Spandidos Publications Logo
  • About
    • About Spandidos
    • Aims and Scopes
    • Abstracting and Indexing
    • Editorial Policies
    • Reprints and Permissions
    • Job Opportunities
    • Terms and Conditions
    • Contact
  • Journals
    • All Journals
    • Oncology Letters
      • Oncology Letters
      • Information for Authors
      • Editorial Policies
      • Editorial Board
      • Aims and Scope
      • Abstracting and Indexing
      • Bibliographic Information
      • Archive
    • International Journal of Oncology
      • International Journal of Oncology
      • Information for Authors
      • Editorial Policies
      • Editorial Board
      • Aims and Scope
      • Abstracting and Indexing
      • Bibliographic Information
      • Archive
    • Molecular and Clinical Oncology
      • Molecular and Clinical Oncology
      • Information for Authors
      • Editorial Policies
      • Editorial Board
      • Aims and Scope
      • Abstracting and Indexing
      • Bibliographic Information
      • Archive
    • Experimental and Therapeutic Medicine
      • Experimental and Therapeutic Medicine
      • Information for Authors
      • Editorial Policies
      • Editorial Board
      • Aims and Scope
      • Abstracting and Indexing
      • Bibliographic Information
      • Archive
    • International Journal of Molecular Medicine
      • International Journal of Molecular Medicine
      • Information for Authors
      • Editorial Policies
      • Editorial Board
      • Aims and Scope
      • Abstracting and Indexing
      • Bibliographic Information
      • Archive
    • Biomedical Reports
      • Biomedical Reports
      • Information for Authors
      • Editorial Policies
      • Editorial Board
      • Aims and Scope
      • Abstracting and Indexing
      • Bibliographic Information
      • Archive
    • Oncology Reports
      • Oncology Reports
      • Information for Authors
      • Editorial Policies
      • Editorial Board
      • Aims and Scope
      • Abstracting and Indexing
      • Bibliographic Information
      • Archive
    • Molecular Medicine Reports
      • Molecular Medicine Reports
      • Information for Authors
      • Editorial Policies
      • Editorial Board
      • Aims and Scope
      • Abstracting and Indexing
      • Bibliographic Information
      • Archive
    • World Academy of Sciences Journal
      • World Academy of Sciences Journal
      • Information for Authors
      • Editorial Policies
      • Editorial Board
      • Aims and Scope
      • Abstracting and Indexing
      • Bibliographic Information
      • Archive
    • International Journal of Functional Nutrition
      • International Journal of Functional Nutrition
      • Information for Authors
      • Editorial Policies
      • Editorial Board
      • Aims and Scope
      • Abstracting and Indexing
      • Bibliographic Information
      • Archive
    • International Journal of Epigenetics
      • International Journal of Epigenetics
      • Information for Authors
      • Editorial Policies
      • Editorial Board
      • Aims and Scope
      • Abstracting and Indexing
      • Bibliographic Information
      • Archive
    • Medicine International
      • Medicine International
      • Information for Authors
      • Editorial Policies
      • Editorial Board
      • Aims and Scope
      • Abstracting and Indexing
      • Bibliographic Information
      • Archive
  • Articles
  • Information
    • Information for Authors
    • Information for Reviewers
    • Information for Librarians
    • Information for Advertisers
    • Conferences
  • Language Editing
Spandidos Publications Logo
  • About
    • About Spandidos
    • Aims and Scopes
    • Abstracting and Indexing
    • Editorial Policies
    • Reprints and Permissions
    • Job Opportunities
    • Terms and Conditions
    • Contact
  • Journals
    • All Journals
    • Biomedical Reports
      • Information for Authors
      • Editorial Policies
      • Editorial Board
      • Aims and Scope
      • Abstracting and Indexing
      • Bibliographic Information
      • Archive
    • Experimental and Therapeutic Medicine
      • Information for Authors
      • Editorial Policies
      • Editorial Board
      • Aims and Scope
      • Abstracting and Indexing
      • Bibliographic Information
      • Archive
    • International Journal of Epigenetics
      • Information for Authors
      • Editorial Policies
      • Editorial Board
      • Aims and Scope
      • Abstracting and Indexing
      • Bibliographic Information
      • Archive
    • International Journal of Functional Nutrition
      • Information for Authors
      • Editorial Policies
      • Editorial Board
      • Aims and Scope
      • Abstracting and Indexing
      • Bibliographic Information
      • Archive
    • International Journal of Molecular Medicine
      • Information for Authors
      • Editorial Policies
      • Editorial Board
      • Aims and Scope
      • Abstracting and Indexing
      • Bibliographic Information
      • Archive
    • International Journal of Oncology
      • Information for Authors
      • Editorial Policies
      • Editorial Board
      • Aims and Scope
      • Abstracting and Indexing
      • Bibliographic Information
      • Archive
    • Medicine International
      • Information for Authors
      • Editorial Policies
      • Editorial Board
      • Aims and Scope
      • Abstracting and Indexing
      • Bibliographic Information
      • Archive
    • Molecular and Clinical Oncology
      • Information for Authors
      • Editorial Policies
      • Editorial Board
      • Aims and Scope
      • Abstracting and Indexing
      • Bibliographic Information
      • Archive
    • Molecular Medicine Reports
      • Information for Authors
      • Editorial Policies
      • Editorial Board
      • Aims and Scope
      • Abstracting and Indexing
      • Bibliographic Information
      • Archive
    • Oncology Letters
      • Information for Authors
      • Editorial Policies
      • Editorial Board
      • Aims and Scope
      • Abstracting and Indexing
      • Bibliographic Information
      • Archive
    • Oncology Reports
      • Information for Authors
      • Editorial Policies
      • Editorial Board
      • Aims and Scope
      • Abstracting and Indexing
      • Bibliographic Information
      • Archive
    • World Academy of Sciences Journal
      • Information for Authors
      • Editorial Policies
      • Editorial Board
      • Aims and Scope
      • Abstracting and Indexing
      • Bibliographic Information
      • Archive
  • Articles
  • Information
    • For Authors
    • For Reviewers
    • For Librarians
    • For Advertisers
    • Conferences
  • Language Editing
Login Register Submit
  • This site uses cookies
  • You can change your cookie settings at any time by following the instructions in our Cookie Policy. To find out more, you may read our Privacy Policy.

    I agree
Search articles by DOI, keyword, author or affiliation
Search
Advanced Search
presentation
Experimental and Therapeutic Medicine
Join Editorial Board Propose a Special Issue
Print ISSN: 1792-0981 Online ISSN: 1792-1015
Journal Cover
July-2023 Volume 26 Issue 1

Full Size Image

Sign up for eToc alerts
Recommend to Library

Journals

International Journal of Molecular Medicine

International Journal of Molecular Medicine

International Journal of Molecular Medicine is an international journal devoted to molecular mechanisms of human disease.

International Journal of Oncology

International Journal of Oncology

International Journal of Oncology is an international journal devoted to oncology research and cancer treatment.

Molecular Medicine Reports

Molecular Medicine Reports

Covers molecular medicine topics such as pharmacology, pathology, genetics, neuroscience, infectious diseases, molecular cardiology, and molecular surgery.

Oncology Reports

Oncology Reports

Oncology Reports is an international journal devoted to fundamental and applied research in Oncology.

Experimental and Therapeutic Medicine

Experimental and Therapeutic Medicine

Experimental and Therapeutic Medicine is an international journal devoted to laboratory and clinical medicine.

Oncology Letters

Oncology Letters

Oncology Letters is an international journal devoted to Experimental and Clinical Oncology.

Biomedical Reports

Biomedical Reports

Explores a wide range of biological and medical fields, including pharmacology, genetics, microbiology, neuroscience, and molecular cardiology.

Molecular and Clinical Oncology

Molecular and Clinical Oncology

International journal addressing all aspects of oncology research, from tumorigenesis and oncogenes to chemotherapy and metastasis.

World Academy of Sciences Journal

World Academy of Sciences Journal

Multidisciplinary open-access journal spanning biochemistry, genetics, neuroscience, environmental health, and synthetic biology.

International Journal of Functional Nutrition

International Journal of Functional Nutrition

Open-access journal combining biochemistry, pharmacology, immunology, and genetics to advance health through functional nutrition.

International Journal of Epigenetics

International Journal of Epigenetics

Publishes open-access research on using epigenetics to advance understanding and treatment of human disease.

Medicine International

Medicine International

An International Open Access Journal Devoted to General Medicine.

