Spandidos Publications Logo
  • About
    • About Spandidos
    • Aims and Scopes
    • Abstracting and Indexing
    • Editorial Policies
    • Reprints and Permissions
    • Job Opportunities
    • Terms and Conditions
    • Contact
  • Journals
    • All Journals
    • Oncology Letters
      • Oncology Letters
      • Information for Authors
      • Editorial Policies
      • Editorial Board
      • Aims and Scope
      • Abstracting and Indexing
      • Bibliographic Information
      • Archive
    • International Journal of Oncology
      • International Journal of Oncology
      • Information for Authors
      • Editorial Policies
      • Editorial Board
      • Aims and Scope
      • Abstracting and Indexing
      • Bibliographic Information
      • Archive
    • Molecular and Clinical Oncology
      • Molecular and Clinical Oncology
      • Information for Authors
      • Editorial Policies
      • Editorial Board
      • Aims and Scope
      • Abstracting and Indexing
      • Bibliographic Information
      • Archive
    • Experimental and Therapeutic Medicine
      • Experimental and Therapeutic Medicine
      • Information for Authors
      • Editorial Policies
      • Editorial Board
      • Aims and Scope
      • Abstracting and Indexing
      • Bibliographic Information
      • Archive
    • International Journal of Molecular Medicine
      • International Journal of Molecular Medicine
      • Information for Authors
      • Editorial Policies
      • Editorial Board
      • Aims and Scope
      • Abstracting and Indexing
      • Bibliographic Information
      • Archive
    • Biomedical Reports
      • Biomedical Reports
      • Information for Authors
      • Editorial Policies
      • Editorial Board
      • Aims and Scope
      • Abstracting and Indexing
      • Bibliographic Information
      • Archive
    • Oncology Reports
      • Oncology Reports
      • Information for Authors
      • Editorial Policies
      • Editorial Board
      • Aims and Scope
      • Abstracting and Indexing
      • Bibliographic Information
      • Archive
    • Molecular Medicine Reports
      • Molecular Medicine Reports
      • Information for Authors
      • Editorial Policies
      • Editorial Board
      • Aims and Scope
      • Abstracting and Indexing
      • Bibliographic Information
      • Archive
    • World Academy of Sciences Journal
      • World Academy of Sciences Journal
      • Information for Authors
      • Editorial Policies
      • Editorial Board
      • Aims and Scope
      • Abstracting and Indexing
      • Bibliographic Information
      • Archive
    • International Journal of Functional Nutrition
      • International Journal of Functional Nutrition
      • Information for Authors
      • Editorial Policies
      • Editorial Board
      • Aims and Scope
      • Abstracting and Indexing
      • Bibliographic Information
      • Archive
    • International Journal of Epigenetics
      • International Journal of Epigenetics
      • Information for Authors
      • Editorial Policies
      • Editorial Board
      • Aims and Scope
      • Abstracting and Indexing
      • Bibliographic Information
      • Archive
    • Medicine International
      • Medicine International
      • Information for Authors
      • Editorial Policies
      • Editorial Board
      • Aims and Scope
      • Abstracting and Indexing
      • Bibliographic Information
      • Archive
  • Articles
  • Information
    • Information for Authors
    • Information for Reviewers
    • Information for Librarians
    • Information for Advertisers
    • Conferences
  • Language Editing
Spandidos Publications Logo
  • About
    • About Spandidos
    • Aims and Scopes
    • Abstracting and Indexing
    • Editorial Policies
    • Reprints and Permissions
    • Job Opportunities
    • Terms and Conditions
    • Contact
  • Journals
    • All Journals
    • Biomedical Reports
      • Information for Authors
      • Editorial Policies
      • Editorial Board
      • Aims and Scope
      • Abstracting and Indexing
      • Bibliographic Information
      • Archive
    • Experimental and Therapeutic Medicine
      • Information for Authors
      • Editorial Policies
      • Editorial Board
      • Aims and Scope
      • Abstracting and Indexing
      • Bibliographic Information
      • Archive
    • International Journal of Epigenetics
      • Information for Authors
      • Editorial Policies
      • Editorial Board
      • Aims and Scope
      • Abstracting and Indexing
      • Bibliographic Information
      • Archive
    • International Journal of Functional Nutrition
      • Information for Authors
      • Editorial Policies
      • Editorial Board
      • Aims and Scope
      • Abstracting and Indexing
      • Bibliographic Information
      • Archive
    • International Journal of Molecular Medicine
      • Information for Authors
      • Editorial Policies
      • Editorial Board
      • Aims and Scope
      • Abstracting and Indexing
      • Bibliographic Information
      • Archive
    • International Journal of Oncology
      • Information for Authors
      • Editorial Policies
      • Editorial Board
      • Aims and Scope
      • Abstracting and Indexing
      • Bibliographic Information
      • Archive
    • Medicine International
      • Information for Authors
      • Editorial Policies
      • Editorial Board
      • Aims and Scope
      • Abstracting and Indexing
      • Bibliographic Information
      • Archive
    • Molecular and Clinical Oncology
      • Information for Authors
      • Editorial Policies
      • Editorial Board
      • Aims and Scope
      • Abstracting and Indexing
      • Bibliographic Information
      • Archive
    • Molecular Medicine Reports
      • Information for Authors
      • Editorial Policies
      • Editorial Board
      • Aims and Scope
      • Abstracting and Indexing
      • Bibliographic Information
      • Archive
    • Oncology Letters
      • Information for Authors
      • Editorial Policies
      • Editorial Board
      • Aims and Scope
      • Abstracting and Indexing
      • Bibliographic Information
      • Archive
    • Oncology Reports
      • Information for Authors
      • Editorial Policies
      • Editorial Board
      • Aims and Scope
      • Abstracting and Indexing
      • Bibliographic Information
      • Archive
    • World Academy of Sciences Journal
      • Information for Authors
      • Editorial Policies
      • Editorial Board
      • Aims and Scope
      • Abstracting and Indexing
      • Bibliographic Information
      • Archive
  • Articles
  • Information
    • For Authors
    • For Reviewers
    • For Librarians
    • For Advertisers
    • Conferences
  • Language Editing
Login Register Submit
  • This site uses cookies
  • You can change your cookie settings at any time by following the instructions in our Cookie Policy. To find out more, you may read our Privacy Policy.

    I agree
Search articles by DOI, keyword, author or affiliation
Search
Advanced Search
presentation
International Journal of Oncology
Join Editorial Board Propose a Special Issue
Print ISSN: 1019-6439 Online ISSN: 1791-2423
Journal Cover
April-2017 Volume 50 Issue 4

Full Size Image

Cover Legend PDF

Sign up for eToc alerts
Recommend to Library

Journals

International Journal of Molecular Medicine

International Journal of Molecular Medicine

International Journal of Molecular Medicine is an international journal devoted to molecular mechanisms of human disease.

International Journal of Oncology

International Journal of Oncology

International Journal of Oncology is an international journal devoted to oncology research and cancer treatment.

Molecular Medicine Reports

Molecular Medicine Reports

Covers molecular medicine topics such as pharmacology, pathology, genetics, neuroscience, infectious diseases, molecular cardiology, and molecular surgery.

Oncology Reports

Oncology Reports

Oncology Reports is an international journal devoted to fundamental and applied research in Oncology.

Experimental and Therapeutic Medicine

Experimental and Therapeutic Medicine

Experimental and Therapeutic Medicine is an international journal devoted to laboratory and clinical medicine.

Oncology Letters

Oncology Letters

Oncology Letters is an international journal devoted to Experimental and Clinical Oncology.

Biomedical Reports

Biomedical Reports

Explores a wide range of biological and medical fields, including pharmacology, genetics, microbiology, neuroscience, and molecular cardiology.

Molecular and Clinical Oncology

Molecular and Clinical Oncology

International journal addressing all aspects of oncology research, from tumorigenesis and oncogenes to chemotherapy and metastasis.

