Spandidos Publications Logo
  • About
    • About Spandidos
    • Aims and Scopes
    • Abstracting and Indexing
    • Editorial Policies
    • Reprints and Permissions
    • Job Opportunities
    • Terms and Conditions
    • Contact
  • Journals
    • All Journals
    • Oncology Letters
      • Oncology Letters
      • Information for Authors
      • Editorial Policies
      • Editorial Board
      • Aims and Scope
      • Abstracting and Indexing
      • Bibliographic Information
      • Archive
    • International Journal of Oncology
      • International Journal of Oncology
      • Information for Authors
      • Editorial Policies
      • Editorial Board
      • Aims and Scope
      • Abstracting and Indexing
      • Bibliographic Information
      • Archive
    • Molecular and Clinical Oncology
      • Molecular and Clinical Oncology
      • Information for Authors
      • Editorial Policies
      • Editorial Board
      • Aims and Scope
      • Abstracting and Indexing
      • Bibliographic Information
      • Archive
    • Experimental and Therapeutic Medicine
      • Experimental and Therapeutic Medicine
      • Information for Authors
      • Editorial Policies
      • Editorial Board
      • Aims and Scope
      • Abstracting and Indexing
      • Bibliographic Information
      • Archive
    • International Journal of Molecular Medicine
      • International Journal of Molecular Medicine
      • Information for Authors
      • Editorial Policies
      • Editorial Board
      • Aims and Scope
      • Abstracting and Indexing
      • Bibliographic Information
      • Archive
    • Biomedical Reports
      • Biomedical Reports
      • Information for Authors
      • Editorial Policies
      • Editorial Board
      • Aims and Scope
      • Abstracting and Indexing
      • Bibliographic Information
      • Archive
    • Oncology Reports
      • Oncology Reports
      • Information for Authors
      • Editorial Policies
      • Editorial Board
      • Aims and Scope
      • Abstracting and Indexing
      • Bibliographic Information
      • Archive
    • Molecular Medicine Reports
      • Molecular Medicine Reports
      • Information for Authors
      • Editorial Policies
      • Editorial Board
      • Aims and Scope
      • Abstracting and Indexing
      • Bibliographic Information
      • Archive
    • World Academy of Sciences Journal
      • World Academy of Sciences Journal
      • Information for Authors
      • Editorial Policies
      • Editorial Board
      • Aims and Scope
      • Abstracting and Indexing
      • Bibliographic Information
      • Archive
    • International Journal of Functional Nutrition
      • International Journal of Functional Nutrition
      • Information for Authors
      • Editorial Policies
      • Editorial Board
      • Aims and Scope
      • Abstracting and Indexing
      • Bibliographic Information
      • Archive
    • International Journal of Epigenetics
      • International Journal of Epigenetics
      • Information for Authors
      • Editorial Policies
      • Editorial Board
      • Aims and Scope
      • Abstracting and Indexing
      • Bibliographic Information
      • Archive
    • Medicine International
      • Medicine International
      • Information for Authors
      • Editorial Policies
      • Editorial Board
      • Aims and Scope
      • Abstracting and Indexing
      • Bibliographic Information
      • Archive
  • Articles
  • Information
    • Information for Authors
    • Information for Reviewers
    • Information for Librarians
    • Information for Advertisers
    • Conferences
  • Language Editing
Spandidos Publications Logo
  • About
    • About Spandidos
    • Aims and Scopes
    • Abstracting and Indexing
    • Editorial Policies
    • Reprints and Permissions
    • Job Opportunities
    • Terms and Conditions
    • Contact
  • Journals
    • All Journals
    • Biomedical Reports
      • Information for Authors
      • Editorial Policies
      • Editorial Board
      • Aims and Scope
      • Abstracting and Indexing
      • Bibliographic Information
      • Archive
    • Experimental and Therapeutic Medicine
      • Information for Authors
      • Editorial Policies
      • Editorial Board
      • Aims and Scope
      • Abstracting and Indexing
      • Bibliographic Information
      • Archive
    • International Journal of Epigenetics
      • Information for Authors
      • Editorial Policies
      • Editorial Board
      • Aims and Scope
      • Abstracting and Indexing
      • Bibliographic Information
      • Archive
    • International Journal of Functional Nutrition
      • Information for Authors
      • Editorial Policies
      • Editorial Board
      • Aims and Scope
      • Abstracting and Indexing
      • Bibliographic Information
      • Archive
    • International Journal of Molecular Medicine
      • Information for Authors
      • Editorial Policies
      • Editorial Board
      • Aims and Scope
      • Abstracting and Indexing
      • Bibliographic Information
      • Archive
    • International Journal of Oncology
      • Information for Authors
      • Editorial Policies
      • Editorial Board
      • Aims and Scope
      • Abstracting and Indexing
      • Bibliographic Information
      • Archive
    • Medicine International
      • Information for Authors
      • Editorial Policies
      • Editorial Board
      • Aims and Scope
      • Abstracting and Indexing
      • Bibliographic Information
      • Archive
    • Molecular and Clinical Oncology
      • Information for Authors
      • Editorial Policies
      • Editorial Board
      • Aims and Scope
      • Abstracting and Indexing
      • Bibliographic Information
      • Archive
    • Molecular Medicine Reports
      • Information for Authors
      • Editorial Policies
      • Editorial Board
      • Aims and Scope
      • Abstracting and Indexing
      • Bibliographic Information
      • Archive
    • Oncology Letters
      • Information for Authors
      • Editorial Policies
      • Editorial Board
      • Aims and Scope
      • Abstracting and Indexing
      • Bibliographic Information
      • Archive
    • Oncology Reports
      • Information for Authors
      • Editorial Policies
      • Editorial Board
      • Aims and Scope
      • Abstracting and Indexing
      • Bibliographic Information
      • Archive
    • World Academy of Sciences Journal
      • Information for Authors
      • Editorial Policies
      • Editorial Board
      • Aims and Scope
      • Abstracting and Indexing
      • Bibliographic Information
      • Archive
  • Articles
  • Information
    • For Authors
    • For Reviewers
    • For Librarians
    • For Advertisers
    • Conferences
  • Language Editing
Login Register Submit
  • This site uses cookies
  • You can change your cookie settings at any time by following the instructions in our Cookie Policy. To find out more, you may read our Privacy Policy.

    I agree
Search articles by DOI, keyword, author or affiliation
Search
Advanced Search
presentation
International Journal of Epigenetics
Join Editorial Board Propose a Special Issue
Print ISSN: 2752-5406 Online ISSN: 2752-5414
Journal Cover
January-December 2025 Volume 5 Issue 1

Full Size Image

Sign up for eToc alerts
Recommend to Library

Journals

International Journal of Molecular Medicine

International Journal of Molecular Medicine

International Journal of Molecular Medicine is an international journal devoted to molecular mechanisms of human disease.

International Journal of Oncology

International Journal of Oncology

International Journal of Oncology is an international journal devoted to oncology research and cancer treatment.

Molecular Medicine Reports

Molecular Medicine Reports

Covers molecular medicine topics such as pharmacology, pathology, genetics, neuroscience, infectious diseases, molecular cardiology, and molecular surgery.

Oncology Reports

Oncology Reports

Oncology Reports is an international journal devoted to fundamental and applied research in Oncology.

