Spandidos Publications Logo
  • About
    • About Spandidos
    • Aims and Scopes
    • Abstracting and Indexing
    • Editorial Policies
    • Reprints and Permissions
    • Job Opportunities
    • Terms and Conditions
    • Contact
  • Journals
    • All Journals
    • Oncology Letters
      • Oncology Letters
      • Information for Authors
      • Editorial Policies
      • Editorial Board
      • Aims and Scope
      • Abstracting and Indexing
      • Bibliographic Information
      • Archive
    • International Journal of Oncology
      • International Journal of Oncology
      • Information for Authors
      • Editorial Policies
      • Editorial Board
      • Aims and Scope
      • Abstracting and Indexing
      • Bibliographic Information
      • Archive
    • Molecular and Clinical Oncology
      • Molecular and Clinical Oncology
      • Information for Authors
      • Editorial Policies
      • Editorial Board
      • Aims and Scope
      • Abstracting and Indexing
      • Bibliographic Information
      • Archive
    • Experimental and Therapeutic Medicine
      • Experimental and Therapeutic Medicine
      • Information for Authors
      • Editorial Policies
      • Editorial Board
      • Aims and Scope
      • Abstracting and Indexing
      • Bibliographic Information
      • Archive
    • International Journal of Molecular Medicine
      • International Journal of Molecular Medicine
      • Information for Authors
      • Editorial Policies
      • Editorial Board
      • Aims and Scope
      • Abstracting and Indexing
      • Bibliographic Information
      • Archive
    • Biomedical Reports
      • Biomedical Reports
      • Information for Authors
      • Editorial Policies
      • Editorial Board
      • Aims and Scope
      • Abstracting and Indexing
      • Bibliographic Information
      • Archive
    • Oncology Reports
      • Oncology Reports
      • Information for Authors
      • Editorial Policies
      • Editorial Board
      • Aims and Scope
      • Abstracting and Indexing
      • Bibliographic Information
      • Archive
    • Molecular Medicine Reports
      • Molecular Medicine Reports
      • Information for Authors
      • Editorial Policies
      • Editorial Board
      • Aims and Scope
      • Abstracting and Indexing
      • Bibliographic Information
      • Archive
    • World Academy of Sciences Journal
      • World Academy of Sciences Journal
      • Information for Authors
      • Editorial Policies
      • Editorial Board
      • Aims and Scope
      • Abstracting and Indexing
      • Bibliographic Information
      • Archive
    • International Journal of Functional Nutrition
      • International Journal of Functional Nutrition
      • Information for Authors
      • Editorial Policies
      • Editorial Board
      • Aims and Scope
      • Abstracting and Indexing
      • Bibliographic Information
      • Archive
    • International Journal of Epigenetics
      • International Journal of Epigenetics
      • Information for Authors
      • Editorial Policies
      • Editorial Board
      • Aims and Scope
      • Abstracting and Indexing
      • Bibliographic Information
      • Archive
    • Medicine International
      • Medicine International
      • Information for Authors
      • Editorial Policies
      • Editorial Board
      • Aims and Scope
      • Abstracting and Indexing
      • Bibliographic Information
      • Archive
  • Articles
  • Information
    • Information for Authors
    • Information for Reviewers
    • Information for Librarians
    • Information for Advertisers
    • Conferences
  • Language Editing
Spandidos Publications Logo
  • About
    • About Spandidos
    • Aims and Scopes
    • Abstracting and Indexing
    • Editorial Policies
    • Reprints and Permissions
    • Job Opportunities
    • Terms and Conditions
    • Contact
  • Journals
    • All Journals
    • Biomedical Reports
      • Information for Authors
      • Editorial Policies
      • Editorial Board
      • Aims and Scope
      • Abstracting and Indexing
      • Bibliographic Information
      • Archive
    • Experimental and Therapeutic Medicine
      • Information for Authors
      • Editorial Policies
      • Editorial Board
      • Aims and Scope
      • Abstracting and Indexing
      • Bibliographic Information
      • Archive
    • International Journal of Epigenetics
      • Information for Authors
      • Editorial Policies
      • Editorial Board
      • Aims and Scope
      • Abstracting and Indexing
      • Bibliographic Information
      • Archive
    • International Journal of Functional Nutrition
      • Information for Authors
      • Editorial Policies
      • Editorial Board
      • Aims and Scope
      • Abstracting and Indexing
      • Bibliographic Information
      • Archive
    • International Journal of Molecular Medicine
      • Information for Authors
      • Editorial Policies
      • Editorial Board
      • Aims and Scope
      • Abstracting and Indexing
      • Bibliographic Information
      • Archive
    • International Journal of Oncology
      • Information for Authors
      • Editorial Policies
      • Editorial Board
      • Aims and Scope
      • Abstracting and Indexing
      • Bibliographic Information
      • Archive
    • Medicine International
      • Information for Authors
      • Editorial Policies
      • Editorial Board
      • Aims and Scope
      • Abstracting and Indexing
      • Bibliographic Information
      • Archive
    • Molecular and Clinical Oncology
      • Information for Authors
      • Editorial Policies
      • Editorial Board
      • Aims and Scope
      • Abstracting and Indexing
      • Bibliographic Information
      • Archive
    • Molecular Medicine Reports
      • Information for Authors
      • Editorial Policies
      • Editorial Board
      • Aims and Scope
      • Abstracting and Indexing
      • Bibliographic Information
      • Archive
    • Oncology Letters
      • Information for Authors
      • Editorial Policies
      • Editorial Board
      • Aims and Scope
      • Abstracting and Indexing
      • Bibliographic Information
      • Archive
    • Oncology Reports
      • Information for Authors
      • Editorial Policies
      • Editorial Board
      • Aims and Scope
      • Abstracting and Indexing
      • Bibliographic Information
      • Archive
    • World Academy of Sciences Journal
      • Information for Authors
      • Editorial Policies
      • Editorial Board
      • Aims and Scope
      • Abstracting and Indexing
      • Bibliographic Information
      • Archive
  • Articles
  • Information
    • For Authors
    • For Reviewers
    • For Librarians
    • For Advertisers
    • Conferences
  • Language Editing
Login Register Submit
  • This site uses cookies
  • You can change your cookie settings at any time by following the instructions in our Cookie Policy. To find out more, you may read our Privacy Policy.

    I agree
Search articles by DOI, keyword, author or affiliation
Search
Advanced Search
presentation
Oncology Letters
Join Editorial Board Propose a Special Issue
Print ISSN: 1792-1074 Online ISSN: 1792-1082
Journal Cover
December-2019 Volume 18 Issue 6

Full Size Image

Sign up for eToc alerts
Recommend to Library

Journals

International Journal of Molecular Medicine

International Journal of Molecular Medicine

International Journal of Molecular Medicine is an international journal devoted to molecular mechanisms of human disease.

International Journal of Oncology

International Journal of Oncology

International Journal of Oncology is an international journal devoted to oncology research and cancer treatment.

Molecular Medicine Reports

Molecular Medicine Reports

Covers molecular medicine topics such as pharmacology, pathology, genetics, neuroscience, infectious diseases, molecular cardiology, and molecular surgery.

