Spandidos Publications Logo
  • About
    • About Spandidos
    • Aims and Scopes
    • Abstracting and Indexing
    • Editorial Policies
    • Reprints and Permissions
    • Job Opportunities
    • Terms and Conditions
    • Contact
  • Journals
    • All Journals
    • Oncology Letters
      • Oncology Letters
      • Information for Authors
      • Editorial Policies
      • Editorial Board
      • Aims and Scope
      • Abstracting and Indexing
      • Bibliographic Information
      • Archive
    • International Journal of Oncology
      • International Journal of Oncology
      • Information for Authors
      • Editorial Policies
      • Editorial Board
      • Aims and Scope
      • Abstracting and Indexing
      • Bibliographic Information
      • Archive
    • Molecular and Clinical Oncology
      • Molecular and Clinical Oncology
      • Information for Authors
      • Editorial Policies
      • Editorial Board
      • Aims and Scope
      • Abstracting and Indexing
      • Bibliographic Information
      • Archive
    • Experimental and Therapeutic Medicine
      • Experimental and Therapeutic Medicine
      • Information for Authors
      • Editorial Policies
      • Editorial Board
      • Aims and Scope
      • Abstracting and Indexing
      • Bibliographic Information
      • Archive
    • International Journal of Molecular Medicine
      • International Journal of Molecular Medicine
      • Information for Authors
      • Editorial Policies
      • Editorial Board
      • Aims and Scope
      • Abstracting and Indexing
      • Bibliographic Information
      • Archive
    • Biomedical Reports
      • Biomedical Reports
      • Information for Authors
      • Editorial Policies
      • Editorial Board
      • Aims and Scope
      • Abstracting and Indexing
      • Bibliographic Information
      • Archive
    • Oncology Reports
      • Oncology Reports
      • Information for Authors
      • Editorial Policies
      • Editorial Board
      • Aims and Scope
      • Abstracting and Indexing
      • Bibliographic Information
      • Archive
    • Molecular Medicine Reports
      • Molecular Medicine Reports
      • Information for Authors
      • Editorial Policies
      • Editorial Board
      • Aims and Scope
      • Abstracting and Indexing
      • Bibliographic Information
      • Archive
    • World Academy of Sciences Journal
      • World Academy of Sciences Journal
      • Information for Authors
      • Editorial Policies
      • Editorial Board
      • Aims and Scope
      • Abstracting and Indexing
      • Bibliographic Information
      • Archive
    • International Journal of Functional Nutrition
      • International Journal of Functional Nutrition
      • Information for Authors
      • Editorial Policies
      • Editorial Board
      • Aims and Scope
      • Abstracting and Indexing
      • Bibliographic Information
      • Archive
    • International Journal of Epigenetics
      • International Journal of Epigenetics
      • Information for Authors
      • Editorial Policies
      • Editorial Board
      • Aims and Scope
      • Abstracting and Indexing
      • Bibliographic Information
      • Archive
    • Medicine International
      • Medicine International
      • Information for Authors
      • Editorial Policies
      • Editorial Board
      • Aims and Scope
      • Abstracting and Indexing
      • Bibliographic Information
      • Archive
  • Articles
  • Information
    • Information for Authors
    • Information for Reviewers
    • Information for Librarians
    • Information for Advertisers
    • Conferences
  • Language Editing
Spandidos Publications Logo
  • About
    • About Spandidos
    • Aims and Scopes
    • Abstracting and Indexing
    • Editorial Policies
    • Reprints and Permissions
    • Job Opportunities
    • Terms and Conditions
    • Contact
  • Journals
    • All Journals
    • Biomedical Reports
      • Information for Authors
      • Editorial Policies
      • Editorial Board
      • Aims and Scope
      • Abstracting and Indexing
      • Bibliographic Information
      • Archive
    • Experimental and Therapeutic Medicine
      • Information for Authors
      • Editorial Policies
      • Editorial Board
      • Aims and Scope
      • Abstracting and Indexing
      • Bibliographic Information
      • Archive
    • International Journal of Epigenetics
      • Information for Authors
      • Editorial Policies
      • Editorial Board
      • Aims and Scope
      • Abstracting and Indexing
      • Bibliographic Information
      • Archive
    • International Journal of Functional Nutrition
      • Information for Authors
      • Editorial Policies
      • Editorial Board
      • Aims and Scope
      • Abstracting and Indexing
      • Bibliographic Information
      • Archive
    • International Journal of Molecular Medicine
      • Information for Authors
      • Editorial Policies
      • Editorial Board
      • Aims and Scope
      • Abstracting and Indexing
      • Bibliographic Information
      • Archive
    • International Journal of Oncology
      • Information for Authors
      • Editorial Policies
      • Editorial Board
      • Aims and Scope
      • Abstracting and Indexing
      • Bibliographic Information
      • Archive
    • Medicine International
      • Information for Authors
      • Editorial Policies
      • Editorial Board
      • Aims and Scope
      • Abstracting and Indexing
      • Bibliographic Information
      • Archive
    • Molecular and Clinical Oncology
      • Information for Authors
      • Editorial Policies
      • Editorial Board
      • Aims and Scope
      • Abstracting and Indexing
      • Bibliographic Information
      • Archive
    • Molecular Medicine Reports
      • Information for Authors
      • Editorial Policies
      • Editorial Board
      • Aims and Scope
      • Abstracting and Indexing
      • Bibliographic Information
      • Archive
    • Oncology Letters
      • Information for Authors
      • Editorial Policies
      • Editorial Board
      • Aims and Scope
      • Abstracting and Indexing
      • Bibliographic Information
      • Archive
    • Oncology Reports
      • Information for Authors
      • Editorial Policies
      • Editorial Board
      • Aims and Scope
      • Abstracting and Indexing
      • Bibliographic Information
      • Archive
    • World Academy of Sciences Journal
      • Information for Authors
      • Editorial Policies
      • Editorial Board
      • Aims and Scope
      • Abstracting and Indexing
      • Bibliographic Information
      • Archive
  • Articles
  • Information
    • For Authors
    • For Reviewers
    • For Librarians
    • For Advertisers
    • Conferences
  • Language Editing
Login Register Submit
  • This site uses cookies
  • You can change your cookie settings at any time by following the instructions in our Cookie Policy. To find out more, you may read our Privacy Policy.