World Academy of Sciences Journal

World Academy of Sciences Journal

Multidisciplinary open-access journal spanning biochemistry, genetics, neuroscience, environmental health, and synthetic biology.

International Journal of Functional Nutrition

International Journal of Functional Nutrition

Open-access journal combining biochemistry, pharmacology, immunology, and genetics to advance health through functional nutrition.

International Journal of Epigenetics

International Journal of Epigenetics

Publishes open-access research on using epigenetics to advance understanding and treatment of human disease.

Medicine International

Medicine International

An International Open Access Journal Devoted to General Medicine.

Journal Cover
April-2017 Volume 50 Issue 4

Full Size Image

Cover Legend PDF

Sign up for eToc alerts
Recommend to Library

  • Article
  • Citations
    • Cite This Article
    • Download Citation
    • Create Citation Alert
    • Remove Citation Alert
    • Cited By
  • Similar Articles
    • Related Articles (in Spandidos Publications)
    • Similar Articles (Google Scholar)
    • Similar Articles (PubMed)
  • Download PDF
  • Download XML
  • View XML
Article

Expression and prognostic value of the cell polarity PAR complex members in thyroid cancer

  • Authors:
    • Chiara Tuccilli
    • Enke Baldini
    • Yannick Arlot-Bonnemains
    • Frank Chesnel
    • Salvatore Sorrenti
    • Corrado De Vito
    • Eleonora D'Armiento
    • Alessandro Antonelli
    • Poupak Fallahi
    • Sara Watutantrige
    • Francesco Tartaglia
    • Susi Barollo
    • Caterina Mian
    • Stefano Arcieri
    • Domenico Mascagni
    • Daniele Pironi
    • Marco Bononi
    • Massimo Vergine
    • Massimo Monti
    • Angelo Filippini
    • Salvatore Ulisse
  • View Affiliations / Copyright

    Affiliations: Department of Experimental Medicine, ʻSapienzaʼ University of Rome, Rome, Italy, Department of Surgical Sciences, ʻSapienzaʼ University of Rome, Rome, Italy, CNRS-UMR 6290 (IGDR) Université Rennes 1, Rennes, France, Department of Public Health and Infectious Diseases, ʻSapienzaʼ University of Rome, Rome, Italy, Department of Clinical and Experimental Medicine, University of Pisa, Pisa, Italy, Department of Medicine, University of Padua, Padua, Italy, Department of Surgery ʻPietro Valdoniʼ, ʻSapienzaʼ University of Rome, Rome, Italy
  • Pages: 1413-1422
    |
    Published online on: March 8, 2017
       https://doi.org/10.3892/ijo.2017.3907
  • Expand metrics +
Metrics: Total Views: 0 (Spandidos Publications: | PMC Statistics: )
Metrics: Total PDF Downloads: 0 (Spandidos Publications: | PMC Statistics: )
Cited By (CrossRef): 0 citations Loading Articles...

This article is mentioned in:



Abstract

Establishment and maintenance of the apical-basal cell polarity, required for proper replication, migration, specialized functions and tissue morphogenesis, relies on three evolutionary conserved complexes: PAR, CRUMBS and SCRIBBLE. Loss of cell polarity/cohesiveness (LOP/C) is implicated in cancer progression, and members of the polarity complex have been described as either oncogenes or oncosuppressors. However, no information on their role in thyroid cancer (TC) progression is available. In the present study, we evaluated the gene expression of the PAR complex members aPKCι, PARD3α/β and PARD6α/β/γ in 95 papillary TC (PTC), compared to their normal matched tissues and in 12 anaplastic TC (ATC). The mRNA and protein levels of investigated genes were altered in the majority of PTC and ATC tissues. In PTC, univariate analysis showed that reduced expression of aPKCι, PARD3β and PARD6γ mRNAs is associated with increased tumor size, and the reduced expression of PARD3β mRNA is associated also with recurrences. Multivariate analysis demonstrated that the presence of lymph node metastasis at diagnosis and the reduced expression of PARD3β are independent risk factors for recurrences, with hazard ratio, respectively, of 8.21 (p=0.006) and 3.04 (p=0.029). The latter result was confirmed by the Kaplan-Meier analysis, which evidenced the association between decreased PARD3β mRNA levels and shorter disease-free interval. In conclusion, we demonstrated that the expression of PAR complex components is deregulated in the majority of PTC and there is a general trend towards their reduction in ATC tissues. Moreover, a prognostic value for the PARD3β gene in PTCs is suggested.

Introduction

Polarity is defined as the persistent asymmetrical and ordered distribution of structures along an axis, and represents a basic property of organisms, organs, tissues and cells (1). Different types of polarity exist, like the planar cell polarity (PCP), the apical-basal polarity (ABP) and the front-rear polarity (FRP). The ABP is the most studied and best described type of cell polarity, and is a peculiar characteristic of epithelial and endothelial cells (2). It determines the formation of two cellular regions: the apical one faces the lumen and the basal one is in contact with the basement membrane. The establishment and maintenance of ABP is due to the interaction and subcellular localization of three evolutionary conserved protein complexes, CRUMBS, PAR and SCRIBBLE, that determine the domains of polarized cells, i.e. the apical, the apical-lateral and the basallateral districts, respectively. The three polarity complexes participate also in the formation and stabilization of the tight junctions (TJs) and adherent junctions (AJs), which in turn have a role in preserving the ABP and tissue homeostasis (3–6).

Over the last decades, various research has clarified the role of the polarity complexes starting from the study of the model organisms Caenorhabditis elegans and Drosophila melanogaster (7–9). The comprehension of the molecular functions of these complexes led to consider cell polarity the prerequisite for the organogenesis, and essential to ensure tissue homeostasis by controlling proliferation, asymmetric division, migration and specialized cell functions (5). Not surprisingly, both neoplastic transformation and cancer progression have been associated to loss of cell polarity/cohesiveness (LOP/C), considered a cancer hallmark (10). Moreover, LOP/C is implicated in the epithelial-mesenchymal transition (EMT), strictly connected with the metastasis development (10). Deregulated expression of ABP complex members has been described in several cancer types, in which they have been identified as either oncosuppressors or oncogenes (4).

In the present study, we focused attention on the one having the widest range of functions, i.e. the PAR (PARtitioning defective) complex (11). It is composed by a core of three proteins: PAR3, PAR6 and the atypical protein kinase C, aPKC. In mammals, paralogous genes have been described: PARD3α/β, PARD6α/β/γ, aPKCζ, and aPKCι, expressed at different levels during the embryonal development and in adult tissues (12–15). PARD3α localizes at TJs formation areas and acts as scaffold for aPKC and PARD6 to induce TJs assembly, but participates also in the regulation of other cellular processes, including migration, cell cycle and asymmetrical division by interacting with other molecules (5). PARD3β does not interact with the aPKC, although sharing the cellular localization with PARD3α, thus, it does not seem to participate in formation of TJs (3,16). Regarding the three PARD6 forms, PARD6α is present both at TJs and in the cytosol, PARD6β is localized in the cytosol and PARD6γ focuses at TJs. Some studies have described other cellular locations of PARD6α and PARD6γ, that is nucleus and centriole, respectively (17,18). Like PARD3, PARD6 acts as scaffold protein, and its principal role is to connect aPKC to PARD3α and to its downstream targets, but the different subcellular localizations of the three forms indicate further functions (17,18). Proteins aPKCζ and aPKCι are both localized in the cytoplasm and at the TJs, and phosphorylate numerous substrates, among which PARD3 (3).

Alterations in the expression levels of the PAR complex members have been reported in many types of human cancer, like the esophageal squamous cell carcinoma, the non-small cell lung carcinoma, the ovarian cancer and the breast carcinoma (19). Moreover, an oncogenic/oncosuppressor context-dependent role of PAR members emerged from functional studies (19). However, there is a lack of information on PAR gene expression and role in epithelial thyroid cancer (TC) progression.

