Spandidos Publications Logo
  • About
    • About Spandidos
    • Aims and Scopes
    • Abstracting and Indexing
    • Editorial Policies
    • Reprints and Permissions
    • Job Opportunities
    • Terms and Conditions
    • Contact
  • Journals
    • All Journals
    • Oncology Letters
      • Oncology Letters
      • Information for Authors
      • Editorial Policies
      • Editorial Board
      • Aims and Scope
      • Abstracting and Indexing
      • Bibliographic Information
      • Archive
    • International Journal of Oncology
      • International Journal of Oncology
      • Information for Authors
      • Editorial Policies
      • Editorial Board
      • Aims and Scope
      • Abstracting and Indexing
      • Bibliographic Information
      • Archive
    • Molecular and Clinical Oncology
      • Molecular and Clinical Oncology
      • Information for Authors
      • Editorial Policies
      • Editorial Board
      • Aims and Scope
      • Abstracting and Indexing
      • Bibliographic Information
      • Archive
    • Experimental and Therapeutic Medicine
      • Experimental and Therapeutic Medicine
      • Information for Authors
      • Editorial Policies
      • Editorial Board
      • Aims and Scope
      • Abstracting and Indexing
      • Bibliographic Information
      • Archive
    • International Journal of Molecular Medicine
      • International Journal of Molecular Medicine
      • Information for Authors
      • Editorial Policies
      • Editorial Board
      • Aims and Scope
      • Abstracting and Indexing
      • Bibliographic Information
      • Archive
    • Biomedical Reports
      • Biomedical Reports
      • Information for Authors
      • Editorial Policies
      • Editorial Board
      • Aims and Scope
      • Abstracting and Indexing
      • Bibliographic Information
      • Archive
    • Oncology Reports
      • Oncology Reports
      • Information for Authors
      • Editorial Policies
      • Editorial Board
      • Aims and Scope
      • Abstracting and Indexing
      • Bibliographic Information
      • Archive
    • Molecular Medicine Reports
      • Molecular Medicine Reports
      • Information for Authors
      • Editorial Policies
      • Editorial Board
      • Aims and Scope
      • Abstracting and Indexing
      • Bibliographic Information
      • Archive
    • World Academy of Sciences Journal
      • World Academy of Sciences Journal
      • Information for Authors
      • Editorial Policies
      • Editorial Board
      • Aims and Scope
      • Abstracting and Indexing
      • Bibliographic Information
      • Archive
    • International Journal of Functional Nutrition
      • International Journal of Functional Nutrition
      • Information for Authors
      • Editorial Policies
      • Editorial Board
      • Aims and Scope
      • Abstracting and Indexing
      • Bibliographic Information
      • Archive
    • International Journal of Epigenetics
      • International Journal of Epigenetics
      • Information for Authors
      • Editorial Policies
      • Editorial Board
      • Aims and Scope
      • Abstracting and Indexing
      • Bibliographic Information
      • Archive
    • Medicine International
      • Medicine International
      • Information for Authors
      • Editorial Policies
      • Editorial Board
      • Aims and Scope
      • Abstracting and Indexing
      • Bibliographic Information
      • Archive
  • Articles
  • Information
    • Information for Authors
    • Information for Reviewers
    • Information for Librarians
    • Information for Advertisers
    • Conferences
  • Language Editing
Spandidos Publications Logo
  • About
    • About Spandidos
    • Aims and Scopes
    • Abstracting and Indexing
    • Editorial Policies
    • Reprints and Permissions
    • Job Opportunities
    • Terms and Conditions
    • Contact
  • Journals
    • All Journals
    • Biomedical Reports
      • Information for Authors
      • Editorial Policies
      • Editorial Board
      • Aims and Scope
      • Abstracting and Indexing
      • Bibliographic Information
      • Archive
    • Experimental and Therapeutic Medicine
      • Information for Authors
      • Editorial Policies
      • Editorial Board
      • Aims and Scope
      • Abstracting and Indexing
      • Bibliographic Information
      • Archive
    • International Journal of Epigenetics
      • Information for Authors
      • Editorial Policies
      • Editorial Board
      • Aims and Scope
      • Abstracting and Indexing
      • Bibliographic Information
      • Archive
    • International Journal of Functional Nutrition
      • Information for Authors
      • Editorial Policies
      • Editorial Board
      • Aims and Scope
      • Abstracting and Indexing
      • Bibliographic Information
      • Archive
    • International Journal of Molecular Medicine
      • Information for Authors
      • Editorial Policies
      • Editorial Board
      • Aims and Scope
      • Abstracting and Indexing
      • Bibliographic Information
      • Archive
    • International Journal of Oncology
      • Information for Authors
      • Editorial Policies
      • Editorial Board
      • Aims and Scope
      • Abstracting and Indexing
      • Bibliographic Information
      • Archive
    • Medicine International
      • Information for Authors
      • Editorial Policies
      • Editorial Board
      • Aims and Scope
      • Abstracting and Indexing
      • Bibliographic Information
      • Archive
    • Molecular and Clinical Oncology
      • Information for Authors
      • Editorial Policies
      • Editorial Board
      • Aims and Scope
      • Abstracting and Indexing
      • Bibliographic Information
      • Archive
    • Molecular Medicine Reports
      • Information for Authors
      • Editorial Policies
      • Editorial Board
      • Aims and Scope
      • Abstracting and Indexing
      • Bibliographic Information
      • Archive
    • Oncology Letters
      • Information for Authors
      • Editorial Policies
      • Editorial Board
      • Aims and Scope
      • Abstracting and Indexing
      • Bibliographic Information
      • Archive
    • Oncology Reports
      • Information for Authors
      • Editorial Policies
      • Editorial Board
      • Aims and Scope
      • Abstracting and Indexing
      • Bibliographic Information
      • Archive
    • World Academy of Sciences Journal
      • Information for Authors
      • Editorial Policies
      • Editorial Board
      • Aims and Scope
      • Abstracting and Indexing
      • Bibliographic Information
      • Archive
  • Articles
  • Information
    • For Authors
    • For Reviewers
    • For Librarians
    • For Advertisers
    • Conferences
  • Language Editing
Login Register Submit
  • This site uses cookies
  • You can change your cookie settings at any time by following the instructions in our Cookie Policy. To find out more, you may read our Privacy Policy.

