Spandidos Publications Logo
  • About
    • About Spandidos
    • Aims and Scopes
    • Abstracting and Indexing
    • Editorial Policies
    • Reprints and Permissions
    • Job Opportunities
    • Terms and Conditions
    • Contact
  • Journals
    • All Journals
    • Oncology Letters
      • Oncology Letters
      • Information for Authors
      • Editorial Policies
      • Editorial Board
      • Aims and Scope
      • Abstracting and Indexing
      • Bibliographic Information
      • Archive
    • International Journal of Oncology
      • International Journal of Oncology
      • Information for Authors
      • Editorial Policies
      • Editorial Board
      • Aims and Scope
      • Abstracting and Indexing
      • Bibliographic Information
      • Archive
    • Molecular and Clinical Oncology
      • Molecular and Clinical Oncology
      • Information for Authors
      • Editorial Policies
      • Editorial Board
      • Aims and Scope
      • Abstracting and Indexing
      • Bibliographic Information
      • Archive
    • Experimental and Therapeutic Medicine
      • Experimental and Therapeutic Medicine
      • Information for Authors
      • Editorial Policies
      • Editorial Board
      • Aims and Scope
      • Abstracting and Indexing
      • Bibliographic Information
      • Archive
    • International Journal of Molecular Medicine
      • International Journal of Molecular Medicine
      • Information for Authors
      • Editorial Policies
      • Editorial Board
      • Aims and Scope
      • Abstracting and Indexing
      • Bibliographic Information
      • Archive
    • Biomedical Reports
      • Biomedical Reports
      • Information for Authors
      • Editorial Policies
      • Editorial Board
      • Aims and Scope
      • Abstracting and Indexing
      • Bibliographic Information
      • Archive
    • Oncology Reports
      • Oncology Reports
      • Information for Authors
      • Editorial Policies
      • Editorial Board
      • Aims and Scope
      • Abstracting and Indexing
      • Bibliographic Information
      • Archive
    • Molecular Medicine Reports
      • Molecular Medicine Reports
      • Information for Authors
      • Editorial Policies
      • Editorial Board
      • Aims and Scope
      • Abstracting and Indexing
      • Bibliographic Information
      • Archive
    • World Academy of Sciences Journal
      • World Academy of Sciences Journal
      • Information for Authors
      • Editorial Policies
      • Editorial Board
      • Aims and Scope
      • Abstracting and Indexing
      • Bibliographic Information
      • Archive
    • International Journal of Functional Nutrition
      • International Journal of Functional Nutrition
      • Information for Authors
      • Editorial Policies
      • Editorial Board
      • Aims and Scope
      • Abstracting and Indexing
      • Bibliographic Information
      • Archive
    • International Journal of Epigenetics
      • International Journal of Epigenetics
      • Information for Authors
      • Editorial Policies
      • Editorial Board
      • Aims and Scope
      • Abstracting and Indexing
      • Bibliographic Information
      • Archive
    • Medicine International
      • Medicine International
      • Information for Authors
      • Editorial Policies
      • Editorial Board
      • Aims and Scope
      • Abstracting and Indexing
      • Bibliographic Information
      • Archive
  • Articles
  • Information
    • Information for Authors
    • Information for Reviewers
    • Information for Librarians
    • Information for Advertisers
    • Conferences
  • Language Editing
Spandidos Publications Logo
  • About
    • About Spandidos
    • Aims and Scopes
    • Abstracting and Indexing
    • Editorial Policies
    • Reprints and Permissions
    • Job Opportunities
    • Terms and Conditions
    • Contact
  • Journals
    • All Journals
    • Biomedical Reports
      • Information for Authors
      • Editorial Policies
      • Editorial Board
      • Aims and Scope
      • Abstracting and Indexing
      • Bibliographic Information
      • Archive
    • Experimental and Therapeutic Medicine
      • Information for Authors
      • Editorial Policies
      • Editorial Board
      • Aims and Scope
      • Abstracting and Indexing
      • Bibliographic Information
      • Archive
    • International Journal of Epigenetics
      • Information for Authors
      • Editorial Policies
      • Editorial Board
      • Aims and Scope
      • Abstracting and Indexing
      • Bibliographic Information
      • Archive
    • International Journal of Functional Nutrition
      • Information for Authors
      • Editorial Policies
      • Editorial Board
      • Aims and Scope
      • Abstracting and Indexing
      • Bibliographic Information
      • Archive
    • International Journal of Molecular Medicine
      • Information for Authors
      • Editorial Policies
      • Editorial Board
      • Aims and Scope
      • Abstracting and Indexing
      • Bibliographic Information
      • Archive
    • International Journal of Oncology
      • Information for Authors
      • Editorial Policies
      • Editorial Board
      • Aims and Scope
      • Abstracting and Indexing
      • Bibliographic Information
      • Archive
    • Medicine International
      • Information for Authors
      • Editorial Policies
      • Editorial Board
      • Aims and Scope
      • Abstracting and Indexing
      • Bibliographic Information
      • Archive
    • Molecular and Clinical Oncology
      • Information for Authors
      • Editorial Policies
      • Editorial Board
      • Aims and Scope
      • Abstracting and Indexing
      • Bibliographic Information
      • Archive
    • Molecular Medicine Reports
      • Information for Authors
      • Editorial Policies
      • Editorial Board
      • Aims and Scope
      • Abstracting and Indexing
      • Bibliographic Information
      • Archive
    • Oncology Letters
      • Information for Authors
      • Editorial Policies
      • Editorial Board
      • Aims and Scope
      • Abstracting and Indexing
      • Bibliographic Information
      • Archive
    • Oncology Reports
      • Information for Authors
      • Editorial Policies
      • Editorial Board
      • Aims and Scope
      • Abstracting and Indexing
      • Bibliographic Information
      • Archive
    • World Academy of Sciences Journal
      • Information for Authors
      • Editorial Policies
      • Editorial Board
      • Aims and Scope
      • Abstracting and Indexing
      • Bibliographic Information
      • Archive
  • Articles
  • Information
    • For Authors
    • For Reviewers
    • For Librarians
    • For Advertisers
    • Conferences
  • Language Editing
Login Register Submit
  • This site uses cookies
  • You can change your cookie settings at any time by following the instructions in our Cookie Policy. To find out more, you may read our Privacy Policy.