TC represents the most common endocrine malignancy accounting for roughly 1% of all human cancers, and its incidence has been increasing over the last decades, mainly due to the improved ability to diagnose malignant transformation in small non-palpable thyroid nodules (20,21). More than 90% of thyroid carcinomas are represented by the differentiated papillary (PTC) and follicular (FTC) histotypes, whereas the invariably fatal undifferentiated (anaplastic) thyroid carcinoma (ATC) accounts for aproximately 1% of TC (22,23). Although derived from the same cell type, the epithelial thyroid tumors show specific histological features, biological behavior and degree of differentiation as a consequence of different genetic alterations (24,25). One of the most common in PTC is the BRAFV600E mutation (26,27), that associates with clinicopathological features, as advanced stage, extrathyroidal extension, lymph node and distant metastases (28). Some authors evidenced polarity alterations in TC, and it has been shown that PTC patients with tumors retaining cellular polarity had a better course than those exhibiting LOP/C features (29–31).

In the present study, we analyzed the expression of the PAR complex members in 95 PTC compared against normal tissues and 12 ATC tissues. Data from PTC patients were then correlated with clinicopathological parameters and patients' disease-free interval.

Materials and methods

Tissue samples, histology and staging of patients

Normal and matched PTC tissues were obtained from surgical specimens of 95 patients (19 males and 76 females, age range 11–83 years, median 44 years) who underwent total thyroidectomy at the Department of Surgical Sciences, 'Sapienza' University of Rome (38 patients) or at the Department of Medicine, University of Padua (57 patients); while ATC tissues were collected from surgical specimens of 12 patients (4 males and 8 females, age range 57–79 years, median 69 years) who had surgery at the Department of Medicine, University of Padua (7 patients) or at Department of Clinical and Experimental Medicine of Pisa (5 patients). All the patients gave their informed consent, and the study was approved by the local ethics committee (protocol no. 2615). Tissue samples were collected, frozen in liquid nitrogen and stored at −80°C. Of the 95 patients, 72 exhibited classical, 18 follicular, 2 tall cell and 2 oncocytic variants. The histological diagnoses were made independently by two different histopathologists according to the World Health Organization classification (32). At the time of surgery lymph node metastases were found in 39 patients. Following TNM staging, 59 patients were at stage I, 1 at stage II, 29 at stage III and 6 at stage IV. Approximately 40–50 days later all the patients underwent radioiodine therapy followed by thyroid hormone replacement therapy. To ascertain their disease-free condition, 4–5 months after intervention all the patients underwent neck ultrasound and serum Tg measurement. Recurrences were diagnosed by measurement of serum Tg levels either in basal conditions or following recombinant human TSH stimulation; FNA cytology and/or Tg determination in the FNA wash-out from lymph nodes; 131I whole body scan; histological analysis following surgical resection of the lesion. The follow-up included 79 patients (mean 57.1+36.7 months, range 5–141 months), 52 of whom were at TNM stage I. During the follow-up 16 recurrences were recorded. Regarding ATC patients, they all died from the disease (survival time range 1–25 months, median 6 months).

Determination of BRAFV600E mutation

Genomic DNA was extracted from the frozen tissues using the DNeasy Blood and Tissues kit (Qiagen, Milan, Italy) according to the manufacturer's protocol. The BRAF status of exon 15 was assessed by both direct sequencing and mutant allele-specific PCR amplification for the T to A substitution at nucleotide 1799 (V600E), using the procedure previously described (33).

Extraction and analysis of mRNA

Frozen normal and tumor thyroid tissues were homogenized with the ultra-turrax, and total RNA extracted applying the acid guanidinium thiocyanate-phenol-chloroform method (34). The first cDNA strand was synthesized from 5 μg of RNA with M-MLV reverse transcriptase and anchored oligo(dT)23 primers (Sigma Chemicals). Parallel controls for DNA contamination were carried out omitting the reverse transcriptase. The templates obtained were used for quantitative PCR amplifications of the different members of the PAR complex and three different housekeeping genes (GAPDH, RPL13A and SDHA), previously shown to be the most stable among 7 candidate reference genes (35,36), employing the LightCycler instrument (Roche Diagnostics, Mannheim, Germany), the SYBR Premix Ex Taq II (Tli RNase H Plus) (Takara, Shiga, Japan) and specific primers listed in Table I. Amplicon specificities were checked by automated DNA sequencing (Bio-Fab Research, Rome, Italy), evaluation of melting temperatures, and electrophoresis on 2% agarose gel containing ethidium bromide. Standard curves for all genes were created with 5-fold dilutions of mixed human thyroid tissue cDNA. Calculation of data for PTC was performed by the Relative Expression Software Tool (REST 2009) using a normalization factor computed as the geometric media of the 3 reference genes, as previously described (35,36). The fold change in the mRNA levels of the different PAR complex components was referred for each PTC sample to its normal counterpart. Regarding ATC samples, for which the normal matched tissues were not available, they were compared to PTC tissues through the AACt method. In the latter, the ACt of each gene was calculated using the geometric mean of the above mentioned housekeeping genes, whose expression was proven to be stable also between PTC and ATC in preliminary experiments (data not shown). The AACt were computed by subtracting the ACt of each sample the ACt of the sample showing the lowest gene expression (37).

Table I

Sequences, genomic positions and amplicon sizes of the primers used in qRT-PCR for the target and reference genes.

Table I

Sequences, genomic positions and amplicon sizes of the primers used in qRT-PCR for the target and reference genes.

GenePrimer sequenceExonsAmplicon lenght (bp)
GAPDHForward: 5′-ATCATCAGCAATGCCTCCTG-3′6–7136
Reverse: 5′-GGCCATCCACAGTCTTCTG-3′8
RPL13aForward: 5′-ACCGTGCGAGGTATGCTG-3′4–5148
Reverse: 5′-TAGGCTTCAGACGCACGAC-3′6
SDHAForward: 5′-GCATAAGAACATCGGAACTGC-3′12147
Reverse: 5′-GGTCGAACGTCTTCAGGTG-3′13
aPKCιForward: 5′-CTAAGGAACGATTGGGTTGTC-3′16126
Reverse: 5′-TGAGAATCAAAGTTGTCCAAACC-3′17
PARD3αForward: 5′-GATAATCAGAGGCAGGGGATG-3′19115
Reverse: 5′-TGTGTCTTCTTCCAAGGTCTCC-3′20
PARD3βForward: 5′-AACCACCTCTAGGCGAAATG-3′12139
Reverse: 5′-AGAATGTGGTGTTGGAGAAGG-3′13
PARD6αForward: 5′-CCTCACCAACGACGACAG-3′2107
Reverse: 5′-AGAGAGTTGGAGGCAAAAGC-3′3
PARD6βForward: 5′-TTTCAACGGCCAATCCAC-3′1147
Reverse: 5′-TGTCAGGACGCAATACGTTG-3′2
PARD6γForward: 5′-TCAGACCTTGCGATTCTACG-3′1147
Reverse: 5′-TTGGAGATATGGTGGGTGTG-3′2

[i] aPKC, atypical protein kinase C; PARD3, partitioning defective 3; PARD6, partitioning defective-6; GAPDH, glyceraldehyde-3-phosphate dehydrogenase; RPL13a, ribosomal protein L13a; SDHA, succinate dehydrogenase complex, subunit A.