Oncology Reports

Oncology Reports

Oncology Reports is an international journal devoted to fundamental and applied research in Oncology.

Experimental and Therapeutic Medicine

Experimental and Therapeutic Medicine

Experimental and Therapeutic Medicine is an international journal devoted to laboratory and clinical medicine.

Oncology Letters

Oncology Letters

Oncology Letters is an international journal devoted to Experimental and Clinical Oncology.

Biomedical Reports

Biomedical Reports

Explores a wide range of biological and medical fields, including pharmacology, genetics, microbiology, neuroscience, and molecular cardiology.

Molecular and Clinical Oncology

Molecular and Clinical Oncology

International journal addressing all aspects of oncology research, from tumorigenesis and oncogenes to chemotherapy and metastasis.

World Academy of Sciences Journal

World Academy of Sciences Journal

Multidisciplinary open-access journal spanning biochemistry, genetics, neuroscience, environmental health, and synthetic biology.

International Journal of Functional Nutrition

International Journal of Functional Nutrition

Open-access journal combining biochemistry, pharmacology, immunology, and genetics to advance health through functional nutrition.

International Journal of Epigenetics

International Journal of Epigenetics

Publishes open-access research on using epigenetics to advance understanding and treatment of human disease.

Medicine International

Medicine International

An International Open Access Journal Devoted to General Medicine.

Journal Cover
December-2019 Volume 18 Issue 6

Full Size Image

Sign up for eToc alerts
Recommend to Library

  • Article
  • Citations
    • Cite This Article
    • Download Citation
    • Create Citation Alert
    • Remove Citation Alert
    • Cited By
  • Similar Articles
    • Related Articles (in Spandidos Publications)
    • Similar Articles (Google Scholar)
    • Similar Articles (PubMed)
  • Download PDF
  • Download XML
  • View XML
Article Open Access

PLCB4 upregulation is associated with unfavorable prognosis in pediatric acute myeloid leukemia

  • Authors:
    • Shiwen Wu
    • Wei Zhang
    • Dongqin Shen
    • Jianle Lu
    • Li Zhao
  • View Affiliations / Copyright

    Affiliations: Department of Clinical Laboratory, The First Hospital of Lanzhou University, Lanzhou University, Lanzhou, Gansu 730000, P.R. China, Department of Central Laboratory, The First Hospital of Lanzhou University, Lanzhou University, Lanzhou, Gansu 730000, P.R. China, Department of Nursing, The First Hospital of Lanzhou University, Lanzhou University, Lanzhou, Gansu 730000, P.R. China
    Copyright: © Wu et al. This is an open access article distributed under the terms of Creative Commons Attribution License.
  • Pages: 6057-6065
    |
    Published online on: September 25, 2019
       https://doi.org/10.3892/ol.2019.10921
  • Expand metrics +
Metrics: Total Views: 0 (Spandidos Publications: | PMC Statistics: )
Metrics: Total PDF Downloads: 0 (Spandidos Publications: | PMC Statistics: )
Cited By (CrossRef): 0 citations Loading Articles...

This article is mentioned in:



Abstract

Phospholipase C (PLC) is a membrane‑associated enzyme that regulates several cellular behaviors including cell motility, growth, transformation and differentiation. PLC is involved in cancer migration, invasion and drug resistance. However, the expression status and prognostic role of PLCB4 in acute myeloid leukemia (AML) remain unclear. In the present study, the complete clinical and mRNA expression data of 285 pediatric patients with de novo AML were obtained from the Therapeutically Available Research to Generate Effective Treatments database. The association between PLCB4 expression and clinical and molecular features was explored. The expression of PLCB4 was significantly higher in patients with AML who relapsed compared with those with long‑term complete remission. Patients with PLCB4 upregulation had significantly lower overall survival (OS) and event free survival (EFS) rate compared with those with low PLCB4 expression. Multivariate Cox's regression analyses demonstrated that high PLCB4 expression was an independent risk factor of adverse OS (P<0.01; HR, 2.081) and EFS (P<0.01; HR, 2.130). Following stratification analysis according to transplant status in cases of first complete remission, the patients with high expression of PLCB4 had significantly lower OS and EFS rate in the chemotherapy group, but not the stem cell transplant group. Furthermore, PLCB4‑associated genes were identified using Spearman's rank correlation analysis. KEGG pathway analysis revealed that PLCB4 and its associated genes were mainly involved in three potential pathways, including the Rap1 signaling pathway. Overall, the findings of the present study suggest that increased PLCB4 expression is associated with poor clinical outcome in pediatric patients with AML, and thus may represent a potential prognostic biomarker and therapeutic target for AML.

Introduction

Acute myeloid leukemia (AML) is a highly heterogeneous disease, characterized by poor differentiation and abnormal proliferation of myeloid progenitors (1). AML is the most common type of acute leukemia in adults, with an estimated annual incidence of >20,000 new cases in the United States in 2019 (2). In 2013 it was reported that it was the leading cause of cancer deaths among children and individuals <35 years of age in China (3). Although ongoing advances in the treatment of AML have led to significant improvements in the clinical outcome, the overall survival (OS) rate remains low, mainly due to high recurrence rate and drug resistance (4). The specific mechanisms involved in these processes remain poorly defined.

Phospholipase C (PLC) plays an essential role in cell metabolism, as it hydrolyzes membrane-bound phospholipid phosphatidylinositol 4,5-biphosphate (PIP2) into two second messengers, inositol 1,4,5-triphosphate (IP3) and diacylglycerol (DAG) (5). A growing body of evidence indicates that increased expression of PLC promotes invasion and metastasis in several solid tumor types, including gastric carcinoma, breast cancer, hepatocellular carcinoma, pancreatic cancer, esophageal cancer and colorectal cancer (6,7).

Of the PLC isoforms, PLCB1 promotes breast cancer cell migration via actin remodeling (8), and additionally regulates cell cycle progression in AML (9–12). PLCB2 is significantly upregulated in human breast cancer and exhibits oncogenic functions and poor prognostic effects, by promoting cell division, motility and invasion (13,14).

PLCB4 encodes the β4 isoform of PLC isoenzymes, a superfamily that regulates the metabolism of inositol lipids (15). Increased PLCB4 expression is associated with poor OS rate in patients with solid tumors, including mesothelioma, melanoma and gastrointestinal tumors (16–18). PLCB4 contributes to solid tumor progression (16,17), however, its function in hematological tumors, particularly AML, has not been explored. Leukemia stem cells (LSC) are the source of drug resistance and relapse of AML, however, PLCB4 expression in LSCs remain to be elucidated (19). In the present study, the effect of PLCB4 expression and its clinical significance in AML were investigated. PLCB4 expression may serve as a novel diagnostic or therapeutic target in pediatric patients with AML.

Materials and methods

Patients

All patients and corresponding clinical information were obtained from the Therapeutically Available Research to Generate Effective Treatments (TARGET) database (https://ocg.cancer.gov/programs/target/) on 11 November 2018. Samples were excluded if clinical information and RNA expression data were incomplete. A total of 285 pediatric patients with de novo AML were enrolled (median age, 10 years; range, 0–23 years), including 147 males and 138 females. Of these patients, 36 accepted stem cell transplants (SCTs) in first complete remission (CR1), and the remaining patients accepted chemotherapy. Median follow-up time of the patients was 1,355 days (range, 2–4,037 days).