    I agree
Search articles by DOI, keyword, author or affiliation
Search
Advanced Search
presentation
Oncology Letters
Join Editorial Board Propose a Special Issue
Print ISSN: 1792-1074 Online ISSN: 1792-1082
Journal Cover
March-2019 Volume 17 Issue 3

Full Size Image

Sign up for eToc alerts
Recommend to Library

Journals

International Journal of Molecular Medicine

International Journal of Molecular Medicine

International Journal of Molecular Medicine is an international journal devoted to molecular mechanisms of human disease.

International Journal of Oncology

International Journal of Oncology

International Journal of Oncology is an international journal devoted to oncology research and cancer treatment.

Molecular Medicine Reports

Molecular Medicine Reports

Covers molecular medicine topics such as pharmacology, pathology, genetics, neuroscience, infectious diseases, molecular cardiology, and molecular surgery.

Oncology Reports

Oncology Reports

Oncology Reports is an international journal devoted to fundamental and applied research in Oncology.

Experimental and Therapeutic Medicine

Experimental and Therapeutic Medicine

Experimental and Therapeutic Medicine is an international journal devoted to laboratory and clinical medicine.

Oncology Letters

Oncology Letters

Oncology Letters is an international journal devoted to Experimental and Clinical Oncology.

Biomedical Reports

Biomedical Reports

Explores a wide range of biological and medical fields, including pharmacology, genetics, microbiology, neuroscience, and molecular cardiology.

Molecular and Clinical Oncology

Molecular and Clinical Oncology

International journal addressing all aspects of oncology research, from tumorigenesis and oncogenes to chemotherapy and metastasis.

World Academy of Sciences Journal

World Academy of Sciences Journal

Multidisciplinary open-access journal spanning biochemistry, genetics, neuroscience, environmental health, and synthetic biology.

International Journal of Functional Nutrition

International Journal of Functional Nutrition

Open-access journal combining biochemistry, pharmacology, immunology, and genetics to advance health through functional nutrition.

International Journal of Epigenetics

International Journal of Epigenetics

Publishes open-access research on using epigenetics to advance understanding and treatment of human disease.

Medicine International

Medicine International

An International Open Access Journal Devoted to General Medicine.

Journal Cover
March-2019 Volume 17 Issue 3

Full Size Image

Sign up for eToc alerts
Recommend to Library

  • Article
  • Citations
    • Cite This Article
    • Download Citation
    • Create Citation Alert
    • Remove Citation Alert
    • Cited By
  • Similar Articles
    • Related Articles (in Spandidos Publications)
    • Similar Articles (Google Scholar)
    • Similar Articles (PubMed)
  • Download PDF
  • Download XML
  • View XML
Article Open Access

Significance of PD‑L1 in the diagnosis and treatment of B‑cell malignant lymphoma

  • Authors:
    • Jianzhong Yang
    • Guangzhu Hu
  • View Affiliations / Copyright

    Affiliations: Department of Hematopathology, Quanzhou First Hospital Affiliated to Fujian Medical University, Quanzhou, Fujian 362000, Department of Cardiothoracic Surgery, Suizhou Central Hospital, Suizhou, Hubei 441300, P.R. China
    Copyright: © Yang et al. This is an open access article distributed under the terms of Creative Commons Attribution License.
  • Pages: 3382-3386
    |
    Published online on: January 28, 2019
       https://doi.org/10.3892/ol.2019.9982
  • Expand metrics +
Metrics: Total Views: 0 (Spandidos Publications: | PMC Statistics: )
Metrics: Total PDF Downloads: 0 (Spandidos Publications: | PMC Statistics: )
Cited By (CrossRef): 0 citations Loading Articles...

