Spandidos Publications Logo
  • About
    • About Spandidos
    • Aims and Scopes
    • Abstracting and Indexing
    • Editorial Policies
    • Reprints and Permissions
    • Job Opportunities
    • Terms and Conditions
    • Contact
  • Journals
    • All Journals
    • Oncology Letters
      • Oncology Letters
      • Information for Authors
      • Editorial Policies
      • Editorial Board
      • Aims and Scope
      • Abstracting and Indexing
      • Bibliographic Information
      • Archive
    • International Journal of Oncology
      • International Journal of Oncology
      • Information for Authors
      • Editorial Policies
      • Editorial Board
      • Aims and Scope
      • Abstracting and Indexing
      • Bibliographic Information
      • Archive
    • Molecular and Clinical Oncology
      • Molecular and Clinical Oncology
      • Information for Authors
      • Editorial Policies
      • Editorial Board
      • Aims and Scope
      • Abstracting and Indexing
      • Bibliographic Information
      • Archive
    • Experimental and Therapeutic Medicine
      • Experimental and Therapeutic Medicine
      • Information for Authors
      • Editorial Policies
      • Editorial Board
      • Aims and Scope
      • Abstracting and Indexing
      • Bibliographic Information
      • Archive
    • International Journal of Molecular Medicine
      • International Journal of Molecular Medicine
      • Information for Authors
      • Editorial Policies
      • Editorial Board
      • Aims and Scope
      • Abstracting and Indexing
      • Bibliographic Information
      • Archive
    • Biomedical Reports
      • Biomedical Reports
      • Information for Authors
      • Editorial Policies
      • Editorial Board
      • Aims and Scope
      • Abstracting and Indexing
      • Bibliographic Information
      • Archive
    • Oncology Reports
      • Oncology Reports
      • Information for Authors
      • Editorial Policies
      • Editorial Board
      • Aims and Scope
      • Abstracting and Indexing
      • Bibliographic Information
      • Archive
    • Molecular Medicine Reports
      • Molecular Medicine Reports
      • Information for Authors
      • Editorial Policies
      • Editorial Board
      • Aims and Scope
      • Abstracting and Indexing
      • Bibliographic Information
      • Archive
    • World Academy of Sciences Journal
      • World Academy of Sciences Journal
      • Information for Authors
      • Editorial Policies
      • Editorial Board
      • Aims and Scope
      • Abstracting and Indexing
      • Bibliographic Information
      • Archive
    • International Journal of Functional Nutrition
      • International Journal of Functional Nutrition
      • Information for Authors
      • Editorial Policies
      • Editorial Board
      • Aims and Scope
      • Abstracting and Indexing
      • Bibliographic Information
      • Archive
    • International Journal of Epigenetics
      • International Journal of Epigenetics
      • Information for Authors
      • Editorial Policies
      • Editorial Board
      • Aims and Scope
      • Abstracting and Indexing
      • Bibliographic Information
      • Archive
    • Medicine International
      • Medicine International
      • Information for Authors
      • Editorial Policies
      • Editorial Board
      • Aims and Scope
      • Abstracting and Indexing
      • Bibliographic Information
      • Archive
  • Articles
  • Information
    • Information for Authors
    • Information for Reviewers
    • Information for Librarians
    • Information for Advertisers
    • Conferences
  • Language Editing
Spandidos Publications Logo
  • About
    • About Spandidos
    • Aims and Scopes
    • Abstracting and Indexing
    • Editorial Policies
    • Reprints and Permissions
    • Job Opportunities
    • Terms and Conditions
    • Contact
  • Journals
    • All Journals
    • Biomedical Reports
      • Information for Authors
      • Editorial Policies
      • Editorial Board
      • Aims and Scope
      • Abstracting and Indexing
      • Bibliographic Information
      • Archive
    • Experimental and Therapeutic Medicine
      • Information for Authors
      • Editorial Policies
      • Editorial Board
      • Aims and Scope
      • Abstracting and Indexing
      • Bibliographic Information
      • Archive
    • International Journal of Epigenetics
      • Information for Authors
      • Editorial Policies
      • Editorial Board
      • Aims and Scope
      • Abstracting and Indexing
      • Bibliographic Information
      • Archive
    • International Journal of Functional Nutrition
      • Information for Authors
      • Editorial Policies
      • Editorial Board
      • Aims and Scope
      • Abstracting and Indexing
      • Bibliographic Information
      • Archive
    • International Journal of Molecular Medicine
      • Information for Authors
      • Editorial Policies
      • Editorial Board
      • Aims and Scope
      • Abstracting and Indexing
      • Bibliographic Information
      • Archive
    • International Journal of Oncology
      • Information for Authors
      • Editorial Policies
      • Editorial Board
      • Aims and Scope
      • Abstracting and Indexing
      • Bibliographic Information
      • Archive
    • Medicine International
      • Information for Authors
      • Editorial Policies
      • Editorial Board
      • Aims and Scope
      • Abstracting and Indexing
      • Bibliographic Information
      • Archive
    • Molecular and Clinical Oncology
      • Information for Authors
      • Editorial Policies
      • Editorial Board
      • Aims and Scope
      • Abstracting and Indexing
      • Bibliographic Information
      • Archive
    • Molecular Medicine Reports
      • Information for Authors
      • Editorial Policies
      • Editorial Board
      • Aims and Scope
      • Abstracting and Indexing
      • Bibliographic Information
      • Archive
    • Oncology Letters
      • Information for Authors
      • Editorial Policies
      • Editorial Board
      • Aims and Scope
      • Abstracting and Indexing
      • Bibliographic Information
      • Archive
    • Oncology Reports
      • Information for Authors
      • Editorial Policies
      • Editorial Board
      • Aims and Scope
      • Abstracting and Indexing
      • Bibliographic Information
      • Archive
    • World Academy of Sciences Journal
      • Information for Authors
      • Editorial Policies
      • Editorial Board
      • Aims and Scope
      • Abstracting and Indexing
      • Bibliographic Information
      • Archive
  • Articles
  • Information
    • For Authors
    • For Reviewers
    • For Librarians
    • For Advertisers
    • Conferences
  • Language Editing
Login Register Submit
  • This site uses cookies
  • You can change your cookie settings at any time by following the instructions in our Cookie Policy. To find out more, you may read our Privacy Policy.

