International Journal of Molecular Medicine is an international journal devoted to molecular mechanisms of human disease.
International Journal of Oncology is an international journal devoted to oncology research and cancer treatment.
Covers molecular medicine topics such as pharmacology, pathology, genetics, neuroscience, infectious diseases, molecular cardiology, and molecular surgery.
Oncology Reports is an international journal devoted to fundamental and applied research in Oncology.
Experimental and Therapeutic Medicine is an international journal devoted to laboratory and clinical medicine.
Oncology Letters is an international journal devoted to Experimental and Clinical Oncology.
Explores a wide range of biological and medical fields, including pharmacology, genetics, microbiology, neuroscience, and molecular cardiology.
International journal addressing all aspects of oncology research, from tumorigenesis and oncogenes to chemotherapy and metastasis.
Multidisciplinary open-access journal spanning biochemistry, genetics, neuroscience, environmental health, and synthetic biology.
Open-access journal combining biochemistry, pharmacology, immunology, and genetics to advance health through functional nutrition.
Publishes open-access research on using epigenetics to advance understanding and treatment of human disease.
An International Open Access Journal Devoted to General Medicine.
Recent advances in immunology and molecular biology have demonstrated the important role served by the immune system in cancer development (1). Patients with colorectal cancer (CRC), which is the fourth most frequently diagnosed cancer and the second leading cause of cancer-associated mortality in the United States, exhibit weakened immune responses (2). Immune infiltrates in CRC are of clinical importance; they may aid the prediction of metastatic invasion and possibly clinical outcome (3,4). Furthermore, certain studies have suggested that aberrations of local immune infiltrations and circulating lymphocyte subsets may have clinical significance (5,6). Therefore, several studies are currently investigating the value of specific complementary and non-invasive biomarkers for use in CRC diagnosis, which may also improve cost-benefit ratio (7). Peripheral blood mononuclear cells (PBMCs) represent a reservoir of inflammatory cells that contribute to the progression of various diseases (8,9), and the characterization of CRC patients based on lymphocyte imbalances, such as a reduced cluster of differentiation (CD)4+/CD8+ ratio (10) and an enrichment of regulatory T cells (11), has previously been reported.
Previous research has demonstrated that T cell expression of programmed death-1 (PD-1) and T cell immunoglobulin and mucin protein-3 (Tim-3) can induce T cell exhaustion in CRC patients (12,13). Tim-3 has been reported to have a critical role in regulating the immune response against viral infection and carcinoma. Furthermore, there is growing evidence that Tim-3 may function as a regulator of the anti-tumor immune response and the development of cancer (14). Previous research has suggested that PD-1hi Tim-3+ T cells are strongly associated with post-transplantation leukemia relapse in patients with acute myelocytic leukemia (15). Furthermore, levels of Tim-3 were significantly increased on CD4+ T cells and CD8+ T cells, and were associated with higher cancer stages in renal cell carcinoma (16). Unregulated Tim-3 expression in natural killer (NK) cells is associated with disease stage, and predicts a poorer prognosis, in melanoma (17) and lung adenocarcinoma (18). However, there is limited data on Tim-3 expression in the peripheral lymphocytes of patients with CRC.
The present study determined the frequency of CD3+CD56− T cells, CD3−CD56+ NK cells and CD3+CD56+ natural killer T (NKT) cells expressing Tim-3 in the peripheral blood of preoperative CRC patients. The expression of Tim-3 in lymphocyte subsets from postoperative blood samples of patients with CRC was also investigated. The results were correlated with the clinicopathological parameters of the patients. Decreased Tim-3 expression on NK cells significantly correlated with tumor node metastasis (TNM) stage. Furthermore, Tim-3 expression rapidly recovered to baseline levels post-surgery. These results may be useful in targeting specific cell types, and may provide valuable information in the prediction of tumor progression.
Chinese individuals (n=127) including 89 CRC patients and 38 age- and gender-matched healthy volunteers [healthy control group (HC)] were recruited from Qilu Hospital of Shandong University (Jinan, China), during May-October 2013. Basic patient information, clinical data and laboratory results, including serum concentration of three CRC biomarkers [carcinoembryonic antigen (CEA), cancer antigen 199 (CA199) and cancer antigen 724 (CA724)] were retrieved from the medical records for each patient. An experienced pathologist reviewed the histopathological criteria, including the tumor differentiation and TNM stage. HC individuals had no abnormal laboratory results and no family history of autoimmune diseases. The demographic and clinicopathological characteristics of the patients with CRC and HCs are presented in Table I. The Qilu Hospital of Shandong University ethics committee approved the study, and written informed consent was acquired from each participant. Peripheral blood samples were obtained from the participants and processed within 6 h.