Gene expression analyses

The raw counts of mRNA expression profiles (level 3) were downloaded from the TARGET database and log2 transformed. Patients were divided into high- and low-PLCB4 groups, using the median of PLCB4 expression level as the cut-off value. A comparison of clinical and molecular characteristics was performed between patients with high and low PLCB4 expression.

Functional and pathway enrichment analysis of PLCB4-associated genes in AML

Spearman's rank correlation analysis was performed to identify PLCB4-associated genes using R software (version 3.3.3; www.r-project.org). Correlation coefficient values <-4 or >4 were considered to be significantly correlated with PLCB4 expression. Gene Ontology (GO; http://geneontology.org) functional analysis (20) and Kyoto Encyclopedia of Genes and Genomes (KEGG; http://david.ncifcrf.gov) pathway enrichment analysis (21,22) of the PLCB4-associated genes were performed using the online Database for Annotation, Visualization and Integrated Discovery database (version 6.8; http://david.ncifcrf.gov/) (23). P<0.05 was considered as the cut-off criterion for significant differences.

PLCB4 expression in leukemia stem cells

The expression of PLCB4 in primitive progenitor cells was assessed, based on the GSE30377 database (https://www.ncbi.nlm.nih.gov/geo/), in which gene expression data was obtained from 23 primary human AML samples and sorted into stem cells and progenitors, according to the expression of CD34 and CD38 markers (24).

Statistical analysis

Continuous variables were presented as the median with interquartile range, and categorical variables were presented as frequencies and percentage proportions. Pearson's χ2 or Fisher's exact tests were performed for categorical variables. Mann-Whitney U tests were performed to analyze the difference of continuous variables between two groups, while Kruskal-Wallis test were used for the comparison of multiple groups, and a Bonferroni test for the post hoc test. OS was defined as the time from diagnosis until death for any reason, or until the last follow-up. Event-free survival (EFS) was defined as the time from diagnosis to death, relapse, induction failure or last follow-up. Survival analysis was based on the Kaplan-Meier method and the log-rank tests to compare the differences between survival curves. Univariate and multivariate Cox's regression analyses were used to assess the association between PLCB4 expression and prognosis, as well as other clinical variables. The sensitivity and specificity of the PLCB4 expression signature was evaluated according to the area under the curve (AUC) of receiver operating characteristic (ROC) curves of 5-year OS and EFS. ROC curves were generated using the survival ROC packages based on R software (version 3.3.3; www.r-project.org/). The SPSS software (version 23.0; IBM Corp.) was applied for statistical analysis. The figures were generated using GraphPad Prism (version 6.01; GraphPad Software, Inc.) or R software. P<0.05 was considered to indicate a statistically significant difference.

Results

PLCB4 expression in AML

Amongst the 285 patients, 49 remained in long-term complete remission (CR) until the last follow-up, and 236 experienced relapse. PLCB4 expression was significantly upregulated in patients with relapse (median, 4.858) compared with patients with long-term CR (median, 4.087) (P<0.05; Fig. 1A). Significant differences were also observed in the classification of survival status (P<0.01; Fig. 1B). Median PLCB4 mRNA expression was significantly lower in patients who survived (median, 3.807) compared with those that had died (median, 5.473) at 5-years follow-up. No significant differences in PLCB4 expression were observed amongst karyotype and gender classifications (P=0.263 and 0.509, respectively) (data not shown).

Figure 1.

PLCB4 expression in AML. (A) PLCB4 expression in patients with AML of different clinical status (relapse and long-term CR). (B) PLCB4 expression in AML patients of different survival status (alive and deceased) at 5-years follow-up. *P<0.05; ****P<0.0001. AML, acute myeloid leukemia; CR, complete remission; PLCB4, phospholipase C β4.

Association between PLCB4 expression and clinical characteristics

The clinical and molecular features of patients were compared between high- and low-PLCB4 groups, in order to determine the association of PLCB4 expression with AML (Table I). Patients with low PLCB4 expression had higher white blood cell counts (median, 59.8) vs. patients with high PLCB4 expression (median, 28.6) (P<0.01). Significant differences were found in both FAB subtypes (P<0.01) and peripheral blood (PB) blast (P=0.012) between the two groups. There were no significant associations between PLCB4 expression and race, gender, karyotype status, and PB and bone marrow blast percentages. Patients with high PLCB4 expression had a significantly higher relapse rate than those with low PLCB4 expression (88.1 vs. 77.5%; P=0.017). In addition, patients with high PLCB4 expression had a higher incidence of minute residual disease (MRD) at the end of the first course of chemotherapy compared with those with low PLCB4 expression (32.2 vs. 19.7%; P=0.011). No significant differences were observed at the end of the second course of chemotherapy (P=0.210) between patients with low and high PLCB4 expression. Patients with high PLCB4 expression had a tendency to have lower CR rates at the end of the first course (72.7 vs. 81.7%; P=0.064) and second course of therapy (83.9 vs. 85.9%; P=0.298) compared with those with low PLCB4 expression; however, the differences were not statistically significant.

Table I.

Comparison of clinical and molecular characteristics with PLCB4 expression in patients with acute myeloid leukemia.

Table I.

Comparison of clinical and molecular characteristics with PLCB4 expression in patients with acute myeloid leukemia.

CharacteristicLow PLCB4 (n=142)High PLCB4 (n=143)P-value
Age, median (range) years  11 (0–22)  10 (0–23)0.493
Sex, n (%) 0.259
  Male  78 (54.9)  69 (48.3)
  Female  64 (45.1)  74 (51.7)
Race, n (%) 0.510
  Caucasian108 (76.1)102 (71.3)
  African American  13 (9.2)  19 (13.3)
  Asian  6 (4.2)  3 (2.1)
  Other  7 (4.9)  6 (4.2)
  Unknown  8 (5.6)  13 (9.1)
WBC, median (range) ×109/l59.8 (0.9–446)28.6 (2–519)<0.01
BM blast, median (range), %73 (20–100)  73 (14–99)0.473
PB blast, median (range), %63 (0–97)  59 (0–97)0.012
FAB subtypes, n (%) <0.01
  M0  2 (1.4)  5 (3.5)
  M116 (11.3)  21 (14.7)
  M229 (20.4)  41 (28.7)
  M452 (36.6)  13 (9.1)
  M522 (15.5)  32 (22.4)
  M6  2 (1.4)  2 (1.4)
  M7  1 (0.7)  8 (5.6)
  NOS  9 (6.3)  8 (5.6)
  Unknown  9 (6.3)13 (9.1)
Karyotype, n (%) 0.536
  Normal  33 (23.2)  38 (26.6)
  Abnormal100 (67.8)  97 (67.8)
  Unknown  9 (6.3)  8 (5.6)
SCT in 1st CR, n (%) 0.400
  Yes  16 (11.3)  20 (14.0)
  No117 (82.4)108 (75.5)
CR status at end of course 1, n (%) 0.064
  Yes116 (81.7)104 (72.7)
  No  24 (16.9)  37 (25.9)
CR status at end of course 2, n (%) 0.298
  Yes122 (85.9)120 (83.9)
  No  13 (9.2)  19 (13.3)
MRD at end of course 1, n (%) 0.011
  Yes28 (19.7)  46 (32.2)
  No76 (53.5)  59 (41.3)
MRD at end of course 2, n (%) 0.210
  Yes17 (12.0)  23 (16.1)
  No81 (57.0)  70 (49.0)
Induction failure, n (%)11 (7.7)  17 (11.9)0.240
Relapse, n (%)110 (77.5)126 (88.1)0.017

[i] PLCB4, phospholipase C β4; WBC, white blood cells; BM, bone marrow; PB, peripheral blood; FAB, French-American-British classification; SCT, stem cell transplantation; CR, complete remission; MRD, minimal residual disease.

