Spandidos Publications Logo
  • About
    • About Spandidos
    • Aims and Scopes
    • Abstracting and Indexing
    • Editorial Policies
    • Reprints and Permissions
    • Job Opportunities
    • Terms and Conditions
    • Contact
  • Journals
    • All Journals
    • Oncology Letters
      • Oncology Letters
      • Information for Authors
      • Editorial Policies
      • Editorial Board
      • Aims and Scope
      • Abstracting and Indexing
      • Bibliographic Information
      • Archive
    • International Journal of Oncology
      • International Journal of Oncology
      • Information for Authors
      • Editorial Policies
      • Editorial Board
      • Aims and Scope
      • Abstracting and Indexing
      • Bibliographic Information
      • Archive
    • Molecular and Clinical Oncology
      • Molecular and Clinical Oncology
      • Information for Authors
      • Editorial Policies
      • Editorial Board
      • Aims and Scope
      • Abstracting and Indexing
      • Bibliographic Information
      • Archive
    • Experimental and Therapeutic Medicine
      • Experimental and Therapeutic Medicine
      • Information for Authors
      • Editorial Policies
      • Editorial Board
      • Aims and Scope
      • Abstracting and Indexing
      • Bibliographic Information
      • Archive
    • International Journal of Molecular Medicine
      • International Journal of Molecular Medicine
      • Information for Authors
      • Editorial Policies
      • Editorial Board
      • Aims and Scope
      • Abstracting and Indexing
      • Bibliographic Information
      • Archive
    • Biomedical Reports
      • Biomedical Reports
      • Information for Authors
      • Editorial Policies
      • Editorial Board
      • Aims and Scope
      • Abstracting and Indexing
      • Bibliographic Information
      • Archive
    • Oncology Reports
      • Oncology Reports
      • Information for Authors
      • Editorial Policies
      • Editorial Board
      • Aims and Scope
      • Abstracting and Indexing
      • Bibliographic Information
      • Archive
    • Molecular Medicine Reports
      • Molecular Medicine Reports
      • Information for Authors
      • Editorial Policies
      • Editorial Board
      • Aims and Scope
      • Abstracting and Indexing
      • Bibliographic Information
      • Archive
    • World Academy of Sciences Journal
      • World Academy of Sciences Journal
      • Information for Authors
      • Editorial Policies
      • Editorial Board
      • Aims and Scope
      • Abstracting and Indexing
      • Bibliographic Information
      • Archive
    • International Journal of Functional Nutrition
      • International Journal of Functional Nutrition
      • Information for Authors
      • Editorial Policies
      • Editorial Board
      • Aims and Scope
      • Abstracting and Indexing
      • Bibliographic Information
      • Archive
    • International Journal of Epigenetics
      • International Journal of Epigenetics
      • Information for Authors
      • Editorial Policies
      • Editorial Board
      • Aims and Scope
      • Abstracting and Indexing
      • Bibliographic Information
      • Archive
    • Medicine International
      • Medicine International
      • Information for Authors
      • Editorial Policies
      • Editorial Board
      • Aims and Scope
      • Abstracting and Indexing
      • Bibliographic Information
      • Archive
  • Articles
  • Information
    • Information for Authors
    • Information for Reviewers
    • Information for Librarians
    • Information for Advertisers
    • Conferences
  • Language Editing
Spandidos Publications Logo
  • About
    • About Spandidos
    • Aims and Scopes
    • Abstracting and Indexing
    • Editorial Policies
    • Reprints and Permissions
    • Job Opportunities
    • Terms and Conditions
    • Contact
  • Journals
    • All Journals
    • Biomedical Reports
      • Information for Authors
      • Editorial Policies
      • Editorial Board
      • Aims and Scope
      • Abstracting and Indexing
      • Bibliographic Information
      • Archive
    • Experimental and Therapeutic Medicine
      • Information for Authors
      • Editorial Policies
      • Editorial Board
      • Aims and Scope
      • Abstracting and Indexing
      • Bibliographic Information
      • Archive
    • International Journal of Epigenetics
      • Information for Authors
      • Editorial Policies
      • Editorial Board
      • Aims and Scope
      • Abstracting and Indexing
      • Bibliographic Information
      • Archive
    • International Journal of Functional Nutrition
      • Information for Authors
      • Editorial Policies
      • Editorial Board
      • Aims and Scope
      • Abstracting and Indexing
      • Bibliographic Information
      • Archive
    • International Journal of Molecular Medicine
      • Information for Authors
      • Editorial Policies
      • Editorial Board
      • Aims and Scope
      • Abstracting and Indexing
      • Bibliographic Information
      • Archive
    • International Journal of Oncology
      • Information for Authors
      • Editorial Policies
      • Editorial Board
      • Aims and Scope
      • Abstracting and Indexing
      • Bibliographic Information
      • Archive
    • Medicine International
      • Information for Authors
      • Editorial Policies
      • Editorial Board
      • Aims and Scope
      • Abstracting and Indexing
      • Bibliographic Information
      • Archive
    • Molecular and Clinical Oncology
      • Information for Authors
      • Editorial Policies
      • Editorial Board
      • Aims and Scope
      • Abstracting and Indexing
      • Bibliographic Information
      • Archive
    • Molecular Medicine Reports
      • Information for Authors
      • Editorial Policies
      • Editorial Board
      • Aims and Scope
      • Abstracting and Indexing
      • Bibliographic Information
      • Archive
    • Oncology Letters
      • Information for Authors
      • Editorial Policies
      • Editorial Board
      • Aims and Scope
      • Abstracting and Indexing
      • Bibliographic Information
      • Archive
    • Oncology Reports
      • Information for Authors
      • Editorial Policies
      • Editorial Board
      • Aims and Scope
      • Abstracting and Indexing
      • Bibliographic Information
      • Archive
    • World Academy of Sciences Journal
      • Information for Authors
      • Editorial Policies
      • Editorial Board
      • Aims and Scope
      • Abstracting and Indexing
      • Bibliographic Information
      • Archive
  • Articles
  • Information
    • For Authors
    • For Reviewers
    • For Librarians
    • For Advertisers
    • Conferences
  • Language Editing
Login Register Submit
  • This site uses cookies
  • You can change your cookie settings at any time by following the instructions in our Cookie Policy. To find out more, you may read our Privacy Policy.

    I agree
Search articles by DOI, keyword, author or affiliation
Search
Advanced Search
presentation
International Journal of Oncology
Join Editorial Board Propose a Special Issue
Print ISSN: 1019-6439 Online ISSN: 1791-2423
Journal Cover
September-2025 Volume 67 Issue 3

Full Size Image

Cover Legend PDF

Sign up for eToc alerts
Recommend to Library

Journals

International Journal of Molecular Medicine

International Journal of Molecular Medicine

International Journal of Molecular Medicine is an international journal devoted to molecular mechanisms of human disease.

International Journal of Oncology

International Journal of Oncology

International Journal of Oncology is an international journal devoted to oncology research and cancer treatment.

Molecular Medicine Reports

Molecular Medicine Reports

Covers molecular medicine topics such as pharmacology, pathology, genetics, neuroscience, infectious diseases, molecular cardiology, and molecular surgery.

Oncology Reports

Oncology Reports

Oncology Reports is an international journal devoted to fundamental and applied research in Oncology.

Experimental and Therapeutic Medicine

Experimental and Therapeutic Medicine

Experimental and Therapeutic Medicine is an international journal devoted to laboratory and clinical medicine.

Oncology Letters

Oncology Letters

Oncology Letters is an international journal devoted to Experimental and Clinical Oncology.

Biomedical Reports

Biomedical Reports

Explores a wide range of biological and medical fields, including pharmacology, genetics, microbiology, neuroscience, and molecular cardiology.

Molecular and Clinical Oncology

Molecular and Clinical Oncology

International journal addressing all aspects of oncology research, from tumorigenesis and oncogenes to chemotherapy and metastasis.

World Academy of Sciences Journal

World Academy of Sciences Journal

Multidisciplinary open-access journal spanning biochemistry, genetics, neuroscience, environmental health, and synthetic biology.

International Journal of Functional Nutrition

International Journal of Functional Nutrition

Open-access journal combining biochemistry, pharmacology, immunology, and genetics to advance health through functional nutrition.

International Journal of Epigenetics

International Journal of Epigenetics

Publishes open-access research on using epigenetics to advance understanding and treatment of human disease.

Medicine International

Medicine International

An International Open Access Journal Devoted to General Medicine.

Journal Cover
September-2025 Volume 67 Issue 3

Full Size Image

Cover Legend PDF

Sign up for eToc alerts
Recommend to Library

  • Article
  • Citations
    • Cite This Article
    • Download Citation
    • Create Citation Alert
    • Remove Citation Alert
    • Cited By
  • Similar Articles
    • Related Articles (in Spandidos Publications)
    • Similar Articles (Google Scholar)
    • Similar Articles (PubMed)
  • Purchase PDF
Review

A perspective on the chemical structures and molecular mechanisms of curcumin and its derivatives and analogs in cancer treatment (Review)

  • Authors:
    • Lujie Zhu
    • Yanghan Wang
    • Qilin Wang
  • View Affiliations / Copyright

    Affiliations: Shandong Key Laboratory of Applied Technology for Protein and Peptide Drugs, School of Pharmaceutical Sciences and Food Engineering, Liaocheng University, Liaocheng, Shandong 252059, P.R. China, Department of Biological Science, College of Agriculture and Biology, Liaocheng University, Liaocheng, Shandong 252059, P.R. China
  • Article Number: 75
    |
    Published online on: August 1, 2025
       https://doi.org/10.3892/ijo.2025.5782
  • Expand metrics +
Metrics: Total Views: 0 (Spandidos Publications: | PMC Statistics: )
Metrics: Total PDF Downloads: 0 (Spandidos Publications: | PMC Statistics: )
Cited By (CrossRef): 0 citations Loading Articles...