    I agree
Search articles by DOI, keyword, author or affiliation
Search
Advanced Search
presentation
Molecular and Clinical Oncology
Join Editorial Board Propose a Special Issue
Print ISSN: 2049-9450 Online ISSN: 2049-9469
Journal Cover
February-2025 Volume 22 Issue 2

Full Size Image

Sign up for eToc alerts
Recommend to Library

Journals

International Journal of Molecular Medicine

International Journal of Molecular Medicine

International Journal of Molecular Medicine is an international journal devoted to molecular mechanisms of human disease.

International Journal of Oncology

International Journal of Oncology

International Journal of Oncology is an international journal devoted to oncology research and cancer treatment.

Molecular Medicine Reports

Molecular Medicine Reports

Covers molecular medicine topics such as pharmacology, pathology, genetics, neuroscience, infectious diseases, molecular cardiology, and molecular surgery.

Oncology Reports

Oncology Reports

Oncology Reports is an international journal devoted to fundamental and applied research in Oncology.

Experimental and Therapeutic Medicine

Experimental and Therapeutic Medicine

Experimental and Therapeutic Medicine is an international journal devoted to laboratory and clinical medicine.

Oncology Letters

Oncology Letters

Oncology Letters is an international journal devoted to Experimental and Clinical Oncology.

Biomedical Reports

Biomedical Reports

Explores a wide range of biological and medical fields, including pharmacology, genetics, microbiology, neuroscience, and molecular cardiology.

Molecular and Clinical Oncology

Molecular and Clinical Oncology

International journal addressing all aspects of oncology research, from tumorigenesis and oncogenes to chemotherapy and metastasis.

World Academy of Sciences Journal

World Academy of Sciences Journal

Multidisciplinary open-access journal spanning biochemistry, genetics, neuroscience, environmental health, and synthetic biology.

International Journal of Functional Nutrition

International Journal of Functional Nutrition

Open-access journal combining biochemistry, pharmacology, immunology, and genetics to advance health through functional nutrition.

International Journal of Epigenetics

International Journal of Epigenetics

Publishes open-access research on using epigenetics to advance understanding and treatment of human disease.

Medicine International

Medicine International

An International Open Access Journal Devoted to General Medicine.

Journal Cover
February-2025 Volume 22 Issue 2

Full Size Image

Sign up for eToc alerts
Recommend to Library

  • Article
  • Citations
    • Cite This Article
    • Download Citation
    • Create Citation Alert
    • Remove Citation Alert
    • Cited By
  • Similar Articles
    • Related Articles (in Spandidos Publications)
    • Similar Articles (Google Scholar)
    • Similar Articles (PubMed)
  • Download PDF
  • Download XML
  • View XML
Case Report

Therapeutic drug monitoring of docetaxel administered for breast cancer in a patient receiving rifampicin and clarithromycin to treat nontuberculous mycobacteriosis: A case report

  • Authors:
    • Hideaki Yashima
    • Takuya Araki
    • Yuya Ishikawa
    • Sohei Ohshima
    • Daisuke Nagano
    • Kyoko Obayashi
    • Jun Horiguchi
    • Koujirou Yamamoto
  • View Affiliations / Copyright

