Spandidos Publications Logo
  • About
    • About Spandidos
    • Aims and Scopes
    • Abstracting and Indexing
    • Editorial Policies
    • Reprints and Permissions
    • Job Opportunities
    • Terms and Conditions
    • Contact
  • Journals
    • All Journals
    • Oncology Letters
      • Oncology Letters
      • Information for Authors
      • Editorial Policies
      • Editorial Board
      • Aims and Scope
      • Abstracting and Indexing
      • Bibliographic Information
      • Archive
    • International Journal of Oncology
      • International Journal of Oncology
      • Information for Authors
      • Editorial Policies
      • Editorial Board
      • Aims and Scope
      • Abstracting and Indexing
      • Bibliographic Information
      • Archive
    • Molecular and Clinical Oncology
      • Molecular and Clinical Oncology
      • Information for Authors
      • Editorial Policies
      • Editorial Board
      • Aims and Scope
      • Abstracting and Indexing
      • Bibliographic Information
      • Archive
    • Experimental and Therapeutic Medicine
      • Experimental and Therapeutic Medicine
      • Information for Authors
      • Editorial Policies
      • Editorial Board
      • Aims and Scope
      • Abstracting and Indexing
      • Bibliographic Information
      • Archive
    • International Journal of Molecular Medicine
      • International Journal of Molecular Medicine
      • Information for Authors
      • Editorial Policies
      • Editorial Board
      • Aims and Scope
      • Abstracting and Indexing
      • Bibliographic Information
      • Archive
    • Biomedical Reports
      • Biomedical Reports
      • Information for Authors
      • Editorial Policies
      • Editorial Board
      • Aims and Scope
      • Abstracting and Indexing
      • Bibliographic Information
      • Archive
    • Oncology Reports
      • Oncology Reports
      • Information for Authors
      • Editorial Policies
      • Editorial Board
      • Aims and Scope
      • Abstracting and Indexing
      • Bibliographic Information
      • Archive
    • Molecular Medicine Reports
      • Molecular Medicine Reports
      • Information for Authors
      • Editorial Policies
      • Editorial Board
      • Aims and Scope
      • Abstracting and Indexing
      • Bibliographic Information
      • Archive
    • World Academy of Sciences Journal
      • World Academy of Sciences Journal
      • Information for Authors
      • Editorial Policies
      • Editorial Board
      • Aims and Scope
      • Abstracting and Indexing
      • Bibliographic Information
      • Archive
    • International Journal of Functional Nutrition
      • International Journal of Functional Nutrition
      • Information for Authors
      • Editorial Policies
      • Editorial Board
      • Aims and Scope
      • Abstracting and Indexing
      • Bibliographic Information
      • Archive
    • International Journal of Epigenetics
      • International Journal of Epigenetics
      • Information for Authors
      • Editorial Policies
      • Editorial Board
      • Aims and Scope
      • Abstracting and Indexing
      • Bibliographic Information
      • Archive
    • Medicine International
      • Medicine International
      • Information for Authors
      • Editorial Policies
      • Editorial Board
      • Aims and Scope
      • Abstracting and Indexing
      • Bibliographic Information
      • Archive
  • Articles
  • Information
    • Information for Authors
    • Information for Reviewers
    • Information for Librarians
    • Information for Advertisers
    • Conferences
  • Language Editing
Spandidos Publications Logo
  • About
    • About Spandidos
    • Aims and Scopes
    • Abstracting and Indexing
    • Editorial Policies
    • Reprints and Permissions
    • Job Opportunities
    • Terms and Conditions
    • Contact
  • Journals
    • All Journals
    • Biomedical Reports
      • Information for Authors
      • Editorial Policies
      • Editorial Board
      • Aims and Scope
      • Abstracting and Indexing
      • Bibliographic Information
      • Archive
    • Experimental and Therapeutic Medicine
      • Information for Authors
      • Editorial Policies
      • Editorial Board
      • Aims and Scope
      • Abstracting and Indexing
      • Bibliographic Information
      • Archive
    • International Journal of Epigenetics
      • Information for Authors
      • Editorial Policies
      • Editorial Board
      • Aims and Scope
      • Abstracting and Indexing
      • Bibliographic Information
      • Archive
    • International Journal of Functional Nutrition
      • Information for Authors
      • Editorial Policies
      • Editorial Board
      • Aims and Scope
      • Abstracting and Indexing
      • Bibliographic Information
      • Archive
    • International Journal of Molecular Medicine
      • Information for Authors
      • Editorial Policies
      • Editorial Board
      • Aims and Scope
      • Abstracting and Indexing
      • Bibliographic Information
      • Archive
    • International Journal of Oncology
      • Information for Authors
      • Editorial Policies
      • Editorial Board
      • Aims and Scope
      • Abstracting and Indexing
      • Bibliographic Information
      • Archive
    • Medicine International
      • Information for Authors
      • Editorial Policies
      • Editorial Board
      • Aims and Scope
      • Abstracting and Indexing
      • Bibliographic Information
      • Archive
    • Molecular and Clinical Oncology
      • Information for Authors
      • Editorial Policies
      • Editorial Board
      • Aims and Scope
      • Abstracting and Indexing
      • Bibliographic Information
      • Archive
    • Molecular Medicine Reports
      • Information for Authors
      • Editorial Policies
      • Editorial Board
      • Aims and Scope
      • Abstracting and Indexing
      • Bibliographic Information
      • Archive
    • Oncology Letters
      • Information for Authors
      • Editorial Policies
      • Editorial Board
      • Aims and Scope
      • Abstracting and Indexing
      • Bibliographic Information
      • Archive
    • Oncology Reports
      • Information for Authors
      • Editorial Policies
      • Editorial Board
      • Aims and Scope
      • Abstracting and Indexing
      • Bibliographic Information
      • Archive
    • World Academy of Sciences Journal
      • Information for Authors
      • Editorial Policies
      • Editorial Board
      • Aims and Scope
      • Abstracting and Indexing
      • Bibliographic Information
      • Archive
  • Articles
  • Information
    • For Authors
    • For Reviewers
    • For Librarians
    • For Advertisers
    • Conferences
  • Language Editing
Login Register Submit
  • This site uses cookies
  • You can change your cookie settings at any time by following the instructions in our Cookie Policy. To find out more, you may read our Privacy Policy.

    I agree
Search articles by DOI, keyword, author or affiliation
Search
Advanced Search
presentation
Molecular and Clinical Oncology
Join Editorial Board Propose a Special Issue
Print ISSN: 2049-9450 Online ISSN: 2049-9469
Journal Cover
December-2024 Volume 21 Issue 6

Full Size Image

Sign up for eToc alerts
Recommend to Library

Journals

International Journal of Molecular Medicine

International Journal of Molecular Medicine

International Journal of Molecular Medicine is an international journal devoted to molecular mechanisms of human disease.

International Journal of Oncology

International Journal of Oncology

International Journal of Oncology is an international journal devoted to oncology research and cancer treatment.

Molecular Medicine Reports

Molecular Medicine Reports

Covers molecular medicine topics such as pharmacology, pathology, genetics, neuroscience, infectious diseases, molecular cardiology, and molecular surgery.

Oncology Reports

Oncology Reports

Oncology Reports is an international journal devoted to fundamental and applied research in Oncology.

Experimental and Therapeutic Medicine

Experimental and Therapeutic Medicine

Experimental and Therapeutic Medicine is an international journal devoted to laboratory and clinical medicine.

Oncology Letters

Oncology Letters

Oncology Letters is an international journal devoted to Experimental and Clinical Oncology.

Biomedical Reports

Biomedical Reports

Explores a wide range of biological and medical fields, including pharmacology, genetics, microbiology, neuroscience, and molecular cardiology.

Molecular and Clinical Oncology

Molecular and Clinical Oncology

International journal addressing all aspects of oncology research, from tumorigenesis and oncogenes to chemotherapy and metastasis.