    I agree
Search articles by DOI, keyword, author or affiliation
Search
Advanced Search
presentation
International Journal of Oncology
Join Editorial Board Propose a Special Issue
Print ISSN: 1019-6439 Online ISSN: 1791-2423
Journal Cover
February-2015 Volume 46 Issue 2

Full Size Image

Cover Legend PDF

Sign up for eToc alerts
Recommend to Library

Journals

International Journal of Molecular Medicine

International Journal of Molecular Medicine

International Journal of Molecular Medicine is an international journal devoted to molecular mechanisms of human disease.

International Journal of Oncology

International Journal of Oncology

International Journal of Oncology is an international journal devoted to oncology research and cancer treatment.

Molecular Medicine Reports

Molecular Medicine Reports

Covers molecular medicine topics such as pharmacology, pathology, genetics, neuroscience, infectious diseases, molecular cardiology, and molecular surgery.

Oncology Reports

Oncology Reports

Oncology Reports is an international journal devoted to fundamental and applied research in Oncology.

Experimental and Therapeutic Medicine

Experimental and Therapeutic Medicine

Experimental and Therapeutic Medicine is an international journal devoted to laboratory and clinical medicine.

Oncology Letters

Oncology Letters

Oncology Letters is an international journal devoted to Experimental and Clinical Oncology.

Biomedical Reports

Biomedical Reports

Explores a wide range of biological and medical fields, including pharmacology, genetics, microbiology, neuroscience, and molecular cardiology.

Molecular and Clinical Oncology

Molecular and Clinical Oncology

International journal addressing all aspects of oncology research, from tumorigenesis and oncogenes to chemotherapy and metastasis.

World Academy of Sciences Journal

World Academy of Sciences Journal

Multidisciplinary open-access journal spanning biochemistry, genetics, neuroscience, environmental health, and synthetic biology.

International Journal of Functional Nutrition

International Journal of Functional Nutrition

Open-access journal combining biochemistry, pharmacology, immunology, and genetics to advance health through functional nutrition.

International Journal of Epigenetics

International Journal of Epigenetics

Publishes open-access research on using epigenetics to advance understanding and treatment of human disease.

Medicine International

Medicine International

An International Open Access Journal Devoted to General Medicine.

Journal Cover
February-2015 Volume 46 Issue 2

Full Size Image

Cover Legend PDF

Sign up for eToc alerts
Recommend to Library

  • Article
  • Citations
    • Cite This Article
    • Download Citation
    • Create Citation Alert
    • Remove Citation Alert
    • Cited By
  • Similar Articles
    • Related Articles (in Spandidos Publications)
    • Similar Articles (Google Scholar)
    • Similar Articles (PubMed)
  • Download PDF
  • Download XML
  • View XML
Article

Ginsenoside 20(S)‑Rg3 inhibits the Warburg effect through STAT3 pathways in ovarian cancer cells

  • Authors:
    • Jie Li
    • Ting Liu
    • Le Zhao
    • Wei Chen
    • Huilian Hou
    • Zhongxue Ye
    • Xu Li
  • View Affiliations / Copyright

    Affiliations: Center for Translational Medicine, The First Affiliated Hospital, School of Medicine, Xi'an Jiaotong University, Xi'an, Shaanxi 710061, P.R. China, Center for Laboratory Medicine, The First Affiliated Hospital, School of Medicine, Xi'an Jiaotong University, Xi'an, Shaanxi 710061, P.R. China, Department of Pathology, The First Affiliated Hospital, School of Medicine, Xi'an Jiaotong University, Xi'an, Shaanxi 710061, P.R. China
  • Pages: 775-781
    |
    Published online on: November 18, 2014
       https://doi.org/10.3892/ijo.2014.2767
  • Expand metrics +
Metrics: Total Views: 0 (Spandidos Publications: | PMC Statistics: )
Metrics: Total PDF Downloads: 0 (Spandidos Publications: | PMC Statistics: )
Cited By (CrossRef): 0 citations Loading Articles...

This article is mentioned in:



Abstract

Cancer cells prefer to metabolize glucose through aerobic glycolysis, known as the Warburg effect. It plays a crucial role in proliferation and progression of cancer cells. However, the complete mechanism remains elusive. In recent studies, the signal transducer and activator of transcription 3 (STAT3) signaling has been discovered to have roles in cancer‑associated changes in metabolism. In this study, we find that the ginsenoside 20(S)‑Rg3, a pharmacologically active component of the traditional Chinese herb Panax ginseng, inhibits glycolysis in ovarian cancer cells by regulating hexokinase 2 (HK2) and pyruvate kinase M2 (PKM2). We also show that 20(S)‑Rg3 regulates HK2 through downregulation of p‑STAT3 (Tyr705). Furthermore, overexpression of STAT3 in ovarian cancer cells weakened the suppression of Warburg effect induced by 20(S)‑Rg3. Importantly, 20(S)‑Rg3 treatment represses HK2 expression in nude mouse xenograft models of ovarian cancer. Taken together, our results show that 20(S)‑Rg3 inhibits the Warburg effect by targeting STAT3/HK2 pathway in ovarian cancer cells, highlighting the potentiality of 20(S)‑Rg3 to be used as a therapeutic agent for ovarian cancer.

Introduction

Ovarian cancer, the most lethal gynecologic malignancy, exists predominantly in the form of epithelial ovarian cancer (EOC) (1,2). In the United States, EOC is the leading cause of death among gynecologic malignancies with ~22,280 cases and 15,500 deaths every year (3). Despite the use of aggressive treatment, most EOC patients develop recurrent cancer, and cancer metastasis is one of the leading causes of death.