Experimental and Therapeutic Medicine

Experimental and Therapeutic Medicine

Experimental and Therapeutic Medicine is an international journal devoted to laboratory and clinical medicine.

Oncology Letters

Oncology Letters

Oncology Letters is an international journal devoted to Experimental and Clinical Oncology.

Biomedical Reports

Biomedical Reports

Explores a wide range of biological and medical fields, including pharmacology, genetics, microbiology, neuroscience, and molecular cardiology.

Molecular and Clinical Oncology

Molecular and Clinical Oncology

International journal addressing all aspects of oncology research, from tumorigenesis and oncogenes to chemotherapy and metastasis.

World Academy of Sciences Journal

World Academy of Sciences Journal

Multidisciplinary open-access journal spanning biochemistry, genetics, neuroscience, environmental health, and synthetic biology.

International Journal of Functional Nutrition

International Journal of Functional Nutrition

Open-access journal combining biochemistry, pharmacology, immunology, and genetics to advance health through functional nutrition.

International Journal of Epigenetics

International Journal of Epigenetics

Publishes open-access research on using epigenetics to advance understanding and treatment of human disease.

Medicine International

Medicine International

An International Open Access Journal Devoted to General Medicine.

Journal Cover
January-December 2025 Volume 5 Issue 1

Full Size Image

Sign up for eToc alerts
Recommend to Library

  • Article
  • Citations
    • Cite This Article
    • Download Citation
    • Create Citation Alert
    • Remove Citation Alert
    • Cited By
  • Similar Articles
    • Related Articles (in Spandidos Publications)
    • Similar Articles (Google Scholar)
    • Similar Articles (PubMed)
  • Download PDF
  • Download XML
  • View XML
Article Open Access

Genetic and epigenetic mechanisms associated with child abuse: A bioinformatics study

  • Authors:
    • Elissavet Damaskopoulou
    • Louis Papageorgiou
    • Elias Eliopoulos
    • George P. Chrousos
    • Dimitrios Vlachakis
  • View Affiliations / Copyright

    Affiliations: Laboratory of Genetics, Department of Biotechnology, School of Applied Biology and Biotechnology, Agricultural University of Athens, 11855 Athens, Greece
    Copyright: © Damaskopoulou et al. This is an open access article distributed under the terms of Creative Commons Attribution License [CC BY 4.0].
  • Article Number: 4
    |
    Published online on: May 26, 2025
       https://doi.org/10.3892/ije.2025.27
  • Expand metrics +
Metrics: Total Views: 0 (Spandidos Publications: | PMC Statistics: )
Metrics: Total PDF Downloads: 0 (Spandidos Publications: | PMC Statistics: )
Cited By (CrossRef): 0 citations Loading Articles...

This article is mentioned in:


Abstract

Child abuse is a critical global issue that has profound consequences on mental and physical health. While environmental and social factors have been widely studied, the genetic and epigenetic mechanisms influencing susceptibility to child abuse and its long‑term effects remain underexplored. The present study employed a bioinformatics approach to identify genetic and epigenetic variations associated with child abuse. A database analysis and bioinformatics analysis were conducted to detect single nucleotide polymorphisms, differentially expressed genes, and pathways linked to stress responses, neurodevelopment and immune system regulation. The findings highlighted key genetic targets, including FKBP5, CRHR1, OXTR, NR3C1 and BDNF, which are implicated in stress regulation, emotional processing and resilience to trauma. Additionally, epigenetic modifications, such as DNA methylation and histone modifications were identified in genes related to the hypothalamic‑pituitary‑adrenal axis and the inflammatory response. On the whole, understanding these genetic and epigenetic mechanisms can provide insight into the biological underpinnings of child abuse‑related trauma. The present study supports the development of genetic risk assessment tools and targeted intervention strategies to mitigate the long‑term effects of abuse.

Introduction

Child abuse is a pervasive social and public health issue with profound and long-lasting effects on the psychological, physiological and neurological well-being of an individual (1). Exposure to maltreatment during childhood has been linked to an increased risk of developing mental health disorders, including depression, anxiety and post-traumatic stress disorder (2), as well as physiological conditions, such as cardiovascular diseases and immune dysregulation (3). While environmental and psychosocial factors play a crucial role in the consequences of child abuse, emerging evidence suggests that genetic and epigenetic mechanisms may significantly influence the susceptibility of an individual to adversity and their ability to cope with trauma (4).

Genetic factors, including polymorphisms in stress-related genes, have been found to be associated with variations in the response of an individual to trauma, potentially predisposing some individuals to more severe psychological outcomes (5). Additionally, epigenetic modifications, such as DNA methylation and histone modifications, can alter gene expression without changing the DNA sequence, influencing how individuals respond to early-life stressors (6). Studies have indicated that childhood adversity can lead to persistent epigenetic changes that affect stress response systems, such as the hypothalamic-pituitary-adrenal (HPA) axis, and contribute to an increased risk of developing psychiatric disorders later in life (7,8).

Despite growing interest in this field, there is still limited research applying bioinformatics approaches to systematically identify genetic and epigenetic mechanisms associated with child abuse (9). The present study aimed to bridge this gap by conducting a bioinformatics analysis of genetic variations and epigenetic modifications linked to child abuse. By integrating data from genome-wide association studies (GWAS) and epigenetic databases, the present study aimed to identify potential biomarkers that may enhance the current understanding of the biological underpinnings of child abuse-related psychopathology (10). The findings presented herein may contribute to the development of early risk assessment tools and targeted interventions for affected individuals (11).

Data and methods

Dataset collection

The key terms ‘Child abuse’, ‘Child sexual abuse’, ‘Child maltreatment’, ‘Child neglect’, ‘Child physical abuse’ and ‘Child sexual abuse’ were entered into the MEDLINE and PubMed databases without date restrictions. English-language publications related to these terms were searched, transformed from the PubMed online database (https://pubmed.ncbi.nlm.nih.gov/) and merged (downloaded and merged) into Medline format. PubMed is a search engine for life sciences and biomedical articles as it contains abstracts and references, but often also full articles with open access. It is part of the NCBI (National Center for Biotechnology Information) (12).

Data filtering and pre-analysis

In this step, key terms related to abuse, maltreatment and neglect were extracted. The process was carried out in the bioinformatics environment of MATLAB Bioinformatics Toolbox using regular expression and the corresponding PUBMED ID, during which the data was evaluated in order to extract and store the results. Using bioinformatics techniques, publications from different datasets were filtered to remove publications that appear more than once. This was performed in order to create the complete set of unique publications.

Extraction of single nucleotide polymorphisms (SNPs) and data annotation

SNPs associated with child abuse were extracted and annotated from various genomic databases. The identified SNPs were located in genes previously implicated in stress response and neurodevelopment. Additionally, non-coding regions, including long intergenic non-coding (LINC) RNAs and provisional gene identifiers (LOC), were analyzed.

LINC RNA genes represent a category of long non-coding RNAs that do not overlap with protein-coding genes and are involved in gene regulation. LOC genes serve as provisional gene identifiers assigned in genomic databases when their precise function or official gene symbol has yet to be determined.

For annotation, databases such as dbSNP (https://www.ncbi.nlm.nih.gov/snp/), GWAS Catalog (https://www.ebi.ac.uk/gwas/) and Kyoto Encyclopedia of Genes and Genomes (KEGG, https://www.genome.jp/kegg/) were utilized to classify the SNPs based on their genomic location, functional impact, and association with biological pathways.