Association between PLCB4 expression and genetic mutations

Additionally, the association between PLCB4 expression and the molecular characteristics of patients was investigated. No significant differences were detected in the mutation frequencies of Fms-related tyrosine kinase 3 (FLT3) internal tandem duplication (ITD) or point mutation, nucleophosmin 1 (NPM1), CCAAT enhancer binding protein α (CEBPA) and Wilms' tumor gene 1 (WT1) between the two PCLB4 expression groups (Table II).

Table II.

Comparison of genetic mutations and PLCB4 expression in patients with acute myeloid leukemia.

Table II.

Comparison of genetic mutations and PLCB4 expression in patients with acute myeloid leukemia.

Gene mutationLow PLCB4 (n=142)High PLCB4 (n=143)P-value
FLT3-ITD, n (%) 0.156
  Yes  26 (18.3)  21 (14.7)
  No116 (81.7)122 (85.3)
FLT3-PM, n (%) 0.159
  Yes  13 (9.2)  7 (4.9)
  No128 (90.1)135 (94.4)
NPM1, n (%) 0.268
  Yes  7 (4.9)  12 (8.4)
  No128 (90.1)128 (89.5)
CEBPA, n (%) 0.596
  Yes  9 (6.3)  7 (4.9)
  No131 (92.3)134 (93.7)
WT1, n (%) 0.052
  Yes  17 (12.0)  8 (5.6)
  No120 (84.5)132 (92.3)

[i] PLCB4, phospholipase C β4; FLT3-ITD, internal tandem duplication of the FLT3 gene; FLT3-PM, FLT3 point mutation at codon 835–836; NPM1, nucleophosmin 1; CEBPA, CCAAT-enhancer binding protein α; WT1, Wilms tumor gene 1.

Association of PLCB4 expression and prognosis

To determine the prognostic value of PLCB4 expression in AML, Kaplan-Meier curves were generated to examine the association between PLCB4 expression and patient survival. Patients with high PLCB4 expression had shorter OS (median, 28.5 vs. 60.7 months) and EFS (median, 12.5 vs. 16.3 months) time (Fig. 2A and B). The prognostic value of PLCB4 expression was further confirmed using Cox's regression analyses (univariate and multivariate). As presented in Table III, univariate analysis indicated that PLCB4 overexpression (HR, 1.905; P<0.01), FLT3-ITD-positive (HR, 1.681; P=0.017), and WT1-mutated (HR, 1.827; P=0.029) were associated with shorter OS time, while the mutations in NPM1 (HR, 0.451; P=0.081) and CEBPA (HR, 0.215; P=0.031) were favorable for OS time. Furthermore, patients with PLCB4 overexpression (HR, 1.903; P<0.01), as well as FLT3-ITD-positive (HR, 1.634; P=0.023), and WT1-mutated (HR, 1.988; P=0.013) genotypes had shorter EFS time. NPM1-mutated (HR, 0.403; P=0.046) and CEBPA-mutated (HR, 0.185; P=0.018) genotypes were associated with longer EFS time. Multivariate analysis revealed high PLCB4 expression was an independent prognostic factor for shorter OS time (P<0.01; HR, 2.081) and EFS (P<0.01; HR, 2.130) in AML. Notably, when patients were stratified according to transplant status in CR1, in the chemotherapy group, patients with high PLCB4 expression had significantly shorter OS (P<0.01) and EFS (P<0.01) times compared with those with low PLCB4 expression (Fig. 2C and D). The results were unaffected by multivariate adjustments for clinical and genetic mutation variables: OS (P<0.01; HR, 2.239) and EFS (P<0.01; HR, 2.311) times. No significant differences between high and low PLCB4 expression groups of patients undergoing SCT were observed (OS, P=0.812; EFS, P=0.833) (Fig. 2E and F). Overall, these data suggest PLCB4 overexpression may be an independent predictor of poor prognosis in patients receiving chemotherapy, but not undergoing SCT in CR1.

Figure 2.

Survival analysis of patients with AML according to PLCB4 gene expression. (A and B) Patients with high PLCB4 expression had significantly shorter OS and EFS times compared with patients with low expression. (C and D) Patients that were treated with chemotherapy in CR1 and had high PLCB4 expression had significantly shorter OS and EFS times compared with patients with low expression. (E and F) No significant differences were observed in OS and EFS times between high- and low-PLCB4 expression groups in patients undergoing SCT in CR1. PLCB4, phospholipase C β4; SCT, stem cell transplants; OS, overall survival; EFS, event-free survival; CR1, first complete remission.

Table III.

Univariate and multivariate analyses of prognostic factors for OS and EFS in AML patients.

Table III.

Univariate and multivariate analyses of prognostic factors for OS and EFS in AML patients.

A, Univariate analysis

OSEFS


VariablesHR (95% CI)P-valueHR (95% CI)P-value
PLCB41.905 (1.335–2.718)<0.011.903 (1.334–2.714)<0.01
Age1.022 (0.992–1.054)0.1561.014 (0.983–1.045)0.382
Sex1.308 (0.927–1.845)0.1271.288 (0.913–1.817)0.150
Race1.005 (0.797–1.268)0.9630.958 (0.759–1.209)0.718
FAB1.071 (0.981–1.169)0.1271.091 (0.998–1.191)0.055
WBC1.000 (0.998–1.002)0.8941.000 (0.998–1.002)0.841
BM blast0.998 (0.990–1.007)0.7030.997 (0.989–1.006)0.512
PB blast0.996 (0.990–1.002)0.2060.996 (0.990–1.002)0.175
Karyotype1.103 (0.737–1.651)0.6341.110 (0.741–1.662)0.612
SCT in 1st CR0.842 (0.482–1.471)0.5450.804 (0.460–1.404)0.442
FLT3-ITD1.681 (1.099–2.571)0.0171.634 (1.069–2.497)0.023
FLT3-PM0.474 (0.194–1.158)0.1010.445 (0.182–1.088)0.076
NPM10.451 (0.184–1.103)0.0810.403 (0.164–0.986)0.046
CEBPA0.215 (0.053–0.868)0.0310.185 (0.046–0.748)0.018
WT11.827 (1.065–3.134)0.0291.988 (1.158–3.412)0.013