    Affiliations: Department of Clinical Pharmacology and Therapeutics, Gunma University Graduate School of Medicine, Maebashi, Gunma 371‑8511, Japan, Department of Pharmacy, Gunma University Hospital, Maebashi, Gunma 371‑8511, Japan, Education and Research Center for Clinical Pharmacy, Faculty of Pharmaceutical Science, Niigata University of Pharmacy and Applied Life Science, Niigata 956‑8603, Japan, Education Center for Clinical Pharmacy, Faculty of Pharmacy, Takasaki University of Health and Welfare, Takasaki, Gunma 370‑0033, Japan, Department of Breast Surgery, International University of Health and Welfare, Otawara, Tochigi 324‑8501, Japan
  • Article Number: 12
    |
    Published online on: November 27, 2024
       https://doi.org/10.3892/mco.2024.2807
  • Expand metrics +
Metrics: Total Views: 0 (Spandidos Publications: | PMC Statistics: )
Metrics: Total PDF Downloads: 0 (Spandidos Publications: | PMC Statistics: )
Cited By (CrossRef): 0 citations Loading Articles...

This article is mentioned in:



Abstract

Docetaxel is metabolized by cytochrome P450 3A4 (CYP3A4), and is transported by organic anion transporting peptides (OATPs) and ABCB1, and its blood concentration is known to affect the risk of some docetaxel‑related adverse drug reactions (ADRs). Thus, the concomitant use of docetaxel with drugs that inhibit or induce these transporters or CYP3A4 requires careful attention. A 58‑year‑old woman was receiving clarithromycin (400 mg twice daily), rifampicin (450 mg once daily) and ethambutol (500 mg once daily) for nontuberculous mycobacteriosis. The patient was diagnosed as having stage IV HER2‑positive breast cancer, which was treated with a regimen of trastuzumab (8 mg/kg), pertuzumab (first dose: 840 mg; second dose onward: 420 mg) and docetaxel (75 mg/m2) every 3 weeks. To predict the risk of serious drug interactions with rifampicin and clarithromycin, the blood concentration of docetaxel was analyzed after administration of the first course. The docetaxel levels at 22 and 159 h after administration were 36.1 and 6.5 ng/ml, respectively, which were higher than previously reported data. In addition, the calculated elimination half‑life of 55.7 h was ~3 times longer than previously reported data. Although the docetaxel level was high, the same dosage was used in subsequent courses because no serious ADRs were observed during the first course of therapy. After 4 months of chemotherapy, the patient received complete remission. In conclusion, concomitant use of rifampicin and clarithromycin may increase the blood concentration of docetaxel.

Introduction

Docetaxel is a cytotoxic anticancer drug that promotes and stabilizes microtubule polymerization and inhibits cell division. It is used to treat many types of cancer, including breast, non-small cell lung, esophageal, and ovarian cancers (1). Docetaxel is taken up into liver cells by organic anion transporting peptides (OATP) 1B1 and OATP1B3 and is metabolized and inactivated mainly by cytochrome P450 3A4 (CYP3A4) (1). Docetaxel and its metabolites in liver cells are excreted into the bile mainly by ABCB1 and ABCC2(1). Therefore, concomitant use of drugs that affect the activity of these transporters or CYP3A4 may pose a significant risk of affecting the therapeutic effect of docetaxel.

Here, we report a case of breast cancer that was diagnosed and treated with docetaxel during rifampicin and clarithromycin treatment for nontuberculous mycobacteriosis (NTM). The recommended treatment for NTM is a combination of two or three antimicrobial agents selected according to the species and the susceptibility of the organism (2). The patient in this case required rifampicin and clarithromycin combination therapy for NTM and docetaxel, a key drug for breast cancer. Rifampicin is a CYP3A4 inducer and OATP inhibitor (3-6), and clarithromycin is a CYP3A4 inhibitor and ABCB1 inhibitor (3,7,8). Drug interactions involving rifampicin and clarithromycin were expected to cause unusual pharmacokinetics of docetaxel, which could lead to unexpected adverse drug reactions (ADRs) or decreased effectiveness of treatment.

We measured the blood concentration of docetaxel to ensure the efficacy and safety of docetaxel administration, and to investigate the effects of rifampicin and clarithromycin combination therapy on the pharmacokinetics of docetaxel.