Journal Cover
July-2023 Volume 26 Issue 1

Full Size Image

Sign up for eToc alerts
Recommend to Library

  • Article
  • Citations
    • Cite This Article
    • Download Citation
    • Create Citation Alert
    • Remove Citation Alert
    • Cited By
  • Similar Articles
    • Related Articles (in Spandidos Publications)
    • Similar Articles (Google Scholar)
    • Similar Articles (PubMed)
  • Download PDF
  • Download XML
  • View XML

  • Supplementary Files
    • Supplementary_Data.pdf
Article Open Access

Urinary microRNAs in sepsis function as a novel prognostic marker

  • Authors:
    • Rui Han
    • Wanqiu Li
    • Hui Tian
    • Yun Zhao
    • Hui Zhang
    • Wei Pan
    • Xianyi Wang
    • Linfeng Xu
    • Zhongliang Ma
    • Zhijun Bao
  • View Affiliations / Copyright

    Affiliations: Department of Emergency, Huadong Hospital, Fudan University, Shanghai 200040, P.R. China, Laboratory for Noncoding RNA & Cancer, School of Life Sciences, Shanghai University, Shanghai 200444, P.R. China, Department of Gerontology, Zhongshan Hospital, Fudan University, Shanghai 200032, P.R. China, Laboratory for Noncoding RNA & Cancer, School of Life Sciences, Shanghai University, Shanghai 200444, P.R. China, Department of Gerontology, Huadong Hospital, Fudan University, Shanghai 200040, P.R. China
    Copyright: © Han et al. This is an open access article distributed under the terms of Creative Commons Attribution License.
  • Article Number: 346
    |
    Published online on: May 26, 2023
       https://doi.org/10.3892/etm.2023.12045
  • Expand metrics +
Metrics: Total Views: 0 (Spandidos Publications: | PMC Statistics: )
Metrics: Total PDF Downloads: 0 (Spandidos Publications: | PMC Statistics: )
Cited By (CrossRef): 0 citations Loading Articles...

This article is mentioned in:



Abstract

Renal dysfunction is a common complication of sepsis. Early diagnosis and prompt treatment of sepsis with renal insufficiency are crucial for improving patient outcomes. Diagnostic markers can help identify patients at risk for sepsis and AKI, allowing for early intervention and potentially preventing the development of severe complications. The aim of the present study was to investigate the expression difference of urinary microRNAs (miRNAs/miRs) in elderly patients with sepsis and secondary renal insufficiency, and to evaluate their diagnostic value in these patients. In the present study, RNA was extracted from urine samples of elderly sepsis‑related acute renal damage patients and the expression profiles of several miRNAs were analyzed. In order to evaluate the expression profile of several miRNAs, urine samples from elderly patients with acute renal damage brought on by sepsis were obtained. RNA extraction and sequencing were then performed on the samples. Furthermore, multiple bioinformatics methods were used to analyze miRNA profiles, including differential expression analysis, and Gene Ontology and Kyoto Encyclopedia of Genes and Genomes enrichment analysis of different miRNA target genes, to further explore miRNAs that are suitable for utilization as biomarkers. A total of four miRNAs, including hsa‑miR‑31‑5p, hsa‑miR‑151a‑3p, hsa‑miR‑142‑5p and hsa‑miR‑16‑5p, were identified as potential biological markers and were further confirmed in sepsis using reverse transcription‑quantitative PCR. The results of the present study demonstrated that the four urinary miRNAs were differentially expressed and may serve as specific markers for prediction of secondary acute kidney injury in elderly patients with sepsis.

Introduction

Sepsis can cause poor tissue hypoperfusion and a series of life-threatening organ dysfunctions, which are common causes of death in hospitalized patients. Sepsis remains a significant concern globally, with an estimated 48.9 million cases and 11 million deaths occurring worldwide in 2017(1). Septic shock refers to sepsis with persisting low blood pressure requiring vasopressors to maintain the mean arterial pressure (2). It has been clinically confirmed that sepsis is caused by bacteria or foci of infection (3-5). Sepsis is the pathological process through which the body responds to infectious factors (6).

Septic shock belongs to a subset of sepsis in which underlying circulatory, cellular, and metabolic abnormalities are associated with a greater risk of death than sepsis alone (7,8). The underlying pathogenesis of sepsis is still not clear, and it involves complex systemic inflammatory network effects, gene polymorphisms, immune dysfunction, abnormal blood coagulation, tissue damage and abnormal host responses to different infectious pathogenic microorganisms and their toxins (9-11). Sepsis is closely related to the pathophysiological changes of multiple systems and organs in the body, and the pathogenesis of sepsis still needs to be further clarified (12-14). Sepsis is a systemic inflammatory response syndrome caused by infection and is a dangerous condition. Elderly individuals are prone to shock and multiple organ failure, especially acute kidney injury (AKI), due to their weakened immunity (15). Early evaluation and timely treatment of sepsis are particularly important; however, since the clinical manifestations of sepsis are more diverse and nonspecific compared with fever and tachycardia, especially in elderly patients with sepsis, the common signs of sepsis in the elderly are changes in mental status (delirium, lethargy or coma), gastrointestinal dysfunction and shortness of breath (16,17). Fever and tachycardia are relatively easy to be detected by doctors. Sepsis in the elderly is likely to be absent from fever and tachycardia, so sepsis symptoms in the elderly are atypical and more difficult to detect early. There are several biological indicators related to sepsis, such as C-reactive protein, procalcitonin, soluble triggering receptor expressed on myeloid cells 1 (TREM-1) and various inflammatory factors, including IL-6, IL-8, TNF-α and caspase-11; however, their specificity and sensitivity are not ideal (18,19). Therefore, novel biomarkers that can be used to diagnose sepsis and assess prognosis, as well as potential therapeutic targets, are required (20-22).

AKI is a clinical syndrome characterized by a rapid decline in renal function. Sepsis is one of the common causes of AKI in hospitalized and intensive care unit (ICU) patients (23). Sepsis-associated AKI increases the risk of developing chronic comorbidities and is associated with high mortality (24,25). A prospective observational study of 1,753 patients at 54 hospitals in 23 countries found that septic AKI had a higher in-hospital case-fatality rate compared with non-septic AKI (70.2 vs. 51.8%; P<0.001). After adjustment for covariates, septic AKI remained associated with higher risk of mortality (1.48; 95% Confidence Interval (CI) 1.17 to1.89; P=0.001) (26). Therefore, it is of great significance to find novel biomarkers for the early, reliable and noninvasive diagnosis of sepsis-associated AKI.

MicroRNAs (miRNAs/miRs) are a class of noncoding single-stranded RNA molecules with a length of ~22 nucleotides encoded by endogenous genes (27-30). They are involved in post-transcriptional gene expression regulation in animals and plants. miRNAs are involved in a series of important life processes, including early development (31), cell proliferation, apoptosis, cell death (32), fat metabolism (33) and cell differentiation (34). In 2008, it was reported for the first time that circulating miRNAs have the potential to become a novel marker of solid tumors (35). Subsequently, the noninvasive acquisition of circulating miRNAs through plasma or serum attracted the attention of researchers. Studies have reported that miRNAs can exist in a variety of body fluids, such as blood, urine, saliva, sweat, tears, cerebrospinal fluid, semen and milk (36-40). During organ damage, miRNAs are usually released into biological fluids and are stably expressed (41). Therefore, miRNAs in blood or urine can be used as noninvasive biomarkers to detect renal disease and toxicity, and the detection method is simple, economical and efficient (42). Thus, miRNA provides a novel platform and ideas for the diagnosis and treatment of diseases and may become a useful tool in the field of precision medicine. Studies have demonstrated that a variety of miRNAs are involved in the inflammatory process of sepsis, and they serve an important role by targeting the toll-like receptor/NF-κB signaling pathway (43,44). Circulating miR-150 was the first miRNA reported as a biomarker for sepsis (45). miR-146a, miR-143 (46,47), miR-25(48), miR-15a/16 (49,50), miR-1333a, miR-297 and miR-574-5p have been indicated to be useful as markers for the diagnosis of sepsis (51-54). Currently, sepsis is a significant cause of death in the ICU (55-57), and effective prevention and diagnostic techniques are still lacking.

However, there are few studies on the relationship between miRNAs and sepsis-associated AKI in elderly individuals. In the present study, the differential expression of miRNAs in the urine of elderly patients with sepsis was screened to explore the value of miRNAs in the noninvasive diagnosis of elderly patients with sepsis-associated AKI.

Materials and methods

Study population

Elderly patients (>65 years old) diagnosed with sepsis were enrolled as the research subjects. For enrollment, patients had to meet the international diagnostic criteria for sepsis. The diagnosis of AKI was based on the 2012 Kidney Disease Improving Global Outcomes diagnostic criteria (58). These criteria involve a sharp decline in renal function within 48 h, manifested by an increase in serum creatinine >0.3 mg/dl (26.5 µmol/l) or an increase >50% (According to KDIGO, AKI is defined as an increase in serum creatinine levels by at least 0.3 mg/dl within 48 h with 1.5-fold being the baseline), patient age >65 years, expected survival time >3 days, and pathogen culture or laboratory test results showing gram-negative bacteria. The diagnostic criteria for sepsis were based on the Third International Consensus on the Management of Sepsis and Septic Shock (Sepsis-3) in 2016, which entails a joint diagnosis by >2 attending physicians. The exclusion criteria were as follows: i) Patients with tumor, acute stroke, rheumatic immune system disease and mental illness; ii) patients with viral myocarditis; iii) patients with severe hepatitis and cirrhosis; iv) patients who received anti-infective treatment before enrollment; v) patients with end-stage renal diseases; vi) patients who died or were discharged within 48 h after admission; and vii) patients who do not have complete clinical records or do not cooperate with urine sample collection.

