom B, Herkowitz H, Cammisa F, Albert T, Boden SD, et al: Surgical versus nonsurgical therapy for lumbar spinal stenosis. N Engl J Med. 358:794–810. 2008.PubMed/NCBI View Article : Google Scholar

4 

Zhu X, Lu J, Xu H, Tang Q, Song G, Deng C, Wu H, Xu Y, Chen H and Wang J: A comparative study between minimally invasive spine surgery and traditional open surgery for patients with spinal metastasis. Spine (Phile Pa 1976). 46:62–68. 2021.PubMed/NCBI View Article : Google Scholar

5 

Kanemura T, Satake K, Nakashima H, Segi N, Ouchida J, Yamaguchi H and Imagama S: Understanding retroperitoneal anatomy for lateral approach spine surgery. Spine Surg Relat Res. 1:107–120. 2017.PubMed/NCBI View Article : Google Scholar

6 

Lee MJ, Mok J and Patel P: Transforaminal lumbar interbody fusion: Traditional open versus minimally invasive techniques. J Am Acad Orthop Surg. 26:124–131. 2018.PubMed/NCBI View Article : Google Scholar

7 

McAfee PC, Garfin SR, Rodgers WB, Allen RT, Phillips F and Kim C: An attempt at clinically defining and assessing minimally invasive surgery compared with traditional ‘open’ spinal surgery. SAS J. 5:125–130. 2011.PubMed/NCBI View Article : Google Scholar

8 

Lin GX, Huang P, Kotheeranurak V, Park CW, Heo DH, Park CK, Park JY and Kim JS: A systematic review of unilateral biportal endoscopic spinal surgery: Preliminary clinical results and complications. World Neurosurg. 125:425–432. 2019.PubMed/NCBI View Article : Google Scholar

9 

Pao JL, Lin SM, Chen WC and Chang CH: Unilateral biportal endoscopic decompression for degenerative lumbar canal stenosis. J Spine Surg. 6:438–446. 2020.PubMed/NCBI View Article : Google Scholar

10 

Choi CM: Biportal endoscopic spine surgery (BESS): Considering merits and pitfalls. J Spine Surg. 6:457–465. 2020.PubMed/NCBI View Article : Google Scholar

11 

Pao JL: A review of unilateral biportal endoscopic decompression for degenerative lumbar canal stenosis. Int J Spine Sur. 15 (Suppl 3):S65–S71. 2021.PubMed/NCBI View Article : Google Scholar

12 

Selçuk AA: A guide for systematic reviews: PRISMA. Turk Arch Otorhinolaryngol. 57:57–58. 2019.PubMed/NCBI View Article : Google Scholar

13 

Lo CKL, Mertz D and Loeb M: Newcastle-ottawa scale: Comparing reviewers' to authors' assessments. BMC Med Res Methodol. 14(45)2014.PubMed/NCBI View Article : Google Scholar

14 

Cumpston M, Li T, Page MJ, Chandler J, Welch VA, Higgins JP and Thomas J: Updated guidance for trusted systematic reviews: A new edition of the cochrane handbook for systematic reviews of interventions. Cochrane Database Syst Rev. 10(ED000142)2019.PubMed/NCBI View Article : Google Scholar

15 

Guo W, Zhang X, Bao X, Yan K, Qiao H, Zhao H, Dong X and Liao B: Comparison of unilateral double-channel endoscopic technique and microscopic nucleus pulposus excision in the treatment of lumbar spinal stenosis. J Xi'an Jiaotong Univ (Medical Edition). 43:430–435. 2022.(In Chinese).

16 

Wang B, He P, Liu X, Wu Z and Fang X: Clinical analysis of unilateral double-channel endoscopy and discoscopy in the treatment of lumbar spinal stenosis. Southeast National Defense Med. 24:142–146. 2022.(In Chinese).

17 

Yu W, Zhou L, Liu D, Gu LW, Xue X and Cao H: A preliminary study of unilateral double-channel endoscopy in the treatment of lumbar spinal stenosis. Chin J Minimally Invasive Surg. 21:56–60. 2021.(In Chinese).

