Spandidos Publications Logo
  • About
    • About Spandidos
    • Aims and Scopes
    • Abstracting and Indexing
    • Editorial Policies
    • Reprints and Permissions
    • Job Opportunities
    • Terms and Conditions
    • Contact
  • Journals
    • All Journals
    • Oncology Letters
      • Oncology Letters
      • Information for Authors
      • Editorial Policies
      • Editorial Board
      • Aims and Scope
      • Abstracting and Indexing
      • Bibliographic Information
      • Archive
    • International Journal of Oncology
      • International Journal of Oncology
      • Information for Authors
      • Editorial Policies
      • Editorial Board
      • Aims and Scope
      • Abstracting and Indexing
      • Bibliographic Information
      • Archive
    • Molecular and Clinical Oncology
      • Molecular and Clinical Oncology
      • Information for Authors
      • Editorial Policies
      • Editorial Board
      • Aims and Scope
      • Abstracting and Indexing
      • Bibliographic Information
      • Archive
    • Experimental and Therapeutic Medicine
      • Experimental and Therapeutic Medicine
      • Information for Authors
      • Editorial Policies
      • Editorial Board
      • Aims and Scope
      • Abstracting and Indexing
      • Bibliographic Information
      • Archive
    • International Journal of Molecular Medicine
      • International Journal of Molecular Medicine
      • Information for Authors
      • Editorial Policies
      • Editorial Board
      • Aims and Scope
      • Abstracting and Indexing
      • Bibliographic Information
      • Archive
    • Biomedical Reports
      • Biomedical Reports
      • Information for Authors
      • Editorial Policies
      • Editorial Board
      • Aims and Scope
      • Abstracting and Indexing
      • Bibliographic Information
      • Archive
    • Oncology Reports
      • Oncology Reports
      • Information for Authors
      • Editorial Policies
      • Editorial Board
      • Aims and Scope
      • Abstracting and Indexing
      • Bibliographic Information
      • Archive
    • Molecular Medicine Reports
      • Molecular Medicine Reports
      • Information for Authors
      • Editorial Policies
      • Editorial Board
      • Aims and Scope
      • Abstracting and Indexing
      • Bibliographic Information
      • Archive
    • World Academy of Sciences Journal
      • World Academy of Sciences Journal
      • Information for Authors
      • Editorial Policies
      • Editorial Board
      • Aims and Scope
      • Abstracting and Indexing
      • Bibliographic Information
      • Archive
    • International Journal of Functional Nutrition
      • International Journal of Functional Nutrition
      • Information for Authors
      • Editorial Policies
      • Editorial Board
      • Aims and Scope
      • Abstracting and Indexing
      • Bibliographic Information
      • Archive
    • International Journal of Epigenetics
      • International Journal of Epigenetics
      • Information for Authors
      • Editorial Policies
      • Editorial Board
      • Aims and Scope
      • Abstracting and Indexing
      • Bibliographic Information
      • Archive
    • Medicine International
      • Medicine International
      • Information for Authors
      • Editorial Policies
      • Editorial Board
      • Aims and Scope
      • Abstracting and Indexing
      • Bibliographic Information
      • Archive
  • Articles
  • Information
    • Information for Authors
    • Information for Reviewers
    • Information for Librarians
    • Information for Advertisers
    • Conferences
  • Language Editing
Spandidos Publications Logo
  • About
    • About Spandidos
    • Aims and Scopes
    • Abstracting and Indexing
    • Editorial Policies
    • Reprints and Permissions
    • Job Opportunities
    • Terms and Conditions
    • Contact
  • Journals
    • All Journals
    • Biomedical Reports
      • Information for Authors
      • Editorial Policies
      • Editorial Board
      • Aims and Scope
      • Abstracting and Indexing
      • Bibliographic Information
      • Archive
    • Experimental and Therapeutic Medicine
      • Information for Authors
      • Editorial Policies
      • Editorial Board
      • Aims and Scope
      • Abstracting and Indexing
      • Bibliographic Information
      • Archive
    • International Journal of Epigenetics
      • Information for Authors
      • Editorial Policies
      • Editorial Board
      • Aims and Scope
      • Abstracting and Indexing
      • Bibliographic Information
      • Archive
    • International Journal of Functional Nutrition
      • Information for Authors
      • Editorial Policies
      • Editorial Board
      • Aims and Scope
      • Abstracting and Indexing
      • Bibliographic Information
      • Archive
    • International Journal of Molecular Medicine
      • Information for Authors
      • Editorial Policies
      • Editorial Board
      • Aims and Scope
      • Abstracting and Indexing
      • Bibliographic Information
      • Archive
    • International Journal of Oncology
      • Information for Authors
      • Editorial Policies
      • Editorial Board
      • Aims and Scope
      • Abstracting and Indexing
      • Bibliographic Information
      • Archive
    • Medicine International
      • Information for Authors
      • Editorial Policies
      • Editorial Board
      • Aims and Scope
      • Abstracting and Indexing
      • Bibliographic Information
      • Archive
    • Molecular and Clinical Oncology
      • Information for Authors
      • Editorial Policies
      • Editorial Board
      • Aims and Scope
      • Abstracting and Indexing
      • Bibliographic Information
      • Archive
    • Molecular Medicine Reports
      • Information for Authors
      • Editorial Policies
      • Editorial Board
      • Aims and Scope
      • Abstracting and Indexing
      • Bibliographic Information
      • Archive
    • Oncology Letters
      • Information for Authors
      • Editorial Policies
      • Editorial Board
      • Aims and Scope
      • Abstracting and Indexing
      • Bibliographic Information
      • Archive
    • Oncology Reports
      • Information for Authors
      • Editorial Policies
      • Editorial Board
      • Aims and Scope
      • Abstracting and Indexing
      • Bibliographic Information
      • Archive
    • World Academy of Sciences Journal
      • Information for Authors
      • Editorial Policies
      • Editorial Board
      • Aims and Scope
      • Abstracting and Indexing
      • Bibliographic Information
      • Archive
  • Articles
  • Information
    • For Authors
    • For Reviewers
    • For Librarians
    • For Advertisers
    • Conferences
  • Language Editing
Login Register Submit
  • This site uses cookies
  • You can change your cookie settings at any time by following the instructions in our Cookie Policy. To find out more, you may read our Privacy Policy.

    I agree
Search articles by DOI, keyword, author or affiliation
Search
Advanced Search
presentation
International Journal of Oncology
Join Editorial Board Propose a Special Issue
Print ISSN: 1019-6439 Online ISSN: 1791-2423
Journal Cover
November-2016 Volume 49 Issue 5

Full Size Image

Cover Legend PDF

Sign up for eToc alerts
Recommend to Library

Journals

International Journal of Molecular Medicine

International Journal of Molecular Medicine

International Journal of Molecular Medicine is an international journal devoted to molecular mechanisms of human disease.

International Journal of Oncology

International Journal of Oncology

International Journal of Oncology is an international journal devoted to oncology research and cancer treatment.

Molecular Medicine Reports

Molecular Medicine Reports

Covers molecular medicine topics such as pharmacology, pathology, genetics, neuroscience, infectious diseases, molecular cardiology, and molecular surgery.

Oncology Reports

Oncology Reports

Oncology Reports is an international journal devoted to fundamental and applied research in Oncology.

Experimental and Therapeutic Medicine

Experimental and Therapeutic Medicine

Experimental and Therapeutic Medicine is an international journal devoted to laboratory and clinical medicine.

Oncology Letters

Oncology Letters

Oncology Letters is an international journal devoted to Experimental and Clinical Oncology.

Biomedical Reports

Biomedical Reports

Explores a wide range of biological and medical fields, including pharmacology, genetics, microbiology, neuroscience, and molecular cardiology.

Molecular and Clinical Oncology

Molecular and Clinical Oncology

International journal addressing all aspects of oncology research, from tumorigenesis and oncogenes to chemotherapy and metastasis.

World Academy of Sciences Journal

World Academy of Sciences Journal

Multidisciplinary open-access journal spanning biochemistry, genetics, neuroscience, environmental health, and synthetic biology.

International Journal of Functional Nutrition

International Journal of Functional Nutrition

Open-access journal combining biochemistry, pharmacology, immunology, and genetics to advance health through functional nutrition.

International Journal of Epigenetics

International Journal of Epigenetics

Publishes open-access research on using epigenetics to advance understanding and treatment of human disease.

Medicine International

Medicine International

An International Open Access Journal Devoted to General Medicine.

Journal Cover
November-2016 Volume 49 Issue 5

Full Size Image

Cover Legend PDF

Sign up for eToc alerts
Recommend to Library

  • Article
  • Citations
    • Cite This Article
    • Download Citation
    • Create Citation Alert
    • Remove Citation Alert
    • Cited By
  • Similar Articles
    • Related Articles (in Spandidos Publications)
    • Similar Articles (Google Scholar)
    • Similar Articles (PubMed)
  • Download PDF
  • Download XML
  • View XML
Article

Integrated analysis of long non-coding RNA‑associated ceRNA network reveals potential lncRNA biomarkers in human lung adenocarcinoma

  • Authors:
    • Jing Sui
    • Yun-Hui Li
    • Yan-Qiu Zhang
    • Cheng-Yun Li
    • Xian Shen
    • Wen-Zhuo Yao
    • Hui Peng
    • Wei-Wei Hong
    • Li-Hong Yin
    • Yue-Pu Pu
    • Ge-Yu Liang
  • View Affiliations / Copyright

    Affiliations: Key Laboratory of Environmental Medicine Engineering, Ministry of Education, School of Public Health, Southeast University, Nanjing, Jiangsu 210009, P.R. China
  • Pages: 2023-2036
    |
    Published online on: September 30, 2016
       https://doi.org/10.3892/ijo.2016.3716
  • Expand metrics +
Metrics: Total Views: 0 (Spandidos Publications: | PMC Statistics: )
Metrics: Total PDF Downloads: 0 (Spandidos Publications: | PMC Statistics: )
Cited By (CrossRef): 0 citations Loading Articles...