World Academy of Sciences Journal

World Academy of Sciences Journal

Multidisciplinary open-access journal spanning biochemistry, genetics, neuroscience, environmental health, and synthetic biology.

International Journal of Functional Nutrition

International Journal of Functional Nutrition

Open-access journal combining biochemistry, pharmacology, immunology, and genetics to advance health through functional nutrition.

International Journal of Epigenetics

International Journal of Epigenetics

Publishes open-access research on using epigenetics to advance understanding and treatment of human disease.

Medicine International

Medicine International

An International Open Access Journal Devoted to General Medicine.

Journal Cover
December-2024 Volume 21 Issue 6

Full Size Image

Sign up for eToc alerts
Recommend to Library

  • Article
  • Citations
    • Cite This Article
    • Download Citation
    • Create Citation Alert
    • Remove Citation Alert
    • Cited By
  • Similar Articles
    • Related Articles (in Spandidos Publications)
    • Similar Articles (Google Scholar)
    • Similar Articles (PubMed)
  • Download PDF
  • Download XML
  • View XML

  • Supplementary Files
    • Supplementary_Data1.pdf
    • Supplementary_Data2.pdf
Article Open Access

Inflammation‑based prognostic markers in patients with advanced or recurrent gastric cancer treated with nivolumab: Tokushukai REAl‑world Data project 02 (TREAD 02)

  • Authors:
    • Rai Shimoyama
    • Yoshinori Imamura
    • Kiyoaki Uryu
    • Takahiro Mase
    • Megu Ohtaki
    • Keiko Ohtani
    • Megumi Shiragami
    • Yoshiaki Fujimura
    • Maki Hayashi
    • Nobuaki Shinozaki
    • Hironobu Minami
  • View Affiliations / Copyright

    Affiliations: Department of General Surgery, Shonan Kamakura General Hospital, Kamakura, Kanagawa 247‑8533, Japan, Cancer Care Promotion Center, University of Fukui Hospital, Eiheiji, Fukui 910‑1193, Japan, Department of Medical Oncology, Yao Tokushukai General Hospital, Yao, Osaka 581‑0011, Japan, Department of Breast Surgery, Ogaki Tokushukai Hospital, Ogaki, Gifu 503‑0015, Japan, deCult Co., Ltd., Hatsukaichi, Hiroshima 739‑0413, Japan, Development Division, Tokushukai Information System Inc., Osaka 530‑0001, Japan, Oncology Project Secretariat, Mirai Iryo Research Center Inc., Tokyo 102‑0074, Japan, Department of Medical Oncology and Hematology, Kobe University Graduate School of Medicine, Kobe, Hyogo 650‑0017, Japan
    Copyright: © Shimoyama et al. This is an open access article distributed under the terms of Creative Commons Attribution License.
  • Article Number: 90
    |
    Published online on: October 3, 2024
       https://doi.org/10.3892/mco.2024.2788
  • Expand metrics +
Metrics: Total Views: 0 (Spandidos Publications: | PMC Statistics: )
Metrics: Total PDF Downloads: 0 (Spandidos Publications: | PMC Statistics: )
Cited By (CrossRef): 0 citations Loading Articles...

This article is mentioned in:



Abstract

In addition to blood test data, inflammation‑based prognostic markers have been used to predict the prognosis of various types of cancer. However, several of these previous studies may be outdated, as they were conducted prior to the widespread adoption of immune checkpoint inhibitors, leading to limited reports on their efficacy. The present study aimed to assess the accuracy of different inflammation‑based prognostic markers in patients with advanced or recurrent gastric cancer undergoing nivolumab monotherapy as salvage‑line chemotherapy. In a retrospective cohort study across Japan, a total of 159 patients with advanced or recurrent gastric cancer who were treated with nivolumab between September 2017 and March 2020 were selected. Blood test data were collected within 14 days of the start of chemotherapy and 17 inflammation‑based prognostic markers were evaluated. Cox regression analysis was performed using all patient background factors. Subsequently, model selection was performed using backward elimination based on the Akaike information criterion (AIC) to obtain effective background factors which could be assessed for their impact on patient survival. For each marker, the magnitude of the impact on the survival rate, after adjusting for the background factors, was assessed using concordance and AIC analyses. A total of 159 patients (female, 30.2%; median age, 70 years) were included in the present study. Most patients received platinum, fluoropyrimidine and taxane treatment, with a median of three prior lines of systemic therapy. With a median follow‑up of 3.3 months (95% CI, 2.5‑3.8), median overall survival and time to treatment failure were 3.8 months (95% CI, 3.3‑4.5) and 1.8 months (95% CI, 1.8‑2.3), respectively. Amongst the 17 markers analyzed, the modified Glasgow prognostic score (mGPS) was classed as the most useful factor that affected the survival rate of patients. Real‑world data showed that mGPS, an inflammation‑based prognostic marker, had the strongest correlation with prognosis in patients with advanced or recurrent gastric cancer receiving nivolumab monotherapy. The present study was registered as a clinical trial with the UMIN Clinical Trial Registry (http://www.umin.ac.jp/ctr/index.htm) under the trial registration number UMIN000050590 on 15th March 2023.

Introduction

Globally, gastric cancer ranks fifth in terms of cancer incidence and fourth in terms of mortality (1) and it is the second most common cancer and third highest cause of deaths for patients with cancer in Japan (2). Although the 5-year survival rate for all patients is >60%, the prognosis for patients with recurrent or metastatic disease remains poor, with a median overall survival (OS) of 6-13 months (2,3).

Immune checkpoint inhibitors have become the standard treatment option for recurrent or metastatic gastric cancer (4,5). Nivolumab is a fully humanized antibody drug active against programmed cell death-1 (PD-1). Nivolumab treatment increased survival in patients participating in the ATTRACTION-2 trial, which included placebo-controlled patients with advanced or recurrent gastric cancer who experienced standard second-line treatment failure (6). Nivolumab monotherapy was approved for use in Japan in September 2017 and was subsequently recommended as a third-line therapy for gastric cancer. (4,5). Trifluridine/tipiracil (FTD/TPI) was introduced as a salvage-line treatment option in August 2019 in Japan (7,8). Currently, nivolumab in combination with platinum and fluoropyrimidine is recommended as the first-line treatment for HER2-negative patients with gastric cancer based on the results of the CheckMate 649 and ATTRACTION-4 trials, following its approval in Japan in November 2021 (5,9,10).

Predicting the efficacy of immune checkpoint inhibitors is an important clinical challenge currently being explored. The Checkmate 649 and ATTRACTION-4 trials reported that programmed death ligand 1 (PD-L1) expression levels in tumor cells and tumor-associated immune cells, also known as the combined positive score, correlated with patient prognosis (9,10). However, the results from the ATTRACTION-2 trial, which evaluated nivolumab monotherapy as a third-line treatment, reported that PD-L1 expression did not correlate with patient prognosis (6). Pembrolizumab, a PD-1 antibody similar to nivolumab, has shown clinical benefits in solid tumors, including gastric cancer cases with microsatellite instability-high (MSI-H) or mismatch repair-deficient (dMMR) tumors, as well as those with high tumor mutation burden (TMB-H) (11-13). However, MSI-H/dMMR and TMB-H are relatively uncommon in gastric cancer, occurring in 6.7 and 5.2% of cases, respectively (14,15) Other therapeutic strategies, such as chemotherapy, also target the inflammatory micro-tumor environment, which suggests that the inflammatory micro-tumor environment may be a predictor of patient response to treatment with immune checkpoint inhibitors (16).

Several types of inflammation-based prognostic markers, based on a combination of blood-based parameters, have been studied for their association with clinical outcomes in patients with various types of cancer, including gastric cancer (17,18). In patients with cancer treated with immune checkpoint inhibitors, serum albumin levels (19), the Glasgow prognostic score (GPS) (20), neutrophil-lymphocyte ratio (NLR) (21) and lung immune prognostic index score (21,22) have been reported to be useful in predicting prognosis. These inflammation-based prognostic markers are readily accessible; however, numerous markers are in disarray, and it is unclear which markers should be prioritized in clinical decision making, particularly when using immune checkpoint inhibitors (23-38). In addition, while prognostic tools, such as the lung immune prognostic index (LIPI), have been developed in the era of immune checkpoint inhibitors (37), it has not been thoroughly reported whether they are superior to other existing markers.

