Spandidos Publications Logo
  • About
    • About Spandidos
    • Aims and Scopes
    • Abstracting and Indexing
    • Editorial Policies
    • Reprints and Permissions
    • Job Opportunities
    • Terms and Conditions
    • Contact
  • Journals
    • All Journals
    • Oncology Letters
      • Oncology Letters
      • Information for Authors
      • Editorial Policies
      • Editorial Board
      • Aims and Scope
      • Abstracting and Indexing
      • Bibliographic Information
      • Archive
    • International Journal of Oncology
      • International Journal of Oncology
      • Information for Authors
      • Editorial Policies
      • Editorial Board
      • Aims and Scope
      • Abstracting and Indexing
      • Bibliographic Information
      • Archive
    • Molecular and Clinical Oncology
      • Molecular and Clinical Oncology
      • Information for Authors
      • Editorial Policies
      • Editorial Board
      • Aims and Scope
      • Abstracting and Indexing
      • Bibliographic Information
      • Archive
    • Experimental and Therapeutic Medicine
      • Experimental and Therapeutic Medicine
      • Information for Authors
      • Editorial Policies
      • Editorial Board
      • Aims and Scope
      • Abstracting and Indexing
      • Bibliographic Information
      • Archive
    • International Journal of Molecular Medicine
      • International Journal of Molecular Medicine
      • Information for Authors
      • Editorial Policies
      • Editorial Board
      • Aims and Scope
      • Abstracting and Indexing
      • Bibliographic Information
      • Archive
    • Biomedical Reports
      • Biomedical Reports
      • Information for Authors
      • Editorial Policies
      • Editorial Board
      • Aims and Scope
      • Abstracting and Indexing
      • Bibliographic Information
      • Archive
    • Oncology Reports
      • Oncology Reports
      • Information for Authors
      • Editorial Policies
      • Editorial Board
      • Aims and Scope
      • Abstracting and Indexing
      • Bibliographic Information
      • Archive
    • Molecular Medicine Reports
      • Molecular Medicine Reports
      • Information for Authors
      • Editorial Policies
      • Editorial Board
      • Aims and Scope
      • Abstracting and Indexing
      • Bibliographic Information
      • Archive
    • World Academy of Sciences Journal
      • World Academy of Sciences Journal
      • Information for Authors
      • Editorial Policies
      • Editorial Board
      • Aims and Scope
      • Abstracting and Indexing
      • Bibliographic Information
      • Archive
    • International Journal of Functional Nutrition
      • International Journal of Functional Nutrition
      • Information for Authors
      • Editorial Policies
      • Editorial Board
      • Aims and Scope
      • Abstracting and Indexing
      • Bibliographic Information
      • Archive
    • International Journal of Epigenetics
      • International Journal of Epigenetics
      • Information for Authors
      • Editorial Policies
      • Editorial Board
      • Aims and Scope
      • Abstracting and Indexing
      • Bibliographic Information
      • Archive
    • Medicine International
      • Medicine International
      • Information for Authors
      • Editorial Policies
      • Editorial Board
      • Aims and Scope
      • Abstracting and Indexing
      • Bibliographic Information
      • Archive
  • Articles
  • Information
    • Information for Authors
    • Information for Reviewers
    • Information for Librarians
    • Information for Advertisers
    • Conferences
  • Language Editing
Spandidos Publications Logo
  • About
    • About Spandidos
    • Aims and Scopes
    • Abstracting and Indexing
    • Editorial Policies
    • Reprints and Permissions
    • Job Opportunities
    • Terms and Conditions
    • Contact
  • Journals
    • All Journals
    • Biomedical Reports
      • Information for Authors
      • Editorial Policies
      • Editorial Board
      • Aims and Scope
      • Abstracting and Indexing
      • Bibliographic Information
      • Archive
    • Experimental and Therapeutic Medicine
      • Information for Authors
      • Editorial Policies
      • Editorial Board
      • Aims and Scope
      • Abstracting and Indexing
      • Bibliographic Information
      • Archive
    • International Journal of Epigenetics
      • Information for Authors
      • Editorial Policies
      • Editorial Board
      • Aims and Scope
      • Abstracting and Indexing
      • Bibliographic Information
      • Archive
    • International Journal of Functional Nutrition
      • Information for Authors
      • Editorial Policies
      • Editorial Board
      • Aims and Scope
      • Abstracting and Indexing
      • Bibliographic Information
      • Archive
    • International Journal of Molecular Medicine
      • Information for Authors
      • Editorial Policies
      • Editorial Board
      • Aims and Scope
      • Abstracting and Indexing
      • Bibliographic Information
      • Archive
    • International Journal of Oncology
      • Information for Authors
      • Editorial Policies
      • Editorial Board
      • Aims and Scope
      • Abstracting and Indexing
      • Bibliographic Information
      • Archive
    • Medicine International
      • Information for Authors
      • Editorial Policies
      • Editorial Board
      • Aims and Scope
      • Abstracting and Indexing
      • Bibliographic Information
      • Archive
    • Molecular and Clinical Oncology
      • Information for Authors
      • Editorial Policies
      • Editorial Board
      • Aims and Scope
      • Abstracting and Indexing
      • Bibliographic Information
      • Archive
    • Molecular Medicine Reports
      • Information for Authors
      • Editorial Policies
      • Editorial Board
      • Aims and Scope
      • Abstracting and Indexing
      • Bibliographic Information
      • Archive
    • Oncology Letters
      • Information for Authors
      • Editorial Policies
      • Editorial Board
      • Aims and Scope
      • Abstracting and Indexing
      • Bibliographic Information
      • Archive
    • Oncology Reports
      • Information for Authors
      • Editorial Policies
      • Editorial Board
      • Aims and Scope
      • Abstracting and Indexing
      • Bibliographic Information
      • Archive
    • World Academy of Sciences Journal
      • Information for Authors
      • Editorial Policies
      • Editorial Board
      • Aims and Scope
      • Abstracting and Indexing
      • Bibliographic Information
      • Archive
  • Articles
  • Information
    • For Authors
    • For Reviewers
    • For Librarians
    • For Advertisers
    • Conferences
  • Language Editing
Login Register Submit
  • This site uses cookies
  • You can change your cookie settings at any time by following the instructions in our Cookie Policy. To find out more, you may read our Privacy Policy.

    I agree
Search articles by DOI, keyword, author or affiliation
Search
Advanced Search
presentation
Medicine International
Join Editorial Board Propose a Special Issue
Print ISSN: 2754-3242 Online ISSN: 2754-1304
Journal Cover
January-February 2024 Volume 4 Issue 1

Full Size Image

Sign up for eToc alerts
Recommend to Library

Journals

International Journal of Molecular Medicine

International Journal of Molecular Medicine

International Journal of Molecular Medicine is an international journal devoted to molecular mechanisms of human disease.