Semantic analysis and gene targets classification

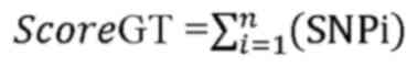
In this step, the annotated gene targets were scored through semantic analysis in order to identify and isolate the most direct and likely targets associated with child abuse. Thus, a scoring function was created in which we can differentiate the ‘related SNPs’ as well as the ‘strongly related SNPs’, which were ranked and rated in terms of the frequency of occurrence of polymorphisms in the articles studied and the frequency of occurrence of polymorphisms based on each genetic target.

The score genetic targets were as follows:

where i is the number of corresponding SNPs per genetic target and n is the total number of the SNPs per genetic target. Scoring function was calculated as follows: Related_Genetic Targets: Score <3, strongly related genetic target: score ≥3.

All SNPs were identified and classified into these two main categories, strongly related genetic targets and related genetic targets based on their correlation rate with the particular terms studied.

Genetic targets, disease, biological pathway analysis and dark DNA matters in adversity genes

From group A ‘Strongly related Genetic Target’ of genetic targets with high correlation, their related SNPs were analyzed in order to collect all disease ontologies. A bioinformatics algorithm was then used to identify the disease ontologies that occur with higher frequency. This precise result of the most frequently appearing key terms was captured and visualized as a word cloud in Fig. 1.

Figure 1

Visual representation of the identified key terms.

This word cloud visualizes the most frequently occurring terms related to child abuse in the dataset. Larger words indicate higher frequency within the dataset, highlighting the central themes related to child maltreatment and neglect.

In the same manner, using genetic targets, genes, pseudogenes, primates, characterized regions of dark DNA matter, such as long non coding RNAs and microRNAs (miRNAs/miRs), categories of biological pathways were discovered using the platform Reactome, in order to extract beneficial information regarding the major biological pathways of the key genetic targets.

The concept of ‘adversity genes’, as described by Levine et al (13) in 2017, is relevant to this analysis. Adversity genes refer to genetic elements that exhibit differential expression in response to environmental stressors, including childhood maltreatment. These genes, which include FKBP prolyl isomerase 5 (FKBP5), corticotropin releasing hormone receptor 1 (CRHR1), catechol-O-methyltransferase (COMT) and several non-coding RNA regions, play a pivotal role in the stress response of the body and the development of stress-related disorders (13). Their involvement in neuroendocrine signaling, epigenetic modulation, and immune system regulation further supports the hypothesis that adverse childhood experiences leave a lasting imprint at the genetic and epigenetic levels.

Epigenetic target analysis

All suspected SNPs potentially linked to epigenetics were studied through publications in order to understand the contribution of epigenetics to this subject. To obtain this, a search for specific polymorphisms corresponding to the genetic targets was performed and re-evaluated for their epigenetic contribution to this subject.

The suspected epigenetic polymorphisms were defined as polymorphisms corresponding to non-coding regions such as long non-coding RNAs (lncRNAs), LINCs RNAs, miRs and LOCs. The following terms were used:

LINC RNAs. A type of lncRNA that does not overlap protein-coding genes and plays a role in gene regulation, chromatin remodeling, and cellular processes.

LOC (locus). A placeholder name for genes or genomic regions that have been identified but are not yet fully characterized or named. These regions may contain functional elements, including non-coding RNAs or pseudogenes.

GWAS. A research approach that involves scanning complete sets of DNA (genomes) from multiple individuals to identify genetic variants associated with specific traits or diseases.

Epigenetics. The study of changes in gene expression that do not involve alterations in the DNA sequence, but are influenced by environmental and developmental factors, such as DNA methylation and histone modifications.

DNA methylation. A biochemical process that adds a methyl group to DNA, often silencing gene expression and playing a key role in regulating development and disease.

Histone modification. Chemical changes to histone proteins that affect the structure of chromatin and influence gene expression.

SNP. A variation in a single nucleotide at a specific position in the genome that may be associated with genetic predispositions to diseases or traits.

HPA axis. A major neuroendocrine system that regulates stress responses, metabolism, immune function, and mood through the release of hormones such as cortisol.

Results

Dataset collection

A systematic data mining and semantic analysis approach was employed to identify genes, variants and SNPs associated with child abuse, maltreatment and neglect. A total of 201,121 publications containing key terms, such as ‘Child abuse’, ‘Child sexual abuse’, ‘Child maltreatment’, ‘Child neglect’ and ‘Child physical abuse’ were retrieved from the MEDLINE and PubMed databases. The extracted data were filtered and processed to generate a dataset of genetic factors relevant to child abuse. The key words used in this analysis are closely related to the research subject and represent the most frequently occurring terms in the relevant literature (Table I).

Table I

Key words used and directly related to the types of child abuse.

Table I

Key words used and directly related to the types of child abuse.

Key wordsDefinition
Child abusePhysical, emotional, or sexual harm or potential harm inflicted on a child by an adult or another child.
• Child physical abuse 
• Child emotional abuse 
• Child sexual abuse 
Child neglectFailure to provide basic needs such as food, shelter, medical care, education, and supervision to a child. This can include neglecting a child's health, safety, or emotional well-being.
Child maltreatmentA broad term that encompasses both child abuse and neglect, as well as any other form of harmful behavior towards a child. Maltreatment is any form of harm or mistreatment that a child experiences at the hands of a caregiver or authority figure.

A visual representation of the identified key terms is presented in Fig. 1, which illustrates the frequency of key terms related to child abuse within the dataset. This visualization highlights the most commonly occurring terminology in the literature, providing insight into the breadth and focus of existing research. Additionally, a word cloud was generated to visually represent the most prominent terms extracted from the dataset (Fig. 2).

Figure 2

Word cloud presentation of identified key terms based on dataset input.

Data filtering and pre-analysis

A total of 529 abuse-related keywords were identified within the dataset, including ‘Child sexual abuse’, ‘Child emotional abuse’ and ‘Child neglect’. Semantic analysis was applied to refine the dataset, ensuring the inclusion of only the most relevant terms. The frequency of these key terms was analyzed, and the most frequently occurring words were identified (Table II). The table provides an overview of the most frequently occurring key terms within the dataset, demonstrating the breadth of terminology used in the literature related to child abuse.

Table II

List of the most frequently shown key terms describing child abuse within the dataset (frequency >150).

Table II

List of the most frequently shown key terms describing child abuse within the dataset (frequency >150).

NameFrequency
Child abuse563
Legal approach360
Population305
Child maltreatment295
Child sexual abuse289
Sexual abuse249
Adolescents242
Behavior234
Age factors218
Youth215
Professional patient relationship205
Developed countries200
Americas190
Children183
North America171
Genetics and reproduction171
Trauma161
Depression160
Economic factors152

A visual representation of the identified key terms was created in the form of a word cloud (Fig. 2). The figure illustrates the most common key terms extracted from the dataset using semantic analysis. Words that appear more frequently in the relevant literature are depicted in larger fonts, illustrating the conceptual emphasis of the dataset.

Extraction of SNPs and data annotation

A total of 209 SNPs and 104 genetic targets, including genes, pseudogenes and transcription factors, were identified and extracted from online databases. The SNPs associated with child abuse were annotated using MATLAB algorithms, incorporating genomic information from dbSNP, GWAS Catalog and KEGG. The genes most frequently associated with child abuse were classified according to their functional role in stress response and neurodevelopment. The identified genetic targets and SNPs related to child abuse are listed in Table III. This table compiles the key genetic targets identified in association with child abuse. It includes genes, transcription factors, pseudogenes and non-coding RNAs, highlighting their role in neurodevelopmental and stress-related biological processes.