This article is mentioned in:



Abstract

Accumulating evidence has highlighted the important roles of long non-coding RNAs (lncRNAs) acting as competing endogenous RNAs (ceRNAs) in tumor biology. However, the roles of cancer specific lncRNAs in lncRNA-related ceRNA network of lung adenocarcinoma (LUAD) are still unclear. In the present study, the 465 RNA sequencing profiles in LUAD patients were obtained from the cancer genome atlas (TCGA) database, which provides large sample RNA sequencing data free of charge, and 41 cancer specific lncRNAs, 25 miRNAs and 1053 mRNAs (fold change >2, p<0.05) were identified. Then, the lncRNA-miRNA-mRNA ceRNA network of LUAD was constructed with 29 key lncRNAs, 24 miRNAs and 72 mRNAs. Subsequently, we selected these 29 key lncRNAs to analyze their correlation with clinical features, and 21 of them were aberrantly expressed with tumor pathological stage, TNM staging system, lymph node metastasis and patient outcome assessment, respectively. Furthermore, there were 5 lncRNAs (BCRP3, LINC00472, CHIAP2, BMS1P20 and UNQ6494) positively correlated with overall survival (OS, log-rank p<0.05). Finally, 7 cancer specific lncRNAs were randomly selected to verify the expression in 53 newly diagnosed LUAD patients using qRT-PCR. The expression results between TCGA and qRT-PCR were 100% in agreement. The correlation between AFAP1-AS1 and LINC00472 and clinical features were also confirmed. Thus, our results showed the lncRNA expression profiles and we constructed an lncRNA-miRNA-mRNA ceRNA network in LUAD. The present study provides novel insight for better understanding of lncRNA-related ceRNA network in LUAD and facilitates the identification of potential biomarkers for diagnosis and prognosis.

Introduction

Lung cancer is the most commonly diagnosed and fatal cancer, which was estimated as 1.8 million new cases and almost 1.6 million deaths occurring worldwide in 2012 (1,2). Lung adenocarcinoma (LUAD) is major pathologic subtype of lung cancer in non-smoking males, and in females (smokers or non-smokers) (3,4). Based on the GLOBOCAN series, the incidence of LUAD has significantly increased over the past few decades in Africa, America and Asia (5). LUAD mainly occurs in the peripheral region of the lungs, with ability to metastasize to the lymph nodes and other organs. Previous studies have shown that several genetic abnormalities were associated with the initiation and development of LUAD (6–10), but the pathogenesis contributing to biological properties of LUAD remain inconclusive.

Non-coding RNAs (ncRNAs) are a class of RNA molecules with no protein-coding function, which are widely expressed in organisms. ncRNAs are divided into several subtypes, such as microRNAs (miRNAs), small nucleolar RNA (snoRNA), small nuclear RNA (snRNA), ribosomal RNA (rRNA), transfer ribonucleic acidtRNA (tRNA) and long non-coding RNA (lncRNA).

Recent studies indicate that ncRNAs play important biological roles in various biological processes, such as regulate gene expression, cell proliferation, differentiation and apoptosis (11–15). lncRNAs, ranging from 200 nucleotides to 100 kb in length, have become an area of increased research (12,16). lncRNAs may regulate gene expression at the transcriptional, post-transcriptional and epigenetic levels (17–19). Because of the stronger tissue specificity, lncRNAs can be more effective as early diagnosis and screening of cancer biomarkers (20). Increasing number of studies on lncRNAs has been performed in various types of cancer, such as lung, esophageal, gastric, hepatocellular and colorectal cancer (21–25.) The aberrantly expressed lncRNAs, which regulate initiation, development, invasion and metastasis of tumors have been detected in LUAD (10,26).

The ceRNA (competing endogenous RNA) hypothesis was proposed as a novel regulatory mechanism between non-coding RNA and coding RNA (27). lncRNA can interact with the miRNA by miRNA-binding sites (MREs), thereby regulating gene expression (28). The complex crosstalk of ceRNA network has been detected in many different diseases (19). Zhang et al (29) analyzed the lncRNA profiles in 372 hepatocellular cell carcinoma (HCC) patients from The Cancer Genome Atlas (TCGA) (http://cancergenome.nih.gov/) and NCBI GEO Omnibus (GSE65485), and constructed an lncRNA-miRNA-mRNA network in HCC. Based on the ceRNA hypothesis, Li et al (30) selected 361 RNA sequencing profiles of gastric cancer (GC) patients from TCGA, and further analysis of the associations between these RNA data and related patient clinical information. Then, the lncRNA-miRNA-mRNA ceRNA network of GC was constructed.

A recent study showed the differential expression of lncRNA profile of LUAD using high-throughput microarray analysis from 33 LUAD patients (31). However, studies with large scale samples and microarray detection is still rare, and the relationship between cancer specific lncRNAs and clinical features are unclear. TCGA database is a public platform, in which sequencing data of lncRNA, miRNA and mRNA for LUAD can be downloaded. To improve the reliability and accuracy of the studies, we detected lncRNAs in LUAD using data sets from TCGA database. In the present study, the RNA sequencing data of 521 LUAD samples and 49 adjacent non-tumor lung tissues samples were collected from TCGA database. This is the first study to investigate the cancer specific lncRNA from large scale sequencing database (TCGA) and ceRNA network constructed in LUAD. Quantificational real-time polymerase chain reaction (qRT-PCR) was used to verify the bioinformatic analysis results in LUAD tumor tissues and adjacent non-tumor lung tissues from 53 newly diagnosed LUAD patients. The present study can help elaborate the function of lncRNAs through lncRNA-miRNA-mRNA ceRNA network in LUAD.

Materials and methods

Patients and samples

This study was approved by the ethics committee of the Zhongda Hospital Southeast University. A total of 521 LUAD cases were obtained from the TCGA database. The exclusion criteria were set as follows: i) histologic diagnosis is not LUAD; ii) suffering of other malignancy except LUAD; iii) patients samples without complete data for analysis; and iv) overall survival (OS) >5 years. Overall, a total of 465 LUAD patients were included in this study. lncRNA expression profiles for normal lung tissue samples were obtained from adjacent non-tumor lung tissues (n=49). In addition, there are 170 LUAD patients with lymph node metastasis and 295 LUAD patients with non-lymph node metastasis. According to the Union for International Cancer Control (UICC), well and moderately-differentiated LUAD (stage I–II) were 359 patients, poorly-differentiated LUAD (stage III–IV) were 106 patients. Both RNA expression data and clinical data, including staging information and outcome of LUAD patients downloaded from the TCGA Data Portal, are open-access and publicly available. The present study meets the publication guidelines provided by TCGA (http://cancergenome.nih.gov/publications/publicationguidelines).

In addition, 53 frozen tissue specimens (tumor tissues and their paired adjacent non-cancerous tissues) from LUAD patients collected between 2006 and 2015 were obtained from Nanjing Chest Hospital Medical School of Southeast University. Tissues were snap-frozen in RNAlater (Ambion, Austin, TX, USA) and stored in liquid nitrogen immediately after surgical resection until total RNA extraction and analysis. Samples were received with a pathology report and a quality assessment report verifying collection of tumor and/or adjacent non-tumor lung tissues. Informed consent forms were obtained from all patients included in the present study.

RNA sequence data procession and computational analysis

The LUAD RNA expression data (level 3) of the corresponding patients were downloaded from the TCGA Data Portal (March 2016). The RNA sequencing raw reads (lncRNA and mRNA) were post-processed and normalized by TCGA RNASeqV2 system. Level 3, normalized miRNA expression data (the calculated expression for all reads aligning to a particular miRNA per sample) were downloaded from the TCGA Data Portal performed using Illumina HiSeq and Illumina GA microRNA sequencing platforms (Illumina, Inc., Hayward, CA, USA) and quantile normalized before performing analysis. No further normalizations were applied to the lncRNA, miRNA and mRNA expression profile data in level 3, because these data were already normalized by TCGA. To detect the differential expression of lncRNA, miRNA and mRNA, samples were divided into LUAD patient tumor tissues vs. adjacent non-tumor lung tissues, lymph node metastasis of LUAD patients vs. non-lymph node metastasis of LUAD patients, well and moderately-differentiated LUAD (stages I–II) vs. poorly-differentiated LUAD (stages III–IV), respectively. For further analysis, intersection of lncRNA, miRNA and mRNA was selected. The flow chart for bioinformatics analysis is depicted in Fig. 1.

Figure 1

Flow chart of bioinformatics analysis.

Functional enrichment analysis

To understand the underlying biological processes and pathways of aberrantly expressed intersection genes, we use the DAVID (Database for Annotation, Visualization, and Integrated Discovery) Bioinformatics resources (http://david.abcc.ncifcrf.gov/) (32), to conduct functional enrichment analysis, and we were only interested in GO (Gene Ontology) biological processes and KEGG (Kyoto Encyclopedia of Genes and Genomes) pathways at the significant level (P<0.05 and an enrichment score of >1.5).

Construction of lncRNA-miRNA-mRNA ceRNA network

The lncRNA-miRNA-mRNA ceRNA network was constructed based on the relationship among lncRNA, miRNA and mRNA. It is established that the post-transcriptional regulation of mRNA transcripts could be bound by single-stranded miRNAs. In the present study, the lncRNA-miRNA-mRNA ceRNA network, which was based on the theory that lncRNAs can have a direct interaction by invoking the miRNA sponge to regulate the activity of mRNAs (33). To construct ceRNA network, the human miRNA-mRNA and miRNA-lncRNA interactions could be downloaded from the starBase V2.0 database (http://starbase.sysu.edu.cn/) (34), then aberrantly expressed intersection lncRNA, miRNA and mRNA with fold change >2.0 and/or fold change <0.5 and P<0.05 were retained. The miRanda tools (http://www.microrna.org/microrna/home.do) were used to predict the lncRNA-miRNA interactions. Targetscan (http://www.targetscan.org/) and miRTarBase (http://mirtarbase.mbc.nctu.edu.tw/) (35) were performed to predict the mRNAs targeted by miRNAs. The results could be verified in starBase database. Furthermore, in the present study the predicted miRNAs and aberrantly expressed data of TCGA were combined to select the intersection lncRNAs and mRNAs. To construct ceRNA network, the miRNAs negatively regulated intersection expression of lncRNAs and mRNAs were selected, based on the theory of ceRNA. Cytoscape v3.0 (30) was performed to construct and visualize the lncRNA-miRNA-mRNA ceRNA network. The flow chart for ceRNA network construction is described in Fig. 2.