Table I.Demographic and clinicopathological parameters of CRC patients and HC volunteers participating in the study. |
PBMCs were obtained by centrifugation with Ficoll-Paque Plus (GE Healthcare Life Sciences, Chalfont, UK). PBMC staining for flow cytometry analysis was performed using the following fluorochrome-conjugated monoclonal antibodies: CD3-peridinin chlorophyll protein-Cy5 (555334), CD56-flourescein isothiocyanate (340410) and Tim-3-phycoerythrin (565570) (BD Biosciences, San Jose, CA, USA), according to the manufacturer's protocol. The peripheral blood was incubated with anti-CD3, anti-CD56 and anti-Tim-3 for 20 min at 4°C in the dark. An isotype control was performed alongside the test antibodies. Three-color FACS Calibur (BD Biosciences, San Jose, CA, USA) analysis was used to investigate Tim-3 expression and calculate mean fluorescence intensity (MFI) on CD3+CD56− T cells, CD3− CD56+ NK cells and CD3+CD56+ NKT cells.
All data were analyzed using GraphPad Prism 5.0 software (GraphPad Software, Inc. La Jolla, CA, USA). Paired data within donors were analyzed using a paired Student's t-test. Unpaired data, between healthy and CRC patients, were analyzed using an unpaired Student's t-test. Comparison of Tim-3 expression based on demographic and clinical parameters was performed using an unpaired t-test to compare two groups, and one-way analysis of variance to compare more than two groups, followed by Tukey's test. Spearman's rank correlation analysis was used to calculate the correlation coefficient. P<0.05 was considered to indicate a statistically significant difference.
The distribution of selected clinicopathological features of the CRC patients and HC volunteers are presented in Table I. Amongst 89 CRC cancer patients, 47 (52.8%) cases were classified as rectal cancer and 42 (47.2%) as colon cancer. Most CRC patients (89.9%) were histologically confirmed as adenocarcinoma, with the remaining 9 (10.1%) patients classified as ‘other carcinoma’. A total of 53 (59.6%) patients had previously undergone surgery. TNM staging, which was performed according to guidelines set out by The Union for International Cancer Control/American Joint Committee on Cancer TNM Classification (7th edition) (19), classified 49 CRC patients (52.8%) as stage I–II, and 42 CRC patients (47.2%) as stage III–IV.
The percentage of T cells, NK cells and NKT cells were investigated in peripheral blood from preoperative CRC patients and HC volunteers. The gating strategy used to distinguish the various lymphocyte populations is depicted in Fig. 1A. Compared with healthy individuals, the percentage of circulating NK cells in CRC patients was significantly decreased (12.34±6.77 vs. 17.98±8.02%, P=0.0027; Fig. 1B). The levels of T cells and NKT cells from preoperative CRC patients and healthy controls demonstrated no significant difference (68.24±11.27 vs. 65.14±10.10%, and 5.42±5.05 vs. 5.28±4.35%, P>0.05; Fig. 1C and D). These results demonstrated that the level of NK cells was reduced in CRC patients.
Abnormal expression of Tim-3 on innate immune cells has been associated with the progression of several clinical diseases, such as infection, immune diseases and tumors (20,21). To further define the Tim-3 expression profile on various lymphocyte subtypes between the two patient groups, flow cytometric analysis of the Tim-3 expression profile was performed on peripheral blood from preoperative CRC patients (n=36) and HCs (Fig. 2A). Overall, the median expression of Tim-3 was higher on NK cells compared with NKT cells and T cells. Furthermore, Tim-3+ NK cells were significantly decreased in CRC cases compared with HCs (71.51±17.39 vs. 81.14±17.07%, P=0.0239; Fig. 2B), however the percentage of Tim-3 expressing T cells and NKT cells from CRC patients and healthy controls demonstrated no significant difference. These results indicated that Tim-3 may be involved in the immune dysfunction of CRC, via an NK cell-mediated role.