B, Multivariate analyses

OSEFS


VariablesHR (95% CI)P-valueHR (95% CI)P-value

PLCB42.081 (1.440–3.008)<0.012.130 (1.447–3.137)<0.01
FAB––1.099 (1.004–1.203)0.040
FLT3-ITD1.709 (1.066–2.742)0.0261.699 (0.994–2.902)0.052
FLT3-PM––0.526 (0.192–1.440)0.211
NPM10.317 (0.126–0.798)0.0150.340 (0.132–0.875)0.025
CEBPA0.213 (0.053–0.864)0.0300.194 (0.048–0.791)0.022
WT11.536 (0.835–2.825)0.1671.807 (0.964–3.386)0.065

[i] Multivariate analysis included variables with P<0.1 in univariate analysis of OS and EFS. HR ≥1.0 indicated a higher risk for OS and EFS, whilst HR ≤1.0 indicated a lower risk. PLCB4, phospholipase C β4; CI, confidence interval; HR, hazard ratio; EFS, event-free survival; OS, overall survival; WBC, white blood cell; BM, bone marrow; PB, peripheral blood; FAB, French-American-British classification; SCT, stem cell transplantation; CR, complete remission; FLT3-ITD, internal tandem duplication of the FLT3 gene; FLT3-PM, FLT3 point mutation at codon 835–836; NPM1, nucleophosmin; CEBPA, CCAAT-enhancer binding protein α; WT1, Wilms tumor gene 1.

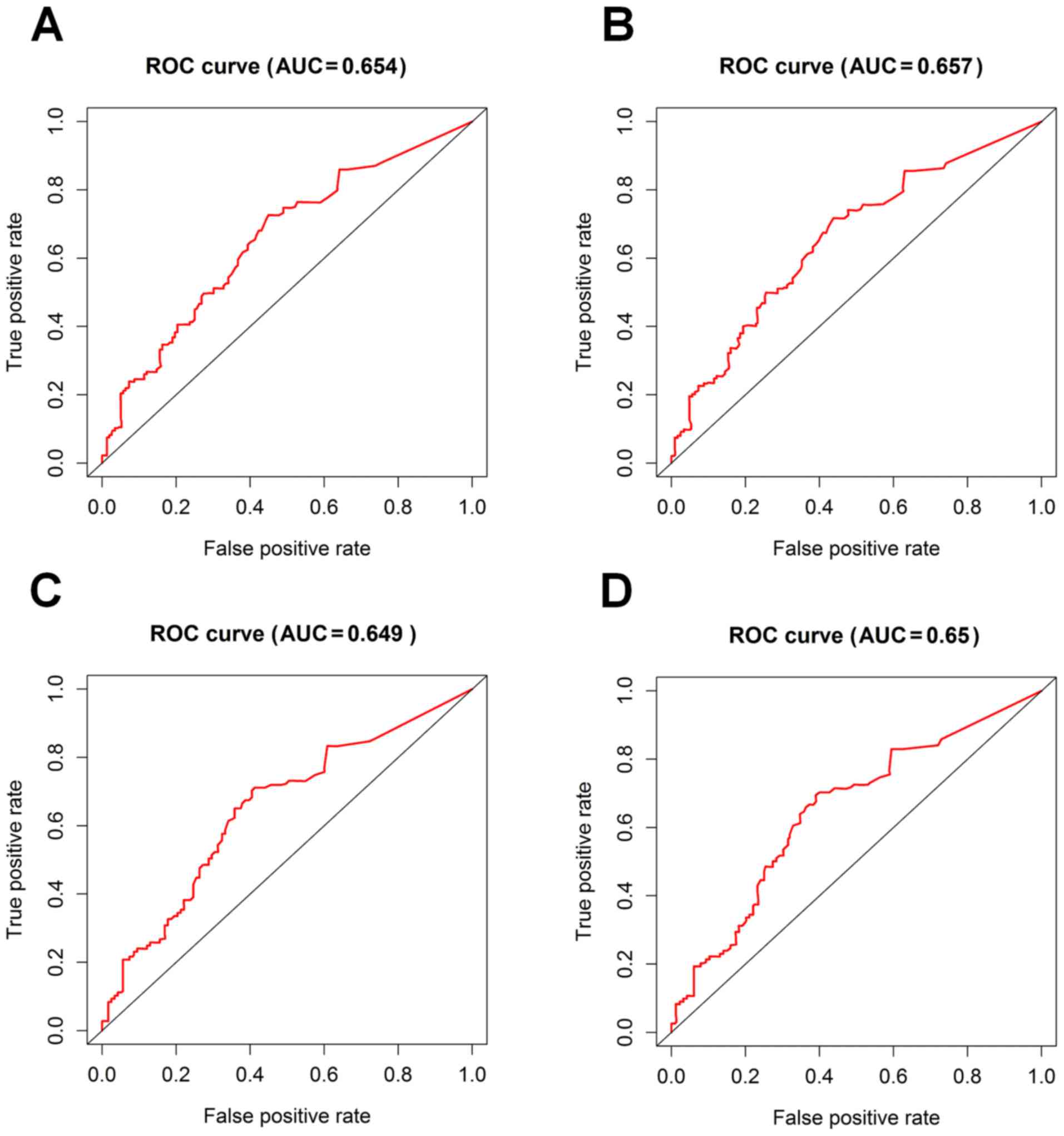
Discriminative capacity of PLCB4 expression

In order to evaluate the clinical utility of PLCB4 expression as a prognostic biomarker of AML, the AUC of ROC curves were used to determine the discriminative capacity of PLCB4 expression to predict 5-year survival rates. The AUC values were high for the 5-year ROC curves of OS and EFS (AUC, 0.654 and 0.657, respectively; Fig. 3A and B), and similar results were observed for OS and EFS times of patients treated with chemotherapy in CR1 (AUC, 0.649 and 0.65, respectively; Fig. 3C and D). Overall, these findings suggest that PLCB4 expression may serve as a potential prognostic biomarker of AML.

Figure 3.

ROC analysis of phospholipase C β4 expression to predict 5-year OS and EFS. ROC predicts 5-year (A) OS and (B) EFS of all patients in the cohort, and (C) OS and (D) EFS of patients treated with chemotherapy. ROC, receiver operating characteristics; OS, overall survival; EFS, event-free survival; AUC, area under the ROC curve.

Functional and pathway enrichment analysis of PLCB4-associated genes in AML

In order to obtain insights into the biological functions and potential mechanisms of PLCB4 in AML, PLCB4-associated genes were identified using Spearman's rank correlation analysis. A total of 648 mRNAs were significantly correlated with PLCB4 expression. Of these, 14 genes were negatively correlated and 634 genes were positively correlated. PCYT1B, PARD6B, RAB3IP, CALD1 and ALDH1A1 were the top 5 genes that positively correlated with the expression levels of PLCB4 according to the value of the correlation coefficient. Subsequently, GO functional and KEGG pathway enrichment analysis were conducted, based on the genes that were correlated with PLCB4 expression. The correlated genes were significantly enriched in the pathways associated with ‘regulation of transcription’, ‘G2/M transition of mitotic cell cycle’, ‘centriole replication’, ‘cilium assembly’ and ‘calcium-dependent cell-cell adhesion via plasma membrane cell adhesion molecules’ (Fig. 4). KEGG pathway analysis predicted three potential pathways that were associated with PLCB4 and its correlated genes and were regulated during AML, including the thyroid hormone signaling pathway, RAP1 signaling and platelet activation (Table IV).