18 

Aygun H and Abdulshafi K: Unilateral biportal endoscopy versus tubular microendoscopy in management of single level degenerative lumbar canal stenosis: A prospective study. Clin Spine Sur. 34:E323–E328. 2021.PubMed/NCBI View Article : Google Scholar

19 

Ito Z, Shibayama M, Nakamura S, Yamada M, Kawai M, Takeuchi M, Yoshimatsu H, Kuraishi K, Hoshi N, Miura Y and Ito F: Clinical comparison of unilateral biportal endoscopic laminectomy versus microendoscopic laminectomy for single-level laminectomy: A single-center, retrospective analysis. World Neurosurg. 148:e581–e588. 2021.PubMed/NCBI View Article : Google Scholar

20 

Kim HS, Choi SH, Shim DM, Lee IS, Oh YK and Woo YH: Advantages of new endoscopic unilateral laminectomy for bilateral decompression (ULBD) over conventional microscopic ULBD. Clin Orthop Surg. 12(330)2020.PubMed/NCBI View Article : Google Scholar

21 

Min WK, Kim JE, Choi DJ, Park EJ and Heo J: Clinical and radiological outcomes between biportal endoscopic decompression and microscopic decompression in lumbar spinal stenosis. J Orthop Sci. 25:371–378. 2020.PubMed/NCBI View Article : Google Scholar

22 

Park SM, Park J, Jang HS, Heo YW, Han H, Kim HJ, Chang BS, Lee CK and Yeom JS: Biportal endoscopic versus microscopic lumbar decompressive laminectomy in patients with spinal stenosis: A randomized controlled trial. Spine J. 20:156–165. 2020.PubMed/NCBI View Article : Google Scholar

23 

Choi DJ and Kim JE: Efficacy of biportal endoscopic spine surgery for lumbar spinal stenosis. Clin Orthop Surg. 11:82–88. 2019.PubMed/NCBI View Article : Google Scholar

24 

Heo DH, Lee DC and Park CK: Comparative analysis of three types of minimally invasive decompressive surgery for lumbar central stenosis: Biportal endoscopy, uniportal endoscopy, and microsurgery. Neurosurg Focus. 46(E9)2019.PubMed/NCBI View Article : Google Scholar

25 

Kang T, Park SY, Kang CH, Lee SH, Park JH and Suh SW: Is biportal technique/endoscopic spinal surgery satisfactory for lumbar spinal stenosis patients?: A prospective randomized comparative study. Medicine (Baltimore). 98(e15451)2019.PubMed/NCBI View Article : Google Scholar

26 

Heo DH, Quillo-Olvera J and Park CK: Can percutaneous biportal endoscopic surgery achieve enough canal decompression for degenerative lumbar stenosis? Prospective case-control study. World Neurosurg. 120:e684–e689. 2018.PubMed/NCBI View Article : Google Scholar

27 

Alimi M, Hofstetter CP, Pyo SY, Paulo D and Härtl R: Minimally invasive laminectomy for lumbar spinal stenosis in patients with and without preoperative spondylolisthesis: Clinical outcome and reoperation rates. J Neurosurg Spine. 22:339–352. 2015.PubMed/NCBI View Article : Google Scholar

28 

Storzer B and Schnake KJ: Microscopic bilateral decompression by unilateral approach in spinal stenosis. Eur Spine J. 25 (Suppl 2):S270–S271. 2016.PubMed/NCBI View Article : Google Scholar

29 

Heo DH, Son SK, Eum JH and Park CK: Fully endoscopic lumbar interbody fusion using a percutaneous unilateral biportal endoscopic technique: Technical note and preliminary clinical results. Neurosurg Focus. 43(E8)2017.PubMed/NCBI View Article : Google Scholar

30 

Kim JE and Choi DJ: Unilateral biportal endoscopic spinal surgery using a 30˚ arthroscope for L5-S1 foraminal decompression. Clin Orthop Surg. 10:508–512. 2018.PubMed/NCBI View Article : Google Scholar

31 

Kim JE and Choi DJ: Clinical and radiological outcomes of unilateral biportal endoscopic decompression by 30˚ arthroscopy in lumbar spinal stenosis: Minimum 2-year follow-up. Clin Orthop Surg. 10:328–336. 2018.PubMed/NCBI View Article : Google Scholar

32 

Kim SK, Kang SS, Hong YH, Park SW and Lee SC: Clinical comparison of unilateral biportal endoscopic technique versus open microdiscectomy for single-level lumbar discectomy: A multicenter, retrospective analysis. J Orthop Surg Res. 13(22)2018.PubMed/NCBI View Article : Google Scholar

