Spandidos Publications Logo
  • About
    • About Spandidos
    • Aims and Scopes
    • Abstracting and Indexing
    • Editorial Policies
    • Reprints and Permissions
    • Job Opportunities
    • Terms and Conditions
    • Contact
  • Journals
    • All Journals
    • Oncology Letters
      • Oncology Letters
      • Information for Authors
      • Editorial Policies
      • Editorial Board
      • Aims and Scope
      • Abstracting and Indexing
      • Bibliographic Information
      • Archive
    • International Journal of Oncology
      • International Journal of Oncology
      • Information for Authors
      • Editorial Policies
      • Editorial Board
      • Aims and Scope
      • Abstracting and Indexing
      • Bibliographic Information
      • Archive
    • Molecular and Clinical Oncology
      • Molecular and Clinical Oncology
      • Information for Authors
      • Editorial Policies
      • Editorial Board
      • Aims and Scope
      • Abstracting and Indexing
      • Bibliographic Information
      • Archive
    • Experimental and Therapeutic Medicine
      • Experimental and Therapeutic Medicine
      • Information for Authors
      • Editorial Policies
      • Editorial Board
      • Aims and Scope
      • Abstracting and Indexing
      • Bibliographic Information
      • Archive
    • International Journal of Molecular Medicine
      • International Journal of Molecular Medicine
      • Information for Authors
      • Editorial Policies
      • Editorial Board
      • Aims and Scope
      • Abstracting and Indexing
      • Bibliographic Information
      • Archive
    • Biomedical Reports
      • Biomedical Reports
      • Information for Authors
      • Editorial Policies
      • Editorial Board
      • Aims and Scope
      • Abstracting and Indexing
      • Bibliographic Information
      • Archive
    • Oncology Reports
      • Oncology Reports
      • Information for Authors
      • Editorial Policies
      • Editorial Board
      • Aims and Scope
      • Abstracting and Indexing
      • Bibliographic Information
      • Archive
    • Molecular Medicine Reports
      • Molecular Medicine Reports
      • Information for Authors
      • Editorial Policies
      • Editorial Board
      • Aims and Scope
      • Abstracting and Indexing
      • Bibliographic Information
      • Archive
    • World Academy of Sciences Journal
      • World Academy of Sciences Journal
      • Information for Authors
      • Editorial Policies
      • Editorial Board
      • Aims and Scope
      • Abstracting and Indexing
      • Bibliographic Information
      • Archive
    • International Journal of Functional Nutrition
      • International Journal of Functional Nutrition
      • Information for Authors
      • Editorial Policies
      • Editorial Board
      • Aims and Scope
      • Abstracting and Indexing
      • Bibliographic Information
      • Archive
    • International Journal of Epigenetics
      • International Journal of Epigenetics
      • Information for Authors
      • Editorial Policies
      • Editorial Board
      • Aims and Scope
      • Abstracting and Indexing
      • Bibliographic Information
      • Archive
    • Medicine International
      • Medicine International
      • Information for Authors
      • Editorial Policies
      • Editorial Board
      • Aims and Scope
      • Abstracting and Indexing
      • Bibliographic Information
      • Archive
  • Articles
  • Information
    • Information for Authors
    • Information for Reviewers
    • Information for Librarians
    • Information for Advertisers
    • Conferences
  • Language Editing
Spandidos Publications Logo
  • About
    • About Spandidos
    • Aims and Scopes
    • Abstracting and Indexing
    • Editorial Policies
    • Reprints and Permissions
    • Job Opportunities
    • Terms and Conditions
    • Contact
  • Journals
    • All Journals
    • Biomedical Reports
      • Information for Authors
      • Editorial Policies
      • Editorial Board
      • Aims and Scope
      • Abstracting and Indexing
      • Bibliographic Information
      • Archive
    • Experimental and Therapeutic Medicine
      • Information for Authors
      • Editorial Policies
      • Editorial Board
      • Aims and Scope
      • Abstracting and Indexing
      • Bibliographic Information
      • Archive
    • International Journal of Epigenetics
      • Information for Authors
      • Editorial Policies
      • Editorial Board
      • Aims and Scope
      • Abstracting and Indexing
      • Bibliographic Information
      • Archive
    • International Journal of Functional Nutrition
      • Information for Authors
      • Editorial Policies
      • Editorial Board
      • Aims and Scope
      • Abstracting and Indexing
      • Bibliographic Information
      • Archive
    • International Journal of Molecular Medicine
      • Information for Authors
      • Editorial Policies
      • Editorial Board
      • Aims and Scope
      • Abstracting and Indexing
      • Bibliographic Information
      • Archive
    • International Journal of Oncology
      • Information for Authors
      • Editorial Policies
      • Editorial Board
      • Aims and Scope
      • Abstracting and Indexing
      • Bibliographic Information
      • Archive
    • Medicine International
      • Information for Authors
      • Editorial Policies
      • Editorial Board
      • Aims and Scope
      • Abstracting and Indexing
      • Bibliographic Information
      • Archive
    • Molecular and Clinical Oncology
      • Information for Authors
      • Editorial Policies
      • Editorial Board
      • Aims and Scope
      • Abstracting and Indexing
      • Bibliographic Information
      • Archive
    • Molecular Medicine Reports
      • Information for Authors
      • Editorial Policies
      • Editorial Board
      • Aims and Scope
      • Abstracting and Indexing
      • Bibliographic Information
      • Archive
    • Oncology Letters
      • Information for Authors
      • Editorial Policies
      • Editorial Board
      • Aims and Scope
      • Abstracting and Indexing
      • Bibliographic Information
      • Archive
    • Oncology Reports
      • Information for Authors
      • Editorial Policies
      • Editorial Board
      • Aims and Scope
      • Abstracting and Indexing
      • Bibliographic Information
      • Archive
    • World Academy of Sciences Journal
      • Information for Authors
      • Editorial Policies
      • Editorial Board
      • Aims and Scope
      • Abstracting and Indexing
      • Bibliographic Information
      • Archive
  • Articles
  • Information
    • For Authors
    • For Reviewers
    • For Librarians
    • For Advertisers
    • Conferences
  • Language Editing
Login Register Submit
  • This site uses cookies
  • You can change your cookie settings at any time by following the instructions in our Cookie Policy. To find out more, you may read our Privacy Policy.

    I agree
Search articles by DOI, keyword, author or affiliation
Search
Advanced Search
presentation
Experimental and Therapeutic Medicine
Join Editorial Board Propose a Special Issue
Print ISSN: 1792-0981 Online ISSN: 1792-1015
Journal Cover
October-2024 Volume 28 Issue 4

Full Size Image

Sign up for eToc alerts
Recommend to Library

Journals

International Journal of Molecular Medicine

International Journal of Molecular Medicine

International Journal of Molecular Medicine is an international journal devoted to molecular mechanisms of human disease.