The control group included healthy elderly individuals [elderly people with no previous history of chronic disease, age (75.29±5.46), female (58.82%)] who underwent a physical examination during the same period. All subjects were recruited between August 2020 and December 2021. The current study was approved by the Ethics Committee of Huadong Hospital Affiliated to Fudan University (Shanghai, China). All patients or their family members (some older people lose the ability to write) signed informed consent forms before enrollment.

Collection of clinical samples

Urine samples were collected within 24 h after the onset of sepsis in elderly patients admitted to Huadong Hospital Affiliated to Fudan University (Shanghai, China). Urine samples were collected in the morning of the physical examination day in healthy subjects. All urine samples were centrifuged at 845 x g for 10 min at 4˚C, and the supernatant was aliquoted into 1.8-ml Eppendorf tubes and frozen within 4 h of collection at -80˚C.

miRNA-sequencing

Total RNA was extracted using the mirVana™ miRNA Isolation kit (cat. no. AM1561; Thermo Fisher Scientific, Inc.) and the samples were extracted for total RNA according to the standard procedure provided by the manufacturer, and the extracted total RNA was electrophoresed by an Agilent 2100 Bioanalyzer (Agilent Technologies, Inc.) for quality control. The samples were then prepared for use by Agilent 2100 Bioanalyzer (Agilent Technologies, Inc.). The purified total RNA was subjected to 3' end-joining, 5' end-joining, reverse transcription, amplification, cDNA library size selection and purification according to the experimental instructions to complete the library construction of the sequenced samples. Total RNA was separated using 17% denaturing polyacrylamide gels and small RNAs between 10 and 60 nucleotides (nt) were collected. Then, 5'- and 3'-RNA adaptors were ligated to the small RNAs, followed by reverse transcription to produce cDNAs. These cDNAs were subsequently amplified by PCR and subjected to Solexa/Illumina sequencing by Shanghai Biotechnology Corporation. The libraries were created using the Qubit 2.0 Fluorometer (; Thermo Fisher Scientific, Inc.) for concentration and the Agilent 2100 for library size. Cluster generation and first-way sequencing primer hybridization were performed on the Illumina HiSeq sequencer's cBot (Illumina, Inc.) according to the appropriate procedure shown in the cBot User Guide. Sequencing reagents are prepared according to the Illumina User Guide and flow cells with clusters are loaded onto the machine. Single-ended sequencing was performed using the single-read program. The sequencing process was controlled by Illumina's data collection software (Illumina, Inc.) and real-time data analysis was performed. FastX software (https://anaconda.org/biobuilds/fastx-toolkit,fastx-toolkit 0.0.14) was used to preprocess the original reads for sequencing, remove linker sequences and low-quality sequences (including ambiguous base N sequences with a base quality <10 nt and length <18 nt), and provide (statistical analysis based on the processed results table and length distribution diagram. The sequences obtained through the Sanger miRBase database (https://www.mirbase.org; such as those of known ribosomal RNA, transfer RNA and repeat regions), RefSeq database (https://www.ncbi.nlm.nih.gov/refseq/) and other noncoding RNA databases, including the non-coding RNA, PIWI-interacting RNA (https://www.smallrnagroup.uni-mainz.de/piRNAclusterDB) and Rfam databases (https://rfam.xfam.org/), were compared, and the known miRNAs were annotated. The sequence obtained by sequencing was compared with the genome database corresponding to the species, the annotated reads were classified and counted, and the known miRNAs and various other types of small RNA molecules were identified and counted. The DEGseq R language package combined with Perl script was used to group samples according to the current requirements (such as the control and experimental groups) for comparative analysis of miRNA expression. In the differential analysis, the transcripts per million (TPM) formula (single miRNA reads x 106/total reads) was used to present the data.

RNA isolation and reverse transcription-quantitative PCR (RT-qPCR)

Total RNA was extracted using TransZol Up reagent (Beijing Transgen Biotech Co., Ltd.). Briefly, the process was as follows: A total of 1 ml TransZol UP reagent was added into 500 µl of urine sample, followed by mixing with 200 µl chloroform and centrifugation at 4˚C for 15 min at 10,000 x g. The aqueous phase containing the RNA was transferred to a new Eppendorf tube and the same volume (~500 µl) isopropyl alcohol was added. A total of 1 ml pre-cooled (4˚C) 75% ethanol was added, and centrifugation at 4˚C for 5 min at 7,500 x g. The RNA precipitate was air-dried, followed by dissolution in RNA solution buffer. cDNA synthesis was conducted with TransScript miRNA First-Strand cDNA Synthesis SuperMix (TransGen Biotech Co., Ltd.). The RT kit was used according to the manufacturer's protocol. The reactions were performed in a PCR instrument and the reaction program was set to 37˚C for 1 h and 85˚C for 5 sec. The Hieff qPCR SYBR Green Master Mix kit (Shanghai Yeasen Biotechnology Co., Ltd.) was used to perform RT-qPCR assays. The qPCR cycling conditions were 95˚C for 10 sec, 55˚C for 30 sec and 72˚C for 30 sec for 40 cycles. Relative quantification of hsa-miR-31-5p, hsa-miR-151a-3p, hsa-miR-142-5p and hsa-miR-16-5p was performed by normalization to U6 small nuclear (sn)RNA expression levels. The 2-ΔΔCq method was used to analyze miRNA levels (59). The primer sequences used are presented in Table SI.

Bioinformatics analysis

Bioinformatics analysis was performed to preprocess sequencing data and analyze the results. Bioinformatics analyses included miRNA expression quantitative analysis, expression correlation analysis, miRNA differential expression analysis, differential miRNA target gene prediction, and Gene Ontology (GO; http://www.geneontology.org) and Kyoto Encyclopedia of Genes and Genomes (KEGG; http://www.kegg.jp/kegg/pathway.html) enrichment analysis of different miRNA target genes. The results of the GO enrichment analysis were displayed in plots, where Rich Factor=(the number of miRNA target genes in a GO term/the number of all target genes that can correspond to the GO database)/(the number of genes contained in a GO term/the total number of genes that can correspond to the GO database). The greater the Rich Factor is, the greater the degree of enrichment, while the smaller the Q-value is, the more significant the enrichment (60).

Statistical analysis

All the experimental results in this study were verified by three biological repetitions to ensure the accuracy of the experimental results. Data analysis was performed using SPSS 23 software (IBM Corp.). Data are presented as the mean ± SEM. Each experiment, controlling a single variable and setting up two experimental groups (the AKI and non-AKI group) and a control group, had at least three biological repetitions. EdgeR (http://www.R-project.org/) was used to analyze the difference in miRNAs between samples. After obtaining the P-value, multiple hypothesis test correction was performed, and the P-value threshold was determined by controlling the false discovery rate, thereby providing the Q-value. Fold-change was calculated as the differential expression based on the TPM value. The screening conditions for differential genes were as follows: Q-value ≤0.05; fold-change ≥2. One-way ANOVA followed by Dunnett's multiple comparisons test was used to compare the groups. Receiver operating characteristic (ROC) curves were plotted to analyze the predictive value of miR-31-5p, miR-151a-3p, miR-142-5p and miR-16-5p for the prognosis and 28-day mortality of elderly patients with sepsis. The ROC curve analysis and the derived area under the curve (AUC) statistic provide a global and standardized appreciation of the accuracy of a marker or a composite score for predicting an event (61). ROC curves were generated by plotting sensitivity against 1-specificity. P<0.05 was considered to indicate a statistically significant difference.

Results

Patient demographic and baseline characteristics

Patients were diagnosed with sepsis, and the main infection sites were the lung, urinary system and gastrointestinal tract. According to the general clinical data, the 74 study subjects included 17 healthy elderly patients, 29 septic patients with AKI and 28 septic patients without AKI. The mean age was 81 years, with a range of 65-97 years. After 28 days of follow-up in the observation group, 18 patients of the 57 patients with sepsis succumbed, accounting for 31.58% (Table SII).