Western blot analysis

Normal and PTC tissue samples from 12 patients were homogenized in RIPA buffer (50 mM Tris-HCl pH 7.4, 1% NP-40, 0.5% sodium deoxycholate, 150 mM sodium chloride, 1 mM EDTA, 1 mM sodium fluoride, 1 mM AEBSF, 10 μg/ml aprotinin, 10 μg/ml leupeptin, 1 mM sodium orthovanadate, 10 mM sodium pyrophosphate in ddH2O) by Turrax, centrifuged at 10,000 rpm for 10 min and frozen to −80°C. Protein concentrations in the cell extracts were determined by the Bradford assay (38). Aliquot of 50 μg of tissue extracts were supplemented with 5X Laemmli buffer (120 mM Tris-HCl, pH 6.8, 2% SDS, 10% glycerol, 0.01% bromophenol blue) containing 5% of mercaptoethanol, heated at 95°C for 5 min, electrophoresed on polyacrylamide gels and transferred onto nitrocellulose membranes using the Bio-Rad Mini TransBlot Cell system. The membranes were then washed with TBST (50 mM Tris-HCl, pH 7.5, 150 mM NaCl and 0.05% Tween-20) and saturated with 5% low fat milk in TBST for 2 h at room temperature. Incubations with primary antibodies were performed for the identification of the different components of the PAR complex in 2.5% low fat milk in TBST at 4°C overnight. The polyclonal antibodies raised against PARD3α (1:1,000, NBP1-88861; Novus Biologicals), PARD3β (1:1,000, Ab122264; Abcam), aPKCι (1:1,000, sc-11399; Santa Cruz Biotechnology), PARD6α (1:1,000, sc-25525; Santa Cruz Biotechnology), PARD6β (1:1,000, sc-67392; Santa Cruz Biotechnology) and PARD6γ (1:2,000, orb35046; Biorbyt, Cambridge, UK) were detected with anti-rabbit horseradish peroxidase conjugated secondary antibody (1:20,000; Jackson ImmunoResearch Laboratories, West Grove, PA, USA). Sample loadings in the different western blots were controlled with the monoclonal anti-GAPDH (1:20,000, ab8245; Abcam). The western blots were revealed by Chemiluminescence SuperSignal kit from Pierce (Rockford, IL, USA).

Statistical analysis

First, the Shapiro-Wilk test was used to check whether the mRNA data were normally distributed, and if they were not, the non-parametric Mann-Whitney U-test was used to calculate the statistical significance of differences in the expression levels of the different PAR complex components in female vs. male patients; in classical PTC variant vs. other variants; in BRAFV600E mutated vs. wild-type PTC; in metastatic (N1) vs. non-metastatic (N0) PTC; in T1-2 vs. T3-4 tumor sizes; in TNM I-II vs. ni-IV stages; in presence or absence of recurrence; in PTC patients group vs. ATC patients group. The correlation of PAR mRNAs with each other, and with patient's age was evaluated by the Spearman's Rho test. The Cox regression stepwise with backward elimination analysis was used to assess the independent association of patient's age, tumor size, histological variants, lymph node metastasis and PAR complex components mRNAs with recurrences. The impact of each PAR gene expression on disease-free interval was assessed by the Kaplan-Meier analysis combined with Mantel-Cox log-rank. For the latter, and for the Cox regression, values were classified based on the following criteria: fold change >1.2 as 'increased' ; fold change <0.8 as 'decreased'; >0.8-fold change <1.2 as 'unvaried'. All statistical analyses were carried out with the SPSS software (IBM, Armonk, NY, USA) and the results were considered significantly different at P-value of <0.05.

Results

Expression of PAR complex components in papillary (PTC) and anaplastic (ATC) thyroid cancer tissues

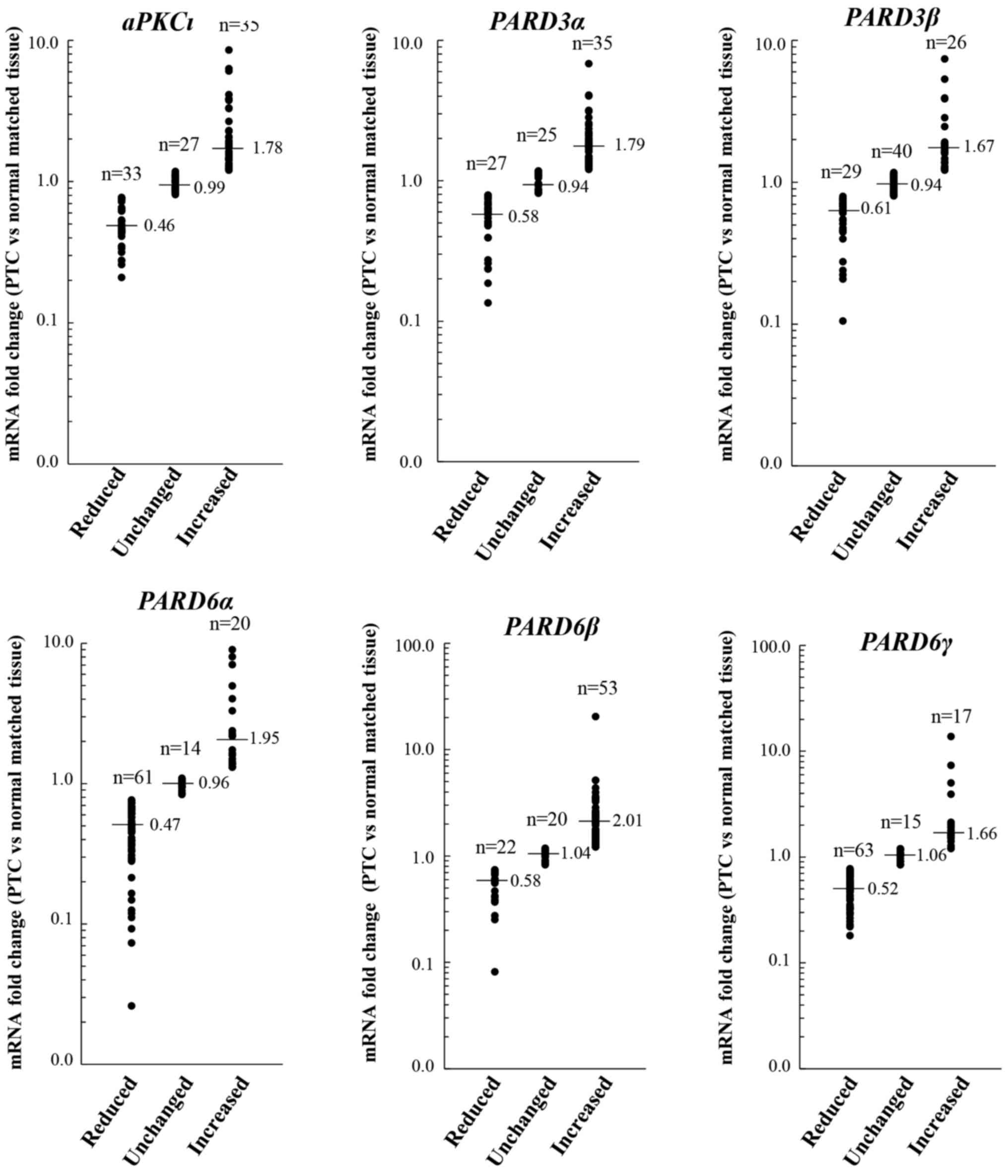
The analyses of mRNA levels of PAR complex components in PTC samples, compared to normal matched tissues, revealed that the expression of all transcripts was deregulated (i.e. reduced or increased) in the majority of cases (Fig. 1). In particular, aPKCι was reduced in 33/95 (34.7%) cases, unchanged in 27/95 (28.4%) cases and increased in 35/95 (36.8%) cases; PARD3α was reduced in 27/95 (28.4%) cases, unchanged in 25/95 (26.3%) cases and increased in 35/95 (36.8%) cases; PARD3p was reduced in 29/95 (30.5%) cases, unchanged in 40/95 (42.1%) cases and increased in 26/95 (27.4%) cases; PARD6α was reduced in 61/95 (64.2%) cases, unchanged in 14/95 (14.7%) cases and increased in 20/95 (21.1%) cases; PARD6β was reduced in 22/95 (23.2%) cases, unchanged in 20/95 (21.1%) cases and increased in 53/95 (55.8%) cases; and PARD6γ was reduced in 63/95 (66.3%) cases, unchanged in 15/95 (15.8%) cases and increased in 17/95 (17.9%) cases.

Figure 1

Levels of PAR complex members mRNA in PTC patients. The fold changes were calculated by normalizing the qPCR results from PTC tissues with their normal counterpart. In the graph, the small bars indicate the median values, 'n' is the number of patients who presented reduced, unchanged and increased mRNA values of the investigated genes.