International Journal of Oncology

International Journal of Oncology

International Journal of Oncology is an international journal devoted to oncology research and cancer treatment.

Molecular Medicine Reports

Molecular Medicine Reports

Covers molecular medicine topics such as pharmacology, pathology, genetics, neuroscience, infectious diseases, molecular cardiology, and molecular surgery.

Oncology Reports

Oncology Reports

Oncology Reports is an international journal devoted to fundamental and applied research in Oncology.

Experimental and Therapeutic Medicine

Experimental and Therapeutic Medicine

Experimental and Therapeutic Medicine is an international journal devoted to laboratory and clinical medicine.

Oncology Letters

Oncology Letters

Oncology Letters is an international journal devoted to Experimental and Clinical Oncology.

Biomedical Reports

Biomedical Reports

Explores a wide range of biological and medical fields, including pharmacology, genetics, microbiology, neuroscience, and molecular cardiology.

Molecular and Clinical Oncology

Molecular and Clinical Oncology

International journal addressing all aspects of oncology research, from tumorigenesis and oncogenes to chemotherapy and metastasis.

World Academy of Sciences Journal

World Academy of Sciences Journal

Multidisciplinary open-access journal spanning biochemistry, genetics, neuroscience, environmental health, and synthetic biology.

International Journal of Functional Nutrition

International Journal of Functional Nutrition

Open-access journal combining biochemistry, pharmacology, immunology, and genetics to advance health through functional nutrition.

International Journal of Epigenetics

International Journal of Epigenetics

Publishes open-access research on using epigenetics to advance understanding and treatment of human disease.

Medicine International

Medicine International

An International Open Access Journal Devoted to General Medicine.

Journal Cover
October-2024 Volume 28 Issue 4

Full Size Image

Sign up for eToc alerts
Recommend to Library

  • Article
  • Citations
    • Cite This Article
    • Download Citation
    • Create Citation Alert
    • Remove Citation Alert
    • Cited By
  • Similar Articles
    • Related Articles (in Spandidos Publications)
    • Similar Articles (Google Scholar)
    • Similar Articles (PubMed)
  • Download PDF
  • Download XML
  • View XML

  • Supplementary Files
    • Supplementary_Data.pdf
Article Open Access

Positive sensory symptoms, in surgically managed patients with carpal tunnel syndrome: A long term follow‑up

  • Authors:
    • José D. Carrillo-Ruiz
    • Ana P. Cortés-Contreras
    • Armando Armas Salazar
    • Fátima X. Cid-Rodriguez
    • Hannia F. González-Morales
    • Ana I. García-Jerónimo
    • José L. Navarro-Olvera
    • Luis García-Muñoz
    • Alejandro Salazar-Pigeon
  • View Affiliations / Copyright

    Affiliations: Unit of Stereotactic and Functional Neurosurgery, General Hospital of Mexico, Mexico City 06720, Mexico
    Copyright: © Carrillo-Ruiz et al. This is an open access article distributed under the terms of Creative Commons Attribution License.
  • Article Number: 401
    |
    Published online on: August 14, 2024
       https://doi.org/10.3892/etm.2024.12690
  • Expand metrics +
Metrics: Total Views: 0 (Spandidos Publications: | PMC Statistics: )
Metrics: Total PDF Downloads: 0 (Spandidos Publications: | PMC Statistics: )
Cited By (CrossRef): 0 citations Loading Articles...

This article is mentioned in:



Abstract

Carpal tunnel syndrome (CTS) is the most frequent entrapment neuropathy. Patients commonly experience neuropathic pain, leading them to seek medical advice. However, other symptoms experienced in patients with CTS, such as paresthesia, dysesthesia and allodynia, classed as positive sensory symptoms (PSS), are often under‑reported. In the present study, patients with surgically‑managed CTS were observed pre‑ and post‑surgery to evaluate PSS, using the symptoms scale component of the Boston Carpal Tunnel Questionnaire (BCTQ) and the Sensory Frequency of Symptoms Scale. In total, 19 patients were included in the present study, with 79% female patients, and a mean age of 54±10.59 years. In addition, the mean follow‑up was 63±29.91 months. The results of the present study revealed a pre‑surgery BCTQ score of 3.52±0.63 and a post‑surgery BCTQ score of 1.58±0.61. Notably, improvements in pain were observed, at 7.7±2.26 pre‑surgery compared with 1.65±2.88 post‑surgery. Compared with pre‑surgery, post‑surgery paresthesia scores were reduced from 2.94±0.82 to 0.47±0.45, dysesthesia scores were reduced from 2.52±0.84 to 0.47±0.39 and allodynia scores were reduced from 0.63±0.75 to 0.26±0.47. In conclusion, the results of the present study demonstrated that median nerve decompression ameliorated CTS symptoms, such as paresthesia and dysesthesia. However, further investigations are required to verify the benefits of surgery in relieving allodynia.

Introduction

Carpal tunnel syndrome (CTS) is the most frequent entrapment neuropathy worldwide. The main symptoms are attributed to the compression of the median nerve (1). The compression of this nerve is susceptible to fibro-osseous structures surrounding the canal, particularly in the context of increased pressures, a phenomenon that occurs when the wrist is extended or flexed (2). Decreased epineural blood flow and edematous changes occur when the pressure reaches 20-30 mmHg. Sustained high pressure for extended periods of time results in ischemia, which may lead to demyelination and further damage to the median nerve. Notably, there are multiple risk factors for the development of CTS, and these include the elevation of pressure within the canal (1,2).

Clinical symptoms of CTS often involve neuropathic pain, and this sensory impairment is classified into two groups; namely, negative and positive. Negative symptoms refer to a loss of sensory function, while positive sensory symptoms (PSS) refer to an abnormal increase in the function of the sensory system (3). PSS include the following: i) Paresthesias, when a patient experiences a tingling-like sensation; ii) dysesthesias, when a patient experiences an unpleasant sensation that is unlike pain, numbness or burning; and iii) allodynia, referring to the perception of pain elicited by any stimulus that is not otherwise pain-inflicting. Notably, the aforementioned symptoms are sensorial abnormalities that may exist with or without neuropathic pain (4-6).

Meyers et al (7) previously reported that the main symptoms of CTS are paresthesia, numbness, pain and weakness, and these are scored using different grading scales, such as the Boston Carpal Tunnel Questionnaire (BCTQ), Disabilities of the Arm, Shoulder and Hand and QuickDash scoring systems (7-9). Notably, negative symptoms of CTS, such as anesthesia and hypoesthesia, and positive sensory symptoms (PSS), such as allodynia and dysesthesias, are rarely reported (10). The results of a previous study conducted by the authors revealed the association between pain and PSS in peripheral nerve neuropathy, highlighting that the independent evaluation of all symptoms is required considering primarily the sensitive component of each one (Fig. S1) (11). There is a gap in skilling and assessing the clinical symptoms of CTS: Paresthesia, dysesthesia and allodynia occasionally are underestimated in these sensitive components, but pain is well described in literature worldwide.