Table III

List of genetic targets and SNPs extracted and associated with child abuse.

Table III

List of genetic targets and SNPs extracted and associated with child abuse.

NameTotal unique SNPS/overallSNPsType of SNPs (functional consequence)
FKBP515//87rs3800373 genic_downstream_transcript_variant,intron_variant,3_prime_UTR_variant
  rs1360780intron_variant
  rs4713916 intron_variant,genic_upstream_transcript_variant
  rs3777747intron_variant
  rs2766533 genic_upstream_transcript_variant,intron_variant
  rs9296158intron_variant
  rs737054intron_variant
  rs9470080intron_variant
  rs7771727 intron_variant,genic_downstream_transcript_variant
  rs4713902intron_variant
  rs9394309intron_variant
  rs9470079intron_variant
  rs3798347intron_variant
  rs10947563intron_variant
  rs7748266intron_variant
  rs947008intron_variant
  rs1360870 
LINC02210-CRHR111//47rs7209436intron_variant
  rs4792887intron_variant
  rs110402intron_variant
  rs17689882intron_variant
  rs242924intron_variant
  rs2664008intron_variant
  rs12944712intron_variant
  rs9900679intron_variant
  rs1876831intron_variant
  rs9900679intron_variant
  rs16940665 synonymous_variant,coding_sequence_variant
CRHR110rs7209436intron_variant
  rs4792887intron_variant
  rs110402intron_variant
  rs17689882intron_variant
  rs242924intron_variant
  rs2664008intron_variant
  rs12944712intron_variant
  rs9900679intron_variant
  rs1876831intron_variant
  rs16940665 synonymous_variant,coding_sequence_variant
LOC1122679567rs9296158intron_variant
  rs1360780intron_variant
  rs3777747intron_variant
  rs737054intron_variant
  rs4713902intron_variant
  rs3798347intron_variant
  rs7748266intron_variant
COMT6rs165599 genic_downstream_transcript_variant,3_prime_UTR_variant,intron_variant
  rs5993882 genic_upstream_transcript_variant,upstream_transcript_variant,intron_variant
  rs737866 2KB_upstream_variant,genic_upstream_transcript_variant,upstream_transcript_variant,intron_variant
  rs4680 2KB_upstream_variant,coding_sequence_variant,upstream_transcript_variant,missense_variant
  rs6267 2KB_upstream_variant,coding_sequence_variant,upstream_transcript_variant,missense_variant
  rs4633 2KB_upstream_variant,coding_sequence_variant,upstream_transcript_variant,synonymous_variant
  rs4818 2KB_upstream_variant,coding_sequence_variant,upstream_transcript_variant,synonymous_variant
OXTR6rs2268498 2KB_upstream_variant,upstream_transcript_variant
  rs1042778 3_prime_UTR_variant,intron_variant
  rs53576intron_variant
  rs2254298intron_variant
  rs237895intron_variant
  rs237885intron_variant
  rs237987 
IL1B6rs16944 2KB_upstream_variant,upstream_transcript_variant
  rs1143623 2KB_upstream_variant,upstream_transcript_variant
  rs1143627 2KB_upstream_variant,upstream_transcript_variant
  rs1143643intron_variant
  rs1143633intron_variant
  rs1143634 synonymous_variant,coding_sequence_variant
HTR2A5rs7997012intron_variant
  rs6561333intron_variant
  rs1885884 non_coding_transcript_variant,intron_variant
  rs9316235intron_variant
  rs6313 synonymous_variant,coding_sequence_variant,intron_variant
CRHR25rs2190242intron_variant
  rs2284217intron_variant
  rs2014663intron_variant
  rs4722999 intron_variant,3_prime_UTR_variant
  rs12701020 non_coding_transcript_variant,intron_variant
FOXP25rs7783012intron_variant
  rs10262462intron_variant
  rs1456031 genic_downstream_transcript_variant,intron_variant
  rs2396753intron_variant
  rs2253478 intron_variant,genic_upstream_transcript_variant
IL195rs1800896 genic_upstream_transcript_variant,intron_variant,upstream_transcript_variant,2KB_upstream_variant
  rs1800871 genic_upstream_transcript_variant,intron_variant,upstream_transcript_variant,2KB_upstream_variant
  rs1800872 genic_upstream_transcript_variant,intron_variant,upstream_transcript_variant,2KB_upstream_variant
  rs1800890 genic_upstream_transcript_variant,intron_variant
  rs6676671 intron_variant,genic_upstream_transcript_variant
GABRA25rs279826intron_variant
  rs11503014 5_prime_UTR_variant,intron_variant
  rs279858 missense_variant,synonymous_variant,coding_sequence_variant
  rs211034intron_variant
  rs211035 missense_variant,intron_variant,coding_sequence_variant
NOS1AP4rs4145621 genic_upstream_transcript_variant,intron_variant
  rs6680461 intron_variant,genic_upstream_transcript_variant
  rs3751284 genic_upstream_transcript_variant,missense_variant,coding_sequence_variant,synonymous_variant
  rs348624 synonymous_variant,coding_sequence_variant
NR3C24rs17581262intron_variant
  rs5522 missense_variant,non_coding_transcript_variant,coding_sequence_variant
  rs5534 non_coding_transcript_variant,3_prime_UTR_variant,genic_downstream_transcript_variant
  rs2070951 non_coding_transcript_variant,5_prime_UTR_variant
IL1RN4rs9005 3_prime_UTR_variant
  rs4251961 intron_variant,upstream_transcript_variant,genic_upstream_transcript_variant
  rs315952 missense_variant,synonymous_variant,coding_sequence_variant
  rs419598 synonymous_variant,coding_sequence_variant
GRN3rs3859268intron_variant
  rs2879096intron_variant
  rs3785817intron_variant
SLC6A43rs25531 2KB_upstream_variant,intron_variant,genic_upstream_transcript_variant,upstream_transcript_variant
  rs3813034 3_prime_UTR_variant
  rs1042173 3_prime_UTR_variant
LOC1053718013rs17689882intron_variant
  rs16940665 synonymous_variant,coding_sequence_variant
  rs1876831intron_variant
LOC1019293093rs3800373 genic_downstream_transcript_variant,intron_variant,3_prime_UTR_variant
  rs6910300 intron_variant,genic_downstream_transcript_variant
  rs7771727 intron_variant,genic_downstream_transcript_variant
IL103rs1800896 genic_upstream_transcript_variant,intron_variant,upstream_transcript_variant,2KB_upstream_variant
  rs1800871 genic_upstream_transcript_variant,intron_variant,upstream_transcript_variant,2KB_upstream_variant
  rs1800872 genic_upstream_transcript_variant,intron_variant,upstream_transcript_variant,2KB_upstream_variant
IL6R3rs4845617 5_prime_UTR_variant,genic_upstream_transcript_variant,intron_variant
  rs4537545 intron_variant,genic_downstream_transcript_variant
  rs2228145 missense_variant,coding_sequence_variant,intron_variant,genic_downstream_transcript_variant
IFNG3rs1861494intron_variant
  rs2069718intron_variant
  rs2430561intron_variant
CRHBP3rs7728378intron_variant
  rs6453267intron_variant
  rs10474485 genic_downstream_transcript_variant,intron_variant
SLC6A23rs1814270intron_variant
  rs2242446 upstream_transcript_variant,intron_variant,5_prime_UTR_variant,2KB_upstream_variantgenic_upstream_transcript_variant
  rs5569 missense_variant,synonymous_variant,coding_sequence_variant
NR3C13rs12655166 intron_variant,genic_upstream_transcript_variant
  rs10482672intron_variant
  rs6198 non_coding_transcript_variant,3_prime_UTR_variant,genic_downstream_transcript_variant
CRP3rs3093059 upstream_transcript_variant,2KB_upstream_variant
  rs1417938intron_variant
  rs1130864 intron_variant,3_prime_UTR_variant
  rs2794520 
  rs3093077 