Figure 4.

Functional enrichment analysis of PLCB4 and associated genes in AML. GO analysis of PLCB4 and associated genes using the Database for Annotation, Visualization and Integrated Discovery database in AML showed 143 GO terms enriched with these genes. The top 10 enriched GO terms were classified into CC, MF and BP. PLCB4; phospholipase C β4; GO, Gene Ontology; BP, biological processes; CC, cell components; MF, molecular functions; AML, acute myeloid leukemia.

Table IV.

Kyoto Encyclopedia of Genes and Genomes pathway analysis prediction of potential pathways in which PLCB4 and PLCB4-associated genes were enriched in acute myeloid leukemia.

Table IV.

Kyoto Encyclopedia of Genes and Genomes pathway analysis prediction of potential pathways in which PLCB4 and PLCB4-associated genes were enriched in acute myeloid leukemia.

Pathway IDPathway nameGenes
hsa04919Thyroid hormone signaling pathwaySLC16A2, HDAC2, PLCB4, THRB, SLCO1C1, TBC1D4, ITGB3, PIK3R3, MED12L
hsa04015RAP1 signaling pathwayPARD6B, IGF1R, MAGI3, PLCB4, TIAM1, TEK, RAPGEF6, RAPGEF5, ITGB3, RAPGEF2, EGF, PIK3R3
hsa04611Platelet activationPLCB4, PPP1R12A, COL2A1, PRKG2, ITGB3, PIK3R3, COL11A1, COL5A1

[i] PLCB4, phospholipase C β4; has, Homo sapiens.

mRNA expression of PLCB4 in leukemia stem cells

Amongst all cell populations that were assessed, the expression of PLCB4 was highest in CD34+CD38− cells compared with both CD34−/CD38+ and CD34+CD38− cells (P=0.020 and 0.029, respectively; Fig. 5).

Figure 5.

PLCB4 mRNA expression in leukemia stem cell populations. Comparison of PLCB4 mRNA expression differences among the following sorted cell populations: CD34+CD38+, CD34+CD38−, CD34−CD38+, CD34−CD38− and unsorted cell populations according to the CD34 and CD38 markers of leukemia stem cells. *P<0.05. PLCB4; phospholipase C β4.

Discussion

Despite improvements in the prognosis of AML, several clinical challenges remain for this disease. High relapse rates remain the major cause of treatment failure in patients with AML and CR1, who are treated with intensive chemotherapy alone (1). The present study demonstrated that increased PLCB4 expression was associated with a high risk of relapse and death, whereas low expression of PLCB4 was associated with favorable prognosis in patients with AML. ROC curve and Cox's regression analyses for OS and EFS time of patients with AML further confirmed that PLCB4 expression was considered as an independent prognostic indicator. Furthermore, high PLCB4 expression was associated with an unfavorable outcome in patients with AML who received chemotherapy. Thus, PLCB4 represents a predictive molecular marker for the effectiveness of chemotherapy. However, further verification is required in larger cohorts.

High PLCB4 expression was reported in numerous cancer types and was associated with worse clinical outcomes for gastrointestinal tumors and mesothelioma, as well as melanomas (17,18). The present study suggests that PLCB4 expression plays a vital role in tumor development and recurrence in patients with AML, however the underlying mechanisms of PLCB4 in AML remain poorly understood. A previous study reported that PLCB4 was upregulated in multidrug-resistant HL-60 cell lines compared with wild-type HL-60 cells (25), indicating its association with drug-resistance in leukemia.

The presence of MRD following induction and/or consolidation chemotherapy has been demonstrated to be a significant risk factor and predictive marker of relapse in patients with AML (5,26–29). A growing body of evidence suggests that MRD prior to hematopoietic cell transplantation is associated with adverse clinical prognosis in AML in CR1 (30,31). Notably, this study's findings indicated that a positive effect of PLCB4 overexpression on the incidence of MRD was observed in patients with AML and CR1, demonstrating that PLCB4 expression plays a role in the relapse of AML.

CD34+CD38− leukemia stem cells are resistant to chemotherapy, immune-evasive, and are associated with a lower CR rate following induction and an unfavorable prognosis in AML (32,33). In the present study, PLCB4 was found to be highly expressed in CD34+CD38− populations and was significantly associated with ALDH1A1, an important marker of cancer stem cells (34). However, the specific mechanism of PLCB4 in leukemia stem cells remain undefined.

To further clarify the impact of PLCB4 expression on the response to treatment and clinical outcomes in patients with AML, the genes that were significantly correlated with PLCB4 expression were identified in the current study. GO and KEGG analysis were performed to examine the potential functional pathways of PLCB4-associated genes involved in AML. RAP1 signaling regulates several biological processes, including cell polarity, proliferation, differentiation, adhesion and movement (35). Moreover, RAP signaling plays an essential role in the invasion and migration of leukemia cells through interaction with downstream target molecules (36). RAP guanine nucleotide exchange factors (RAPGEFs) act as a molecular switch by promoting the exchange of RAP1 from a GDP-bound state to the active GTP-bound state (37,38). Notably, RAPGEF6, RAPGEF5 and RAPGEF2 were significantly correlated with PLCB4 expression. GO and KEGG analysis revealed PLCB4 and PLCB4-associated genes were involved in ‘regulation of transcription, DNA-templated’, ‘transcription, DNA-templated’, ‘G2/M transition of mitotic cell cycle’, ‘centriole replication’ and ‘RAP1 signaling pathway’. Thus, RAP1 signaling may be involved in AML cell migration and invasion, via activation of PLCB4. Further studies to confirm this hypothesis experimentally are required.

To the best of our knowledge, the present study is the first to evaluate the prognostic value of PLCB4 expression in AML. However, some potential limitations remain. The present study was based on information obtained from the TARGET database, which restricted the data available. Experiments on cell and animal models are required to understand and validate the role of PLCB4 expression in AML. Despite these limitations, the present study identified a direct association between PLCB4 expression and prognosis based on a large and representative population. Further studies are required to elucidate the potential molecular mechanisms of PLCB4 in AML.

In conclusion, upregulation of PLCB4 was associated with a poor clinical outcome in patients with AML. PLCB4 may therefore be a potential prognostic biomarker and therapeutic target of AML.

Acknowledgements

Not applicable.

Funding

No funding was received.

Availability of data and materials

The datasets used and/or analyzed during the current study are available from the corresponding author on reasonable request.

Authors' contributions

LZ, SW and WZ contributed to the study design. DS contributed to downloading and processing the data. SW and JL analyzed the data and wrote the manuscript. All authors read and approved the final manuscript.

Ethics approval and consent to participate

Not applicable.

Patient consent for publication

Not applicable.

Competing interests

The authors declare that they have no competing interests.