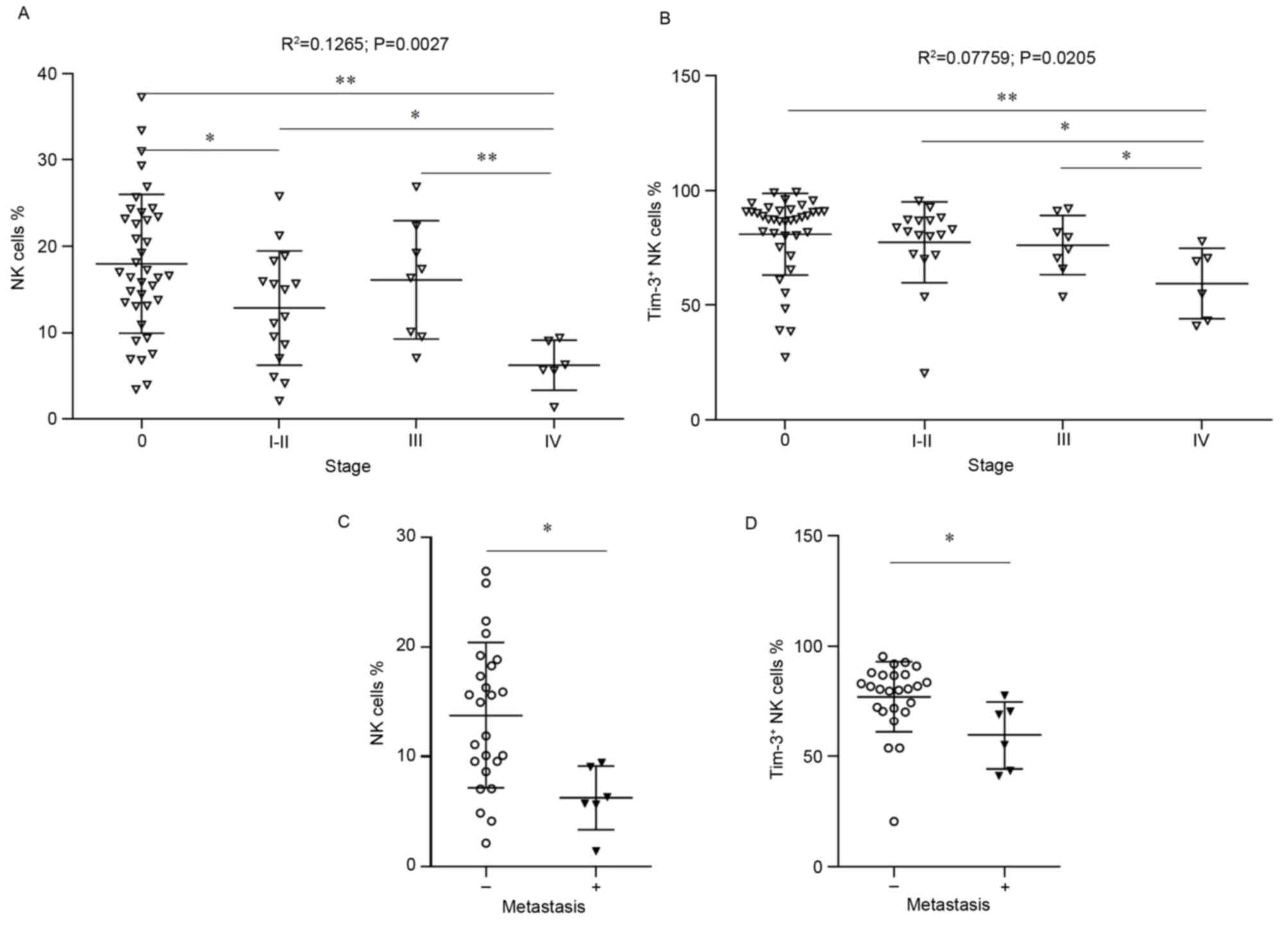
The percentage of NK and Tim-3+ NK cells was correlated with various clinicopathological features (Tables II and III). Associations between the percentage of NK cells or Tim-3+ NK cells with TNM stage were assessed by Spearman's rank correlation (Fig. 3A and B). Patients with stage I and II CRC were pooled in this analysis, due to the limited number of patients assessed with stage I CRC. Overall, NK cells demonstrated the most significant reduction with disease stage. Furthermore, significantly decreased numbers of NK cells and Tim-3+ NK cells were observed in CRC patients with stage IV disease, compared with HCs (P<0.05). Notably, the percentage of Tim-3+ NK cells was decreased at stage IV, compared with stages I–II and III.
Table II.Association between percentage of NK cells and clinicopathological features in patients with colorectal cancer. |
Table III.Association between the percentage of Tim-3+ NK cells and clinicopathological features in patients with colorectal cancer. |
Preoperative CRC patients were subsequently classified as non-metastatic (n=30) or metastatic (n=6). Patients with stage I/II/III cancer demonstrated the highest percentage of NK cells, and this was statistically significant when compared with the metastatic stage IV group (13.81±6.631 vs. 6.252±2.900%, P=0.0014; Fig. 3C). Furthermore, a significant difference was observed in the percentage of Tim-3+ NK cells in non-metastatic patients compared with metastatic groups (77.01±16.02 vs. 59.48±15.32%, P=0.0218; Fig. 3D). There were no significant differences in the percentage of Tim-3+ T cells or Tim-3+ NKT cells (data not shown). Several patients with non-metastatic disease appear to maintain a higher NK Tim-3 expression; therefore these data suggested that Tim-3 may be a useful indicator of CRC disease progression, however a larger cohort of patients are required to further investigate this hypothesis.