Ginsenosides are the pharmacologically active components of Panax ginseng (4) that has long been utilized as a traditional Chinese medicine for officinal or recuperative purposes (5,6). To date, >100 ginsenoside compounds have been identified (7), among which the stereoisomer Rg3 is one of the bioactive extracts with antitumor effect (8,9). It is reported that Rg3 could play multiple roles similarly to other ginsenosides, including anti-inflammation properties (10,11), inhibiting scar hyperplasia of skin (12) and angiogenesis (13). Furthermore, accumulating evidence supports that Rg3 could become a new medicine for cancer preventionin, because it can inhibit cancer growth, metastasis and development (8,9), but the mechanisms are still unclear. Ginsenoside Rg3 has two optically active chiral molecules 20(R)-Rg3 and 20(S)-Rg3, which differ in the orientation of the hydroxyl (OH) group on carbon-20 (5). Although both were reported to inhibit tumor metastasis (8), stereospecifity of Rg3 appears to be linked to their bioactivities (6). In our preliminary studies (unpublished), 20(S)-Rg3 robustly blocked EMT process in ovarian cancer. In this study, we discovered for the first time that 20(S)-Rg3 effectively inhibits the Warburg effect of human ovarian cancer cells, promising a novel natural agent for anti-ovarian cancer therapy.

The Warburg effect, which was first described by Warburg in the 1930s, is a metabolic reprogramme used by cancer cells to support their high energy requirements and high rates of macromolecular synthesis (14,15). In cancer cells, the main hallmark of the Warburg effect is aerobic glycolysis, in which glucose consumption and lactate production are both increased even in the presence of oxygen (16). The Warburg effect not only allows cancer cells to meet their high energy demands and supply the anabolic precursors for nucleotide and lipid synthesis, but it also minimizes reactive oxygen species production in mitochondria, thereby providing a growth advantage for tumors. Since Warburg effect plays a crucial role in proliferation and progression of cancer cells, it provides a novel target for anticancer therapy.

The mechanism of Warburg effect is also complicated, because Warburg effect could be impacted by many factors. There is evidence that the signal transducer and activator of transcription 3 (STAT3) is involved in Warburg effect. STAT3 has emerged as a potential anti-cancer target as it is crucial in the regulation of genes involved in cell proliferation and survival, and is constitutively activated in common human cancers (17,18). STAT3 can be phosphorylated by tyrosine kinase which is activated by cytokines, growth factors, or hormones (19). In ovarian cancer, STAT3 siRNA downregulates cyclin D1, survivin, and vascular endothelial growth factor expression in HOC cells; inhibits STAT3 and its related genes; inhibits HOC cell growth; and induces apoptosis in vitro (20). Recent studies have found that STAT3 was also involved in regulating glycolysis. In breast cancer cells, the activation of STAT3 can combine to hexokinase 2 (HK2) promoter, and then promote HK2 transcription activation, regulate aerobic glycolysis of breast cancer cells (21). Sustained activation of STAT3 can promote glycolysis and inhibit mitochondrial function in two ways (22). As a nuclear transcription factor c-myc can participate in regulating the glycolytic pathway by regulating a variety of enzymes (23), and c-myc is also involved in STAT3 signaling network (24). Interleukin-6 (IL-6)-STAT3 signaling pathway can affect glycolysis through regulating HK2 and PFKFB3 (25). Therefore, STAT3 plays an important role in regulating the Warburg effect.

We discovered that 20(S)-Rg3 significantly inhibits the Warburg effect in ovarian cancer cells and confirmed that this process depends on the activation of STAT3. This will add to our understanding of human ovarian cancer and provide future clinical approaches to treat this disease.

Materials and methods

Reagents and antibodies

Ginsenoside standard 20(S)-Rg3 was purchased from Ambo Institute (Seoul, South Korea) and dissolved at a concentration of 50 mg/ml in DMSO as a stock solution (stored at −20°C). It was then further diluted in cell culture medium to create working concentrations. The maximum final concentration of DMSO was <0.1% for each treatment, and was also used as a control. Other antibodies such as pyruvate kinase M2 (PKM2), HK2, phospho-STAT3 (Tyr705), and STAT3 were from Cell Signaling Technology, Inc. (Beverly, MA, USA).

Cell culture and 20(S)-Rg3 treatment

Human ovarian cancer cell lines SKOV3 (obtained from ATCC, Manassas, VA, USA) and 3AO (purchased from the Chinese Academy of Sciences Type Culture Collection, Shanghai, China) were maintained in RPMI-1640 medium (Gibco-BRL, Gaithersburg, MD, USA) supplemented with 10% (v/v) fetal bovine serum, 1% penicillin antibiotics-antimycotics at 37°C under a humidified 5% CO2 atmosphere. Cells were incubated with 160 μg/ml (SKOV3) and 80 μg/ml (3AO) concentrations of 20(S)-Rg3 for 24 or 48 h.

Plasmid and transient transfection

The human STAT3 expression vector pcDNA3 hId1 (POSE230074807) was purchased from GeneChem (Shanghai, China), ovarian cancer cells were seeded into 6-well plates until 80% confluent and transiently transfected with pcDNA3 hId1 or empty vector (pcDNA3) as a control using X-tremeGENE HP DNA Transfection Reagent (Roche Diagnostics, Indianapolis, IN, USA) following the manufacturer’s instructions. After 48 h of transfection, the cells were harvested for further study.

Quantitative real-time PCR

Total RNA was isolated using TRIzol reagent (Invitrogen Life Technologies, Carlsbad, CA, USA) according to the manufacturer’s instructions. For mRNA detection, first-strand cDNA was synthesized using a PrimeScript RT Reagent kit (Perfect Real Time; Takara Bio, Inc., Liaoning, China). Quantitative real-time PCR was performed using a SYBR Premix Ex Taq™ II kit (Takara Bio, Inc.) on a CFX96 real-time PCR system (Bio-Rad, Hercules, CA, USA). β-actin was used as an internal control to normalize the results. Gene expression was normalized to internal controls, and fold changes were calculated using relative quantification (2−ΔΔCt).

