International Journal of Molecular Medicine is an international journal devoted to molecular mechanisms of human disease.
International Journal of Oncology is an international journal devoted to oncology research and cancer treatment.
Covers molecular medicine topics such as pharmacology, pathology, genetics, neuroscience, infectious diseases, molecular cardiology, and molecular surgery.
Oncology Reports is an international journal devoted to fundamental and applied research in Oncology.
Experimental and Therapeutic Medicine is an international journal devoted to laboratory and clinical medicine.
Oncology Letters is an international journal devoted to Experimental and Clinical Oncology.
Explores a wide range of biological and medical fields, including pharmacology, genetics, microbiology, neuroscience, and molecular cardiology.
International journal addressing all aspects of oncology research, from tumorigenesis and oncogenes to chemotherapy and metastasis.
Multidisciplinary open-access journal spanning biochemistry, genetics, neuroscience, environmental health, and synthetic biology.
Open-access journal combining biochemistry, pharmacology, immunology, and genetics to advance health through functional nutrition.
Publishes open-access research on using epigenetics to advance understanding and treatment of human disease.
An International Open Access Journal Devoted to General Medicine.
Cervical cancer, as the most common malignant gynecological tumor and the second leading cause of cancer mortality, is a major health concern world-wide (1,2). Majority of cervical carcinoma is associated with the presence of human papilloma virus (HPV). The viral encoded E6 and E7 proteins play key roles in cervical carcinoma progression (3). Multiple other signaling pathways, such as Notch, Wnt, COX2, NF-κB, p53 and RhoC, are also believed to be involved in the occurrence and development of cervical cancer (4–6). Notch signaling especially has been found to play a critical role in cervical cancer development (6,7).
Notch signaling is highly conserved and is critical for the determination of cell proliferation, differentiation and apoptosis. Moreover, Notch receptors and their ligands are often found aberrantly expressed in many types of cancers and plays an important role in cancer progression (8–10). The above led to increasing investigation of Notch signaling in the cancer progression and the development of potential therapeutic strategies targeting Notch signaling (11–13). However, Notch activity is complicated and highly cell- and context-specific, and differs due to the tumor microenvironment and crosstalk with other signaling pathways (14,15). In cervical cancer, up regulation of Notch signaling is observed in the early stage and a downregulation in the late stage (16,17). Even in the same cervical cell models, Notch signaling exhibits controversial effects by independent studies. Activation of Notch1 signaling suppressed the growth of cervical cancer cells such as HeLa, SiHa, and CaSki cells (18,19). While the opposite effect of Notch signaling was also reported in the same cancer cells. Blocking of Notch1 signaling was found to result in cell growth arrest in HeLa and CaSki cells (20). Thus, the precise molecular mechanisms of Notch signaling in cervical cancer are not completely known and still need further study.
Histone deacetylase (HDAC) is reported to contribute to tumor progression via silencing of tumor suppressor genes (21). Overexpression of HDAC2 is observed in cervical cancer (22). The HDAC inhibitor VPA is currently being investigated for its anticancer effect on several cancers (14,23,24). Recent studies also showed that VPA could induce cell arrest and apoptosis via activating Notch signaling in small cell lung cancer and neuroblastoma (25,26). Our previous study demonstrated the VPA anticancer efficacy in cervical cancer HeLa cells (27). In the present study, we further investigated the VPA effects in three human cervical cancer cell lines (HeLa, CaSki, HT-3) that differed in their ICN1-expression or HPV integration statues, expecting to compare the difference of VPA's effects on cervical cancer cells with different genetic background. We also attempted to clarify the role of Notch signaling in VPA-induced tumor suppression and the involvement of other signaling pathways.
Valproic Acid (VPA) was purchased from Sigma (cat. no. PHR1061-1G). LY294002 (cat. no. HY-10108) was purchased from Medchem Express, while DAPT (cat. no. INO1001-0005MG) was from Jinpu Bio-Technology. Antibody to cleaved Notch1 (Val1744) (cat. no. 4147) was from Cell Signaling Technology, and β-actin (cat. no. Ab101-01) from Vazyme Biotechnology.
Human cervical cancer HeLa, CaSki and HT-3 cells were cultured in DMEM, RPMI-1640 and McCoy's 5A medium (Gibco) respectively, supplemented with 10% fetal bovine serum (Gibco) and 1% penicillin/streptomycin (Gibco). All cell lines were obtained from Cell Bank of State Key Laboratory of Genetic Engineering, Fudan University. HeLa and CaSki cells are HPV18 and HPV16-positive, respectively, while HT-3 cells are HPV negative. VPA, DAPT and LY294002 were dissolved in DMSO with the final concentration of DMSO in the culture medium <1%. DMSO was used as a control when these compounds were used to treat cells.