We next evaluated whether the expression of the PAR genes correlated with each other. As shown in Table II, with the exception of the couple PARD6α/PARD6β, a significant positive correlation was found between all the mRNAs.

Table II

Correlation analysis among mRNA levels of PAR complex components.

Table II

Correlation analysis among mRNA levels of PAR complex components.

Correlation coefficients and P-values
aPKCιPARD3αPARD3βPARD6αPARD6βPARD6γ
aPKCι1.0000.7180.4390.2790.4890.497
–<0.0001<0.00010.006<0.0001<0.0001
PARD3α1.0000.5550.3670.5070.538
–<0.0001<0.0001<0.0001<0.0001
PARD3β1.0000.3470.5700.667
–0.001<0.0001<0.0001
PARD6α1.0000.1500.371
–0.142<0.0001
PARD6β1.0000.466
–<0.0001
PARD6γ1.000

The transcripts levels were investigated also in 12 ATC tissues. The results showed that the expression of all genes analyzed was significantly lower in ATC compared to PTC tissues (Fig. 2).

Figure 2

Comparison of mRNA expression levels of the PAR complex members between PTC and ATC tissues. Messenger RNA level in ATC tissues were compared to that of PTC through the AACt method. The statistical evaluation of the data was performed with the non-parametric Mann-Whitney test. The small bars in the graph indicate the median values.

Twelve PTC tissue specimens were used to prepare protein extracts, and western blot experiments were carried out for the different PAR complex members. The results confirmed their deregulation (i.e. reduction or increase) in the majority of PTC tissues (Fig. 3). Unfortunately, only 12 PTC specimens were large enough to permit both RNA and proteins extraction, so their number was too small to perform any statistical analysis, including the correlation between mRNA and protein levels.

Figure 3

Levels of PAR complex proteins in 12 PTC patients. (A) The figure shows representative cases of reduced, unvaried and increased protein levels in 3 PTC tissues compared to normal matched tissues. (B) The graphic shows the distribution of proteins levels into PTC patients tissues normalized against their normal counterpart.

BRAFV600E mutation and PAR complex components expression in PTC tissues

To assess the effect of BRAFV600Emutation on PAR complex member expression, we analyzed the mRNA levels of each PAR gene in 76 PTC tissues for which it was possible to check the BRAF gene status. Of these, 37 (48.7%) PTC harbored the BRAFV600E mutation while 39 had the wild-type BRAF. The result of univariate analysis, reported in Table III, showed that the BRAFV600E mutation associated only with PARD6β gene transcription in PTC tissues.

Table III

Univariate statistical analysis of PAR complex members mRNA, PTC patient characteristics and high-risk clinicopathological features.

Table III

Univariate statistical analysis of PAR complex members mRNA, PTC patient characteristics and high-risk clinicopathological features.

aPKCιP-valuePARD3αP-valuePARD3βP-valuePARD6αP-valuePARD6βP-valuePARD6γP-value
Gender
 Male (n=19)1.020.9481.050.3570.820.1760.650.9851.140.5150.590.367
 Female (n=76)0.991.150.940.631.320.66
Age (y/o)
 Corr.Coeff.0.0820.4270.1310.205−0.0750.4680.0280.791−0.0500.6280.0250.810
Histology
 Classical variant (n=79)1.010.8971.070.8040.910.1320.610.8191.320.8500.590.352
 Other variants (n=16)0.911.221.090.701.280.84
BRAF
 Wild-type (n=38)1.040.4580.950.3740.900.4670.660.8971.160.0370.690.844
 V600E (n=38)1.011.120.920.621.520.64
pT
 Tl-2 (n=39)1.210.0141.290.5811.120.0040.650.6531.530.2630.740.019
 T3-4 (n=56)0.910.950.860.621.220.58
pN
 NO (n=56)1.000.5811.190.6500.990.4490.660.6230.470.1590.670.200
 N1 (n=39)0.990.960.860.620.180.56
TNM stage
 I–II (n=60)0.950.4341.080.5790.950.1760.610.5761.400.5790.670.357
 III–IV (n=35)1.011.150.880.681.210.59
Recurrence
 No (n=63)1.060.0761.210.2301.010.0170.650.5911.410.1610.690.102
 Yes (n=16)0.800.840.740.511.010.51

[i] For each gene is reported the median value of the patients mRNA levels grouped based on the clinicopathological parameters. The significant statistical differences are in bold.

Prognostic relevance of PAR complex member expression in PTC patients

No association between the expression, at the mRNA level, of PAR complex members and gender, age, tumor histology, lymph node metastasis and TNM stage was observed (Table III). However, a significant association emerged between reduced mRNA levels of aPKCι, PARD3β and PARD6γ and increased tumor size (Table III). The univariate statistical analysis evidenced also an association between higher PARD6β mRNA levels and BRAFV600E mutation. In addition, low levels of PARD3β significantly associated with tumor relapse (Table III). Notably, the Kaplan-Meier analysis demonstrated a significant correlation only for PARD3β mRNA levels with the disease-free interval (DFI) (Fig. 4). The latter is represented for patients grouped in three categories based on the PARD3β mRNA fold changes: increased, unvaried and decreased. As evident, lower PARD3β mRNA levels negatively influenced the DFI. Besides, the multivariate statistical analysis indicated PARD3β and lymph node metastasis at diagnosis as the only variables independently associated to DFI, with a hazard ratio, respectively, of 3.04 (95% CI, 1.12–8.24, P=0.029) and 8.21 (95% CI, 1.85–35.53, P=0.006) (Table IV).

Figure 4

Levels of PARD3β mRNA and disease-free interval (DFI) in PTC patients. Kaplan-Meier analysis combined with Mantel-Cox log-rank statistical test, performed on 79 PTC patients followed-up from 5 to 141 months.

Table IV

Cox regression stepwise with backward elimination analysis.

Table IV

Cox regression stepwise with backward elimination analysis.

VariablesHR95% CIP-value
Decreased PARD3β mRNA3.041.12–8.240.029
Lymph node metastasis8.211.85–35.530.006

[i] The table presents only the statistically significant results of the multivariate analysis of the different clinicopathological parameters and PAR complex components mRNAs with cancer recurrence in PTC patients. HR, hazard ratio.

Discussion

Deregulated expression of PAR complex components has been associated to cancer development and spread (19). Nevertheless, no studies have attempted to investigate their expression and role in thyroid cancer progression to date. To the best of our knowledge, only one study evidenced the homozygous deletion of PARD3α in primary ATC derived cell lines. The authors also reported that the reinstatement of PARD3α by exogenous expression was able to reduce cell proliferation, motility and invasiveness, and to restore cell-cell contacts and cell adhesion (38,39).

In this case study, we analyzed the mRNA levels of the paralogous genes encoding for PAR complex components in PTC and ATC tissues. The results indicated that the expression of all these genes was deregulated in PTC, and that all of them were significantly lower in ATC compared to PTC. These observations may suggest that the reduced expression of PAR genes may contribute to TC progression and dedifferentiation, as hypothesized in esophageal squamous cell carcinoma where reduced level of PARD3α transcripts was associated with tumor dedifferentiation (40). On the other hand, other studies reported that the overexpression of PARD3α associates with a poor prognosis in patients affected by hepatocellular carcinoma or clear cell renal carcinoma (41,42). Concerning PARD6α and PARD6β, previous studies in breast cancer tissues and cell lines demonstrated an increased expression of both genes and their ability to activate the MEK/ERK signaling pathway increasing the proliferation rate of breast epithelial cells (43,44). However, Cunliffe and colleagues (44) reported that the reduced levels of PARD6β protein associated with poorly differentiated breast cancer tissues. Regarding PARD6γ, our data are in agreement with a study on breast cancer cells suggesting for it a tumor suppressor role (45). Previous findings on ovarian and lung cancers demonstrated an increased expression of aPKCι (46,47). Although also in our PTC series aPKCι was found upregulated in 37% of cases, it was reduced in 35% of cases and further reduced in ATC samples. In interpreting these apparently conflicting data, it may be worth to consider that a possible oncogenic/oncosuppressive role of PAR components could be context dependent, as recently suggested (48–52). However, further functional studies should be performed to assess the pathogenetic role of each PAR complex component in TC progression.