[i] SNPs, single nucleotide polymorphisms; FKBP5, FKBP prolyl isomerase 5; CRHR1, corticotropin releasing hormone receptor 1; COMT, catechol-O-methyltransferase; OXTR, oxytocin receptor; IL1B, interleukin 1 beta; HTR2A, 5-hydroxytryptamine receptor 2A; CRHR2, corticotropin releasing hormone receptor 2; FOXP2, forkhead box P2; IL19, interleukin 19; GABRA2, gamma-aminobutyric acid type a receptor subunit alpha 2; NOS1AP, nitric oxide synthase 1 adaptor protein; NR3C2, nuclear receptor subfamily 3 group C member 2; IL1RN, interleukin 1 receptor antagonist; GRN, granulin precursor; SLC6A4, solute carrier family 6 member 4; IL10, interleukin 10; IL6R, interleukin 6 receptor; IFNG, interferon gamma; CRHBP, corticotropin releasing hormone binding protein; SLC6A2, solute carrier family 6 member 2; NR3C1, nuclear receptor subfamily 3 group C member 1; CRP, C-reactive protein.

The distribution of genetic targets and evidence found in the present study is visually presented in Fig. 3. This figure presents a graphical representation of the most frequently occurring genetic targets and non-coding regions associated with child abuse. The size of each genetic term corresponds to its relative frequency within the dataset, highlighting key genes, such as FKBP5, CRHR1 and COMT.

Figure 3

Word cloud representation of child abuse-related genes and other non-coding regions.

Semantic analysis and gene targets classification

A semantic analysis of the extracted SNPs revealed a genomic map of child abuse-related genetic targets. The genes, FKBP5, CRHR1, LINC02210-CRHR1 and COMT, were identified as the most frequently occurring targets. These genes are associated with stress response regulation, emotional resilience and neuroendocrine signaling pathways.

FKBP5. The FKBP5 gene is a part of the immunophilin proteins, which play a role in immune regulation and functions as a co-chaperone in glucocorticoid receptor activity in response to stressors, making it one of the most frequently encountered genes in studies of people who have undergone stress, and in particular, in children who have been abused (14). In addition to epigenetic modifications and other environmental factors, it appears that FKBP5 may modulate GR susceptibility by delaying or reducing its transcriptional activity (15).

CHRH1. The CRHR1 gene has been extensively studied due to its implication for sensitized reactivity in stressful conditions (16). Through these findings, a significant interaction of CHRH1 with childhood abuse and trauma and history of suicide attempts emerges. In the similar direction, in another study on 235 HPA axis SNPs, a trend of the rs2664008 polymorphism of the CRHR1 gene, early childhood abuse and suicide attempts in bipolar patients was indicated (17).

COMT. Variations in some genes, including the COMT gene, are known to be associated with susceptibility to stress and some mental disorders. The association between stressful events and genes is known to activate the mechanism of depression development (5).

Variations in these genes are associated with stress sensitivity and depressive cognitive biases. The interaction between genes and stressful events in childhood is considered to be a mechanism that plays a role in the development of depression and therefore helps to proactively identify symptoms of depression or other diseases through genetic susceptibility (5).

Genetic targets, disease, biological pathway analysis and dark DNA matters in adversity genes

The analysis of genetic targets revealed that the most common disorders associated with child abuse include neoplasms, depressive disorders, schizophrenia, neurodegenerative diseases and autoimmune conditions. These disorders share key biological pathways involved in the stress response, neurodevelopment and immune function. The most frequently occurring disease ontologies linked to child abuse are summarized in Table IV. The table categorizes the primary disease ontologies identified in the dataset, emphasizing conditions frequently associated with child abuse, such as neuropsychiatric disorders, metabolic syndromes, and immune-related pathologies.

Table IV

List of the most frequently shown ontologies describing child abuse within the dataset.

Table IV

List of the most frequently shown ontologies describing child abuse within the dataset.

Disease ontologyCount
Neoplasms4,052
Depressive disorder3,864
Schizophrenia3,316
Pain2,122
Breast neoplasms1,707
Colorectal neoplasms1,235
Stress disorders_post_traumatic1,098
Hyperhomocysteinemia1,061

A visual representation of the key disease associations with child abuse is provided in Fig. 4, illustrating the most prominent biological ontologies derived from the analysis. A word cloud displaying the most frequently identified biological ontologies related to child abuse is presented in Fig. 4. Terms related to neurodevelopmental processes, stress response and immune system regulation appear prominently, emphasizing their significance in the dataset.

Figure 4

Word cloud presentation of the ontologies related to child abuse.

Further overrepresentation analysis of genetic targets demonstrated marked enrichment in biological pathways related to HPA axis regulation, dopaminergic signaling and synaptic plasticity. These pathways are crucial in the adaptation of the body to stress and have been implicated in mental health disorders commonly observed in individuals with a history of child abuse. The identified pathways are summarized in Table V. This table details the biological pathways enriched in the dataset, focusing on molecular mechanisms linked to stress response, neurodevelopment and immune regulation. The pathways were identified using overrepresentation analysis.

Table V

Biological ontology mechanisms that occurred in the search and are associated with child abuse.

Table V

Biological ontology mechanisms that occurred in the search and are associated with child abuse.

Mental disordersCancerMetabolic disordersNeurodegenerative diseasesAutoimmune diseasesOther
Depressive DisorderNeoplasmsHypertensionAlzheimer diseaseArthritis RheumatoidPain
SchizophreniaBreast NeoplasmsObesityParkinson diseaseLupus Erythematosus Hyperhomocysteinemia
    Systemic 
Stress Disorders Post TraumaticColorectal NeoplasmsDiabetes Mellitus  Wounds And Injuries
Anxiety DisordersLung NeoplasmsHypotension  Asthma
Mental DisordersStomach Neoplasms DiabetesMellitus_Type2  Periodontitis
Autistic DisorderCarcinoma Non Small Cell Lung   Infections
Depressive Disorder MajorProstatic Neoplasms   Attention Deficit Disorder
     With Hyperactivity
Bipolar DisorderEsophageal Neoplasms   Alcoholism
Pain Insensitivity Congenital    Sepsis
Psychoses Substance Induced    Radiation Pneumonitis
Anxiety    Tuberculosis
Dyskinesia Drug Induced    Hepatitis B
Substance Related Disorders    Headache Disorders Secondary
Adjustment Disorders    Pulmonary Disease Chronic
     Obstructive
     Irritable Bowel Syndrome
     Fibrosis
     Cognition Disorders
     Cerebral Infarction
     Weight Loss

A graphical representation of these enriched pathways is provided in Fig. 5, highlighting the statistical significance of biological processes associated with child abuse-related genetic targets. This heatmap visually represents the statistical significance (P-values) of the biological pathways linked to the most frequently occurring genes in child abuse, grouped by functional categories such as immune signaling, neurodevelopment, and stress-related mechanisms. Different colors correspond to varying levels of statistical significance, with darker shades representing lower P-values and greater relevance. The exact P-values are presented numerically within each cell of the heatmap, and statistical significance is shown using the -log10(P-value) scale, allowing for both visual and quantitative interpretation.