This article is mentioned in:



Abstract

The present study explored the significance of programmed death‑ligand 1 (PD‑L1) molecules in the diagnosis and treatment of B‑cell malignant lymphoma. A total of 92 patients with B‑cell malignant lymphoma (experimental group), admitted to the Quanzhou First Hospital Affiliated to Fujian Medical University from February 2014 to May 2017, and 60 healthy subjects (control group) were enrolled in this study and their clinical data were retrospectively analyzed. Plasma levels of PD‑L1 before treatment and at 5, 10, and 15 days after treatment were measured by ELISA. Correlation between PD‑L1 expression levels and treatment time was analyzed. Levels of PD‑L1 in different pathological types were compared. ROC curve was used to analyze the efficacy of PD‑L1 in the treatment of B‑cell lymphoma. The expression level of PD‑L1 in experimental group was 272.86±48.21 pg/ml, significantly higher than that in control group (18.24±3.62 pg/ml) (P<0.01). In patients with B‑cell lymphoma, PD‑L1 expression was highest in diffuse large B‑cell lymphoma, followed by small lymphocyte lymphoma, mucosa‑associated lymphoid tissue lymphoma, mantle cell lymphoma, and the lowest PD‑L1 expression level was observed in follicular lymphoma (P<0.05). Linear correlation analysis showed that the expression level of PD‑L1 was negatively correlated with treatment time (r=‑0.683, P<0.01).The highest Youden index (51.24) was set as cut‑off score, the sensitivity of the diagnosis of B‑cell lymphoma was 81.66%, and the specificity was 90.24%. PD‑L1 is highly expressed in B‑cell malignant lymphomas and negatively correlated with treatment time. It has high diagnostic efficiency for B‑cell lymphoma and is expected to be an effective immunotherapeutic target for B‑cell lymphoma.

Introduction

Cancer is the most harmful malignancy among humans in the world, and hematologic malignancy is one of the most dangerous cancers (1). Malignant lymphoma is the most common type of blood system disease (2). Malignant lymphomas include Hodgkin lymphoma (HL) and Non-Hodgkin lymphoma (NHL) types, of which NHL accounts for ~62.28% (3). In NHL, a heterogeneous proliferative disease originating from B lymphocytes is referred to as B-cell lymphoma (4). B-cell lymphoma accounts for ~85% of NHL (5). Tilly et al (6) have reported that ~1.2 million new B-lymphoma patients were diagnosed in 2016 worldwide, and the incidence rate of this disease has increased year by year. Scott et al (7) have shown that the prevalence of B-cell lymphomas ranks sixth among all malignancies, and its mortality rate is as high as ~53.82%. In view of the rising incidence and mortality of B-cell lymphoma, the treatment of this disease has attracted increasing attention. At present, the treatment of B-cell lymphoma is still dominated by chemotherapy or various targeted therapies, but the therapeutic effect is not significant, and the negative impact on patients is obvious (8). In recent years, the study of immunodetection inhibitors that block the immunosuppressive signals that tumor cells present to immune cells in order to promote the cytotoxicity of B cells has become a research hotspot (9). Immune checkpoints induce a relatively inactivated immune state to avoid the occurrence of autoimmune reactions. This regulation not only maintains the state of immune activation, but also plays a certain role in reconciling the dynamic balance of autoimmunity. In tumors, changes in the microenvironment of tumor cells lead to the activation of immune checkpoint signals in the microenvironment, resulting in the occurrence and development of tumors (10). Programmed death-ligand 1 (PD-L1) is an important immune checkpoint-related molecule. A number of previous studies (11–13) have demonstrated that PD-L1 is involved in the activation of multiple tumors and the progression of the cell cycle. However, the significance of PD-L1 in B-cell malignant lymphoma is not yet clear. The present study explored the expression of PD-L1 in B-cell malignant lymphomas and analyzed the significance of PD-L1 in the diagnosis and treatment of B-cell malignant lymphomas, so as to provide reference and guidance for the treatment of B-cell lymphoma.

Patients and methods

General information

B-cell lymphoma patients who were admitted to the Quanzhou First Hospital Affiliated to Fujian Medical University (Quanzhou, China) from February 2014 to May 2017 were selected as the study subjects and their clinical data were retrospectively analyzed. Inclusion criteria: 20–60 years of age; clinical manifestation consistent with the 2012 B-cell lymphoma diagnosis guidelines (14); B-cell lymphoma diagnosed by pathology biopsy in the above hospital; no treatment before diagnosis. A total of 162 cases were included in the study based on inclusion criteria. Exclusion criteria: combination with critical organ failure; combination with other malignancies; suffering from immune system diseases; suffering from nervous system diseases; surgery and chemotherapy tolerant patients; physical disability; long-term bedridden; transferred to hospital during treatment; not willing to cooperate with researchers. Only 92 patients were finally included based on exclusion criteria (experimental group) and the mean age was 42.52±9.82 years (Table I). In the same period, 60 patients with no physical disability were selected as control group. Control group included 38 males and 22 females, with a mean age of 41.81±8.76 years. There was no significant difference in gender, age, and other clinical data between the two groups (P>0.05).