We next evaluated whether the deregulated expression of the different PAR genes could be of any prognostic value. In the univariate statistical analysis, some significant associations emerged with the clinicopathological parameters of PTC patients, among which the association between higher PARD6β mRNA levels and BRAFV600E mutation. A study conducted in mice with BRAF oncogene-dependent PTC demonstrated a higher susceptibility to undergo EMT in response to TGFfi in the animals with BRAFV600E (53). It was previously demonstrated that the BRAFV600E mutation induced the TGFfl secretion by PCCl3 cell line, and that TGFR-p phosphorylates PARD6 on S345 (54,55). Once phosphorylated, PARD6 induces degradation of the GTPase RhoA leading to dissolution of TJs, which is one of the first steps of the EMT phenomenon (56). Hence, the significant association here reported between higher PARD6β mRNA levels and BRAFV600E mutation may be a sign of these molecular events. However, the most interesting significant association emerged by the univariate statistical analysis was between the low PARD3β mRNA levels and tumor relapses. This result was confirmed by the Kaplan-Meier analysis, and multivariate statistical analysis identified the downregulation of PARD3β mRNA as an independent prognostic factor for DFI. This could be of some clinical relevance since, to date, the prognosis of PTC patients still relies on clinicopathological variables such as patient's age, tumor size, histology, lymph node or distant metastasis, which are not accurate in predicting the long-term outcome (57–60). Therefore, the identification of new molecular biomarkers strictly related to the risk of PTC relapse is sorely needed.

In conclusion, the data here reported, although needing to be confirmed by means of larger case-studies, demonstrate that the expression of PAR complex members is deregulated in the majority of PTC. Besides, there is a general trend towards their reduction in ATC tissues, which could be either an effect or a cause of the loss of tissue architecture integrity occurring in undifferentiated tumors. Functional studies are required to assess the actual contribution of PAR complex alterations in TC progression and dedifferentiation. Moreover, PARD3β mRNA could represent a useful prognostic biomarker for PTC patients.

Acknowledgments

The present study was supported by the Sapienza University of Rome grants (grant nos. C26A14RNFY and C26N145E4T, 2014).

References

1 

Cove DJ, Hope IA and Quatrano RS: Polarity in biological systems. Development Genetics, Epigenetics and Environmental Regulation. Russo VEA, Cove DJ, Edgar LG, Jaenish R and Salamini F: Springer-Verlag; New York: pp. 507–524. 1999

2 

Sebbagh M and Borg JP: Insight into planar cell polarity. Exp Cell Res. 328:284–295. 2014. View Article : Google Scholar : PubMed/NCBI

3 

Lee M and Vasioukhin V: Cell polarity and cancer - cell and tissue polarity as a non-canonical tumor suppressor. J Cell Sci. 121:1141–1150. 2008. View Article : Google Scholar : PubMed/NCBI

4 

Assemat E, Bazellieres E, Pallesi-Pocachard E, Le Bivic A and Massey-Harroche D: Polarity complex proteins. Biochim Biophys Acta. 1778:614–630. 2008. View Article : Google Scholar

5 

Khursheed M and Bashyam MD: Apico-basal polarity complex and cancer. J Biosci. 39:145–155. 2014. View Article : Google Scholar : PubMed/NCBI

6 

Lin WH, Asmann YW and Anastasiadis PZ: Expression of polarity genes in human cancer. Cancer Inform. 14(Suppl. 3): 15–28. 2015.PubMed/NCBI

7 

Kemphues KJ, Priess JR, Morton DG and Cheng NS: Identification of genes required for cytoplasmic localization in early C. elegans embryos. Cell. 52:311–320. 1988. View Article : Google Scholar : PubMed/NCBI

8 

Tepass U, Theres C and Knust E: crumbs encodes an EGF-like protein expressed on apical membranes of Drosophila epithelial cells and required for organization of epithelia. Cell. 61:787–799. 1990. View Article : Google Scholar : PubMed/NCBI

9 

Bilder D and Perrimon N: Localization of apical epithelial determinants by the basolateral PDZ protein Scribble. Nature. 403:676–680. 2000. View Article : Google Scholar : PubMed/NCBI

10 

Royer C and Lu X: Epithelial cell polarity: A major gatekeeper against cancer? Cell Death Differ. 18:1470–1477. 2011. View Article : Google Scholar : PubMed/NCBI

11 

Gandalovicová A, Vomastek T, Rosel D and Brábek J: Cell polarity signaling in the plasticity of cancer cell invasiveness. Oncotarget. 7:25022–25049. 2016.PubMed/NCBI

12 

Lin D, Edwards AS, Fawcett JP, Mbamalu G, Scott JD and Pawson T: A mammalian PAR-3-PAR-6 complex implicated in Cdc42/Rac1 and aPKC signalling and cell polarity. Nat Cell Biol. 2:540–547. 2000. View Article : Google Scholar : PubMed/NCBI

13 

Vinot S, Le T, Maro B and Louvet-Vallée S: Two PAR6 proteins become asymmetrically localized during establishment of polarity in mouse oocytes. Curr Biol. 14:520–525. 2004. View Article : Google Scholar : PubMed/NCBI

14 

Louvet-Vallée S, Vinot S and Maro B: Mitotic spindles and cleavage planes are oriented randomly in the two-cell mouse embryo. Curr Biol. 15:464–469. 2005. View Article : Google Scholar : PubMed/NCBI

15 

Vinot S, Le T, Ohno S, Pawson T, Maro B and Louvet-Vallée S: Asymmetric distribution of PAR proteins in the mouse embryo begins at the 8-cell stage during compaction. Dev Biol. 282:307–319. 2005. View Article : Google Scholar : PubMed/NCBI

16 

Kohjima M, Noda Y, Takeya R, Saito N, Takeuchi K and Sumimoto H: PAR3beta, a novel homologue of the cell polarity protein PAR3, localizes to tight junctions. Biochem Biophys Res Commun. 299:641–646. 2002. View Article : Google Scholar : PubMed/NCBI

17 

Cline EG and Nelson WJ: Characterization of mammalian Par 6 as a dual-location protein. Mol Cell Biol. 27:4431–4443. 2007. View Article : Google Scholar : PubMed/NCBI

18 

Dormoy V, Tormanen K and Sütterlin C: Par6y is at the mother centriole and controls centrosomal protein composition through a Par6a-dependent pathway. J Cell Sci. 126:860–870. 2013. View Article : Google Scholar :

19 

Ellenbroek SI, Iden S and Collard JG: Cell polarity proteins and cancer. Semin Cancer Biol. 22:208–215. 2012. View Article : Google Scholar : PubMed/NCBI

20 

Davies L and Welch HG: Increasing incidence of thyroid cancer in the United States, 1973–2002. JAMA. 295:2164–2167. 2006. View Article : Google Scholar : PubMed/NCBI

21 

Jemal A, Siegel R, Ward E, Hao Y, Xu J and Thun MJ: Cancer statistics, 2009. CA Cancer J Clin. 59:225–249. 2009. View Article : Google Scholar : PubMed/NCBI

22 

Kinder BK: Well differentiated thyroid cancer. Curr Opin Oncol. 15:71–77. 2003. View Article : Google Scholar

23 

Pasieka JL: Anaplastic thyroid cancer. Curr Opin Oncol. 15:78–83. 2003. View Article : Google Scholar

24 

Nikiforov YE, Biddinger PW and Thompson LDR: Diagnostic Pathology and Molecular Genetics of the Thyroid. Lippincott Williams & Wilkins; Philadelphia: 2009

25 

Cancer Genome Atlas Research Network: Integrated genomic characterization of papillary thyroid carcinoma. Cell. 159:676–690. 2014. View Article : Google Scholar : PubMed/NCBI