33 

Heo DH, Ha JS, Lee DC, Kim HS and Chung HJ: Repair of incidental durotomy using sutureless nonpenetrating clips via biportal endoscopic surgery. Global Spine J. 12:452–457. 2022.PubMed/NCBI View Article : Google Scholar

34 

Kang MS, Chung HJ, Jung HJ and Park HJ: How I do it? Extraforaminal lumbar interbody fusion assisted with biportal endoscopic technique. Acta Neurochir. 163:295–299. 2021.PubMed/NCBI View Article : Google Scholar

35 

Kim JE, Choi DJ, Kim MC and Park EJ: Risk factors of postoperative spinal epidural hematoma after biportal endoscopic spinal surgery. World Neurosurg. 129:e324–e329. 2019.PubMed/NCBI View Article : Google Scholar

36 

Wang MC, Yu KY, Zhang JG and Wang YP: Progression and clinical application in unilateral biportal endoscopic. Zhonghua Wai Ke Za Zhi. 58:892–896. 2020.PubMed/NCBI View Article : Google Scholar : (In Chinese).

Related Articles

  • Abstract
  • View
  • Download
  • Twitter
Copy and paste a formatted citation
Spandidos Publications style
Wang Y, Qin S, Yang S, Xu Y and Han P: Efficacy and safety of unilateral biportal endoscopy compared with microscopic decompression in the treatment of lumbar spinal stenosis: A systematic review and updated meta‑analysis. Exp Ther Med 26: 309, 2023.
APA
Wang, Y., Qin, S., Yang, S., Xu, Y., & Han, P. (2023). Efficacy and safety of unilateral biportal endoscopy compared with microscopic decompression in the treatment of lumbar spinal stenosis: A systematic review and updated meta‑analysis. Experimental and Therapeutic Medicine, 26, 309. https://doi.org/10.3892/etm.2023.12008
MLA
Wang, Y., Qin, S., Yang, S., Xu, Y., Han, P."Efficacy and safety of unilateral biportal endoscopy compared with microscopic decompression in the treatment of lumbar spinal stenosis: A systematic review and updated meta‑analysis". Experimental and Therapeutic Medicine 26.1 (2023): 309.
Chicago
Wang, Y., Qin, S., Yang, S., Xu, Y., Han, P."Efficacy and safety of unilateral biportal endoscopy compared with microscopic decompression in the treatment of lumbar spinal stenosis: A systematic review and updated meta‑analysis". Experimental and Therapeutic Medicine 26, no. 1 (2023): 309. https://doi.org/10.3892/etm.2023.12008
Copy and paste a formatted citation
x
Spandidos Publications style
Wang Y, Qin S, Yang S, Xu Y and Han P: Efficacy and safety of unilateral biportal endoscopy compared with microscopic decompression in the treatment of lumbar spinal stenosis: A systematic review and updated meta‑analysis. Exp Ther Med 26: 309, 2023.
APA
Wang, Y., Qin, S., Yang, S., Xu, Y., & Han, P. (2023). Efficacy and safety of unilateral biportal endoscopy compared with microscopic decompression in the treatment of lumbar spinal stenosis: A systematic review and updated meta‑analysis. Experimental and Therapeutic Medicine, 26, 309. https://doi.org/10.3892/etm.2023.12008
MLA
Wang, Y., Qin, S., Yang, S., Xu, Y., Han, P."Efficacy and safety of unilateral biportal endoscopy compared with microscopic decompression in the treatment of lumbar spinal stenosis: A systematic review and updated meta‑analysis". Experimental and Therapeutic Medicine 26.1 (2023): 309.
Chicago
Wang, Y., Qin, S., Yang, S., Xu, Y., Han, P."Efficacy and safety of unilateral biportal endoscopy compared with microscopic decompression in the treatment of lumbar spinal stenosis: A systematic review and updated meta‑analysis". Experimental and Therapeutic Medicine 26, no. 1 (2023): 309. https://doi.org/10.3892/etm.2023.12008
Follow us
  • Twitter
  • LinkedIn
  • Facebook
About
  • Spandidos Publications
  • Careers
  • Cookie Policy
  • Privacy Policy
How can we help?
  • Help
  • Live Chat
  • Contact
  • Email to our Support Team