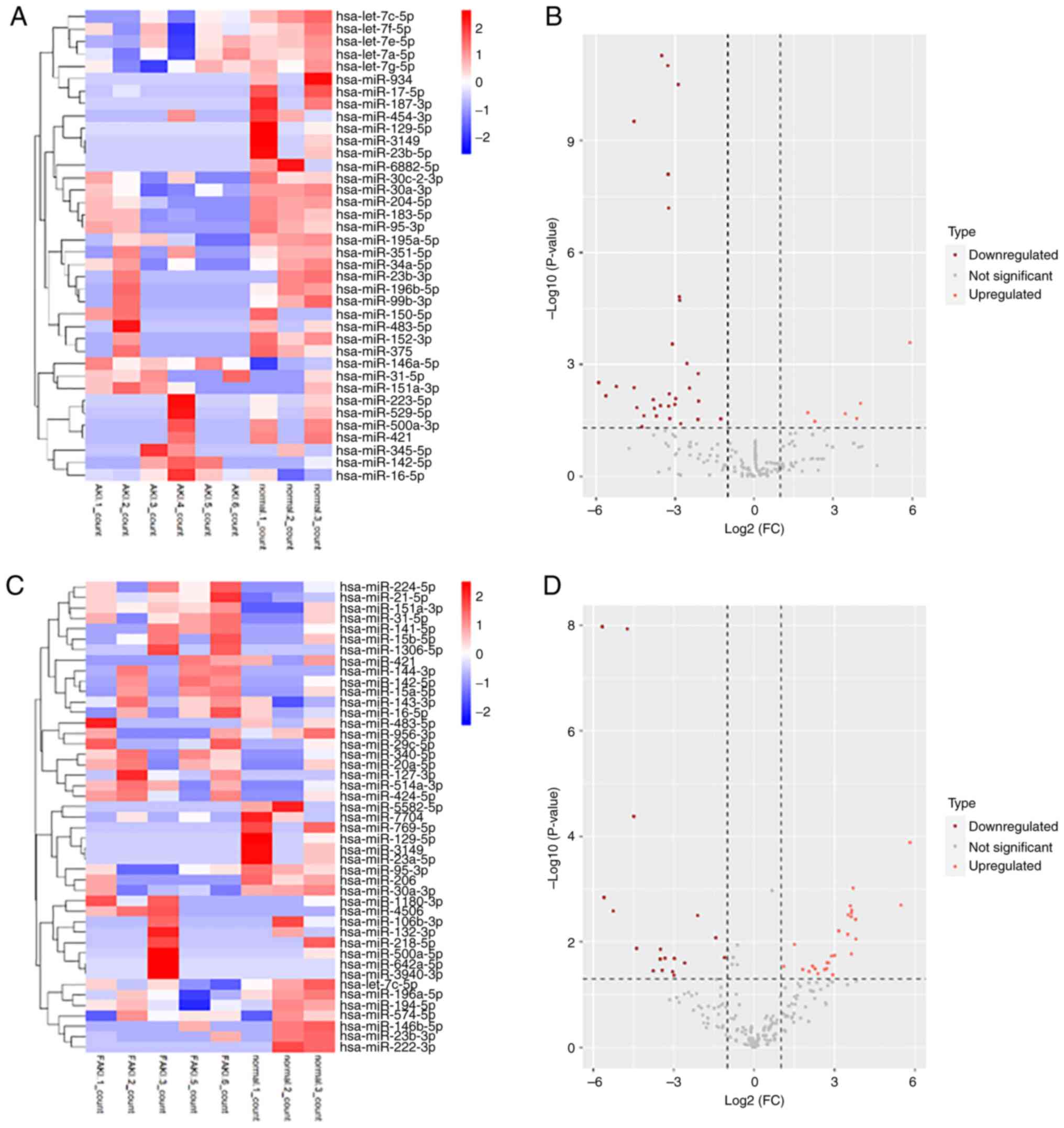
Differential expression of miRNAs in the sepsis AKI vs. sepsis non-AKI group

Details of the patients are provided in Table I. Heatmap and cluster analysis demonstrated that there were differentially expressed miRNAs between the sepsis AKI and non-AKI groups. The sepsis AKI and non-AKI groups were compared with the normal group. Among the differentially expressed miRNAs in the sepsis AKI group, six miRNAs were upregulated compared with the normal group (Fig. 1A). Among the differentially expressed miRNAs in the sepsis non-AKI group, 28 miRNAs were upregulated compared with the normal group (Fig. 1C). The volcano plots show the differentially expressed miRNAs under the two different conditions (AKI vs. non-AKI groups) (Fig. 1B and D).

Figure 1

Heat map and volcano plot of differentially expressed miRNAs. Differentially expressed miRNAs in (A) the sepsis AKI group and (B) the sepsis non-AKI group. Rows represent miRNAs, and columns represent specimens. Red represents a relative increase in expression, and blue represents a relative decrease in expression. Volcano plots of (C) the AKI group and (D) the non-AKI group. AKI, acute kidney injury; miRNA/miR, microRNA; FC, fold change; FAKI,non-acute kidney injury.

Table I

Clinical data of the control, sepsis AKI and sepsis non-AKI groups.

Table I

Clinical data of the control, sepsis AKI and sepsis non-AKI groups.

 Control (n=3)Non-AKI (n=5)AKI (n=6)
Characteristic12312345123456
SexFemaleMaleFemaleFemaleMaleMaleFemaleMaleFemaleMaleFemaleMaleMaleFemale
Age8281768077858689978777678883
Lungnononoyesnonoyesnoyesyesyesnonoyes
Urinenononoyesyesyesnoyesnonoyesyesnoyes

[i] AKI, acute kidney injury; CKD, chronic kidney disease.

GO function and KEGG signaling pathway analysis of differentially expressed miRNA target genes

Firstly, the number of target genes corresponding to the three GO elements, biological process, cellular component and molecular function, was counted. Only the top 30 GO entries are shown in Fig. 2A. Using the same principle as for GO enrichment analysis, KEGG pathway enrichment analysis was also performed for target genes of differentially expressed miRNAs, and the results are shown in Fig. 2B.

Figure 2

Plots of GO and KEGG enrichment analysis. (A) GO enrichment analysis and (B) KEGG pathway enrichment analysis of differentially expressed microRNA target genes. GO, Gene Ontology; KEGG, Kyoto Encyclopedia of Genes and Genomes.

miRNAs with differentially upregulated expression in patients with sepsis in the AKI and non-AKI groups

There were six upregulated miRNAs in the AKI group (Table II) and 27 in the non-AKI group (Table SIII) compared with the control. Analysis of the data revealed that several miRNAs in the sepsis AKI and non-AKI groups were differentially expressed and upregulated compared with the control. A high expression trend was found in the sepsis AKI and non-AKI groups.

Table II

Upregulated miRNAs in the sepsis acute kidney injury group compared with the control group (partial results).

Table II

Upregulated miRNAs in the sepsis acute kidney injury group compared with the control group (partial results).

NameLogFCAverage expressiont-valueP-valueAdjusted P-valueB
hsa-miR-345-5p5.917485.524606166.2616570.0002627450.007849-0.70176
hsa-miR-31-5p4.0299567.209736733.3004820.0111464690.139838-2.57026
hsa-miR-151a-3p3.4583287.022486422.874840.0210926840.200744-3.19779
hsa-miR-142-5p3.8984937.014790612.6822090.0283118240.235373-3.45029
hsa-miR-146a-5p2.30865510.85015142.5620920.0340594760.261123-3.47134
hsa-miR-16-5p2.0411116.29230152.9140690.0198729370.19589-3.71548

[i] miRNA/miR, microRNA; FC, fold change.

Differentially expressed miRNAs verified by RT-qPCR

To verify the expression levels of these four miRNAs in sepsis, 17 samples from healthy controls, 29 samples from patients with sepsis and AKI and 28 samples from patients with sepsis without AKI were collected. Details of the patients are provided in Table SII. Compared with those in the control group, the expression levels of miR-31-5p, miR-151a-3p, miR-142-5p and miR-16-5p were significantly increased in the sepsis AKI and sepsis non-AKI groups (Fig. 3A-D).

Figure 3

Validation of miRNA expression levels by reverse transcription-quantitative PCR. Expression levels of (A) miR-31-5p, (B) miR-151a-3p, (C) miR-142-5p and (D) miR-16-5p in the control, sepsis-AKI and sepsis non-AKI groups. The one-way ANOVA was used to compare the two groups with ****P<0.0001. AKI, acute kidney injury; miRNA/miR, microRNA.

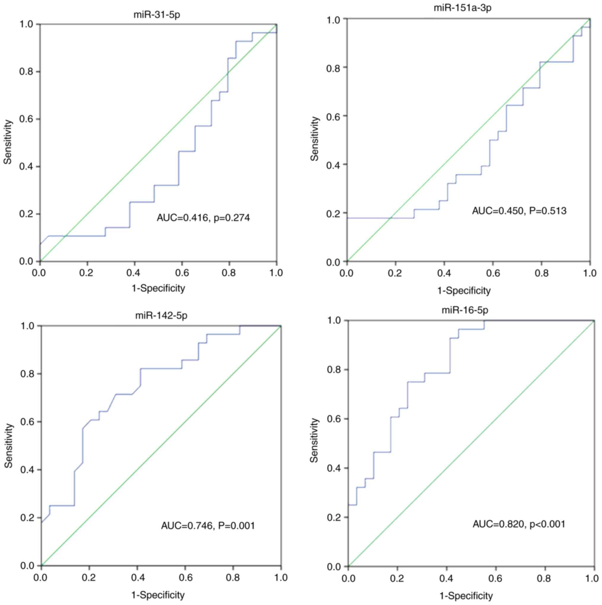
Clinical predictive value of miRNAs for AKI occurrence in elderly patients with sepsis

ROC curve analysis of miR-31-5p, miR-151a-3p, miR-142-5p and miR-16-5p was performed to assess their predictive value in the diagnosis of AKI in elderly patients with sepsis. Fig. 4 shows that the AUC for miR-142-5p and miR-16-5p expression was 0.746 and 0.820, respectively, indicating a good predictive value of miR-142-5p and miR-16-5p for patients with sepsis-induced AKI. The AUC for miR-31-5p and miR-151-3p expression was 0.416 (P=0.274) and 0.450 (P=0.513) respectively, with no statistical significance.