The management of CTS is staged and depends on the patient's evolution and response to treatment. Initially, patients undergo neuro-modulatory treatments such as antidepressants, anxiolytics and analgesics. If these treatments fail to produce results despite dose escalation, patients are referred to rehabilitation where thermotherapy treatments are administered. If rehabilitation proves ineffective, wrist infiltration at the pain clinic of the hospital is considered. Surgery is recommended if these interventions fail.

Given the lack of established correlation between PSS and pain intensity (11), individual patient assessment becomes imperative. Therefore, the present study aimed to assess PSS in CTS utilizing a standardized clinical tool, aiming to enhance understanding of the impact of surgery on PSS management.

Patients and methods

Study design and participants

The present study was a prospective, longitudinal, non-randomized study that aimed to evaluate PSS in CTS following surgical management. A total of 122 patients were evaluated in the preoperative stage and, according to the elimination criteria and lost patients at follow-up, 19 patients were included in the final study [female:male, 15:4 (78.9:21.1%)], and they were admitted between June 2007 to September 2017. Measurements were performed both before and after surgical intervention. All patients were evaluated at the Peripheral Nerve Clinic of the Stereotactic and Functional Neurosurgery Service at Mexico General Hospital in Mexico City, Mexico (Fig. 1).

Figure 1

Flowchart. *Pharmacological management with neuromodulators (antidepressants, anxiolytics, and analgesics even at maximum doses), rehabilitation with thermotherapy and electrotherapy, or wrist infiltration. **Heart disease or coagulopathies. CTS, carpal tunnel syndrome; PNCSFNS, Peripheral Nerve Clinic of the Stereotactic and Functional Neurosurgery Service; BCTQ, Boston Carpal Tunnel Syndrome Questionnaire; SFSS, Sensory Frequency of Symptoms Scale; SSS, Severity Symptoms Scale; EMG, electromyography; VAS, Visual Analogue Scale.

Inclusion criteria

The inclusion criteria were as follows: Male or female adult patients (age, 18-75 years); failure to respond to treatment with neuromodulators (antidepressants, anxiolytics and analgesics even at maximum doses), treatment in rehabilitation with thermotherapy and electrotherapy, or wrist infiltration by the hospital's pain clinic with a clinical diagnosis of CTS confirmed via electromyography; severe CTS with >7 Visual Analogue Scale (VAS) points.

Exclusion criteria

Patients with comorbidities associated with neuropathy, patients with a high surgical risk (including heart disease or coagulopathies) and refusal to undergo surgery; continuation of other previous procedures including pharmacological therapy, electrotherapy, thermotherapy or wrist infiltration.

Elimination criteria

Patients who missed post-operative evaluation and those lost to follow-up or patients that declined the participation in the present study. All patients provided written informed consent. The present study was approved by the Mexico General Hospital Research and Ethics Committee (approval no. DI/16/403/03/152; Mexico City, Mexico).

Data collection

Patient characteristics, including age, sex, location of CTS, occupation, comorbidities and average follow-up duration, defined as the time between follow-up and the clinical evaluation of symptoms were collected. The clinical evaluation of patients was focused on data collection pre- and post-surgery, and included pain as well as functional, motor and sensory disturbances. Pain intensity was assessed according to the VAS (12), functional components were evaluated using BCTQ (7) and motor status was evaluated using the classical British Medical Research Council (BMRC) Motor Grading Scale (13), which evaluated the flexor muscles of the hand. The present study focused on PSS, and these were evaluated using the Severity Symptom Scale of the BCTQ, and the Sensory Frequency of Symptoms Scale (SFSS). Notably, the SFSS scores the frequency of sensorial manifestations from 0 to 4, with 4 corresponding to experienced symptoms >90% of the time, 3 corresponding to experienced symptoms 50-89% of the time, 2 corresponding to experienced symptoms 11-49% of the time, 1 corresponding to experienced symptoms <10% of the time and 0 corresponding to no symptoms (11). All clinical components were evaluated by an independent surgeon. Further details of all questionnaires are displayed in Figs. S1 and S2 (11).

Surgical procedure

Simple open surgery was performed using the Tindall technique (14). Briefly, the subcutaneous tissue and superficial fascia were exposed, and the transverse carpal ligament was fully cut, starting in the proximal edge. This method was used to avoid damage to the flexor tendons and led to the subsequent release of the median nerve. This type of incision exposes the nerve and eliminates the presence of adhesions that cannot be observed using small incisions.

Statistical analysis

Data are presented as the mean ± standard deviation. Differences in pain, and functional, motor or sensory manifestations were compared pre- and post-surgery using a paired Student's t-test and a Wilcoxon signed-rank test. To further evaluate potential differences pre- and post-surgery, Cohen's D test was used to recalculate the correction coefficient for small sample sizes to avoid overestimation of values. Statistical analysis was carried out using SPSS (v.25.0; IBM Corp.) α=0.05 and β=0.2 and P<0.05 were considered to indicate a statistically significant difference.

Results

In total, 112 patients diagnosed with CTS at the Peripheral Nerve Clinic of the Stereotactic and Functional Neurosurgery Service at Mexico General Hospital were screened according to the eligibility criteria. Subsequently, 19 of 112 patients (16.9%) were included in the present study, and 93 patients were excluded due to a lack of post-operative follow-up. In total, 79% of patients were female, with a mean age of 54±10.31 years. The main affected side was the right side (79%), where the dominant hand was affected in 89.47% of the cases. In total, 47.36% of patients were housewives, and 11 patients presented with comorbidities (57.8%). The mean follow-up after surgery was 63±29.11 months. The results of the present study revealed that the pre-surgical and post-surgical BCTQ scores were 3.52±0.63 and 1.58±0.61, respectively (P<0.0001). The FSS component of the BCTQ demonstrated a score of 3.23±0.41 pre-surgery, compared with 1.8±0.43 post-surgery (P<0.0001). In addition, a reduction in Symptom Severity Scale (SSS) score was observed, at 3.57±0.61 pre-surgery, compared with 1.63±0.24 post-surgery (P<0.0001) (Fig. 2). Patient characteristics are displayed in Table I.

Figure 2

Standardized scales for the clinical and functional evaluation of patients with CTS, represented as means and standard deviations after statistical analysis using a T-test and Wilcoxon signed-rank test, demonstrating in all cases statistically significant decrease in the symptoms after the intervention (P<0.001). (A) BCTQ: Pre-operative (3.52±0.63), post-operative (1.58±0.61). (B) FSS: Pre-operative (3.23±0.41), post-operative (1.8±0.43). (C) SSS: Pre-operative (3.57±0.61), Post-operative (1.63±0.24). ***P<0.001. BCTQ, Boston Carpal Tunnel Syndrome Questionnaire; FSS, Functional Status Scale; SSS, Symptom Severity Scale.