Total RNA was extracted with RNeasy Mini kit (Qiagen) as described in the protocol. The cDNA was synthesized using PrimeScript II 1st strand cDNA Synthesis kit (Takara) from 2 μg of total RNA. Reverse transcription was run for one cycle of 30°C for 10 min, 42°C for 60 min, followed by 5 min at 95°C for inactivation and held at 4°C. The primers for real-time PCR assays are shown in Table I. The real-time assays were performed for 40 cycles of 95°C for 100 sec, 60°C for 20 sec, and 72°C for 10 sec on a Roche LightCycler 480. Assays were set up using SYBR Premix Ex Taq (Takara). PCR reactions were run on a Veriti 96-well Thermal Cycler (Applied Biosystems). β-actin was used as the internal control and expression levels for each target gene were calculated by applying 2−ΔΔCT methods. The experiments were done separately three times.
Cells were harvested and mixed with loading buffer and heated for 5 min in boiling water. Supernatants were loaded onto 10% Tris-glycine gel after centrifugation at 12,000 x g for 10 min and then transferred onto a PVDF membrane (Millipore) by electroblotting. Membrane was then blocked with 5% fat-free milk, washed three times with TBST and incubated with antibodies against cleaved Notch1 (Val1744) and β-actin, respectively, at 4°C overnight. Membrane was incubated with HRP-conjugated secondary antibodies for 1 h after washing. Signals were detected by ECL kit (GE Healthcare).
The cell proliferation assay was performed using the WST-1 Cell proliferation and cytotoxicity assay kit (Beyotime) to evaluate effects of VPA on the in vitro proliferation of human cervical cancer HeLa, CaSki and HT-3 cells. Briefly, 100 μl of the indicated cell stock (1×105 cells/ml in media) was added to 96-well plates. Medium was replaced 8 h later with new medium containing different concentrations of compounds and plates were incubated at 37°C in a CO2 incubator for 72 h. All compound concentrations were tested in triplicate. Following the incubation, 10 μl of WST-1 reagent was added to each well and incubated for an additional 3 h. The absorbance at 450 nm was measured by Thermal MultiSkan FC (Thermal Scientific). The experiments were done separately three times.
Cell apoptosis and cell cycle was analyzed by flow cytometry. Cells treated with VPA were harvested and washed twice with PBS. Apoptosis assay was performed using the Annexin V-FITC Apoptosis Detection kit (BD Bioscience). Cells (1×106) were suspended in 1 ml 1X Binding buffer. Annexin V (5 μl) conjugate and 5 μl of PI were added to 100 μl of the solution and then incubated for 15 min in the dark. Cells were analyzed with a BD FACS Calibur. For cell cycle analysis, cells were fixed in 70% ethanol overnight and washed twice with PBS. After resuspended in 0.5 ml PBS with 30 μg PI (Sangon Biotech) and 25 μg DNase-free RNase A (Tiangen Biotech), cells were incubated for 1 h at room temperature and tested by flow cytometry. Experiments were repeated three times.
In our previous study, we demonstrated that VPA could suppress cell proliferation in HeLa cells (27). VPA were further analyzed in this study for its effects on proliferation in three human cervical cancer cell lines. As expected, VPA suppressed proliferation in all these tested cell lines in a dose-depend manner (Fig. 1). HT-3 cells, which were HPV-negative and ICN1-overexpressing, exhibited the most significant inhibition with the inhibitory rates of 82.5%. However, HeLa, as a HPV-positive cell line with a low ICN1 background, were less sensitive towards VPA. There was also a decrease of the cell proliferation marker PCNA (-1.19, -1.26, -3.65-fold) and Ki-67 (-3.26, -1.34, -1.99-fold) assayed by real-time PCR in all the cell lines after VPA treatment (Table II).
We further compared the effects of VPA on cell apoptosis in cervical cancer cell lines using FACS. VPA induced the increase of both early apoptosis and necro-apoptosis in a dose-depend manner in CaSki and HT-3 cells. However, only slightly apoptosis was observed in HeLa cells at low VPA concentration (Fig. 2). V-FITC-negative cells decreased the most significantly in CaSki cells, with a decline of 50% compared to the control at 5 mM and a 72 h incubation. The decrease of V-FITC-negative HT-3 cells was 29% at the same condition. However, changes of the apoptotic marker caspase-3 were only upregulated in CaSki cells (1.29-fold) assayed by real-time PCR (Table II).