    I agree
Search articles by DOI, keyword, author or affiliation
Search
Advanced Search
presentation
Oncology Letters
Join Editorial Board Propose a Special Issue
Print ISSN: 1792-1074 Online ISSN: 1792-1082
Journal Cover
July-2023 Volume 26 Issue 1

Full Size Image

Sign up for eToc alerts
Recommend to Library

Journals

International Journal of Molecular Medicine

International Journal of Molecular Medicine

International Journal of Molecular Medicine is an international journal devoted to molecular mechanisms of human disease.

International Journal of Oncology

International Journal of Oncology

International Journal of Oncology is an international journal devoted to oncology research and cancer treatment.

Molecular Medicine Reports

Molecular Medicine Reports

Covers molecular medicine topics such as pharmacology, pathology, genetics, neuroscience, infectious diseases, molecular cardiology, and molecular surgery.

Oncology Reports

Oncology Reports

Oncology Reports is an international journal devoted to fundamental and applied research in Oncology.

Experimental and Therapeutic Medicine

Experimental and Therapeutic Medicine

Experimental and Therapeutic Medicine is an international journal devoted to laboratory and clinical medicine.

Oncology Letters

Oncology Letters

Oncology Letters is an international journal devoted to Experimental and Clinical Oncology.

Biomedical Reports

Biomedical Reports

Explores a wide range of biological and medical fields, including pharmacology, genetics, microbiology, neuroscience, and molecular cardiology.

Molecular and Clinical Oncology

Molecular and Clinical Oncology

International journal addressing all aspects of oncology research, from tumorigenesis and oncogenes to chemotherapy and metastasis.

World Academy of Sciences Journal

World Academy of Sciences Journal

Multidisciplinary open-access journal spanning biochemistry, genetics, neuroscience, environmental health, and synthetic biology.

International Journal of Functional Nutrition

International Journal of Functional Nutrition

Open-access journal combining biochemistry, pharmacology, immunology, and genetics to advance health through functional nutrition.

International Journal of Epigenetics

International Journal of Epigenetics

Publishes open-access research on using epigenetics to advance understanding and treatment of human disease.

Medicine International

Medicine International

An International Open Access Journal Devoted to General Medicine.