Real-world data are the routine accumulation of specific information on patient health status and treatment through established mechanisms, such as the acquisition of electronic medical records (39). Although there are limitations in regard to the use of this type of data, due to incomplete datasets and heterogeneity in patient backgrounds, their utility in bridging the gap between clinical trials and routine clinical practice has been previously reported (40-44). The Tokushukai Group is the largest medical corporation in Japan and includes 75 hospitals. As all the hospitals in the Tokushukai Group use electronic medical records and are connected by a closed network, it is possible to simultaneously collect information from all of these hospitals. The present real-world clinical study aimed to utilize data from the Tokushukai Group medical database to assess and compare correlations between inflammation-based prognostic markers reported in patients with advanced or recurrent gastric cancer who received nivolumab monotherapy.

Materials and methods

Ethical approval and clinical trial registration

The Tokushukai Real-World Data project is a nationwide retrospective cohort study conducted across the Tokushukai Medical Group hospitals in Japan. It encompasses 46 hospitals equipped with a chemotherapy protocol system and Diagnosis Procedure Combination, totaling ~15,000 beds. The methodology of the present study has been outlined in our previously published study (45). The present protocol adhered to ethical guidelines for medical and biological research involving human subjects in Japan (46), as well as the principles of the Declaration of Helsinki. The present study was approved by the Ethics Committee of the Tokushukai Group in April 2020 (approval no. TGE01427-024) and was registered with the UMIN Clinical Trial Registry (http://www.umin.ac.jp/ctr/index.htm) under the trial registration number UMIN000050590 on 15th March 2023. Patients were informed about the present study using the opt-out patient consent method.

Patients

The present study evaluated patients with pathologically or radiologically confirmed advanced or recurrent gastric cancer who were treated with nivolumab monotherapy as a late-line chemotherapy, at Tokushukai Medical Group hospitals using the same medical record system (e-Karte; version 2.2 and Newtons2; version 2.2; Software Service Inc.) and chemotherapy protocol system (srvApmDrop; version 3.0.522; Software Service Inc.), between September 1, 2017 and March 31, 2020.

Patients with histological diagnoses other than adenocarcinoma were excluded from further analysis. Additional key exclusion criteria were the presence of active secondary cancer, inadequate treatment history and missing fundamental patient data, such as body weight and height.

Data collection

The present study evaluated eligible patients identified using electronic medical record data. Patient information, such as age, sex, body height, body weight, body surface area, BMI, Brinkman Index and the latest data on confirmation of survival or death (registration of survival or death in the electronic medical record), survival outcomes and diagnosis on medical receipt, which is a document that outlines the medical treatments received, costs incurred and insurance coverage applied in Japan, were extracted from the medical record system. Blood test data within 14 days of nivolumab treatment initiation were extracted from the electronic medical records. Information related to previous chemotherapy regimens, the start and end dates of chemotherapy and Eastern Cooperative Oncology Group performance status (PS) score (on a scale of 0-5, with higher scores indicating greater disability) were extracted from the chemotherapy protocol system. The linked cancer registry information, including diagnostic information (tumor site, pathology and stage), treatment details (surgery, endoscopic procedure, radiotherapy and systemic therapy) and prognosis (final date of survival confirmation, date of death and cause of death) were extracted from the National Cancer Registry Data of Japan (2,47). The date of the last confirmed survival was extracted from both the cancer registry and electronic medical records and the later date was used. Patients with an inadequate treatment history, such as previous or subsequent cancer treatment outside of Tokushukai Medical Group hospitals or whose records reported no detailed treatment information, were excluded from the study. Patients with missing laboratory data were also excluded.

Statistical analysis

Basic statistics, such as absolute and relative frequencies for categorical variables, maximum and minimum values and medians for continuous and discrete variables, were obtained to summarize the distribution of variables related to patient background factors, complications and other prognostic factors.

The primary endpoint evaluated in the present study was OS, which was defined as the time from the date of nivolumab treatment initiation to the date of death or final survival confirmation. Censored cases included patients who were alive at the study end-date or dropped out of the study for any reason. The secondary endpoint was time to treatment failure (TTF), which was defined as the duration from the start of nivolumab treatment to discontinuation of the treatment for any reason. For each prognostic marker tested, Kaplan-Meier curves for the occurrence of events associated with the study endpoint were obtained and log-rank and chi-squared tests were performed.

Cox regression analysis was performed using all prognostic factors at the start of nivolumab treatment (such as age, sex, BMI, Brinkman Index, PS, location of the primary site, stage, histology, HER2 status, previous surgery and previous radiotherapy) to examine their degree of impact on OS. Estimated hazard ratios (HRs) and 95% CI for each prognostic factor in association with OS were calculated using univariate and multivariate analyses. Subsequently, variable selection was performed using the Akaike information criterion (AIC) to identify useful background factors. A total of 17 inflammation-based prognostic markers were evaluated (Table SI). For each of these markers, the impact on the survival rate, after adjusting for background factors, was compared using concordance and AIC analyses. The concordance and AIC of each marker on TTF were also examined.

Survival analyses were performed using OS and TTF. A stratified Cox proportional model was used to obtain adjusted Kaplan-Meier survival curves for each prognostic marker, and its significance was obtained using a likelihood ratio test. The null hypothesis was that the item was not involved in the goodness-of-fit of the model.

All analyses were performed using R (version 4.2.2; R Foundation for Statistical Computing). All statistical assessments were two-sided and P<0.05 was considered to indicate a statistically significant difference. The present study was an exploratory study and did not consider multiplicity.

Results

Patient characteristics

According to the aforementioned protocol, a total of 240 patients were identified, of whom 159 met the inclusion criteria (Fig. 1; Table SII). Of the patients included in the present study, 25% were aged >75 years and almost 60% had primary metastatic cancer. Most patients received platinum, fluoropyrimidine and taxane treatment, with a median of three prior lines of systemic therapy (Table SIII).

Figure 1

Flow chart of the patient recruitment and enrollment process in the present study. W, weeks.

Survival

The OS and TTF were calculated using Kaplan-Meier curves (Fig. 2). The median follow-up period was 3.3 months (95% CI, 2.5-3.8) and the median OS and TTF were 3.8 months (95% CI, 3.3-4.5) and 1.8 months (95% CI, 1.8-2.3), respectively. The 1- and 2-year survival rates were 19.5% (95% CI, 13.0-29.2) and 15.6% (95% CI, 8.6-28.3), respectively. Sequential systemic therapy was administered in 21.4% of patients, which included taxanes (11.9%) and irinotecan (5.7%) (Table SIII). None of the patients received FTD/TPI.

Figure 2

Kaplan-Meier curves. (A) overall survival and (B) and time to treatment failure.

Cox regression analyses

Cox regression analyses demonstrated that no factors that significantly affected patient prognosis were identified in the univariate analysis (Table SIV). As a substantial proportion of patient data were not available (N/A), excluding these data could have affected the accuracy of the analysis. Therefore, N/A data was treated as a separate treatment group and included in the analyses.. The multivariate analysis showed an improved prognosis in patients who had received prior radiation therapy (HR, 0.22; 95% CI, 0.05-0.98). Age, sex, tumor location, tumor stage and previous radiotherapy treatment were selected as adjusting factors based on AIC criterion.