International Journal of Oncology

International Journal of Oncology

International Journal of Oncology is an international journal devoted to oncology research and cancer treatment.

Molecular Medicine Reports

Molecular Medicine Reports

Covers molecular medicine topics such as pharmacology, pathology, genetics, neuroscience, infectious diseases, molecular cardiology, and molecular surgery.

Oncology Reports

Oncology Reports

Oncology Reports is an international journal devoted to fundamental and applied research in Oncology.

Experimental and Therapeutic Medicine

Experimental and Therapeutic Medicine

Experimental and Therapeutic Medicine is an international journal devoted to laboratory and clinical medicine.

Oncology Letters

Oncology Letters

Oncology Letters is an international journal devoted to Experimental and Clinical Oncology.

Biomedical Reports

Biomedical Reports

Explores a wide range of biological and medical fields, including pharmacology, genetics, microbiology, neuroscience, and molecular cardiology.

Molecular and Clinical Oncology

Molecular and Clinical Oncology

International journal addressing all aspects of oncology research, from tumorigenesis and oncogenes to chemotherapy and metastasis.

World Academy of Sciences Journal

World Academy of Sciences Journal

Multidisciplinary open-access journal spanning biochemistry, genetics, neuroscience, environmental health, and synthetic biology.

International Journal of Functional Nutrition

International Journal of Functional Nutrition

Open-access journal combining biochemistry, pharmacology, immunology, and genetics to advance health through functional nutrition.

International Journal of Epigenetics

International Journal of Epigenetics

Publishes open-access research on using epigenetics to advance understanding and treatment of human disease.

Medicine International

Medicine International

An International Open Access Journal Devoted to General Medicine.

Journal Cover
January-February 2024 Volume 4 Issue 1

Full Size Image

Sign up for eToc alerts
Recommend to Library

  • Article
  • Citations
    • Cite This Article
    • Download Citation
    • Create Citation Alert
    • Remove Citation Alert
    • Cited By
  • Similar Articles
    • Related Articles (in Spandidos Publications)
    • Similar Articles (Google Scholar)
    • Similar Articles (PubMed)
  • Download PDF
  • Download XML
  • View XML
Article Open Access

Surgical outcomes of patients with unruptured anterior vs. inferior circulation aneurysms: A meta‑analysis

  • Authors:
    • George Fotakopoulos
    • Ioannis G. Lempesis
    • Vasiliki Epameinondas Georgakopoulou
    • Nikolaos Trakas
    • Pagona Sklapani
    • Konstantinos Faropoulos
    • Kostas N. Fountas
  • View Affiliations / Copyright

    Affiliations: Department of Neurosurgery, General University Hospital of Larissa, 41221 Larissa, Greece, Department of Pathophysiology, National and Kapodistrian University of Athens, 11527 Athens, Greece, Department of Biochemistry, Sismanogleio Hospital, 15126 Athens, Greece, Department of Neurosurgery, Nicosia General Hospital, 2029 Nicosia, Cyprus
    Copyright: © Fotakopoulos et al. This is an open access article distributed under the terms of Creative Commons Attribution License [CC BY 4.0].
  • Article Number: 5
    |
    Published online on: December 28, 2023
       https://doi.org/10.3892/mi.2023.129
  • Expand metrics +
Metrics: Total Views: 0 (Spandidos Publications: | PMC Statistics: )
Metrics: Total PDF Downloads: 0 (Spandidos Publications: | PMC Statistics: )
Cited By (CrossRef): 0 citations Loading Articles...

This article is mentioned in:



Abstract

The treatment option for unruptured intracranial aneurysms (UIAs) depends on their natural history‑related risk of rupture vs. the risk of surgical management. The present meta‑analysis sought to assess the association between the surgical outcomes of anterior and posterior circulation UIAs. The present study investigated the comparative articles involving the surgical treatment of anterior vs. posterior circulation UIAs through electronic databases, including the Cochrane Library, PubMed (1980 to March, 2023), Medline (1980 to March, 2023) and EMBASE (1980 to March, 2023). Quoting all exclusion and inclusion criteria, nine articles finally remained for statistical analysis. The entire number of patients included in these nine articles was 3,253 (2,662 in the anterior and 591 in the posterior circulation UIAs group). The present meta‑analysis proposes that the surgical treatment of anterior circulation UIAs is associated with better outcomes compared with the surgical management of posterior circulation UIAs.

Introduction

Intracranial aneurysms are abnormal, balloon-shaped dilations of the walls of intracranial arteries. Depending on their size and other risk factors, such as cigarette smoking and an uncontrollably high blood pressure, they have a tendency to rupture.

Unruptured intracranial aneurysms (UIAs) are comparatively frequent lesions that account for 0.4-6% of the general population (1,2). During the previous decades, there was a huge debate on whether to treat UIAs or follow them up. On the one hand, the possible complications of the ‘wait and see’ approach, namely the rupture of the aneurysm (electrolyte disturbance, hydrocephalus, vasospasm, coma and mortality) had to be taken into account, while on the other hand, the possible complications of the elective surgical treatment of an intracranial aneurysm (post-operative pain, blood loss, epileptic seizures, cerebral laceration, neurological deficit and mortality) had to be considered. The ‘compass’ that was used to provide guidance of cases of UIAs was the annual rupture risk of a UIA vs. the risks associated with surgical management (3).

The annual risk of rupture during the lifetime of a patient with a UIA (also known as the natural risk) of UIAs is found to be 1-2%, and that risk is added to the risk of the following year for every year of life. Thus, for a 20-year-old patient with a UIA, there is a 40-80% chance of an aneurysm rupture by the age of 60 years, while for a 40-year-old patient with a UIA, there is a 20-40% chance of an aneurysm rupture by the age of 60 years. Additionally, the mortality of rate of patients with a ruptured aneurysm is 40%, while in other research series, that number increases to 50% (3).

By contrast, the morbidity associated with the microsurgical treatment of UIAs has been found to be lower than that for ruptured aneurysms (4,5). Under that scope, the suggested modality for UIAs was to treat them, as the treatment has superior results and fewer complications compared to the natural history of the disease and the possible complications following an aneurysm rupture, at least for the younger patients (4,5).