Journal Cover
July-2023 Volume 26 Issue 1

Full Size Image

Sign up for eToc alerts
Recommend to Library

  • Article
  • Citations
    • Cite This Article
    • Download Citation
    • Create Citation Alert
    • Remove Citation Alert
    • Cited By
  • Similar Articles
    • Related Articles (in Spandidos Publications)
    • Similar Articles (Google Scholar)
    • Similar Articles (PubMed)
  • Download PDF
  • Download XML
  • View XML
Article Open Access

Prostate‑specific antigen density and preoperative MRI findings as predictors of biochemical recurrence in high‑risk and very high‑risk prostate cancer

  • Authors:
    • Cheng-Kuang Yang
    • Chi-Rei Yang
    • Yen-Chuan Ou
    • Chen-Li Cheng
    • Hao-Chung Ho
    • Kun-Yuan Chiu
    • Shian-Shiang Wang
    • Jian-Ri Li
    • Chuan-Shu Chen
    • Chi-Feng Hung
    • Cheng-Che Chen
    • Shu-Chi Wang
    • Chia-Yen Lin
    • Sheng-Chun Hung
  • View Affiliations / Copyright

    Affiliations: Department of Surgery, Division of Urology, Taichung Veterans General Hospital, Taichung 40705, Taiwan, R.O.C., Department of Urology, China Medical University Hospital, Taichung 404332, Taiwan, R.O.C., Department of Urology, Tungs' Taichung Metro Harbor Hospital, Taichung 43503, Taiwan, R.O.C.
    Copyright: © Yang et al. This is an open access article distributed under the terms of Creative Commons Attribution License.
  • Article Number: 284
    |
    Published online on: May 18, 2023
       https://doi.org/10.3892/ol.2023.13870
  • Expand metrics +
Metrics: Total Views: 0 (Spandidos Publications: | PMC Statistics: )
Metrics: Total PDF Downloads: 0 (Spandidos Publications: | PMC Statistics: )
Cited By (CrossRef): 0 citations Loading Articles...

This article is mentioned in:



Abstract

Patients with high‑risk prostate cancer after prostatectomy have a particularly high chance of being diagnosed with biochemical recurrence (BCR). Patients with BCR have a greater risk of disease progression and mortality. The present retrospective observational study aimed to clarify the risk factors for the BCR of prostate cancer after radical prostatectomy in patients with high‑risk and very high‑risk prostate cancer. Patients diagnosed with prostate cancer who received radical prostatectomy in a single center from January 2009 to June 2020 were included in the study. Data from medical records were reviewed and the patients were followed up for ≥6 years. The primary outcome was BCR within 1 year after surgery. A total of 307 patients were included, with 187 in the high‑risk group and 120 in the very high‑risk group as classified by the National Comprehensive Cancer Network (NCCN) guidelines. Patients in the very high‑risk group had a lower BCR‑free survival rate compared with those in the high‑risk group, with a high risk of BCR even if their PSA levels were initially undetectable after prostatectomy, and a high risk of postoperatively detectable PSA. In patients with undetectable PSA after prostatectomy, BCR was associated with the initial PSA density, imaging stage (T3aN0M0 and T3bN0M0), and pathologic stage (any N1). Postoperatively detectable PSA was associated with pathologic stage (T3bN0M0 and any N1) In conclusion, preoperative MRI imaging stage and PSA density are predictors for short‑term BCR after prostatectomy. NCCN‑defined high‑risk patients with a high initial PSA density, imaging stage (T3aN0M0 and T3bN0M0), and pathologic stage (any N1) had a higher risk of BCR when compared with other patients with undetectable PSA, while those with pathologic stage (T3bN0M0 or any N1) displayed a higher risk of postoperatively detectable PSA. These findings may help urologists to identify patients for whom active therapeutic protocols are necessary.

Introduction

Prostate cancer is the most common urological cancer among older men. In 2020, 1,414,259 patients were newly diagnosed with prostate cancer globally (1). Surgical treatment, which primarily comprises radical prostatectomy, provides reasonable disease control for prostate cancer, but ~25% of patients experience disease recurrence (2). The most frequently used test to monitor disease occurrence is the detectable prostate-specific antigen (PSA) value after surgery. Patients with high-risk prostate cancer after prostatectomy have a particularly high chance of being diagnosed with biochemical recurrence (BCR) following two consecutive PSA measurements of >0.2 ng/ml. Patients with BCR have a greater risk of disease progression and mortality (2–6), and the early occurrence of BCR is associated with a poor prognosis (6–9).