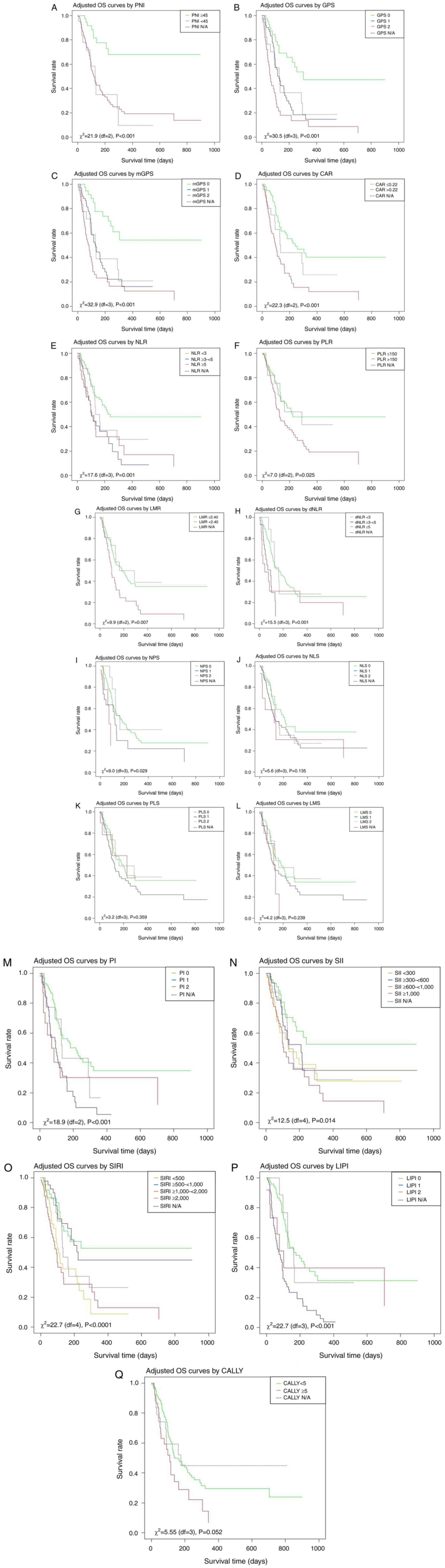
Comparison of markers

The concordance and AIC of the markers tested were analyzed after adjusting for background factors, such as age, sex, tumor location, tumor stage and previous radiotherapy, in relation to both OS (Fig. 3; Table SV) and TTF (Fig. S1; Table SVI). Most of the markers tested demonstrated a significant correlation with patient prognosis. The marker modified GPS (mGPS) showed the strongest correlation with prognosis, followed by GPS, which also exhibited a dose-response relationship. The Cox model involving mGPS showed the highest concordance and lowest AIC among all of the markers analyzed. The marker that demonstrated the highest correlation with TTF was also mGPS.

Figure 3

OS based on different scores and ratios. A log-rank test was used to calculate statistical significance. (A) PNI, (B) GPS, (C) mGPS, (D) CAR, (E) NLR, (F) PLR, (G) LMR, (H) dNLR, (I) NPS, (J) NLS, (K) PLS, (L) LMS, (M) PI, (N) SII, (O) SIRI, (P) LIPI and (Q) CALLY. CRP, C-reactive protein, df; degrees of freedom; OS, overall survival; PNI, prognostic nutritional index; GPS, Glasgow prognostic score; mGPS, modified GPS; CAR, CRP-to-albumin ratio; NLR, neutrophil-to-lymphocyte ratio; PLR, platelet-to-lymphocyte ratio; LMR, lymphocyte-to-monocyte ratio; dNLR, derived NLR; NPS, neutrophil-platelet score; NLS, neutrophil-lymphocyte score; PLS, platelet-lymphocyte score; LMS, lymphocyte-monocyte score; PI, prognostic index; SII, systemic immune-inflammation index; SIRI, systemic inflammation response index; LIPI, lung immune prognostic index; CALLY, CRP albumin lymphocyte index.

Discussion

The present study investigated the outcomes of late-line nivolumab monotherapy in patients with advanced or recurrent gastric cancer. The main aim of the present study was to analyze 17 inflammation-based prognostic markers to identify factors that correlated best with prognosis, thereby potentially contributing to the future use of prognostic factors in clinical practice. These findings demonstrated that mGPS exhibited the most robust correlation with prognosis among the markers assessed, which was consistent with our previous study in patients with chemotherapy-naive metastatic pancreatic cancer (48). A strength of the present study was the simultaneous evaluation of real-world data for the presence of various inflammation-based markers in patients with advanced or recurrent gastric cancer in the era of immune checkpoint inhibitors. While previous studies have examined the accuracy of similar markers (32,33), the present study included and compared novel markers whenever possible. In addition, many of the markers were reported prior to the use of immune checkpoint inhibitors, and the efficacy of the markers in treatment with immune checkpoint inhibitors was unclear.

In the ATTRACTION-2 trial, the median progression-free survival and median OS for nivolumab as third-line treatment were reported to be 1.6 and 5.3 months, respectively (6). The 1- and 2-year survival rates were 27.3 and 11.6%, respectively (49). In the present study, the median OS was 3.8 months, with 1- and 2-year survival rates of 19.5 and 15.6%, respectively. The trends observed between these two studies were similar; however, differences in the outcomes reported in clinical trials may be attributed to variations in patient characteristics and backgrounds between controlled trials and real-world clinical practice. For example, the median age was 62 years in the ATTRACTION-2 trial, compared with 70 years in the present study. In addition, patients were limited to PS 0 and 1 in the ATTRACTION-2 study, whereas 12.6% of the patients in the present study had PS 2. In the ATTRACTION-2 trial, 35.0% of the patients received subsequent systemic therapy, compared with 21.4% in the present study. Thus, patient conditions, including performance status and comorbidities, were often poorer in actual clinical practice compared with in clinical trials. Therefore, median OS in the present study may have been shorter compared with that reported in clinical trials. However, these findings suggest that the results of the present study reflected actual clinical practice (6).

In the present analysis, the only prognostic factor that remained in the multivariate analysis was prior radiotherapy treatment. The synergistic effects of radiotherapy and immune checkpoint inhibitors has previously been reported in preclinical studies (50,51). In addition, prior radiation therapy has been reported to be an independent prognostic factor in patients treated with nivolumab for non-small cell lung cancer (52). Potential synergistic mechanisms have been proposed between radiotherapy and immune checkpoint inhibitors, with several key factors contributing to this synergy. These include increased tumor immunogenicity, enhanced infiltration of T cells into tumors and reversal of immune suppression within the tumor microenvironment (53). In the present study, prior radiotherapy had a protective effect in patients with gastric cancer receiving nivolumab.

Among the 17 inflammation-based prognostic markers analyzed, mGPS and GPS were most effective in predicting outcomes in patients with gastric cancer undergoing nivolumab treatment. The mGPS scores used in the present study were obtained from Japan, where the cutoff value for C-reactive protein was reduced from 1.0-0.5 mg/dl. In a previous study, receiver operating characteristic curves for serum C-reactive protein (CRP) and albumin were generated to calculate the diagnostic cutoff point at which survival could be most accurately assessed (25). The results showed that CRP had a sensitivity of 79.5% and specificity of 51.1% when the cutoff value was set at 0.5 mg/dl, and albumin had a sensitivity of 80.7% and specificity of 36.7% when the cutoff value was set at 3.5 mg/dl. In the present study, the mGPS had a HR of 3.28 (95% CI, 1.68-6.38) for score 1 and a HR of 5.60 (95% CI, 2.90-10.80) for score 2, which indicated that the HR increased with increasing mGPS score. Similar associations were shown between GPS, HR and mGPS. The utility of the GPS for predicting patient prognosis has been previously reported. In the early 2010s, the Glasgow Inflammation Outcome study examined the utility of the GPS and reported its success compared with various biochemical tests and other major inflammation-based prognostic markers, including the NLR (54-56). In addition, in a previous systematic review, GPS was identified as an independent prognostic factor in various types of cancers, both operable and inoperable (57,58). However, the evidence showing that GPS is superior to other markers is primarily based on operable cases from the 2010s. Therefore, to date, there has not been sufficient investigation into its effectiveness in inoperable cancers treated with immune checkpoint inhibitors. The present study demonstrated that GPS was useful in patients receiving immune checkpoint inhibitors, and that the mGPS developed in Japan is as useful as conventional GPS.