Figure 4

Receiver operating characteristic curve analysis of miR-31-5p, miR-151a-3p, miR-142-5p and miR-16-5p for the prognosis of patients with sepsis. AUC, area under the curve; miR, microRNA.

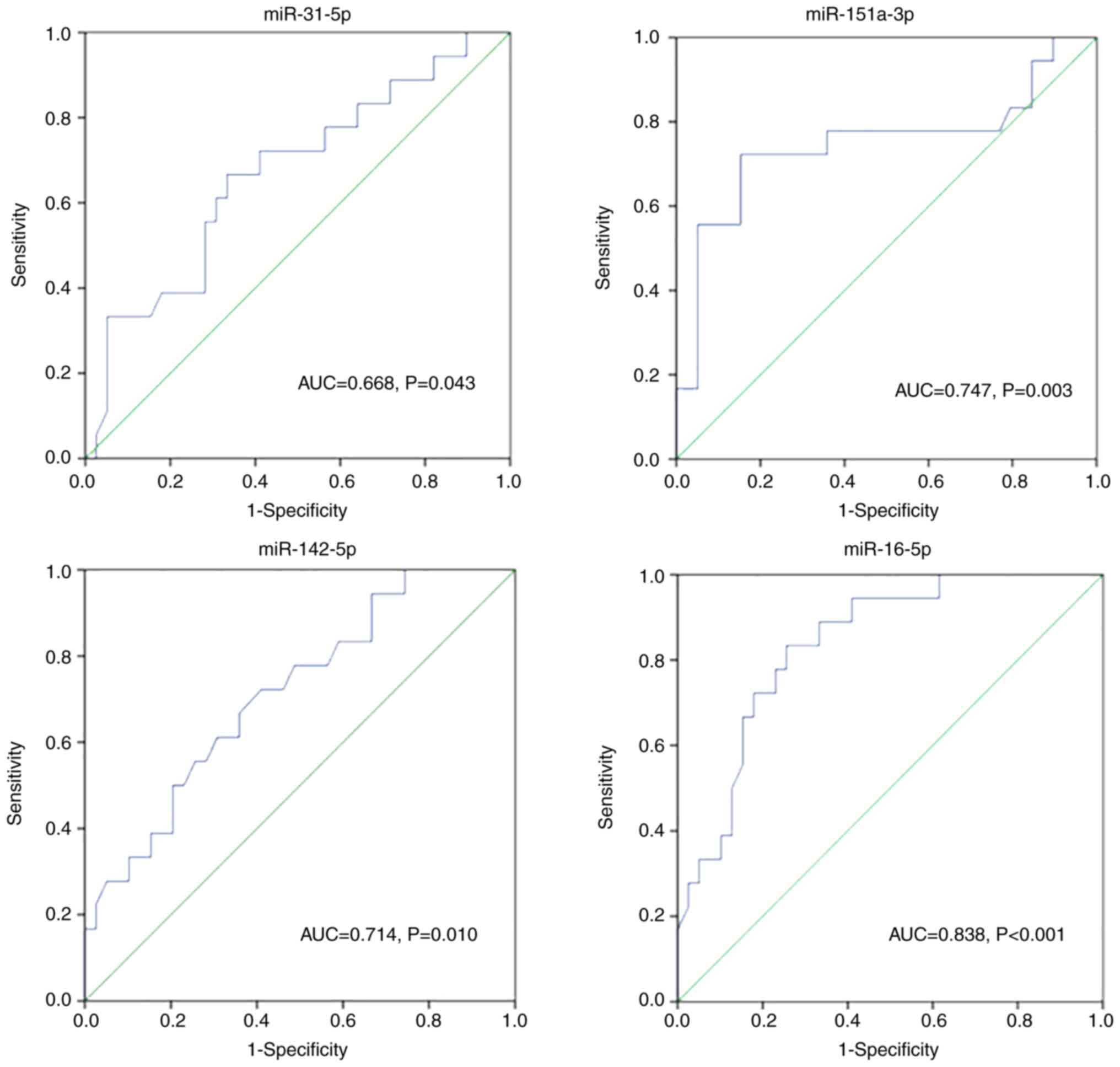
Prognostic value of miRNAs for the 28-day survival of 57 septic patients

ROC curves were generated to evaluate the predictive value of miR-31-5p, miR-151a-3p, miR-142-5p and miR-16-5p for the 28-day mortality in patients with sepsis (Fig. 5). The AUC for each miRNA was 0.668, 0.747,0.714 and 0.838, respectively. These results indicated a good predictive value of miR-31-5p, miR-151a-3p, miR-142-5p and miR-16-5p in the prognosis of 57 patients with sepsis.

Figure 5

Receiver operating characteristic curve analysis of miR-31-5p, miR-151a-3p, miR-142-5p and miR-16-5p in predicting 28-day mortality in elderly patients with sepsis. The sensitivity of miR-31-5p, miR-151a-3p, miR-142-5p and miR-16-5p was 66.7, 72.2, 72.2 and 83.3%, and the specificity was 66.7, 84.6, 59.0 and 74.4%, respectively. AUC, area under the curve; miR, microRNA.

Discussion

Sepsis is an important clinical area in the emergency and critical care medicine field. Clinical management of sepsis remains a major challenge (62). Sepsis can lead to life-threatening multiple organ dysfunction and has a high fatality rate; therefore, it is important to reduce the incidence and fatality rate of sepsis (63). With the in-depth study of its pathogenesis, biomarkers for the prediction of the prognosis of sepsis have emerged (64). Circulating miRNA can be used as a novel candidate biomarker for the clinical diagnosis and treatment of sepsis (61). miRNAs have previously been considered as biomarkers in different diseases, such as lung cancer and sepsis. However, several issues should be investigated before their use in clinical practice (65-67). miRNA detection is convenient and fast and its clinical diagnostic and prognostic value for patients with sepsis and related complications has gained increasing attention (68,69). The complex pathogenesis and diagnostic value of miRNAs in sepsis need to be further explored, as the identification of specific miRNAs will help to further clarify the pathogenesis of the disease and provide a way to screen novel clinical diagnostic indicators or explore molecular targeted therapies (70).

Previous studies show that there are distinct miRNA regulation models in the different cohorts of patients with sepsis. This is due to a lack of standardization of sample collection, data normalization and analysis methods. There is still no optimal normalization strategy for miRNA analysis from serum, urine or other samples. Usually, miR-16 or U6 snRNA is used as an internal gene for normalization. However, U6 snRNA is differentially regulated between healthy subjects and septic patients (71). Aomatsu et al (72) demonstrated that the upregulation of miRNA-5100 may inhibit the development of AKI at least partially by regulating multiple apoptotic pathways, and miRNA-5100 can be used as a diagnostic biomarker of AKI. Zhao et al (73) found that inhibition of miR-16-5p could reduce the symptoms of AKI in mice with ischemia-reperfusion-induced AKI. In addition, it has been reported that serum miR-16-5p (74) and serum miR-142-5p (75) are downregulated in septic patients with AKI.

The present study screened four miRNAs in urine, namelymiR-31-5p, miR-151a-3p, miR-142-5p and miR-16-5p, as potential biological markers in patients with sepsis-induced AKI. These four miRNAs were confirmed by RT-qPCR to be specific markers for predicting secondary AKI in elderly patients with sepsis. Therefore, the present study provides potential diagnostic biomarkers for the early diagnosis, disease staging and prognosis of elderly patients with sepsis. Future studies are required to further examine and verify the accuracy and specificity of the four miRNAs as diagnostic markers in sepsis, laying a foundation for clinical application. Originally diagnosed and treated according to conventional methods, our study offers the possibility of early diagnosis and prognostic judgement. Based on the present study results and ROC curve analysis, miR-16-5p showed the best diagnostic results among the four genes examined. Further studies will verify the regulatory mechanism of miR-16-5p, its relationship with the major gene of pyroptosis and gasdermin D and its regulatory mechanism in AKI.As circulating miRNAs have several advantages, such as the easy and noninvasive sample collection from patients, it is possible for them to have a wide use in the clinic (76). The four miRNAs examined in the present study can facilitate the rapid initiation of directed treatment in sepsis and infection.

In summary, the present study indicated that specific miRNAs, and especially miR-16-5p, represent novel candidates for the clinical management of patients with sepsis.

Supplementary Material

The sequence of the primers used in the present study.
The sample information of 74 cases patients
Sepsis group non-AKI vs. control group up-regulate miRNAs (partial results).

Acknowledgements

Not applicable.

Funding

Funding: The present study was supported by Shanghai Innovation Project (grant no. 20S11901300).

Availability of data and materials

The datasets generated and/or analyzed during the current study are available in the Sequence Read Archive repository (accession no. PRJNA906749; https://www.ncbi.nlm.nih.gov/sra/PRJNA906749).