Patients defined as high risk according to the National Comprehensive Cancer Network (NCCN) guidelines have an increased risk of disease progression and cancer-specific mortality (10). Furthermore, one study reported that ~50% of high-risk patients had BCR within 1 year (6), which indicates that patients categorized as high risk require considerable attention and a strong follow-up strategy, particularly those with early BCR. The present study evaluated the risk factors associated with high-risk and very high-risk patients as classified by the NCCN guidelines after radical prostatectomy. These guidelines are designed to help urologists to identify patients requiring more aggressive therapeutic programs of clinical care.

Materials and methods

Study sample

The present retrospective study enrolled patients diagnosed with prostate cancer who received radical prostatectomy at Taichung Veterans General Hospital (Taichung, Taiwan) from January 1, 2009 to June 30, 2020. The patients were all male with a median age of 73 years (range 52–85 years). All patients had received laparoscopic radical prostatectomy or robotic-assisted prostatectomy performed by a single surgical team. Two radiologists interpreted MRI images based on Prostate Imaging-Reporting and Data System scores (11). The follow-up duration for all patients was ≥6 years. Patients without follow-up data or with pathologic stage T3bN2M0 were excluded. All patient data were extracted from medical records, including demographics, surgery type, pelvic lymph node dissection (PLND) status, PSA values, Gleason scores, and pathological and image examination data at diagnosis and within 1 year after prostatectomy. The pathological and image examination in the present study was based on the standard Tumor-Node-Metastasis staging system defined by the published American Joint Committee on Cancer 8th edition (12). The detected range of primary tumor invasion was different between the pathological and image examination. Pathological examination evaluated T2a, T2b, T3a and T3b staging of prostate cancer, but image examination evaluated T2b, T2c, T3a and T3b staging. T2a indicates that tumors were located in <50% of one side of the prostate; T2b indicates that tumors were located in >50% of one side of the prostate; T2c indicates that tumors were located in both sides of the prostate; T3a indicates that tumors had broken through the capsule of the prostate gland; T3b indicates that tumors had spread into the tubes that carry semen; N0M0 indicates that tumors had not spread to nearby lymph nodes or elsewhere in the body; any T stage indicates that tumors may or may not have grown into tissues near the prostate (12). Pathological tumor percentage was calculated as a proportion of tumor volume and prostate volume. The formula used was as follow: Vc=Vol × Pc/100, where Pc is pathological tumor percentage (%); Vc is the volume of tumor tissues (cc); and Vol is the prostate volume (cc). The unit of volume measurement detected by planimetry software [Photoshop CC 2017 (version 18; Adobe Systems, Inc.)] is indicated as cc (13,14). PSA density (ng/ml2) was calculated as total PSA value (ng/ml) divided by prostate volume (ml). Detectable PSA is defined as a PSA value >0.1 ng/ml within 3 months after prostatectomy. Disease control is defined as the last PSA value being less than the PSA value during salvage therapy. The patients were assigned to high-risk (T3a, Gleason score >8 or PSA >20 ng/ml) and very high-risk groups (T3b-T4, primary Gleason pattern 5, two or three high-risk features or >4 biopsy cores with Gleason score >8) after radical prostatectomy according to the NCCN guidelines.

Ethical considerations

The study protocol was approved by the Institutional Review Boards I&II of Taichung Veterans General Hospital (ref. no. CE21174A; approval date, June 23, 2022) and followed the approved guidelines. No informed consent was required of the participants because no identifying patient information was included and the data were analyzed anonymously.

Primary outcome

The primary outcome was the BCR of prostate cancer. BCR is defined as a PSA value that had decreased to <0.1 ng/ml but then increased to >0.2 ng/ml more than 3 months after prostatectomy, during salvage therapy.

Statistical analysis

The normal distribution of continuous data was checked with the Shapiro-Wilk test. Data that did not follow a normal distribution are presented as the median with the interquartile range (IQR) in parentheses, and were analyzed using the Wilcoxon rank-sum test. Categorical data were analyzed using the Chi-square or Fisher's exact test, as appropriate, and are presented as n (%). Cox regression models were used to estimate the hazard ratios (HRs) and 95% confidence intervals (CIs) of the risk of BCR in patients with undetectable PSA. Univariate and multivariate logistic regression models were used to estimate the odds ratios (ORs) and 95% CIs for postoperative detectable PSA rate, post-salvage therapy disease control rate and the BCR <1-year rate. Receiver operating characteristic (ROCs) curves were plotted to assess the value of PSA density and pathological tumor percentage in the prediction of outcomes. The cut-off point was calculated according to the maximum Youden index. Each area under the curve (AUC) was calculated, with higher AUCs indicating higher predictive performance. The full model ROC curve is a linear regression model that includes the values of all explanatory variables, such as age, surgical type, PLND, PSA density, pathological tumor percentage, imaging stage and pathologic stage. A two-sided P<0.05 was considered to indicate a statistically significant difference. Data management and statistical analyses were conducted using SAS version 9.4 software (SAS Institute, Inc.).