That dogma is used mostly for anterior circulation aneurysms, while the management method of a posterior circulation aneurysm is a debatable theme. The issue is that the majority of studies which mention outcomes from the surgical management of UIAs have excluded posterior circulation aneurysms, possibly since these aneurysms are considered surgically challenging and are associated with a higher morbidity risk compared with their anterior circulation counterparts (3-5). In detail, some reports mention a 4.2% unfavorable outcome rate associated with the surgical management of posterior circulation aneurysms. Notwithstanding, it should be noted that these reports included only giant aneurysms (3,4,6), which are the most demanding when they are treated surgically.

It is well known that there are some studies with notable findings; these studies evaluated the natural risk of bleeding in the UIAs and proposed various management options for posterior and anterior circulation aneurysms (7,8). However, there is limited information available regarding the specific influence of the location of the aneurysm (anterior vs. posterior circulation UIAs) on surgical outcomes.

The present meta-analysis aimed to assess the association between the surgical outcomes of patients with anterior vs. posterior circulation UIAs. Moreover, in order to define the procedural good neurological outcomes, morbidity and mortality, the modified Rankin scale (mRS) >2 was used for patients with a UIA that were treated surgically.

Data and methods

Literature search strategy

The present meta-analysis investigated the proportional articles on the surgical treatment of anterior vs. posterior circulation UIAs through electronic databases, including the Cochrane Library, PubMed (1980 to March, 2023), Medline (1980 to March, 2023) and EMBASE (1980 to March, 2023). Preferred Reporting Items for Systematic Reviews and Meta-Analyses (PRISMA) (9) served as the foundation for the protocol and manuscript design. In the Medical Subject Headings (MeSH) list, the following key words were used: ‘Anterior and posterior circulation aneurysms’, ‘unruptured aneurysms’, ‘anterior vs. posterior circulation aneurysm surgery’ and ‘unruptured aneurysm surgery’.

Inclusion and exclusion criteria

All studies included in the present meta-analysis met the PICOS criteria as follows: i) Population: Limited to patients that underwent aneurysm clipping surgery for UIAs anterior and posterior circulation; ii) Intervention: Surgical treatment for UIAs; iii) Comparison: The outcomes were evaluated and compared; iv) Outcome measures: One of the primary outcomes, such as procedural morbidity (mRS >2), mortality and good neurological outcomes related to aneurysmal surgical treatment, were all evaluated. To shun publication bias, the concluding intent was to assemble a homogenous sum of studies involving only articles that evaluate only two modalities: A comparison between the surgical treatment of anterior and posterior UIAs. The present study excluded all articles that were reviews, editorials and case reports. Moreover, articles that investigated the pediatric population, unrelated outcomes, comorbidities, novel techniques in the experimental stage, or one of the two treatment options, and all those that revealed mixed or uncertain results, being divided between anterior and posterior circulation UIAs surgical treatment, were also excluded.

Data extraction and outcome definition

Two authors (GF and KF) separately extracted data from the contained articles according to the epidemiology guidelines of the meta-analysis. The following critical information was retained: The main authors, publication year, entire number of cases in the anterior and posterior circulation UIA groups, outcome indicator, study type, etc. According to the Cochrane Handbook, the pulled-out data was entered into a planned, standardized table (https://training.cochrane.org/handbook).

In the case of a discrepancy, an additional author with authority made the concluding decision. Post-operative outcomes declared in the final pool articles were assessed at least 6 months following surgical treatment (UIAs, anterior or posterior circulation). Furthermore, to diminish the risk of bias in the articles, a quality assessment tool (the Newcastle-Ottawa Scale) was performed (Table I) (10). In addition, the patients were divided into two groups as follows: Those with anterior circulation UIAs and those with posterior circulation UIAs.

Table I

Newcastle-Ottawa scale quality assessment of the final article pool.

Table I

Newcastle-Ottawa scale quality assessment of the final article pool.

 Newcastle-Ottawa scale
Authors, year of publicationStudy designSelectionComparabilityExposureTotal scores(Refs.)
Asari and Ohmoto, 1994Retrospective3339(18)
Khanna et al, 1996Retrospective3227(3)
Grigorian et al, 2003Prospective3339(15)
Aghakhani et al, 2008Retrospective3227(16)
Sharma et al, 2013Retrospective3227(14)
Spetzler et al, 2013Prospective3339(12)
Mahaney et al, 2014Retrospective and prospective3339(11)
Bruneau et al, 2016Prospective3227(13)
Deruty et al, 2016Retrospective3227(17)
Statistical analysis

All analyses were carried out using Review Manager Software (RevMan), version 5.4 (https://training.cochrane.org/online-learning/core-software/revman). Heterogeneity across trials was identified using I2 statistics; I2 >50% was considered high heterogeneity. A meta-analysis was conducted using a random-effect model according to the Cochrane Handbook for Systematic Reviews of Interventions (version 5.1.0; https://training.cochrane.org/online-learning/coresoftware/revman); or else, the fixed-effect model was carried out. The continuous outcomes (procedural morbidity (mRS >2), mortality and good neurological outcome related to aneurysmal surgical treatment) were stated as a weighted mean difference with 95% confidence intervals (CIs). In the case of discontinuous variables, odds ratios (ORs) with 95% CIs were obtained for the evaluation. A P-value <0.05 was considered to indicate a statistically significant difference.

Results

Studies in the final pool

Following the primary search, 18 studies were suitable for further evaluation. When all the criteria were applied, nine articles were contained in the final study pool (Fig. 1) (3,11-18). The comprehensive data on these articles are presented in Table II. The total sample of patients collected from these nine articles was 3,253 (2,662 in the anterior and 591 in the posterior circulation UIAs group).

Figure 1

Flow chart of the study selection process in the present meta-analysis.

Table II

Design and baseline characteristics of the included studies.

Table II

Design and baseline characteristics of the included studies.

 Sample size Anterior circulationPosterior circulationSizeGood recoverymRS >2Mortality 
Authors, year of publicationAnt. circPost. circMean age (years)No. of malesAcomMCAICAPcom/PCAPICA/SCABasilar type<19 mm>19 mmAnt. circPost. circAnterior CircPost. circAnt. circPost. Circ(Refs.)
Asari and Ohmoto, 199471561.5361329291-46887041100(18)
Khanna et al, 19961502251.950------14032118127500(3)
Grigorian et al, 20033254053.5NR51101173--4015920630430211010(15)
Aghakhani et al, 200819444491274411733403117860194420200(16)
Sharma et al, 201374555.07211428394069106945120(14)
Spetzler et al, 201316148NRNR75292039238209011827432100(12)
Mahaney et al, 20141,39341052.7NR285615493304-1067014071,3223381400(11)
Bruneau et al, 20162151351.355221374175NRNR215130000(13)
Deruty et al, 20167944640132937--4NRNR7722211(17)

[i] Ant. circ, anterior circulation; Post. circ, posterior circulation; Acom, anterior communicating artery; MCA, middle cerebral artery; ICA, internal carotid artery; PICA, posterior inferior cerebellar artery; SCA, superior cerebellar artery; mRS, mRS, modified Rankin scale.