Notably, LIPI is a novel indicator that has shown usefulness for predicting prognosis in patients treated with immune checkpoint inhibitors (37). In the present study, LIPI ranked fourth among 17 markers in terms of concordance and AIC; however, it did not surpass mGPS or GPS. LIPI was initially developed for lung cancer and has been validated through a previous meta-analysis (59). Additionally, it has shown prognostic value in metastatic renal cell carcinoma (60). However, its applicability to other types of cancer, such as gastric cancer, has not yet been reported. Nonetheless, the comprehensive comparison of these markers in the era of immune checkpoint inhibitors, as conducted in the present study, provided important insights that showed GPS as most useful prognostic marker, out of the 17 analyzed. The findings of the present study, which indicated that mGPS and GPS were the most accurate predictors of prognosis in patients with advanced or recurrent gastric cancer receiving nivolumab monotherapy, were consistent with previous reports prior to the era of immune checkpoint inhibitors (32,33). These markers could potentially be used as prognostic tools in routine clinical practice in the future.

The present study had a number of limitations. First, although the study was designed to examine prognostic factors in late-line nivolumab treatment, the results were of limited value in clinical practice because nivolumab is now often used as first-line therapy in patients with HER2-negative gastric cancer. Therefore, the usefulness of this marker in patients receiving concomitant chemotherapy as first-line therapy would necessitate a separate study. Second, the present study did not provide PD-L1 expression data because its utility in a late-line setting has not yet been reported and it is not typically measured in clinical practice (6). MSI, MMR and TMB status were also unavailable, as testing for these factors is not mandatory prior to drug administration (5). Therefore, the association between these status and inflammatory markers could not be analyzed. Third, several patient records did not show blood test results for C-reactive protein and albumin levels, which are not essential for chemotherapy induction. Accordingly, the full-set analysis included fewer patients than the total number of patients enrolled, which resulted in a moderate sample size being included in the final analyses. Finally, data on concomitant medications, including steroids and immunosuppressive drugs, which could affect the inflammatory markers tested, were not collected in the present study. This was due to the present study's moderate sample size of 159 patients, which limited the ability to assess the impact of the presence or absence of such relatively infrequently used concomitant medications. Despite these limitations, the comprehensive assessment of multiple inflammation-based prognostic markers for immune checkpoint inhibitor monotherapy using real-world data could be considered clinically valuable. Although the results of the present study may not significantly impact the choice of treatment regimen, these markers are useful for predicting patient prognosis with immune checkpoint inhibitor treatment, similar to their role with conventional cytotoxic anticancer drugs. These results may also help clinicians to navigate decisions on treatment adjustments for patients with advanced or recurrent gastric cancer.

In conclusion, the present study analyzed real-world data and demonstrated a strong prognostic value of various inflammation-based markers in patients with advanced or recurrent gastric cancer, treated with nivolumab as late-line chemotherapy. mGPS exhibited the most robust correlation with patient prognosis. Future studies should aim to collect and analyze data to assess the potential utility of these inflammatory markers for first-line treatment and preoperative treatment.

Supplementary Material

TTF based on different scores and ratios. A log-rank test was used to calculate statistical significance. (A) PNI, (B) GPS, (C) mGPS, (D) CAR, (E) NLR, (F) PLR, (G) LMR, (H) dNLR, (I) NPS, (J) NLS, (K) PLS, (L) LMS, (M) PI, (N) SII, (O) SIRI, (P) LIPI and (Q) CALLY. CRP, C-reactive protein, df; degrees of freedom; TTF, time to treatment failure; PNI, prognostic nutritional index; GPS, Glasgow prognostic score; mGPS, modified GPS; CAR, CRP-to-albumin ratio; NLR, neutrophil-to-lymphocyte ratio; PLR, platelet-to-lymphocyte ratio; LMR, lymphocyte-to-monocyte ratio; dNLR, derived NLR; NPS, neutrophil-platelet score; NLS, neutrophil-lymphocyte score; PLS, platelet-lymphocyte score; LMS, lymphocyte-monocyte score; PI, prognostic index; SII, systemic immune-inflammation index; SIRI, systemic inflammation response index; LIPI, lung immune prognostic index; CALLY, CRP albumin lymphocyte index.
Systemic inflammation-based prognostic scores and ratios.
Patients medical and demographic characteristics.
Summary of cancer treatments administered to patients.
Estimated hazard ratios and 95% CIs of prognostic factors for overalls survival using univariate and multivariate Cox regression analyses.
Concordance and AIC of each model involving each score and adjusting factors, including age, sex, location, stage and previous radiotherapy.
Concordance and Akaike information criterion of each score for time to treatment failure.

Acknowledgements

The authors acknowledge the dedication of Dr Shinnichi Higashiue (Medical Corporation Tokushukai and General Incorporated Association Tokushukai, Chiyoda, Tokyo 102-0074, Japan) and Dr Hisaaki Afuso (Medical Corporation Tokushukai, Chiyoda, Tokyo 102-0074, Japan) for their support in conducting clinical research within the Tokushukai Group. The authors also thank Mr. Katsuhiko Ozaki (Tokushukai Information System, Inc., Osaka 530-0001, Japan) for his assistance with the use of medical databases.

Funding

Funding: No funding was received.

Availability of data and materials

The data generated in the present study may be requested from the corresponding author.

Authors' contributions

RS, YI and MO contributed to study design and conception. RS, YF, MS and MH performed data acquisition. RS, YI and MS confirm the authenticity of all the raw data.RS and YI interpreted data and drafted the manuscript. KU, TM, KO, NS and HM offered advice on the research design and contributed to the interpretation of the study content. NS and HM reviewed and approved the final version of the manuscript. All authors reviewed and approved the final version of the manuscript.

Ethics approval and consent to participate

The project rigorously followed ethical guidelines for medical and biological research involving human subjects in Japan, in accordance with the principles of The Declaration of Helsinki. Approval for the study was obtained from the Ethics Committee of the Tokushukai Group in April 2020 (approval no. TGE01427-024). The study was registered in the UMIN Clinical Trial Registry under the number UMIN000050590. Patients were informed about the study using opt-out methods and all chose to participate.

Patient consent for publication

Not applicable.

Competing interests

RS received speaker bureau fees/honoraria from Daiichi-Sankyo, Ono Pharm, Taiho Pharma and Chugai outside the scope of the submitted work. YI received speaker bureau fees/honoraria from Bayer, Bristol-Myers Squibb, Daiichi-Sankyo, Pfizer and Ono Pharm outside of the submitted work. HM received speaker bureau fees/honoraria from Daiichi-Sankyo and Ono Pharm, research funding from Astellas-Amgen Biopharma, Bayer, Bristol Myers Squibb, Chugai, Daiichi-Sankyo, Incite, Novartis, Ono Pharm, Pfizer and Rakuten Medical and scholarship donations from Bayer, Chugai, Daiichi-Sankyo, Eisai, Kyowa-Kirin, Lilly, Ono Pharmaceutical, Pfizer, Taiho Pharma and Takeda outside the scope of the submitted work. However, these organizations were not involved in the design, conduct or reporting of the present study.

Authors' information

ORCID IDs: RS, 0000-0001-8601-0442; YI, 0000-0002-5202-531X; and HM, 0000-0001-8630-9145.

Use of artificial intelligence tools

During the preparation of this work, artificial intelligence tools were used to improve the readability and language of the manuscript or to generate images, and subsequently, the authors revised and edited the content produced by the artificial intelligence tools as necessary, taking full responsibility for the ultimate content of the present manuscript.

References

1 

Bray F, Laversanne M, Sung H, Ferlay J, Siegel RL, Soerjomataram I and Jemal A: Global cancer statistics 2022: GLOBOCAN estimates of incidence and mortality worldwide for 36 cancers in 185 countries. CA Cancer J Clin. 74:229–263. 2024.PubMed/NCBI View Article : Google Scholar

2 

National Cancer Registry, Ministry of Health, Labour and Welfare Cancer Statistics: Cancer Information Service, National Cancer Center, Japan. https://ganjoho.jp/reg_stat/statistics/data/dl/index.html. Accessed on April 1, 2024.