Results

Demographic and clinical characteristics of the patients

A total of 307 patients were included in the study, with a median age of 73 years (IQR, 68–77 years). According to the NCCN guidelines, 187 patients were classified in the high-risk group and 120 patients were classified in the very high-risk group. Table I presents the baseline characteristics of the study population. In the very high-risk group, the initial PSA [29.66 (17.79-45.19) vs. 21.00 (10.10-30.99) ng/ml; P<0.001], PSA density [0.74 (0.38-1.20) vs. 0.48 (0.24-0.80) ng/ml2; P<0.001] and pathological tumor percentage [35.0 (15.0-67.5) vs. 20.0 (10.0-40.0)%; P<0.001] were significantly higher than those in the high-risk group. The very high-risk group had a higher proportion of patients undergoing extended PLND, higher initial and postoperative Gleason grades, and a lower proportion of patients with imaging stage T2bN0M0/T2cN0M0 and pathologic stage T2aN0M0/T2bN0M0 and T3aN0M0 when compared with the high-risk group (all P<0.001).

Table I.

Demographic and clinical characteristics of the patient population.

Table I.

Demographic and clinical characteristics of the patient population.

CharacteristicsTotal, n=307Very high risk, n=120High risk, n=187P-value
Age, years73 (68–77)74 (68–78)72 (68–77)0.314
Surgery type 0.740
  LRP41 (13.36)17 (14.17)24 (12.83)
  RARP/RALRP/RALP266 (86.64)103 (85.83)163 (87.17)
PLND <0.001
  Extended PLND224 (72.96)108 (90.00)116 (62.03)
  Standard PLND83 (27.04)12 (10.00)71 (37.97)
Initial PSA, ng/ml23.93 (12.54-37.54)29.66 (17.79-45.19)21.00 (10.10-30.99)<0.001
Initial Gleason grade <0.001
  ≤650 (16.29)8 (6.67)42 (22.46)
  3+4=757 (18.57)9 (7.50)48 (25.67)
  4+3=736 (11.73)13 (10.83)23 (12.30)
  870 (22.80)29 (24.17)41 (21.93)
  9 or 1094 (30.62)61 (50.83)33 (17.65)
Postoperative Gleason grade <0.001
  ≤618 (5.88)4 (3.36)14 (7.49)
  3+4=792 (30.07)19 (15.97)73 (39.04)
  4+3=782 (26.80)28 (23.53)54 (28.88)
  827 (8.82)13 (10.92)14 (7.49)
  9 or 1087 (28.43)55 (46.22)32 (17.11)
  Unknown110
PSA density, ng/ml20.54 (0.29-1.00)0.74 (0.38-1.20)0.48 (0.24-0.80)<0.001
Pathological tumor percentage25.0 (10.0-45.0)35.0 (15.0-67.5)20.0 (10.0-40.0)<0.001
Imaging stage <0.001
  T2bN0M0, T2cN0M0128 (41.69)17 (14.17)111 (59.36)
  T3aN0M079 (25.73)46 (38.33)33 (17.65)
  T3bN0M089 (28.99)48 (40.00)41 (21.93)
  Any N111 (3.58)9 (7.50)2 (1.07)
Pathologic stage <0.001
  T2aN0M0, T2bN0M090 (29.32)17 (14.17)73 (39.04)
  T3aN0M085 (27.69)26 (21.67)59 (31.55)
  T3bN0M087 (28.34)46 (38.33)41 (21.93)
  Any N145 (14.66)31 (25.83)14 (7.49)

[i] Categorical data are presented as n (%) and were analyzed using the Chi-square test; continuous data with a non-normal distribution are presented as the median (interquartile range) and were analyzed using the Wilcoxon rank-sum test. LRP, laparoscopic radical prostatectomy; RALP, robotic-assisted laparoscopic prostatectomy; RARP, robotic-assisted radical prostatectomy; RALRP, robotic-assisted laparoscopic radical prostatectomy; PLND, pelvic lymph node dissection; PSA, prostate-specific antigen.