26 

Kimura ET, Nikiforova MN, Zhu Z, Knauf JA, Nikiforov YE and Fagin JA: High prevalence of BRAF mutations in thyroid cancer: Genetic evidence for constitutive activation of the RET/PTC-RAS-BRAF signaling pathway in papillary thyroid carcinoma. Cancer Res. 63:1454–1457. 2003.PubMed/NCBI

27 

Soares P, Trovisco V, Rocha AS, Lima J, Castro P, Preto A, Máximo V, Botelho T, Seruca R and Sobrinho-Simoes M: BRAF mutations and RET/PTC rearrangements are alternative events in the etiopathogenesis of PTC. Oncogene. 22:4578–4580. 2003. View Article : Google Scholar : PubMed/NCBI

28 

Elisei R, Ugolini C, Viola D, Lupi C, Biagini A, Giannini R, Romei C, Miccoli P, Pinchera A and Basolo F: BRAFV600E mutation and outcome of patients with papillary thyroid carcinoma: A 15-year median follow-up study. J Clin Endocrinol Metab. 93:3943–3949. 2008. View Article : Google Scholar : PubMed/NCBI

29 

Kerjaschki D, Krisch K, Sleyter UB, Umrath W, Jakesz R, Depisch D, Kokoschka R and Horandner H: The structure of tight junctions in human thyroid tumors. A systematic freeze-fracture study Am J Pathol. 96:207–226. 1979.

30 

Fluge Ø, Haugen DR, Lillehaug JR and Varhaug JE: Difference in patterns of Met expression in papillary thyroid carcinomas and nonneoplastic thyroid tissue. World J Surg. 25:623–631. 2001. View Article : Google Scholar : PubMed/NCBI

31 

Bai Y, Kakudo K, Nakamura M, Ozaki T, Li Y, Liu Z, Mori I, Miyauchi A and Zhou G: Loss of cellular polarity/cohesiveness in the invasive front of papillary thyroid carcinoma and periostin expression. Cancer Lett. 281:188–195. 2009. View Article : Google Scholar : PubMed/NCBI

32 

Hedinger C, Williams ED and Sobin LH: The WHO histological classification of thyroid tumors: a commentary on the second edition. Cancer. 63:908–911. 1989. View Article : Google Scholar : PubMed/NCBI

33 

Barollo S, Pennelli G, Vianello F, Watutantrige Fernando S, Negro I, Merante Boschin I, Pelizzo MR, Rugge M, Mantero F, Nacamulli D, et al: BRAF in primary and recurrent papillary thyroid cancers: The relationship with 131I and 2-[18F]fluoro-2- deoxy-D-glucose uptake ability. Eur J Endocrinol. 163:659–663. 2010. View Article : Google Scholar : PubMed/NCBI

34 

Chomczynski P and Sacchi N: Single-step method of RNA isolation by acid guanidinium thiocyanate-phenol-chloroform extraction. Anal Biochem. 162:156–159. 1987. View Article : Google Scholar : PubMed/NCBI

35 

Vandesompele J, De Preter K, Pattyn F, Poppe B, Van Roy N, De Paepe A and Speleman F: Accurate normalization of real-time quantitative RT-PCR data by geometric averaging of multiple internal control genes. Genome Biol. 3:Research0034. 2002. View Article : Google Scholar : PubMed/NCBI

36 

Ulisse S, Baldini E, Sorrenti S, Barollo S, Prinzi N, Catania A, Nesca A, Gnessi L, Pelizzo MR, Mian C, et al: In papillary thyroid carcinoma BRAFV600E is associated with increased expression of the urokinase plasminogen activator and its cognate receptor, but not with disease-free interval. Clin Endocrinol (Oxf). 77:780–786. 2012. View Article : Google Scholar

37 

Livak KJ and Schmittgen TD: Analysis of relative gene expression data using real-time quantitative PCR and the 2−ΔΔCT method. Methods. 25:402–408. 2001. View Article : Google Scholar

38 

Bradford MM: A rapid and sensitive method for the quantitation of microgram quantities of protein utilizing the principle of protein-dye binding. Anal Biochem. 72:248–254. 1976. View Article : Google Scholar : PubMed/NCBI

39 

Garg M, Okamoto R, Nagata Y, Kanojia D, Venkatesan S, Anand MT, Braunstein GD, Said JW, Doan NB, Ho Q, et al: Establishment and characterization of novel human primary and metastatic anaplastic thyroid cancer cell lines and their genomic evolution over a year as a primagraft. J Clin Endocrinol Metab. 100:725–735. 2015. View Article : Google Scholar :

40 

Zen K, Yasui K, Gen Y, Dohi O, Wakabayashi N, Mitsufuji S, Itoh Y, Zen Y, Nakanuma Y, Taniwaki M, et al: Defective expression of polarity protein PAR-3 gene (PARD3) in esophageal squamous cell carcinoma. Oncogene. 28:2910–2918. 2009. View Article : Google Scholar : PubMed/NCBI

41 

Jan YJ, Ko BS, Liu TA, Wu YM, Liang SM, Chen SC, Wang J and Liou JY: Expression of partitioning defective 3 (Par-3) for predicting extrahepatic metastasis and survival with hepatocellular carcinoma. Int J Mol Sci. 14:1684–1697. 2013. View Article : Google Scholar : PubMed/NCBI

42 

Dugay F, Le Goff X, Rioux-Leclerq N, Chesnel F, Jouan F, Henry C, Cabillic F, Verhoest G, Vigneau C, Arlot-Bonnemains Y, et al: Overexpression of the polarity protein PAR-3 in clear cell renal cell carcinoma is associated with poor prognosis. Int J Cancer. 134:2051–2060. 2014. View Article : Google Scholar

43 

Nolan ME, Aranda V, Lee S, Lakshmi B, Basu S, Allred DC and Muthuswamy SK: The polarity protein Par6 induces cell proliferation and is overexpressed in breast cancer. Cancer Res. 68:8201–8209. 2008. View Article : Google Scholar : PubMed/NCBI

44 

Cunliffe HE, Jiang Y, Fornace KM, Yang F and Meltzer PS: PAR6B is required for tight junction formation and activated PKCZ localization in breast cancer. Am J Cancer Res. 2:478–491. 2012.

45 

Marques E, Englund JI, Tervonen TA, Virkunen E, Laakso M, Myllynen M, Mäkelä A, Ahvenainen M, Lepikhova T, Monni O, et al: Par6G suppresses cell proliferation and is targeted by loss-of-function mutations in multiple cancers. Oncogene. 35:1386–1398. 2016. View Article : Google Scholar :

46 

Eder AM, Sui X, Rosen DG, Nolden LK, Cheng KW, Lahad JP, Kango-Singh M, Lu KH, Warneke CL, Atkinson EN, et al: Atypical PKCiota contributes to poor prognosis through loss of apical-basal polarity and cyclin E overexpression in ovarian cancer. Proc Natl Acad Sci USA. 102:12519–12524. 2005. View Article : Google Scholar : PubMed/NCBI

47 

Regala RP, Weems C, Jamieson L, Khoor A, Edell ES, Lohse CM and Fields AP: Atypical protein kinase C iota is an oncogene in human non-small cell lung cancer. Cancer Res. 65:8905–8911. 2005. View Article : Google Scholar : PubMed/NCBI

48 

Iden S, van Riel WE, Schäfer R, Song JY, Hirose T, Ohno S and Collard JG: Tumor type-dependent function of the par3 polarity protein in skin tumorigenesis. Cancer Cell. 22:389–403. 2012. View Article : Google Scholar : PubMed/NCBI

49 

Yao S, Bee A, Brewer D, Dodson A, Beesley C, Ke Y, Ambroisine L, Fisher G, Mpller H, Dickinson T, et al: PRKC-Z expression promotes the aggressive phenotype of human prostate cancer cells and is a novel target for therapeutic intervention. Genes Cancer. 1:444–464. 2010. View Article : Google Scholar : PubMed/NCBI