Case report

A 58-year-old woman presented to Gunma University Hospital (Maebashi, Japan) with a mass in the left breast in 2016. She was 168 cm tall and weighed 52 kg at presentation, and her only complaint was awareness of the left breast mass. Based on needle biopsy findings, the patient was diagnosed with advanced cancer of the left breast (stage IV, scirrhous carcinoma; estrogen receptor: negative, progesterone receptor: negative, HER2: 3+). Laboratory values for renal and hepatic function at admission were all within normal limits: total bilirubin, 0.9 mg/dl; alanine transaminase, 19 U/l; and serum creatinine: 0.71 mg/dl. The patient had NTM and had been taking clarithromycin tablets 200 mg twice daily, rifampicin capsules 450 mg once daily, and ethambutol tablets 500 mg once daily for 1 year, as well as famotidine tablets 10 mg twice daily and loxoprofen tablets 60 mg for pain.

A triweekly regimen of docetaxel, trastuzumab, and pertuzumab was initiated on an outpatient basis to treat the breast cancer. The first course consisted of docetaxel (75 mg/m2), trastuzumab (8 mg/kg), and pertuzumab (840 mg) on day 1. From the second course, the pertuzumab dose was reduced to 420 mg according to the planned regimen. For the first 3 days of each course, 8 mg of dexamethasone was administered intravenously for prophylaxis against nausea. After consultation with the respiratory physician and breast surgeon, it was decided that clarithromycin tablets, rifampicin capsules, and ethambutol tablets for the treatment of NTM would be continued during treatment with anticancer agents. Because the effects of drug interactions involving clarithromycin and rifampicin on the pharmacokinetics of docetaxel are not known, pegfilgrastim 3.6 mg was administered on day 2 of the first course to account for the risk of neutropenia. The patient contracted influenza 7 days after the first dose of docetaxel, so a 7-day rest period was added after the end of the course. After the second course, anticancer agents and pegfilgrastim 3.6 mg were administered as scheduled. Neutropenia was not observed during the entire treatment course, and there were no signs of infection, except for the aforementioned infection with influenza virus and NTM. There were no grade 3 or higher ADRs according to the Common Terminology Criteria for Adverse Events (Table I) (9), and the cancer disappeared on imaging after the fourth courses, indicating a complete response. The patient was then switched to maintenance therapy with trastuzumab and pertuzumab. After 5 years of maintenance therapy, there were no signs of recurrence.

Table I

CTCAE grade of ADRs at the start of each course.

Table I

CTCAE grade of ADRs at the start of each course.

 ADR (CTCAE grade)
Course NeutropeniaaAlopeciaDysgeusiaDysesthesia
10000
20210
30210
40211
50201
60201
70201

[i] aSeverity under pegfilgrastim 3.6 mg administration. ADRs, adverse drug reactions; CTCAE, Common Terminology Criteria for Adverse Events (9).

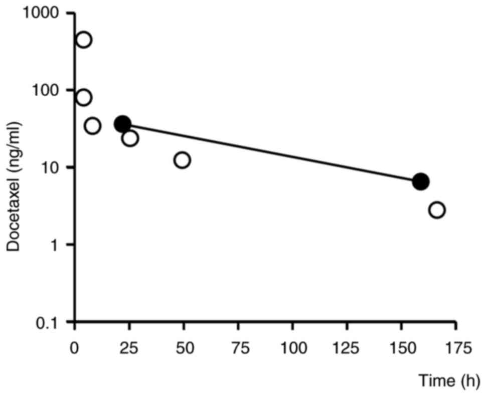
Blood samples were taken 22 h after the first course of docetaxel administration, and blood levels of docetaxel, rifampicin, and clarithromycin were measured by ultra high-performance liquid chromatography-tandem mass spectrometry (ACQUITY UPLC-Xevo TQ MS). The blood concentrations of docetaxel at 22 and 159 h after its administration (i.e., in the elimination phase) were 36.1 and 6.5 ng/ml (Fig. 1), respectively, which are higher than previously reported (10). The half-life of docetaxel was calculated to be 55.4 h based on the blood concentration values at 22 and 159 h using the following formula:

Figure 1

Blood concentration of docetaxel. The open circles are previously reported mean blood concentration data for patients who received the same dose of docetaxel (75 mg/m2) as the patient in this case (10). The closed circles are the values measured in this case.

where T22 and T159 are the times at 22 and 159 h after administration and C22 and C159 are the corresponding docetaxel concentrations. The blood levels of rifampicin and clarithromycin were 0.75 µg/ml and 62 ng/ml, respectively, at 22 h after docetaxel administration, which was 9 h after oral administration of rifampicin and clarithromycin (Fig. 2).

Figure 2

Blood concentrations of (A) rifampicin and (B) clarithromycin. (A) Open triangles are average data previously reported in patients receiving rifampicin (22). The closed triangle is the measured value in the present case. (B) Open squares are average data previously reported in patients receiving clarithromycin (22). The closed square is the measured value in the present case.