Figure 2

The flow chart of ceRNA network analysis.

The correlations between LUAD specific lncRNAs and clinical features

According to the bioinformatics analysis and the ceRNA network, specific lncRNAs were selected. We further analyzed the clinical features including gender, tumor pathological stage, TNM staging system, lymph node metastasis and patient outcome assessment. Subsequently, to identify the specific lncRNAs with prognostic characteristics, the univariate Cox proportional hazards regression model was used to analyze the association between the specific lncRNAs and the LUAD patient survival time.

Total RNA extraction and qRT-PCR verification

We randomly selected 7 of the specific lncRNAs in lncRNA-miRNA-mRNA ceRNA network, and validated the reliability and validity of the results in 53 newly diagnosed LUAD patients using qRT-PCR.

The total RNA was isolated with TRIzol reagent (Invitrogen, Carlsbad, CA, USA) according to the manufacture's protocol, and RNA purity was detected by NanoDrop 2000 spectrometer (Thermo Fisher Scientific, Waltham, MA, USA). Reverse transcription reactions using A3500 reverse transcription system kit (Promega, Madison, WI, USA) was conducted in two steps according to the manufacturer's protocol. QRT-PCR was carried out to detect the expression levels of candidate lncRNAs with the StepOnePlus Real-Time PCR system (Applied Biosystems, Foster City, CA, USA). QRT-PCR was then performed using A6001 GoTaq qPCR Master Mix (Promega) according to the manufacturer's protocol. All primers were purchased from Generay Biotech Co., Ltd. (Shanghai, China). The Ct-value for each sample was calculated with the ΔΔCt method (10), and fold change results were presented as 2−ΔΔCt, where ΔΔCt = (CtRNAs − CtGAPDH) tumor − (CtRNAs − CtGAPDH) adjacent non-tumor tissues.

Statistical analysis

All data are presented as mean ± SD, and statistically compared performing the paired t-test. The significance level was set as 0.001 as default to control the false discovery rate (FDR). Values of P<0.05 were considered statistically significant. The statistical analyses were performed by the SPSS 21.0.

Results

LUAD specific lncRNAs in LUAD patients

We identified a total of 1806 lncRNAs from TCGA database. Analysis of lncRNA expression profiles in LUAD patient tissues (n=465) compared with adjacent non-tumor lung tissues (n=49) identified 256 aberrantly expressed lncRNAs (absolute fold change >2, P<0.01). Of these, 103 lncRNAs were downregulated and 153 lncRNAs were upregulated. Based on these data, further analysis was performed between tumor stage (lymph node metastasis) LUAD patient tissues and adjacent non-tumor lung tissues. A total of 148 aberrantly expressed lncRNAs were selected between stages I–II (non-lymph node metastasis) LUAD patient tissues and adjacent non-tumor lung tissues, 176 aberrantly expressed lncRNAs were selected between stages III–IV (non-lymph node metastasis) LUAD patient tissues and adjacent non-tumor lung tissues, 78 aberrantly expressed lncRNAs were selected between stages I–II (lymph node metastasis) LUAD patient tissues and adjacent non-tumor lung tissues, 188 aberrantly expressed lncRNAs were selected between stages III–IV (lymph node metastasis) LUAD patient tissues and adjacent non-tumor lung tissues. To further enhance the data reliability, we selected 41 aberrantly expressed lncRNAs (17 downregulated and 24 upregulated) in the intersection of the above 4 groups to build the lncRNA-miRNA-mRNA ceRNA network (Fig. 3A and Table I).

Figure 3

Venn diagram analysis of aberrantly expressed (A) lncRNAs, (B) mRNAs and (C) miRNAs between I–II Lym/Normal, I–II nLym/Normal, III–IV Lym/Normal and III–IV nLym/Normal. Lym, lymph node metastasis; nLym, non-lymph node metastasis; normal represent adjacent non-tumor lung tissues.

Table I

Aberrantly expressed intersection lncRNAs between I–II Lym/Normal, I–II nLym/Normal, III–IV Lym/Normal and III–IV nLym/Normala,b,c.

Table I

Aberrantly expressed intersection lncRNAs between I–II Lym/Normal, I–II nLym/Normal, III–IV Lym/Normal and III–IV nLym/Normala,b,c.

lncRNAsGene IDChromosomeRegulationFold−change−Log(p)−Log(FDRd)
WWC2-AS21526414Downregulation−3.306±0.2206.7575.243
LINC00472799406Downregulation−7.018±0.4237.0006.490
AGPAT4-IT1799926Downregulation−3.200±0.0863.9162.406
CES1P15171616Downregulation−7.407±2.0796.2404.583
FAM95B11001330369Downregulation−2.581±0.3903.3341.950
LINC0093010014460415Downregulation−4.124±1.0995.1403.480
RAMP2-AS110019093817Downregulation−4.819±0.5206.9035.513
BRE-AS11003026502Downregulation−3.922±1.3974.0802.534
CHIAP21496201Downregulation−43.011±6.4566.9035.513
LINC011051506222Downregulation−5.797±1.5263.7212.254
LINC009611583769Downregulation−6.061±0.6837.0005.774
LINC0090828427618Downregulation−3.810±0.6954.3372.748
BCRP364416522Downregulation−2.759±0.3284.1902.625
MGC273821490471Downregulation−11.799±0.3967.0006.490
RPL13AP173996707Downregulation−47.619±10.8087.0006.490
SIGLEC1640070919Downregulation−3.478±0.2593.4132.023
TPTEP138759022Downregulation−3.200±1.3534.2742.525
C1orf2204007981Upregulation4.635±0.6495.0783.409
LINC0031928483621Upregulation6.750±1.4754.6383.027
LINC004711514772Upregulation2.423±0.1353.4232.033
ZNF252P-AS12861038Upregulation3.685±0.6813.6232.190
DDX12P44008112Upregulation4.395±1.0374.2322.683
DGCR52622022Upregulation9.073±2.6375.0493.384
FER1L48030720Upregulation21.753±9.6005.1993.515
ANKRD36BP26457842Upregulation5.205±1.0823.5202.109
LOC1001321111001321111Upregulation3.048±0.5043.3611.984
LOC1001339851001339852Upregulation2.888±0.3183.4712.069
LINC0089615019722Upregulation5.338±0.3787.0006.245
LOC2856292856295Upregulation9.730±5.6817.0006.245
LRRC37A6P38764610Upregulation2.860±0.5383.3221.954
LOC39981539981510Upregulation8.038±1.4587.0006.245
AFAP1-AS1847404Upregulation46.210±7.4987.0006.245
BMS1P209661022Upregulation4.468±0.7673.5502.132
PVT158208Upregulation5.335±1.0375.9494.199
RAET1K6460246Upregulation3.463±0.1617.0005.568
SNHG47241025Upregulation3.625±0.1175.5053.791
UCA165299519Upregulation5.445±0.8446.4564.695
TCAM1P14677117Upregulation4.053±0.4094.2052.661
CECR710013041822Upregulation4.055±0.8214.4282.850
ALOX12P224517Upregulation3.623±0.2613.7872.321
UNQ64941001290669Upregulation2.330±0.8813.5491.940

a 41 LUAD specific lncRNAs for ceRNA network construction with absolute fold change >2.0, P<0.05.

b I, II, III and IV, TNM stage I, II, III and IV.

c Lym, lymph node metastasis; nLM, non-lymph node metastasis; normal represents adjacent non-tumor lung tissues;

d FDR, the false discovery rate of the lncRNAs, using Benjamini and Hochberg (1995) method.

Functional enrichment analysis

In order to understand the functions of aberrantly expressed genes in this study, the intersection mRNAs were analyzed by DAVID bioinformatics resources. In total, we identified 18633 mRNAs from TCGA database. A total of 3853 aberrantly expressed mRNAs were found between LUAD patient tissues and adjacent non-tumor lung tissues (absolute fold change >2, P<0.01). Based on these data, aberrantly expressed genes were further analyzed; 2819 and 1386 aberrantly expressed mRNAs were respectively identified between stages I–II (non-lymph/lymph node metastasis) LUAD patient tissues and adjacent non-tumor lung tissues, 3011 and 3238 aberrantly expressed mRNAs were, respectively, identified between stages III–IV (non-lymph/lymph node metastasis) LUAD patient tissues and adjacent non-tumor lung tissues. Subsequently, 1053 mRNAs were selected from the intersection of the above 4 groups, and divided into downregulated and upregulated genes for further functional analysis (Fig. 3B).

It revealed enrichment of 668 GO categories and 87 KEGG categories (P-value of <0.05 and an enrichment score of >1.5; Figs. 4 and 5). It was found that the top GO biological process of downregulated and upregulated genes was G-protein coupled receptor signaling pathway (GO:0007186) and mitotic cell cycle (GO:0000278) (Fig. 4), respectively. The top 15 KEGG pathways of downregulated and upregulated genes are also described in Fig. 5. Of these above pathways, PI3K-Akt signaling pathway, p53 signaling pathway, MAPK signaling pathway and Wnt signaling pathway are involved in development, invasion and metastases of cancer. In addition, there were other cancer-related pathways including pathways in cancer, small cell lung, pancreatic and bladder cancer and glioma.