Table I.

General information.

Table I.

General information.

VariablesCases (n=92)%
Sex
  Male5863.04
  Female3436.96
Pathological stage
  I–II  88.70
  III–IV8491.30
Pathological type
  Diffuse large B-cell lymphoma2830.43
  Follicular lymphoma1516.30
  Mucosa-associated lymphoid tissue lymphoma1718.48
  Small lymphocyte lymphoma2021.74
  Mantle cell lymphoma1213.04
Place of residence
  Urban area5660.87
  Rural area3639.13

The present study was approved by the Ethics Committee of Quanzhou First Hospital Affiliated to Fujian Medical University. Patients who participated in this research, or their guardians, signed an informed consent and had complete clinical data.

Method

All patients with B-cell lymphoma were treated with rituximab and methotrexate, after diagnosis in the Quanzhou First Hospital Affiliated to Fujian Medical University, in strict accordance with the principles of chemotherapy. Methotrexate was administered to patients intravenously at a dose of 3 g/m2 and rituximab at a dose of 375 mg/m2 (Shanghai Roche Pharmaceutical Co., Ltd., Shanghai, China) for chemotherapy. The total dose was strictly controlled at 36 Gy, 5 times/week, 2.0 Gy/time. In case of residual lesions, 10.0 Gy of radiation was locally used and the treatment period was 1 month. Detoxification of calcium tetrahydrofolate was performed 12 h after each treatment. A treatment cycle was 1 month and 4 cycles were performed. Patient blood samples were collected and plasma levels of PD-L1 were measured using ELISA (cat. no. DB7H10; R&D Systems, Inc., Minneapolis, MN, USA). Then, 50 µl Assay Diluent RD1-41 (R&D Systems, Inc.) was added to 100 µl of samples per well. The mixture was covered with adhesive tape and incubated at room temperature on a horizontal rail microplate oscillator (Bio-Rad Laboratories, Inc., Hercules, CA, USA) for 2 h (400 × g). The wells were washed 4 times, followed by the addition of 200 µl Hine/Cynomolgus Monkey B7-H1 Conjugate (R&D Systems, Inc.) to each well, and covered with new tape. The mixture was again incubated at room temperature on an oscillator at 400 × g for 2 h and the wells were washed 4 times. Substrate solution (20 µl) was added and incubated for 30 min in the dark. Subsequently, 200 µl of color reagent were added into each well, and incubated at room temperature for 30 min. Then, 50 µl termination solution was added and the absorbance (OD) of each well was measured using a microplate reader (wavelength, 450 nm; Bio-Rad Laboratories, Inc.).

Observation indicators

Patients' clinical information (such as, age, sex and pathological stage); PD-L1 expression levels in the blood samples of the two groups of patients; PD-L1 expression levels in experimental group before and at 5, 10 and 15 days after the beginning of treatment; diagnostic efficacy of PD-L1 for B-cell lymphoma.

Statistical analysis

SPSS v.22.0 statistical software (IBM Corp., Armonk, NY, USA) was used to analyze and process the data. Count data were expressed as rates and their comparison between two groups was performed using Chi-square test. Measurement data were expressed as mean ± standard deviation and t-test was used for their comparison between groups. One way analysis of variance was used for multiple comparisons and LSD test was the post hoc test used. The diagnostic value was analyzed by ROC curve analysis. Spearman's correlation analysis was performed using linear correlation analysis. P<0.05 was considered to indicate a statistically significant difference.

Results

PD-L1 level

Expression level of PD-L1 in experimental group was 272.86±48.21 pg/ml, and in control group was 18.24±3.62 pg/ml. There was a significant difference between the groups. PD-L1 expression level in experimental group was significantly higher than that in control group (P<0.01; Fig. 1).

Figure 1.

Level of PD-L1 expression in experimental and control group. PD-L1 expression level was significantly higher in experimental group than that in control group. *P<0.01, compared with experimental group. PD-L1, programmed death-ligand 1.

Diagnostic efficacy of PD-L1 for B-cell lymphoma

ROC curve analysis showed that AUC of PD-L1 in peripheral blood was 0.9082, with the cut-off value of 51.24 being the most approximate index. The sensitivity for diagnosis of B-cell lymphoma was 81.66% and the specificity was 90.24% (Table II and Fig. 2).

Figure 2.

ROC curve analysis of the diagnostic value of PD-L1 for B-cell lymphoma. PD-L1, programmed death-ligand 1.

Table II.

Diagnostic efficacy of PD-L1 for B-cell lymphoma.

Table II.

Diagnostic efficacy of PD-L1 for B-cell lymphoma.

ItemsValues
AUC0.9082
Cut-off51.24
OR1.51
95% CI1.04–1.77
Sensitivity81.66%
Specificity90.24%
P-value0.02

[i] PD-L1, programmed death-ligand 1.