To investigate the impact of surgical resection on lymphocyte number and Tim-3 expression, postsurgical blood was collected from CRC patients that had undergone surgery (n=53). Blood samples were collected within 1 week of surgery, and these included 28 cases with stage I/II and 25 cases with stage III/IV. The results indicated no difference in the percentage of lymphocyte subtypes between the two patient groups (Fig. 4A), however, the percentage of Tim-3+ NK cells, but not the MFI of Tim-3 on NK cells, was significantly higher in patients that had received surgery, compared with preoperative patients (84.31±13.55 vs. 71.51±17.39%, P=0.0003; Fig. 4B).
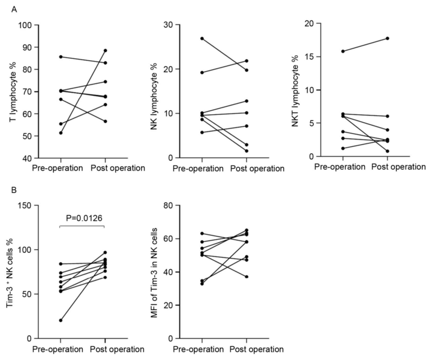
To further investigate the impact of surgery on lymphocyte populations, pre- and post-surgical blood samples were obtained from 7 patients. No significant difference was observed in the percentage of lymphocytes (P>0.05; Fig. 5A). However, surgery elevated Tim-3 expression on NK cells to the baseline levels observed in healthy controls, in the majority of patients with reduced pre-surgical levels (P=0.0126; Fig. 5B). No significant difference was observed in the Tim-3 MFI in NK cells, or in the levels of Tim-3 expression on T cells and NKT cells (P>0.05; data not shown). These data suggest that Tim-3-expressing NK cells are more prevalent following resection of the primary tumor.
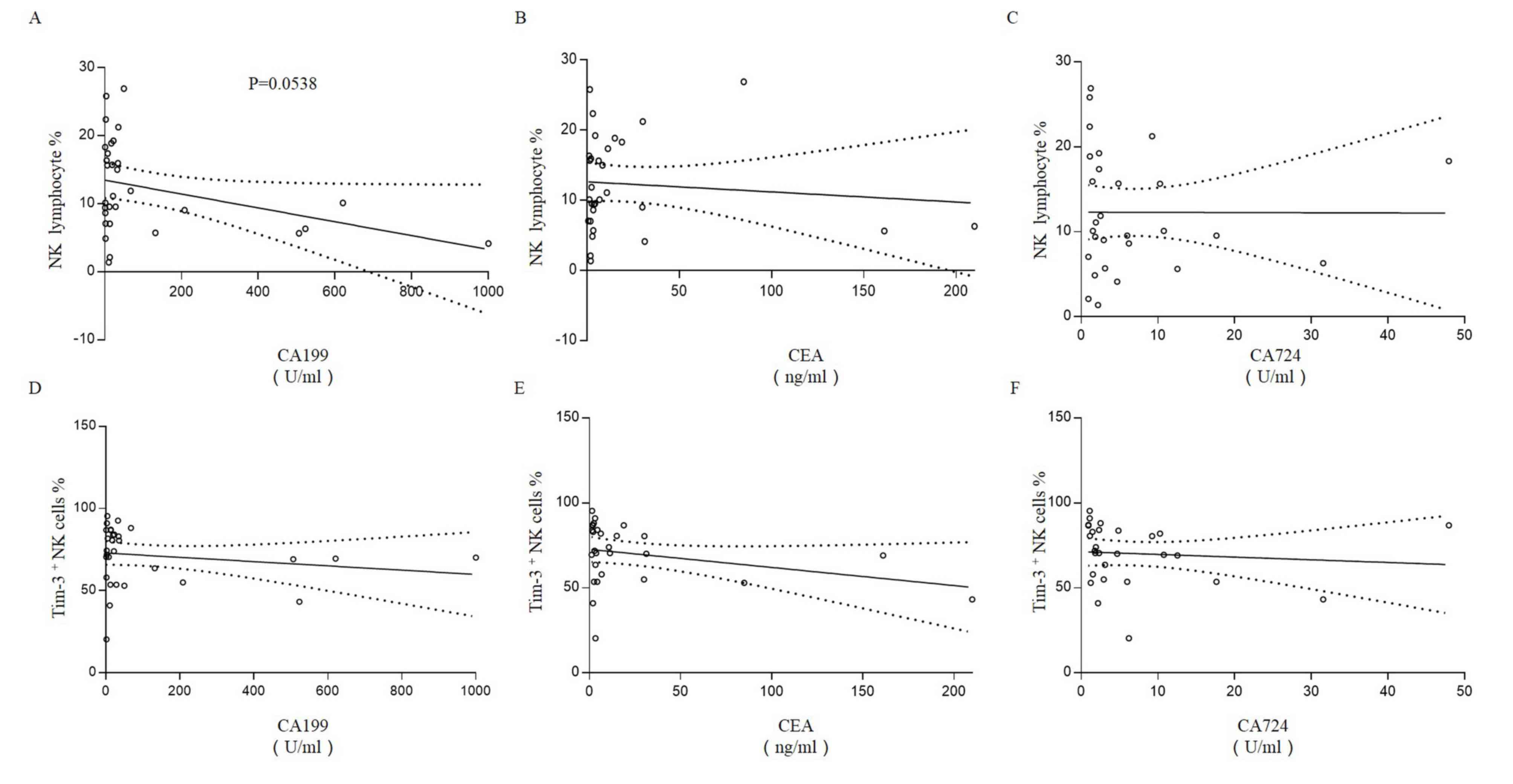
The association of NK cells and Tim-3+ NK cells with the preoperative serum concentration of three CRC biomarkers was assessed. A weak negative association was observed between the percentage of NK cells and the concentration of CA199, however this did not reach significance (R2=0.1223, P=0.0538; Fig. 6A). No correlation was observed between the percentage of NK cells and the concentration of CEA (R2=0.0100; Fig. 6B) or CA724 (R2=0.000; Fig. 6C). Furthermore, there appeared to be a weak negative correlation between Tim-3+ NK cells and the serum concentration of CA199 (R2=0.030; Fig. 6D), CEA (R2=0.088; Fig. 6E) and CA724 (R2=0.0086; Fig. 6F), however these were not significant (P>0.05 for all cases).