Table I

Clinical and demographical characteristics of the included patients with carpal tunnel syndrome.

Table I

Clinical and demographical characteristics of the included patients with carpal tunnel syndrome.

 BCTQ (SSS)VASBMRC
No. of patient (Sex)Age (years)Side of injury (Hand dominance)OccupationComorbiditiesFollow-up after surgery (months)Pre-opPost-opPre-opPost-opPre-opPost-op
1 (F)51L (R)HWV1203.551.4510555
2 (F)39L (L)HWSAH, BCy963.821.097135
3 (M)67R (R)R-962.821.007055
4 (F)74R (R)HWG, C, SAH, CRF, UI843.092.007155
5 (F)54R (R)HWV842.911.277055
6 (F)48R (R)BMSAH723.451.0910134
7 (F)38R (R)BM-722.451.097545
8 (F)55R (R)S-722.551.007145
9 (M)69L (R)R-723.361.557054
10 (F)54R (R)HW-724.552.647134
11 (M)60R (R)R-724.001.4510634
12 (F)35R (R)UEHAS, PA724.271.2710534
13 (M)46R (R)BMH243.641.457155
14 (F)56R (R)UE-93.911.737055
15 (F)59R (R)HW-362.731.009455
16 (F)54R (R)HWSp, B363.641.557055
17 (F)52R (R)NGERD, St, IBS, AR, IR, O, CSS, UF364.453.277035
18 (F)67L (L)HWBCa, St603.731.917045
19 (F)48R (R)HWCSS124.092.277045
Mean (SD)/Percentage (%)54.00±10.3189.47% (Affected side in dominant hand)  63.00±29.113.52±0.631.58±0.617.73±1.241.65±2.884.15±0.884.75±0.25

[i] BCTQ, Boston Carpal Tunnel Syndrome Questionnaire; SSS, Symptom Severity Scale; HW, housewife; R, retired; BM, businessman; N, nurse; UE, unemployed; S, seamstress; SAH, systemic arterial hypertension; BCy, breast cysts; Bca, breast cancer; V, vitiligo; H, hypothyroidism; PA, pituitary adenoma; Sp, spasticity; B, bradycardia; St, stroke; CSS, cervical spinal stenosis; GERD, gastroesophageal reflux disease; IBS, irritable bowel syndrome; AR, allergic rhinitis; IR, insulin resistance; O, osteopenia; UF, uterine fibroids; CRF, chronic renal failure; UI, urinary incontinence; C, cataracts; G, glaucoma.

In addition to sensory manifestations, classical clinical symptoms, such as pain and strength, were recorded in the present study. According to VAS, levels of pain were significantly decreased post-surgery, with scores of 1.65±2.88 compared with 7.73±1.24 pre-surgery (P<0.001) (Table I). According to the BMRC, motor function was significantly increased, with a score of 4.15±0.88 pre-surgery, compared with 4.75±0.25 post-surgery (P=0.002) (Table I).

Certain sensory disturbances are considered SSS items of the BCTQ (Fig. 3). The results of the present study demonstrated a decrease in paresthesia and dysesthesias in patients (P<0.001), and PSS are highlighted in blue (Fig. 4). Allodynia is not included in the BCTG; thus, additional scales were used to evaluate potential changes in this symptom.

Figure 3

Clinical outcomes according to the Symptom Severity Scale component of the Boston Carpal Tunnel Syndrome Questionnaire broken down by the outcomes of each of the patients included in the present study. Those manifestations that fall within the positive sensory manifestations such as paresthesias and dysesthesias are highlighted in blue color. (A) Clinical evaluation before surgery. (B) Clinical evaluation after surgery.

Figure 4

Statistical analysis of positive sensory symptoms (tingling and numbness) considered by the SSS component of the Boston Carpal Tunnel Syndrome Questionnaire, where mean and standard deviations are represented. An analysis using a Wilcoxon signed-rank test was performed, showing significant changes in all components. (A) Numbness/Hypoesthesia. (B) Tingling. (C) Numbness/Tingling (Severity). (D) Numbness/Tingling (Frequency). ***P<0.001 and ****P<0.0001. SSS, Symptom Severity Scale.

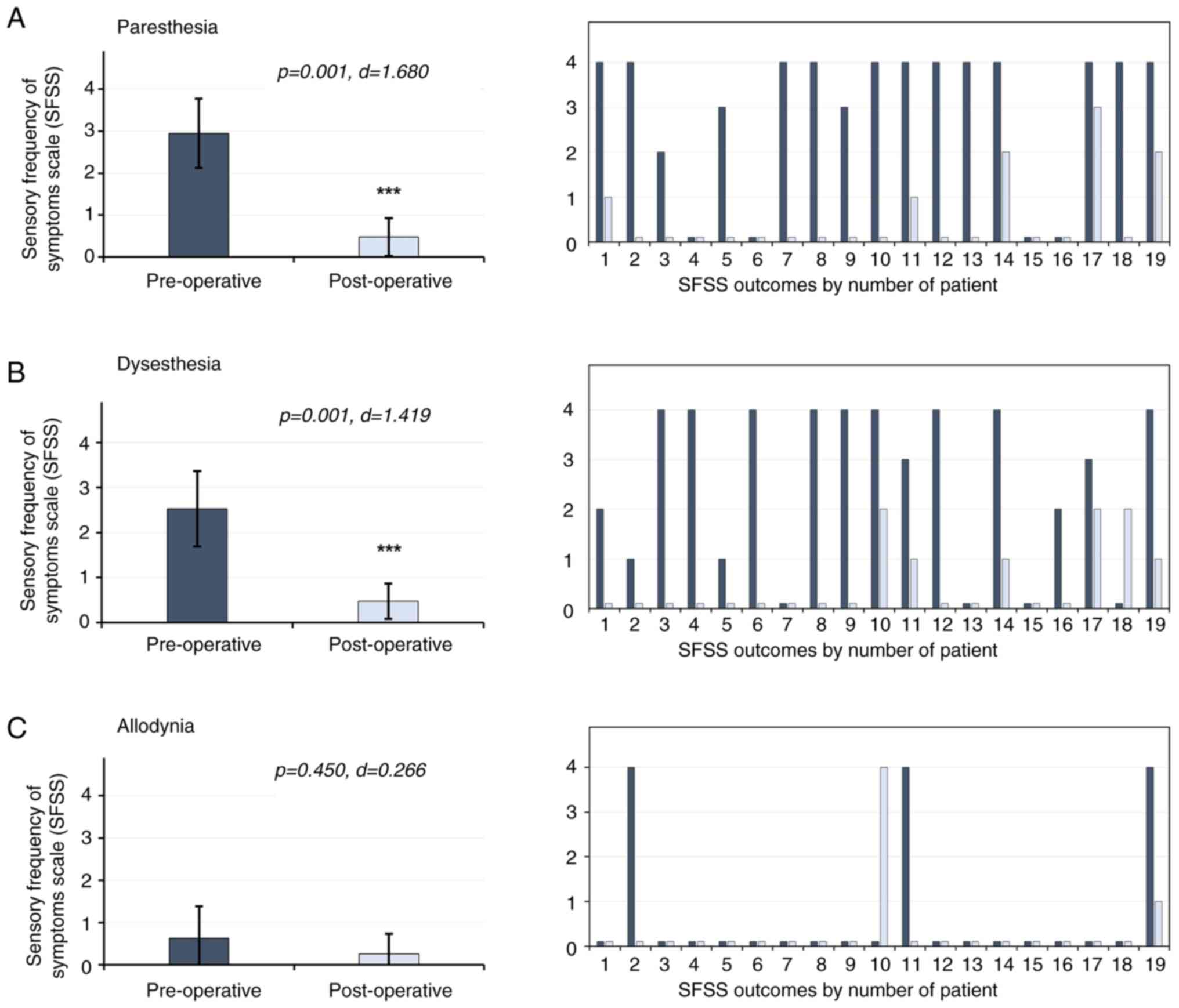
The results of the present study revealed that levels of paresthesia decreased by 84%, with pre-surgery scores of 2.94±0.82 compared with 0.47±0.45 post-surgery (P=0.001; d=1.680). Levels of dysesthesia decreased by 81%, with a pre-surgery score of 2.52±0.84, compared with 0.47±0.39 post-surgery (P=0.001; d=1.419). Paresthesia and dysesthesia were decreased in 100% of the patients who presented with these manifestations prior to surgery. Notably, allodynia was considered an infrequent manifestation, presenting in 3 patients only (15.7%). However, allodynia levels decreased by 58%, with a pre-surgery score of 0.63±0.75, compared with a post-surgery score of 0.26±0.47 (P=0.450; d=0.266) (Fig. 5).