Figure 4

Top 15 enrichment of GO terms for aberrantly expressed intersection mRNAs (the bar plot shows the enrichment scores of the significant top 15 enrichment GO terms).

Figure 5

Top 15 enrichment of KEGG pathways for aberrantly expressed intersection mRNAs (the bar plot shows the enrichment scores of the significant top 15 enrichment KEGG pathways).

Prediction of miRNA targets and ceRNA network construction

In order to establish lncRNA-miRNA-mRNA ceRNA network, lncRNAs and mRNAs targeted by miRNAs were identified from the above data. In the present study, in total we identified 1030 miRNAs from TCGA database. A total of 118 aberrantly expressed miRNAs were found between LUAD patient tissues and adjacent non-tumor lung tissues (absolute fold change >2, P<0.05). Based on comparison of the above 4 groups, 25 miRNAs were selected from the intersection aberrantly expressed miRNAs (Fig. 3C). Subsequently, we focused on the targeted relationship between these 25 miRNAs and the above 41 specific intersection lncRNAs. In the lncRNA-miRNA-mRNA ceRNA network, miRNAs interact with lncRNAs through MREs, starBase v2.0 was performed to detect the potential MREs. The results showed that 22 specific miRNAs interacted with 29 specific lncRNAs (Table II).

Table II

miRNAs that may target LUAD specific lncRNAs.

Table II

miRNAs that may target LUAD specific lncRNAs.

lncRNAsmiRNAs
LINC00961hsa-miR-127-5p, hsa-miR-96-5p
SIGLEC16hsa-miR-127-5p
ALOX12P2hsa-miR-133a-3p, hsa-miR-30a-3p, hsa-miR-486-5p
BCRP3 hsa-miR-135b-5p
LINC01105hsa-miR-135b-5p, hsa-miR-143-5p, hsa-miR-182-5p, hsa-miR-708-5p, hsa-miR-96-5p
FER1L4hsa-miR-139-3p, hsa-miR-30c-2-3p
LINC00319hsa-miR-139-3p
LINC00896hsa-miR-139-3p, hsa-miR-30c-2-3p
DDX12P hsa-miR-139-5p,
TCAM1Phsa-miR-139-5p, hsa-miR-221-5p, hsa-miR-30c-2-3p
TPTEP1hsa-miR-142-3p, hsa-miR-708-5p
FAM95B1hsa-miR-143-5p, hsa-miR-9-5p
LINC00472hsa-miR-143-5p, hsa-miR-96-5p
LINC00930 hsa-miR-143-5p,
RAMP2-AS1hsa-miR-143-5p
CHIAP2hsa-miR-182-5p, hsa-miR-708-3p,
LOC399815hsa-miR-30a-3p, hsa-miR-3614-5p, hsa-miR-378a-3p, hsa-miR-378c
LRRC37A6Phsa-miR-30a-3p, hsa-miR-338-5p, hsa-miR-378a-3p, hsa-miR-378c
BMS1P20hsa-miR-30c-2-3p, hsa-miR-378a-3p, hsa-miR-378c
LOC285629 hsa-miR-30c-2-3p,
MGC27382hsa-miR-33a-5p
AFAP1-AS1hsa-miR-3614-5p, hsa-miR-378a-3p, hsa-miR-378c, hsa-miR-451a
SNHG4 hsa-miR-3614-5p
UCA1 hsa-miR-3614-5p
CECR7hsa-miR-378a-3p, hsa-miR-378c
RAET1Khsa-miR-378a-3p, hsa-miR-378c
PVT1hsa-miR-378c,
UNQ6494hsa-miR-378c
DGCR5hsa-miR-486-5p

In the next step, mRNA targeted by miRNAs was performed. Based on the miRNAs described in Table II, TargetScan and miRTarBase were employed to predict miRNA-targeted mRNA. We identified 19 specific miRNAs related to the 72 intersection mRNAs (Table III). Some of their targets are cancer-associated genes, such as BDNF, CACNB4, DKK2, EPAS1, FIGF, RAD51, THBS2 and SLC2A1.

Table III

miRNAs targeting LUAD-specific mRNAs.

Table III

miRNAs targeting LUAD-specific mRNAs.

miRNAsmRNAs
hsa-miR-127-5pATOH8, PKNOX2, SYNPO2L
hsa-miR-135b-5pADARB2, ARC, NTNG1, PCYT1B, PGR, PRIMA1, SCN2B
hsa-miR-139-3pSOX11
hsa-miR-139-5pMEX3A, NRK, TRIM9
hsa-miR-143-5pFAT3, TPPP
hsa-miR-182-5pAATK, ANGPTL1, BDNF, CACNB4, DKK2, EPAS1, FAM107A, FAT3, FIGF, KCNMB2, LDB3, NRN1, ST6GALNAC3, ZFP36
hsa-miR-210-3pHIF3A
hsa-miR-221-5pCACNA1E, NAT8L, RAD51
hsa-miR-30a-3pKCNE4
hsa-miR-30c-2-3pINHBE, MCHR1, MNX1, NAT8L, PACSIN1
hsa-miR-338-5pONECUT2
hsa-miR-33a-5pAFF3, SLC24A4
hsa-miR-3607-3pCDH13, NECAB1, TNXB
hsa-miR-3614-5pELAVL2, EPN3, FAM155B, GAP43, THBS2, UBE2QL1
hsa-miR-378a-3pSLC2A1, SULF1
hsa-miR-378cSLC2A1, SULF1
hsa-miR-708-3pAFF2, AFF3, MDGA1, CNTFR, GPM6A, MASP1, MDGA1
hsa-miR-9-5pCNTFR, GABRB2, NTNG1, SCN2B, SHC3, TMTC1, TSPAN18
hsa-miR-96-5pAHNAK, CACNB4, COL13A1, FREM1, HBEGF, LDB3, LRRC4, NR4A3, RIMS4, SCNN1G, SLC1A1, SOX5, TLL1

Based on the above data (Tables II and III), the lncRNA-miRNA-mRNA ceRNA network was constructed. The ceRNA network was plotted with Cytoscape 3.0. Fig. 6, shows 29 lncRNAs, 24 miRNAs and 72 mRNAs that are involved in the proposed ceRNA network.

Figure 6

The lncRNA-miRNA-mRNA ceRNA network. Blue diamonds, downregulated miRNAs; blue balls, downregulated mRNAs; blue balls surrounded by green rings, downregulated lncRNAs. Red diamonds, upregulated miRNAs; red balls, upregulated mRNAs; red balls surrounded by green rings, upregulated lncRNAs.

The correlations between LUAD specific lncRNAs and clinical features

The 29 specific lncRNAs from the ceRNA network were further analyzed according to clinical features including gender, race, tumor pathological stage, TNM staging system, lymph node metastasis, and patient outcome assessment at diagnosis in TCGA database. There were 21 LUAD-specific lncRNAs, the expression levels of which were significantly aberrantly expressed in clinical feature comparisons (P<0.05; Table IV). Six lncRNAs (BCRP3, ALOX12P2, TCAM1P, UCA1, LOC399815 and SNHG4) were aberrantly expressed in gender, 2 lncRNAs (LINC00896 and SNHG4) were aberrantly expressed in race, 7 lncRNAs (BCRP3, LINC01105, AFAP1-AS1, SNHG4, CECR7, RAET1K and PVT1) were aberrantly expressed in tumor pathological stage, 5 lncRNAs (LINC01105, TPTEP1, LINC00472, RAMP2-AS1 and DDX12P) were aberrantly expressed in TNM staging system, 3 lncRNAs (BCRP3, LINC00472 and LINC00930) were aberrantly expressed in lymph node metastasis, and 8 lncRNAs (LINC00961, TPTEP1, LINC00472, LINC00930, MGC27382, FER1L4, LINC00896 and BMS1P20) were aberrantly expressed in patient outcome assessment.

Table IV

The correlations between LUAD specific lncRNAs from ceRNA network and clinical features.

Table IV

The correlations between LUAD specific lncRNAs from ceRNA network and clinical features.

ComparisonsDownregulatedUpregulated
Gender (female vs. male)BCRP3ALOX12P2, TCAM1P, UCA1, LOC399815, SNHG4
Race (White vs. Asian)LINC00896, SNHG4
Tumor pathological stage (I–II vs. III–IV)BCRP3, LINC01105AFAP1-AS1, SNHG4, CECR7, RAET1K, PVT1
TNM staging system (T1 + T2 vs. T3 + T4)LINC01105, TPTEP1, LINC00472, RAMP2-AS1DDX12P
Lymph node metastasis (no vs. yes)BCRP3, LINC00472, LINC00930
Patient outcome assessment (dead vs. alive)LINC00961, TPTEP1, LINC00472, LINC00930, MGC27382FER1L4, LINC00896, BMS1P20