The peripheral blood from cancer patients contains a reservoir of cells and cell products derived from the primary tumor and distant metastases, which may contain valuable diagnostic or prognostic information. The collection of blood samples is also minimally invasive, and this resource has the potential for wide-scale use in CRC biomarker screening. Considering the convenience of peripheral blood biomarker detection and the influence of Tim-3 on immune cell function, it would be valuable to investigate the mechanistic role of Tim-3 as a potential biomarker in the progression of CRC. The present study used peripheral blood samples to more precisely characterize the expression of Tim-3 on lymphocytes, in response to CRC. The percentage of total NK and Tim-3+ NK cells was significantly downregulated in patients with CRC; these NK cells would normally participate in a typical immune response. Notably, TNM stage was associated with the expression of Tim-3 on NK cells; the presence of Tim-3+ NK cells was significantly lower in patients with stage IV tumors, suggesting a possible association between Tim-3 expression and CRC metastasis. Furthermore, a previously unreported rebound in Tim-3 expression in NK cells was observed following surgical resection of the primary tumor. Distant metastasis is a critical event that impacts on the prognosis of patients with CRC. The present study indicated that patients with distant metastases had a significantly lower proportion of NK cells and Tim-3+ NK cells, compared with patients without metastases. These results therefore indicated that Tim-3+ NK cells may serve a role in disease progression.