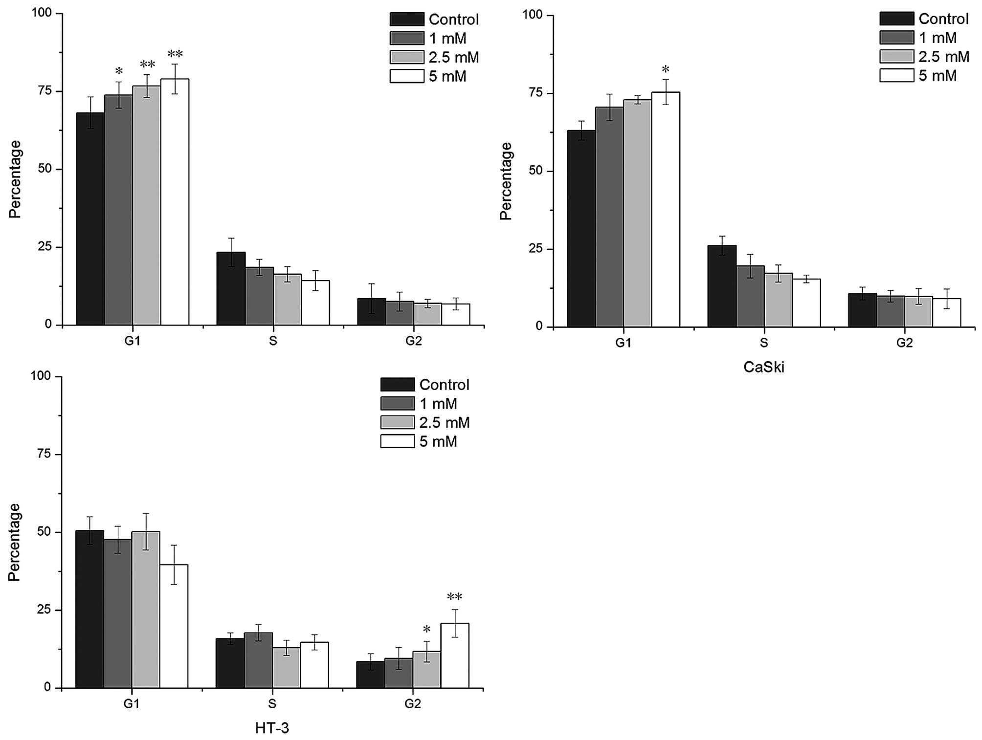
We also investigated the effects of VPA on cell cycle progression, cell cycle distribution was analyzed at 72 h. The results showed that VPA induced cell cycle arrest at phase G1 in HeLa and CaSki cells, and at phase G2 in HT-3 cells (Fig. 3). VPA, at 5 mM, enhanced the percentage of G1-phase cells from 68 to 79% and 63 to 75% in HeLa and CaSki cells respectively compared to the control. The percentage of G2-phase cells was elevated from 12 to 25% in HT-3 cells in the same VPA concentration.
VPA is believed to upregulate Notch signaling in various cancers (28–30). Therefore, we evaluated VPA on the expression of Notch1. We first investigated the expressional profiles of Notch signaling in these tested cell lines. We found that expression of ICN1 (the active form of Notch1), was relatively higher in CaSki and HT-3 cells than that in HeLa cells at the protein level. This was identical to other research in which ICN1 was insignificant in HeLa cells compared with CaSki cells (31). Moreover, VPA in a time-dependent manner induced an increase of ICN1 in all the tested cell lines (Fig. 4A). The Notch downstream target gene HES1 was also increased after VPA treatment (Table II). Despite the elevation of ICN1 at the protein level, no obvious change of Notch1 at the mRNA level was detected by RT-PCR (data not shown) and Real-time analysis (Table II). In our previous study, we found that Notch1 directly plays an anti-oncogenic role via inducing cell growth arrest in HeLa cells (26). Thus, VPA functions as a tumor suppressor probably via activating Notch1 signaling.