Expression of PD-L1 in different pathological types

The expression levels of PD-L1 in diffuse large B-cell lymphoma, follicular lymphoma, mucosa-associated lymphoid tissue lymphoma, small lymphocyte lymphoma, and mantle cell lymphoma were 265.42±36.04, 142.77±21.88, 167.56±32.61, 246.82±46.25, and 159.55±26.84 pg/ml, respectively. There were statistically significant differences in the expression levels of PD-L1 among all five pathological types (P<0.01). The expression level of PD-L1 was highest in diffuse large B-cell lymphoma (P<0.05), followed by small lymphocyte lymphoma (P<0.05), mucosa-associated lymphoid tissue lymphoma (P<0.05), mantle cell lymphoma (P<0.05), and PD-L1 expression level in follicular lymphoma was the lowest (P<0.05; Table III).

Table III.

Expression of PD-L1 in different pathological types.

Table III.

Expression of PD-L1 in different pathological types.

TypesPD-L1 (pg/ml)
Diffuse large B-cell lymphoma (n=28)265.42±36.04
Follicular lymphoma (n=15) 142.77±21.88a
Mucosa-associated lymphoid tissue lymphoma (n=17) 167.56±32.61a,b
Small lymphocyte lymphoma (n=20) 246.82±46.25a–c
Mantle cell lymphoma (n=12) 159.55±26.84a–d
F49.04
P-value<0.01

a P<0.05, compared with diffuse large B-cell lymphoma

b P<0.05, compared with follicular lymphoma

c P<0.05, compared with mucosa-associated lymphoid tissue lymphoma

d P<0.05, compared with small lymphocyte lymphoma. PD-L1, programmed death-ligand 1.

Changes in PD-L1 during treatment

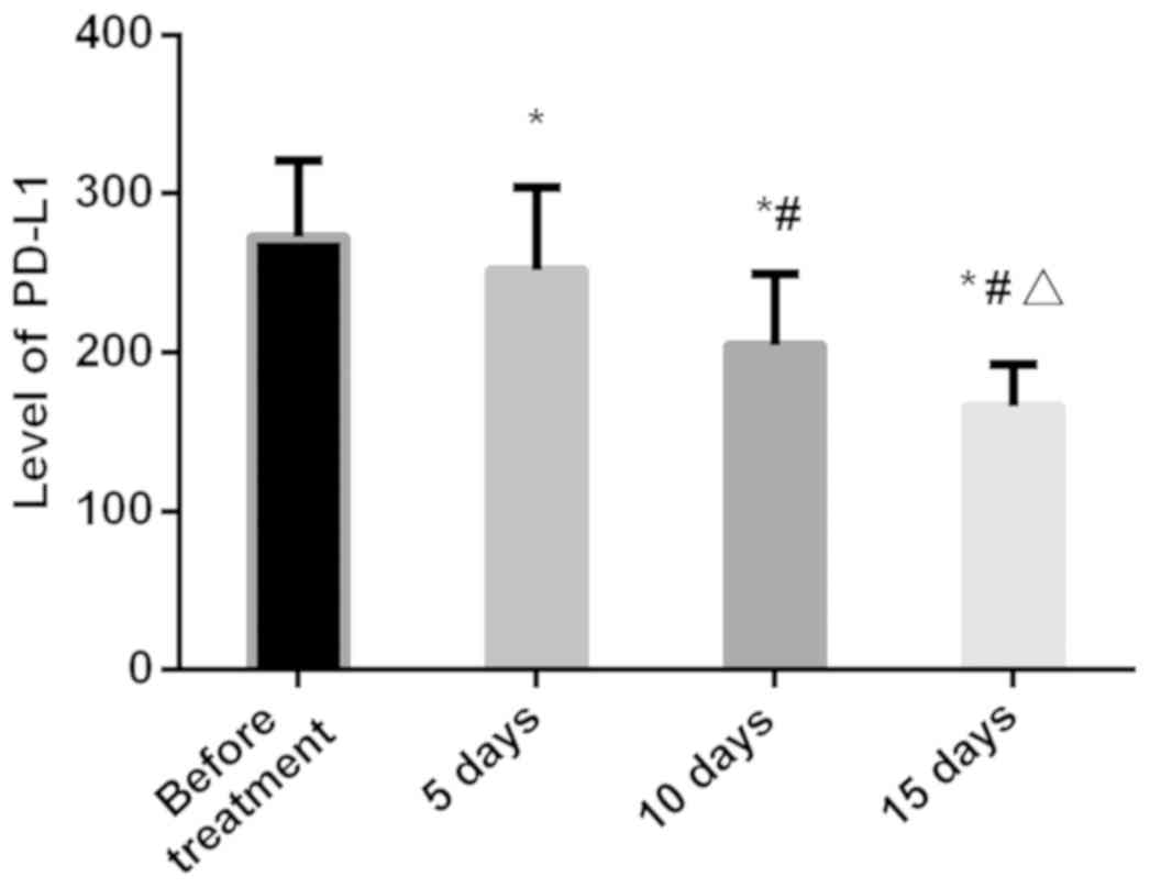
PD-L1 level in the peripheral blood of patients in experimental group was 272.86±48.21 pg/ml before treatment, 252.17±52.33 pg/ml at 5 days after the beginning of treatment, 204.82±45.16 pg/ml at 10 days after the beginning of treatment, and 166.53±26.18 pg/ml at 15 days after the beginning of treatment. PD-L1 level gradually decreased with prolonged treatment, and PD-L1 expression level was the lowest (P<0.05) at 15 days after the beginning of treatment. Linear correlation analysis showed that the expression level of PD-L1 was negatively correlated with treatment time (r=−0.683, P<0.01; Figs. 3 and 4).