Good recovery

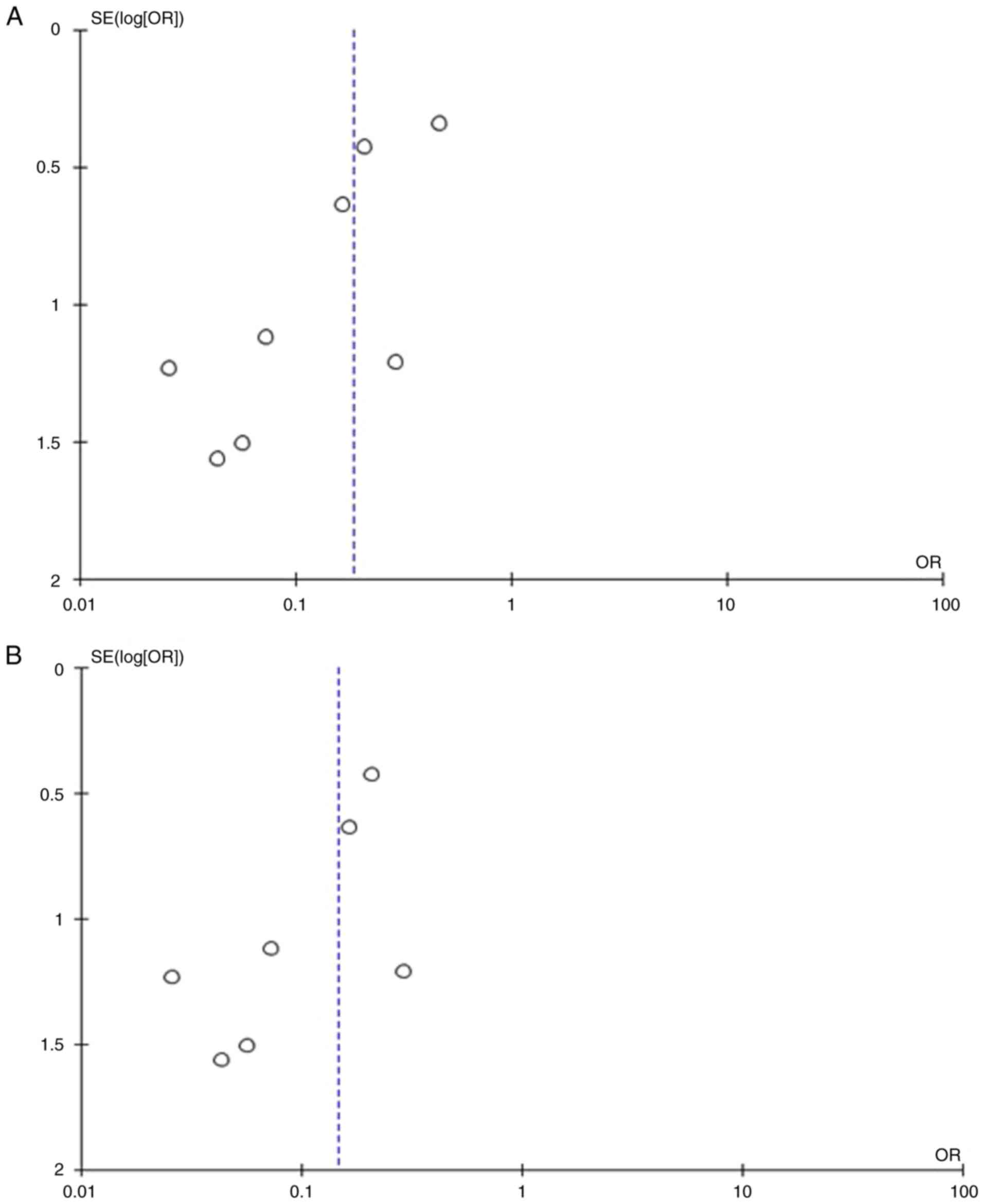
A total of nine articles (3,11-18) provided information on good recovery following surgical treatment. There were 2,959 patients (2,487 or 93.42% in the anterior circulation group and 472 or 79.86% in the posterior circulation group), and there was a statistically significant difference between groups (OR, 3.38; 95% CI, 2.58 to 5.77; P<0.05), demonstrating the statistical superiority of the anterior circulation group of UIAs; however, there was low heterogeneity (P=0.23 and I2=25%) (Fig. 2A). While evaluating the sensitivity, one study was removed at a time using the ‘leave-one-out’ model (Table III). Following the removal of the article by Deruty et al (17), there was additionally a statistically significant superiority over the groups (OR, 3.66; 95% CI, 2.79 to 4.81; P<0.05), with no heterogeneity (P=0.46 and I2=0%) (Fig. 2Β). When the funnel plot was utilized for the analysis of the same parameter, it was found that the study results without the study by Deruty et al (17) revealed a better dispersion with no publication bias compared with the results of the same analysis if this one article was included (Fig. 2C and D).

Figure 2

(A) Forest plot for good recovery: The results demonstrate a statistically significant difference between groups (OR 3.86; 95% CI, 2.58 to 5.77; P<0.05), with a low heterogeneity. (B) OR forest plot for good recovery without the study by Deruty et al (17). The results demonstrate a statistically significant difference (OR, 3.66; 95% CI, 2.79 to 4.81; P<0.05). (C) Funnel plot of good recovery between groups, with the study by Deruty et al (17) and with a low heterogeneity (P=0.23 and I2=25%). (D) Funnel plot of good recovery between groups, without the study Deruty et al (17), and without heterogeneity (P=0.46 and I2=0%). I2, the percentage of total variation across studies that is due to heterogeneity rather than chance; CI, confidence interval; OR, odds ratio.

Table III

Outcomes of the meta-analysis.

Table III

Outcomes of the meta-analysis.