Figure 5

Heatmap visualization of enriched biological pathways related to child abuse. This heatmap visually represents the statistical significance (P-values) of the biological pathways linked to the most frequently occurring genes in child abuse, grouped by functional categories such as immune signaling, neurodevelopment, and stress-related mechanisms. Different colors correspond to varying levels of statistical significance, with darker shades representing lower P-values and greater relevance. The exact P-values are presented numerically within each cell of the heatmap, and statistical significance is shown using the -log10(P-value) scale, allowing for both visual and quantitative interpretation.

Table VI provides a detailed breakdown of the most frequently identified biological pathways and their associated genetic targets. It highlights key signaling mechanisms implicated in the biological response to childhood adversity. The most frequently occurring biological pathways associated with adversity genes are detailed in Table VI.

Table VI

Biological pathways of the common genetic targets and the corresponding genes most frequently involved in child abuse.

Table VI

Biological pathways of the common genetic targets and the corresponding genes most frequently involved in child abuse.

PathwayGenetic targetCorresponding genes
Immune system• Innate immune system- C-type lectin receptors
  - Toll like receptor cascades
 • Cytokine signaling in immune system- Signaling by interleukins
Signal transduction• Signaling by GPCR- GPCR ligand binding
  - GPCR downstream signaling
 • MAPK family signaling cascades 
 • Signaling by receptor tyrosine kinases 
Gene expression (transcription)• RNA polymerase II transcription- Generic transcription pathway
Cellular responses to stimuli• Cellular responses to stress 
Programmed cell death• Regulated necrosis 
Disease• Infectious disease- Parasitic infection pathways
  - Bacterial infection pathways
 • Diseases of immune system- Diseases associated with the TLR signaling cascade
 • Disorders of developmental biology 
 • Disorders of transmembrane transporters 
Developmental biology  
Neuronal system  
Epigenetic target analysis

An analysis of epigenetic targets identified key non-coding RNAs (LINC, LOC and miR) that may mediate the effects of child abuse. miR-195, implicated in breast cancer, was found to be epigenetically regulated, while LOC105369506 and LOC100287329 were associated with stress-related epigenetic modifications (18). These findings suggest that epigenetic alterations in non-coding genomic regions may contribute to the long-term consequences of childhood adversity. The epigenetically significant genetic targets related to child abuse are compiled in Table VII.

Table VII

The ‘usual suspects’ genetic targets epigenetically associated with child abuse.

Table VII

The ‘usual suspects’ genetic targets epigenetically associated with child abuse.

Genetic targetSNPsType of SNPs Epigenetic association with child abuseEpigenetic link
LINC02210-CRHR1rs7209436intron_variantlocusx 
 rs4792887intron_variant   
 rs110402intron_variant   
 rs17689882intron_variant   
 rs242924intron_variant   
 rs2664008intron_variant   
 rs12944712intron_variant   
 rs9900679intron_variant   
 rs1876831intron_variant   
 rs9900679intron_variant   
 rs16940665 synonymous_variant,coding_sequence_variant   
LOC112267956rs9296158intron_variantlocusx 
 rs1360780intron_variant   
 rs3777747intron_variant   
 rs737054intron_variant   
 rs4713902intron_variant   
 rs3798347intron_variant   
 rs7748266intron_variant   
LOC105371801rs17689882intron_variantlocusx 
 rs16940665 synonymous_variant,coding_sequence_variant   
 rs1876831intron_variant   
LOC101929309rs3800373 genic_downstream_transcript_variant,intron_variant,3_prime_UTR_variantncRNAx 
 rs6910300 intron_variant,genic_down   
   stream_transcript_variant   
 rs7771727 intron_variant,genic_down   
   stream_transcript_variant   
miR-4761rs4680 2KB_upstream_variant,coding_sequence_variant,upstream_transcript_variant,missense_variantshort non-coding RNA√https://www.ncbi.nlm.nih.gov/pmc/articles/PMC7016268/
LOC107986321rs6857715 genic_upstream_transcript_variant,intron_variant,upstream_transcript_variant,non_coding_transcript_variant x 
LOC105371720rs25531 2KB_upstream_variant,intron_variant,genic_upstream_transcript_variant,upstream_transcript_variantncRNAx 
LOC107986777rs3037354 intron_variant,2KB_upstream_variant,upstream_transcript_variant,genic_upstream_transcript_variantncRNAx 
LOC105377387rs34043524intron_variantRNA, long non-codingx 
LOC105370115rs1886797intron_variantRNA, long non-codingx 
LOC105377864rs6296 intron_variant,genic_upstream_transcript_variant,5_prime_UTR_variant,coding_sequence_variant,synonymous x 
LOC100287329rs1041981 coding_sequence_variant,upstream_transcript_variant,2KB_upstream_variant,missense_variantRNA, long non-coding√https://www.ncbi.nlm.nih.gov/pmc/articles/PMC7232649/
LOC105369506rs11215217intron_variantRNA, long non-coding√https://www.ncbi.nlm.nih.gov/pmc/articles/PMC6689282/

miR-195 is a type of miRNA that has been implicated in breast cancer. miRNAs are small RNA molecules that regulate gene expression by binding to messenger RNA (mRNA) molecules and preventing their translation into proteins. Research has demonstrated that the expression of miR-195 is downregulated, or less active, in breast cancer cells compared to normal breast tissue. This suggests that it may play a role in the development or progression of breast cancer. The expression of miR-4761 is regulated by histone modifications in breast cancer cells, suggesting that epigenetic changes may contribute to its dysregulation in breast cancer (18).

LOC105369506 is a gene that has been studied in relation to various behaviors and conditions, and research has suggested that certain epigenetic modifications can play a role in the development of antisocial behavior and the effects of child abuse. For example, studies have found that individuals who have experienced abuse or neglect during childhood may have differences in epigenetic marks on genes related to stress response and emotional regulation, which may increase their risk for antisocial behavior later in life (19-21).

LOC100287329 is a gene that is also known as miR-548AA2. It is a miRNA gene located on chromosome 14 in humans. Abuse, whether physical, emotional, or sexual, can have a significant impact on the health of an individual. There is evidence to suggest that exposure to stress and trauma can lead to epigenetic changes that may contribute to the development of MS and other diseases (22).

Discussion

The findings of the present study highlight the genetic and epigenetic factors associated with child abuse, providing new insight into the biological underpinnings of stress-related disorders. Through systematic data mining and bioinformatics analysis, the present study identified 209 SNPs and 104 genetic targets, including FKBP5, CRHR1 and COMT, that are strongly associated with childhood maltreatment. The results also revealed that LINC RNAs, provisional gene identifiers (LOC) and miRNAs contribute to the molecular effects of early-life adversity.