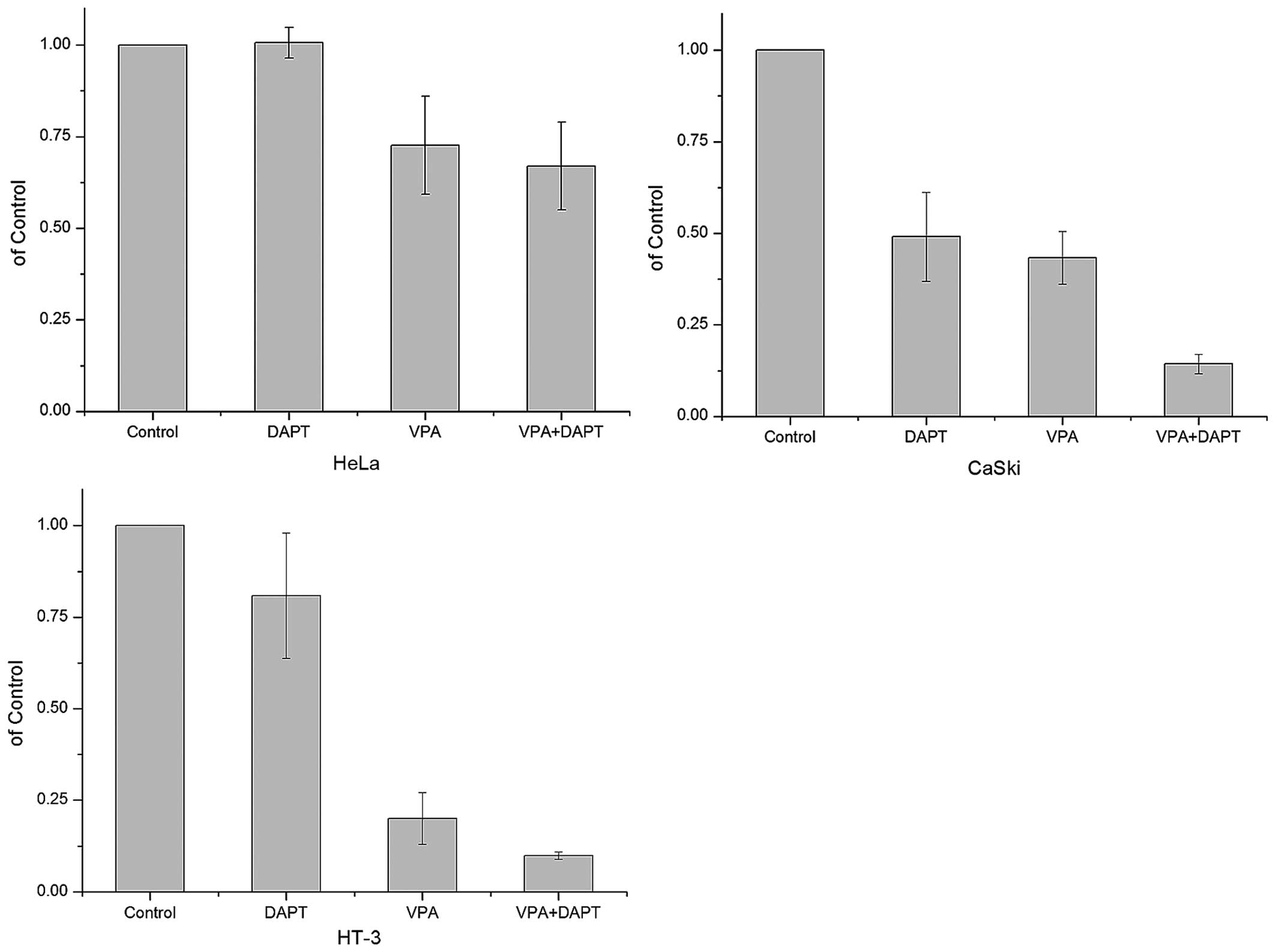
In this study, Notch pathway inhibitor DAPT was used to investigate the role of Notch signaling in VPA-induced tumor suppression and could eliminate ICN1 with or without the appearance of VPA after a 12 h incubation (Fig. 4B). DAPT suppressed cell proliferation individually and enhanced suppression effect of VPA in CaSki and HT-3 cells. While HeLa cells, which have a lower expression of ICN1, were not affected by DAPT (Fig. 5). Furthermore, VPA could still suppress cell proliferation after DAPT treatment, indicating that VPA could also suppress tumor progression via Notch-independent pathways.
We evaluated the VPA effects on the expression of HPV E6 gene. The result by real-time PCR showed that VPA treatment for 20 h significantly downregulated the expression of E6 in CaSki cells (Table II), whilst in HeLa cells, E6 was only downregulated in early stage (data not shown). DAPT showed no effect on the VPA-induced inhibition of E6 by RT-PCR (Fig. 4C) or real-time PCR (data not shown), indicating that VPA-induced E6 downregulation may possibly be Notch-independent. It is known that E6 acts as a tumor suppressor in cervical cancer (26). E6 was highly expressed in CaSki cells, so cell apoptosis and caspase-3 upregulation induced by VPA may be explained by E6 inhibition. However, p53, which is negatively regulated by E6, also decreased slightly, differing from the expected (Table II).
One of the key transcription factors of EMT, Snail1, was upregulated by VPA in HeLa cells in our previous study. Snail1 was further confirmed to be activated in all the three cervical cell lines (Table II). Morphological changes were observed in HeLa and HT-3 cells after treatment of VPA at 5 mM, but not in CaSki cells despite the upregulation of Snail1 (Fig. 6). DAPT could partly reverse the increase of Snail1 induced by VPA in HeLa cells, while it showed no effect in HT-3 cells (Fig. 4C). These findings indicated that VPA-induced upregulation of Snail1 may probably be Notch-dependent in HeLa cells, and some other pathways may also be involved in this progression.