Figure 5

Positive sensory symptoms outcomes according to SFSS. (A) Paresthesias: Significant decrease was observed (84%), with significant differences (P=0.001, d=1.680). Preoperative (2.94±0.82), postoperative (0.47±0.45). (B) Dysesthesias: Decreased considerably (81%), with significant differences (P=0.001, d=1.419). Preoperative (2.52±0.84), postoperative (0.47±0.39). (C) Allodynia: Was infrequent and the decrease in symptoms was not significant (P=0.450, d=0.266). Preoperative (0.63±0.75), postoperative (0.26±0.47). Mean and standard deviation are represented in bar graphs. Statistical analysis was performed using a Wilcoxon signed-rank test. ***P<0.001. SFSS, Sensory Frequency of Symptoms Scale.

Discussion

At present, there is no consensus on the criteria used for grading paresthesia, dysesthesia and allodynia in CTS, and treatment options are typically offered based on the severity of pain (10). CTS surgery for the release of the median nerve entrapment is often recommended following electrophysiological examination (15-17). Numerous previous studies have focused on the association between symptom severity of pain, duration and surgical outcomes; however, improvements in clinical symptoms are under-reported (10). Notably, patients who are treated within three years of developing symptoms, such as pain and paresthesia, achieve complete resolution or notable improvements in symptoms (18-21). However, the association between the effectiveness of surgical management in CTS and dysesthesia or allodynia remains to be fully elucidated (11).

PSS are under-reported, as questionnaires that assess CTS mainly consider pain and paresthesia. Thus, further investigations into alternate sensory impairments, such as dysesthesia, allodynia and hypoesthesia, are required. A summary of all scores and scales is displayed in Table II (22-31).

Table II

Neuropathic pain and sensory symptoms considered by the reported scales.

Table II

Neuropathic pain and sensory symptoms considered by the reported scales.

Clinical scalePain (Intensity) Paresthesiaa Dysesthesiaa AllodyniaaHypoesthesia(Refs.)
BMRC sensory grading scale    ✓(13)
Katz-Stirrat diagram✓✓✓b ✓(22)
BCTQ✓✓✓b ✓(7)
Global/Katz✓✓✓b  (23)
DASH/Q-DASH✓✓   (8,9)
MHQ✓    (24)
Bland✓✓   (25)
Historical✓✓   (26)
Kamath & Stothard✓✓✓b  (27)
Wainner✓✓✓b ✓(28)
Lo✓    (29)
Historical-DP✓✓✓b  (30)
6-CTS✓✓✓b  (31)
SFSS ✓✓✓✓(11)

[i] aPositive sensory symptoms.

[ii] bRepresents only numbness and not all the clinical spectrum of dysesthesia. The check symbol (✓) represents the clinical items considered by the scales.

In 1957, Garland et al (32) reported the amelioration of paresthesia after treatment (32), and in 1958, Giannini et al (26) demonstrated comparable results. Subsequently, numerous previous studies have reported improvements in paresthesia, without the use of a scale (33-35). In 1996, Wintman et al (36) proposed a scale to assess pain, paresthesia and numbness; however, this scale is not commonly used in clinical practice (36). Further investigations into factors associated with paresthesia are required, such as timing, as nocturnal paresthesia is present in up to 95% of patients with CTS (25-27,29). In addition, symptoms such as hypoesthesia and allodynia are not well represented on a common clinical scale.

The results of a previous study revealed improvements in hypoesthesia following surgical decompression. However, no specific percentage of change was determined. In 1984, Duchateau and Moermans (37) reported improvements in hypoesthesia following surgery; thus, hypoesthesia and allodynia were recognized as clinical features of CTS. The results of the present study revealed that hypoesthesia was present in 42.1% of patients with CTS, and this decreased to 26.3% after surgery. Allodynia was present in 15.7% of patients; however, no improvements were observed following surgery.

Further investigations into the impact of surgical management on allodynia are required; however, measurements of allodynia are complex.

The BCTQ scale is a widely used scale for the evaluation of CTS, and includes PSS, as well as hypoesthesia and weakness. Notably, the BCTQ scale includes paresthesias and dysesthesias; however, it does not include allodynia. In other scales, such as the Katz, Kamath and Stothard, Wainner, 6-CTS, and Historical-DP, the dysesthesias component is replaced with numbness, which does not represent the spectrum of sensory manifestations that may be experienced with dysesthesias (7,22,27,28,31). Symptoms of dysesthesias may also include burning, stiff skin and subjective sensations that a patient finds difficult to describe (5). Thus, scales that report the evaluation of numbness were classed as reported dysesthesias (Table II).

In the present study, a total of 2 patients presented with allodynia following surgery. Aydin et al (38) reported that scarring, fibrosis and adhesion processes may cause symptoms such as PSS, which may provide an explanation as to why novel symptoms arise following surgery (38-41). In addition, 1 patient exhibited fewer improvements in PSS following surgery, which may be associated with a high number of comorbidities in this patient, such as insulin resistance that may be associated with nerve damage (42).