Figure 3.

Changes in PD-L1 expression level during treatment in experimental group. The level of PD-L1 in patients gradually decreased with prolonged treatment. *P<0.05, compared with the pre-treatment level; #P<0.05, compared with the level at 5 days after the beginning of treatment; ΔP<0.05, compared with the level at 10 days after the beginning of treatment. PD-L1, programmed death-ligand 1.

Figure 4.

Linear correlation analysis of PD-L1 and treatment time. Linear correlation analysis showed that the expression level of PD-L1 was negatively correlated with treatment time (r=−0.683, P<0.01). PD-L1, programmed death-ligand 1.

Discussion

The goal of tumor immunotherapy is to activate the killing potential of tumor-specific B cells. In tumor microenvironment, a variety of immunosuppressive factors can initiate activation reaction with B cells, so as to inhibit the immunity of B cells (15). In recent years, an increasing number of studies (16–18) have proven that the main reason for the suppression of B-cell immune function in cancer patients is the abnormal activation of multiple immunosuppressive signals. PD-L1 molecule is an immunonegative regulator that is located on the surface of tumor cells and has been shown to inhibit B cell activation (19). Brahmer et al (20), have proposed that PD-L1 antibody treatment can effectively relieve the inhibitory effect of PD-L1 on B cells, so as to achieve autoimmune killing of cancer cells. At present, the mechanism of action of PD-L1 in B cells is not yet clear, and whether there is a significant correlation between the expression of PD-L1 and the development of B-cell lymphoma is still controversial. Therefore, analysis of PD-L1 expression in patients with B-cell lymphoma is of great significance for the diagnosis and treatment of B-cell lymphoma.

The results of the present study revealed that PD-L1 is highly expressed in patients with B-cell lymphoma and is negatively correlated with treatment time. PD-L1 highly sensitive and specific for the diagnosis of B-cell lymphoma. The high expression level of PD-L1 in B-cell lymphoma patients proves that B-cell lymphoma is associated with PD-L1 to a certain extent. The study carried out by Muro et al (21), has also demonstrated that PD-L1 is highly expressed in gastric cancer and is negatively correlated with treatment time, supporting the viewpoint of our study. This suggests that PD-L1 may be a predictor of future treatment of B-cell lymphoma. PD-L1 expression level was fould to be highest in diffuse large B-cell lymphoma and lowest in inactive tumor follicular lymphoma, suggesting that PD-L1 may be associated with lymphoma invasiveness. Results of the study carried out by Herbst et al (22), have shown that there is no significant correlation between the expression of PD-L1 and treatment efficacy, which may be explained by the different treatment strategies. In this study, all patients with B-cell lymphoma were treated with cyclophosphamide, doxorubicin, vincristine, etoposide, and prednisone, while Herbst et al (22), used a traditional cisplatin and paclitaxel chemotherapy. The difference in the use of drugs may have caused different effects on PD-L1 expression.

At present, the use of PD-L1 antibody-targeted inhibition therapy has achieved significant breakthroughs in the treatment of many types of tumors, such as non-small cell lung cancer, and melanoma. PD-L1 inhibitors can be used to remove stubborn residual lesions in patients. The effect is significantly better than the traditional resection surgery, and the safety is higher than that of chemotherapy (20). Results of this study showed that abnormal PD-L1 expression is closely related to B-cell lymphoma, suggesting that PD-L1 antibody is expected to become an effective immunotherapy drug for this disease.

The present study is still limited by the small sample size, while regional differences were not excluded. In future studies we plan to resolve these issues in order to further confirm our findings.

In summary, PD-L1 is highly expressed in B-cell malignant lymphoma and negatively correlated with treatment time. It has high diagnostic efficiency for B-cell lymphoma and is expected to be an effective therapeutic target for B-cell lymphoma.

Acknowledgements

Not applicable.

Funding

No funding was received.

Availability of data and materials

The datasets used and/or analyzed during the present study are available from the corresponding author on reasonable request.

Authors' contributions

JY conceived and designed this study. JY and GH collected and analyzed the general data of patients. GH recorded and analyzed the observation indicators. Both authors read and approved the final manuscript.

Ethics approval and consent to participate

The present study was approved by the Ethics Committee of Quanzhou First Hospital Affiliated to Fujian Medical University (Quanzhou, China). Patients who participated in this research, or their guardians, signed an informed consent and had complete clinical data.

Patient consent for publication

Not applicable.

Competing interests

The authors declare that they have no competing interests.