PI3K/Akt pathway participated in EMT and mediated expression and stabilization of Snail (32,33). Recent studies showed that VPA activated PI3K/Akt pathway by increasing the phosphorylation levels of Akt and GSK-3β (23,34). Thus, we further investigated whether PI3K/Akt was involved in VPA-induced EMT in cervical cancer cells. HeLa cells were treated with LY294002, the inhibitor of PI3K/Akt, prior to exposure to VPA. The results revealed that LY294002 itself induced slightly EMT and could significantly enhance VPA-induced EMT (Fig. 7). These findings indicated that PI3k/Akt pathway is involved in VPA-induced EMT. However, the mechanism behind this enhancement is unknown and needed further research.
VPA, as a HDAC inhibitor, is currently under investigation for its anticancer activities in many different types of cancers (14,29,35). Our previous study showed that VPA may act as a potential tumor suppressor in cervical cancer. In this study, we compared the VPA effects on cell proliferation, apoptosis, cell cycle and differentiation in three HPV-positive and negative cervical cancer cell lines. VPA exhibited proliferation inhibition in all the test cells, especially in CaSki and HT-3 cells. Both early apoptosis and necro-apoptosis increased significantly in a dose-depend manner after VPA treatment. However, VPA was able to induce slight apoptosis in HeLa cells, but only at low concentration. Cell cycle arrest was observed in all the cell lines. Noteworthy, the effects of VPA on the cell cycle were different. That is to say, HeLa and CaSki cells exhibited G1 phase arrest, while G2 phase arrest was induced in HT-3 cells. These distinct results in different cell lines indicated that the effect of VPA may depend on the molecular and genetic background of the cells.
Notch signaling is reported involved in the pathogenesis of many human cancers and is highly cell-specific (14,36). Notch1 activation via ICN1 and VPA directly suppressed cervical cancer HeLa cells both in vitro and in vivo in our previous study (26). We wonder if VPA directly modulate Notch signaling. In this study, the effects of VPA were further confirmed not only in HeLa but also in cervical cancer CaSki and HT-3 cell lines. VPA could elevate the expression of ICN1, but had no effect on Notch1 at mRNA level. VPA was reported to modulate γ-secretase cleavage of β-amyloid precursor protein in mouse brain cells (37). Therefore, VPA may upregulate γ-secretase cleavage of Notch1 in cervical cancer cells and release ICN1. Several studies showed that ICN1 overexpression by ICN1-transfection suppress cell growth in HeLa and CaSki cells (18,26). Thus, upregulation of ICN1 may contribute to the VPA growth inhibitory effects. Of note, DAPT also suppressed cell proliferation and enhanced suppression of VPA in CaSki and HT-3 cells. This was possibly caused by the complicity of Notch signaling. It is reported that both ICN1 transfection and RNA interference resulted in cell growth arrest in CaSki cells (3,31). Therefore, Notch signaling may act as either a tumor suppressor or an oncogene in the same cell model. We speculated that overexpression of ICN1 activates several tumor suppressors and exhibit anticancer effects. While endogenous ICN1 is necessary for survival of ICN1-overexpressing cells, leading to a cell growth arrest after full suppression of Notch signaling in these cell lines. Moreover, VPA suppressed cell growth with the appearance of Notch signaling inhibitor DAPT, suggesting that another pathway is involved in VPA-induced growth suppression.
The oncogene E6 is necessary for HPV-induced cervical cancer malignancy (5,18,38). Notch1 activation was reported to downregulate HPV E6 expression and resulted in cell arrest in HPV-positive cervical cancer cells (18,39). E6 was also found to be downregulated by VPA in this study, especially in CaSki cells. However, DAPT failed to reverse VPA-induced E6 suppression, suggesting that VPA suppress E6 gene in a Notch-independent pathway. Several studies have revealed that E6 protects cells from apoptosis via accelerating the degradation of several key proteins in apoptotic signaling, such as caspase 8 and p53 (40,41). CaSki cells exhibited high expression of E6 and the most significant apoptosis induced by VPA. Thus, VPA may induce strong apoptosis in cells with a high E6 expression via E6 suppression.