Nerve compression leads to imbalances between excitatory and inhibitory signaling in different nerve fibers, and these imbalances are associated with ectopic activity, which plays a key role in the pathophysiology of pain and PSS (6). The results of a previous study demonstrated that allodynia results from peripheral drive involving subsets of neurons that are not classical nociceptors, leading to the presence of proprioceptive fibers with sensory abnormalities. Numerous mediators activate microglia, such as cytokines and brain-derived neurotrophic factors, highlighting the involvement of multiple molecules (43).

A previous study on peripheral nerve injury revealed the association between PSS and pain intensity, highlighting the requirement for independent evaluation of these factors. The development of a standardized clinical evaluation for patients with CTS is required, which includes the majority of symptoms experienced (11). PSS affect the same nerve fibers; however, these exhibit different molecular and signaling characteristics that are complex to define. This leads to complexities in identifying whether PSS occur simultaneously or as isolated symptoms (6,42,43).

The SFSS was used in the present study to determine specific patterns associated with each symptom, and to establish a threshold of statistically significant improvements. The assessment of paresthesia, dysesthesia and allodynia was conducted by examining two primary components of each: The pain component and the sensory component. While the pain component is extensively documented in global literature as a descriptive measure (presence or absence), the utilization of scales that could offer a more precise understanding of the discomfort experienced is not consistently explored. The sensory component, which is emphasized in the present study, is significant due to its role in causing discomfort and directly impacting the daily lives and activities of affected patients aiming to evaluate the various symptoms present in CTS, and to develop a scale that established the percentage of symptom relief, referred to as ‘converting the soft data into hard data’ (44).

The present study exhibits numerous limitations, including study design, where randomization, blinding and comparison with another standard therapeutic procedure have not been performed. A convenient, self-controlled design was used in the present study, as surgical treatment altered the natural history of the disease (10). Thus, evaluations performed using the SSS of the BCTQ and the SFSS before and after surgery demonstrated the magnitude of changes, with no ethical implications having an impact. While it may be considered a limitation, the infrequency of the allodynia (3 patients in total in the present study) does not diminish its importance in reporting. Similar to other sensory symptoms, it is crucial to evaluate and report it to assess the overall condition of the patient, as it can cause discomfort and directly impact the daily lives and activities of patients.

The present study focused on PSS, and negative sensory symptoms were not considered, as these are not often present in patients with compressive neuropathy. Notably, an exhaustive questionnaire, including pain intensity, paresthesia, dysesthesia and allodynia must be used in the evaluation of patients, as these symptoms are often experienced simultaneously. In addition, further investigations into comorbidities that affect the nervous system and the period of time before surgery are required to determine improvements observed following surgery.

Regarding the loss of patients, 83% of them did not continue in the study as they kept the consultation in their hometown clinics. As a result, a total of 19 patients were followed-up in the present study and were in line with the strict selection criteria. The follow-up period in these patients was 5.2 years, with the highest period lasting 10 years. Notably, the majority of previous studies reported that follow-up periods lasted <1 year (10) (Fig. 1).

The electromyographic studies were not applied after the surgery because the criteria for using it in the study was mainly to diagnose the nerve lesion in CTS. In addition, they were not performed after the surgery, because clinical improvement of the sensitive and pain symptoms were found in all of the patients reported.

The complexity of identifying both sensitive and pain components needed to be elucidated as an independent phenomenon that occasionally occurs like a symbiosis presented at the same time. However, the special distinction between them together with the clinical assessment is the novelty of the present study.

In conclusion, decompression of the median nerve in patients with CTS may lead to clinical and functional improvements. The results of the present study demonstrated that PSS, such as paresthesias and dysesthesias, were markedly improved following surgery. However, the effectiveness of surgery in relieving allodynia remains to be fully elucidated. Thus, further clinical essays focused strictly into the association of the sensitive components using novel clinometric scales and electrophysiological studies are required to transform ‘soft data’ into ‘hard data’.

Supplementary Material

Sensory Frequency of Symptoms Scale.
Boston Carpal Tunnel Syndrome Questionnaire.

Acknowledgements

Not applicable.

Funding

Funding: No funding was received.

Availability of data and materials

The data generated in the present study may be requested from the corresponding author.

Authors' contributions

JDCR conceptualized and supervised the study, validated and curated data, and performed formal analysis and project administration. APCC developed methodology, and performed software analysis and data validation. JCR and ACC confirm the authenticity of all the raw data. AAS conceptualized the study, curated data, performed formal analysis, conducted investigation, developed methodology and wrote the original draft. FXCR performed formal analysis, developed methodology, wrote the original draft and edited the manuscript. HFGM performed formal analysis, developed methodology, wrote the original draft and edited the manuscript. AIGJ conducted investigation, developed methodology and wrote the original draft. JLNO performed formal analysis and project administration and validated the data. LGM and ASP wrote, reviewed and edited the manuscript, and validated the data. All authors read and approved the final manuscript.

Ethics approval and consent to participate

The present study was approved by the Mexico General Hospital Research and Ethics Committee (approval no. DI/16/403/03/152; Mexico City, Mexico). All patients provided their verbal and written informed consent to participate in the present study.

Patient consent for publication

Not applicable.

Competing interests

The authors declare that they have no competing interests.

References

1 

Cranford CS, Ho JY, Kalainov DM and Hartigan BJ: Carpal tunnel syndrome. J Am Acad Orthop Surg. 15:537–548. 2007.PubMed/NCBI View Article : Google Scholar

2 

Urits I, Gress K, Charipova K, Orhurhu V, Kaye AD and Viswanath O: Recent Advances in the understanding and management of carpal tunnel syndrome: A comprehensive review. Curr Pain Headache Rep. 23(70)2019.PubMed/NCBI View Article : Google Scholar

3 

Colloca L, Ludman T, Bouhassira D, Baron R, Dickenson AH, Yarnitsky D, Freeman R, Truini A, Attal N, Finnerup NB, et al: Neuropathic pain. Nat Rev Dis Primers. 3(17002)2017.PubMed/NCBI View Article : Google Scholar

4 

Doyle JR and Carroll RE: The carpal tunnel syndrome. A review of 100 patients treated surgically. Calif Med. 108:263–267. 1968.PubMed/NCBI

5 

Pal B: 10-min consultation: Paraesthesia. BMJ. 324(1501)2002.PubMed/NCBI View Article : Google Scholar

6 

Jensen TS and Finnerup NB: Allodynia and hyperalgesia in neuropathic pain: Clinical manifestations and mechanisms. Lancet Neurol. 13:924–935. 2014.PubMed/NCBI View Article : Google Scholar