Comparisons of the clinical outcomes between the very high-risk and high-risk groups are presented in Table II. In the very high-risk group, the BCR rates in the patients with undetectable PSA (52.70 vs. 30.00%; P=0.001) and postoperative detectable PSA (38.33 vs. 19.79%; P=0.004) were higher than the respective rates in the high-risk group. Furthermore, fewer patients did not receive salvage therapy (19.61 vs. 46.31%; P<0.001) and fewer patients were receiving continence medication 4 and 12 weeks after Foley catheter removal (37.82 vs. 41.94% and 50.42 vs. 53.76%; P=0.048) in the very high-risk group compared with the high-risk group.

Table II.

Associations of outcomes with very high-risk and high-risk prostate cancer.

Table II.

Associations of outcomes with very high-risk and high-risk prostate cancer.

OutcomeTotal, n=307Very high risk, n=120High risk, n=187P-value
BCR in patients with undetectable PSA 0.001
  No140 (62.50)35 (47.30)105 (70.00)
  Yes84 (37.50)39 (52.70)45 (30.00)
  Excluded834637
Time to BCR, years1.11 (0.80-2.08)1.03 (0.63-1.79)1.25 (0.87-2.20)0.074
Time to BCR, years 0.157
  >152 (61.90)21 (53.85)31 (68.89)
  <132 (38.10)18 (46.15)14 (31.11)
Postoperative detectable PSA 0.004
  No224 (72.96)74 (61.67)150 (80.21)
  Yes83 (27.04)46 (38.33)37 (19.79)
Post-salvage therapy disease control 0.492a
  No8 (5.00)3 (3.70)5 (6.33)
  Yes152 (95.00)78 (96.30)74 (93.67)
  Unknown14739108
Salvage therapy <0.001
  No89 (35.46)20 (19.61)69 (46.31)
  Radiotherapy44 (17.53)22 (21.57)22 (14.77)
  Antiandrogen38 (15.14)15 (14.71)23 (15.44)
  ADT80 (31.87)45 (44.12)35 (23.49)
  Unknown561838
Receiving continence medicationb 0.048
  4 weeks (after Foley removal)123 (40.33)45 (37.82)78 (41.94)
  12 weeks (after Foley removal)160 (52.46)60 (50.42)100 (53.76)
  >12 months22 (7.21)14 (11.76)8 (4.3)
  Unknown110
Sexual intercoursec 0.182
  Impotent231 (75.74)95 (79.83)136 (73.12)
  Potent74 (24.26)24 (20.17)50 (26.88)
  Unknown110

{ label (or @symbol) needed for fn[@id='tfn2-ol-26-1-13870'] } Categorical data are presented as n (%) and were analyzed by the Chi-square test or

a Fisher's exact test, as appropriate.

b One patient was excluded as the patient recovered well and therefore did not receive continence medication.

c One patient was excluded as they could not accurately confirm the recovery of sexual function. Continuous data with a non-normal distribution are presented as the median (interquartile range) and were analyzed using the Wilcoxon rank-sum test. BCR, biochemical recurrence; PSA, prostate-specific antigen; ADT, androgen-deprivation therapy.

Risk factors of BCR

The results of univariate and multivariate Cox proportional hazards regression analysis of BCR are shown in Table III. A total of 224 patients had undetectable PSA. Univariate analysis showed that patients in the very high-risk group had a 2.13-fold risk of BCR compared with those in the high-risk group (95% CI, 1.38-3.27; P=0.001), with a significant difference between the two groups. Significant differences were also detected in other variables, including extended PLND, PSA density, pathological tumor percentage, imaging stage and pathologic stage between the two groups [all P<0.001, with the exception of PSA density (P=0.003) and imaging stage any N1 vs. T2bN0M0/T2cN0M0 (P=0.014)]. After adjusting for other covariates, the PSA density [adjusted HR (aHR), 1.46, 95% CI, 1.01-2.39; P=0.042], pathological tumor percentage (aHR, 1.02, 95% CI, 1.01-1.23; P<0.001), imaging stage (T3aN0M0 vs. T2bN0M0/T2cN0M0: aHR, 1.96, 95% CI, 1.01-3.79; P=0.047; T3bN0M0 vs. T2bN0M0/T2cN0M0: aHR, 2.59, 95% CI, 1.12-6.01; P=0.026) and pathologic stage (any N1 vs. T2aN0M0/T2bN0M0: aHR, 3.21, 95% CI, 1.25-8.23; P=0.015) remained significantly associated with BCR. However, no significant difference in BCR was found between the two NCCN risk groups (aHR, 1.25; 95%CI, 0.76-2.92; P=0.372). The BCR-free survival curve based on the multivariate model is shown in Fig. 1. The median BCR-free survival for patients in the very high-risk group was 3.62 years; however, the high-risk group had a higher survival rate than the very high-risk group. The medium BCR-free survival for patients in the high-risk group was 4.66 years.