VPA was reported to induce cell morphological change (or EMT) in cervical cancer HeLa cells in our previous study (27). EMT was also observed in HeLa and HT-3 cells after VPA treatment, coupled with a significant upregulation of the transcription factor Snail1. Notch signaling regulates EMT directly and indirectly through various signaling pathways (34). Our study showed that DAPT partly reversed VPA-induced Snail1 upregulation in HeLa cells, suggesting that VPA upregulated Snail1 at least partly via Notch signaling activation in cervical cancer. PI3K/Akt pathway, which was reported to be activated by VPA, participated in EMT and mediated expression and stabilization of Snail (23,24,32,33). PI3K/Akt pathway inhibitor LY294002 was reported to inhibit VPA-induced upregulation of Snail1 and EMT in colorectal cancer (34). However, LY294002 showed no effect on VPA-induced Snail1 upregulation in our study. Oppositely, LY294002 enhanced VPA-induced EMT. These results indicated that PI3K/Akt pathway may be involved in VPA-induced EMT. However, further research is needed to understand its precise mechanism.
In conclusion, VPA could induce tumor suppression via either Notch signaling activation or acting as a HDAC inhibitor in cervical cancers. The effects of VPA depend on the molecular and genetic background of specific cells. This provides an access to precision medicine when VPA is used as a cervical cancer therapeutic. We also found the oncogene E6 and EMT transcription factor Snail1 were regulated by VPA, and PI3K/Akt may be involve in VPA-induced EMT. However, the specific mechanism still need further study.
This study is supported by the Open Research Funds of the State Key Laboratory of Genetic Engineering, Fudan University (SKLGE-1206).
|
Walboomers JM, Jacobs MV, Manos MM, Bosch FX, Kummer JA, Shah KV, Snijders PJ, Peto J, Meijer CJ and Muñoz N: Human papillomavirus is a necessary cause of invasive cervical cancer worldwide. J Pathol. 189:12–19. 1999. View Article : Google Scholar : PubMed/NCBI | |
|
Wu L and Griffin JD: Modulation of Notch signaling by mastermind-like (MAML) transcriptional co-activators and their involvement in tumorigenesis. Semin Cancer Biol. 14:348–356. 2004. View Article : Google Scholar : PubMed/NCBI | |
|
Weijzen S, Zlobin A, Braid M, Miele L and Kast WM: HPV16 E6 and E7 oncoproteins regulate Notch-1 expression and cooperate to induce transformation. J Cell Physiol. 194:356–362. 2003. View Article : Google Scholar : PubMed/NCBI | |
|
Schwarz JK, Payton JE, Rashmi R, Xiang T, Jia Y, Huettner P, Rogers BE, Yang Q, Watson M, Rader JS, et al: Pathway-specific analysis of gene expression data identifies the PI3K/Akt pathway as a novel therapeutic target in cervical cancer. Clin Cancer Res. 18:1464–1471. 2012. View Article : Google Scholar : PubMed/NCBI | |
|
Perez-Plasencia C, Duenas-Gonzalez A and Alatorre-Tavera B: Second hit in cervical carcinogenesis process: Involvement of wnt/beta catenin pathway. Int Arch Med. 1:102008. View Article : Google Scholar : PubMed/NCBI | |
|
Yousif NG, Sadiq AM, Yousif MG, Al-Mudhafar RH, Al-Baghdadi JJ and Hadi N: Notch1 ligand signaling pathway activated in cervical cancer: Poor prognosis with high-level JAG1/Notch1. Arch Gynecol Obstet. 292:899–904. 2015. View Article : Google Scholar : PubMed/NCBI | |
|
Maliekal TT, Bajaj J, Giri V, Subramanyam D and Krishna S: The role of Notch signaling in human cervical cancer: Implications for solid tumors. Oncogene. 27:5110–5114. 2008. View Article : Google Scholar : PubMed/NCBI | |
|
Wu L, Aster JC, Blacklow SC, Lake R, Artavanis-Tsakonas S and Griffin JD: MAML1, a human homologue of Drosophila mastermind, is a transcriptional co-activator for NOTCH receptors. Nat Genet. 26:484–489. 2000. View Article : Google Scholar : PubMed/NCBI | |
|
Wael H, Yoshida R, Kudoh S, Hasegawa K, Niimori-Kita K and Ito T: Notch1 signaling controls cell proliferation, apoptosis and differentiation in lung carcinoma. Lung Cancer. 85:131–140. 2014. View Article : Google Scholar : PubMed/NCBI | |