Authors' contributions

ZM and ZB conceived the experiments. RH and WL developed the methodology. RH, WL, HT, YZ, HZ and WP performed the experiments. WP, XW and LX organized and analyzed the data. RH and ZM wrote the manuscript. WP and ZM confirmed the authenticity of all the raw data. All authors have read and approved the final manuscript.

Ethics approval and consent to participate

The current study was approved by the Ethics Committee of Huadong Hospital Affiliated to Fudan University (approval no. 2020K039; Shanghai, China).

Patient consent for publication

All patients or their family members signed informed consent forms before enrollment.

Competing interests

The authors declare that they have no competing interests.

References

1 

Rudd KE, Johnson SC, Agesa KM, Shackelford KA, Tsoi D, Kievlan DR, Colombara DV, Ikuta KS, Kissoon N, Finfer S, et al: Global, regional, and national sepsis incidence and mortality, 1990-2017: Analysis for the global burden of disease study. Lancet. 395:200–211. 2020.PubMed/NCBI View Article : Google Scholar

2 

Singer M, Deutschman CS, Seymour CW, Shankar-Hari M, Annane D, Bauer M, Bellomo R, Bernard GR, Chiche JD, Coopersmith CM, et al: The third international consensus definitions for sepsis and septic shock (sepsis-3). JAMA. 315:801–810. 2016.PubMed/NCBI View Article : Google Scholar

3 

Cerceo E, Rachoin JS, Gaughan J and Weisberg L: Association of gender, age, and race on renal outcomes and mortality in patients with severe sepsis and septic shock. J Crit Care. 61:52–56. 2021.PubMed/NCBI View Article : Google Scholar

4 

Chinai B, Gaughan J and Schorr C: Implementation of the affordable care Act: A comparison of outcomes in patients with severe sepsis and septic shock using the national inpatient sample. Crit Care Med. 48:783–789. 2020.PubMed/NCBI View Article : Google Scholar

5 

Gong Y, Li D, Cheng B, Ying B and Wang B: Increased neutrophil percentage-to-albumin ratio is associated with all-cause mortality in patients with severe sepsis or septic shock. Epidemiol Infect. 148(e87)2020.PubMed/NCBI View Article : Google Scholar

6 

Gazmuri RJ, Añez de Gomez CI, Siddiqui M, Schechtman J and Nadeem AUR: Severe sepsis and septic shock early management bundle risks aiding vasopressor misuse. Crit Care Med. 47(e717)2019.PubMed/NCBI View Article : Google Scholar

7 

Shankar-Hari M, Phillips GS, Levy ML, Seymour CW, Liu VX, Deutschman CS, Angus DC, Rubenfeld GD and Singer M: Sepsis Definitions Task Force. Developing a new definition and assessing new clinical criteria for septic shock: For the third international consensus definitions for sepsis and septic shock (sepsis-3). JAMA. 315:775–787. 2016.PubMed/NCBI View Article : Google Scholar

8 

Angus DC, Seymour CW, Coopersmith CM, Deutschman CS, Klompas M, Levy MM, Martin GS, Osborn TM, Rhee C and Watson RS: A framework for the development and interpretation of different sepsis definitions and clinical criteria. Crit Care Med. 44:e113–e121. 2016.PubMed/NCBI View Article : Google Scholar

9 

Chang JC: Sepsis and septic shock: Endothelial molecular pathogenesis associated with vascular microthrombotic disease. Thromb J. 17(10)2019.PubMed/NCBI View Article : Google Scholar

10 

Wang T, Zhang X, Liu Z, Yao T, Zheng D, Gan J, Yu S, Li L, Chen P and Sun J: Single-cell RNA sequencing reveals the sustained immune cell dysfunction in the pathogenesis of sepsis secondary to bacterial pneumonia. Genomics. 113:1219–1233. 2021.PubMed/NCBI View Article : Google Scholar

11 

Hashemian SM, Pourhanifeh MH, Fadaei S, Velayati AA, Mirzaei H and Hamblin MR: Non-coding RNAs and exosomes: Their role in the pathogenesis of sepsis. Mol Ther Nucleic Acids. 21:51–74. 2020.PubMed/NCBI View Article : Google Scholar

12 

Sungurlu S, Kuppy J and Balk RA: Role of antithrombin III and tissue factor pathway in the pathogenesis of sepsis. Crit Care Clin. 36:255–265. 2020.PubMed/NCBI View Article : Google Scholar

13 

Zhang H, Feng YW and Yao YM: A profound understanding of the pathogenesis network in sepsis. Zhonghua Yi Xue Za Zhi. 100:881–885. 2020.PubMed/NCBI View Article : Google Scholar : (In Chinese).

14 

Shenoy S: Coronavirus (Covid-19) sepsis: Revisiting mitochondrial dysfunction in pathogenesis, aging, inflammation, and mortality. Inflamm Res. 69:1077–1085. 2020.PubMed/NCBI View Article : Google Scholar

15 

Nie C, Qian KJ, Wang LQ, Liu F, Zeng ZG, Zhu F, Xia L and Zhan YA: A clinical study on organ protective effect of early high-volume hemofiltration (HVHF) in patients with multiple organ dysfunction syndrome (MODS) complicated by acute kidney injury (AKI). Zhongguo Wei Zhong Bing Ji Jiu Yi Xue. 23:605–607. 2011.PubMed/NCBI(In Chinese).

16 

Erlanger D, Assous MV, Wiener-Well Y, Yinnon AM and Ben-Chetrit E: Clinical manifestations, risk factors and prognosis of patients with Morganella morganii sepsis. J Microbiol Immunol Infect. 52:443–448. 2019.PubMed/NCBI View Article : Google Scholar

17 

Kasahara E and Inoue M: Cross-talk between HPA-axis-increased glucocorticoids and mitochondrial stress determines immune responses and clinical manifestations of patients with sepsis. Redox Rep. 20:1–10. 2015.PubMed/NCBI View Article : Google Scholar

18 

El-Hefnawy SM, Mostafa RG, El Zayat RS, Elfeshawy EM, Abd El-Bari HM and El-Monem Ellaithy MA: Biochemical and molecular study on serum miRNA-16a and miRNA-451 as neonatal sepsis biomarkers. Biochem Biophys Rep. 25(100915)2021.PubMed/NCBI View Article : Google Scholar

19 

Fabri-Faja N, Calvo-Lozano O, Dey P, Terborg RA, Estevez MC, Belushkin A, Yesilköy F, Duempelmann L, Altug H, Pruneri V and Lechuga LM: Early sepsis diagnosis via protein and miRNA biomarkers using a novel point-of-care photonic biosensor. Anal Chim Acta. 1077:232–242. 2019.PubMed/NCBI View Article : Google Scholar

20 

Li Z, Huang B, Yi W, Wang F, Wei S, Yan H, Qin P, Zou D, Wei R and Chen N: Identification of potential early diagnostic biomarkers of sepsis. J Inflamm Res. 14:621–631. 2021.PubMed/NCBI View Article : Google Scholar

21 

Kyriazopoulou E, Poulakou G and Giamarellos-Bourboulis EJ: Biomarkers in sepsis: Can they help improve patient outcome? Curr Opin Infect Dis. 34:126–134. 2021.PubMed/NCBI View Article : Google Scholar

22 

Zhang M, Xie M, Wang Y, Li J and Zhou J: Combination value of biomarkers in discriminating adult onset Still's disease and sepsis. Wien Klin Wochenschr. 133:118–122. 2021.PubMed/NCBI View Article : Google Scholar

23 

Poston JT and Koyner JL: Sepsis associated acute kidney injury. BMJ. 364(k4891)2019.PubMed/NCBI View Article : Google Scholar

24 

Hoste EA, Bagshaw SM, Bellomo R, Cely CM, Colman R, Cruz DN, Edipidis K, Forni LG, Gomersall CD, Govil D, et al: Epidemiology of acute kidney injury in critically ill patients: The multinational AKI-EPI study. Intensive Care Med. 41:1411–1423. 2015.PubMed/NCBI View Article : Google Scholar

25 

Fabbian F, Savriè C, De Giorgi A, Cappadona R, Di Simone E, Boari B, Storari A, Gallerani M and Manfredini R: Acute kidney injury and in-hospital mortality: A retrospective analysis of a nationwide administrative database of elderly subjects in Italy. J Clin Med. 8(1371)2019.PubMed/NCBI View Article : Google Scholar

26 

Bagshaw SM, Uchino S, Bellomo R, Morimatsu H, Morgera S, Schetz M, Tan I, Bouman C, Macedo E, Gibney N, et al: Septic acute kidney injury in critically ill patients: Clinical characteristics and outcomes. Clin J Am Soc Nephrol. 2:431–439. 2007.PubMed/NCBI View Article : Google Scholar

27 

Vasilescu C, Dragomir M, Tanase M, Giza D, Purnichescu-Purtan R, Chen M, Yeung SJ and Calin GA: Circulating miRNAs in sepsis-A network under attack: An in-silico prediction of the potential existence of miRNA sponges in sepsis. PLoS One. 12(e0183334)2017.PubMed/NCBI View Article : Google Scholar