References

1 

Döhner H, Weisdorf DJ and Bloomfield CD: Acute myeloid leukemia. N Engl J Med. 373:1136–1152. 2015. View Article : Google Scholar : PubMed/NCBI

2 

Siegel RL, Miller KD and Jemal A: Cancer statistics, 2019. CA Cancer J Clin. 69:7–34. 2019. View Article : Google Scholar : PubMed/NCBI

3 

Wang N, Feng YJ, Wang BH, Fang LW, Cong S, Li YC, Yin P, Zhou MG and Wang LH: Disease burden of leukemia in the Chinese population, in 1990 and 2013. Zhonghua Liu Xing Bing Xue Za Zhi. 37:783–787. 2016.(In Chinese). PubMed/NCBI

4 

Dohner H, Estey E, Grimwade D, Amadori S, Appelbaum FR, Büchner T, Dombret H, Ebert BL, Fenaux P, Larson RA, et al: Diagnosis and management of AML in adults: 2017 ELN recommendations from an international expert panel. Blood. 129:424–447. 2017. View Article : Google Scholar : PubMed/NCBI

5 

Cocco L, Follo MY, Manzoli L and Suh PG: Phosphoinositide-specific phospholipase C in health and disease. J Lipid Res. 56:1853–1860. 2015. View Article : Google Scholar : PubMed/NCBI

6 

Follo MY, Manzoli L, Poli A, McCubrey JA and Cocco L: PLC and PI3K/Akt/mTOR signalling in disease and cancer. Adv Biol Regul. 57:10–16. 2015. View Article : Google Scholar : PubMed/NCBI

7 

Cheng M, Bhujwalla ZM and Glunde K: Targeting phospholipid metabolism in cancer. Front Oncol. 6:2662016. View Article : Google Scholar : PubMed/NCBI

8 

Sengelaub CA, Navrazhina K, Ross JB, Halberg N and Tavazoie SF: PTPRN2 and PLCβ1 promote metastatic breast cancer cell migration through PI(4,5)P2-dependent actin remodeling. EMBO J. 35:62–76. 2016. View Article : Google Scholar : PubMed/NCBI

9 

Lo Vasco VR, Calabrese G, Manzoli L, Palka G, Spadano A, Morizio E, Guanciali-Franchi P, Fantasia D and Cocco L: Inositide-specific phospholipase c beta1 gene deletion in the progression of myelodysplastic syndrome to acute myeloid leukemia. Leukemia. 18:1122–1126. 2004. View Article : Google Scholar : PubMed/NCBI

10 

Cocco L, Manzoli L, Palka G and Martelli AM: Nuclear phospholipase C beta1, regulation of the cell cycle and progression of acute myeloid leukemia. Adv Enzyme Regul. 45:126–135. 2005. View Article : Google Scholar : PubMed/NCBI

11 

Bavelloni A, Poli A, Fiume R, Blalock W, Matteucci A, Ramazzotti G, McCubrey JA, Cocco L and Faenza I: PLC-beta 1 regulates the expression of miR-210 during mithramycin-mediated erythroid differentiation in K562 cells. Oncotarget. 5:4222–4231. 2014. View Article : Google Scholar : PubMed/NCBI

12 

Bavelloni A, Dmitrienko GI, Goodfellow VJ, Ghavami A, Piazzi M, Blalock W, Chiarini F, Cocco L and Faenza I: PLCβ1a and PLCβ1b selective regulation and cyclin D3 modulation reduced by kinamycin F during k562 cell differentiation. J Cell Physiol. 230:587–594. 2015. View Article : Google Scholar : PubMed/NCBI

13 

Bertagnolo V, Benedusi M, Querzoli P, Pedriali M, Magri E, Brugnoli F and Capitani S: PLC-beta2 is highly expressed in breast cancer and is associated with a poor outcome: A study on tissue microarrays. Int J Oncol. 28:863–872. 2006.PubMed/NCBI

14 

Bertagnolo V, Benedusi M, Brugnoli F, Lanuti P, Marchisio M, Querzoli P and Capitani S: Phospholipase C-beta 2 promotes mitosis and migration of human breast cancer-derived cells. Carcinogenesis. 28:1638–1645. 2007. View Article : Google Scholar : PubMed/NCBI

15 

Johansson P, Aoude LG, Wadt K, Glasson WJ, Warrier SK, Hewitt AW, Kiilgaard JF, Heegaard S, Isaacs T, Franchina M, et al: Deep sequencing of uveal melanoma identifies a recurrent mutation in PLCB4. Oncotarget. 7:4624–4631. 2016. View Article : Google Scholar : PubMed/NCBI

16 

Li CF, Liu TT, Chuang IC, Chen YY, Fang FM, Chan TC, Li WS and Huang HY: PLCB4 copy gain and PLCß4 overexpression in primary gastrointestinal stromal tumors: Integrative characterization of a lipid-catabolizing enzyme associated with worse disease-free survival. Oncotarget. 8:19997–20010. 2017.PubMed/NCBI

17 

Kakiuchi T, Takahara T, Kasugai Y, Arita K, Yoshida N, Karube K, Suguro M, Matsuo K, Nakanishi H, Kiyono T, et al: Modeling mesothelioma utilizing human mesothelial cells reveals involvement of phospholipase-C beta 4 in YAP-active mesothelioma cell proliferation. Carcinogenesis. Aug 24–2016.(Epub ahead of print). View Article : Google Scholar : PubMed/NCBI

18 

van de Nes JAP, Koelsche C, Gessi M, Möller I, Sucker A, Scolyer RA, Buckland ME, Pietsch T, Murali R, Schadendorf D, et al: Activating CYSLTR2 and PLCB4 mutations in primary leptomeningeal melanocytic tumors. J Invest Dermatol. 137:2033–2035. 2017. View Article : Google Scholar : PubMed/NCBI

19 

Thomas D and Majeti R: Biology and relevance of human acute myeloid leukemia stem cells. Blood. 129:1577–1585. 2017. View Article : Google Scholar : PubMed/NCBI

20 

Ashburner M, Ball CA, Blake JA, Botstein D, Butler H, Cherry JM, Davis AP, Dolinski K, Dwight SS, Eppig JT, et al: Gene ontology: Tool for the unification of biology. The gene ontology consortium. Nat Genet. 25:25–29. 2000. View Article : Google Scholar : PubMed/NCBI

21 

Tanabe M and Kanehisa M: Using the KEGG database resource. Curr Protoc Bioinformatics. Chapter 1: Unit1.12. 2012.PubMed/NCBI

22 

Aoki KF and Kanehisa M: Using the KEGG database resource. Curr Protoc Bioinformatics. Chapter 1: Unit 1.12. 2005.PubMed/NCBI

23 

Huang da W, Sherman BT and Lempicki RA: Systematic and integrative analysis of large gene lists using DAVID bioinformatics resources. Nat Protoc. 4:44–57. 2009. View Article : Google Scholar : PubMed/NCBI

24 

Eppert K, Takenaka K, Lechman ER, Waldron L, Nilsson B, van Galen P, Metzeler KH, Poeppl A, Ling V, Beyene J, et al: Stem cell gene expression programs influence clinical outcome in human leukemia. Nat Med. 17:1086–1093. 2011. View Article : Google Scholar : PubMed/NCBI