Western blot analysis

Cell lysates were collected using Mammalian Protein Extraction Reagent (Pierce Biotechnology, Inc., Rockford, IL, USA) containing protease inhibitors (Roche Diagnostics). The protein concentrations in each sample were determined using the BCA-200 Protein Assay kit (Pierce Biotechnology, Inc.). The proteins were resolved on 12 or 10% (for other protein detection) SDS-polyacrylamide gels and transferred onto nitrocellulose membranes. The membranes were then blocked using blocking buffer (5% non-fat milk in TBST) and incubated overnight at 4°C with rabbit anti-human PKM2 (no. D78A4), HK2 (no. C64G5), phospho-STAT3 (Tyr705) (no. 9139), and STAT3 (no. 9145), and mouse anti-human β-actin (no. 3700S) (all from Cell Signaling Technology, Inc.) at dilutions of 1:2,000, 1:500, 1:500, 1:500, and 1:1,000, respectively. After washing with TBST, the blots were visualized using peroxidase (HRP)-conjugated anti-rabbit or anti-mouse IgG and ECL reagents (Pierce Biotechnology, Inc.).

Immunohistochemical staining

Paraffin-embedded mouse ovarian cancer tissue sections on Poly-L-Lysine-coated slides were deparaffinized and rinsed with 10 mM Tris-HCl (pH 7.4) and 150 mM sodium chloride. Paroxidase was quenched with methanol and 3% hydrogen peroxide. Slides were then placed in 10 mM citrate buffer (pH 6.0) at 100°C for 20 min in a pressurized heating chamber. After incubation with 1:50 dilution of rabbit monoclonal antibody to HK2 (no. C64G5), or with 1:800 dilution of rabbit monoclonal antibody to PKM2 (no. D78A4) (both from Cell Signaling Technology, Inc.) for 1 h at room temperature, slides were thoroughly washed three times with phosphate-buffered saline. Bound antibodies were detected using the EnVision Detection Systems Peroxidase/DAB, Rabbit/Mouse kit (Dako, Glostrup, Denmark). The slides were then counterstained with hematoxylin.

Glucose consumption and lactate production assay

To determine the levels of glucose and lactate, the supernatants of cell culture media were collected and detected using a glucose and lactate assay kit (BioVision, Inc., Milpitas, CA, USA) according to the manufacturer’s instructions. The values at different time periods were analyzed by the optical density values. Glucose consumption and lactate production were calculated based on the standard curve, and normalized to the cell number.

Statistical analysis

All experiments were performed at least in triplicate, and each experiment was independently performed at least three times. Data are presented as the means ± standard deviation (SD) and were analyzed using SPSS 19.0 and GraphPad Prism 5 software. Statistical significance was assessed using the two-tailed unpaired Student’s t-test. Differences were considered statistically significant when the P-value was <0.05.

Results

20(S)-Rg3, but not 20(R)-Rg3 induces a metabolic shift in SKOV3 and 3AO ovarian cancer cells

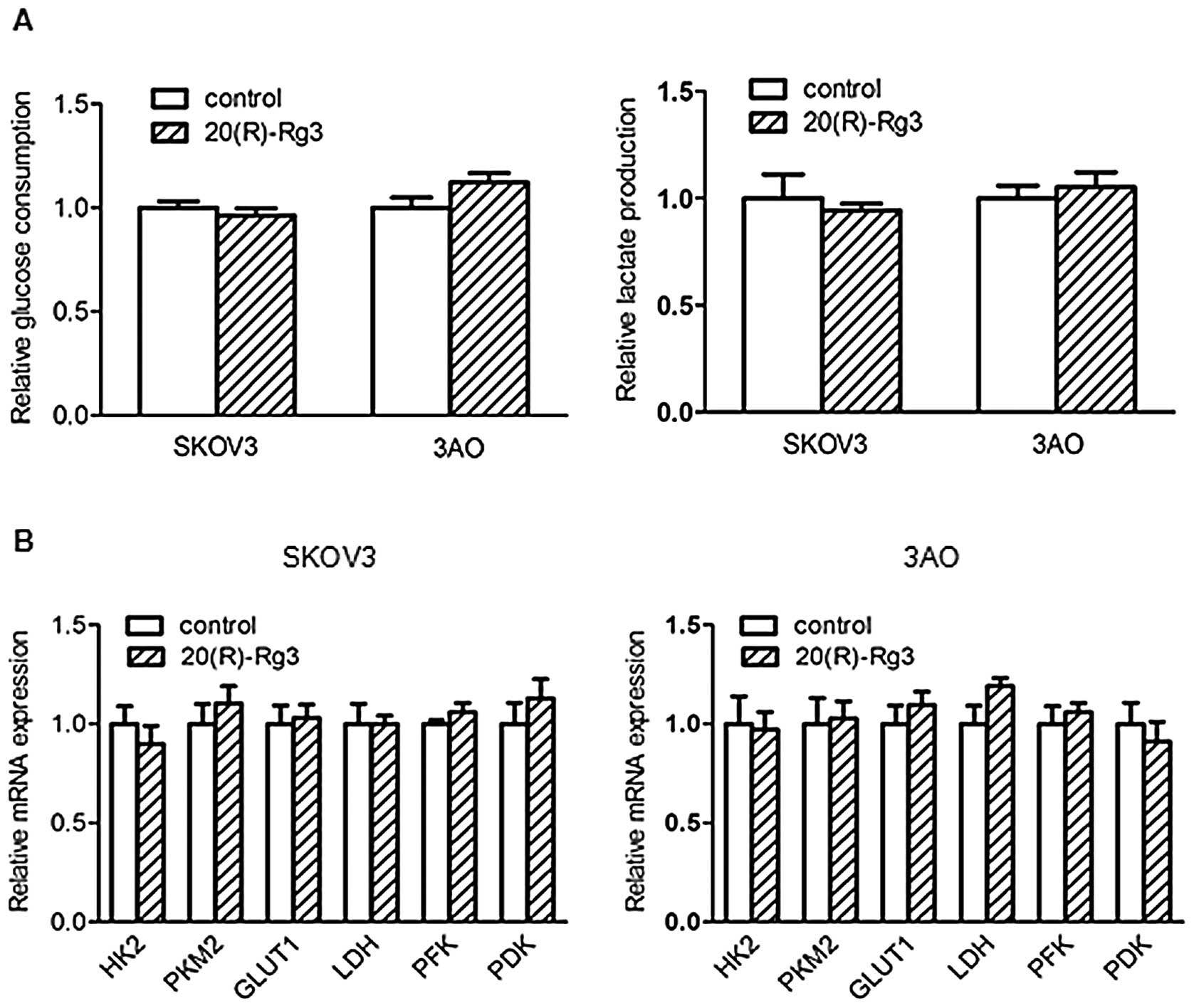
In cancer cells, glucose is preferentially metabolized by aerobic glycolysis, which differs from mitochondrial oxidative phosphorylation in normal, non-tumourigenic cells. This phenomenon, termed the Warburg effect, is characterized by increased glycolysis and lactate production regardless of oxygen availability. In our study, we first examined whether 20(S)-Rg3 or 20(R)-Rg3 was capable of inducing a metabolic shift in two human ovarian cancer cell lines SKOV3 and 3AO. We found that 20(S)-Rg3 inhibited glucose uptake and lactate secretion >30% (Fig. 1B) and reduced the acidity of cell culture media (Fig. 1A), but 20(R)-Rg3 had no effect on glucose uptake, lactate secretion and metabolic enzyme genes (Fig. 2). HK2 and PKM2 are key cell glycolysis genes. The RT-qPCR analysis and western blot analysis showed that 20(S)-Rg3 inhibited the expression of HK2 and PKM2 (Fig. 1C and D). 20(S)-Rg3 can also inhibit other metabolic enzyme genes including GLUT1, LDH, PDK and PFK in Warburg effect (Fig. 1E).