References

1 

Lesokhin AM, Ansell SM, Armand P, Scott EC, Halwani A, Gutierrez M, Millenson MM, Cohen AD, Schuster SJ, Lebovic D, et al: Nivolumab in patients with relapsed or refractory hematologic malignancy: Preliminary results of a phase Ib study. J Clin Oncol. 34:2698–2704. 2016. View Article : Google Scholar : PubMed/NCBI

2 

Kirkegaard MM, Coupland SE, Prause JU and Heegaard S: Malignant lymphoma of the conjunctiva. Surv Ophthalmol. 60:444–458. 2015. View Article : Google Scholar : PubMed/NCBI

3 

Armitage JO, Gascoyne RD, Lunning MA and Cavalli F: Non-Hodgkin lymphoma. Lancet. 390:298–310. 2017. View Article : Google Scholar : PubMed/NCBI

4 

Kochenderfer JN, Dudley ME, Kassim SH, Somerville RP, Carpenter RO, Stetler-Stevenson M, Yang JC, Phan GQ, Hughes MS, Sherry RM, et al: Chemotherapy-refractory diffuse large B-cell lymphoma and indolent B-cell malignancies can be effectively treated with autologous T cells expressing an anti-CD19 chimeric antigen receptor. J Clin Oncol. 33:540–549. 2015. View Article : Google Scholar : PubMed/NCBI

5 

Wilson WH, Young RM, Schmitz R, Yang Y, Pittaluga S, Wright G, Lih CJ, Williams PM, Shaffer AL, Gerecitano J, et al: Targeting B cell receptor signaling with ibrutinib in diffuse large B cell lymphoma. Nat Med. 21:922–926. 2015. View Article : Google Scholar : PubMed/NCBI

6 

Tilly H, Gomes da Silva M, Vitolo U, Jack A, Meignan M, Lopez-Guillermo A, Walewski J, André M, Johnson PW, Pfreundschuh M, et al: ESMO Guidelines Committee: Diffuse large B-cell lymphoma (DLBCL): ESMO Clinical Practice Guidelines for diagnosis, treatment and follow-up. Ann Oncol. 26 Suppl 5:v116–v125. 2015. View Article : Google Scholar : PubMed/NCBI

7 

Scott DW, Mottok A, Ennishi D, Wright GW, Farinha P, Ben-Neriah S, Kridel R, Barry GS, Hother C, Abrisqueta P, et al: Prognostic significance of diffuse large B-cell lymphoma cell of origin determined by digital gene expression in formalin-fixed paraffin-embedded tissue biopsies. J Clin Oncol. 33:2848–2856. 2015. View Article : Google Scholar : PubMed/NCBI

8 

Sehn LH and Gascoyne RD: Diffuse large B-cell lymphoma: Optimizing outcome in the context of clinical and biologic heterogeneity. Blood. 125:22–32. 2015. View Article : Google Scholar : PubMed/NCBI

9 

Choi J, Goh G, Walradt T, Hong BS, Bunick CG, Chen K, Bjornson RD, Maman Y, Wang T, Tordoff J, et al: Genomic landscape of cutaneous T cell lymphoma. Nat Genet. 47:1011–1019. 2015. View Article : Google Scholar : PubMed/NCBI

10 

Birge RB, Boeltz S, Kumar S, Carlson J, Wanderley J, Calianese D, Barcinski M, Brekken RA, Huang X, Hutchins JT, et al: Phosphatidylserine is a global immunosuppressive signal in efferocytosis, infectious disease, and cancer. Cell Death Differ. 23:962–978. 2016. View Article : Google Scholar : PubMed/NCBI

11 

McDermott DF, Sosman JA, Sznol M, Massard C, Gordon MS, Hamid O, Powderly JD, Infante JR, Fassò M, Wang YV, et al: Atezolizumab, an anti-programmed death-ligand 1 antibody, in metastatic renal cell carcinoma: Long-term safety, clinical activity, and immune correlates from a phase Ia study. J Clin Oncol. 34:833–842. 2016. View Article : Google Scholar : PubMed/NCBI

12 

Kim S, Kim MY, Koh J, Go H, Lee DS, Jeon YK and Chung DH: Programmed death-1 ligand 1 and 2 are highly expressed in pleomorphic carcinomas of the lung: Comparison of sarcomatous and carcinomatous areas. Eur J Cancer. 51:2698–2707. 2015. View Article : Google Scholar : PubMed/NCBI

13 

Cedrés S, Ponce-Aix S, Zugazagoitia J, Sansano I, Enguita A, Navarro-Mendivil A, Martinez-Marti A, Martinez P and Felip E: Analysis of expression of programmed cell death 1 ligand 1 (PD-L1) in malignant pleural mesothelioma (MPM). PLoS One. 10:e01210712015. View Article : Google Scholar : PubMed/NCBI

14 

Pregno P, Chiappella A, Bellò M, Botto B, Ferrero S, Franceschetti S, Giunta F, Ladetto M, Limerutti G, Menga M, et al: Interim 18-FDG-PET/CT failed to predict the outcome in diffuse large B-cell lymphoma patients treated at the diagnosis with rituximab-CHOP. Blood. 119:2066–2073. 2012. View Article : Google Scholar : PubMed/NCBI