This article is mentioned in:


Abstract

Curcumin is a polyphenolic nutraceutical compound, which has a variety of pharmacological properties that may prevent or treat cancer, chronic inflammation, depression, anxiety and nerve damage. However, due to the poor solubility of curcumin in water and instability, it has limited applications. Therefore, a series of curcumin derivatives or analogs have been designed and synthesized to optimize the physicochemical and therapeutic properties and pharmacokinetic features of curcumin. Curcumin derivatives or analogs have been shown to possess beneficial biochemical effects, thus have been considered as potential medications. The present review summarized the structural characteristics and classification of available curcumin derivatives or analogs, and described the molecular mechanisms of curcumin and its derivatives as potential pharmaceutical drugs in various types of cancer, such as lung, prostate, breast and colorectal cancer. The present review also discussed the adverse effects and limitations of curcumin and its derivatives/analogs in preclinical and clinical trials. Analysis of the existing studies on curcumin may potentially contribute to the design and synthesis of innovative curcumin derivatives or analogs as drugs and tools in therapeutic, preventative and diagnostic medical applications in associated diseases.
View Figures

Figure 1

Molecular structures of ketone and
enol structures of curcumin. (A) Ketone and (B) enol. Under
alkaline conditions, the presence of two phenolic hydroxyl groups
at the ends of the molecular structure makes it prone to
conjugation, resulting in keto-enol tautomerism.

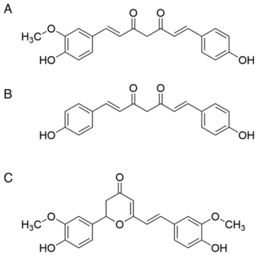
Figure 2

Molecular structures of curcuminoids.
(A) Demethoxycurcumin, (B) bisdemethoxycurcumin and (C)
cyclocurcumin.

Figure 3

Molecular structures of
demethylcurcumin and bisdemethylcurcumin. (A) Demethylcurcumin and
(B) bisdemethylcurcumin are the two main forms of curcumin
metabolized in the body. In contrast to curcumin, demethylcurcumin
and bisdemethylcurcumin are formed due to one or two methyl groups
on the hydroxyl oxygens on the aryl rings being replaced by
hydrogen, respectively.

Figure 4

Hydrogenated curcumin derivatives.
(A) Tetrahydrocurcumin, (B) hexahydrocurcumin and (C)
octahydrocurcumin. These three hydrogenated curcumins are the
metabolites of curcumin in the liver as well as in the intestinal
mucosa by phase I metabolism.

Figure 5

Halogenated curcumin derivative.
Phenolic hydroxyl groups on curcumin are replaced by halogens,
where X represents F, Cl or Br.

Figure 6

Dimethylaminomethyl curcumin
derivative. The methoxy group on one acyl ring is replaced by
dimethylaminomethyl, which increases the water solubility of the
curcumin derivative and the steric hindrance of the molecule to
protect the active phenolic hydroxyl group.

Figure 7

Monocarbonyl-modified compound. This
monocarbonyl curcumin analog has only one keto group in the
aliphatic chain, which makes its water solubility higher and more
stable.

Figure 8

Bis-imino and bis-amino curcumin
derivatives. (A) Bis-amino curcumin and (B) Bis-imino curcumin.

Figure 9

Aliphatic chain-modified substituent.
The carbon 4 atom between the β-diketones of curcumin is linked to
aromatic aldehydes with two phenolic hydroxyl groups.

Figure 10

Modified diketone derivative. In the
structure, the carbon-oxygen double bonds (carbonyl group) of
curcumin in the long unsaturated aliphatic chain are replaced with
carbon- nitrogen bonds.

Figure 11

Curcumin-piperlongumine hybrid
molecule. The curcumin-piperlongumine hybrid molecule is
synthesized using a molecular hybridization strategy based on the
structure of curcumin and piperlongumine, which reduces the
instability of the chemical structure of curcumin and the toxic
side effects of piperlongumine.

Figure 12

Curcumin metal-chelating derivative.
Curcumin is coordinated with the metal aluminum to form a
metal-chelating derivative.
View References

1 

Cheregi MC, Tirsoaga A, Ion C, Iorgulescu EE, David IG and Noor H: Curcumin electroanalysis at a disposable graphite electrode. Biosensors (Basel). 15:1372025. View Article : Google Scholar : PubMed/NCBI

2 

Monton C, Chuanchom P, Popanit P, Settharaksa S and Pathompak P: Simplex lattice design for optimization of the mass ratio of Curcuma longa L., Curcuma zedoaria (Christm.) Roscoe and Curcuma aromatica Salisb. to maximize curcuminoids content and antioxidant activity. Acta Pharm. 71:445–457. 2020. View Article : Google Scholar : PubMed/NCBI

3 

Abdul-Rahman T, Awuah WA, Mikhailova T, Kalmanovich J, Mehta A, Ng JC, Coghlan MA, Zivcevska M, Tedeschi AJ, de Oliveira EC, et al: Antioxidant, anti-inflammatory and epigenetic potential of curcumin in Alzheimer's disease. Biofactors. 50:693–708. 2024. View Article : Google Scholar : PubMed/NCBI

4 

Gao F, Liang W, Chen Q, Chen B, Liu Y, Liu Z, Xu X, Zhu R and Cheng L: A curcumin-decorated nanozyme with ros scavenging and anti-inflammatory properties for neuroprotection. Nanomaterials (Basel). 14:3892024. View Article : Google Scholar : PubMed/NCBI

5 

Miyazaki K, Xu C, Shimada M and Goel A: Curcumin and andrographis exhibit anti-tumor effects in colorectal cancer via activation of ferroptosis and dual suppression of glutathione peroxidase-4 and ferroptosis suppressor protein-1. Pharmaceuticals (Basel). 16:3832023. View Article : Google Scholar : PubMed/NCBI

6 

Li M, Guo T, Lin J, Huang X, Ke Q, Wu Y, Fang C and Hu C: Curcumin inhibits the invasion and metastasis of triple negative breast cancer via Hedgehog/Gli1 signaling pathway. J Ethnopharmacol. 283:1146892022. View Article : Google Scholar : PubMed/NCBI

7 

Zhang Y, Yang J, Gong Y, He S, Wen P, Jiang Y, He J, Zhu B and Li L: In vitro and in vivo supplementation with curcumin promotes hippocampal neuronal synapses development in rats by inhibiting GSK-3β and activating β-catenin. Mol Neurobiol. 61:2390–2410. 2024. View Article : Google Scholar : PubMed/NCBI

8 

Aktaş A, Yiğit F, Delibaş B, Kaplan AA, Hamour HM, Marangoz AH, Kaya A, Altun G and Kaplan S: The effects of Garcinia kola and curcumin on the dorsal root ganglion of the diabetic rat after peripheral nerve transection injury. J Chem Neuroanat. 136:1023952024. View Article : Google Scholar : PubMed/NCBI

9 

Chen L, Hua B, He Q, Han Z, Wang Y, Chen Y, Ni H, Zhu Z, Xu L, Yao M and Ni C: Curcumin analogue NL04 inhibits spinal cord central sensitization in rats with bone cancer pain by inhibiting NLRP3 inflammasome activation and reducing IL-1β production. Eur J Pharmacol. 970:1764802024. View Article : Google Scholar : PubMed/NCBI

10 

Fan X, Huang J, Zhang W, Su Z, Li J, Wu Z and Zhang P: A multifunctional, tough, stretchable, and transparent curcumin hydrogel with potent antimicrobial, antioxidative, anti-inflammatory, and angiogenesis capabilities for diabetic wound healing. ACS Appl Mater Interfaces. 16:9749–9767. 2024. View Article : Google Scholar : PubMed/NCBI

11 

Li S, Wei N, Wei J, Fang C, Feng T, Liu F, Liu X and Wu B: Curcumin and silver nanoparticles loaded antibacterial multifunctional pectin/gelatin films for food packaging applications. Int J Biol Macromol. 266((Pt 1)): 1312482024. View Article : Google Scholar : PubMed/NCBI

12 

Xu XY, Meng X, Li S, Gan RY, Li Y and Li HB: Bioactivity, health benefits, and related molecular mechanisms of curcumin: Current progress, challenges, and perspectives. Nutrients. 10:15532018. View Article : Google Scholar : PubMed/NCBI

13 

Tsuda T: Curcumin as a functional food-derived factor: Degradation products, metabolites, bioactivity, and future perspectives. Food Funct. 9:705–714. 2018. View Article : Google Scholar : PubMed/NCBI

14 

Heger M, van Golen RF, Broekgaarden M and Michel MC: The molecular basis for the pharmacokinetics and pharmacodynamics of curcumin and its metabolites in relation to cancer. Pharmacol Rev. 66:222–307. 2013. View Article : Google Scholar : PubMed/NCBI

15 

Zhang Q, Zhong Y, Yan LN, Sun X, Gong T and Zhang ZR: Synthesis and preliminary evaluation of curcumin analogues as cytotoxic agents. Bioorg Med Chem Lett. 21:1010–1014. 2011. View Article : Google Scholar : PubMed/NCBI

16 

Chainoglou E and Hadjipavlou-Litina D: Curcumin in health and diseases: Alzheimer's disease and curcumin analogues, derivatives, and hybrids. Int J Mol Sci. 21:19752020. View Article : Google Scholar : PubMed/NCBI

17 

Moreno-Q G, Herrera-R A, Yepes AF, Naranjo TW and Cardona-G W: Proapoptotic effect and molecular docking analysis of curcumin-resveratrol hybrids in colorectal cancer chemoprevention. Molecules. 27:34862022. View Article : Google Scholar : PubMed/NCBI

18 

Moreno-Quintero G, Betancur-Zapata E, Herrera-Ramírez A and Cardona-Galeano W: New hybrid scaffolds based on 5-FU/Curcumin: Synthesis, cytotoxic, antiproliferative and pro-apoptotic effect. Pharmaceutics. 15:12212023. View Article : Google Scholar : PubMed/NCBI

19 

Wang JQ, Wang X, Wang Y, Tang WJ, Shi JB and Liu XH: Novel curcumin analogue hybrids: Synthesis and anticancer activity. Eur J Med Chem. 156:493–509. 2018. View Article : Google Scholar : PubMed/NCBI

20 

Al-Thubaiti EH: Antibacterial and antioxidant activities of curcumin/Zn metal complex with its chemical characterization and spectroscopic studies. Heliyon. 9:e174682023. View Article : Google Scholar : PubMed/NCBI