Discussion

Although the prevalence of NTM is low at approximately 6 per 100,000, the number of affected patients is reported to be increasing worldwide (11,12), and there is a possibility of that patients receiving rifampicin and clarithromycin will require administration of anticancer drugs as in the present case. Therefore, it is necessary to accumulate more information regarding the concomitant use of rifampicin and clarithromycin.

The measured blood concentration of docetaxel following administration of rifampicin and clarithromycin in our patient was clearly higher than that in typical patients who receive the same dose of docetaxel. The elimination half-life of docetaxel was also clearly longer and was calculated from blood concentrations at two time points to be 55.7 h, about three times longer than previously reported values (10). The distribution volume of docetaxel was 74 l/m2 (13), and the patient's body surface area was calculated to be 1.58 m2 using the Du Bois equation. Assuming that elimination follows a linear one-compartment model, the clearance of docetaxel was calculated from C22 and C159 using the following formula, and was found to be 1.45 l/h.

The docetaxel clearance in patients (n=40) who received docetaxel 75 mg/m2, as this patient did, was 30.0±14.2 l/h (mean ± SD) (10). The calculated clearance in this patient was more than 2 SD lower than the mean value in previously reported patients, and was considered to be significantly lower than the clearance in the general patient population.

More than 95% of the total metabolic clearance of docetaxel (22 l/h/m2) is via hepatic metabolism (13), so its metabolism may be affected by variations in hepatic clearance. Since the clearance reduction when docetaxel is combined with ketoconazole is reported to be 49% (14) and the CYP3A4 inhibitory activity of ketoconazole is considered to be 100%, the contribution of CYP3A4 to docetaxel metabolism is considered to be 49%. Akiyama et al (15) reported that the metabolism of midazolam, a substrate of CYP3A4, is enhanced in NTM patients receiving rifampicin and clarithromycin. CYP3A4 induction by rifampicin is due to transcriptional promotion via activation of the pregnane X receptor, and according to a report by Hisaka et al (16), it increases the clearance of midazolam about 8-fold. In contrast, CYP3A4 is inhibited by clarithromycin via an irreversible reaction that occurs when an intermediate metabolite of clarithromycin forms a complex with CYP3A4. This is called mechanism-based inhibition (MBI). Hisaka et al (16) reported that clarithromycin inhibits the clearance of midazolam to 20% of the original value. Since docetaxel and midazolam may differ in their reactivity to various enzymes, a definite answer cannot be given. However, based on the information about midazolam, it is possible to envision that the clearance increases about 8-fold due to the increase in the expression level of CYP3A4 caused by the action of rifampicin, but that the activity is inhibited to 20% of the original value due to MBI by clarithromycin. As a result, it is thought that the contribution of the increase in expression level by rifampicin is large, and the activity of CYP3A4 becomes about 1.6-fold larger. Further basic research is needed to examine this hypothesis. However, in our patient, factors other than CYP3A4 may have had a significant influence, since the increase in blood levels cannot be explained by CYP3A4-mediated drug-drug interactions alone.

OATP1B3 and ABCB1 are transporters that can affect the pharmacokinetics of docetaxel. Hu et al (17) reported a 2- to 3-fold increase in the area under the curve (AUC) of docetaxel by OATP1B knockout (KO) in an in vivo study using mice. Similarly, Iusuf et al (18) reported a 3-fold increase in the AUC of docetaxel in a study using OATP KO mice. Furthermore, clinical trials have found an increase in the AUC of docetaxel when sorafenib, an OATP1B1 inhibitor, was combined with docetaxel (19). When ritonavir, an inhibitor of both CYP3A4 and ABCB1, was concomitantly administered with docetaxel, the clearance of docetaxel decreased by more than 90% (20). These results suggest that metabolism by CYP3A4 and transport by OATP1B3 and ABCB1 have a major influence on docetaxel elimination. Like docetaxel, atorvastatin is a substrate for OATPs and CYP3A4, and concomitant use of rifampicin induces CYP3A4. Therefore, considering only the metabolism by CYP3A4, the AUC of atorvastatin would be expected to decrease by 80-90% when the two are combined (16). Clinically, however, the concomitant use of rifampicin has been reported to increase the AUC of atorvastatin in a dose-dependent manner, with the increase being as much as 10-fold (4,5). Moreover, although the effects of clarithromycin on the pharmacokinetics of docetaxel have not been reported, a clinical study evaluating the effect of clarithromycin on the pharmacokinetics of the ABCB1 substrates dabigatran and rivaroxaban found that clarithromycin increased the AUC of both drugs by approximately 2-fold (7). Therefore, a concern is that, in addition to inhibiting CYP3A4, clarithromycin may inhibit ABCB1 at clinical doses, potentially leading to a large decrease in docetaxel clearance.

Although the contributions of OATPs and ABCB1 to the hepatic clearance of docetaxel have not been determined, our findings suggest that the inhibitory effect of rifampicin on OATPs and that of clarithromycin on ABCB1 possibly reduced hepatic clearance.