25 

Zheng GH, Fu JR, Xu YH, Jin XQ, Liu WL and Zhou JF: Screening and cloning of multi-drug resistant genes in HL-60/MDR cells. Leuk Res. 33:1120–1123. 2009. View Article : Google Scholar : PubMed/NCBI

26 

Ivey A, Hills RK, Simpson MA, Jovanovic JV, Gilkes A, Grech A, Patel Y, Bhudia N, Farah H, Mason J, et al: Assessment of minimal residual disease in standard-Risk AML. N Engl J Med. 374:422–433. 2016. View Article : Google Scholar : PubMed/NCBI

27 

Terwijn M, van Putten WL, Kelder A, van der Velden VH, Brooimans RA, Pabst T, Maertens J, Boeckx N, de Greef GE, Valk PJ, et al: High prognostic impact of flow cytometric minimal residual disease detection in acute myeloid leukemia: Data from the HOVON/SAKK AML 42A study. J Clin Oncol. 31:3889–3897. 2013. View Article : Google Scholar : PubMed/NCBI

28 

Chen X, Xie H, Wood BL, Walter RB, Pagel JM, Becker PS, Sandhu VK, Abkowitz JL, Appelbaum FR and Estey EH: Relation of clinical response and minimal residual disease and their prognostic impact on outcome in acute myeloid leukemia. J Clin Oncol. 33:1258–1264. 2015. View Article : Google Scholar : PubMed/NCBI

29 

Schuurhuis GJ and Ossenkoppele G: Minimal residual disease in acute myeloid leukemia: Already predicting a safe haven? Expert Rev Hematol. 3:1–5. 2010. View Article : Google Scholar : PubMed/NCBI

30 

Walter RB, Buckley SA, Pagel JM, Wood BL, Storer BE, Sandmaier BM, Fang M, Gyurkocza B, Delaney C, Radich JP, et al: Significance of minimal residual disease before myeloablative allogeneic hematopoietic cell transplantation for AML in first and second complete remission. Blood. 122:1813–1821. 2013. View Article : Google Scholar : PubMed/NCBI

31 

Buckley SA, Wood BL, Othus M, Hourigan CS, Ustun C, Linden MA, DeFor TE, Malagola M, Anthias C, Valkova V, et al: Minimal residual disease prior to allogeneic hematopoietic cell transplantation in acute myeloid leukemia: A meta-analysis. Haematologica. 102:865–873. 2017. View Article : Google Scholar : PubMed/NCBI

32 

Zeijlemaker W, Grob T, Meijer R, Hanekamp D, Kelder A, Carbaat-Ham JC, Oussoren-Brockhoff YJM, Snel AN, Veldhuizen D, Scholten WJ, et al: CD34+CD38-leukemic stem cell frequency to predict outcome in acute myeloid leukemia. Leukemia. 33:1102–1112. 2018. View Article : Google Scholar : PubMed/NCBI

33 

Plesa A, Dumontet C, Mattei E, Tagoug I, Hayette S, Sujobert P, Tigaud I, Pages MP, Chelghoum Y, Baracco F, et al: High frequency of CD34+CD38−/low immature leukemia cells is correlated with unfavorable prognosis in acute myeloid leukemia. World J Stem Cells. 9:227–234. 2017. View Article : Google Scholar : PubMed/NCBI

34 

Tomita H, Tanaka K, Tanaka T and Hara A: Aldehyde dehydrogenase 1A1 in stem cells and cancer. Oncotarget. 7:11018–11032. 2016. View Article : Google Scholar : PubMed/NCBI

35 

Jaśkiewicz A, Pająk B and Orzechowski A: The many faces of Rap1 GTPase. Int J Mol Sci. 19(pii): E28482018. View Article : Google Scholar : PubMed/NCBI

36 

Minato N and Hattori M: Spa-1 (Sipa1) and Rap signaling in leukemia and cancer metastasis. Cancer Sci. 100:17–23. 2009. View Article : Google Scholar : PubMed/NCBI

37 

Rebhun JF, Castro AF and Quilliam LA: Identification of guanine nucleotide exchange factors (GEFs) for the Rap1 GTPase. Regulation of MR-GEF by M-Ras-GTP interaction. J Biol Chem. 275:34901–34908. 2000. View Article : Google Scholar : PubMed/NCBI

38 

Sot B, Kötting C, Deaconescu D, Suveyzdis Y, Gerwert K and Wittinghofer A: Unravelling the mechanism of dual-specificity GAPs. EMBO J. 29:1205–1214. 2010. View Article : Google Scholar : PubMed/NCBI

Related Articles

  • Abstract
  • View
  • Download
  • Twitter
Copy and paste a formatted citation
Spandidos Publications style
Wu S, Zhang W, Shen D, Lu J and Zhao L: PLCB4 upregulation is associated with unfavorable prognosis in pediatric acute myeloid leukemia. Oncol Lett 18: 6057-6065, 2019.
APA
Wu, S., Zhang, W., Shen, D., Lu, J., & Zhao, L. (2019). PLCB4 upregulation is associated with unfavorable prognosis in pediatric acute myeloid leukemia. Oncology Letters, 18, 6057-6065. https://doi.org/10.3892/ol.2019.10921
MLA
Wu, S., Zhang, W., Shen, D., Lu, J., Zhao, L."PLCB4 upregulation is associated with unfavorable prognosis in pediatric acute myeloid leukemia". Oncology Letters 18.6 (2019): 6057-6065.
Chicago
Wu, S., Zhang, W., Shen, D., Lu, J., Zhao, L."PLCB4 upregulation is associated with unfavorable prognosis in pediatric acute myeloid leukemia". Oncology Letters 18, no. 6 (2019): 6057-6065. https://doi.org/10.3892/ol.2019.10921
Copy and paste a formatted citation
x
Spandidos Publications style
Wu S, Zhang W, Shen D, Lu J and Zhao L: PLCB4 upregulation is associated with unfavorable prognosis in pediatric acute myeloid leukemia. Oncol Lett 18: 6057-6065, 2019.
APA
Wu, S., Zhang, W., Shen, D., Lu, J., & Zhao, L. (2019). PLCB4 upregulation is associated with unfavorable prognosis in pediatric acute myeloid leukemia. Oncology Letters, 18, 6057-6065. https://doi.org/10.3892/ol.2019.10921
MLA
Wu, S., Zhang, W., Shen, D., Lu, J., Zhao, L."PLCB4 upregulation is associated with unfavorable prognosis in pediatric acute myeloid leukemia". Oncology Letters 18.6 (2019): 6057-6065.
Chicago
Wu, S., Zhang, W., Shen, D., Lu, J., Zhao, L."PLCB4 upregulation is associated with unfavorable prognosis in pediatric acute myeloid leukemia". Oncology Letters 18, no. 6 (2019): 6057-6065. https://doi.org/10.3892/ol.2019.10921
Follow us
  • Twitter
  • LinkedIn
  • Facebook
About
  • Spandidos Publications
  • Careers
  • Cookie Policy
  • Privacy Policy
How can we help?
  • Help
  • Live Chat
  • Contact
  • Email to our Support Team