3 

SEER 5-year relative survival rate, 2012-2018. Cancer Statistics Explorer Network, National Cancer Institute, United States. https://seer.cancer.gov/statistics-network/explorer/application.html. Accessed on April 1, 2024.

4 

NCCN Clinical Practice Guidelines in Oncology; Gastric Cancer Version 1.2024. https://www.nccn.org/guidelines/category_1. Accessed April 1, 2024.

5 

Japanese Gastric Cancer Association. Japanese gastric cancer treatment guidelines 2021 (6th edition). Gastric Cancer. 26:1–25. 2023.PubMed/NCBI View Article : Google Scholar

6 

Kang YK, Boku N, Satoh T, Ryu MH, Chao Y, Kato K, Chung HC, Chen JS, Muro K, Kang WK, et al: Nivolumab in patients with advanced gastric or gastro-oesophageal junction cancer refractory to, or intolerant of, at least two previous chemotherapy regimens (ONO-4538-12, ATTRACTION-2): A randomised, double-blind, placebo-controlled, phase 3 trial. Lancet. 390:2461–2471. 2017.PubMed/NCBI View Article : Google Scholar

7 

Japanese Gastric Cancer Association. Japanese gastric cancer treatment guidelines 2018 (5th edition). Gastric Cancer. 24:1–21. 2021.PubMed/NCBI View Article : Google Scholar

8 

Shitara K, Doi T, Dvorkin M, Mansoor W, Arkenau HT, Prokharau A, Alsina M, Ghidini M, Faustino C, Gorbunova V, et al: Trifluridine/tipiracil versus placebo in patients with heavily pretreated metastatic gastric cancer (TAGS): A randomised, double-blind, placebo-controlled, phase 3 trial. Lancet Oncol. 19:1437–1448. 2018.PubMed/NCBI View Article : Google Scholar

9 

Janjigian YY, Shitara K, Moehler M, Garrido M, Salman P, Shen L, Wyrwicz L, Yamaguchi K, Skoczylas T, Bragagnoli AC, et al: First-line nivolumab plus chemotherapy versus chemotherapy alone for advanced gastric, gastro-oesophageal junction, and oesophageal adenocarcinoma (CheckMate 649): A randomised, open-label, phase 3 trial. Lancet. 398:27–40. 2021.PubMed/NCBI View Article : Google Scholar

10 

Kang YK, Chen LT, Ryu MH, Oh DY, Oh SC, Chung HC, Lee KW, Omori T, Shitara K, Sakuramoto S, et al: Nivolumab plus chemotherapy versus placebo plus chemotherapy in patients with HER2-negative, untreated, unresectable advanced or recurrent gastric or gastro-oesophageal junction cancer (ATTRACTION-4): A randomised, multicentre, double-blind, placebo-controlled, phase 3 trial. Lancet Oncol. 23:234–247. 2022.PubMed/NCBI View Article : Google Scholar

11 

Ricci AD, Rizzo A and Brandi G: DNA damage response alterations in gastric cancer: Knocking down a new wall. Future Oncol. 7:865–868. 2021.PubMed/NCBI View Article : Google Scholar

12 

Marabelle A, Le DT, Ascierto PA, Di Giacomo AM, De Jesus-Acosta A, Delord JP, Geva R, Gottfried M, Penel N, Hansen AR, et al: Efficacy of pembrolizumab in patients with noncolorectal high microsatellite Instability/Mismatch repair-deficient cancer: Results from the phase II KEYNOTE-158 study. J Clin Oncol. 38:1–10. 2020.PubMed/NCBI View Article : Google Scholar

13 

Marabelle A, Fakih M, Lopez J, Shah M, Shapira-Frommer R, Nakagawa K, Chung HC, Kindler HL, Lopez-Martin JA, Miller WH Jr, et al: Association of tumour mutational burden with outcomes in patients with advanced solid tumours treated with pembrolizumab: Prospective biomarker analysis of the multicohort, open-label, phase 2 KEYNOTE-158 study. Lancet Oncol. 21:1353–1365. 2020.PubMed/NCBI View Article : Google Scholar

14 

Akagi K, Oki E, Taniguchi H, Nakatani K, Aoki D, Kuwata T and Yoshino T: Real-world data on microsatellite instability status in various unresectable or metastatic solid tumors. Cancer Sci. 112:1105–1113. 2021.PubMed/NCBI View Article : Google Scholar

15 

Parikh AR, He Y, Hong TS, Corcoran RB, Clark JW, Ryan DP, Zou L, Ting DT, Catenacci DV, Chao J, et al: Analysis of DNA damage response gene alterations and tumor mutational burden across 17,486 tubular gastrointestinal carcinomas: Implications for therapy. Oncologist. 24:1340–1347. 2019.PubMed/NCBI View Article : Google Scholar

16 

Rihawi K, Ricci AD, Rizzo A, Brocchi S, Marasco G, Pastore LV, Llimpe FLR, Golfieri R and Renzulli M: Tumor-associated macrophages and inflammatory microenvironment in gastric cancer: Novel translational implications. Int J Mol Sci. 22(3805)2021.PubMed/NCBI View Article : Google Scholar

17 

McMillan DC: Systemic inflammation, nutritional status and survival in patients with cancer. Curr Opin Clin Nutr Metab Care. 12:223–226. 2009.PubMed/NCBI View Article : Google Scholar

18 

Dolan RD, Lim J, McSorley ST, Horgan PG, Laird B and McMillan DC: The role of the systemic inflammatory response in predicting outcomes in patients with advanced inoperable cancer: Systematic review and meta-analysis. Crit Rev Oncol Hematol. 116:134–146. 2017.PubMed/NCBI View Article : Google Scholar

19 

Guven DC, Sahin TK, Erul E, Rizzo A, Ricci AD, Aksoy S and Yalcin S: The association between albumin levels and survival in patients treated with immune checkpoint inhibitors: A systematic review and meta-analysis. Front Mol Biosci. 9(1039121)2022.PubMed/NCBI View Article : Google Scholar

20 

Zhang Y, Chen S, Chen H and Li W: A comprehensive analysis of Glasgow prognostic score (GPS)/the modified Glasgow prognostic score (mGPS) on immune checkpoint inhibitor efficacy among patients with advanced cancer. Cancer Med. 12:38–48. 2023.PubMed/NCBI View Article : Google Scholar

21 

Chen J, Wei S, Zhao T and Zhang X, Wang Y and Zhang X: Clinical significance of serum biomarkers in stage IV non-small-cell lung cancer treated with PD-1 inhibitors: LIPI Score, NLR, dNLR, LMR, and PAB. Dis Markers. 2022(7137357)2022.PubMed/NCBI View Article : Google Scholar

22 

Tanaka S, Uchino J, Yokoi T, Kijima T, Goto Y, Suga Y, Katayama Y, Nakamura R, Morimoto K, Nakao A, et al: Prognostic nutritional index and lung immune prognostic index as prognostic predictors for combination therapies of immune checkpoint inhibitors and cytotoxic anticancer chemotherapy for patients with advanced non-small cell lung cancer. Diagnostics (Basel). 12(423)2022.PubMed/NCBI View Article : Google Scholar

23 

Onodera T, Goseki N and Kosaki G: Prognostic nutritional index in gastrointestinal surgery of malnourished cancer patients. Nihon Geka Gakkai Zasshi. 85:1001–1005. 1984.PubMed/NCBI(In Japanese).