Figure 1

20(S)-Rg3 induces a metabolic shift in SKOV3 and 3AO ovarian cancer cells. (A) SKOV3 and 3AO cells expressing either control or 20(S)-Rg3 were cultured for 24 h. Acidification of the culture medium was evaluated by visually inspecting the color of the medium. NC, the culture medium of 20(S)-Rg3 without cells. (B) SKOV3 and 3AO cells expressing either control or 20(S)-Rg3 were cultured for 24 h. Levels of lactate in the culture medium and glucose consumption were then measured and normalized to cell number. (C) Real-time RT-PCR analysis shows that the expression of hexokinase 2 (HK2) and pyruvate kinase M2 (PKM2) is downregulated in SKOV3 and 3AO cells treated by 20(S)-Rg3 for 24 h. (D) Western blot assays show that the expression of HK2 and PKM2 is downregulated in SKOV3 and 3AO cells treated by 20(S)-Rg3 for 48 h. (E) Real-time RT-PCR analysis shows that the expression of other metabolic enzyme genes are downregulated in SKOV3 and 3AO cells treated by 20(S)-Rg3 for 24 h. All of the treatments shwn in this figure were carried out in triplicate, and the results are reported as the means ± standard deviation (SD). *P<0.05, **P<0.01, t-test. GLUT1, glucose transporter; LDH, lactate dehydrogenase; PFK, phosphofructokinase; PDK, pyruvate dehydrogenase kinase.

Figure 2

The effect on glucose uptake, lactate secretion and metabolic enzyme genes of 20(R)-Rg3. (A) SKOV3 and 3AO cells expressing either control or 20(R)-Rg3 were cultured for 24 h. Levels of lactate in the culture medium and glucose consumption were then measured and normalized to cell number. (B) Real-time RT-PCR analysis shows that the expression of metabolic enzyme genes is regulated in SKOV3 and 3AO cells treated by 20(R)-Rg3 for 24 h. All of the treatments reported in this figure were carried out in triplicate, and the results are the means ± standard deviation (SD). *P<0.05, **P<0.01, t-test.

Downregulation of p-STAT3 contributes to the inhibition of Warburg effect by 20(S)-Rg3 in SKOV3 and 3AO cells

Previously (Fig. 3B) we found that STAT3 was also involved in regulating glycolysis. Thus, we further confirmed that STAT3 played an important role in Warburg effect of SKOV3 and 3AO cells. We found that 20(S)-Rg3 downregulated p-STAT3 (Y705) without STAT3 in SKOV3 and 3AO cells (Fig. 3A). To demonstrate the role of STAT3 in 20(S)-Rg3-induced metabolic shift in ovarian cancer cells, STAT3 was ectopically transfected into SKOV3 and 3AO cells. Overexpression of STAT3 significantly promoted glucose uptake and lactate secretion and reduced the effects of 20(S)-Rg3 on glucose uptake and lactate secretion in SKOV3 and 3AO cells (Fig. 3B). In a previous study (Fig. 1C and E), the expression of HK2 had the greatest reduction after 20(S)-Rg3 treatment, so we chose HK2 for further study. The RT-qPCR and western blot analysis showed that overexpression of STAT3 significantly promoted HK2 and reduced the effects of 20(S)-Rg3 on expression of HK2 (Fig. 4). These results indicated that STAT3 plays an important role in the process of aerobic glycolysis regulated by 20(S)-Rg3 in SKOV3 and 3AO cells.