|
Brakenhoff RH: Cancer. Another NOTCH for cancer. Science. 333:1102–1103. 2011. View Article : Google Scholar : PubMed/NCBI | |
|
del Campo JM, Prat A, Gil-Moreno A, Pérez J and Parera M: Update on novel therapeutic agents for cervical cancer. Gynecol Oncol. 110(Suppl 2): S72–S76. 2008. View Article : Google Scholar : PubMed/NCBI | |
|
Pant S, Jones SF, Kurkjian CD, Infante JR, Moore KN, Burris HA, McMeekin DS, Benhadji KA, Patel BK, Frenzel MJ, et al: A first-in-human phase I study of the oral Notch inhibitor, LY900009, in patients with advanced cancer. Eur J Cancer. 56:1–9. 2016. View Article : Google Scholar : PubMed/NCBI | |
|
Kong R, Feng J, Ma Y, Zhou B, Li S, Zhang W, Jiang J, Zhang J, Qiao Z, Zhang T, et al: Silencing NACK by siRNA inhibits tumorigenesis in non-small cell lung cancer via targeting Notch1 signaling pathway. Oncol Rep. 35:2306–2314. 2016.PubMed/NCBI | |
|
Duenas-Gonzalez A, Candelaria M, Perez-Plascencia C, Perez-Cardenas E, de la Cruz-Hernandez E and Herrera LA: Valproic acid as epigenetic cancer drug: Preclinical, clinical and transcriptional effects on solid tumors. Cancer Treat Rev. 34:206–222. 2008. View Article : Google Scholar : PubMed/NCBI | |
|
Ranganathan P, Weaver KL and Capobianco AJ: Notch signalling in solid tumours: A little bit of everything but not all the time. Nat Rev Cancer. 11:338–351. 2011. View Article : Google Scholar : PubMed/NCBI | |
|
Zagouras P, Stifani S, Blaumueller CM, Carcangiu ML and Artavanis-Tsakonas S: Alterations in Notch signaling in neoplastic lesions of the human cervix. Proc Natl Acad Sci USA. 92:6414–6418. 1995. View Article : Google Scholar : PubMed/NCBI | |
|
Tewari KS, Taylor JA, Liao SY, DiSaia PJ, Burger RA, Monk BJ, Hughes CC and Villarreal LP: Development and assessment of a general theory of cervical carcinogenesis utilizing a severe combined immunodeficiency murine-human xenograft model. Gynecol Oncol. 77:137–148. 2000. View Article : Google Scholar : PubMed/NCBI | |
|
Talora C, Sgroi DC, Crum CP and Dotto GP: Specific down-modulation of Notch1 signaling in cervical cancer cells is required for sustained HPV-E6/E7 expression and late steps of malignant transformation. Genes Dev. 16:2252–2263. 2002. View Article : Google Scholar : PubMed/NCBI | |
|
Talora C, Cialfi S, Segatto O, Morrone S, Kim Choi J, Frati L, Paolo Dotto G, Gulino A and Screpanti I: Constitutively active Notch1 induces growth arrest of HPV-positive cervical cancer cells via separate signaling pathways. Exp Cell Res. 305:343–354. 2005. View Article : Google Scholar : PubMed/NCBI | |
|
Yu H, Zhao X, Huang S, Jian L, Qian G and Ge S: Blocking Notch1 signaling by RNA interference can induce growth inhibition in HeLa cells. Int J Gynecol Cancer. 17:511–516. 2007. View Article : Google Scholar : PubMed/NCBI | |
|
Khan O and La Thangue NB: HDAC inhibitors in cancer biology: Emerging mechanisms and clinical applications. Immunol Cell Biol. 90:85–94. 2012. View Article : Google Scholar | |
|
Huang BH, Laban M, Leung CH, Lee L, Lee CK, Salto-Tellez M, Raju GC and Hooi SC: Inhibition of histone deacetylase 2 increases apoptosis and p21Cip1/WAF1 expression, independent of histone deacetylase 1. Cell Death Differ. 12:395–404. 2005. View Article : Google Scholar : PubMed/NCBI | |
|
Teng HF, Li PN, Hou DR, Liu SW, Lin CT, Loo MR, Kao CH, Lin KH and Chen SL: Valproic acid enhances Oct4 promoter activity through PI3K/Akt/mTOR pathway activated nuclear receptors. Mol Cell Endocrinol. 383:147–158. 2014. View Article : Google Scholar | |
|
Shan Z, Feng-Nian R, Jie G and Ting Z: Effects of valproic acid on proliferation, apoptosis, angiogenesis and metastasis of ovarian cancer in vitro and in vivo. Asian Pac J Cancer Prev. 13:3977–3982. 2012. View Article : Google Scholar : PubMed/NCBI | |
|
Dotto GP: Notch tumor suppressor function. Oncogene. 27:5115–5123. 2008. View Article : Google Scholar : PubMed/NCBI | |
|