 GroupsOverall effectHeterogeneity 
Parameters‘Leave-one-out’ modelTrial, n=9Ant. circPost. circEffect estimate95% CIP-valueI2 (%)P-value(Refs.)
Good recovery-926625913.86(2.58-5.77)<0.05250.23 
 Asari and Ohmoto, 1994825915863.75(2.50-5.63)<0.05280.22(18)
 Khanna et al, 1996825125694.14(2.53-6.79)<0.05340.17(3)
 Grigorian et al, 2003823375513.79(2.30-6.26)<0.05330.18(15)
 Aghakhani et al, 2008824685473.73(2.52-5.53)<0.05250.24(16)
 Sharma et al, 2013825885863.94(2.52-6.17)<0.05360.16(14)
 Spetzler et al, 2013825015434.22(3.14-5.68)<0.0500.42(12)
 Mahaney et al, 2014812691814.18(2.24-7.83)<0.05340.17(11)
 Bruneau et al, 2016824475783.86(2.58-5.77)<0.05250.23(13)
 Deruty et al, 2016825835873.66(2.79-4.81)<0.0500.46(17)
mRS >2-926625910.19(0.10-0.36)<0.05350.15 
 Asari et al, 1994825915860.19(0.10-0.39)<0.05390.13(18)
 Khanna et al, 1996825125690.18(0.08-0.39)<0.05420.11(3)
 Grigorian et al, 2003823375510.15(0.06-0.38)<0.05430.10(15)
 Aghakhani et al, 2008824685470.20(0.10-0.39)<0.05370.14(16)
 Sharma et al, 2013825885860.17(0.08-0.36)<0.05440.19(14)
 Spetzler et al, 2013825015430.15(0.08-0.27)<0.0500.63(12)
 Mahaney et al, 2014812691810.20(0.10-0.40)<0.05370.14(11)
 Bruneau et al, 2016824475780.19(0.10-0.36)<0.05350.15(13)
 Deruty et al, 2016825835870.24(0.13-0.41)<0.05180.29(17)
Mortality-926625910.17(0.03-0.77)0.0500.49 

[i] Ant. circ, anterior circulation; Post. circ, posterior circulation; mRS, modified Rankin scale; I2, the percentage of total variation across studies that is due to heterogeneity rather than chance; CI, confidence interval.

mRS >2

Information regarding mRS >2 was available in nine articles (3,11-18). There were 126 patients (80 or 3.00% in the anterior circulation group and 46 or 7.78% in the posterior circulation group), and there was a statistically significant difference between groups (OR, 0.19; 95% CI, 0.10 to 0.36; P<0.05), demonstrating the statistical superiority of the anterior circulation group of UIAs; however, there was a low heterogeneity (P=0.15 and I2=35%) (Fig. 3A). While assessing the sensitivity, one study was removed at a time using the ‘leave-one-out’ model (Table III). After eliminating the article by Spetzler et al (12), there was additionally a statistically significant superiority over the groups (OR, 0.15; 95% CI, 0.08 to 0.27; P<0.05), with no heterogeneity (P=0.63 and I2=0%) (Fig. 3Β). When studying the funnel plot of the same parameter, it was observed that the study results without the study by Spetzler et al (12) revealed better dispersion with no publication bias, in contrast to the same analysis including this one article (Fig. 4A and B). Given that the patients in the study by Spetzler et al (12) represented 50.7% (64/126) of the included articles, this was not a surprise.

Figure 3

(A) Forest Plot of mRS >2. The results demonstrate a statistically significant difference between groups (OR, 0.19; 95% CI, 0.10 to 0.36; P<0.05), but with a low heterogeneity. (B) OR forest plot for mRS >2 without the study by Spetzler et al (12) article. The results again demonstrated no statistically significant difference (OR, 0.15; 95% CI, 0.08 to 0.27; P<0.05). I2, the percentage of total variation across studies that is due to heterogeneity rather than chance; CI, confidence interval; OR, odds ratio.

Figure 4

(A) Funnel plot of the mRS >2 parameter between groups, with the study by Spetzler et al (12), and with heterogeneity (P=0.15 and I2=35%). (B) Funnel plot of the mRS >2 parameter between groups, without the study by Spetzler et al (12), and a low heterogeneity (P=0.63 and I2=0%). mRS, modified Rankin scale; I2, the percentage of total variation across studies that is due to heterogeneity rather than chance; CI, confidence interval; OR, odds ratio.

Mortality

Information for mortality was available in nine articles (3,11-18). In the entry group of patients, there were 5 patients [4 (0.15%) in the anterior circulation group and 1 (0.17%) in the posterior circulation group], demonstrated a statistically significant difference between the groups (OR, 0.17; 95% CI, 0.03 to 1.00; P=0.05), with no heterogeneity (P=0.49 and I2=0% (Fig. 5A) and the superiority of the anterior circulation group compared with the posterior circulation UIAs group. A summary of the results of the present meta-analysis is presented in Table III.

Figure 5

(A) OR forest plot for mortality. The results demonstrated a statistically significant results (OR, 0.17; 95% CI, 0.03 to 1.00; P=0.05). (B) Funnel plot of mortality in groups; the results demonstrated no heterogeneity (P=0.49 and I2=0%). I2, the percentage of total variation across studies that is due to heterogeneity rather than chance; CI, confidence interval; OR, odds ratio.

A summary of the meta-analysis results comparing the outcomes of surgical treatment for UIAs in the anterior and posterior circulation is presented in Fig. 6.

Figure 6

Summary of the results of the meta-analysis comparing the outcomes of surgical treatment for UIAs in the anterior and posterior circulation. Surgical treatment of anterior circulation UIAs is associated with better outcomes compared to posterior circulation UIAs. Major arteries and common sites of formation of intracranial aneurysms are also shown. mRS, modified Rankin scale. Parts of this image are derived from the free medical site http://smart.servier.com/ (accessed on 18 October 2023) by Servier, licenced under a Creative Commons Attribution 3.0 Unported Licence. UIAs, unruptured intracranial aneurysms.

Discussion

Τhe optional modality for UIAs was to treat them (4,5); however, that recommendation is applied mostly for anterior circulation aneurysms, while the management method of a posterior circulation aneurysm is a debatable issue (3).

Thus, the present meta-analysis proposes that the surgical treatment of the anterior circulation UIAs is associated with better outcomes than the surgical management of posterior circulation UIAs. More precisely, mortality was a statistically significant parameter in patients with UIAs who were surgically treated, demonstrating the superiority of anterior compared to posterior circulation UIAs. In addition, mRS >2 and good recovery were statistically significant factors, demonstrating the advantage of surgical management of the anterior circulation UIAs compared with posterior circulation UIAs.