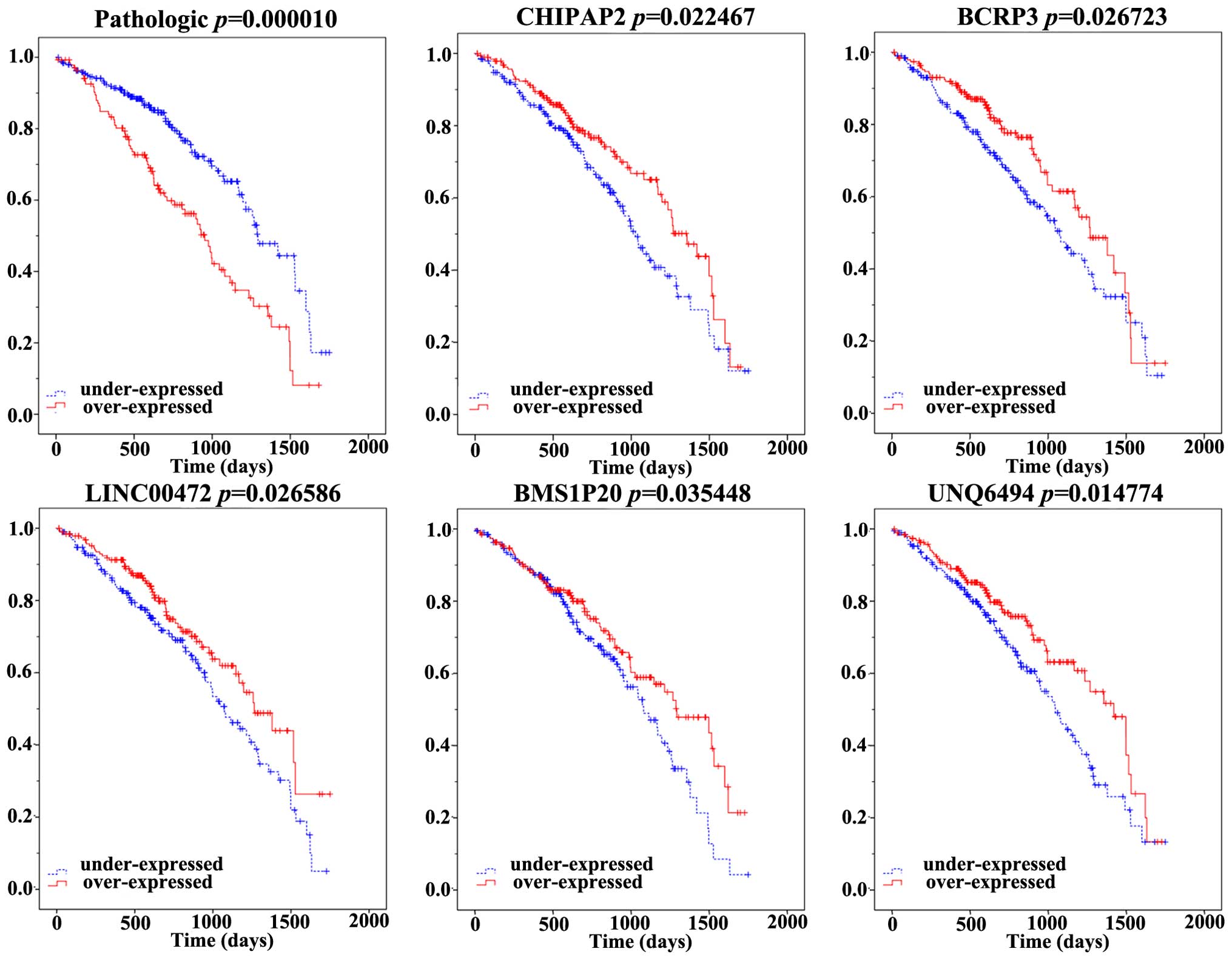
In order to identify the 29 specific lncRNAs with prognostic characteristics, these lncRNAs in the TCGA database were profiled with the univariate Cox proportional hazards regression model and 5 specific lncRNAs were found significantly associated with OS (log-rank P<0.05). While the remaining 5 (BCRP3, LINC00472, CHIAP2, BMS1P20 and UNQ6494) were positively correlated with OS (Fig. 7).

Figure 7

Kaplan-Meier survival curves for 5 lncRNAs associated with overall survival. Horizontal axis, overall survival time, days; vertical axis, survival function.

qRT-PCR verification

Finally, we randomly selected 7 specific lncRNAs (AFAP1-AS1, CHIAP2, DGCR5, FER1L4, LINC00472, LINC00961 and MGC27382) to validate the reliability and validity of the above analysis results. We applied the paired t-test to assess the differences between the LUAD tumor tissues and the adjacent non-tumor lung tissues. The results showed that CHIAP2, LINC00472, LINC00961 and MGC27382 were downregulated in LUAD tumor tissues when compared with adjacent non-tumor lung tissues, while AFAP1-AS1, CHIAP2 and FER1L4 were upregulated in LUAD tumor tissues (Fig. 8 and Table V). The results from the qRT-PCR validation in 53 newly diagnosed LUAD patients were consistent with the above bioinformatics results (Table I). Then, we analyzed the 7 lncRNAs with clinical features. The result showed that AFAP1-AS1 was significantly related with tumor pathological stage, and LINC00472 was significantly related with lymph node metastasis (Fig. 9). The clinical relevance of the 2 lncRNAs was substantially identical with the results of bioinformatics analysis. The above results revealed that our bioinformatics analysis was credible.

Figure 8

qRT-PCR validation of 7 differentially expressed key lncRNAs. Comparison of fold change (2−ΔΔCt) of lncRNAs between TCGA and qRT-PCR results.

Figure 9

Association between the ΔΔCT of AFAP1-AS1, CHIAP2, DGCR5, FER1L4, LINC00472, LINC00961 and MGC27382 and clinicopathological characteristics in 53 LUAD (*P<0.05).

Table V

Relative expression of 7 lncRNAs in the LUAD tumor tissues and the adjacent non-tumor lung tissues.

Table V

Relative expression of 7 lncRNAs in the LUAD tumor tissues and the adjacent non-tumor lung tissues.

lncRNAsTissuesΔCT (mean ± SD)ΔΔCT (mean ± SD) 2−ΔΔCtP-valuea
CHIAP2C11.492±3.2742.267±3.8340.2060.000b
N9.225±2.448
LINC00472C10.463±2.0380.275±3.1430.8260.002b
N10.188±3.091
LINC00961C11.361±2.0272.109±2.9170.2320.000b
N9.253±2.372
MGC27382C8.419±2.5592.443±3.0590.1840.000b
N5.977±2.397
AFAP1-AS1C9.143±3.779−4.539±4.81323.2440.000b
N13.682±4.450
DGCR5C13.504±2.427−3.227±4.1839.3650.000b
N16.669±3.591
FER1L4C7.887±1.983−1.585±2.8402.9990.000b
N9.472±1.994

a P-value, ΔΔCT of LUAD tumor tissues compared with adjacent non-tumor lung tissues.

b P<0.01.

Discussion

Lung cancer is current the neoplasia with the highest global incidence and mortality (36,37). LUAD, a cancer that originates in lung glandular cells, is the most frequent type of lung cancer (38). It has been reported that LUAD is steadily rising in both men and women replacing lung squamous cell carcinoma as the most common pathological type of lung cancer in Korea (39). While major improvements in diagnosis, surgical skills, and medical treatments of lung cancer have been applied over the past few years, the average 5-year survival rate remains ~10% (40), mainly because diagnosis cannot find all early stage of the disease. Although several investigative methods are available to support diagnosis and staging of LUAD, such as biopsy sampling, mediastinoscopy, and bronchoscopy, these methods are time-consuming, which may lead to delays in early treatment (41). Therefore, to improve this situation, the identification of cancer-related genes and the exact regulatory mechanism of LUAD initiation and development have received increasing attention.

Aberrant expression of lncRNAs has been widely observed in various diseases, and studies have shown that the dysregulated lncRNAs emerge as key roles in vital biological functions of cancers (42,43). However, only a few studies have described lncRNA profiles in LUAD by microarray analysis (31). Song et al (44) have constructed lncRNA-mRNA network by dysregulated lncRNAs and mRNAs based on ceRNA hypothesis. To date, only a few studies represent the interaction between lncRNA and mRNA, or lncRNA and miRNA in LUAD, the results of which showed that lncRNAs can function as a key part of ceRNA network, but such ceRNA network is still poorly described (45–48). The ceRNA hypothesis has been proposed as a novel regulatory mechanism functioning through miRNA competition (27,49). With further research of ceRNA crosstalk, studies showed that ceRNA genes were mediated by miRNAs, which interacted with lncRNAs, in the complex ceRNA network (50).

In the present study, we identified lncRNAs, miRNAs and mRNAs from TCGA database, which were related with TNM stage and lymph node metastasis in LUAD. Then, we constructed the lncRNA-miRNA-mRNA ceRNA network with TNM stage and lymph node metastasis-related LUAD-specific lncRNAs, miRNAs and mRNAs, which provides integrated biological views of the ceRNA network. The constructed LUAD-related lncRNA-associated ceRNA network provides important hints for detecting the key RNAs of ceRNA-mediated gene regulatory network in the initiation and development of LUAD. Next, we selected the cancer specific key lncRNAs from ceRNA network and investigated their distributions in different LUAD clinical features and their associations with overall survival on the basis of RNA sequencing profile of 465 LUAD tissues and 49 adjacent non-tumor lung tissues. We randomly selected 7 specific lncRNAs (AFAP1-AS1, CHIAP2, DGCR5, FER1L4, LINC00472, LINC00961 and MGC27382) and analyzed their expression levels in the 53 newly diagnosed tumor tissues of LUAD patients and adjacent non-tumor lung tissues using qRT-PCR.

Based on the RNA sequence data from TCGA database, we divided LUAD patients into 4 groups with TNM stage and lymph node metastasis as condition, and they were compared with adjacent non-tumor lung tissues, respectively. Then, we selected the intersection RNAs. In the next step, we investigated bioinformatics of aberrantly expressed mRNAs, and the front enriched functional annotation of GO and KEGG pathway might be the potential function of lncRNA. The results of GO biological process terms showed that the aberrantly expressed genes mainly concentrate on cellular functions, metabolism and immune functions. Based on KEGG pathway analysis, a few cancer-related pathways were detected, including p53 signaling pathway, MAPK signaling pathway and Wnt signaling pathway. Wu et al (51) merged two datasets to find novel target genes and pathways to explain the pathogenicity of LUAD, and they found that PPM1D and GADD45B may regulate LUAD progression through p53 signaling pathway. Wang et al (52) established a co-culture system of A549 cells and bone marrow-derived cells (HS-5) to investigate the molecular mechanism of BMP9 in LUAD and the bone metastatic microenvironment. Then, he found BMP9 can inhibit the growth and migration of LUAD A549 cells through the MAPK/ERK and NF-κB pathways. It was also reported that Wnt signaling pathways were related with LUAD (53–55).