7 

Meyers A, Annunziata MJ, Rampazzo A and Bassiri Gharb B: A systematic review of the outcomes of carpal ligament release in severe carpal tunnel syndrome. J Hand Surg Am. 48:408.e1–408.e18. 2023.PubMed/NCBI View Article : Google Scholar

8 

Levine D, Simmons B, Koris MJ, Daltroy LH, Hohl GG, Fossel AH and Katz JN: A self-administered questionnaire for the assessment of severity of symptoms and functional status in carpal tunnel syndrome. J Bone Joint Surg Am. 75:1585–1592. 1993.PubMed/NCBI View Article : Google Scholar

9 

Hudak PL, Amadio PC and Bombardier C: Development of an upper extremity outcome measure: the DASH (disabilities of the arm, shoulder and hand) [corrected]. The upper extremity collaborative group (UECG). Am J Ind Med. 29:602–608. 1996.PubMed/NCBI View Article : Google Scholar

10 

Beaton DE, Wright JG and Katz JN: Upper Extremity Collaborative Group. Development of the QuickDASH: Comparison of three item-reduction approaches. J Bone Joint Surg Am. 87:1038–1046. 2005.PubMed/NCBI View Article : Google Scholar

11 

García-Jeronimo AI, Armas-Salazar A, García-Muñoz L, Navarro-Olvera JL, Esqueda-Liquidano MA and Carrillo-Ruiz JD: Neuropathic pain and positive sensory symptoms in brachial plexus neuropathy: An exploratory study of outcomes after surgical decompression and proposal of a new sensory frequency of symptoms scale. J Integr Neurosci. 22(25)2023.PubMed/NCBI View Article : Google Scholar

12 

Chiarotto A, MaxwellL J, Ostelo RW, Boers M, Tugwell P and Terwee CB: Measurement properties of visual analogue scale, numeric rating scale, and pain severity subscale of the brief pain inventory in patients with low back pain: A systematic review. J Pain. 20:245–263. 2019.PubMed/NCBI View Article : Google Scholar

13 

James MA: Use of the medical research council muscle strength grading system in the upper extremity. J Hand Surg Am. 32:154–156. 2007.PubMed/NCBI View Article : Google Scholar

14 

Tindall S: Chronic injuries of periphereal nerves entrapment. In: Youmans Neurological Surgery. Vol 3. 4th edition. Saunders Co., Dundee OR, 1996.

15 

Lu YT, Deol AK and Sears ED: The association between electrodiagnostic severity and treatment recommendations for carpal tunnel syndrome. J Hand Surg Am. 46:92–98. 2021.PubMed/NCBI View Article : Google Scholar

16 

Keith MW, Masear V, Chung KC, Maupin K, Andary M, Amadio PC, Watters WC III, Goldberg MJ, Haralson RH III, Turkelson CM, et al: American academy of orthopaedic surgeons clinical practice guideline on diagnosis of carpal tunnel syndrome. J Bone Joint Surg Am. 91:2478–2479. 2009.PubMed/NCBI View Article : Google Scholar

17 

Maggard MA, Harness NG, Chang WT, Parikh JA, Asch SM and Nuckols TK: Carpal Tunnel Quality Group. Indications for performing carpal tunnel surgery: Clinical quality measures. Plast Reconstr Surg. 126:169–179. 2010.PubMed/NCBI View Article : Google Scholar

18 

Choi SJ and Ahn DS: Correlation of clinical history and electrodiagnostic abnormalities with outcome after surgery for carpal tunnel syndrome. Plast Reconstr Surg. 102:2374–2380. 1998.PubMed/NCBI View Article : Google Scholar

19 

al-Qattan MM, Bowen V and Manktelow RT: Factors associated with poor outcome following primary carpal tunnel release in non-diabetic patients. J Hand Surg Br. 19:622–625. 1994.PubMed/NCBI View Article : Google Scholar

20 

DeStefano F, Nordstrom DL and Vierkant RA: Long-term symptom outcomes of carpal tunnel syndrome and its treatment. J Hand Surg Am. 22:200–210. 1997.PubMed/NCBI View Article : Google Scholar

21 

Nau HE, Lange B and Lange S: Prediction of outcome of decompression for carpal tunnel syndrome. J Hand Surg Br. 13:391–394. 1988.PubMed/NCBI View Article : Google Scholar

22 

Katz JN, Gelberman RH, Wright EA, Abrahamsson SO and Lew RA: A preliminary scoring system for assessing the outcome of carpal tunnel release. J Hand Surg Am. 19:531–538. 1994.PubMed/NCBI View Article : Google Scholar

23 

Katz JN and Stirrat CR: A self-administered hand diagram for the diagnosis of carpal tunnel syndrome. J Hand Surg Am. 15:360–363. 1990.PubMed/NCBI View Article : Google Scholar

24 

Chung KC, Hamill JB, Walters MR and Hayward RA: The michigan hand outcomes questionnaire (MHQ): Assessment of responsiveness to clinical change. Ann Plast Surg. 42:619–622. 1999.PubMed/NCBI View Article : Google Scholar

25 

Bland JD: The value of the history in the diagnosis of carpal tunnel syndrome. J Hand Surg Am. 25:445–450. 2000.PubMed/NCBI View Article : Google Scholar

26 

Giannini F, Cioni R, Mondelli M, Padua R, Gregori B, D'Amico P and Padua L: A new clinical scale of carpal tunnel syndrome: Validation of the measurement and clinical-neurophysiological assessment. Clin Neurophysiol. 113:71–77. 2002.PubMed/NCBI View Article : Google Scholar

27 

Kamath V and Stothard J: A clinical questionnaire for the diagnosis of carpal tunnel syndrome. J Hand Surg Am. 28:455–459. 2003.PubMed/NCBI View Article : Google Scholar

28 

Wainner RS, Fritz JM, Irrgang JJ, Delitto A, Allison S and Boninger ML: Development of a clinical prediction rule for the diagnosis of carpal tunnel syndrome. Arch Phys Med Rehabil. 86:609–618. 2005.PubMed/NCBI View Article : Google Scholar

29 

Lo JK, Finestone HM and Gilbert K: Prospective evaluation of the clinical prediction of electrodiagnostic results in carpal tunnel syndrome. PM R. 1:612–619. 2009.PubMed/NCBI View Article : Google Scholar

30 

Caliandro P, Giannini F, Pazzaglia C, Aprile I, Minciotti I, Granata G, Tonali P and Padua L: A new clinical scale to grade the impairment of median nerve in carpal tunnel syndrome. Clin Neurophysiol. 121:1066–1071. 2010.PubMed/NCBI View Article : Google Scholar

31 

Atroshi I, Lyrén PE, Ornstein E and Gummesson C: The six-item CTS symptoms scale and palmar pain scale in carpal tunnel syndrome. J Hand Surg Am. 36:788–794. 2011.PubMed/NCBI View Article : Google Scholar

32 

Garland H, Bradshaw JP and Clark JM: Compression of median nerve in carpal tunnel and its relation to acroparaesthesiae. Br Med J. 1:730–734. 1957.PubMed/NCBI View Article : Google Scholar

33 

Heathefield KW: Acroparaesthesiae and the carpal-tunnel syndrome. Lancet. 273:663–666. 1957.PubMed/NCBI View Article : Google Scholar

34 

Opit LJ and Rieger RA: Acroparesthesia and the ‘carpal tunnel syndrome’. Aust N Z J Surg. 32:59–65. 1962.PubMed/NCBI View Article : Google Scholar

35 

Seze D and Phankim-Koupernik M: Acroparesthesias and carpal canal syndrome. Rev Rhum Mal Osteoartic. 29:244–251. 1962.PubMed/NCBI(In French).