Overall, CYP3A4 activity is likely to be elevated in patients concomitantly receiving rifampicin and clarithromycin. However, for docetaxel, which is transported by OATPs and ABCB1, the inhibition of both transporters by rifampicin and clarithromycin greatly reduces systemic clearance. In the same way that the metabolism of atorvastatin, a substrate of OATP and 3A4, is rate-limiting due to hepatic uptake by OATP (21), the rate-limiting factor for the metabolism of docetaxel is OATP rather than CYP, and OATP may have a greater influence on clearance. The blood levels of rifampicin and clarithromycin measured in our patient were similar to those reported for patients with NTM (22), indicating that her exposure to rifampicin and clarithromycin was typical NTM patients treated with these drugs.

A limitation of this study is that the metabolic capacity of docetaxel in this patient was not determined in the absence of rifampicin and clarithromycin, and the possibility that the patient's basal metabolic capacity is atypical cannot be ruled out. The attending physician determined that rifampicin and clarithromycin could not be discontinued as treatment for NTM, so all of this patient's docetaxel treatments were administered with the concomitant use of rifampicin and clarithromycin. Therefore, it is important to evaluate the effects of rifampicin and clarithromycin combination therapy on the pharmacokinetics of docetaxel in a larger number of similar cases, and basic research data are also needed in order to support pharmacokinetic studies. Furthermore, the mechanism of this drug-drug interaction could not be understood from the data in this case. Therefore, in the future, it is hoped that basic research will be conducted on the pharmacokinetics of docetaxel when used in combination with rifampicin and clarithromycin. Specifically, studies are needed to clarify the differences in the influence of docetaxel as a substrate for CYP3A4, OATP, and ABCB1 depending on the presence or absence of rifampicin and clarithromycin, and in vivo studies are needed to comprehensively evaluate these effects.

In conclusion, this case demonstrated that the elimination of docetaxel is likely to be delayed in cases with blood concentrations of rifampicin and clarithromycin commonly seen in the treatment of NTM. In cases of cancer treated with docetaxel where combination therapy with clarithromycin and rifampicin is also required, it is desirable to monitor the blood concentration of docetaxel, given that the blood concentration of docetaxel in individual patients may vary widely due to complex drug interactions.

Acknowledgements

Not applicable.

Funding

Funding: No funding was received.

Availability of data and materials

The data generated in the present study may be requested from the corresponding author.

Authors' contributions

HY, TA, YI, SO, DN, KO, JH and KY participated in the design of the study and reviewed the results. JH, HY, TA, YI and SO made the diagnosis, and discussed this case and carried out the acquisition of data. HY, TA and DN analyzed serum concentrations. HY, TA, DN and KY were responsible for the calculation of pharmacokinetic parameters. HY, TA and KY drafted the manuscript. All authors helped to draft the manuscript, and read and approved the final version of the manuscript.

Ethics approval and consent to participate

Not applicable.

Patient consent for publication

Written informed consent as obtained from the patient.

Competing interests

The authors declare that they have no competing interests.

References

1 

Nieuweboer AJ, de Morrée ES, de Graan AJ, Sparreboom A, de Wit R and Mathijssen RH: Inter-patient variability in docetaxel pharmacokinetics: A review. Cancer Treat Rev. 41:605–613. 2015.PubMed/NCBI View Article : Google Scholar

2 

Daley CL, Iaccarino JM, Lange C, Cambau E, Wallace RJ Jr, Andrejak C, Böttger EC, Brozek J, Griffith DE, Guglielmetti L, et al: Treatment of Nontuberculous Mycobacterial Pulmonary Disease: An Official ATS/ERS/ESCMID/IDSA Clinical Practice Guideline. Clin Infect Dis. 71:e1–e36. 2020.PubMed/NCBI View Article : Google Scholar

3 

Zhou SF: Drugs behave as substrates, inhibitors and inducers of human cytochrome P450 3A4. Curr Drug Metab. 9:310–322. 2008.PubMed/NCBI View Article : Google Scholar

4 

Mori D, Kimoto E, Rago B, Kondo Y, King-Ahmad A, Ramanathan R, Wood LS, Johnson JG, Le VH, Vourvahis M, et al: Dose-Dependent Inhibition of OATP1B by Rifampicin in Healthy Volunteers: Comprehensive Evaluation of Candidate Biomarkers and OATP1B Probe Drugs. Clin Pharmacol Ther. 107:1004–1013. 2020.PubMed/NCBI View Article : Google Scholar

5 

Maeda K: Organic anion transporting polypeptide (OATP)1B1 and OATP1B3 as important regulators of the pharmacokinetics of substrate drugs. Biol Pharm Bull. 38:155–168. 2015.PubMed/NCBI View Article : Google Scholar