A key finding of the present study was the prominent role of FKBP5 in child abuse-related pathways. This gene, which is involved in glucocorticoid receptor regulation (14,23,24), was one of the most frequently identified genetic targets in the dataset. The presence of CRHR1, a key regulator of the HPA axis, further supports the hypothesis that childhood stress alters neuroendocrine responses. The identification of COMT, which influences dopamine metabolism, aligns with increasing evidence that childhood trauma affects cognitive and emotional processing. Notably, the present study extends prior knowledge (24-26) by demonstrating that these genetic markers are not only statistically overrepresented in the child abuse dataset, but also frequently co-occur with stress-related SNPs.

Beyond individual genes, the study mapped the biological pathways most significantly associated with child abuse. Overrepresentation analysis revealed that child abuse-related genes are enriched in pathways linked to neuroinflammation, oxidative stress, and immune system dysregulation. These findings suggest that the physiological impact of childhood adversity extends beyond neurological effects to include systemic alterations that may predispose individuals to chronic diseases, including autoimmune disorders and metabolic conditions.

A particularly novel contribution of the present study is the identification of epigenetic markers associated with childhood trauma. The analysis uncovered miR-4761, LOC105369506 and LOC100287329 as key regulatory elements that may mediate the effects of abuse at the molecular level. The detection of these epigenetic factors underscores the role of non-coding genomic elements in shaping individual susceptibility to trauma-related disorders. Unlike previous studies, which have focused primarily on protein-coding genes, this study expands the scope of genetic investigation by incorporating non-coding RNA elements, providing a more comprehensive understanding of the genomic response to adversity.

The concept of adversity genes, first introduced by Levine et al (13), is reinforced by these findings. Their study demonstrated that genes exhibiting differential expression in response to childhood maltreatment are frequently involved in stress adaptation, neurodevelopment and immune regulation (13). While previous research has suggested that adversity genes contribute to vulnerability in trauma-exposed individuals, the present study provides a direct bioinformatics-based validation of their significance. The results confirm that these genes are consistently overrepresented in child abuse datasets, further solidifying their relevance in understanding the biological consequences of early-life stress.

These findings have critical clinical implications. The identification of genetic and epigenetic biomarkers associated with child abuse may pave the way for risk prediction models that could help identify individuals at increased risk of developing psychiatric or stress-related disorders. Additionally, these insights may contribute to the development of precision medicine approaches, where genetic screening informs targeted interventions for trauma survivors. From a forensic perspective, the biological evidence linking specific genetic variants to child abuse may also have applications in legal contexts, offering new tools for assessing the long-term consequences of maltreatment.

While the present study provides notable contributions to the field, certain limitations need to be acknowledged. Genetic predisposition alone does not determine individual outcomes, as environmental and social factors play a critical role in shaping resilience. Moreover, epigenetic modifications are dynamic, necessitating further longitudinal studies to assess their stability over time. Future research is thus required to focus on validating these findings through experimental approaches, including gene expression studies and methylation analyses in trauma-exposed populations. Additionally, integrating machine learning algorithms with bioinformatics pipelines may enhance predictive models for assessing genetic risk factors in child abuse cases.

In conclusion, the present study presents original evidence of the genetic and epigenetic alterations associated with child abuse. By identifying specific SNPs, gene targets, and regulatory elements linked to early-life adversity, these findings contribute to a growing understanding of how childhood trauma becomes biologically embedded. The integration of genetic, epigenetic, and pathway analysis provides a comprehensive framework for future research, with implications for both clinical practice and social policy. As the field progresses, these insights may help shape personalized intervention strategies aimed at mitigating the long-term impact of childhood maltreatment.

Acknowledgements

Not applicable.

Funding

Funding: No funding was received.

Availability of data and materials

The data generated in the present study may be requested from the corresponding author.

Authors' contributions

ED and DV conceived and designed the study. ED performed the data collection, data analysis and interpretation. LP contributed to the development of the bioinformatics methodology and figure processing. EE and GPC performed critical revisions and were involved in the analysis of the on the genetic data and its biological relevance, providing expert guidance. DV supervised the project and provided overall coordination and critical manuscript review. ED and LP drafted the manuscript. All authors contributed to the interpretation of results and manuscript preparation. All authors have read and approved the final manuscript. ED and DV confirm the authenticity of all the raw data.

Ethics approval and consent to participate

Not applicable.

Patient consent for publication

Not applicable.

Competing interests

GPC is the Editor in Chief of the journal, and DV and EE are Editors of the journal. However, they had no personal involvement in the reviewing process, or any influence in terms of adjudicating on the final decision, for this article. The other authors declare that they have no competing interests.

References

1 

Pervanidou P, Makris G, Chrousos G and Agorastos A: Early life stress and pediatric posttraumatic stress disorder. Brain Sci. 10(169)2020.PubMed/NCBI View Article : Google Scholar

2 

De Bellis MD and Keshavan MS: Sex differences in brain maturation in maltreatment-related pediatric posttraumatic stress disorder. Neurosci Biobehav Rev. 27:103–117. 2003.PubMed/NCBI View Article : Google Scholar

3 

Gilbert R, Widom CS, Browne K, Fergusson D, Webb E and Janson S: Burden and consequences of child maltreatment in high-income countries. Lancet. 373:68–81. 2009.PubMed/NCBI View Article : Google Scholar

4 

Damaskopoulou E, Chrousos GP, Eliopoulos E and Vlachakis D: Mechanisms of epigenetic inheritance in children following exposure to abuse. EMBnet j. 26(e995)2021.

5 

Vrijsen JN, van Oostrom I, Arias-Vásquez A, Franke B, Becker ES and Speckens A: Association between genes, stressful childhood events and processing bias in depression vulnerable individuals. Genes Brain Behav. 13:508–516. 2014.PubMed/NCBI View Article : Google Scholar

6 

Tyrka AR, Price LH, Marsit C, Walters OC and Carpenter LL: Childhood adversity and epigenetic modulation of the leukocyte glucocorticoid receptor: Preliminary findings in healthy adults. PLoS One. 7(e30148)2012.PubMed/NCBI View Article : Google Scholar

7 

Gershon A, Sudheimer K, Tirouvanziam R, Williams LM and O'Hara R: The long-term impact of early adversity on late-life psychiatric disorders. Curr Psychiatry Rep. 15(352)2013.PubMed/NCBI View Article : Google Scholar

8 

Kino T and Chrousos GP: Acetylation-mediated epigenetic regulation of glucocorticoid receptor activity: Circadian rhythm-associated alterations of glucocorticoid actions in target tissues. Mol Cell Endocrinol. 336:23–30. 2011.PubMed/NCBI View Article : Google Scholar

9 

Dalvie S, Maihofer AX, Coleman JRI, Bradley B, Breen G, Brick LA, Chen CY, Choi KW, Duncan LE, Guffanti G, et al: Genomic influences on self-reported childhood maltreatment. Transl Psychiatry. 10(38)2020.PubMed/NCBI View Article : Google Scholar

10 

Ruisch IH, Dietrich A, Glennon JC, Buitelaar JK and Hoekstra PJ: Interplay between genome-wide implicated genetic variants and environmental factors related to childhood antisocial behavior in the UK ALSPAC cohort. Eur Arch Psychiatry Clin Neurosci. 269:741–752. 2019.PubMed/NCBI View Article : Google Scholar

11 

Damaskopoulou E, Papakonstantinou E, Bacopoulou F, Eliopoulos E, Chrousos G and Vlachakis D: Child abuse: Past, present and future (Review). World Acad Sci J. 5(4)2022.