21 

Sethiya A, Agarwal DK and Agarwal S: Current trends in drug delivery system of curcumin and its therapeutic applications. Mini Rev Med Chem. 20:1190–1232. 2020. View Article : Google Scholar : PubMed/NCBI

22 

Jagannathan R, Abraham PM and Poddar P: Temperature-dependent spectroscopic evidences of curcumin in aqueous medium: A mechanistic study of its solubility and stability. J Phys Chem B. 116:14533–14540. 2012. View Article : Google Scholar : PubMed/NCBI

23 

Leung MHM, Addicoat MA, Lincoln SF, Metha GF and Kee TW: Time-resolved keto-enol tautomerization of the medicinal pigment curcumin. Phys Chem Chem Phys. 26:14970–14979. 2024. View Article : Google Scholar : PubMed/NCBI

24 

Kharat M, Du Z, Zhang G and McClements DJ: Physical and chemical stability of curcumin in aqueous solutions and emulsions: Impact of pH, temperature, and molecular environment. J Agric Food Chem. 65:1525–1532. 2017. View Article : Google Scholar : PubMed/NCBI

25 

Lestari ML and Indrayanto G: Curcumin. Profiles Drug Subst Excip Relat Methodol. 39:113–204. 2014. View Article : Google Scholar : PubMed/NCBI

26 

Burapan S, Kim M and Han J: Curcuminoid demethylation as an alternative metabolism by human intestinal microbiota. J Agric Food Chem. 65:3305–3310. 2017. View Article : Google Scholar : PubMed/NCBI

27 

Somparn P, Phisalaphong C, Nakornchai S, Unchern S and Morales NP: Comparative antioxidant activities of curcumin and its demethoxy and hydrogenated derivatives. Biol Pharm Bull. 30:74–78. 2007. View Article : Google Scholar : PubMed/NCBI

28 

Jude S, Amalraj A, Kunnumakkara AB, Divya C, Löffler BM and Gopi S: Development of validated methods and quantification of curcuminoids and curcumin metabolites and their pharmacokinetic study of oral administration of complete natural turmeric formulation (Cureit™) in human plasma via UPLC/ESI-Q-TOF-MS spectrometry. Molecules. 23:24152018. View Article : Google Scholar : PubMed/NCBI

29 

Morales NP, Sirijaroonwong S, Yamanont P and Phisalaphong C: Electron paramagnetic resonance study of the free radical scavenging capacity of curcumin and its demethoxy and hydrogenated derivatives. Biol Pharm Bull. 38:1478–1483. 2015. View Article : Google Scholar : PubMed/NCBI

30 

Girst G, Ötvös SB, Fülöp F, Balogh GT and Hunyadi A: Pharmacokinetics-driven evaluation of the antioxidant activity of curcuminoids and their major reduced metabolites-A medicinal chemistry approach. Molecules. 26:35422021. View Article : Google Scholar : PubMed/NCBI

31 

Zhang ZB, Luo DD, Xie JH, Xian YF, Lai ZQ, Liu YH, Liu WH, Chen JN, Lai XP, Lin ZX and Su ZR: Curcumin's metabolites, tetrahydrocurcumin and octahydrocurcumin, possess superior anti-inflammatory effects in vivo through suppression of TAK1-NF-κB pathway. Front Pharmacol. 9:11812018. View Article : Google Scholar : PubMed/NCBI

32 

Almalki Z, Algregri M, Alhosin M, Alkhaled M, Damiati S and Zamzami MA: In vitro cytotoxicity of curcuminoids against head and neck cancer HNO97 cell line. Braz J Biol. 83:e2487082021. View Article : Google Scholar : PubMed/NCBI

33 

Chen CY, Lien JC, Chen CY, Hung CC and Lin HC: Design, synthesis and evaluation of novel derivatives of curcuminoids with cytotoxicity. Int J Mol Sci. 22:121712021. View Article : Google Scholar : PubMed/NCBI

34 

Pratti VL, Thomas M, Bhoite R and Satyavrat V: Investigating bioavailability of curcumin and piperine combination in comparison to turmeric rhizomes: An in vitro study. J Exp Pharmacol. 16:37–47. 2024. View Article : Google Scholar : PubMed/NCBI

35 

Iglesias DE, Cremonini E, Oteiza PI and Fraga CG: Curcumin mitigates TNFα-induced Caco-2 cell monolayer permeabilization through modulation of NF-κB, ERK1/2, and JNK pathways. Mol Nutr Food Res. 66:e21010332022. View Article : Google Scholar : PubMed/NCBI

36 

Huang Y, Cao S, Zhang Q, Zhang H, Fan Y, Qiu F and Kang N: Biological and pharmacological effects of hexahydrocurcumin, a metabolite of curcumin. Arch Biochem Biophys. 646:31–37. 2018. View Article : Google Scholar : PubMed/NCBI

37 

Schmitt F, Subramaniam D, Anant S, Padhye S, Begemann G, Schobert R and Biersack B: Halogenated Bis(methoxybenzylidene)-4-piperidone curcuminoids with improved anticancer activity. ChemMedChem. 13:1115–1123. 2018. View Article : Google Scholar : PubMed/NCBI

38 

Fang L, Gou S, Liu X, Cao F and Cheng L: Design, synthesis and anti-Alzheimer properties of dimethylaminomethyl-substituted curcumin derivatives. Bioorg Med Chem Lett. 24:40–43. 2014. View Article : Google Scholar : PubMed/NCBI

39 

Feng JY and Liu ZQ: Phenolic and enolic hydroxyl groups in curcumin: Which plays the major role in scavenging radicals? J Agric Food Chem. 57:11041–11046. 2009. View Article : Google Scholar : PubMed/NCBI

40 

Fang X, Fang L, Gou S and Cheng L: Design and synthesis of dimethylaminomethyl-substituted curcumin derivatives/analogues: Potent antitumor and antioxidant activity, improved stability and aqueous solubility compared with curcumin. Bioorg Med Chem Lett. 23:1297–1301. 2013. View Article : Google Scholar : PubMed/NCBI

41 

Cui L, Wang S, Zhang J, Wang M, Gao Y, Bai L, Zhang H, Ma G and Ba X: Effect of curcumin derivatives on hen egg white lysozyme amyloid fibrillation and their interaction study by spectroscopic methods. Spectrochim Acta A Mol Biomol Spectrosc. 223:1173652019. View Article : Google Scholar : PubMed/NCBI

42 

Huang M, Liu J, Fan Y, Sun J, Cheng JX, Zhang XF, Zhai BT and Guo DY: Development of curcumin-loaded galactosylated chitosan-coated nanoparticles for targeted delivery of hepatocellular carcinoma. Int J Biol Macromol. 253((Pt 6)): 1272192023. View Article : Google Scholar : PubMed/NCBI

43 

Liang G, Shao L, Wang Y, Zhao C, Chu Y, Xiao J, Zhao Y, Li X and Yang S: Exploration and synthesis of curcumin analogues with improved structural stability both in vitro and in vivo as cytotoxic agents. Bioorg Med Chem. 17:2623–2631. 2009. View Article : Google Scholar : PubMed/NCBI

44 

Zhang J, Feng Z, Wang C, Zhou H, Liu W, Kanchana K, Dai X, Zou P, Gu J, Cai L and Liang G: Curcumin derivative WZ35 efficiently suppresses colon cancer progression through inducing ROS production and ER stress-dependent apoptosis. Am J Cancer Res. 7:275–288. 2017.PubMed/NCBI

45 

Subhedar DD, Shaikh MH, Nawale L, Sarkar D, Khedkar VM and Shingate BB: Quinolidene based monocarbonyl curcumin analogues as promising antimycobacterial agents: Synthesis and molecular docking study. Bioorg Med Chem Lett. 27:922–928. 2017. View Article : Google Scholar : PubMed/NCBI

46 

Cao W, Yu P, Cao Y, Feng S and Yin N: Synthesis and antitumor evaluation of amino acid conjugates of monocarbonyl curcumin in hepatocellular carcinoma cell. Sci Rep. 15:81812025. View Article : Google Scholar : PubMed/NCBI

47 

Wen J, Zhao L, Li Z, Pi C, Feng X, Shi P, Yang H, Chen L, Wang X, Liu F, et al: Preparation and anti-colon cancer effect of a novel curcumin analogue (CA8): In vivo and in vitro evaluation. Front Pharmacol. 15:14646262024. View Article : Google Scholar : PubMed/NCBI

48 

Clariano M, Marques V, Vaz J, Awam S, Afonso MB, Perry MJ and Rodrigues CMP: Monocarbonyl analogs of curcumin with potential to treat colorectal cancer. Chem Biodivers. 20:e2023002222023. View Article : Google Scholar : PubMed/NCBI

49 

Mathur P, Mori M, Vyas H, Mor K, Jagtap J, Vadher S, Vyas K, Devkar R and Desai A: Synthesis of novel Bis-imino and Bis-amino curcuminoids for evaluation of their anticancer and antibacterial activity. ACS Omega. 7:45545–45555. 2022. View Article : Google Scholar : PubMed/NCBI

50 

Banuppriya G, Sribalan R, Padmini V and Shanmugaiah V: Biological evaluation and molecular docking studies of new curcuminoid derivatives: Synthesis and characterization. Bioorg Med Chem Lett. 26:1655–1659. 2016. View Article : Google Scholar : PubMed/NCBI

51 

Kotani R, Urano Y and Sugimoto Noguchi N: Decrease of amyloid-β levels by curcumin derivative via modulation of amyloid-β protein precursor trafficking. J Alzheimers Dis. 56:529–542. 2017. View Article : Google Scholar : PubMed/NCBI

52 

Zhang Q, Hui M, Chen G, Huang H, Wang S, Ye Y, Wang Y, Wang M, Zhang S, Huang L, et al: Curcumin-Piperlongumine hybrid molecule increases cell cycle arrest and apoptosis in lung cancer through JNK/c-Jun signaling pathway. J Agric Food Chem. 72:7244–7255. 2024. View Article : Google Scholar : PubMed/NCBI