Poor cytotoxic activity of peripheral NK cells has been associated with an increased risk of cancer (22). Furthermore, NK cell infiltration in tumor tissue predicts improved prognosis, particularly in CRC (23,24). In light of this research, NK cells have since been targeted as a potential cancer therapeutic (25). Tim-3 is constitutively expressed at high levels on resting NK cells (26), however, research regarding the function of Tim-3 on NK cells is conflicting. One study indicated that Tim-3 may deliver inhibitory signals and inhibit normal NK cell-mediated cytotoxicity (26), whereas another study suggested that Tim-3 may act as an activated receptor, where exposure to galectin-9 results in enhanced interferon-γ production by Tim-3+ NK cells (27). Previous research has demonstrated that the number of NK cells is significantly reduced in CRC patients compared with healthy controls (28), which is consistent with the findings of the current study. These results indicate that NK cell function is damaged in patients with CRC, and an improved understanding of Tim-3 function, in the context of carcinogenesis and tumor development, may prove useful in the development of future therapeutics. Dysregulation of Tim-3 expression on NK cells is a feature of several diseases, with upregulation observed in advanced melanoma (17), hepatitis-C infection (20) and lung cancer (29), and downregulation observed in human immunodeficiency virus infection (30). To our knowledge, this is the first report of a decreased proportion of Tim-3+ NK cells in patients with CRC, a scenario that is compatible with Tim-3's role as an activated receptor on normal NK cells. Furthermore, the reduction in Tim-3 expression was associated with a loss of Tim-3-expressing cells, because patients undergoing surgery demonstrated no significant attenuation in the mean fluorescence intensity of Tim-3, compared with untreated patients (data not shown). In CRC patients, serum CEA, CA199 and CA724 may be useful in the diagnosis of colorectal carcinoma (31,32). The relationship between the proportion of CD3−CD56+ NK cells in CRC patients and these serum biomarkers was investigated. Although there appeared to be an association between serum CA199 levels and the proportion of CD3−CD56+ NK cells in CRC patients, this did not reach statistical significance.
One approach to activating an anti-tumor immune response, which is at the forefront of current cancer immunotherapy, has been termed ‘immune checkpoint blockade’. This strategy is largely driven by the success of therapies targeting cytotoxic T-lymphocyte associated protein-4 and PD-1, and several clinical trials focusing on anti-immune checkpoint antibodies and antagonists are currently underway (12). However, a large number of patients do not currently benefit from this type of cancer therapy (33), and this has catalyzed interest in targeting novel immune checkpoint receptors. Tim-3 has therefore attracted attention as a novel immune checkpoint receptor. Notably, treatment with anti-Tim-3 and anti-PD-ligand 1 antibodies significantly limited tumor growth in vivo (34). In CRC, previous research demonstrated significantly higher levels of circulating Tim-3+PD-1+CD8+ T cells, indicating that Tim-3 blockage may be a potential therapeutic approach for CRC patients (13). However, given the expression of Tim-3 on other immune cells, including NK cells, Tim-3 therapy should be cautious, and the choice of targeted immune checkpoint should be founded on knowledge of the immune system. The present study also demonstrated that surgical resection of the primary tumor rapidly reverses Tim-3 expression in NK cell populations, which has significant implications for the timing of Tim-3 based therapies. However, this will require large and properly controlled clinical studies to verify and screen novel therapeutics.
The present study indicated that reduced NK cell Tim-3 expression is associated with CRC progression and presentation of poor prognostic clinical parameters. For the first time, Tim-3 has been demonstrated as a bioactivity marker, which is expressed in NK cells from patients with CRC. Tim-3 may serve as a serum biomarker, which could predict disease progression, and potentially prove useful in identifying patients likely to benefit from Tim-3-based therapies.