It has been reported that hemorrhage rates are significantly higher in the untreated group than in surgically treated patients (3). However, derived from a previously identified natural history between posterior vs. anterior circulation aneurysms, anterior circulation aneurysms hemorrhage less frequently (3). In addition, UIAs with posterior circulation aneurysms have 0.5% 1-year hemorrhage rates and morbidity. Of note, the hemorrhage rates and morbidity for patients >65 years of age with UIAs have been shown to not differ significantly by surgical management (3). On the other hand, in the same study and for the same subgroup of patients with an aneurysm size >13 mm, 33% of procedure-related morbidity was reported (3). In the present meta-analysis, the morbidity was twice higher in posterior compared with anterior circulation UIAs.

Other studies accounting for outcomes following surgery for UIAs have established 0 to 18% morbidity and 0 to 4% mortality (3); however, these studies did not include posterior circulation aneurysms, possibly due to the high risk of morbidity related to their surgical treatment (11,19-21). On the other hand, Drake et al (22) reported a 14.3% morbidity rate with the surgical management of UIAs in the posterior circulation compared to 0% morbidity in anterior circulation UIAs. However, the results of the present meta-analysis confirm the prognostic significance of aneurysm location for surgical outcomes. In effect, patients with an aneurysm in the posterior circulation had an almost 2-fold higher risk of an unfavorable outcome following surgical management than those with an aneurysm in the anterior circulation. Posterior circulation and aneurysms in difficult-to-access areas (arachnoid aneurysms, cavernous internal carotid artery) are possibly technically complex for representation and clip. They may have an increased morbidity and mortality associated with their treatment. Thus, the aneurismal location affects the operative morbidity. Even though limited data are available on the surgical treatment of UIAs of the posterior circulation exists, in the accommodating study (23), patients with UIAs in the anterior circulation had surgical morbidity rates between 4.8 and 16.8%. In addition, research has mentioned the high surgical risk of UIAs sited on the vertebrobasilar artery (24). However, unruptured aneurysms of the posterior circulation can be surgically treated with a low operative risk (25). The International Study of Unruptured Intracranial Aneurysms (ISUIA) recorded the overall morbidity and mortality in microsurgically treated patients at 1 year as 12.6%, counting cognitive impairment (8) and the evaluated risk factors as possible interpreters of the outcome. However, the ISUA included a larger number of patients with large aneurysms, a larger sum of patients with posterior communicating artery and posterior circulation aneurysms, and the ISUIA had 12.4% cavernous aneurysms, which are known to have a more benign course (8). In addition, a previous meta-analysis on the outcomes of surgery for unruptured aneurysms, including studies from 1966 to 1996, mentioned a mortality rate of 2.6% and a morbidity of 10.9%. Still, compared with the present meta-analysis, the majority of the involved studies did not include novel neurosurgical techniques or equipment and analyzed separated anterior and posterior circulation UIAs as surgical treatments. Thus, there is a risk of bias (26).

The majority of comparable studies and reviews refer to non-randomized studies (8,11) and have found no direct facts of clinical benefit from either treatment concerning the natural history of these lesions, raising a dilemma for both patients and neurosurgeons. Furthermore, patients with unruptured intracerebral aneurysms <7 mm in size with no evidence of rupture have been shown to have a very low bleeding rate (0 to 1% per year) (8,11). Consequently, obtaining a better natural history of these aneurysms would be challenging.

A number of considerations are used in the management of patients with UIAs. Patients <50 years of age with aneurysms that are ≤20 mm or less in the anterior circulation have better surgical outcomes. By contrast, patients >50 years of age, particularly those with large aneurysms in the posterior circulation, have the lowest surgical morbidity (27). Other key topics that require assessment include the patient's age (e.g., to establish whether the older patient has a worse outcome), aneurysm size, location (posterior and anterior circulation), history of stroke (major stroke is related to the poorest outcome), sex (female vs. male) and the duration of hospital stay.

In many studies for overall management, it has been established that posterior circulation aneurysms have the poorest outcome compared with anterior circulation, which was the case for both microsurgically and coiled-treated patients (8,14,26). On the other hand, further analysis in a number of types of research has not succeeded in demonstrating a statistically significant difference in the outcome of surgically managed aneurysms when evaluating anterior and posteriorly located aneurysms, even though this relation was preserved for coiled-treated aneurysms (26). The current year's modifications to aneurysm management training standards may help to explain this. Posterior aneurysms were treated more commonly with endovascular procedures compared with microsurgical intervention; as a consequence of the diversion of possible unfavorable outcomes, posterior aneurysms avoided surgical intervention, and on the way to endovascular management, morbidity for the comparatively small number of posterior aneurysms in the microsurgical group of patients revealed a minimal difference in outcomes compared with the anterior lesions. Additional patients need to be studied before any statistical significance can be reached. However, in the present meta-analysis, a tendency towards improved outcomes for patients with anterior circulation aneurysms undergoing microsurgery was observed.

Studies indicate that large aneurysms in the posterior region are more likely to hemorrhage, while small ones in the anterior circulation are less likely to hemorrhage. Even though this information should be considered when treating patients with UIAs, the majority of neurosurgeons cannot disregard the fact that several studies with ruptured aneurysms indicate that small-sized lesions were the most frequent aneurysms to rupture (28-30). This generates a question for physicians who are ambiguous about what they face in their everyday practice and what is being published in the literature. This is more complex, as the majority of patients with a history of aneurysm rupture may not be admitted to the hospital, and another 25% experience severe permanent brain injury. In addition, it appears to be a very challenging case for the treating neurosurgeon to decide for a young patient with a small and unruptured aneurysm. In this challenging decision-making situation, the neurosurgeon has to take into account the fact that it is a very superficial thought that the location and size of an aneurysm are sufficient data with which to make a serious choice in forecasting the performance of an aneurysm (26).

On the other hand, it must be considered that patients who undergo surgery for UIAs from the anterior or posterior circulation may experience retained strokes or hemorrhages on the additional follow-up. However, if we pay attention to a complete aneurysm clipping, it is enormously doubtful that it will be the reason for such strokes or novel hemorrhages. However, if all the possible locations (anterior or posterior) and other reasons for poor outcomes that could influence a certain population are taken into account, this would lead to an enormous amount of probability, from the inherent characteristics of each patient to their type of nutrition habits. It should be recognized that, even though statistics need calibration, medicine necessitates much perception, and the reality is that statistical results include several probabilities in the best case, while medical management requires diligent conclusions.

There are several limitations to the present study. First, the majority of the eligible reports that were included were retrospective. These retrospective studies, by definition, rely on imprecision and data loss. Additionally, the methods of the included studies markedly differed. Among these differences was the length of follow-up (e.g., 30-90 days). A longer follow-up period with these patients is warranted in order to correctly set up outcomes associated with treatment procedures. Additionally, the present study did not address outcomes in patients with unruptured aneurysms that are managed conservatively.