53 

Corrêa RLGQ, de Moraes MMF, de Oliveira KT, Aoto YA, Coutinho-Neto MD and Homem-de-Mello P: Diving into the optoelectronic properties of Cu(II) and Zn(II) curcumin complexes: A DFT and wavefunction benchmark. J Mol Model. 29:1662023. View Article : Google Scholar : PubMed/NCBI

54 

Sareen R, Jain N and Dhar KL: Curcumin-Zn(II) complex for enhanced solubility and stability: An approach for improved delivery and pharmacodynamic effects. Pharm Dev Technol. 21:630–635. 2016. View Article : Google Scholar : PubMed/NCBI

55 

Valentini A, Conforti F, Crispini A, De Martino A, Condello R, Stellitano C, Rotilio G, Ghedini M, Federici G, Bernardini S and Pucci D: Synthesis, oxidant properties, and antitumoral effects of a heteroleptic palladium(II) complex of curcumin on human prostate cancer cells. J Med Chem. 52:484–491. 2009. View Article : Google Scholar : PubMed/NCBI

56 

John VD, Ummathur MB and Krishnankutty K: Synthesis, characterization, and antitumour studies of some curcuminoid analogues and their aluminum complexes. J Coord Chem. 66:1508–1518. 2013. View Article : Google Scholar

57 

Pucci D, Crispini A, Mendiguchía BS, Pirillo S, Ghedini M, Morelli S and De Bartolo L: Improving the bioactivity of Zn(II)-curcumin based complexes. Dalton Trans. 42:9679–9687. 2013. View Article : Google Scholar : PubMed/NCBI

58 

Liu X, Wu Z, Guo C, Guo H, Su Y, Chen Q, Sun C, Liu Q, Chen D and Mu H: Hypoxia responsive nano-drug delivery system based on angelica polysaccharide for liver cancer therapy. Drug Deliv. 29:138–148. 2022. View Article : Google Scholar : PubMed/NCBI

59 

De Leo V, Milano F, Mancini E, Comparelli R, Giotta L, Nacci A, Longobardi F, Garbetta A, Agostiano A and Catucci L: Encapsulation of curcumin-loaded liposomes for colonic drug delivery in a pH-responsive polymer cluster using a pH-driven and organic solvent-free process. Molecules. 23:7392018. View Article : Google Scholar : PubMed/NCBI

60 

Nikolić L, Urošević M, Nikolić V, Gajić I, Dinić A, Miljković V, Rakić S, Đokić S, Kesić J, Ilić-Stojanović S and Nikolić G: The formulation of curcumin: 2-hydroxypropyl-β-cyclodextrin complex with smart hydrogel for prolonged release of curcumin. Pharmaceutics. 15:3822023. View Article : Google Scholar : PubMed/NCBI

61 

Tan KX, Ng LE and Loo SCJ: Formulation development of a food-graded curcumin-loaded medium chain triglycerides-encapsulated kappa carrageenan (CUR-MCT-KC) gel bead based oral delivery formulation. Materials (Basel). 14:27832021. View Article : Google Scholar : PubMed/NCBI

62 

Wu MF, Huang YH, Chiu LY, Cherng SH, Sheu GT and Yang TY: Curcumin induces apoptosis of chemoresistant lung cancer cells via ROS-regulated p38 MAPK phosphorylation. Int J Mol Sci. 23:82482022. View Article : Google Scholar : PubMed/NCBI

63 

Zhi TX, Liu KQ, Cai KY, Zhao YC, Li ZW, Wang X, He XH and Sun XY: Anti-Lung cancer activities of 1,2,3-triazole curcumin derivatives via regulation of the MAPK/NF-κB/STAT3 signaling pathways. ChemMedChem. 17:e2021006762022. View Article : Google Scholar : PubMed/NCBI

64 

Tung CL, Jian YJ, Chen JC, Wang TJ, Chen WC, Zheng HY, Chang PY, Liao KS and Lin YW: Curcumin downregulates p38 MAPK-dependent X-ray repair cross-complement group 1 (XRCC1) expression to enhance cisplatin-induced cytotoxicity in human lung cancer cells. Naunyn Schmiedebergs Arch Pharmacol. 389:657–666. 2016. View Article : Google Scholar : PubMed/NCBI

65 

Lee J, Im YH, Jung HH, Kim JH, Park JO, Kim K, Kim WS, Ahn JS, Jung CW, Park YS, et al: Curcumin inhibits interferon-alpha induced NF-kappaB and COX-2 in human A549 non-small cell lung cancer cells. Biochem Biophys Res Commun. 334:313–318. 2005. View Article : Google Scholar : PubMed/NCBI

66 

Kashyap VK, Nagesh PKB, Singh AK, Massey A, Darkwah GP, George A, Khan S, Hafeez BB, Zafar N, Kumar S, et al: Curcumin attenuates smoking and drinking activated NF-κB/IL-6 inflammatory signaling axis in cervical cancer. Cancer Cell Int. 24:3432024. View Article : Google Scholar : PubMed/NCBI

67 

Wang JY, Wang X, Wang XJ, Zheng BZ, Wang Y, Wang X and Liang B: Curcumin inhibits the growth via Wnt/β-catenin pathway in non-small-cell lung cancer cells. Eur Rev Med Pharmacol Sci. 22:7492–7499. 2018.PubMed/NCBI

68 

Petiti J, Rosso V, Lo Iacono M, Panuzzo C, Calabrese C, Signorino E, Pironi L, Cartellà A, Bracco E, Pergolizzi B, et al: Curcumin induces apoptosis in JAK2-mutated cells by the inhibition of JAK2/STAT and mTORC1 pathways. J Cell Mol Med. 23:4349–4357. 2019. View Article : Google Scholar : PubMed/NCBI

69 

Feng C, Xia Y, Zou P, Shen M, Hu J, Ying S, Pan J, Liu Z, Dai X, Zhuge W, et al: Curcumin analog L48H37 induces apoptosis through ROS-mediated endoplasmic reticulum stress and STAT3 pathways in human lung cancer cells. Mol Carcinog. 56:1765–1777. 2017. View Article : Google Scholar : PubMed/NCBI

70 

Alexandrow MG, Song LJ, Altiok S, Gray J, Haura EB and Kumar NB: Curcumin: A novel Stat3 pathway inhibitor for chemoprevention of lung cancer. Eur J Cancer Prev. 21:407–412. 2012. View Article : Google Scholar : PubMed/NCBI

71 

Wu L, Guo L, Liang Y, Liu X, Jiang L and Wang L: Curcumin suppresses stem-like traits of lung cancer cells via inhibiting the JAK2/STAT3 signaling pathway. Oncol Rep. 34:3311–3317. 2015. View Article : Google Scholar : PubMed/NCBI

72 

Yang CL, Liu YY, Ma YG, Xue YX, Liu DG, Ren Y, Liu XB, Li Y and Li Z: Curcumin blocks small cell lung cancer cells migration, invasion, angiogenesis, cell cycle and neoplasia through Janus kinase-STAT3 signalling pathway. PLoS One. 7:e379602012. View Article : Google Scholar : PubMed/NCBI

73 

Xu X and Zhu Y: Curcumin inhibits human non-small cell lung cancer xenografts by targeting STAT3 pathway. Am J Transl Res. 9:3633–3641. 2017.PubMed/NCBI

74 

Shi HS, Gao X, Li D, Zhang QW, Wang YS, Zheng Y, Cai LL, Zhong RM, Rui A, Li ZY, et al: A systemic administration of liposomal curcumin inhibits radiation pneumonitis and sensitizes lung carcinoma to radiation. Int J Nanomedicine. 7:2601–2611. 2012.PubMed/NCBI

75 

Zhang L, Tao X, Fu Q, Ge C, Li R, Li Z, Zhu Y, Tian H, Li Q, Liu M, et al: Curcumin inhibits cell proliferation and migration in NSCLC through a synergistic effect on the TLR4/MyD88 and EGFR pathways. Oncol Rep. 42:1843–1855. 2019.PubMed/NCBI

76 

Bray F, Laversanne M, Sung H, Ferlay J, Siegel RL, Soerjomataram I and Jemal A: Global cancer statistics 2022: GLOBOCAN estimates of incidence and mortality worldwide for 36 cancers in 185 countries. CA Cancer J Clin. 74:229–263. 2024.PubMed/NCBI

77 

Cho HK, Park CG and Lim HB: Construction of a synergy combination model for turmeric (Curcuma longa L.) and Black Pepper (Piper nigrum L.) extracts: Enhanced anticancer activity against A549 and NCI-H292 human lung cancer cells. Curr Issues Mol Biol. 46:5551–5560. 2024. View Article : Google Scholar : PubMed/NCBI

78 

Tsai JR, Liu PL, Chen YH, Chou SH, Cheng YJ, Hwang JJ and Chong IW: Curcumin inhibits non-small cell lung cancer cells metastasis through the Adiponectin/NF-κb/MMPs signaling pathway. PLoS One. 10:e01444622015. View Article : Google Scholar : PubMed/NCBI

79 

Pi C, Zhao W, Zeng M, Yuan J, Shen H, Li K, Su Z, Liu Z, Wen J, Song X, et al: Anti-lung cancer effect of paclitaxel solid lipid nanoparticles delivery system with curcumin as co-loading partner in vitro and in vivo. Drug Deliv. 29:1878–1891. 2022. View Article : Google Scholar : PubMed/NCBI

80 

Liu F, Gao S, Yang Y, Zhao X, Fan Y, Ma W, Yang D, Yang A and Yu Y: Antitumor activity of curcumin by modulation of apoptosis and autophagy in human lung cancer A549 cells through inhibiting PI3K/Akt/mTOR pathway. Oncol Rep. 39:1523–1531. 2018.PubMed/NCBI

81 

Wang N, Feng T, Liu X and Liu Q: Curcumin inhibits migration and invasion of non-small cell lung cancer cells through up-regulation of miR-206 and suppression of PI3K/AKT/mTOR signaling pathway. Acta Pharm. 70:399–409. 2020. View Article : Google Scholar : PubMed/NCBI