This work was supported by grants from the National Natural Science Foundation of China (grant nos. 31470885, 31300752, 31270971, 81300510, 30901326 and 81072406).
|
Dalgleish AG and O'Byrne KJ: Chronic immune activation and inflammation in the pathogenesis of AIDS and cancer. Adv Cancer Res. 84:231–276. 2002. View Article : Google Scholar : PubMed/NCBI | |
|
Shibata M, Nezu T, Kanou H, Abe H, Takekawa M and Fukuzawa M: Decreased production of interleukin-12 and type 2 immune responses are marked in cachectic patients with colorectal and gastric cancer. J Clin Gastroenterol. 34:416–420. 2002. View Article : Google Scholar : PubMed/NCBI | |
|
Pagès F, Berger A, Camus M, Sanchez-Cabo F, Costes A, Molidor R, Mlecnik B, Kirilovsky A, Nilsson M, Damotte D, et al: Effector memory T cells, early metastasis, and survival in colorectal cancer. N Engl J Med. 353:2654–2666. 2005. View Article : Google Scholar : PubMed/NCBI | |
|
Tachibana T, Onodera H, Tsuruyama T, Mori A, Nagayama S, Hiai H and Imamura M: Increased intratumor Valpha24-positive natural killer T cells: A prognostic factor for primary colorectal carcinomas. Clin Cancer Res. 11:7322–7327. 2005. View Article : Google Scholar : PubMed/NCBI | |
|
Chen ZY, Raghav K, Lieu CH, Jiang ZQ, Eng C, Vauthey JN, Chang GJ, Qiao W, Morris J, Hong D, et al: Cytokine profile and prognostic significance of high neutrophil-lymphocyte ratio in colorectal cancer. Br J Cancer. 112:1088–1097. 2015. View Article : Google Scholar : PubMed/NCBI | |
|
Ling L, Zhao P, Yan G, Chen M, Zhang T, Wang L and Jiang Y: The frequency of Th17 and Th22 cells in patients with colorectal cancer at pre-operation and post-operation. Immunol Invest. 44:56–69. 2015. View Article : Google Scholar : PubMed/NCBI | |
|
Pawa N, Arulampalam T and Norton JD: Screening for colorectal cancer: Established and emerging modalities. Nat Rev Gastroenterol Hepatol. 8:711–722. 2011. View Article : Google Scholar : PubMed/NCBI | |
|
Murdoch C, Muthana M, Coffelt SB and Lewis CE: The role of myeloid cells in the promotion of tumour angiogenesis. Nat Rev Cancer. 8:618–631. 2008. View Article : Google Scholar : PubMed/NCBI | |
|
Shi C and Pamer EG: Monocyte recruitment during infection and inflammation. Nat Rev Immunol. 11:762–774. 2011. View Article : Google Scholar : PubMed/NCBI | |
|
Diederichsen AC, Hjelmborg Jv, Christensen PB, Zeuthen J and Fenger C: Prognostic value of the CD4+/CD8+ ratio of tumour infiltrating lymphocytes in colorectal cancer and HLA-DR expression on tumour cells. Cancer Immunol Immunother. 52:423–428. 2003. View Article : Google Scholar : PubMed/NCBI | |
|
Hua W, Yuan A, Zheng W, Li C, Cui J, Pang Z, Zhang L, Li Z, Goll R and Cui G: Accumulation of FoxP3+ T regulatory cells in the tumor microenvironment of human colorectal adenomas. Pathol Res Pract. 212:106–112. 2016. View Article : Google Scholar : PubMed/NCBI | |
|
Singh PP, Sharma PK, Krishnan G and Lockhart AC: Immune checkpoints and immunotherapy for colorectal cancer. Gastroenterol Rep(Oxf). 3:289–297. 2015.PubMed/NCBI | |
|
Xu B, Yuan L, Gao Q, Yuan P, Zhao P, Yuan H, Fan H, Li T, Qin P, Han L, et al: Circulating and tumor-infiltrating Tim-3 in patients with colorectal cancer. Oncotarget. 6:20592–21603. 2015. View Article : Google Scholar : PubMed/NCBI | |
|
Kuchroo VK, Dardalhon V, Xiao S and Anderson AC: New roles for TIM family members in immune regulation. Nat Rev Immunol. 8:577–580. 2008. View Article : Google Scholar : PubMed/NCBI | |
|
Kong Y, Zhang J, Claxton DF, Ehmann WC, Rybka WB, Zhu L, Zeng H, Schell TD and Zheng H: PD-1(hi)TIM-3(+) T cells associate with and predict leukemia relapse in AML patients post allogeneic stem cell transplantation. Blood Cancer J. 5:e3302015. View Article : Google Scholar : PubMed/NCBI | |
|
Cai C, Xu YF, Wu ZJ, Dong Q, Li MY, Olson JC, Rabinowitz YM, Wang LH and Sun Y: Tim-3 expression represents dysfunctional tumor infiltrating T cells in renal cell carcinoma. World J Urol. 34:561–567. 2016. View Article : Google Scholar : PubMed/NCBI | |
|
da Silva IP, Gallois A, Jimenez-Baranda S, Khan S, Anderson AC, Kuchroo VK, Osman I and Bhardwaj N: Reversal of NK-cell exhaustion in advanced melanoma by Tim-3 blockade. Cancer Immunol Res. 2:410–422. 2014. View Article : Google Scholar : PubMed/NCBI | |
|