Growing body of evidence has presented that lncRNAs function as a crucial component of ceRNA network by modulating other RNA transcripts (19,30,33,56–58). For example, HOTAIR may act as an endogenous sink by binding miR-331-3p, thereby abolishing the miRNA-induced inhibitory activity on the HER2 3′-UTR and increasing an additional level of post-transcriptional regulation (59). Hence, the potential connection lncRNA, miRNA and mRNA may exist in initiation and development of LUAD. In the present study, we constructed the lncRNA-miRNA-mRNA ceRNA network to reveal a novel ceRNA regulatory network in LUAD. We found some cancer special lncRNAs, such as FER1L4 (60), MGC27382 (61), UCA1 (25), AFAP1-AS1 (62), were also reported in cancers acting as potential diagnosis and prognostic biomarkers. In addition, we found THBS2 (63), RAD51 (64), SLC2A1 (65), BDNF (66), in the ceRNA network were also related with initiation and development of cancers. In the present study, we analyzed the LUAD-specific lncRNA indirectly related mRNA signal pathways involved in ceRNA network. The results of pathway analysis showed that there were 9 pathways related with cancer. Therefore, our results suggested that the key lncRNAs may play an important role in initiation and development of LUAD and the cancer genes related pathways.

With respect to the associations between 29 cancer specific lncRNAs from ceRNA network and clinical features, including gender, tumor pathological stage, TNM staging system, lymph node metastasis and patient outcome assessment, we found that 21 lncRNAs were related to clinical features. Eight of these 21 lncRNAs were reported to be associated with cancer. For example, UCA1 was reported to be an indicator of early gastric cancer (67). However, there is no report on the association between LUAD and the above lncRNAs features. Then we analyzed the associations between 29 cancer-specific lncRNAs and the patient survival, and we found that 5 lncRNAs were related to LUAD OS.

Finally, 7 cancer specific lncRNAs were randomly selected to verify the expressions of specific lncRNAs and credibility of bioinformatics analysis using qRT-PCR. The expression data from TCGA and verification result of 53 newly diagnosed LUAD patients were 100% in agreement. Then, we performed the correlation analysis between the 7 cancer specific lncRNAs and clinical features. The results showed that AFAP1-AS1 and LINC00472 were significantly correlated with tumor pathological stage and lymph node metastasis, respectively. These above results revealed that our bioinformatics analysis is credible.

Based on these above LUAD OS results, only 1 of these 5 LUAD-OS related lncRNAs (LINC00472) was aberrantly expressed in clinical feature. Therefore, lncRNAs that aberrantly expressed in clinical feature comparisons may not be necessarily related with OS (29). Among these 5 lncRNAs only LINC00472 has been reported in the survival of carcinoma and the other lncRNAs (BCRP3, CHIAP2, BMS1P20 and UNQ6494) have not been reported (68). Furthermore, a recent study also found that high LINC00472 expression could significantly reduce risk of relapse and death in breast cancer patients, and LINC00472 could also suppress breast cancer cell proliferation and migration (69). It implies that LINC00472 may play an important role in LUAD.

It has been reported that upregulated AFAP1-AS1 was associated with the poor prognosis of non-small cell lung cancer (NSCLC) patients (70). Furthermore, AFAP1-AS1 was also reported to be associated with prognosis, cell proliferation and invasion of other cancers (62,71,72). Combined with the present study (Tables I, IV, V and Figs. 6Figure 7–8), showing that the expression of AFAP1-AS1 and LINC00472 were dysregulated in LUAD from TCGA database and qRT-PCR verification, and they were related with tumor pathological stage, and lymph node metastasis and OS, respectively, it reveals that AFAP1-AS1 and LINC00472 may be potential biomarkers in LUAD.

In the present study, we identified the LUAD-specific lncRNAs from hundreds of candidate lncRNAs detected from large scale samples in TCGA database, and revealed aberrant expression profiles of cancer specific lncRNAs under different clinical features. The aberrantly expressed key lncRNAs, which were identified in LUAD, may shed light on sensitive biomarkers in LUAD. Importantly, we have constructed the lncRNA-miRNA-mRNA ceRNA network to clarify the unknown ceRNA regulatory network in LUAD. In addition, qRT-PCR verification was used for the reliability and validity of expression of key lncRNAs and bioinformatics analysis. Our findings provide novel insight into better understanding of lncRNA-related ceRNA network in LUAD and potential biomarkers for diagnosis and prognosis.

Acknowledgements

The present study was supported by the National Natural Science Foundation of China (81472939, 81172618 and 81673132), the Qing Lan Project, the 333 Project of Jiangsu Province, the Liu Da Ren Cai Gao Feng Project of Jiangsu Province and the Fundamental Research Funds for the central universities and innovative Research Project for postgraduates in Colleges of Jiangsu Province. We thank Mr. Donglin Cheng for his technical assistance.

References

1 

Torre LA, Bray F, Siegel RL, Ferlay J, Lortet-Tieulent J and Jemal A: Global cancer statistics, 2012. CA Cancer J Clin. 65:87–108. 2015. View Article : Google Scholar : PubMed/NCBI

2 

Jemal A, Bray F, Center MM, Ferlay J, Ward E and Forman D: Global cancer statistics. CA Cancer J Clin. 61:69–90. 2011. View Article : Google Scholar : PubMed/NCBI

3 

Liu L, Wu S, Yang Y, Cai J, Zhu X, Wu J, Li M and Guan H: SOSTDC1 is down-regulated in non-small cell lung cancer and contributes to cancer cell proliferation. Cell Biosci. 6:242016. View Article : Google Scholar : PubMed/NCBI

4 

Li X, Shi Y, Yin Z, Xue X and Zhou B: An eight-miRNA signature as a potential biomarker for predicting survival in lung adenocarcinoma. J Transl Med. 12:1592014. View Article : Google Scholar : PubMed/NCBI

5 

Ferlay J, Shin HR, Bray F, Forman D, Mathers C and Parkin DM: Estimates of worldwide burden of cancer in 2008 GLOBOCAN 2008. Int J Cancer. 127:2893–2917. 2010. View Article : Google Scholar

6 

Wang Y, Zhao H, Gao X, Wei F, Zhang X, Su Y, Wang C, Li H and Ren X: Identification of a three-miRNA signature as a blood-borne diagnostic marker for early diagnosis of lung adenocarcinoma. Oncotarget. 7:26070–26086. 2016.PubMed/NCBI

7 

Schneider F, Derrick V, Davison JM, Strollo D, Incharoen P and Dacic S: Morphological and molecular approach to synchronous non-small cell lung carcinomas: impact on staging. Mod Pathol. 29:735–742. 2016. View Article : Google Scholar : PubMed/NCBI

8 

Qu J, Li M, An J, Zhao B, Zhong W, Gu Q, Cao L, Yang H and Hu C: MicroRNA-33b inhibits lung adenocarcinoma cell growth, invasion, and epithelial-mesenchymal transition by suppressing Wnt/β-catenin/ZEB1 signaling. Int J Oncol. 47:2141–2152. 2015.PubMed/NCBI

9 

Murayama T, Nakaoku T, Enari M, Nishimura T, Tominaga K, Nakata A, Tojo A, Sugano S, Kohno T and Gotoh N: Oncogenic fusion gene CD74-NRG1 confers cancer stem cell-like properties in lung cancer through a IGF2 autocrine/paracrine circuit. Cancer Res. 76:974–983. 2016. View Article : Google Scholar : PubMed/NCBI

10 

Wang G, Chen H and Liu J: The long noncoding RNA LINC01207 promotes proliferation of lung adenocarcinoma. Am J Cancer Res. 5:3162–3173. 2015.PubMed/NCBI

11 

Sana J, Faltejskova P, Svoboda M and Slaby O: Novel classes of non-coding RNAs and cancer. J Transl Med. 10:1032012. View Article : Google Scholar : PubMed/NCBI

12 

Takahashi K, Yan I, Haga H and Patel T: Long noncoding RNA in liver diseases. Hepatology. 60:744–753. 2014. View Article : Google Scholar : PubMed/NCBI

13 

Braconi C, Valeri N, Kogure T, Gasparini P, Huang N, Nuovo GJ, Terracciano L, Croce CM and Patel T: Expression and functional role of a transcribed noncoding RNA with an ultraconserved element in hepatocellular carcinoma. Proc Natl Acad Sci USA. 108:786–791. 2011. View Article : Google Scholar :

14 

Jiang F, Zhou X and Huang J: Long non-coding RNA-ROR mediates the reprogramming in cardiac hypertrophy. PLoS One. 11:e01527672016. View Article : Google Scholar : PubMed/NCBI

15 

Chang L, Qi H, Xiao Y, Li C, Wang Y, Guo T, Liu Z and Liu Q: Integrated analysis of noncoding RNAs and mRNAs reveals their potential roles in the biological activities of the growth hormone receptor. Growth Horm IGF Res. 29:11–20. 2016. View Article : Google Scholar : PubMed/NCBI

16 

Voellenkle C, Garcia-Manteiga JM, Pedrotti S, Perfetti A, De Toma I, Da Silva D, Maimone B, Greco S, Fasanaro P, Creo P, et al: Implication of long noncoding RNAs in the endothelial cell response to hypoxia revealed by RNA-sequencing. Sci Rep. 6:241412016. View Article : Google Scholar : PubMed/NCBI

17 

Mercer TR and Mattick JS: Structure and function of long noncoding RNAs in epigenetic regulation. Nat Struct Mol Biol. 20:300–307. 2013. View Article : Google Scholar : PubMed/NCBI

18 

Yoon JH, Abdelmohsen K and Gorospe M: Posttranscriptional gene regulation by long noncoding RNA. J Mol Biol. 425:3723–3730. 2013. View Article : Google Scholar