82 

Jiao D, Wang J, Lu W, Tang X, Chen J, Mou H and Chen QY: Curcumin inhibited HGF-induced EMT and angiogenesis through regulating c-Met dependent PI3K/Akt/mTOR signaling pathways in lung cancer. Mol Ther Oncolytics. 3:160182016. View Article : Google Scholar : PubMed/NCBI

83 

Lin SS, Lai KC, Hsu SC, Yang JS, Kuo CL, Lin JP, Ma YS, Wu CC and Chung JG: Curcumin inhibits the migration and invasion of human A549 lung cancer cells through the inhibition of matrix metalloproteinase-2 and −9 and Vascular endothelial growth factor (VEGF). Cancer Lett. 285:127–133. 2009. View Article : Google Scholar : PubMed/NCBI

84 

Li X, Ma S, Yang P, Sun B, Zhang Y, Sun Y, Hao M, Mou R and Jia Y: Anticancer effects of curcumin on nude mice bearing lung cancer A549 cell subsets SP and NSP cells. Oncol Lett. 16:6756–6762. 2018.PubMed/NCBI

85 

Ashrafizadeh M, Najafi M, Makvandi P, Zarrabi A, Farkhondeh T and Samarghandian S: Versatile role of curcumin and its derivatives in lung cancer therapy. J Cell Physiol. 235:9241–9268. 2020. View Article : Google Scholar : PubMed/NCBI

86 

Weng W and Goel A: Curcumin and colorectal cancer: An update and current perspective on this natural medicine. Semin Cancer Biol. 80:73–86. 2022. View Article : Google Scholar : PubMed/NCBI

87 

Pan Y, Sun Y, Liu Z and Zhang C: miR1925p upregulation mediates the suppression of curcumin in human NSCLC cell proliferation, migration and invasion by targeting cMyc and inactivating the Wnt/βcatenin signaling pathway. Mol Med Rep. 22:1594–1604. 2020. View Article : Google Scholar : PubMed/NCBI

88 

Cheng MA, Chou FJ, Wang K, Yang R, Ding J, Zhang Q, Li G, Yeh S, Xu D and Chang C: Androgen receptor (AR) degradation enhancer ASC-J9® in an FDA-approved formulated solution suppresses castration resistant prostate cancer cell growth. Cancer Lett. 417:182–191. 2018. View Article : Google Scholar : PubMed/NCBI

89 

Dorai T, Cao YC, Dorai B, Buttyan R and Katz AE: Therapeutic potential of curcumin in human prostate cancer. III. Curcumin inhibits proliferation, induces apoptosis, and inhibits angiogenesis of LNCaP prostate cancer cells in vivo. Prostate. 47:293–303. 2001. View Article : Google Scholar : PubMed/NCBI

90 

Mukhopadhyay A, Bueso-Ramos C, Chatterjee D, Pantazis P and Aggarwal BB: Curcumin downregulates cell survival mechanisms in human prostate cancer cell lines. Oncogene. 20:7597–7609. 2001. View Article : Google Scholar : PubMed/NCBI

91 

Xie Q, Hu Y, Zhang C, Zhang C, Qin J, Zhao Y, An Q, Zheng J and Shi C: Curcumin blunts epithelial-mesenchymal transition to alleviate invasion and metastasis of prostate cancer through the JARID1D demethylation. Cancer Cell Int. 24:3032024. View Article : Google Scholar : PubMed/NCBI

92 

Li W, Wang F, Wang X, Xu W, Liu F, Hu R and Li S: Curcumin inhibits prostate cancer by upregulating miR-483-3p and inhibiting UBE2C. J Biochem Mol Toxicol. 38:e236452024. View Article : Google Scholar : PubMed/NCBI

93 

Chen Z, Ni R, Hu Y, Yang Y and Tian Y: Arnicolide D inhibits proliferation and induces apoptosis of osteosarcoma cells through PI3K/Akt/mTOR pathway. Anticancer Agents Med Chem. 24:1288–1294. 2024. View Article : Google Scholar : PubMed/NCBI

94 

Huang SL, Chang TC and Sun NK: Curcumin reduces paclitaxel resistance in ovarian carcinoma cells by upregulating SNIP1 and inhibiting NFκB activity. Biochem Pharmacol. 212:1155812023. View Article : Google Scholar : PubMed/NCBI

95 

Ismail NI, Othman I, Abas F, Lajis NH and Naidu R: The curcumin analogue, MS13(1,5-Bis(4-hydroxy-3-methoxyphenyl)-1,4-pentadiene-3-one), inhibits cell proliferation and induces apoptosis in primary and metastatic human colon cancer cells. Molecules. 25:37982020. View Article : Google Scholar : PubMed/NCBI

96 

Ahmad I, Hoque M, Alam SSM, Zughaibi TA and Tabrez S: Curcumin and plumbagin synergistically target the PI3K/Akt/mTOR pathway: A prospective role in cancer treatment. Int J Mol Sci. 24:66512023. View Article : Google Scholar : PubMed/NCBI

97 

Qiao X, Zheng K, Ye L, Yang J, Cui R, Shan Y, Li X, Li H, Zhu Q, Zhao Z, et al: NL13, a novel curcumin analogue and polo like kinase 4 inhibitor, induces cell cycle arrest and apoptosis in prostate cancer models. Br J Pharmacol. 181:4658–4676. 2024. View Article : Google Scholar : PubMed/NCBI

98 

Li J, Wang X, Xue L and He Q: Exploring the therapeutic mechanism of curcumin in prostate cancer using network pharmacology and molecular docking. Heliyon. 10:e331032024. View Article : Google Scholar : PubMed/NCBI

99 

Zhu J, Li Q, Wu Z, Xu Y and Jiang R: Curcumin for treating breast cancer: A review of molecular mechanisms, combinations with anticancer drugs, and nanosystems. Pharmaceutics. 16:792024. View Article : Google Scholar : PubMed/NCBI

100 

El-Far AH, Saddiq AA, Mohamed SA, Almaghrabi OA and Mousa SA: Curcumin and thymoquinone combination attenuates breast cancer cell lines' progression. Integr Cancer Ther. 21:153473542210995372022. View Article : Google Scholar : PubMed/NCBI

101 

Sarkar E, Kotiya A, Khan A, Bhuyan R, Raza ST, Misra A and Mahdi AA: The combination of curcumin and doxorubicin on targeting PI3K/AKT/mTOR signaling pathway: An in vitro and molecular docking study for inhibiting the survival of MDA-MB-231. In Silico Pharmacol. 12:582024. View Article : Google Scholar : PubMed/NCBI

102 

Alqahtani AM, Chidambaram K, Pino-Figueroa A, Chandrasekaran B, Dhanaraj P and Venkatesan K: Curcumin-Celecoxib: A synergistic and rationale combination chemotherapy for breast cancer. Eur Rev Med Pharmacol Sci. 25:1916–1927. 2021.PubMed/NCBI

103 

Wang X, Zhang L and Si H: Combining luteolin and curcumin synergistically suppresses triple-negative breast cancer by regulating IFN and TGF-β signaling pathways. Biomed Pharmacother. 178:1172212024. View Article : Google Scholar : PubMed/NCBI

104 

Vahedi F, Javan B, Sharbatkhari M, Soltani A, Shafiee M, Memarian A and Erfani-Moghadam V: Synergistic anticancer effects of co-delivery of linc-RoR siRNA and curcumin using polyamidoamine dendrimers against breast cancer. Biochem Biophys Res Commun. 705:1497292024. View Article : Google Scholar : PubMed/NCBI

105 

Palacios-Navarro L, Crispin LA, Muñoz JP and Calaf GM: Effects of curcumin and estrogen receptor alpha in luminal breast cancer cells. Diagnostics (Basel). 14:17852024. View Article : Google Scholar : PubMed/NCBI

106 

Nishimura FG, Sampaio BB, do Couto GO, da Silva AD, da Silva WJ, Peronni KC, Evangelista AF, Hossain M, Dimmock JR, Bandy B, et al: The transcriptome of BT-20 Breast cancer cells exposed to curcumin analog NC2603 reveals a relationship between EGR3 gene modulation and cell migration inhibition. Molecules. 29:13662024. View Article : Google Scholar : PubMed/NCBI

107 

Huai Z, Li Z, Xue W, Li S, Huang Y, Cao X, Wei Q and Wang Y: Novel curcumin derivatives N17 exert anti-cancer effects through the CSNK1G3/AKT axis in triple-negative breast cancer. Biochem Pharmacol. 229:1164722024. View Article : Google Scholar : PubMed/NCBI

108 

Novitasari D, Nakamae I, Jenie RI, Yoneda-Kato N, Kato JY and Meiyanto E: Pentagamavunone-1 inhibits aggressive breast cancer cell proliferation through mitotic catastrophe and ROS-mediated activities: In vitro and in vivo studies. Saudi Pharm J. 32:1018922024. View Article : Google Scholar : PubMed/NCBI

109 

Nishimura FG, Sampaio BB, Komoto TT, da Silva WJ, da Costa MMG, Haddad GI, Peronni KC, Evangelista AF, Hossain M, Dimmock JR, et al: Exploring CDKN1A upregulation mechanisms: Insights into cell cycle arrest induced by NC2603 curcumin analog in MCF-7 breast cancer cells. Int J Mol Sci. 25:49892024. View Article : Google Scholar : PubMed/NCBI

110 

Verderio P, Pandolfi L, Mazzucchelli S, Marinozzi MR, Vanna R, Gramatica F, Corsi F, Colombo M, Morasso C and Prosperi D: Antiproliferative effect of ASC-J9 delivered by PLGA nanoparticles against estrogen-dependent breast cancer cells. Mol Pharm. 11:2864–2875. 2014. View Article : Google Scholar : PubMed/NCBI

111 

Zhang B, Deng Y, Xu D and Zhao X: Dimethylcurcumin and copper sulfate-loaded silk nanoparticles for synergistic therapy against breast cancer. ACS Biomater Sci Eng. 11:1539–1548. 2025. View Article : Google Scholar : PubMed/NCBI