50 

Awadelkarim KD, Callens C, Rossé C, Susini A, Vacher S, Rouleau E, Lidereau R and Bièche I: Quantification of PKC family genes in sporadic breast cancer by qRT-PCR: Evidence that PKCi/7 overexpression is an independent prognostic factor. Int J Cancer. 131:2852–2862. 2012. View Article : Google Scholar : PubMed/NCBI

51 

Ma L, Tao Y, Duran A, Llado V, Galvez A, Barger JF, Castilla EA, Chen J, Yajima T, Porollo A, et al: Control of nutrient stress- induced metabolic reprogramming by PKCZ in tumorigenesis. Cell. 152:599–611. 2013. View Article : Google Scholar : PubMed/NCBI

52 

Namdarian B, Wong E, Galea R, Pedersen J, Chin X, Speirs R, Humbert PO, Costello AJ, Corcoran NM and Hovens CM: Loss of APKC expression independently predicts tumor recurrence in superficial bladder cancers. Urol Oncol. 31:649–655. 2013. View Article : Google Scholar

53 

Knauf JA, Sartor MA, Medvedovic M, Lundsmith E, Ryder M, Salzano M, Nikiforov YE, Giordano TJ, Ghossein RA and Fagin JA: Progression of BRAF-induced thyroid cancer is associated with epithelial-mesenchymal transition requiring concomitant MAP kinase and TGFp signaling. Oncogene. 30:3153–3162. 2011. View Article : Google Scholar : PubMed/NCBI

54 

Riesco-Eizaguirre G, Rodriguez I, De la Vieja A, Costamagna E, Carrasco N, Nistal M and Santisteban P: The BRAFV600E oncogene induces transforming growth factor beta secretion leading to sodium iodide symporter repression and increased malignancy in thyroid cancer. Cancer Res. 69:8317–8325. 2009. View Article : Google Scholar : PubMed/NCBI

55 

Ozdamar B, Bose R, Barrios-Rodiles M, Wang HR, Zhang Y and Wrana JL: Regulation of the polarity protein Par6 by TGFbeta receptors controls epithelial cell plasticity. Science. 307:1603–1609. 2005. View Article : Google Scholar : PubMed/NCBI

56 

Gunaratne A, Thai BL and Di Guglielmo GM: Atypical protein kinase C phosphorylates Par6 and facilitates transforming growth factor p-induced epithelial-to-mesenchymal transition. Mol Cell Biol. 33:874–886. 2013. View Article : Google Scholar :

57 

Gospodarowicz MK, Henson DE, Hutter RVP, O'Sullivan B, Sobin LH and Wittekind CL: Prognostic Factors in Cancer. 2nd edition. Wiley-Liss; New York: 2001

58 

Passler C, Scheuba C, Prager G, Kaczirek K, Kaserer K, Zettinig G and Niederle B: Prognostic factors of papillary and follicular thyroid cancer: Differences in an iodine-replete endemic goiter region. Endocr Relat Cancer. 11:131–139. 2004. View Article : Google Scholar : PubMed/NCBI

59 

Baldini E, Sorrenti S, Tuccilli C, Prinzi N, Coccaro C, Catania A, Filippini A, Bononi M, De Antoni E, D'Armiento M, et al: Emerging molecular markers for the prognosis of differentiated thyroid cancer patients. Int J Surg. 12(Suppl 1): S52–S56. 2014. View Article : Google Scholar : PubMed/NCBI

60 

Ulisse S, Baldini E, Sorrenti S, Barollo S, Gnessi L, Catania A, Pellizzo MR, Nardi F, Mian C, De Antoni E, et al: High expression of the urokinase plasminogen activator and its cognate receptor associates with advanced stages and reduced disease- free interval in papillary thyroid carcinoma. J Clin Endocrinol Metab. 96:504–508. 2011. View Article : Google Scholar

Related Articles

  • Abstract
  • View
  • Download
  • Twitter
Copy and paste a formatted citation
Spandidos Publications style
Tuccilli C, Baldini E, Arlot-Bonnemains Y, Chesnel F, Sorrenti S, De Vito C, D'Armiento E, Antonelli A, Fallahi P, Watutantrige S, Watutantrige S, et al: Expression and prognostic value of the cell polarity PAR complex members in thyroid cancer. Int J Oncol 50: 1413-1422, 2017.
APA
Tuccilli, C., Baldini, E., Arlot-Bonnemains, Y., Chesnel, F., Sorrenti, S., De Vito, C. ... Ulisse, S. (2017). Expression and prognostic value of the cell polarity PAR complex members in thyroid cancer. International Journal of Oncology, 50, 1413-1422. https://doi.org/10.3892/ijo.2017.3907
MLA
Tuccilli, C., Baldini, E., Arlot-Bonnemains, Y., Chesnel, F., Sorrenti, S., De Vito, C., D'Armiento, E., Antonelli, A., Fallahi, P., Watutantrige, S., Tartaglia, F., Barollo, S., Mian, C., Arcieri, S., Mascagni, D., Pironi, D., Bononi, M., Vergine, M., Monti, M., Filippini, A., Ulisse, S."Expression and prognostic value of the cell polarity PAR complex members in thyroid cancer". International Journal of Oncology 50.4 (2017): 1413-1422.
Chicago
Tuccilli, C., Baldini, E., Arlot-Bonnemains, Y., Chesnel, F., Sorrenti, S., De Vito, C., D'Armiento, E., Antonelli, A., Fallahi, P., Watutantrige, S., Tartaglia, F., Barollo, S., Mian, C., Arcieri, S., Mascagni, D., Pironi, D., Bononi, M., Vergine, M., Monti, M., Filippini, A., Ulisse, S."Expression and prognostic value of the cell polarity PAR complex members in thyroid cancer". International Journal of Oncology 50, no. 4 (2017): 1413-1422. https://doi.org/10.3892/ijo.2017.3907
Copy and paste a formatted citation
x
Spandidos Publications style
Tuccilli C, Baldini E, Arlot-Bonnemains Y, Chesnel F, Sorrenti S, De Vito C, D'Armiento E, Antonelli A, Fallahi P, Watutantrige S, Watutantrige S, et al: Expression and prognostic value of the cell polarity PAR complex members in thyroid cancer. Int J Oncol 50: 1413-1422, 2017.
APA
Tuccilli, C., Baldini, E., Arlot-Bonnemains, Y., Chesnel, F., Sorrenti, S., De Vito, C. ... Ulisse, S. (2017). Expression and prognostic value of the cell polarity PAR complex members in thyroid cancer. International Journal of Oncology, 50, 1413-1422. https://doi.org/10.3892/ijo.2017.3907
MLA
Tuccilli, C., Baldini, E., Arlot-Bonnemains, Y., Chesnel, F., Sorrenti, S., De Vito, C., D'Armiento, E., Antonelli, A., Fallahi, P., Watutantrige, S., Tartaglia, F., Barollo, S., Mian, C., Arcieri, S., Mascagni, D., Pironi, D., Bononi, M., Vergine, M., Monti, M., Filippini, A., Ulisse, S."Expression and prognostic value of the cell polarity PAR complex members in thyroid cancer". International Journal of Oncology 50.4 (2017): 1413-1422.
Chicago
Tuccilli, C., Baldini, E., Arlot-Bonnemains, Y., Chesnel, F., Sorrenti, S., De Vito, C., D'Armiento, E., Antonelli, A., Fallahi, P., Watutantrige, S., Tartaglia, F., Barollo, S., Mian, C., Arcieri, S., Mascagni, D., Pironi, D., Bononi, M., Vergine, M., Monti, M., Filippini, A., Ulisse, S."Expression and prognostic value of the cell polarity PAR complex members in thyroid cancer". International Journal of Oncology 50, no. 4 (2017): 1413-1422. https://doi.org/10.3892/ijo.2017.3907
Follow us
  • Twitter
  • LinkedIn
  • Facebook
About
  • Spandidos Publications
  • Careers
  • Cookie Policy
  • Privacy Policy
How can we help?
  • Help
  • Live Chat
  • Contact
  • Email to our Support Team