In conclusion, the present study demonstrates that the surgical treatment of patients with anterior circulation UIAs is associated with better outcomes than the surgical management of posterior circulation UIAs. In fact, mortality was a statistically significant parameter in patients with UIAs who were surgically treated, exhibiting the superiority of anterior compared to posterior circulation UIAs. In addition, mRS >2 and a good recovery were statistically significant factors, demonstrating the advantage of surgical management of the anterior circulation UIAs more than the posterior circulation. These findings indicate that surgical treatment may benefit the management of anterior circulation UIAs. It is also beyond doubt that a randomized trial is required in order to determine the difference in outcomes between these two treatment modalities in these patients.

Acknowledgements

Not applicable.

Funding

Funding: No funding was received.

Availability of data and materials

The datasets used and/or analyzed during the current study are available from the corresponding author on reasonable request.

Authors' contributions

GF and KNF conceptualized the study. VEG, GF, NT, PS, IGL, KF and KNF analyzed the data, and wrote and prepared the draft of the manuscript. KNF and GF provided critical revisions. All authors contributed to manuscript revision, and have read and approved the final version of the manuscript. GF and KF confirm the authenticity of all the raw data.

Ethics approval and consent to participate

Not applicable.

Patient consent for publication

Not applicable.

Competing interests

The authors declare that they have no competing interests.

References

1 

Qureshi AI, Janardhan V, Hanel RA and Lanzino G: Comparison of endovascular and surgical treatments for intracranial aneurysms: An evidence-based review. Lancet Neurol. 6:816–825. 2007.PubMed/NCBI View Article : Google Scholar

2 

Alshekhlee A, Mehta S, Edgell RC, Vora N, Feen E, Mohammadi A, Kale SP and Cruz-Flores S: Hospital mortality and complications of electively clipped or coiled unruptured intracranial aneurysm. Stroke. 41:1471–1476. 2010.PubMed/NCBI View Article : Google Scholar

3 

Khanna RK, Malik GM and Qureshi N: Predicting outcome following surgical treatment of unruptured intracranial aneurysms: A proposed grading system. J Neurosurg. 84:49–54. 1996.PubMed/NCBI View Article : Google Scholar

4 

Henry J, Dablouk MO, Kapoor D, Koustais S, Corr P, Nolan D, Coffey D, Thornton J, O'Hare A, Power S, et al: Outcomes following poor-grade aneurysmal subarachnoid haemorrhage: A prospective observational study. Acta Neurochir (Wien). 165:3651–3664. 2023.PubMed/NCBI View Article : Google Scholar

5 

King JT Jr, Berlin JA and Flamm ES: Morbidity and mortality from elective surgery for asymptomatic, unruptured, intracranial aneurysms: A meta-analysis. J Neurosurg. 81:837–842. 1994.PubMed/NCBI View Article : Google Scholar

6 

Solomon RA, Fink ME and Pile-Spellman J: Surgical management of unruptured intracranial aneurysms. J Neurosurg. 80:440–446. 1994.PubMed/NCBI View Article : Google Scholar

7 

International Study of Unruptured Intracranial Aneurysms Investigators. Unruptured intracranial aneurysms-risk of rupture and risks of surgical intervention. N Engl J Med. 339:1725–1733. 1998.PubMed/NCBI View Article : Google Scholar

8 

Wiebers DO, Whisnant JP, Huston J III, Meissner I, Brown RD Jr, Piepgras DG, Forbes GS, Thielen K, Nichols D, O'Fallon WM, et al: Unruptured intracranial aneurysms: Natural history, clinical outcome, and risks of surgical and endovascular treatment. Lancet. 362:103–110. 2003.PubMed/NCBI View Article : Google Scholar

9 

Foster RL: Reporting guidelines: CONSORT, PRISMA, and SQUIRE. J Spec Pediatr Nurs. 17:1–2. 2012.PubMed/NCBI View Article : Google Scholar

10 

Bae JM: A suggestion for quality assessment in systematic reviews of observational studies in nutritional epidemiology. Epidemiol Health. 38(e2016014)2016.PubMed/NCBI View Article : Google Scholar

11 

Mahaney KB, Brown RD Jr, Meissner I, Piepgras DG, Huston J III, Zhang J and Torner JC: ISUIA Investigators. Age-related differences in unruptured intracranial aneurysms: 1-year outcomes. J Neurosurg. 121:1024–1038. 2014.PubMed/NCBI View Article : Google Scholar

12 

Spetzler RF, McDougall CG, Albuquerque FC, Zabramski JM, Hills NK, Partovi S, Nakaji P and Wallace RC: The barrow ruptured aneurysm trial: 3-Year results. J Neurosurg. 119:146–157. 2013.PubMed/NCBI View Article : Google Scholar

13 

Bruneau M, Amin-Hanjani S, Koroknay-Pal P, Bijlenga P, Jahromi BR, Lehto H, Kivisaari R, Schaller K, Charbel F, Khan S, et al: Surgical clipping of very small unruptured intracranial aneurysms: A multicenter international study. Neurosurgery. 78:47–52. 2016.PubMed/NCBI View Article : Google Scholar

14 

Sharma M, Brown B, Madhugiri V, Cuellar-Saenz H, Sonig A, Ambekar S and Nanda A: Unruptured intracranial aneurysms: comparison of perioperative complications, discharge disposition, outcome, and effect of calcification, between clipping and coiling: A single institution experience. Neurol India. 61:270–276. 2013.PubMed/NCBI View Article : Google Scholar

15 

Grigorian AA, Marcovici A and Flamm ES: Intraoperative factors associated with surgical outcome in patients with unruptured cerebral aneurysms: The experience of a single surgeon. J Neurosurg. 99:452–457. 2003.PubMed/NCBI View Article : Google Scholar

16 

Aghakhani N, Vaz G, David P, Parker F, Goffette P, Ozan A and Raftopoulos C: Surgical management of unruptured intracranial aneurysms that are inappropriate for endovascular treatment: Experience based on two academic centers. Neurosurgery. 62:1227–1235. 2008.PubMed/NCBI View Article : Google Scholar

17 

Deruty R, Pelissou-Guyotat I, Mottolese C and Amat D: Management of unruptured cerebral aneurysms. Neurol Res. 18:39–44. 1996.PubMed/NCBI View Article : Google Scholar

18 

Asari S and Ohmoto T: Long-term outcome of surgically treated unruptured cerebral aneurysms. Clin Neurol Neurosurg. 96:230–235. 1994.PubMed/NCBI View Article : Google Scholar