19 

Zhou M, Wang X, Shi H, Cheng L, Wang Z, Zhao H, Yang L and Sun J: Characterization of long non-coding RNA-associated ceRNA network to reveal potential prognostic lncRNA biomarkers in human ovarian cancer. Oncotarget. 7:12598–12611. 2016.PubMed/NCBI

20 

Hung T and Chang HY: Long noncoding RNA in genome regulation: Prospects and mechanisms. RNA Biol. 7:582–585. 2010. View Article : Google Scholar : PubMed/NCBI

21 

Shi X, Ma C, Zhu Q, Yuan D, Sun M, Gu X, Wu G, Lv T and Song Y: Upregulation of long intergenic noncoding RNA 00673 promotes tumor proliferation via LSD1 interaction and repression of NCALD in non-small-cell lung cancer. Oncotarget. 7:25558–25575. 2016.PubMed/NCBI

22 

Wang PL, Liu B, Xia Y, Pan CF, Ma T and Chen YJ: Long non-coding RNA-low expression in tumor inhibits the invasion and metastasis of esophageal squamous cell carcinoma by regulating p53 expression. Mol Med Rep. 13:3074–3082. 2016.PubMed/NCBI

23 

Shang C, Guo Y, Zhang J and Huang B: Silence of long noncoding RNA UCA1 inhibits malignant proliferation and chemotherapy resistance to adriamycin in gastric cancer. Cancer Chemother Pharmacol. 77:1061–1067. 2016. View Article : Google Scholar : PubMed/NCBI

24 

Zhang D, Cao C, Liu L and Wu D: Up-regulation of LncRNA SNHG20 predicts poor prognosis in hepatocellular carcinoma. J Cancer. 7:608–617. 2016. View Article : Google Scholar : PubMed/NCBI

25 

Bian Z, Jin L, Zhang J, Yin Y, Quan C, Hu Y, Feng Y, Liu H, Fei B, Mao Y, et al: LncRNA-UCA1 enhances cell proliferation and 5-fluorouracil resistance in colorectal cancer by inhibiting miR-204–5p. Sci Rep. 6:238922016. View Article : Google Scholar

26 

Sun R, Qin C, Jiang B, Fang S, Pan X, Peng L, Liu Z, Li W, Li Y and Li G: Down-regulation of MALAT1 inhibits cervical cancer cell invasion and metastasis by inhibition of epithelial-mesenchymal transition. Mol Biosyst. 12:952–962. 2016. View Article : Google Scholar : PubMed/NCBI

27 

Salmena L, Poliseno L, Tay Y, Kats L and Pandolfi PP: A ceRNA hypothesis: The Rosetta Stone of a hidden RNA language? Cell. 146:353–358. 2011. View Article : Google Scholar : PubMed/NCBI

28 

Pilyugin M and Irminger-Finger I: Long non-coding RNA and microRNAs might act in regulating the expression of BARD1 mRNAs. Int J Biochem Cell Biol. 54:356–367. 2014. View Article : Google Scholar : PubMed/NCBI

29 

Zhang J, Fan D, Jian Z, Chen GG and Lai PB: Cancer specific long noncoding RNAs show differential expression patterns and competing endogenous RNA potential in hepatocellular carcinoma. PLoS One. 10:e01410422015. View Article : Google Scholar : PubMed/NCBI

30 

Li CY, Liang GY, Yao WZ, Sui J, Shen X, Zhang YQ, Peng H, Hong WW, Ye YC, Zhang ZY, et al: Integrated analysis of long non-coding RNA competing interactions reveals the potential role in progression of human gastric cancer. Int J Oncol. 48:1965–1976. 2016.PubMed/NCBI

31 

Chen J, Hu L, Chen J, Pan Q, Ding H, Xu G, Zhu P, Wen X, Huang K and Wang Y: Detection and analysis of Wnt pathway related lncRNAs expression profile in lung adenocarcinoma. Pathol Oncol Res. 22:609–615. 2016. View Article : Google Scholar : PubMed/NCBI

32 

McCarter JP, Mitreva MD, Martin J, Dante M, Wylie T, Rao U, Pape D, Bowers Y, Theising B, Murphy CV, et al: Analysis and functional classification of transcripts from the nematode Meloidogyne incognita. Genome Biol. 4:R262003. View Article : Google Scholar : PubMed/NCBI

33 

Guo LL, Song CH, Wang P, Dai LP, Zhang JY and Wang KJ: Competing endogenous RNA networks and gastric cancer. World J Gastroenterol. 21:11680–11687. 2015. View Article : Google Scholar : PubMed/NCBI

34 

Li JH, Liu S, Zhou H, Qu LH and Yang JH: starBase v2.0: Decoding miRNA-ceRNA, miRNA-ncRNA and protein-RNA interaction networks from large-scale CLIP-Seq data. Nucleic Acids Res. 42(D1): D92–D97. 2014. View Article : Google Scholar

35 

Hsu SD, Tseng YT, Shrestha S, Lin YL, Khaleel A, Chou CH, Chu CF, Huang HY, Lin CM, Ho SY, et al: miRTarBase update 2014. An information resource for experimentally validated miRNA-target interactions. Nucleic Acids Res. 42(D1): D78–D85. 2014. View Article : Google Scholar

36 

Siegel R, Naishadham D and Jemal A: Cancer statistics, 2012. CA Cancer J Clin. 62:10–29. 2012. View Article : Google Scholar : PubMed/NCBI

37 

Meza R, Meernik C, Jeon J and Cote ML: Lung cancer incidence trends by gender, race and histology in the United States, 1973–2010. PLoS One. 10:e01213232015. View Article : Google Scholar

38 

Kerr KM: Pulmonary adenocarcinomas: Classification and reporting. Histopathology. 54:12–27. 2009. View Article : Google Scholar : PubMed/NCBI

39 

Park JY and Jang SH: Epidemiology of lung cancer in Korea: Recent trends. Tuberc Respir Dis (Seoul). 79:58–69. 2016. View Article : Google Scholar

40 

Ortea I, Rodríguez-Ariza A, Chicano-Gálvez E, Arenas Vacas MS and Jurado Gámez B: Discovery of potential protein biomarkers of lung adenocarcinoma in bronchoalveolar lavage fluid by SWATH MS data-independent acquisition and targeted data extraction. J Proteomics. 138:106–114. 2016. View Article : Google Scholar : PubMed/NCBI

41 

Navani N, Nankivell M, Lawrence DR, Lock S, Makker H, Baldwin DR, Stephens RJ, Parmar MK, Spiro SG, Morris S, et al; Lung-BOOST trial investigators. Lung cancer diagnosis and staging with endobronchial ultrasound-guided transbronchial needle aspiration compared with conventional approaches: An open-label, pragmatic, randomised controlled trial. Lancet Respir Med. 3:282–289. 2015. View Article : Google Scholar : PubMed/NCBI

42 

Esteller M: Non-coding RNAs in human disease. Nat Rev Genet. 12:861–874. 2011. View Article : Google Scholar : PubMed/NCBI

43 

Harries LW: Long non-coding RNAs and human disease. Biochem Soc Trans. 40:902–906. 2012. View Article : Google Scholar : PubMed/NCBI

44 

Song C, Zhang J, Liu Y, Pan H, Qi HP, Cao YG, Zhao JM, Li S, Guo J, Sun HL, et al: Construction and analysis of cardiac hypertrophy-associated lncRNA-mRNA network based on competitive endogenous RNA reveal functional lncRNAs in cardiac hypertrophy. Oncotarget. 7:10827–10840. 2016.PubMed/NCBI

45 

Peters T, Hermans-Beijnsberger S, Beqqali A, Bitsch N, Nakagawa S, Prasanth KV, de Windt LJ, van Oort RJ, Heymans S and Schroen B: Long non-coding RNA malat-1 is dispensable during pressure overload-induced cardiac remodeling and failure in mice. PLoS One. 11:e01502362016. View Article : Google Scholar : PubMed/NCBI

46 

Zhou KI, Parisien M, Dai Q, Liu N, Diatchenko L, Sachleben JR and Pan T: N6-Methyladenosine modification in a long noncoding RNA hairpin predisposes its conformation to protein binding. J Mol Biol. 428(5 Pt A): 822–833. 2016. View Article : Google Scholar

47 

Wei G: Bioinformatics analysis of microRNA comprehensive regulatory network in congenital microtia. Int J Pediatr Otorhinolaryngol. 79:1727–1731. 2015. View Article : Google Scholar : PubMed/NCBI

48 

Liu S, Song L, Zeng S and Zhang L: MALAT1-miR-124-RBG2 axis is involved in growth and invasion of HR-HPV-positive cervical cancer cells. Tumour Biol. 37:633–640. 2016. View Article : Google Scholar

49 

Tay Y, Rinn J and Pandolfi PP: The multilayered complexity of ceRNA crosstalk and competition. Nature. 505:344–352. 2014. View Article : Google Scholar : PubMed/NCBI

50 

Karreth FA and Pandolfi PP: ceRNA cross-talk in cancer: When ce-bling rivalries go awry. Cancer Discov. 3:1113–1121. 2013. View Article : Google Scholar : PubMed/NCBI

51 

Wu X, Zang W, Cui S and Wang M: Bioinformatics analysis of two microarray gene-expression data sets to select lung adenocarcinoma marker genes. Eur Rev Med Pharmacol Sci. 16:1582–1587. 2012.PubMed/NCBI

52 

Wang J, Weng Y, Zhang M, Li Y, Fan M, Guo Y, Sun Y, Li W and Shi Q: BMP9 inhibits the growth and migration of lung adenocarcinoma A549 cells in a bone marrow stromal cell-derived microenvironment through the MAPK/ERK and NF-κB pathways. Oncol Rep. 36:410–418. 2016.PubMed/NCBI