Figure 3

Downregulation of p-STAT3 contributes to the inhibition of Warburg effects by 20(S)-Rg3 in SKOV3 and 3AO cells. (A) Western blot assays show that the expression of p-STAT3 but not the signal transducer and activator of transcription 3 (STAT3) is upregulated in SKOV3 and 3AO cells treated by 20(S)-Rg3 for 48 h. (B) SKOV3 and 3AO cells expressing negative control, overexpression of STAT3 and STAT3 plus 20(S)-Rg3 were cultured for 48 h. Levels of lactate in the culture medium and glucose consumption were then measured and normalized to the cell number. All of the treatments in this figure were carried out in triplicate, and the results are the means ± standard deviation (SD). **P<0.01, t-test.

Figure 4

Downregulation of p-STAT3 contributes to the inhibition of Warburg effects by 20(S)-Rg3 in SKOV3 and 3AO cells. (A) Real-time RT-PCR analysis shows that the expression of hexokinase 2 (HK2) in SKOV3 and 3AO cells treated by negative control, overexpression of signal transducer and activator of transcription 3 (STAT3) and STAT3 plus 20(S)-Rg3 for 24 h. (B) Western blot assays show the expression of HK2 in SKOV3 and 3AO cells treated by negative control, overexpression of STAT3 and STAT3 plus 20(S)-Rg3 for 48 h. All of the treatments shown in this figure were carried out in triplicate, and the results are the means ± standard deviation (SD). **P<0.01, t-test.

Expression of HK2 and PKM2 in ovarian cancer tissue subcutaneous tumors of nude mice

In preliminary studies (unpublished), we found that 20(S)-Rg3 inhibited growth of xenografts of ovarian cancer in nude mice. Here, to further investigate whether 20(S)-Rg3 could alter metabolism of SKOV3 cells in vivo, the subcutaneous tumors were fixated for confirmation by H&E staining and immunohistochemistry analysis of HK2 and PKM2. As shown in Fig. 5, subcutaneous tumors in control mice exhibited a significantly high level of HK2 and PKM2. Contrarily, tumors in 20(S)-Rg3-treated mice displayed a decrease of HK2 and PKM2. These in vivo findings coincided with the in vitro changes observed in the cell models, demonstrating that 20(S)-Rg3 robustly inhibited the Warburg effect in ovarian cancer.

Figure 5

Expression of hexokinase 2 (HK2) and pyruvate kinase M2 (PKM2) in ovarian cancer tissue subcutaneous tumors of nude mice. Immunohistochemical staining of HK2, PKM2 and expression in subcutaneous tumor samples (original magnification, ×200; insets, ×400). 20(S)-Rg3 weakened HK2 and PKM2 in vivo. Values are presented as the means ± SD. P<0.05, P<0.01, for t-test.

Discussion

In this study, we demonstrated that 20(S)-Rg3, the pharmacologically active components of Panax ginseng, inhibited Warburg effect in ovarian cancer cells. The Warburg effect inhibited by 20(S)-Rg3 was accompanied by a decrease in levels of glucose uptake and lactate secretion as well as some metabolic enzymes in glycolysis including PKM2, HK2, GLUT1, and LDH. The expression of HK2 had the greatest reduction (Fig. 1). 20(S)-Rg3 downregulated p-STAT3 (Y705) without STAT3 in SKOV3 and 3AO cells, and overexpression of STAT3 can rescue the inhibitor effect induced by 20(S)-Rg3 (Figs. 3 and 4). We also found that 20(S)-Rg3 weakened HK2 and PKM2 in vivo through immunohistochemical staining of HK2, PKM2 in subcutaneous tumor samples (Fig. 5). Collectively, our data revealed that STAT3, has important roles in mediating 20(S)-Rg3-induced inhibition of aerobic glycolysis in ovarian cancer cells.

The Warburg effect not only allows cancer cells to meet their high energy demands and supply the anabolic precursors for nucleotide and lipid synthesis. The importance of Warburg effect in survival and proliferation of cancer cells in the tumour microenvironment is well documented. In this study, we have demonstrated for the first time that the ginsenoside 20(S)-Rg3, isolated from the traditional Chinese herb Panax ginseng, effectively inhibits aerobic glycolysis by inducing p-STAT3 inactivation in ovarian cancer cells.

Substantial research has been performed on the antitumor effect of 20(S)-Rg3, but the specific mechanism is still unclear. 20(S)-Rg3 has a broad spectrum of antitumor activities, ranging from the prevention of tumor growth and the inhibition of tumor progression to the enhancement of chemotherapeutic response. 20(S)-Rg3 has been shown to restrain HT29 colorectal cancer cell proliferation by inhibiting mitosis and inducing apoptosis (8). Kim et al demonstrated that 20(S)-Rg3 sensitized prostate cancer cells to docetaxel and other chemotherapeutics by inhibiting cell growth and augmenting apoptosis via suppression of constitutively activated and TNF α-induced NF-κB (26). 20(S)-Rg3 promoted TRAIL-induced apoptosis in hepatocellular carcinoma cells via C/EBP homology protein-mediated DR5 upregulation (27). Collectively, these findings, together with our in vitro and in vivo data, shed new light on the metabolic mechanism of ginsenosides in general, and validate potential clinical use of 20(S)-Rg3 in particular as an adjuvant chemotherapeutic for patients with advanced ovarian cancer.

STAT3 is associated with cell proliferation, survival, and carcinogenesis. Numerous studies have reported that STAT3 is constitutively phosphorylated in a wide variety of cancers through the increased activities of positive regulators, such as the IL-6 cytokines, receptor tyrosine kinases EGFR and VEGFR (28). It has been reported that IL-6-STAT3 signaling pathway can affect glycolysis through regulating HK2 and PFKFB3 (25). It has also been reported that in breast cancer cells, the activation of STAT3 can combine to HK2 promoter, and then promote HK2 transcription activation, regulate aerobic glycolysis of breast cancer cells (21). HK2 is overexpressed in tumors and contributes to aerobic glycolysis. Thus, it is characterized as a pivotal player in the Warburg effect and an emerging target for cancer metabolism therapeutics (29,30). Our results showed that Warburg effect was inhibited by 20(S)-Rg3 though STAT3/HK2 pathways (Fig. 6). The experimental results confirmed our hypothesis, providing the first experimental demonstration that Warburg effect is inhibited by 20(S)-Rg3 through downregulating p-STAT3. Futhermore, we also found that 20(S)-Rg3 decreased metabolic enzymes in glycolysis including PKM2, HK2, GLUT1, and LDH, but the mechanism still needed further study. Our data lay the foundation for necessary additional studies of this compound to warrant its clinical use as a new anti-cancer drug for the treatment of various diseases including ovarian cancer.