15 

Schumacher TN and Schreiber RD: Neoantigens in cancer immunotherapy. Science. 348:69–74. 2015. View Article : Google Scholar : PubMed/NCBI

16 

Patel SP and Kurzrock R: PD-L1 Expression as a predictive biomarker in cancer immunotherapy. Mol Cancer Ther. 14:847–856. 2015. View Article : Google Scholar : PubMed/NCBI

17 

Ohaegbulam KC, Assal A, Lazar-Molnar E, Yao Y and Zang X: Human cancer immunotherapy with antibodies to the PD-1 and PD-L1 pathway. Trends Mol Med. 21:24–33. 2015. View Article : Google Scholar : PubMed/NCBI

18 

Kranz LM, Diken M, Haas H, Kreiter S, Loquai C, Reuter KC, Meng M, Fritz D, Vascotto F, Hefesha H, et al: Systemic RNA delivery to dendritic cells exploits antiviral defence for cancer immunotherapy. Nature. 534:396–401. 2016. View Article : Google Scholar : PubMed/NCBI

19 

Howitt BE, Shukla SA, Sholl LM, Ritterhouse LL, Watkins JC, Rodig S, Stover E, Strickland KC, D'Andrea AD, Wu CJ, et al: Association of polymerase e-mutated and microsatellite-instable endometrial cancers with neoantigen load, number of tumor-infiltrating lymphocytes, and expression of PD-1 and PD-L1. JAMA Oncol. 1:1319–1323. 2015. View Article : Google Scholar : PubMed/NCBI

20 

Brahmer JR, Tykodi SS, Chow LQ, Hwu WJ, Topalian SL, Hwu P, Drake CG, Camacho LH, Kauh J, Odunsi K, et al: Safety and activity of anti-PD-L1 antibody in patients with advanced cancer. N Engl J Med. 366:2455–2465. 2012. View Article : Google Scholar : PubMed/NCBI

21 

Muro K, Chung HC, Shankaran V, Geva R, Catenacci D, Gupta S, Eder JP, Golan T, Le DT, Burtness B, et al: Pembrolizumab for patients with PD-L1-positive advanced gastric cancer (KEYNOTE-012): A multicentre, open-label, phase 1b trial. Lancet Oncol. 17:717–726. 2016. View Article : Google Scholar : PubMed/NCBI

22 

Herbst RS, Baas P, Kim DW, Felip E, Pérez-Gracia JL, Han JY, Molina J, Kim JH, Arvis CD, Ahn MJ, et al: Pembrolizumab versus docetaxel for previously treated, PD-L1-positive, advanced non-small-cell lung cancer (KEYNOTE-010): A randomised controlled trial. Lancet. 387:1540–1550. 2016. View Article : Google Scholar : PubMed/NCBI

Related Articles

  • Abstract
  • View
  • Download
  • Twitter
Copy and paste a formatted citation
Spandidos Publications style
Yang J and Hu G: Significance of PD‑L1 in the diagnosis and treatment of B‑cell malignant lymphoma. Oncol Lett 17: 3382-3386, 2019.
APA
Yang, J., & Hu, G. (2019). Significance of PD‑L1 in the diagnosis and treatment of B‑cell malignant lymphoma. Oncology Letters, 17, 3382-3386. https://doi.org/10.3892/ol.2019.9982
MLA
Yang, J., Hu, G."Significance of PD‑L1 in the diagnosis and treatment of B‑cell malignant lymphoma". Oncology Letters 17.3 (2019): 3382-3386.
Chicago
Yang, J., Hu, G."Significance of PD‑L1 in the diagnosis and treatment of B‑cell malignant lymphoma". Oncology Letters 17, no. 3 (2019): 3382-3386. https://doi.org/10.3892/ol.2019.9982
Copy and paste a formatted citation
x
Spandidos Publications style
Yang J and Hu G: Significance of PD‑L1 in the diagnosis and treatment of B‑cell malignant lymphoma. Oncol Lett 17: 3382-3386, 2019.
APA
Yang, J., & Hu, G. (2019). Significance of PD‑L1 in the diagnosis and treatment of B‑cell malignant lymphoma. Oncology Letters, 17, 3382-3386. https://doi.org/10.3892/ol.2019.9982
MLA
Yang, J., Hu, G."Significance of PD‑L1 in the diagnosis and treatment of B‑cell malignant lymphoma". Oncology Letters 17.3 (2019): 3382-3386.
Chicago
Yang, J., Hu, G."Significance of PD‑L1 in the diagnosis and treatment of B‑cell malignant lymphoma". Oncology Letters 17, no. 3 (2019): 3382-3386. https://doi.org/10.3892/ol.2019.9982
Follow us
  • Twitter
  • LinkedIn
  • Facebook
About
  • Spandidos Publications
  • Careers
  • Cookie Policy
  • Privacy Policy
How can we help?
  • Help
  • Live Chat
  • Contact
  • Email to our Support Team