112 

Nautiyal J, Banerjee S, Kanwar SS, Yu Y, Patel BB, Sarkar FH and Majumdar AP: Curcumin enhances dasatinib-induced inhibition of growth and transformation of colon cancer cells. Int J Cancer. 128:951–961. 2011. View Article : Google Scholar : PubMed/NCBI

113 

Villegas C, Perez R, Sterner O, González-Chavarría I and Paz C: Curcuma as an adjuvant in colorectal cancer treatment. Life Sci. 286:1200432021. View Article : Google Scholar : PubMed/NCBI

114 

Liu C, Rokavec M, Huang Z and Hermeking H: Curcumin activates a ROS/KEAP1/NRF2/miR-34a/b/c cascade to suppress colorectal cancer metastasis. Cell Death Differ. 30:1771–1785. 2023. View Article : Google Scholar : PubMed/NCBI

115 

Sazanov AA, Kiselyova EV, Zakharenko AA, Romanov MN and Zaraysky MI: Plasma and saliva miR-21 expression in colorectal cancer patients. J Appl Genet. 58:231–237. 2017. View Article : Google Scholar : PubMed/NCBI

116 

Mudduluru G, George-William JN, Muppala S, Asangani IA, Kumarswamy R, Nelson LD and Allgayer H: Curcumin regulates miR-21 expression and inhibits invasion and metastasis in colorectal cancer. Biosci Rep. 31:185–197. 2011. View Article : Google Scholar : PubMed/NCBI

117 

Roy S, Yu Y, Padhye SB, Sarkar FH and Majumdar AP: Difluorinated-curcumin (CDF) restores PTEN expression in colon cancer cells by down-regulating miR-21. PLoS One. 8:e685432013. View Article : Google Scholar : PubMed/NCBI

118 

Dal Z and Aru B: The role of curcumin on apoptosis and NLRP3 inflammasome-dependent pyroptosis on colorectal cancer in vitro. Turk J Med Sci. 53:883–893. 2023. View Article : Google Scholar : PubMed/NCBI

119 

Hosseini SS, Reihani RZ, Doustvandi MA, Amini M, Zargari F, Baradaran B, Yari A, Hashemi M, Tohidast M and Mokhtarzadeh A: Synergistic anticancer effects of curcumin and crocin on human colorectal cancer cells. Mol Biol Rep. 49:8741–8752. 2022. View Article : Google Scholar : PubMed/NCBI

120 

Kunnumakkara AB, Diagaradjane P, Guha S, Deorukhkar A, Shentu S, Aggarwal BB and Krishnan S: Curcumin sensitizes human colorectal cancer xenografts in nude mice to gamma-radiation by targeting nuclear factor-kappaB-regulated gene products. Clin Cancer Res. 14:2128–2136. 2008. View Article : Google Scholar : PubMed/NCBI

121 

Reddy S, Rishi AK, Xu H, Levi E, Sarkar FH and Majumdar AP: Mechanisms of curcumin- and EGF-receptor related protein (ERRP)-dependent growth inhibition of colon cancer cells. Nutr Cancer. 55:185–194. 2006. View Article : Google Scholar : PubMed/NCBI

122 

Sun H, Liao F, Tian Y, Lei Y, Fu Y and Wang J: Molecular-Scale investigations reveal the effect of natural polyphenols on BAX/Bcl-2 interactions. Int J Mol Sci. 25:24742024. View Article : Google Scholar : PubMed/NCBI

123 

Sha J, Li J, Wang W, Pan L, Cheng J, Li L, Zhao H and Lin W: Curcumin induces G0/G1 arrest and apoptosis in hormone independent prostate cancer DU-145 cells by down regulating notch signaling. Biomed Pharmacother. 84:177–184. 2016. View Article : Google Scholar : PubMed/NCBI

124 

Liao H, Wang Z, Deng Z, Ren H and Li X: Curcumin inhibits lung cancer invasion and metastasis by attenuating GLUT1/MT1-MMP/MMP2 pathway. Int J Clin Exp Med. 8:8948–8957. 2015.PubMed/NCBI

125 

Mohankumar K, Francis AP, Pajaniradje S and Rajagopalan R: Synthetic curcumin analog: Inhibiting the invasion, angiogenesis, and metastasis in human laryngeal carcinoma cells via NF-kB pathway. Mol Biol Rep. 48:6065–6074. 2021. View Article : Google Scholar : PubMed/NCBI

126 

Fernandez-Muñoz KV, Sánchez-Barrera CÁ, Meraz-Ríos M, Reyes JL, Pérez-Yépez EA, Ortiz-Melo MT, Terrazas LI and Mendoza-Rodriguez MG: Natural alternatives in the treatment of colorectal cancer: A mechanisms perspective. Biomolecules. 15:3262025. View Article : Google Scholar : PubMed/NCBI

127 

Shadnoush M, Momenan M, Seidel V, Tierling S, Fatemi N, Nazemalhosseini-Mojarad E, Norooz MT and Cheraghpour M: A comprehensive update on the potential of curcumin to enhance chemosensitivity in colorectal cancer. Pharmacol Rep. 77:103–123. 2025. View Article : Google Scholar : PubMed/NCBI

128 

Imtiaz I, Schloss J and Bugarcic A: Interplay between traditional and scientific knowledge: Phytoconstituents and their roles in lung and colorectal cancer signaling pathways. Biomolecules. 15:3802025. View Article : Google Scholar : PubMed/NCBI

129 

Guo Y, Su J, Jiang S, Xu Y, Dou B, Li T, Zhu J and He K: Transcriptomics and metabonomics study on the effect of exercise combined with curcumin supplementation on breast cancer in mice. Heliyon. 10:e288072024. View Article : Google Scholar : PubMed/NCBI

130 

Sowa-Kasprzak K, Józkowiak M, Olender D, Pawełczyk A, Piotrowska-Kempisty H and Zaprutko L: Curcumin-Triterpene type hybrid as effective sonosensitizers for sonodynamic therapy in oral squamous cell carcinoma. Pharmaceutics. 15:20082023. View Article : Google Scholar : PubMed/NCBI

131 

Semlali A, Beji S, Ajala I, Al-Zharani M and Rouabhia M: Synergistic effects of new curcumin analog (PAC) and cisplatin on oral cancer therapy. Curr Issues Mol Biol. 45:5018–5035. 2023. View Article : Google Scholar : PubMed/NCBI

132 

Lee AY, Fan CC, Chen YA, Cheng CW, Sung YJ, Hsu CP and Kao TY: Curcumin inhibits invasiveness and epithelial-mesenchymal transition in oral squamous cell carcinoma through reducing matrix metalloproteinase 2, 9 and modulating p53-E-cadherin pathway. Integr Cancer Ther. 14:484–490. 2015. View Article : Google Scholar : PubMed/NCBI

133 

Li Y, Deng X, Tan X, Li Q, Yu Z, Wu W, Ma X, Zeng J and Wang X: Protective role of curcumin in disease progression from non-alcoholic fatty liver disease to hepatocellular carcinoma: a meta-analysis. Front Pharmacol. 15:13431932024. View Article : Google Scholar : PubMed/NCBI

134 

Man S, Yao J, Lv P, Liu Y, Yang L and Ma L: Curcumin-enhanced antitumor effects of sorafenib via regulating the metabolism and tumor microenvironment. Food Funct. 11:6422–6432. 2020. View Article : Google Scholar : PubMed/NCBI

135 

Huang T, Chen H, Pan H, Wu T, Ren X, Qin L, Yuan K and He F: Comprehensive analysis of bioinformatics and system biology reveals the association between Girdin and hepatocellular carcinoma. PLoS One. 19:e03155342024. View Article : Google Scholar : PubMed/NCBI

136 

Han H, Alsayed AMM, Wang Y, Yan Q, Shen A, Zhang J, Ye Y, Liu Z, Wang K and Zheng X: Discovery of β-cyclocitral-derived mono-carbonyl curcumin analogs as anti-hepatocellular carcinoma agents via suppression of MAPK signaling pathway. Bioorg Chem. 132:1063582023. View Article : Google Scholar : PubMed/NCBI

137 

Mukherjee D, Dash P, Ramadass B and Mangaraj M: Nanocurcumin in oral squamous cancer cells and its efficacy as a chemo-adjuvant. Cureus. 14:e246782022.PubMed/NCBI

138 

Lakshmanan A, Akasov RA, Sholina NV, Demina PA, Generalova AN, Gangadharan A, Sardar DK, Lankamsetty KB, Khochenkov DA, Khaydukov EV, et al: Nanocurcumin-loaded UCNPs for cancer theranostics: Physicochemical properties, in vitro toxicity, and in vivo imaging studies. Nanomaterials (Basel). 11:22342021. View Article : Google Scholar : PubMed/NCBI

139 

Louisa M, Wanafri E, Arozal W, Sandhiutami NMD and Basalamah AM: Nanocurcumin preserves kidney function and haematology parameters in DMBA-induced ovarian cancer treated with cisplatin via its antioxidative and anti-inflammatory effect in rats. Pharm Biol. 61:298–305. 2023. View Article : Google Scholar : PubMed/NCBI

140 

Mehrab H, Sharifi M, Akhavan A, Aarabi MH, Mansourian M, Mosavi E and Moghaddas A: Curcumin supplementation prevents cisplatin-induced nephrotoxicity: A randomized, double-blinded, and placebo-controlled trial. Res Pharm Sci. 18:648–662. 2023. View Article : Google Scholar : PubMed/NCBI

141 

Ramezani V, Ghadirian S, Shabani M, Boroumand MA, Daneshvar R and Saghafi F: Efficacy of curcumin for amelioration of radiotherapy-induced oral mucositis: A preliminary randomized controlled clinical trial. BMC Cancer. 23:3542023. View Article : Google Scholar : PubMed/NCBI

142 

Eghbali A, Adibifar M, Ghasemi A, Afzal RR, Moradi K, Eghbali A, Faress F and Ghaffari K: The effect of oral curcumin on vincristine-induced neuropathy in pediatric acute lymphoblastic leukemia: A double-blind randomized controlled clinical trial. BMC Cancer. 25:3442025. View Article : Google Scholar : PubMed/NCBI