Figure 6

Schematic representation of the mechanism for 20(S)-Rg3-regulated metabolic switch.

Acknowledgements

We thank Ms. Yan Zhang, Ms. Jing Li, and Dr Mei Xue for technical assistance. This study was supported by the National Natural Science Foundation of China (Beijing, China) (no. 30973429).

References

1 

Cho KR and Shih IeM: Ovarian cancer. Annu Rev Pathol. 4:287–313. 2009. View Article : Google Scholar :

2 

Swisher EM, Taniguchi T and Karlan BY: Molecular scores to predict ovarian cancer outcomes: a worthy goal, but not ready for prime time. J Natl Cancer Inst. 104:642–645. 2012. View Article : Google Scholar : PubMed/NCBI

3 

Siegel R, Naishadham D and Jemal A: Cancer statistics, 2013. CA Cancer J Clin. 63:11–30. 2013. View Article : Google Scholar : PubMed/NCBI

4 

Gillis CN: Panax ginseng pharmacology: a nitric oxide link? Biochem Pharmacol. 54:1–8. 1997. View Article : Google Scholar : PubMed/NCBI

5 

Liao B, Newmark H and Zhou R: Neuroprotective effects of ginseng total saponin and ginsenosides Rb1 and Rg1 on spinal cord neurons in vitro. Exp Neurol. 173:224–234. 2002. View Article : Google Scholar : PubMed/NCBI

6 

Nag SA, Qin JJ, Wang W, Wang MH, Wang H and Zhang R: Ginsenosides as anticancer agents: in vitro and in vivo activities, structure-activity relationships, and molecular mechanisms of action. Front Pharmacol. 3:252012. View Article : Google Scholar : PubMed/NCBI

7 

Lü JM, Yao Q and Chen C: Ginseng compounds: an update on their molecular mechanisms and medical applications. Curr Vasc Pharmacol. 7:293–302. 2009. View Article : Google Scholar : PubMed/NCBI

8 

Lee SY, Kim GT, Roh SH, et al: Proteomic analysis of the anti-cancer effect of 20S-ginsenoside Rg3 in human colon cancer cell lines. Biosci Biotechnol Biochem. 73:811–816. 2009. View Article : Google Scholar : PubMed/NCBI

9 

Mochizuki M, Yoo YC, Matsuzawa K, et al: Inhibitory effect of tumor metastasis in mice by saponins, ginsenoside-Rb2, 20(R)- and 20(S)-ginsenoside-Rg3, of red ginseng. Biol Pharm Bull. 18:1197–1202. 1995. View Article : Google Scholar : PubMed/NCBI

10 

Bae EA, Kim EJ, Park JS, Kim HS, Ryu JH and Kim DH: Ginsenosides Rg3 and Rh2 inhibit the activation of AP-1 and protein kinase A pathway in lipopolysaccharide/interferon-gamma-stimulated BV-2 microglial cells. Planta Med. 72:627–633. 2006. View Article : Google Scholar : PubMed/NCBI

11 

Keum YS, Han SS, Chun KS, et al: Inhibitory effects of the ginsenoside Rg3 on phorbol ester-induced cyclooxygenase-2 expression, NF-kappaB activation and tumor promotion. Mutat Res. 523–524:75–85. 2003. View Article : Google Scholar

12 

Cui W, Cheng L, Hu C, Li H, Zhang Y and Chang J: Electrospun poly(L-lactide) fiber with ginsenoside rg3 for inhibiting scar hyperplasia of skin. PLoS One. 8:e687712013. View Article : Google Scholar : PubMed/NCBI

13 

Yue PY, Wong DY, Wu PK, et al: The angiosuppressive effects of 20(R)-ginsenoside Rg3. Biochem Pharmacol. 72:437–445. 2006. View Article : Google Scholar : PubMed/NCBI

14 

Warburg O: On the origin of cancer cells. Science. 123:309–314. 1956. View Article : Google Scholar : PubMed/NCBI

15 

Kim JW and Dang CV: Cancer’s molecular sweet tooth and the Warburg effect. Cancer Res. 66:8927–8930. 2006. View Article : Google Scholar : PubMed/NCBI

16 

Vander Heiden MG, Cantley LC and Thompson CB: Understanding the Warburg effect: the metabolic requirements of cell proliferation. Science. 324:1029–1033. 2009. View Article : Google Scholar : PubMed/NCBI

17 

Diaz N, Minton S, Cox C, et al: Activation of stat3 in primary tumors from high-risk breast cancer patients is associated with elevated levels of activated SRC and survivin expression. Clin Cancer Res. 12:20–28. 2006. View Article : Google Scholar : PubMed/NCBI

18 

Germain D and Frank DA: Targeting the cytoplasmic and nuclear functions of signal transducers and activators of transcription 3 for cancer therapy. Clin Cancer Res. 13:5665–5669. 2007. View Article : Google Scholar : PubMed/NCBI

19 

Wang SW and Sun YM: The IL-6/JA K/STAT3 pathway: Potential therapeutic strategies in treating colorectal cancer (Review). Int J Oncol. 44:1032–1040. 2014.PubMed/NCBI

20 

Zhu Q, Hu J, Meng H, Shen Y, Zhou J and Zhu Z: S-phase cell cycle arrest, apoptosis, and molecular mechanisms of aplasia ras homolog member I-induced human ovarian cancer SKOV3 cell lines. Int J Gynecol Cancer. 24:629–634. 2014. View Article : Google Scholar : PubMed/NCBI

21 

Jiang S, Zhang LF, Zhang HW, et al: A novel miR-155/miR-143 cascade controls glycolysis by regulating hexokinase 2 in breast cancer cells. EMBO J. 31:1985–1998. 2012. View Article : Google Scholar : PubMed/NCBI

22 

Demaria M, Giorgi C, Lebiedzinska M, et al: A STAT3-mediated metabolic switch is involved in tumour transformation and STAT3 addiction. Aging (Albany NY). 2:823–842. 2010.