24 

Forrest LM, McMillan DC, McArdle CS, Angerson WJ and Dunlop DJ: Evaluation of cumulative prognostic scores based on the systemic inflammatory response in patients with inoperable non-small-cell lung cancer. Br J Cancer. 89:1028–1030. 2003.PubMed/NCBI View Article : Google Scholar

25 

Toiyama Y, Miki C, Inoue Y, Tanaka K, Mohri Y and Kusunoki M: Evaluation of an inflammation-based prognostic score for the identification of patients requiring postoperative adjuvant chemotherapy for stage II colorectal cancer. Exp Ther Med. 2:95–101. 2011.PubMed/NCBI View Article : Google Scholar

26 

Fairclough E, Cairns E, Hamilton J and Kelly C: Evaluation of a modified early warning system for acute medical admissions and comparison with C-reactive protein/albumin ratio as a predictor of patient outcome. Clin Med (Lond). 9:30–33. 2009.PubMed/NCBI View Article : Google Scholar

27 

Nakahara K, Monden Y, Ohno K, Fujii Y, Hashimoto J, Kitagawa Y and Kawashima Y: Importance of biologic status to the postoperative prognosis of patients with stage III nonsmall cell lung cancer. J Surg Oncol. 36:155–160. 1987.PubMed/NCBI View Article : Google Scholar

28 

Smith RA, Bosonnet L, Raraty M, Sutton R, Neoptolemos JP, Campbell F and Ghaneh P: Preoperative platelet-lymphocyte ratio is an independent significant prognostic marker in resected pancreatic ductal adenocarcinoma. Am J Surg. 197:466–472. 2009.PubMed/NCBI View Article : Google Scholar

29 

Wilcox RA, Ristow K, Habermann TM, Inwards DJ, Micallef IN, Johnston PB, Colgan JP, Nowakowski GS, Ansell SM, Witzig TE, et al: The absolute monocyte and lymphocyte prognostic score predicts survival and identifies high-risk patients in diffuse large-B-cell lymphoma. Leukemia. 25:1502–1509. 2011.PubMed/NCBI View Article : Google Scholar

30 

Proctor MJ, McMillan DC, Morrison DS, Fletcher CD, Horgan PG and Clarke SJ: A derived neutrophil to lymphocyte ratio predicts survival in patients with cancer. Br J Cancer. 107:695–699. 2012.PubMed/NCBI View Article : Google Scholar

31 

Watt DG, Proctor MJ, Park JH, Horgan PG and McMillan DC: The neutrophil-platelet score (NPS) predicts survival in primary operable colorectal cancer and a variety of common cancers. PLoS One. 10(e0142159)2015.PubMed/NCBI View Article : Google Scholar

32 

Dolan RD, McSorley ST, Park JH, Watt DG, Roxburgh CS, Horgan PG and McMillan DC: The prognostic value of systemic inflammation in patients undergoing surgery for colon cancer: Comparison of composite ratios and cumulative scores. Br J Cancer. 119:40–51. 2018.PubMed/NCBI View Article : Google Scholar

33 

Dolan RD, Alwahid M, McSorley ST, Park JH, Stevenson RP, Roxburgh CS, Horgan PG and McMillan DC: A comparison of the prognostic value of composite ratios and cumulative scores in patients with operable rectal cancer. Sci Rep. 10(17965)2020.PubMed/NCBI View Article : Google Scholar

34 

Kasymjanova G, MacDonald N, Agulnik JS, Cohen V, Pepe C, Kreisman H, Sharma R and Small D: The predictive value of pre-treatment inflammatory markers in advanced non-small-cell lung cancer. Curr Oncol. 17:52–58. 2010.PubMed/NCBI View Article : Google Scholar

35 

Hu B, Yang XR, Xu Y, Sun YF, Sun C, Guo W, Zhang X, Wang WM, Qiu SJ, Zhou J and Fan J: Systemic immune-inflammation index predicts prognosis of patients after curative resection for hepatocellular carcinoma. Clin Cancer Res. 20:6212–6222. 2014.PubMed/NCBI View Article : Google Scholar

36 

Qi Q, Zhuang L, Shen Y, Geng Y, Yu S, Chen H, Liu L, Meng Z, Wang P and Chen Z: A novel systemic inflammation response index (SIRI) for predicting the survival of patients with pancreatic cancer after chemotherapy. Cancer. 122:2158–2167. 2016.PubMed/NCBI View Article : Google Scholar

37 

Mezquita L, Auclin E, Ferrara R, Charrier M, Remon J, Planchard D, Ponce S, Ares LP, Leroy L, Audigier-Valette C, et al: Association of the lung immune prognostic index with immune checkpoint inhibitor outcomes in patients with advanced non-small cell lung cancer. JAMA Oncol. 4:351–357. 2018.PubMed/NCBI View Article : Google Scholar

38 

Müller L, Hahn F, Mähringer-Kunz A, Stoehr F, Gairing SJ, Michel M, Foerster F, Weinmann A, Galle PR, Mittler J, et al: Immunonutritive scoring for patients with hepatocellular carcinoma undergoing transarterial chemoembolization: Evaluation of the CALLY index. Cancers (Basel). 13(5018)2021.PubMed/NCBI View Article : Google Scholar

39 

Averitt AJ, Weng C, Ryan P and Perotte A: Translating evidence into practice: Eligibility criteria fail to eliminate clinically significant differences between real-world and study populations. NPJ Digit Med. 3(67)2020.PubMed/NCBI View Article : Google Scholar

40 

Hilgers RD, König F, Molenberghs G and Senn S: Design and analysis of clinical trials for small rare disease populations. J Rare Dis Res Treat. 1:53–60. 2016.

41 

Latimer NR: Survival analysis for economic evaluations alongside clinical trials-extrapolation with patient-level data: Inconsistencies, limitations, a practice guide. Med Decis Making. 33:743–754. 2013.PubMed/NCBI View Article : Google Scholar

42 

Corrigan-Curay J, Sacks L and Woodcock J: Real-word evidence and real-world data for evaluating drug safety and effectiveness. JAMA. 320:867–868. 2018.PubMed/NCBI View Article : Google Scholar

43 

Katkade VB, Sanders KN and Zou KH: Real world data: An opportunity to supplement existing evidence for the use of long-established medicines in health care decision making. J Multidiscip Healthc. 11:295–304. 2018.PubMed/NCBI View Article : Google Scholar

44 

Makady A, de Boer A, Hillege H, Klungel O and Goettsch W: (on behalf of GetReal Work Package 1). What is real-world data? A review of definitions based on literature and stakeholder interviews. Value Health. 20:858–865. 2017.PubMed/NCBI View Article : Google Scholar

45 

Shimoyama R, Imamura Y, Uryu K, Mase T, Fujimura Y, Hayashi M, Ohtaki M, Ohtani K, Shinozaki N and Minami H: Real-world outcomes of systemic therapy in Japanese patients with cancer (Tokushukai REAl-World Data Project: TREAD): Study protocol for a nationwide cohort study. Healthcare (Basel). 10(2146)2022.PubMed/NCBI View Article : Google Scholar

46 

Eba J and Nakamura K: Overview of the ethical guidelines for medical and biological research involving human subjects in Japan. Jpn J Clin Oncol. 52:539–544. 2022.PubMed/NCBI View Article : Google Scholar

47 

National Cancer Registry (Ministry of Health, Labour and Welfare), tabulated by Cancer Information Service, National Cancer Center, Japan. https://ganjoho.jp/reg_stat/statistics/data/dl/en.html. (Accessed 1 April 2024).