143 

Kekatpure V, Subramaniam N, Sunny S, Nambiar S, Sarah T, Vasudevan V, Rao A, Murali A, Kolur T, Krishnamurthy A, et al: Two by two factorial design using metformin and curcumin for second primary head and neck cancer prevention trial. Asian Pac J Cancer Prev. 25:1935–1943. 2024. View Article : Google Scholar : PubMed/NCBI

144 

Dahka SM, Afsharfar M, Tajaddod S, Sohouli MH, Shekari S, Nafouti FB, Alizadeh A, Kachaei HS, Abbasi K, Mohseni GK, et al: Impact of curcumin supplementation on radiation dermatitis severity: A systematic review and meta-analysis of randomized controlled trials. Asian Pac J Cancer Prev. 24:783–789. 2023. View Article : Google Scholar : PubMed/NCBI

145 

Chaiworramukkul A, Seetalarom K, Saichamchan S and Prasongsook N: A Double-Blind, placebo-controlled randomized phase IIa study: Evaluating the effect of curcumin for treatment of cancer anorexia-cachexia syndrome in solid cancer patients. Asian Pac J Cancer Prev. 23:2333–2340. 2022. View Article : Google Scholar : PubMed/NCBI

146 

Panahi Y, Saberi-Karimian M, Valizadeh O, Behnam B, Saadat A, Jamialahmadi T, Majeed M and Sahebkar A: Effects of curcuminoids on systemic inflammation and quality of life in patients with colorectal cancer undergoing chemotherapy: A randomized controlled trial. Adv Exp Med Biol. 1328:1–9. 2021. View Article : Google Scholar : PubMed/NCBI

147 

Wei Y, Wei Y, Sheng L, Ma J, Su Z, Wen J, Li L, Jia Q, Liu H, Si H, et al: Construction of curcumin and paclitaxel co-loaded lipid nano platform and evaluation of its anti-hepatoma activity in vitro and pharmacokinetics in vivo. Int J Nanomedicine. 18:2087–2107. 2023. View Article : Google Scholar : PubMed/NCBI

148 

Guo F, Jiao Y, Ding W, Du Y, Luo S, Wang M, Wang Y, Wu F, Wang L and Yang G: Synergistic effects of multidrug/material combination deliver system for anti-mutidrug-resistant tumor. Int J Pharm. 649:1236692024. View Article : Google Scholar : PubMed/NCBI

149 

Abe T, Horisawa Y, Kikuchi O, Ozawa-Umeta H, Kishimoto A, Katsuura Y, Imaizumi A, Hashimoto T, Shirakawa K, Takaori-Kondo A, et al: Pharmacologic characterization of TBP1901, a prodrug form of aglycone curcumin, and CRISPR-Cas9 screen for therapeutic targets of aglycone curcumin. Eur J Pharmacol. 935:1753212022. View Article : Google Scholar : PubMed/NCBI

150 

Gutsche LC, Dörfler J and Hübner J: Curcumin as a complementary treatment in oncological therapy: A systematic review. Eur J Clin Pharmacol. 81:1–33. 2025. View Article : Google Scholar : PubMed/NCBI

151 

Zeng L, Yang T, Yang K, Yu G, Li J, Xiang W and Chen H: Efficacy and safety of curcumin and Curcuma longa extract in the treatment of arthritis: A systematic review and meta-analysis of randomized controlled trial. Front Immunol. 13:8918222022. View Article : Google Scholar : PubMed/NCBI

152 

Liu S, Liu J, He L, Liu L, Cheng B, Zhou F, Cao D and He Y: A comprehensive review on the benefits and problems of curcumin with respect to human health. Molecules. 27:44002022. View Article : Google Scholar : PubMed/NCBI

153 

Huang M, Zhai BT, Fan Y, Sun J, Shi YJ, Zhang XF, Zou JB, Wang JW and Guo DY: Targeted drug delivery systems for curcumin in breast cancer therapy. Int J Nanomedicine. 18:4275–4311. 2023. View Article : Google Scholar : PubMed/NCBI

154 

Alam MS, Anwar MJ, Maity MK, Azam F, Jaremko M and Emwas AH: the dynamic role of curcumin in mitigating human illnesses: Recent advances in therapeutic applications. Pharmaceuticals (Basel). 17:16742024. View Article : Google Scholar : PubMed/NCBI

155 

Anand P, Kunnumakkara AB, Newman RA and Aggarwal BB: Bioavailability of curcumin: Problems and promises. Mol Pharm. 4:807–818. 2007. View Article : Google Scholar : PubMed/NCBI

156 

Gupta SC, Patchva S and Aggarwal BB: Therapeutic roles of curcumin: Lessons learned from clinical trials. AAPS J. 15:195–218. 2013. View Article : Google Scholar : PubMed/NCBI

157 

Kanai M, Imaizumi A, Otsuka Y, Sasaki H, Hashiguchi M, Tsujiko K, Matsumoto S, Ishiguro H and Chiba T: Dose-escalation and pharmacokinetic study of nanoparticle curcumin, a potential anticancer agent with improved bioavailability, in healthy human volunteers. Cancer Chemother Pharmacol. 69:65–70. 2012. View Article : Google Scholar : PubMed/NCBI

158 

Mashayekhi-Sardoo H, Mashayekhi-Sardoo A, Roufogalis BD, Jamialahmadi T and Sahebkar A: Impact of curcumin on microsomal enzyme activities: Drug interaction and chemopreventive studies. Curr Med Chem. 28:7122–7140. 2021. View Article : Google Scholar : PubMed/NCBI

159 

Imam Z, Khasawneh M, Jomaa D, Iftikhar H and Sayedahmad Z: Drug induced liver injury attributed to a curcumin supplement. Case Rep Gastrointest Med. 2019:60294032019.PubMed/NCBI

160 

Lukefahr AL, McEvoy S, Alfafara C and Funk JL: Drug-induced autoimmune hepatitis associated with turmeric dietary supplement use. BMJ Case Rep. 2018:bcr20182246112018. View Article : Google Scholar : PubMed/NCBI

161 

Bhat PA, Chat OA and Dar AA: Exploiting co-solubilization of warfarin, curcumin, and rhodamine B for modulation of energy transfer: A micelle FRET On/Off switch. Chemphyschem. 17:2360–2372. 2016. View Article : Google Scholar : PubMed/NCBI

162 

Servida S, Piontini A, Gori F, Tomaino L, Moroncini G, De Gennaro Colonna V, La Vecchia C and Vigna L: Curcumin and gut microbiota: A narrative overview with focus on glycemic control. Int J Mol Sci. 25:77102024. View Article : Google Scholar : PubMed/NCBI

163 

Jabczyk M, Nowak J, Hudzik B and Zubelewicz-Szkodzińska B: Curcumin in metabolic health and disease. Nutrients. 13:44402021. View Article : Google Scholar : PubMed/NCBI

164 

Lin X, Bai D, Wei Z, Zhang Y, Huang Y, Deng H and Huang X: Curcumin attenuates oxidative stress in RAW264.7 cells by increasing the activity of antioxidant enzymes and activating the Nrf2-Keap1 pathway. PLoS One. 14:e02167112019. View Article : Google Scholar : PubMed/NCBI

165 

Zhou Y, Jia Z, Wang J, Huang S, Yang S, Xiao S, Xia D and Zhou Y: Curcumin reverses erastin-induced chondrocyte ferroptosis by upregulating Nrf2. Heliyon. 9:e201632023. View Article : Google Scholar : PubMed/NCBI

166 

Zhang J, Sun X, Chai X, Jiao Y, Sun J, Wang S, Yu H and Feng X: Curcumin mitigates oxidative damage in broiler liver and ileum caused by aflatoxin B1-contaminated feed through Nrf2 signaling pathway. Animals (Basel). 14:4092024. View Article : Google Scholar : PubMed/NCBI

167 

Chen B, Li H, Ou G, Ren L, Yang X and Zeng M: Curcumin attenuates MSU crystal-induced inflammation by inhibiting the degradation of IκBα and blocking mitochondrial damage. Arthritis Res Ther. 21:1932019. View Article : Google Scholar : PubMed/NCBI

168 

Kooshki L, Zarneshan SN, Fakhri S, Moradi SZ and Echeverria J: The pivotal role of JAK/STAT and IRS/PI3K signaling pathways in neurodegenerative diseases: Mechanistic approaches to polyphenols and alkaloids. Phytomedicine. 112:1546862023. View Article : Google Scholar : PubMed/NCBI

169 

Grilc NK, Sova M and Kristl J: Drug delivery strategies for curcumin and other natural Nrf2 modulators of oxidative stress-related diseases. Pharmaceutics. 13:21372021. View Article : Google Scholar : PubMed/NCBI

170 

Ruan H, Zeng X and Shen S: Mechanism of curcumin inhibiting NLRP3 inflammatory body and improving atherosclerotic endothelial cell injury. Discov Med. 36:121–128. 2024. View Article : Google Scholar : PubMed/NCBI

171 

Peng Y, Ao M, Dong B, Jiang Y, Yu L, Chen Z, Hu C and Xu R: Anti-Inflammatory effects of curcumin in the inflammatory diseases: Status, limitations and countermeasures. Drug Des Devel Ther. 15:4503–4525. 2021. View Article : Google Scholar : PubMed/NCBI

172 

Chen G, Liu S, Pan R, Li G, Tang H, Jiang M, Xing Y, Jin F, Lin L and Dong J: Curcumin attenuates gp120-Induced microglial inflammation by inhibiting autophagy via the PI3K pathway. Cell Mol Neurobiol. 38:1465–1477. 2018. View Article : Google Scholar : PubMed/NCBI

173 

Chowdhury I, Banerjee S, Driss A, Xu W, Mehrabi S, Nezhat C, Sidell N, Taylor RN and Thompson WE: Curcumin attenuates proangiogenic and proinflammatory factors in human eutopic endometrial stromal cells through the NF-κB signaling pathway. J Cell Physiol. 234:6298–6312. 2019. View Article : Google Scholar : PubMed/NCBI

174 

Li Y, Tan L, Liu F, Li M, Zeng S, Gui Y, Zhao Y and Wang JJ: Effects of soluble Antarctic krill protein-curcumin complex combined with photodynamic inactivation on the storage quality of shrimp. Food Chem. 403:1343882023. View Article : Google Scholar : PubMed/NCBI