36 

Wintman BI, Winters SC, Gelberman RH and Katz JN: Carpal tunnel release. Correlations with preoperative symptomatology. Clin Orthop Relat Res. 135–145. 1996.PubMed/NCBI

37 

Duchateau JA and Moermans JP: Carpal tunnel syndrome: Postsurgical course of symptoms. Ann Chir Main. 3:227–231. 1984.PubMed/NCBI View Article : Google Scholar

38 

Aydin M, Argun G, Acar B, Arikan M, Toğral G, Cinaroglu S, Mert A and Demi Rtas M: Residual symptoms after carpal tunnel decompression and treatment with gabapentin: A multicenter study. Cureus. 13(e17638)2021.PubMed/NCBI View Article : Google Scholar

39 

Rose EH: The use of the palmaris brevis flap in recurrent carpal tunnel syndrome. Hand Clin. 12:389–395. 1996.PubMed/NCBI

40 

Phalen GS: The carpal-tunnel syndrome. Seventeen years' experience in diagnosis and treatment of six hundred fifty-four hands. J Bone Joint Surg Am. 48:211–228. 1996.PubMed/NCBI

41 

Assmus H, Dombert T and Staub F: Reoperations for CTS because of recurrence or for correction. Handchir Mikrochir Plast Chir. 38:306–311. 2006.PubMed/NCBI View Article : Google Scholar : (In German).

42 

Zhou L: Small fiber neuropathy. Semin Neurol. 39:570–577. 2019.PubMed/NCBI View Article : Google Scholar

43 

Lolignier S, Eijkelkamp N and Wood JN: Mechanical allodynia. Pflugers Arch. 467:133–139. 2015.PubMed/NCBI View Article : Google Scholar

44 

Wright JG and Feinstein AR: A comparative contrast of clinimetric and psychometric methods for constructing indexes and rating scales. J Clin Epidemiol. 45:1201–1218. 1992.PubMed/NCBI View Article : Google Scholar

Related Articles

  • Abstract
  • View
  • Download
  • Twitter
Copy and paste a formatted citation
Spandidos Publications style
Carrillo-Ruiz JD, Cortés-Contreras AP, Salazar AA, Cid-Rodriguez FX, González-Morales HF, García-Jerónimo AI, Navarro-Olvera JL, García-Muñoz L and Salazar-Pigeon A: Positive sensory symptoms, in surgically managed patients with carpal tunnel syndrome: A long term follow‑up. Exp Ther Med 28: 401, 2024.
APA
Carrillo-Ruiz, J.D., Cortés-Contreras, A.P., Salazar, A.A., Cid-Rodriguez, F.X., González-Morales, H.F., García-Jerónimo, A.I. ... Salazar-Pigeon, A. (2024). Positive sensory symptoms, in surgically managed patients with carpal tunnel syndrome: A long term follow‑up. Experimental and Therapeutic Medicine, 28, 401. https://doi.org/10.3892/etm.2024.12690
MLA
Carrillo-Ruiz, J. D., Cortés-Contreras, A. P., Salazar, A. A., Cid-Rodriguez, F. X., González-Morales, H. F., García-Jerónimo, A. I., Navarro-Olvera, J. L., García-Muñoz, L., Salazar-Pigeon, A."Positive sensory symptoms, in surgically managed patients with carpal tunnel syndrome: A long term follow‑up". Experimental and Therapeutic Medicine 28.4 (2024): 401.
Chicago
Carrillo-Ruiz, J. D., Cortés-Contreras, A. P., Salazar, A. A., Cid-Rodriguez, F. X., González-Morales, H. F., García-Jerónimo, A. I., Navarro-Olvera, J. L., García-Muñoz, L., Salazar-Pigeon, A."Positive sensory symptoms, in surgically managed patients with carpal tunnel syndrome: A long term follow‑up". Experimental and Therapeutic Medicine 28, no. 4 (2024): 401. https://doi.org/10.3892/etm.2024.12690
Copy and paste a formatted citation
x
Spandidos Publications style
Carrillo-Ruiz JD, Cortés-Contreras AP, Salazar AA, Cid-Rodriguez FX, González-Morales HF, García-Jerónimo AI, Navarro-Olvera JL, García-Muñoz L and Salazar-Pigeon A: Positive sensory symptoms, in surgically managed patients with carpal tunnel syndrome: A long term follow‑up. Exp Ther Med 28: 401, 2024.
APA
Carrillo-Ruiz, J.D., Cortés-Contreras, A.P., Salazar, A.A., Cid-Rodriguez, F.X., González-Morales, H.F., García-Jerónimo, A.I. ... Salazar-Pigeon, A. (2024). Positive sensory symptoms, in surgically managed patients with carpal tunnel syndrome: A long term follow‑up. Experimental and Therapeutic Medicine, 28, 401. https://doi.org/10.3892/etm.2024.12690
MLA
Carrillo-Ruiz, J. D., Cortés-Contreras, A. P., Salazar, A. A., Cid-Rodriguez, F. X., González-Morales, H. F., García-Jerónimo, A. I., Navarro-Olvera, J. L., García-Muñoz, L., Salazar-Pigeon, A."Positive sensory symptoms, in surgically managed patients with carpal tunnel syndrome: A long term follow‑up". Experimental and Therapeutic Medicine 28.4 (2024): 401.
Chicago
Carrillo-Ruiz, J. D., Cortés-Contreras, A. P., Salazar, A. A., Cid-Rodriguez, F. X., González-Morales, H. F., García-Jerónimo, A. I., Navarro-Olvera, J. L., García-Muñoz, L., Salazar-Pigeon, A."Positive sensory symptoms, in surgically managed patients with carpal tunnel syndrome: A long term follow‑up". Experimental and Therapeutic Medicine 28, no. 4 (2024): 401. https://doi.org/10.3892/etm.2024.12690
Follow us
  • Twitter
  • LinkedIn
  • Facebook
About
  • Spandidos Publications
  • Careers
  • Cookie Policy
  • Privacy Policy
How can we help?
  • Help
  • Live Chat
  • Contact
  • Email to our Support Team