Xu L, Huang Y, Tan L, Yu W, Chen D, Lu C, He J, Wu G, Liu X and Zhang Y: Increased Tim-3 expression in peripheral NK cells predicts a poorer prognosis and Tim-3 blockade improves NK cell-mediated cytotoxicity in human lung adenocarcinoma. Int Immunopharmacol. 29:635–641. 2015. View Article : Google Scholar : PubMed/NCBI | |
|
Edge SB, Byrd SR, Compton CC, Fritz AG, Greene FL and Trotti A: AJCC Cancer Staging Manual. 7th. Springer-Verlag; New York, NY: pp. 143–164. 2010 | |
|
Golden-Mason L, Hurtado CE Waasdorp, Cheng L and Rosen HR: Hepatitis C viral infection is associated with activated cytolytic natural killer cells expressing high levels of T cell immunoglobulin- and mucin-domain-containing molecule-3. Clin Immunol. 158:114–125. 2015. View Article : Google Scholar : PubMed/NCBI | |
|
Anderson AC: Tim-3, a negative regulator of anti-tumor immunity. Curr Opin Immunol. 24:213–216. 2012. View Article : Google Scholar : PubMed/NCBI | |
|
Imai K, Matsuyama S, Miyake S, Suga K and Nakachi K: Natural cytotoxic activity of peripheral-blood lymphocytes and cancer incidence: An 11-year follow-up study of a general population. Lancet. 356:1795–1799. 2000. View Article : Google Scholar : PubMed/NCBI | |
|
Koda K, Saito N, Oda K, Seike K, Kondo E, Ishizuka M, Takiguchi N and Miyazaki M: Natural killer cell activity and distant metastasis in rectal cancers treated surgically with and without neoadjuvant chemoradiotherapy. J Am Coll Surg. 197:254–260. 2003. View Article : Google Scholar : PubMed/NCBI | |
|
Kondo E, Koda K, Takiguchi N, Oda K, Seike K, Ishizuka M and Miyazaki M: Preoperative natural killer cell activity as a prognostic factor for distant metastasis following surgery for colon cancer. Dig Surg. 20:445–451. 2003. View Article : Google Scholar : PubMed/NCBI | |
|
Vivier E, Ugolini S, Blaise D, Chabannon C and Brossay L: Targeting natural killer cells and natural killer T cells in cancer. Nat Rev Immunol. 12:239–252. 2012. View Article : Google Scholar : PubMed/NCBI | |
|
Ndhlovu LC, Lopez-Vergès S, Barbour JD, Jones RB, Jha AR, Long BR, Schoeffler EC, Fujita T, Nixon DF and Lanier LL: Tim-3 marks human natural killer cell maturation and suppresses cell-mediated cytotoxicity. Blood. 119:3734–3743. 2012. View Article : Google Scholar : PubMed/NCBI | |
|
Gleason MK, Lenvik TR, McCullar V, Felices M, O'Brien MS, Cooley SA, Verneris MR, Cichocki F, Holman CJ, Panoskaltsis-Mortari A, et al: Tim-3 is an inducible human natural killer cell receptor that enhances interferon gamma production in response to galectin-9. Blood. 119:3064–3072. 2012. View Article : Google Scholar : PubMed/NCBI | |
|
Halama N, Braun M, Kahlert C, Spille A, Quack C, Rahbari N, Koch M, Weitz J, Kloor M, Zoernig I, et al: Natural killer cells are scarce in colorectal carcinoma tissue despite high levels of chemokines and cytokines. Clin Cancer Res. 17:678–689. 2011. View Article : Google Scholar : PubMed/NCBI | |
|
Xu LY, Chen DD, He JY, Lu CC, Liu XG, Le HB, Wang CY and Zhang YK: Tim-3 expression by peripheral natural killer cells and natural killer T cells increases in patients with lung cancer-reduction after surgical resection. Asian Pac J Cancer Prev. 15:9945–9948. 2014. View Article : Google Scholar : PubMed/NCBI | |
|
Jost S, Moreno-Nieves UY, Garcia-Beltran WF, Rands K, Reardon J, Toth I, Piechocka-Trocha A, Altfeld M and Addo MM: Dysregulated Tim-3 expression on natural killer cells is associated with increased Galectin-9 levels in HIV-1 infection. Retrovirology. 10:742013. View Article : Google Scholar : PubMed/NCBI | |
|
Wang YR, Yan JX and Wang LN: The diagnostic value of serum carcino-embryonic antigen, alpha fetoprotein and carbohydrate antigen 19-9 for colorectal cancer. J Cancer Res Ther. 10 Suppl:S307–S309. 2014. View Article : Google Scholar | |
|
Zhu Z, Chen Z, Chen C, Yang Z, Xuan W, Hou Y, Zuo Y and Ren S: Opposite variation tendencies of serum CA724 levels in patients with colon and rectal carcinoma. Mol Clin Oncol. 2:139–145. 2014.PubMed/NCBI | |
|
Haddad AQ and Margulis V: Tumour and patient factors in renal cell carcinoma-towards personalized therapy. Nat Rev Urol. 12:253–262. 2015. View Article : Google Scholar : PubMed/NCBI | |
|
Sakuishi K, Apetoh L, Sullivan JM, Blazar BR, Kuchroo VK and Anderson AC: Targeting Tim-3 and PD-1 pathways to reverse T cell exhaustion and restore anti-tumor immunity. J Exp Med. 207:2187–2194. 2010. View Article : Google Scholar : PubMed/NCBI |