53 

Sunaga N, Kohno T, Kolligs FT, Fearon ER, Saito R and Yokota J: Constitutive activation of the Wnt signaling pathway by CTNNB1 (beta-catenin) mutations in a subset of human lung adenocarcinoma. Genes Chromosomes Cancer. 30:316–321. 2001. View Article : Google Scholar : PubMed/NCBI

54 

Jiang HL, Jiang LM and Han WD: Wnt/beta-catenin signaling pathway in lung cancer stem cells is a potential target for the development of novel anticancer drugs. J BUON. 20:1094–1100. 2015.PubMed/NCBI

55 

Qi W, Chen J, Cheng X, Huang J, Xiang T, Li Q, Long H and Zhu B: Targeting the Wnt-regulatory protein CTNNBIP1 by microRNA-214 enhances the stemness and self-renewal of cancer stem-like cells in lung adenocarcinomas. Stem Cells. 33:3423–3436. 2015. View Article : Google Scholar : PubMed/NCBI

56 

Hu Y, Tian H, Xu J and Fang JY: Roles of competing endogenous RNAs in gastric cancer. Brief Funct Genomics. 15:266–273. 2015. View Article : Google Scholar : PubMed/NCBI

57 

Wu Q, Guo L, Jiang F, Li L, Li Z and Chen F: Analysis of the miRNA-mRNA-lncRNA networks in ER+ and ER− breast cancer cell lines. J Cell Mol Med. 19:2874–2887. 2015. View Article : Google Scholar : PubMed/NCBI

58 

Song X, Cao G, Jing L, Lin S, Wang X, Zhang J, Wang M, Liu W and Lv C: Analysing the relationship between lncRNA and protein-coding gene and the role of lncRNA as ceRNA in pulmonary fibrosis. J Cell Mol Med. 18:991–1003. 2014. View Article : Google Scholar : PubMed/NCBI

59 

Liu XH, Sun M, Nie FQ, Ge YB, Zhang EB, Yin DD, Kong R, Xia R, Lu KH, Li JH, et al: Lnc RNA HOTAIR functions as a competing endogenous RNA to regulate HER2 expression by sponging miR-331-3p in gastric cancer. Mol Cancer. 13:922014. View Article : Google Scholar : PubMed/NCBI

60 

Liu Z, Shao Y, Tan L, Shi H, Chen S and Guo J: Clinical significance of the low expression of FER1L4 in gastric cancer patients. Tumour Biol. 35:9613–9617. 2014. View Article : Google Scholar : PubMed/NCBI

61 

Kim ST, Sohn I, Do IG, Jang J, Kim SH, Jung IH, Park JO, Park YS, Talasaz A, Lee J, et al: Transcriptome analysis of CD133-positive stem cells and prognostic value of survivin in colorectal cancer. Cancer Genomics Proteomics. 11:259–266. 2014.PubMed/NCBI

62 

Zhang JY, Weng MZ, Song FB, Xu YG, Liu Q, Wu JY, Qin J, Jin T and Xu JM: Long noncoding RNA AFAP1-AS1 indicates a poor prognosis of hepatocellular carcinoma and promotes cell proliferation and invasion via upregulation of the RhoA/Rac2 signaling. Int J Oncol. 48:1590–1598. 2016.PubMed/NCBI

63 

Tian ZQ, Li ZH, Wen SW, Zhang YF, Li Y, Cheng JG and Wang GY: Identification of commonly dysregulated genes in non-small-cell lung cancer by integrated analysis of microarray data and qRT-PCR validation. Lung. 193:583–592. 2015. View Article : Google Scholar : PubMed/NCBI

64 

Jiang Y, Verbiest T, Devery AM, Bokobza SM, Weber AM, Leszczynska KB, Hammond EM and Ryan AJ: Hypoxia potentiates the radiation-sensitizing effect of olaparib in human non-small cell lung cancer xenografts by contextual synthetic lethality. Int J Radiat Oncol Biol Phys. 95:772–781. 2016. View Article : Google Scholar : PubMed/NCBI

65 

Tang Y, Cao K, Wang Q, Chen J, Liu R, Wang S, Zhou J and Xie H: Silencing of CerS6 increases the invasion and glycolysis of melanoma WM35, WM451 and SK28 cell lines via increased GLUT1-induced downregulation of WNT5A. Oncol Rep. 35:2907–2915. 2016.PubMed/NCBI

66 

Correa DD, Satagopan J, Cheung K, Arora AK, Kryza-Lacombe M, Xu Y, Karimi S, Lyo J, DeAngelis LM and Orlow I: COMT, BDNF, and DTNBP1 polymorphisms and cognitive functions in patients with brain tumors. Neuro Oncol. Apr 18–2016.pii: now057 (Epub ahead of print). View Article : Google Scholar : PubMed/NCBI

67 

Gao J, Cao R and Mu H: Long non-coding RNA UCA1 may be a novel diagnostic and predictive biomarker in plasma for early gastric cancer. Int J Clin Exp Pathol. 8:12936–12942. 2015.

68 

Shen Y, Wang Z, Loo LW, Ni Y, Jia W, Fei P, Risch HA, Katsaros D and Yu H: LINC00472 expression is regulated by promoter methylation and associated with disease-free survival in patients with grade 2 breast cancer. Breast Cancer Res Treat. 154:473–482. 2015. View Article : Google Scholar : PubMed/NCBI

69 

Shen Y, Katsaros D, Loo LW, Hernandez BY, Chong C, Canuto EM, Biglia N, Lu L, Risch H, Chu WM, et al: Prognostic and predictive values of long non-coding RNA LINC00472 in breast cancer. Oncotarget. 6:8579–8592. 2015. View Article : Google Scholar : PubMed/NCBI

70 

Deng J, Liang Y, Liu C, He S and Wang S: The up-regulation of long non-coding RNA AFAP1-AS1 is associated with the poor prognosis of NSCLC patients. Biomed Pharmacother. 75:8–11. 2015. View Article : Google Scholar : PubMed/NCBI

71 

Lu X, Zhou C, Li R, Liang Z, Zhai W, Zhao L and Zhang S: Critical role for the long non-coding RNA AFAP1-AS1 in the proliferation and metastasis of hepatocellular carcinoma. Tumour Biol. 7:9699–9707. 2016. View Article : Google Scholar

72 

Yang F, Lyu S, Dong S, Liu Y, Zhang X and Wang O: Expression profile analysis of long noncoding RNA in HER-2-enriched subtype breast cancer by next-generation sequencing and bioinformatics. Onco Targets Ther. 9:761–772. 2016. View Article : Google Scholar : PubMed/NCBI

Related Articles

  • Abstract
  • View
  • Download
  • Twitter
Copy and paste a formatted citation
Spandidos Publications style
Sui J, Li Y, Zhang Y, Li C, Shen X, Yao W, Peng H, Hong W, Yin L, Pu Y, Pu Y, et al: Integrated analysis of long non-coding RNA‑associated ceRNA network reveals potential lncRNA biomarkers in human lung adenocarcinoma. Int J Oncol 49: 2023-2036, 2016.
APA
Sui, J., Li, Y., Zhang, Y., Li, C., Shen, X., Yao, W. ... Liang, G. (2016). Integrated analysis of long non-coding RNA‑associated ceRNA network reveals potential lncRNA biomarkers in human lung adenocarcinoma. International Journal of Oncology, 49, 2023-2036. https://doi.org/10.3892/ijo.2016.3716
MLA
Sui, J., Li, Y., Zhang, Y., Li, C., Shen, X., Yao, W., Peng, H., Hong, W., Yin, L., Pu, Y., Liang, G."Integrated analysis of long non-coding RNA‑associated ceRNA network reveals potential lncRNA biomarkers in human lung adenocarcinoma". International Journal of Oncology 49.5 (2016): 2023-2036.
Chicago
Sui, J., Li, Y., Zhang, Y., Li, C., Shen, X., Yao, W., Peng, H., Hong, W., Yin, L., Pu, Y., Liang, G."Integrated analysis of long non-coding RNA‑associated ceRNA network reveals potential lncRNA biomarkers in human lung adenocarcinoma". International Journal of Oncology 49, no. 5 (2016): 2023-2036. https://doi.org/10.3892/ijo.2016.3716
Copy and paste a formatted citation
x
Spandidos Publications style
Sui J, Li Y, Zhang Y, Li C, Shen X, Yao W, Peng H, Hong W, Yin L, Pu Y, Pu Y, et al: Integrated analysis of long non-coding RNA‑associated ceRNA network reveals potential lncRNA biomarkers in human lung adenocarcinoma. Int J Oncol 49: 2023-2036, 2016.
APA
Sui, J., Li, Y., Zhang, Y., Li, C., Shen, X., Yao, W. ... Liang, G. (2016). Integrated analysis of long non-coding RNA‑associated ceRNA network reveals potential lncRNA biomarkers in human lung adenocarcinoma. International Journal of Oncology, 49, 2023-2036. https://doi.org/10.3892/ijo.2016.3716
MLA
Sui, J., Li, Y., Zhang, Y., Li, C., Shen, X., Yao, W., Peng, H., Hong, W., Yin, L., Pu, Y., Liang, G."Integrated analysis of long non-coding RNA‑associated ceRNA network reveals potential lncRNA biomarkers in human lung adenocarcinoma". International Journal of Oncology 49.5 (2016): 2023-2036.
Chicago
Sui, J., Li, Y., Zhang, Y., Li, C., Shen, X., Yao, W., Peng, H., Hong, W., Yin, L., Pu, Y., Liang, G."Integrated analysis of long non-coding RNA‑associated ceRNA network reveals potential lncRNA biomarkers in human lung adenocarcinoma". International Journal of Oncology 49, no. 5 (2016): 2023-2036. https://doi.org/10.3892/ijo.2016.3716
Follow us
  • Twitter
  • LinkedIn
  • Facebook
About
  • Spandidos Publications
  • Careers
  • Cookie Policy
  • Privacy Policy
How can we help?
  • Help
  • Live Chat
  • Contact
  • Email to our Support Team