6 

Bolleddula J, Gopalakrishnan S, Hu P, Dong J and Venkatakrishnan K: Alternatives to rifampicin: A review and perspectives on the choice of strong CYP3A inducers for clinical drug-drug interaction studies. Clin Transl Sci. 15:2075–2095. 2022.PubMed/NCBI View Article : Google Scholar

7 

Gouin-Thibault I, Delavenne X, Blanchard A, Siguret V, Salem JE, Narjoz C, Gaussem P, Beaune P, Funck-Brentano C, Azizi M, et al: Interindividual variability in dabigatran and rivaroxaban exposure: Contribution of ABCB1 genetic polymorphisms and interaction with clarithromycin. J Thromb Haemost. 15:273–283. 2017.PubMed/NCBI View Article : Google Scholar

8 

Gessner A, König J and Fromm MF: Clinical aspects of transporter-mediated drug-drug interactions. Clin Pharmacol Ther. 105:1386–1394. 2019.PubMed/NCBI View Article : Google Scholar

9 

Common Terminology Criteria for Adverse Events (CTCAE) v5.0. Available from: https://ctep.cancer.gov/protocoldevelopment/electronic_applications/docs/ctcae_v5_quick_reference_5x7.pdf, 2017.

10 

Baker SD, Li J, ten Tije AJ, Figg WD, Graveland W, Verweij J and Sparreboom A: Relationship of systemic exposure to unbound docetaxel and neutropenia. Clin Pharmacol Ther. 77:43–53. 2005.PubMed/NCBI View Article : Google Scholar

11 

Sharma SK and Upadhyay V: Epidemiology, diagnosis & treatment of non-tuberculous mycobacterial diseases. Indian J Med Res. 152:185–226. 2020.PubMed/NCBI View Article : Google Scholar

12 

Namkoong H, Kurashima A, Morimoto K, Hoshino Y, Hasegawa N, Ato M and Mitarai S: Epidemiology of pulmonary nontuberculous mycobacterial disease, Japan. Emerg Infect Dis. 22:1116–1117. 2016.PubMed/NCBI View Article : Google Scholar

13 

Clarke SJ and Rivory LP: Clinical pharmacokinetics of docetaxel. Clin Pharmacokinet. 36:99–114. 1999.PubMed/NCBI View Article : Google Scholar

14 

Engels FK, Ten Tije AJ, Baker SD, Lee CK, Loos WJ, Vulto AG, Verweij J and Sparreboom A: Effect of cytochrome P450 3A4 inhibition on the pharmacokinetics of docetaxel. Clin Pharmacol Ther. 75:448–454. 2004.PubMed/NCBI View Article : Google Scholar

15 

Akiyama N, Inui N, Mori K, Nakamura Y, Hayakawa H, Tanaka S, Uchida S, Namiki N, Watanabe H and Suda T: Effect of rifampicin and clarithromycin on the CYP3A activity in patients with Mycobacterium avium complex. J Thorac Dis. 11:3814–3821. 2019.PubMed/NCBI View Article : Google Scholar

16 

Hisaka A, Ohno Y, Yamamoto T and Suzuki H: Prediction of pharmacokinetic drug-drug interaction caused by changes in cytochrome P450 activity using in vivo information. Pharmacol Ther. 125:230–248. 2010.PubMed/NCBI View Article : Google Scholar

17 

Hu S, Mathijssen RHJ, de Bruijn P, Baker SD and Sparreboom A: Inhibition of OATP1B1 by tyrosine kinase inhibitors: In vitro-in vivo correlations. Br J Cancer. 117(e3)2017.PubMed/NCBI View Article : Google Scholar

18 

Iusuf D, Hendrikx JJ, van Esch A, van de Steeg E, Wagenaar E, Rosing H, Beijnen JH and Schinkel AH: Human OATP1B1, OATP1B3 and OATP1A2 can mediate the in vivo uptake and clearance of docetaxel. Int J Cancer. 136:225–233. 2015.PubMed/NCBI View Article : Google Scholar

19 

Awada A, Hendlisz A, Christensen O, Lathia CD, Bartholomeus S, Lebrun F, de Valeriola D, Brendel E, Radtke M, Delaunoit T, et al: Phase I trial to investigate the safety, pharmacokinetics and efficacy of sorafenib combined with docetaxel in patients with advanced refractory solid tumours. Eur J Cancer. 48:465–474. 2012.PubMed/NCBI View Article : Google Scholar

20 

Koolen SL, Oostendorp RL, Beijnen JH, Schellens JH and Huitema AD: Population pharmacokinetics of intravenously and orally administered docetaxel with or without co-administration of ritonavir in patients with advanced cancer. Br J Clin Pharmacol. 69:465–474. 2010.PubMed/NCBI View Article : Google Scholar