19 

Asari S: Surgical management of the unruptured cerebral aneurysm accompanied by ischemic cerebrovascular disease. Clin Neurol Neurosurg. 94:119–125. 1992.PubMed/NCBI View Article : Google Scholar

20 

Deruty R, Pelissou-Guyotat I, Mottolese C, Bognar L and Oubouklik A: Surgical management of unruptured intracranial aneurysms. Personal experience with 37 cases and discussion of the indications. Acta Neurochir (Wien). 119:35–41. 1992.PubMed/NCBI View Article : Google Scholar

21 

Inagawa T, Hada H and Katoh Y: Unruptured intracranial aneurysms in elderly patients. Surg Neurol. 38:364–370. 1992.PubMed/NCBI View Article : Google Scholar

22 

Drake CG: Progress in cerebrovascular disease. Management of cerebral aneurysm. Stroke. 12:273–283. 1981.PubMed/NCBI View Article : Google Scholar

23 

Gerlach R, Beck J, Setzer M, Vatter H, Berkefeld J, Du Mesnil de Rochemont R, Raabe A and Seifert V: Treatment related morbidity of unruptured intracranial aneurysms: Results of a prospective single centre series with an interdisciplinary approach over a 6 year period (1999-2005). J Neurol Neurosurg Psychiatry. 78:864–871. 2007.PubMed/NCBI View Article : Google Scholar

24 

Eskesen V, Rosenørn J, Schmidt K, Espersen JO, Haase J, Harmsen A, Hein O, Knudsen V, Marcussen E, Midholm S, et al: Clinical features and outcome in 48 patients with unruptured intracranial saccular aneurysms: A prospective consecutive study. Br J Neurosurg. 1:47–52. 1987.PubMed/NCBI View Article : Google Scholar

25 

Rice BJ, Peerless SJ and Drake CG: Surgical treatment of unruptured aneurysms of the posterior circulation. J Neurosurg. 73:165–173. 1990.PubMed/NCBI View Article : Google Scholar

26 

Krisht AF, Gomez J and Partington S: Outcome of surgical clipping of unruptured aneurysms as it compares with a 10-year nonclipping survival period. Neurosurgery. 58:207–216. 2006.PubMed/NCBI View Article : Google Scholar

27 

Williams LN and Brown RD Jr: Management of unruptured intracranial aneurysms. Neurol Clin Pract. 3:99–108. 2013.PubMed/NCBI View Article : Google Scholar

28 

Fotakopoulos G, Tsianaka E, Fountas K, Makris D, Spyrou M and Hernesniemi J: Clipping versus coiling in anterior circulation ruptured intracranial aneurysms: A meta-analysis. World Neurosurg. 104:482–488. 2017.PubMed/NCBI View Article : Google Scholar

29 

Fotakopoulos G, Andrade-Barazarte H, Tjahjadi M, Goehre F and Hernesniemi J: Clipping versus coiling in ruptured basilar apex aneurysms: A meta-analysis. Turk Neurosurg. 31:301–309. 2021.PubMed/NCBI View Article : Google Scholar

30 

Fotakopoulos G, Andrade-Barazarte H, Alexandros B and Hernesniemi J: A meta-analysis of Lateral supraorbital vs mini Pterional approach in the outcome of rupture and unruptured noncomplex aneurysms' surgery. Neurocirugia (Astur: Engl Ed). 34:128–138. 2023.PubMed/NCBI View Article : Google Scholar

Related Articles

  • Abstract
  • View
  • Download
Copy and paste a formatted citation
Spandidos Publications style
Fotakopoulos G, Lempesis IG, Georgakopoulou VE, Trakas N, Sklapani P, Faropoulos K and Fountas KN: Surgical outcomes of patients with unruptured anterior vs. inferior circulation aneurysms: A meta‑analysis. Med Int 4: 5, 2024.
APA
Fotakopoulos, G., Lempesis, I.G., Georgakopoulou, V.E., Trakas, N., Sklapani, P., Faropoulos, K., & Fountas, K.N. (2024). Surgical outcomes of patients with unruptured anterior vs. inferior circulation aneurysms: A meta‑analysis. Medicine International, 4, 5. https://doi.org/10.3892/mi.2023.129
MLA
Fotakopoulos, G., Lempesis, I. G., Georgakopoulou, V. E., Trakas, N., Sklapani, P., Faropoulos, K., Fountas, K. N."Surgical outcomes of patients with unruptured anterior vs. inferior circulation aneurysms: A meta‑analysis". Medicine International 4.1 (2024): 5.
Chicago
Fotakopoulos, G., Lempesis, I. G., Georgakopoulou, V. E., Trakas, N., Sklapani, P., Faropoulos, K., Fountas, K. N."Surgical outcomes of patients with unruptured anterior vs. inferior circulation aneurysms: A meta‑analysis". Medicine International 4, no. 1 (2024): 5. https://doi.org/10.3892/mi.2023.129
Copy and paste a formatted citation
x
Spandidos Publications style
Fotakopoulos G, Lempesis IG, Georgakopoulou VE, Trakas N, Sklapani P, Faropoulos K and Fountas KN: Surgical outcomes of patients with unruptured anterior vs. inferior circulation aneurysms: A meta‑analysis. Med Int 4: 5, 2024.
APA
Fotakopoulos, G., Lempesis, I.G., Georgakopoulou, V.E., Trakas, N., Sklapani, P., Faropoulos, K., & Fountas, K.N. (2024). Surgical outcomes of patients with unruptured anterior vs. inferior circulation aneurysms: A meta‑analysis. Medicine International, 4, 5. https://doi.org/10.3892/mi.2023.129
MLA
Fotakopoulos, G., Lempesis, I. G., Georgakopoulou, V. E., Trakas, N., Sklapani, P., Faropoulos, K., Fountas, K. N."Surgical outcomes of patients with unruptured anterior vs. inferior circulation aneurysms: A meta‑analysis". Medicine International 4.1 (2024): 5.
Chicago
Fotakopoulos, G., Lempesis, I. G., Georgakopoulou, V. E., Trakas, N., Sklapani, P., Faropoulos, K., Fountas, K. N."Surgical outcomes of patients with unruptured anterior vs. inferior circulation aneurysms: A meta‑analysis". Medicine International 4, no. 1 (2024): 5. https://doi.org/10.3892/mi.2023.129
Follow us
  • Twitter
  • LinkedIn
  • Facebook
About
  • Spandidos Publications
  • Careers
  • Cookie Policy
  • Privacy Policy
How can we help?
  • Help
  • Live Chat
  • Contact
  • Email to our Support Team