Figure 1.

Biochemical recurrence-free time curve for patients with undetectable prostate-specific antigen categorized into high-risk and very high-risk groups according to NCCN guidelines. NCCN, National Comprehensive Cancer Network.

Table III.

Univariate and adjusted HRs for BCR in the high-risk and very high-risk groups of patients with undetectable PSA.

Table III.

Univariate and adjusted HRs for BCR in the high-risk and very high-risk groups of patients with undetectable PSA.

VariableUnivariate HR (95% CI)P-valueAdjusted HR (95% CI)P-value
NCCN group, very high-risk (vs. high-risk)2.13 (1.38-3.27)0.0011.25 (0.76-2.92)0.372
Age1.01 (0.97-1.44)0.7111.00 (0.96-1.94)0.874
Surgery type, LRP (vs. RALP/RARP/RALRP)1.53 (0.87-2.67)0.1381.02 (0.56-1.86)0.952
PLND, extended PLND (vs. standard PLND)2.45 (1.42-4.24)0.0011.20 (0.66-2.19)0.549
PSA density1.51 (1.15-1.97)0.0031.46 (1.01-2.39)0.042
Pathological tumor percentage1.03 (1.02-1.14)<0.0011.02 (1.01-1.23)<0.001
Imaging stage (vs. T2bN0M0/T2cN0M0)
  T3aN0M03.22 (1.79-5.79)<0.0011.96 (1.01-3.79)0.047
  T3bN0M06.35 (3.61-11.17)<0.0012.59 (1.12-6.01)0.026
  Any N14.59 (1.35-15.58)0.0141.45 (0.36-5.89)0.602
Pathologic stage (vs. T2aN0M0/T2bN0M0)
  T3aN0M03.35 (1.73-6.51)<0.0011.64 (0.78-3.45)0.194
  T3bN0M05.96 (3.07-11.57)<0.0011.80 (0.68-4.77)0.232
  Any N18.93 (4.24-18.81)<0.0013.21 (1.25-8.23)0.015

[i] HR, hazard ratio; BCR, biochemical recurrence; CI, confidence interval; LRP, laparoscopic radical prostatectomy; RALP, robotic-assisted laparoscopic prostatectomy; RARP, robotic-assisted radical prostatectomy; RALRP, robotic-assisted laparoscopic radical prostatectomy; PLND, pelvic lymph node dissection; PSA, prostate-specific antigen.

Table IV presents the results of the univariate and multivariate logistic regression analysis of postoperatively detectable PSA. The analysis of the NCCN-defined very high-risk group vs. the high-risk group showed statistical significance for postoperatively detectable PSA but only prior to adjustment for other covariates [OR: 2.52, 95% CI: 1.51-4.22; P<0.001; adjusted OR (aOR): 1.31, 95% CI: 0.68-2.50, P=0.419]. Other variables were also associated with this outcome, including extended PLND, PSA density, pathological tumor percentage, imaging stage and pathologic stage. Following adjustment for other covariates, the pathological tumor percentage (aOR, 1.03, 95% CI, 1.02-1.04; P<0.001) and higher pathologic stage (T3bN0M0 vs. T2aN0M0/T2bN0M0: aOR, 3.66, 95% CI, 1.14-11.70; P=0.029; any N1 vs. T2aN0M0/T2bN0M0: aOR, 4.47, 95% CI, 1.29-15.44; P=0.018) maintained their association with a significantly higher risk of postoperatively detectable PSA. Notably, the univariate OR for postoperatively detectable PSA in the very high-risk group was significantly different compared with that of the high-risk group (P<0.001).

Table IV.

Univariate and adjusted ORs for postoperatively detectable PSA levels in the high-risk and very high-risk groups.