12 

NCBI Resource Coordinators. Database resources of the national center for biotechnology information. Nucleic Acids Res. 44:D7–D19. 2016.PubMed/NCBI View Article : Google Scholar

13 

Levine ME, Crimmins EM, Weir DR and Cole SW: contemporaneous social environment and the architecture of late-life gene expression profiles. Am J Epidemiol. 186:503–509. 2017.PubMed/NCBI View Article : Google Scholar

14 

Zannas AS, Wiechmann T, Gassen NC and Binder EB: Gene-stress-epigenetic regulation of FKBP5: Clinical and translational implications. Neuropsychopharmacol. 41:261–274. 2016.PubMed/NCBI View Article : Google Scholar

15 

Wochnik GM, Rüegg J, Abel GA, Schmidt U, Holsboer F and Rein T: FK506-binding Proteins 51 and 52 differentially regulate dynein interaction and nuclear translocation of the glucocorticoid receptor in mammalian cells. J Biol Chem. 280:4609–4616. 2005.PubMed/NCBI View Article : Google Scholar

16 

Ray LA, Sehl M, Bujarski S, Hutchison K, Blaine S and Enoch MA: The CRHR1 gene, trauma exposure, and alcoholism risk: A test of GxE effects: CRHR1, trauma exposure, and alcoholism. Genes Brain Behav. 12:361–369. 2013.PubMed/NCBI View Article : Google Scholar

17 

Breen ME, Seifuddin F, Zandi PP, Potash JB and Willour VL: Investigating the role of early childhood abuse and HPA axis genes in suicide attempters with bipolar disorder. Psychiatr Genet. 25:106–111. 2015.PubMed/NCBI View Article : Google Scholar

18 

Singh R, Yadav V, Kumar S and Saini N: MicroRNA-195 inhibits proliferation, invasion and metastasis in breast cancer cells by targeting FASN, HMGCR, ACACA and CYP27B1. Sci Rep. 5(17454)2015.PubMed/NCBI View Article : Google Scholar

19 

Cecil CAM, Zhang Y and Nolte T: Childhood maltreatment and DNA methylation: A systematic review. Neurosci Biobehav Rev. 112:392–409. 2020.PubMed/NCBI View Article : Google Scholar

20 

Labonté B, Suderman M, Maussion G, Navaro L, Yerko V, Mahar I, Bureau A, Mechawar N, Szyf M, Meaney MJ and Turecki G: Genome-wide epigenetic regulation by early-life trauma. Arch Gen Psychiatry. 69:722–731. 2012.PubMed/NCBI View Article : Google Scholar

21 

Ma DQ, Rabionet R, Konidari I, Jaworski J, Cukier HN, Wright HH, Abramson RK, Gilbert JR, Cuccaro ML, Pericak-Vance MA and Martin ER: Association and gene-gene interaction of SLC6A4 and ITGB3 in autism. Am J Med Genet B Neuropsychiatr Genet. 153:477–483. 2010.PubMed/NCBI View Article : Google Scholar

22 

Rehan W, Antfolk J, Johansson A, Aminoff M, Sandnabba NK, Westberg L and Santtila P: Gene-environment correlation between the dopamine transporter gene (DAT1) polymorphism and childhood experiences of abuse. J Interpers Violence. 33:2059–2072. 2018.PubMed/NCBI View Article : Google Scholar

23 

Klengel T, Mehta D, Anacker C, Rex-Haffner M, Pruessner JC, Pariante CM, Pace TW, Mercer KB, Mayberg HS, Bradley B, et al: Allele-specific FKBP5 DNA demethylation mediates gene-childhood trauma interactions. Nat Neurosci. 16:33–41. 2013.PubMed/NCBI View Article : Google Scholar

24 

Binder EB: The role of FKBP5, a co-chaperone of the glucocorticoid receptor in the pathogenesis and therapy of affective and anxiety disorders. Psychoneuroendocrinology. 34:S186–S195. 2009.PubMed/NCBI View Article : Google Scholar

25 

Heim C and Binder EB: Current research trends in early life stress and depression: Review of human studies on sensitive periods, gene-environment interactions, and epigenetics. Exp Neurol. 233:102–111. 2012.PubMed/NCBI View Article : Google Scholar

26 

Monteiro P and Feng G: learning from animal models of obsessive-compulsive disorder. Biol Psychiatry. 79:7–16. 2016.PubMed/NCBI View Article : Google Scholar

Related Articles

  • Abstract
  • View
  • Download
Copy and paste a formatted citation
Spandidos Publications style
Damaskopoulou E, Papageorgiou L, Eliopoulos E, Chrousos GP and Vlachakis D: Genetic and epigenetic mechanisms associated with child abuse: A bioinformatics study. Int J Epigen 5: 4, 2025.
APA
Damaskopoulou, E., Papageorgiou, L., Eliopoulos, E., Chrousos, G.P., & Vlachakis, D. (2025). Genetic and epigenetic mechanisms associated with child abuse: A bioinformatics study. International Journal of Epigenetics, 5, 4. https://doi.org/10.3892/ije.2025.27
MLA
Damaskopoulou, E., Papageorgiou, L., Eliopoulos, E., Chrousos, G. P., Vlachakis, D."Genetic and epigenetic mechanisms associated with child abuse: A bioinformatics study". International Journal of Epigenetics 5.1 (2025): 4.
Chicago
Damaskopoulou, E., Papageorgiou, L., Eliopoulos, E., Chrousos, G. P., Vlachakis, D."Genetic and epigenetic mechanisms associated with child abuse: A bioinformatics study". International Journal of Epigenetics 5, no. 1 (2025): 4. https://doi.org/10.3892/ije.2025.27
Copy and paste a formatted citation
x
Spandidos Publications style
Damaskopoulou E, Papageorgiou L, Eliopoulos E, Chrousos GP and Vlachakis D: Genetic and epigenetic mechanisms associated with child abuse: A bioinformatics study. Int J Epigen 5: 4, 2025.
APA
Damaskopoulou, E., Papageorgiou, L., Eliopoulos, E., Chrousos, G.P., & Vlachakis, D. (2025). Genetic and epigenetic mechanisms associated with child abuse: A bioinformatics study. International Journal of Epigenetics, 5, 4. https://doi.org/10.3892/ije.2025.27
MLA
Damaskopoulou, E., Papageorgiou, L., Eliopoulos, E., Chrousos, G. P., Vlachakis, D."Genetic and epigenetic mechanisms associated with child abuse: A bioinformatics study". International Journal of Epigenetics 5.1 (2025): 4.
Chicago
Damaskopoulou, E., Papageorgiou, L., Eliopoulos, E., Chrousos, G. P., Vlachakis, D."Genetic and epigenetic mechanisms associated with child abuse: A bioinformatics study". International Journal of Epigenetics 5, no. 1 (2025): 4. https://doi.org/10.3892/ije.2025.27
Follow us
  • Twitter
  • LinkedIn
  • Facebook
About
  • Spandidos Publications
  • Careers
  • Cookie Policy
  • Privacy Policy
How can we help?
  • Help
  • Live Chat
  • Contact
  • Email to our Support Team