48 

Shimoyama R, Imamura Y, Uryu K, Mase T, Shiragami M, Fujimura Y, Hayashi M, Ohtaki M, Ohtani K, Shinozaki N and Minami H: Inflammation-based prognostic markers of metastatic pancreatic cancer using real-world data in Japan: The Tokushukai REAl-world Data (TREAD) project. Oncol Lett. 27(136)2024.PubMed/NCBI View Article : Google Scholar

49 

Chen LT, Satoh T, Ryu MH, Chao Y, Kato K, Chung HC, Chen JS, Muro K, Kang WK, Yeh KH, et al: A phase 3 study of nivolumab in previously treated advanced gastric or gastroesophageal junction cancer (ATTRACTION-2): 2-year update data. Gastric Cancer. 23:510–519. 2020.PubMed/NCBI View Article : Google Scholar

50 

Dovedi SJ, Adlard AL, Lipowska-Bhalla G, McKenna C, Jones S, Cheadle EJ, Stratford IJ, Poon E, Morrow M, Stewart R, et al: Acquired resistance to fractionated radiotherapy can be overcome by concurrent PD-L1 blockade. Cancer Res. 74:5458–5468. 2014.PubMed/NCBI View Article : Google Scholar

51 

Deng L, Liang H, Burnette B, Beckett M, Darga T, Weichselbaum RR and Fu YX: Irradiation and anti-PD-L1 treatment synergistically promote antitumor immunity in mice. Clin Invest. 124:687–695. 2014.PubMed/NCBI View Article : Google Scholar

52 

Yamaguchi O, Kaira K, Hashimoto K, Mouri A, Miura Y, Shiono A, Nishihara F, Murayama Y, Noda SE, Kato S, et al: Radiotherapy is an independent prognostic marker of favorable prognosis in non-small cell lung cancer patients after treatment with the immune checkpoint inhibitor, nivolumab. Thorac Cancer. 10:992–1000. 2019.PubMed/NCBI View Article : Google Scholar

53 

Sharabi AB, Lim M, DeWeese TL and Drake CG: Radiation and checkpoint blockade immunotherapy: Radiosensitisation and potential mechanisms of synergy. Lancet Oncol. 16:e498–e509. 2015.PubMed/NCBI View Article : Google Scholar

54 

Proctor MJ, Talwar D, Balmar SM, O'Reilly DS, Foulis AK, Horgan PG, Morrison DS and McMillan DC: The relationship between the presence and site of cancer, an inflammation-based prognostic score and biochemical parameters. Initial results of the Glasgow inflammation outcome study. Br J Cancer. 103:870–876. 2010.PubMed/NCBI View Article : Google Scholar

55 

Proctor MJ, Morrison DS, Talwar D, Balmer SM, O'Reilly DS, Foulis AK, Horgan PG and McMillan DC: An inflammation-based prognostic score (mGPS) predicts cancer survival independent of tumour site: A Glasgow inflammation outcome study. Br J Cancer. 104:726–734. 2011.PubMed/NCBI View Article : Google Scholar

56 

Proctor MJ, Morrison DS, Talwar D, Balmer SM, Fletcher CD, O'Reilly DS, Foulis AK, Horgan PG and McMillan DC: A comparison of inflammation-based prognostic scores in patients with cancer. A Glasgow inflammation outcome study. Eur J Cancer. 47:2633–2641. 2011.PubMed/NCBI View Article : Google Scholar

57 

McMillan DC: The systemic inflammation-based Glasgow prognostic score: A decade of experience in patients with cancer. Cancer Treat Rev. 39:534–540. 2013.PubMed/NCBI View Article : Google Scholar

58 

Wu TH, Tsai YT, Chen KY, Yap WK and Luan CW: Utility of high-sensitivity modified Glasgow prognostic score in cancer prognosis: A systemic review and meta-analysis. Int J Mol Sci. 24(1318)2023.PubMed/NCBI View Article : Google Scholar

59 

Wang Y, Lei Y, Zheng D, Yang Y, Luo L, Li J and Xie X: Prognostic value of lung immune prognostic index in non-small cell lung cancer patients receiving immune checkpoint inhibitors: A meta-analysis. Pathol Oncol Res. 30(1611773)2024.PubMed/NCBI View Article : Google Scholar

60 

Carril-Ajuria L, Lavaud P, Dalban C, Negrier S, Gravis G, Motzer RJ, Chevreau C, Tannir NM, Oudard S, McDermott DF, et al: Validation of the lung immune prognostic index (LIPI) as a prognostic biomarker in metastatic renal cell carcinoma. Eur J Cancer. 204(114048)2024.PubMed/NCBI View Article : Google Scholar

Related Articles

  • Abstract
  • View
  • Download
  • Twitter
Copy and paste a formatted citation
Spandidos Publications style
Shimoyama R, Imamura Y, Uryu K, Mase T, Ohtaki M, Ohtani K, Shiragami M, Fujimura Y, Hayashi M, Shinozaki N, Shinozaki N, et al: Inflammation‑based prognostic markers in patients with advanced or recurrent gastric cancer treated with nivolumab: Tokushukai REAl‑world Data project 02 (TREAD 02). Mol Clin Oncol 21: 90, 2024.
APA
Shimoyama, R., Imamura, Y., Uryu, K., Mase, T., Ohtaki, M., Ohtani, K. ... Minami, H. (2024). Inflammation‑based prognostic markers in patients with advanced or recurrent gastric cancer treated with nivolumab: Tokushukai REAl‑world Data project 02 (TREAD 02). Molecular and Clinical Oncology, 21, 90. https://doi.org/10.3892/mco.2024.2788
MLA
Shimoyama, R., Imamura, Y., Uryu, K., Mase, T., Ohtaki, M., Ohtani, K., Shiragami, M., Fujimura, Y., Hayashi, M., Shinozaki, N., Minami, H."Inflammation‑based prognostic markers in patients with advanced or recurrent gastric cancer treated with nivolumab: Tokushukai REAl‑world Data project 02 (TREAD 02)". Molecular and Clinical Oncology 21.6 (2024): 90.
Chicago
Shimoyama, R., Imamura, Y., Uryu, K., Mase, T., Ohtaki, M., Ohtani, K., Shiragami, M., Fujimura, Y., Hayashi, M., Shinozaki, N., Minami, H."Inflammation‑based prognostic markers in patients with advanced or recurrent gastric cancer treated with nivolumab: Tokushukai REAl‑world Data project 02 (TREAD 02)". Molecular and Clinical Oncology 21, no. 6 (2024): 90. https://doi.org/10.3892/mco.2024.2788
Copy and paste a formatted citation
x
Spandidos Publications style
Shimoyama R, Imamura Y, Uryu K, Mase T, Ohtaki M, Ohtani K, Shiragami M, Fujimura Y, Hayashi M, Shinozaki N, Shinozaki N, et al: Inflammation‑based prognostic markers in patients with advanced or recurrent gastric cancer treated with nivolumab: Tokushukai REAl‑world Data project 02 (TREAD 02). Mol Clin Oncol 21: 90, 2024.
APA
Shimoyama, R., Imamura, Y., Uryu, K., Mase, T., Ohtaki, M., Ohtani, K. ... Minami, H. (2024). Inflammation‑based prognostic markers in patients with advanced or recurrent gastric cancer treated with nivolumab: Tokushukai REAl‑world Data project 02 (TREAD 02). Molecular and Clinical Oncology, 21, 90. https://doi.org/10.3892/mco.2024.2788
MLA
Shimoyama, R., Imamura, Y., Uryu, K., Mase, T., Ohtaki, M., Ohtani, K., Shiragami, M., Fujimura, Y., Hayashi, M., Shinozaki, N., Minami, H."Inflammation‑based prognostic markers in patients with advanced or recurrent gastric cancer treated with nivolumab: Tokushukai REAl‑world Data project 02 (TREAD 02)". Molecular and Clinical Oncology 21.6 (2024): 90.
Chicago
Shimoyama, R., Imamura, Y., Uryu, K., Mase, T., Ohtaki, M., Ohtani, K., Shiragami, M., Fujimura, Y., Hayashi, M., Shinozaki, N., Minami, H."Inflammation‑based prognostic markers in patients with advanced or recurrent gastric cancer treated with nivolumab: Tokushukai REAl‑world Data project 02 (TREAD 02)". Molecular and Clinical Oncology 21, no. 6 (2024): 90. https://doi.org/10.3892/mco.2024.2788
Follow us
  • Twitter
  • LinkedIn
  • Facebook
About
  • Spandidos Publications
  • Careers
  • Cookie Policy
  • Privacy Policy
How can we help?
  • Help
  • Live Chat
  • Contact
  • Email to our Support Team