28 

Dumache R, Rogobete AF, Bedreag OH, Sarandan M, Cradigati AC, Papurica M, Dumbuleu CM, Nartita R and Sandesc D: Use of miRNAs as biomarkers in sepsis. Anal Cell Pathol (Amst). 2015(186716)2015.PubMed/NCBI View Article : Google Scholar

29 

Ahmad S, Ahmed MM, Hasan PMZ, Sharma A, Bilgrami AL, Manda K, Ishrat R and Syed MA: Identification and validation of potential miRNAs, as biomarkers for sepsis and associated lung injury: A network-based approach. Genes (Basel). 11(1327)2020.PubMed/NCBI View Article : Google Scholar

30 

Zhang Y, Li M, Bao L and Hu P: A case-control study on the relationship between miRNAs single nucleotide polymorphisms and sepsis risk. Medicine (Baltimore). 98(e16744)2019.PubMed/NCBI View Article : Google Scholar

31 

Reinhart K and Carlet J: Procalcitonin-a new marker of severe infection and sepsis. Intensive Care Med. 26 (Suppl 2)(S145)2000.PubMed/NCBI View Article : Google Scholar

32 

Stark A, Brennecke J, Russell RB and Cohen SM: Identification of Drosophila MicroRNA targets. PLoS Biol. 1(E60)2003.PubMed/NCBI View Article : Google Scholar

33 

Xu P, Vernooy SY, Guo M and Hay BA: The Drosophila microRNA Mir-14 suppresses cell death and is required for normal fat metabolism. Curr Biol. 13:790–795. 2003.PubMed/NCBI View Article : Google Scholar

34 

Jeker LT and Bluestone JA: MicroRNA regulation of T-cell differentiation and function. Immunol Rev. 253:65–81. 2013.PubMed/NCBI View Article : Google Scholar

35 

Mitchell PS, Parkin RK, Kroh EM, Fritz BR, Wyman SK, Pogosova-Agadjanyan EL, Peterson A, Noteboom J, O'Briant KC, Allen A, et al: Circulating microRNAs as stable blood-based markers for cancer detection. Proc Natl Acad Sci USA. 105:10513–10518. 2008.PubMed/NCBI View Article : Google Scholar

36 

Pigati L, Yaddanapudi SC, Iyengar R, Kim DJ, Hearn SA, Danforth D, Hastings ML and Duelli DM: Selective release of microRNA species from normal and malignant mammary epithelial cells. PLoS One. 5(e13515)2010.PubMed/NCBI View Article : Google Scholar

37 

Mir R, Elfaki I, Khullar N, Waza AA, Jha C, Mir MM, Nisa S, Mohammad B, Mir TA, Maqbool M, et al: Role of selected miRNAs as diagnostic and prognostic biomarkers in cardiovascular diseases, including coronary artery disease, myocardial infarction and atherosclerosis. J Cardiovasc Dev Dis. 8(22)2021.PubMed/NCBI View Article : Google Scholar

38 

Gessner I, Fries JWU, Brune V and Mathur S: Magnetic nanoparticle-based amplification of microRNA detection in body fluids for early disease diagnosis. J Mater Chem B. 9:9–22. 2021.PubMed/NCBI View Article : Google Scholar

39 

Demircan T, Sibai M, Avşaroğlu ME, Altuntaş E and Ovezmyradov G: The first report on circulating microRNAs at Pre- and Post-metamorphic stages of axolotls. Gene. 768(145258)2021.PubMed/NCBI View Article : Google Scholar

40 

Tan PPS, Hall D, Chilian WM, Chia YC, Mohd Zain S, Lim HM, Kumar DN, Ching SM, Low TY, Md Noh MF and Pung YF: Exosomal microRNAs in the development of essential hypertension and its potential as biomarkers. Am J Physiol Heart Circ Physiol. 320:H1486–H1497. 2021.PubMed/NCBI View Article : Google Scholar

41 

Cui C and Cui Q: The relationship of human tissue microRNAs with those from body fluids. Sci Rep. 10(5644)2020.PubMed/NCBI View Article : Google Scholar

42 

Harrill AH and Sanders AP: Urinary MicroRNAs in environmental health: Biomarkers of emergent kidney injury and disease. Curr Environ Health Rep. 7:101–108. 2020.PubMed/NCBI View Article : Google Scholar

43 

Dos Santos CC, Amatullah H, Vaswani CM, Maron-Gutierrez T, Kim M, Mei SHJ, Szaszi K, Monteiro APT, Varkouhi AK, Herreroz R, et al: Mesenchymal stromal (stem) cell therapy modulates miR-193b-5p expression to attenuate sepsis-induced acute lung injury. Eur Respir J. 59(2004216)2022.PubMed/NCBI View Article : Google Scholar

44 

Jiao Y, Zhang T, Zhang C, Ji H, Tong X, Xia R, Wang W, Ma Z and Shi X: Exosomal miR-30d-5p of neutrophils induces M1 macrophage polarization and primes macrophage pyroptosis in sepsis-related acute lung injury. Crit Care. 25(356)2021.PubMed/NCBI View Article : Google Scholar

45 

Roderburg C, Luedde M, Vargas Cardenas D, Vucur M, Scholten D, Frey N, Koch A, Trautwein C, Tacke F and Luedde T: Circulating microRNA-150 serum levels predict survival in patients with critical illness and sepsis. PLoS One. 8(e54612)2013.PubMed/NCBI View Article : Google Scholar

46 

Roderburg C, Koch A, Benz F, Vucur M, Spehlmann M, Loosen SH, Luedde M, Rehse S, Lurje G, Trautwein C, et al: Serum levels of miR-143 predict survival in critically Ill patients. Dis Markers. 2019(4850472)2019.PubMed/NCBI View Article : Google Scholar

47 

Han Y, Dai QC, Shen HL and Zhang XW: Diagnostic value of elevated serum miRNA-143 levels in sepsis. J Int Med Res. 44:875–881. 2016.PubMed/NCBI View Article : Google Scholar

48 

Zhu C, Chen T and Liu B: Inhibitory effects of miR-25 targeting HMGB1 on macrophage secretion of inflammatory cytokines in sepsis. Oncol Lett. 16:5027–5033. 2018.PubMed/NCBI View Article : Google Scholar

49 

Moon HG, Yang J, Zheng Y and Jin Y: miR-15a/16 regulates macrophage phagocytosis after bacterial infection. J Immunol. 193:4558–4567. 2014.PubMed/NCBI View Article : Google Scholar

50 

Wang X, Wang X, Liu X, Wang X, Xu J, Hou S, Zhang X and Ding Y: miR-15a/16 are upreuglated in the serum of neonatal sepsis patients and inhibit the LPS-induced inflammatory pathway. Int J Clin Exp Med. 8:5683–5690. 2015.PubMed/NCBI

51 

Arroyo AB, Águila S, Fernández-Pérez MP, Reyes-García AML, Reguilón-Gallego L, Zapata-Martínez L, Vicente V, Martínez C and González-Conejero R: miR-146a in cardiovascular diseases and sepsis: An additional burden in the inflammatory balance? Thromb Haemost. 121:1138–1150. 2021.PubMed/NCBI View Article : Google Scholar

52 

Pfeiffer D, Roßmanith E, Lang I and Falkenhagen D: miR-146a, miR-146b, and miR-155 increase expression of IL-6 and IL-8 and support HSP10 in an in vitro sepsis model. PLoS One. 12(e0179850)2017.PubMed/NCBI View Article : Google Scholar

53 

Bai X, Zhang J, Cao M, Han S, Liu Y, Wang K, Han F, Li X, Jia Y, Wang X, et al: MicroRNA-146a protects against LPS-induced organ damage by inhibiting Notch1 in macrophage. Int Immunopharmacol. 63:220–226. 2018.PubMed/NCBI View Article : Google Scholar

54 

Möhnle P, Hirschberger S, Hinske LC, Briegel J, Hübner M, Weis S, Dimopoulos G, Bauer M, Giamarellos-Bourboulis EJ and Kreth S: MicroRNAs 143 and 150 in whole blood enable detection of T-cell immunoparalysis in sepsis. Mol Med. 24(54)2018.PubMed/NCBI View Article : Google Scholar

55 

SepNet Critical Care Trials Group. Incidence of severe sepsis and septic shock in German intensive care units: The prospective, multicentre INSEP study. Intensive Care Med. 42:1980–1989. 2016.PubMed/NCBI View Article : Google Scholar

56 

Baykara N, Akalın H, Arslantaş MK, Hancı V, Çağlayan Ç, Kahveci F, Demirağ K, Baydemir C and Ünal N: Sepsis Study Group. Epidemiology of sepsis in intensive care units in Turkey: A multicenter, point-prevalence study. Crit Care. 22(93)2018.PubMed/NCBI View Article : Google Scholar