21 

Yoshikado T, Yoshida K, Kotani N, Nakada T, Asaumi R, Toshimoto K, Maeda K, Kusuhara H and Sugiyama Y: Quantitative analyses of hepatic OATP-mediated interactions between statins and inhibitors using PBPK modeling with a parameter optimization method. Clin Pharmacol Ther. 100:513–523. 2016.PubMed/NCBI View Article : Google Scholar

22 

Alffenaar JW, Nienhuis WA, de Velde F, Zuur AT, Wessels AM, Almeida D, Grosset J, Adjei O, Uges DR and van der Werf TS: Pharmacokinetics of rifampin and clarithromycin in patients treated for Mycobacterium ulcerans infection. Antimicrob Agents Chemother. 54:3878–3883. 2010.PubMed/NCBI View Article : Google Scholar

Related Articles

  • Abstract
  • View
  • Download
  • Twitter
Copy and paste a formatted citation
Spandidos Publications style
Yashima H, Araki T, Ishikawa Y, Ohshima S, Nagano D, Obayashi K, Horiguchi J and Yamamoto K: Therapeutic drug monitoring of docetaxel administered for breast cancer in a patient receiving rifampicin and clarithromycin to treat nontuberculous mycobacteriosis: A case report. Mol Clin Oncol 22: 12, 2025.
APA
Yashima, H., Araki, T., Ishikawa, Y., Ohshima, S., Nagano, D., Obayashi, K. ... Yamamoto, K. (2025). Therapeutic drug monitoring of docetaxel administered for breast cancer in a patient receiving rifampicin and clarithromycin to treat nontuberculous mycobacteriosis: A case report. Molecular and Clinical Oncology, 22, 12. https://doi.org/10.3892/mco.2024.2807
MLA
Yashima, H., Araki, T., Ishikawa, Y., Ohshima, S., Nagano, D., Obayashi, K., Horiguchi, J., Yamamoto, K."Therapeutic drug monitoring of docetaxel administered for breast cancer in a patient receiving rifampicin and clarithromycin to treat nontuberculous mycobacteriosis: A case report". Molecular and Clinical Oncology 22.2 (2025): 12.
Chicago
Yashima, H., Araki, T., Ishikawa, Y., Ohshima, S., Nagano, D., Obayashi, K., Horiguchi, J., Yamamoto, K."Therapeutic drug monitoring of docetaxel administered for breast cancer in a patient receiving rifampicin and clarithromycin to treat nontuberculous mycobacteriosis: A case report". Molecular and Clinical Oncology 22, no. 2 (2025): 12. https://doi.org/10.3892/mco.2024.2807
Copy and paste a formatted citation
x
Spandidos Publications style
Yashima H, Araki T, Ishikawa Y, Ohshima S, Nagano D, Obayashi K, Horiguchi J and Yamamoto K: Therapeutic drug monitoring of docetaxel administered for breast cancer in a patient receiving rifampicin and clarithromycin to treat nontuberculous mycobacteriosis: A case report. Mol Clin Oncol 22: 12, 2025.
APA
Yashima, H., Araki, T., Ishikawa, Y., Ohshima, S., Nagano, D., Obayashi, K. ... Yamamoto, K. (2025). Therapeutic drug monitoring of docetaxel administered for breast cancer in a patient receiving rifampicin and clarithromycin to treat nontuberculous mycobacteriosis: A case report. Molecular and Clinical Oncology, 22, 12. https://doi.org/10.3892/mco.2024.2807
MLA
Yashima, H., Araki, T., Ishikawa, Y., Ohshima, S., Nagano, D., Obayashi, K., Horiguchi, J., Yamamoto, K."Therapeutic drug monitoring of docetaxel administered for breast cancer in a patient receiving rifampicin and clarithromycin to treat nontuberculous mycobacteriosis: A case report". Molecular and Clinical Oncology 22.2 (2025): 12.
Chicago
Yashima, H., Araki, T., Ishikawa, Y., Ohshima, S., Nagano, D., Obayashi, K., Horiguchi, J., Yamamoto, K."Therapeutic drug monitoring of docetaxel administered for breast cancer in a patient receiving rifampicin and clarithromycin to treat nontuberculous mycobacteriosis: A case report". Molecular and Clinical Oncology 22, no. 2 (2025): 12. https://doi.org/10.3892/mco.2024.2807
Follow us
  • Twitter
  • LinkedIn
  • Facebook
About
  • Spandidos Publications
  • Careers
  • Cookie Policy
  • Privacy Policy
How can we help?
  • Help
  • Live Chat
  • Contact
  • Email to our Support Team