Franko-Tobin LG, Mackey LV, Huang W, Song X, Jin B, Luo J, Morris LM, Liu M, Fuselier JA, Coy DH, et al: Notch1-mediated tumor suppression in cervical cancer with the involvement of SST signaling and its application in enhanced SSTR-targeted therapeutics. Oncologist. 17:220–232. 2012. View Article : Google Scholar : PubMed/NCBI | |
|
Tsai C, Leslie JS, Franko-Tobin LG, Prasnal MC, Yang T, Vienna Mackey L, Fuselier JA, Coy DH, Liu M, Yu C, et al: Valproic acid suppresses cervical cancer tumor progression possibly via activating Notch1 signaling and enhances receptor-targeted cancer chemotherapeutic via activating somatostatin receptor type II. Arch Gynecol Obstet. 288:393–400. 2013. View Article : Google Scholar : PubMed/NCBI | |
|
Greenblatt DY, Cayo MA, Adler JT, Ning L, Haymart MR, Kunnimalaiyaan M and Chen H: Valproic acid activates Notch1 signaling and induces apoptosis in medullary thyroid cancer cells. Ann Surg. 247:1036–1040. 2008. View Article : Google Scholar : PubMed/NCBI | |
|
Greenblatt DY, Vaccaro AM, Jaskula-Sztul R, Ning L, Haymart M, Kunnimalaiyaan M and Chen H: Valproic acid activates notch-1 signaling and regulates the neuroendocrine phenotype in carcinoid cancer cells. Oncologist. 12:942–951. 2007. View Article : Google Scholar : PubMed/NCBI | |
|
Platta CS, Greenblatt DY, Kunnimalaiyaan M and Chen H: Valproic acid induces Notch1 signaling in small cell lung cancer cells. J Surg Res. 148:31–37. 2008. View Article : Google Scholar : PubMed/NCBI | |
|
Kuncharin Y, Sangphech N, Kueanjinda P, Bhattarakosol P and Palaga T: MAML1 regulates cell viability via the NF-κB pathway in cervical cancer cell lines. Exp Cell Res. 317:1830–1840. 2011. View Article : Google Scholar : PubMed/NCBI | |
|
Lamouille S, Xu J and Derynck R: Molecular mechanisms of epithelial-mesenchymal transition. Nat Rev Mol Cell Biol. 15:178–196. 2014. View Article : Google Scholar : PubMed/NCBI | |
|
Gonzalez DM and Medici D: Signaling mechanisms of the epithelial-mesenchymal transition. Sci Signal. 7:re82014. View Article : Google Scholar : PubMed/NCBI | |
|
Feng J, Cen J, Li J, Zhao R, Zhu C, Wang Z, Xie J and Tang W: Histone deacetylase inhibitor valproic acid (VPA) promotes the epithelial mesenchymal transition of colorectal cancer cells via up regulation of Snail. Cell Adhes Migr. 9:495–501. 2015. View Article : Google Scholar | |
|
Mawatari T, Ninomiya I, Inokuchi M, Harada S, Hayashi H, Oyama K, Makino I, Nakagawara H, Miyashita T, Tajima H, et al: Valproic acid inhibits proliferation of HER2-expressing breast cancer cells by inducing cell cycle arrest and apoptosis through Hsp70 acetylation. Int J Oncol. 47:2073–2081. 2015.PubMed/NCBI | |
|
Kostrouchová M, Kostrouch Z and Kostrouchová M: Valproic acid, a molecular lead to multiple regulatory pathways. Folia Biol (Praha). 53:37–49. 2007. | |
|
Qing H, He G, Ly PT, Fox CJ, Staufenbiel M, Cai F, Zhang Z, Wei S, Sun X, Chen CH, et al: Valproic acid inhibits Abeta production, neuritic plaque formation, and behavioral deficits in Alzheimer's disease mouse models. J Exp Med. 205:2781–2789. 2008. View Article : Google Scholar : PubMed/NCBI | |
|
Dueñas-González A, Lizano M, Candelaria M, Cetina L, Arce C and Cervera E: Epigenetics of cervical cancer. An overview and therapeutic perspectives. Mol Cancer. 4:382005. View Article : Google Scholar : PubMed/NCBI | |
|
Wang L, Qin H, Chen B, Xin X, Li J and Han H: Overexpressed active Notch1 induces cell growth arrest of HeLa cervical carcinoma cells. Int J Gynecol Cancer. 17:1283–1292. 2007. View Article : Google Scholar : PubMed/NCBI | |
|
Yuan CH, Filippova M, Krstenansky JL and Duerksen-Hughes PJ: Flavonol and imidazole derivatives block HPV16 E6 activities and reactivate apoptotic pathways in HPV(+) cells. Cell Death Dis. 7:20602016. View Article : Google Scholar | |
|
Cai Q, Lv L, Shao Q, Li X and Dian A: Human papillomavirus early proteins and apoptosis. Arch Gynecol Obstet. 287:541–548. 2013. View Article : Google Scholar |