57 

Zhou J, Qian C, Zhao M, Yu X, Kang Y, Ma X, Ai Y, Xu Y, Liu D, An Y, et al: Epidemiology and outcome of severe sepsis and septic shock in intensive care units in mainland China. PLoS One. 9(e107181)2014.PubMed/NCBI View Article : Google Scholar

58 

Mizuno T, Sato W, Ishikawa K, Shinjo H, Miyagawa Y, Noda Y, Imai E and Yamada K: KDIGO (kidney disease: Improving global outcomes) criteria could be a useful outcome predictor of cisplatin-induced acute kidney injury. Oncology. 82:354–359. 2012.PubMed/NCBI View Article : Google Scholar

59 

Livak KJ and Schmittgen TD: Analysis of relative gene expression data using real-time quantitative PCR and the 2(-Delta Delta C(T)) method. Methods. 25:402–408. 2001.PubMed/NCBI View Article : Google Scholar

60 

Cui M, Cheng C and Zhang L: High-throughput proteomics: A methodological mini-review. Lab Invest. 102:1170–1181. 2022.PubMed/NCBI View Article : Google Scholar

61 

Cheng H, Xu JH, Kang XH, Wu CC, Tang XN, Chen ML, Lian ZS, Li N and Xu XL: Nomograms for predicting overall survival and cancer-specific survival in elderly patients with epithelial ovarian cancer. J Ovarian Res. 16(75)2023.PubMed/NCBI View Article : Google Scholar

62 

Hegamyer E, Smith N, Thompson AD and Depiero AD: Treatment of suspected sepsis and septic shock in children with chronic disease seen in the pediatric emergency department. Am J Emerg Med. 44:56–61. 2021.PubMed/NCBI View Article : Google Scholar

63 

D'Onofrio V, Meersman A, Vijgen S, Cartuyvels R, Messiaen P and Gyssens IC: Risk factors for mortality, intensive care unit admission, and bacteremia in patients suspected of sepsis at the emergency department: A prospective cohort study. Open Forum Infect Dis. 8(ofaa594)2020.PubMed/NCBI View Article : Google Scholar

64 

Barichello T, Generoso JS, Singer M and Dal-Pizzol F: Biomarkers for sepsis: More than just fever and leukocytosis-a narrative review. Crit Care. 26(14)2022.PubMed/NCBI View Article : Google Scholar

65 

Nassar FJ, Msheik ZS, Itani MM, Helou RE, Hadla R, Kreidieh F, Bejjany R, Mukherji D, Shamseddine A, Nasr RR and Temraz SN: Circulating miRNA as biomarkers for colorectal cancer diagnosis and liver metastasis. Diagnostics (Basel). 11(341)2021.PubMed/NCBI View Article : Google Scholar

66 

Smolarz M and Widlak P: Serum exosomes and their miRNA load-a potential biomarker of lung cancer. Cancers (Basel). 13(1373)2021.PubMed/NCBI View Article : Google Scholar

67 

Wang M, Zheng S, Li X, Ding Y, Zhang M, Lin L, Xu H, Cheng Y, Zhang X, Xu H and Li S: Integrated analysis of lncRNA-miRNA-mRNA ceRNA network identified lncRNA EPB41L4A-AS1 as a potential biomarker in non-small cell lung cancer. Front Genet. 11(511676)2020.PubMed/NCBI View Article : Google Scholar

68 

Liu S, Liu C, Wang Z, Huang J and Zeng Q: microRNA-23a-5p acts as a potential biomarker for sepsis-induced acute respiratory distress syndrome in early stage. Cell Mol Biol (Noisy-le-grand). 62:31–37. 2016.PubMed/NCBI

69 

Bukauskas T, Kairytė M, Mickus R, Puleikytė L and Macas A: Values of circulating molecular biomarkers (microRNAs) for the evaluation of renal failure during urgent abdominal sepsis anaesthesia. Acta Med Litu. 26:17–24. 2019.PubMed/NCBI View Article : Google Scholar

70 

Hollen MK, Stortz JA, Darden D, Dirain ML, Nacionales DC, Hawkins RB, Cox MC, Lopez MC, Rincon JC, Ungaro R, et al: Myeloid-derived suppressor cell function and epigenetic expression evolves over time after surgical sepsis. Crit Care. 23(355)2019.PubMed/NCBI View Article : Google Scholar

71 

Benz F, Roderburg C, Vargas Cardenas D, Vucur M, Gautheron J, Koch A, Zimmermann H, Janssen J, Nieuwenhuijsen L, Luedde M, et al: U6 is unsuitable for normalization of serum miRNA levels in patients with sepsis or liver fibrosis. Exp Mol Med. 45(e42)2013.PubMed/NCBI View Article : Google Scholar

72 

Aomatsu A, Kaneko S, Yanai K, Ishii H, Ito K, Hirai K, Ookawara S, Kobayashi Y, Sanui M and Morishita Y: MicroRNA expression profiling in acute kidney injury. Transl Res. 244:1–31. 2022.PubMed/NCBI View Article : Google Scholar

73 

Zhao W, Zhang Y, Zhang M, Zhi Y, Li X and Liu X: Effects of total glucosides of paeony on acute renal injury following ischemia-reperfusion via the lncRNA HCG18/miR-16-5p/Bcl-2 axis. Immunobiology. 227(152179)2022.PubMed/NCBI View Article : Google Scholar

74 

Pan W, Zhang J, Hu L and Huang Z: Evaluation value of serum miR-4299 and miR-16-5p in risk stratification of sepsis-induced acute kidney injury. Biomed Res Int. 2022(5165892)2022.PubMed/NCBI View Article : Google Scholar

75 

Tang B, Li W, Ji T, Li X, Qu X, Feng L, Zhu Y, Qi Y, Zhu C and Bai S: Downregulation of XIST ameliorates acute kidney injury by sponging miR-142-5p and targeting PDCD4. J Cell Physiol. 235:8852–8863. 2020.PubMed/NCBI View Article : Google Scholar

76 

Reithmair M, Buschmann D, Märte M, Kirchner B, Hagl D, Kaufmann I, Pfob M, Chouker A, Steinlein OK, Pfaffl MW and Schelling G: Cellular and extracellular miRNAs are blood-compartment-specific diagnostic targets in sepsis. J Cell Mol Med. 21:2403–2411. 2017.PubMed/NCBI View Article : Google Scholar

Related Articles

  • Abstract
  • View
  • Download
  • Twitter
Copy and paste a formatted citation
Spandidos Publications style
Han R, Li W, Tian H, Zhao Y, Zhang H, Pan W, Wang X, Xu L, Ma Z, Bao Z, Bao Z, et al: Urinary microRNAs in sepsis function as a novel prognostic marker. Exp Ther Med 26: 346, 2023.
APA
Han, R., Li, W., Tian, H., Zhao, Y., Zhang, H., Pan, W. ... Bao, Z. (2023). Urinary microRNAs in sepsis function as a novel prognostic marker. Experimental and Therapeutic Medicine, 26, 346. https://doi.org/10.3892/etm.2023.12045
MLA
Han, R., Li, W., Tian, H., Zhao, Y., Zhang, H., Pan, W., Wang, X., Xu, L., Ma, Z., Bao, Z."Urinary microRNAs in sepsis function as a novel prognostic marker". Experimental and Therapeutic Medicine 26.1 (2023): 346.
Chicago
Han, R., Li, W., Tian, H., Zhao, Y., Zhang, H., Pan, W., Wang, X., Xu, L., Ma, Z., Bao, Z."Urinary microRNAs in sepsis function as a novel prognostic marker". Experimental and Therapeutic Medicine 26, no. 1 (2023): 346. https://doi.org/10.3892/etm.2023.12045
Copy and paste a formatted citation
x
Spandidos Publications style
Han R, Li W, Tian H, Zhao Y, Zhang H, Pan W, Wang X, Xu L, Ma Z, Bao Z, Bao Z, et al: Urinary microRNAs in sepsis function as a novel prognostic marker. Exp Ther Med 26: 346, 2023.
APA
Han, R., Li, W., Tian, H., Zhao, Y., Zhang, H., Pan, W. ... Bao, Z. (2023). Urinary microRNAs in sepsis function as a novel prognostic marker. Experimental and Therapeutic Medicine, 26, 346. https://doi.org/10.3892/etm.2023.12045
MLA
Han, R., Li, W., Tian, H., Zhao, Y., Zhang, H., Pan, W., Wang, X., Xu, L., Ma, Z., Bao, Z."Urinary microRNAs in sepsis function as a novel prognostic marker". Experimental and Therapeutic Medicine 26.1 (2023): 346.
Chicago
Han, R., Li, W., Tian, H., Zhao, Y., Zhang, H., Pan, W., Wang, X., Xu, L., Ma, Z., Bao, Z."Urinary microRNAs in sepsis function as a novel prognostic marker". Experimental and Therapeutic Medicine 26, no. 1 (2023): 346. https://doi.org/10.3892/etm.2023.12045
Follow us
  • Twitter
  • LinkedIn
  • Facebook
About
  • Spandidos Publications
  • Careers
  • Cookie Policy
  • Privacy Policy
How can we help?
  • Help
  • Live Chat
  • Contact
  • Email to our Support Team