23 

Sawayama H, Ishimoto T, Sugihara H, et al: Clinical impact of the Warburg effect in gastrointestinal cancer (Review). Int J Oncol. 45:1345–1354. 2014.PubMed/NCBI

24 

Kiuchi N, Nakajima K, Ichiba M, et al: STAT3 is required for the gp130-mediated full activation of the c-myc gene. J Exp Med. 189:63–73. 1999. View Article : Google Scholar : PubMed/NCBI

25 

Ando M, Uehara I, Kogure K, et al: Interleukin 6 enhances glycolysis through expression of the glycolytic enzymes hexokinase 2 and 6-phosphofructo-2-kinase/fructose-2,6-bisphosphatase-3. J Nippon Med Sch. 77:97–105. 2010. View Article : Google Scholar : PubMed/NCBI

26 

Kim SM, Lee SY, Cho JS, et al: Combination of ginsenoside Rg3 with docetaxel enhances the susceptibility of prostate cancer cells via inhibition of NF-kappaB. Eur J Pharmacol. 631:1–9. 2010. View Article : Google Scholar : PubMed/NCBI

27 

Lee JY, Jung KH, Morgan MJ, et al: Sensitization of TRAIL-induced cell death by 20(S)-ginsenoside Rg3 via CHOP-mediated DR5 upregulation in human hepatocellular carcinoma cells. Mol Cancer Ther. 12:274–285. 2013. View Article : Google Scholar

28 

Liu CY, Tseng LM, Su JC, et al: Novel sorafenib analogues induce apoptosis through SHP-1 dependent STAT3 inactivation in human breast cancer cells. Breast Cancer Res. 15:R632013. View Article : Google Scholar : PubMed/NCBI

29 

Mathupala SP, Ko YH and Pedersen PL: Hexokinase-2 bound to mitochondria: cancer’s stygian link to the ‘Warburg Effect’ and a pivotal target for effective therapy. Semin Cancer Biol. 19:17–24. 2009. View Article : Google Scholar :

30 

Vander Heiden MG, Lunt SY, Dayton TL, et al: Metabolic pathway alterations that support cell proliferation. Cold Spring Harb Symp Quant Biol. 76:325–334. 2011. View Article : Google Scholar

Related Articles

  • Abstract
  • View
  • Download
  • Twitter
Copy and paste a formatted citation
Spandidos Publications style
Li J, Liu T, Zhao L, Chen W, Hou H, Ye Z and Li X: Ginsenoside 20(S)‑Rg3 inhibits the Warburg effect through STAT3 pathways in ovarian cancer cells. Int J Oncol 46: 775-781, 2015.
APA
Li, J., Liu, T., Zhao, L., Chen, W., Hou, H., Ye, Z., & Li, X. (2015). Ginsenoside 20(S)‑Rg3 inhibits the Warburg effect through STAT3 pathways in ovarian cancer cells. International Journal of Oncology, 46, 775-781. https://doi.org/10.3892/ijo.2014.2767
MLA
Li, J., Liu, T., Zhao, L., Chen, W., Hou, H., Ye, Z., Li, X."Ginsenoside 20(S)‑Rg3 inhibits the Warburg effect through STAT3 pathways in ovarian cancer cells". International Journal of Oncology 46.2 (2015): 775-781.
Chicago
Li, J., Liu, T., Zhao, L., Chen, W., Hou, H., Ye, Z., Li, X."Ginsenoside 20(S)‑Rg3 inhibits the Warburg effect through STAT3 pathways in ovarian cancer cells". International Journal of Oncology 46, no. 2 (2015): 775-781. https://doi.org/10.3892/ijo.2014.2767
Copy and paste a formatted citation
x
Spandidos Publications style
Li J, Liu T, Zhao L, Chen W, Hou H, Ye Z and Li X: Ginsenoside 20(S)‑Rg3 inhibits the Warburg effect through STAT3 pathways in ovarian cancer cells. Int J Oncol 46: 775-781, 2015.
APA
Li, J., Liu, T., Zhao, L., Chen, W., Hou, H., Ye, Z., & Li, X. (2015). Ginsenoside 20(S)‑Rg3 inhibits the Warburg effect through STAT3 pathways in ovarian cancer cells. International Journal of Oncology, 46, 775-781. https://doi.org/10.3892/ijo.2014.2767
MLA
Li, J., Liu, T., Zhao, L., Chen, W., Hou, H., Ye, Z., Li, X."Ginsenoside 20(S)‑Rg3 inhibits the Warburg effect through STAT3 pathways in ovarian cancer cells". International Journal of Oncology 46.2 (2015): 775-781.
Chicago
Li, J., Liu, T., Zhao, L., Chen, W., Hou, H., Ye, Z., Li, X."Ginsenoside 20(S)‑Rg3 inhibits the Warburg effect through STAT3 pathways in ovarian cancer cells". International Journal of Oncology 46, no. 2 (2015): 775-781. https://doi.org/10.3892/ijo.2014.2767
Follow us
  • Twitter
  • LinkedIn
  • Facebook
About
  • Spandidos Publications
  • Careers
  • Cookie Policy
  • Privacy Policy
How can we help?
  • Help
  • Live Chat
  • Contact
  • Email to our Support Team