175 

Wang JJ, He T, Chen L, Xu G, Dong S, Zhao Y, Zheng H, Liu Y and Zeng Q: Antibacterial efficiency of the curcumin-mediated photodynamic inactivation coupled with L-arginine against Vibrio parahaemolyticus and its application on shrimp. Int J Food Microbiol. 411:1105392024. View Article : Google Scholar : PubMed/NCBI

176 

Bhavya ML and Hebbar HU: Efficacy of blue LED in microbial inactivation: Effect of photosensitization and process parameters. Int J Food Microbiol. 290:296–304. 2019. View Article : Google Scholar : PubMed/NCBI

177 

de Andrade Neto JB, de Farias Cabral VP, Nogueira LF, da Silva CR, do Amaral Valente Sá LG, da Silva AR, da Silva WM, Silva J, Marinho ES, Cavalcanti BC, et al: Anti-MRSA activity of curcumin in planktonic cells and biofilms and determination of possible action mechanisms. Microb Pathog. 155:1048922021. View Article : Google Scholar : PubMed/NCBI

178 

El-Mahdy AM, Alqahtani M, Almukainzi M, Alghoribi MF and Abdel-Rhman SH: Effect of resveratrol and curcumin on gene expression of methicillin-resistant staphylococcus aureus (MRSA) toxins. J Microbiol Biotechnol. 34:141–148. 2024. View Article : Google Scholar : PubMed/NCBI

179 

Zheng D, Huang C, Huang H, Zhao Y, Khan MRU, Zhao H and Huang L: Antibacterial mechanism of curcumin: A review. Chem Biodivers. 17:e20001712020. View Article : Google Scholar : PubMed/NCBI

180 

Mounce BC, Cesaro T, Carrau L, Vallet T and Vignuzzi M: Curcumin inhibits Zika and chikungunya virus infection by inhibiting cell binding. Antiviral Res. 142:148–157. 2017. View Article : Google Scholar : PubMed/NCBI

181 

Li Y, Wang J, Liu Y, Luo X, Lei W and Xie L: Antiviral and virucidal effects of curcumin on transmissible gastroenteritis virus in vitro. J Gen Virol. 101:1079–1084. 2020. View Article : Google Scholar : PubMed/NCBI

182 

Anggakusuma Colpitts CC, Schang LM, Rachmawati H, Frentzen A, Pfaender S, Behrendt P, Brown RJ, Bankwitz D, Steinmann J, et al: Turmeric curcumin inhibits entry of all hepatitis C virus genotypes into human liver cells. Gut. 63:1137–1149. 2014. View Article : Google Scholar : PubMed/NCBI

183 

Thongsri P, Pewkliang Y, Borwornpinyo S, Wongkajornsilp A, Hongeng S and Sa-Ngiamsuntorn K: Curcumin inhibited hepatitis B viral entry through NTCP binding. Sci Rep. 11:191252021. View Article : Google Scholar : PubMed/NCBI

184 

Prasad S and Tyagi AK: Curcumin and its analogues: A potential natural compound against HIV infection and AIDS. Food Funct. 6:3412–3419. 2015. View Article : Google Scholar : PubMed/NCBI

185 

Zhang HS, Ruan Z and Sang WW: HDAC1/NFκB pathway is involved in curcumin inhibiting of Tat-mediated long terminal repeat transactivation. J Cell Physiol. 226:3385–3391. 2011. View Article : Google Scholar : PubMed/NCBI

186 

Dai J, Gu L, Su Y, Wang Q, Zhao Y, Chen X, Deng H, Li W, Wang G and Li K: Inhibition of curcumin on influenza A virus infection and influenzal pneumonia via oxidative stress, TLR2/4, p38/JNK MAPK and NF-κB pathways. Int Immunopharmacol. 54:177–187. 2018. View Article : Google Scholar : PubMed/NCBI

187 

Hesari A, Ghasemi F, Salarinia R, Biglari H, Hassan AT, Abdoli V and Mirzaei H: Effects of curcumin on NF-κB, AP-1, and Wnt/β-catenin signaling pathway in hepatitis B virus infection. J Cell Biochem. 119:7898–7904. 2018. View Article : Google Scholar : PubMed/NCBI

188 

Piccialli I, Tedeschi V, Caputo L, D'Errico S, Ciccone R, De Feo V, Secondo A and Pannaccione A: Exploring the therapeutic potential of phytochemicals in Alzheimer's disease: focus on polyphenols and monoterpenes. Front Pharmacol. 13:8766142022. View Article : Google Scholar : PubMed/NCBI

189 

Alamro AA, Alsulami EA, Almutlaq M, Alghamedi A, Alokail M and Haq SH: Therapeutic potential of vitamin D and curcumin in an in vitro model of Alzheimer disease. J Cent Nerv Syst Dis. 12:11795735209243112020. View Article : Google Scholar : PubMed/NCBI

190 

Yuan J, Botchway BOA, Zhang Y, Tan X, Wang X and Liu X: Curcumin can improve spinal cord injury by inhibiting TGF-β-SOX9 signaling pathway. Cell Mol Neurobiol. 39:569–575. 2019. View Article : Google Scholar : PubMed/NCBI

191 

Panzarini E, Mariano S, Tacconi S, Carata E, Tata AM and Dini L: Novel therapeutic delivery of nanocurcumin in central nervous system related disorders. Nanomaterials (Basel). 11:22020. View Article : Google Scholar : PubMed/NCBI

192 

Lee Y, Park HR, Lee JY, Kim J, Yang S, Lee C, Kim K, Kim HS, Chang SC and Lee J: Low-dose curcumin enhances hippocampal neurogenesis and memory retention in young mice. Arch Pharm Res. 46:423–437. 2023. View Article : Google Scholar : PubMed/NCBI

193 

Yavari N, Sharifi ZN, Rekabdar Y and Movassaghi S: Protective effect of curcumin on CA1 region of hippocampus in rat model of ischemia/ reperfusion injury. Galen Med J. 11:e10622022. View Article : Google Scholar : PubMed/NCBI

194 

Zhang L, Ma Z, Wu Z, Jin M, An L and Xue F: curcumin improves chronic pain induced depression through regulating serum metabolomics in a rat model of trigeminal neuralgia. J Pain Res. 13:3479–3492. 2020. View Article : Google Scholar : PubMed/NCBI

195 

Zhang L, Han Y, Wu X, Chen B, Liu S, Huang J, Kong L, Wang G and Ye Z: Research progress on the mechanism of curcumin in cerebral ischemia/reperfusion injury: A narrative review. Apoptosis. 28:1285–1303. 2023. View Article : Google Scholar : PubMed/NCBI

196 

Racchi M, Uberti D, Govoni S, Memo M, Lanni C, Vasto S, Candore G, Caruso C, Romeo L and Scapagnini G: Alzheimer's disease: New diagnostic and therapeutic tools. Immun Ageing. 5:72008. View Article : Google Scholar : PubMed/NCBI

197 

Scapagnini G, Colombrita C, Amadio M, D'Agata V, Arcelli E, Sapienza M, Quattrone A and Calabrese V: Curcumin activates defensive genes and protects neurons against oxidative stress. Antioxid Redox Signal. 8:395–403. 2006. View Article : Google Scholar : PubMed/NCBI

198 

Sadek MA, Rabie MA, El Sayed NS, Sayed HM and Kandil EA: Neuroprotective effect of curcumin against experimental autoimmune encephalomyelitis-induced cognitive and physical impairments in mice: An insight into the role of the AMPK/SIRT1 pathway. Inflammopharmacology. 32:1499–1518. 2024. View Article : Google Scholar : PubMed/NCBI

Related Articles

  • Abstract
  • Purchase
  • Download
  • Twitter
Copy and paste a formatted citation
Spandidos Publications style
Zhu L, Wang Y and Wang Q: A perspective on the chemical structures and molecular mechanisms of curcumin and its derivatives and analogs in cancer treatment (Review). Int J Oncol 67: 75, 2025.
APA
Zhu, L., Wang, Y., & Wang, Q. (2025). A perspective on the chemical structures and molecular mechanisms of curcumin and its derivatives and analogs in cancer treatment (Review). International Journal of Oncology, 67, 75. https://doi.org/10.3892/ijo.2025.5782
MLA
Zhu, L., Wang, Y., Wang, Q."A perspective on the chemical structures and molecular mechanisms of curcumin and its derivatives and analogs in cancer treatment (Review)". International Journal of Oncology 67.3 (2025): 75.
Chicago
Zhu, L., Wang, Y., Wang, Q."A perspective on the chemical structures and molecular mechanisms of curcumin and its derivatives and analogs in cancer treatment (Review)". International Journal of Oncology 67, no. 3 (2025): 75. https://doi.org/10.3892/ijo.2025.5782
Copy and paste a formatted citation
x
Spandidos Publications style
Zhu L, Wang Y and Wang Q: A perspective on the chemical structures and molecular mechanisms of curcumin and its derivatives and analogs in cancer treatment (Review). Int J Oncol 67: 75, 2025.
APA
Zhu, L., Wang, Y., & Wang, Q. (2025). A perspective on the chemical structures and molecular mechanisms of curcumin and its derivatives and analogs in cancer treatment (Review). International Journal of Oncology, 67, 75. https://doi.org/10.3892/ijo.2025.5782
MLA
Zhu, L., Wang, Y., Wang, Q."A perspective on the chemical structures and molecular mechanisms of curcumin and its derivatives and analogs in cancer treatment (Review)". International Journal of Oncology 67.3 (2025): 75.
Chicago
Zhu, L., Wang, Y., Wang, Q."A perspective on the chemical structures and molecular mechanisms of curcumin and its derivatives and analogs in cancer treatment (Review)". International Journal of Oncology 67, no. 3 (2025): 75. https://doi.org/10.3892/ijo.2025.5782
Follow us
  • Twitter
  • LinkedIn
  • Facebook
About
  • Spandidos Publications
  • Careers
  • Cookie Policy
  • Privacy Policy
How can we help?
  • Help
  • Live Chat
  • Contact
  • Email to our Support Team