Table IV.

Univariate and adjusted ORs for postoperatively detectable PSA levels in the high-risk and very high-risk groups.

VariableUnivariate OR (95% CI)P-valueAdjusted OR (95% CI)P-value
NCCN group, very high-risk (vs. high-risk)2.52 (1.51-4.22)<0.0011.31 (0.68-2.50)0.419
Age1.01 (0.97-1.04)0.7641.01 (0.97-1.05)0.677
Surgery type, LRP (vs. RALP/RARP/RALRP)1.14 (0.55-2.35)0.7300.93 (0.40-2.17)0.863
PLND, extended PLND (vs. standard PLND)2.45 (1.27-4.72)0.0081.25 (0.57-2.73)0.582
PSA density1.57 (1.13-2.18)0.0081.43 (1.00-2.05)0.052
Pathological tumor percentage1.03 (1.02-1.05)<0.0011.03 (1.02-1.04)<0.001
Imaging stage (vs. T2bN0M0/T2cN0M0)
  T3aN0M02.22 (1.12-4.38)0.0220.78 (0.31-1.94)0.587
  T3bN0M03.34 (1.76-6.34)<0.0010.52 (0.18-1.51)0.227
  Any N16.48 (1.80-23.29)0.0040.81 (0.15-4.46)0.807
Pathologic stage (vs. T2aN0M0/T2bN0M0)
  T3aN0M02.42 (1.02-5.73)0.0451.50 (0.57-3.94)0.414
  T3bN0M05.50 (2.44-12.41)<0.0013.66 (1.14-11.70)0.029
  Any N19.41 (3.81-23.22)<0.0014.47 (1.29-15.44)0.018

[i] OR, odds ratio; PSA, prostate-specific antigen; CI, confidence interval; NCCN, National Comprehensive Cancer Network; LRP, laparoscopic radical prostatectomy; RALP, robotic-assisted laparoscopic prostatectomy; RARP, robotic-assisted radical prostatectomy; RALRP, robotic-assisted laparoscopic radical prostatectomy; PLND, pelvic lymph node dissection.

Univariate and multivariate logistic regression analyses of the disease control rate after salvage therapy are shown in Table V. A total of 162 patients were included in this analysis. As the number of patients in imaging stage T3bN0M0 and any N1 was small, the two groups were combined for analysis. None of the analyzed variables showed significant associations in univariate and adjusted ORs between groups. The univariate and multivariate logistic regression analysis for time to BCR <1-year is shown in Table VI. A total of 84 patients were included in this analysis. No significant associations were found between these variables and BCR within 1 year (Table VI).

Table V.

Univariate and adjusted ORs for disease control after salvage therapy in the high-risk and very high-risk groups.

Table V.

Univariate and adjusted ORs for disease control after salvage therapy in the high-risk and very high-risk groups.

VariableUnivariate OR (95% CI)P-valueAdjusted OR (95% CI)P-value
NCCN group, very high-risk (vs. high-risk)1.76 (0.41-7.61)0.4511.17 (0.19-7.26)0.869
Age0.99 (0.89-1.09)0.7930.99 (0.89-1.11)0.903
Surgery type, LRP (vs. RALP/RARP/RALRP)1.38 (0.16-11.69)0.7691.26 (0.12-12.99)0.846
PLND, extended PLND (vs. standard PLND)3.05 (0.68-13.58)0.1442.18 (0.35-13.42)0.403
PSA density2.57 (0.51-13.02)0.2542.66 (0.44-16.12)0.287
Pathological tumor percentage1.01 (0.98-1.04)0.4641.00 (0.97-1.04)0.937
Imaging stage (vs. T2bN0M0/T2cN0M0)
  T3aN0M00.65 (0.11-3.74)0.6270.29 (0.04-2.17)0.230
  T3bN0M0 + Any N12.18 (0.29-16.11)0.4460.69 (0.03-14.18)0.810
Pathologic stage (vs. T2aN0M0/T2bN0M0)
  T3aN0M01.33 (0.21-8.67)0.7631.67 (0.18-15.69)0.653
  T3bN0M06.00 (0.52-69.95)0.1537.83 (0.33-184.40)0.202
  Any N12.00 (0.26-15.32)0.5051.60 (0.07-37.95)0.772

[i] OR, odds ratio; CI, confidence interval; NCCN, National Comprehensive Cancer Network; LRP, laparoscopic radical prostatectomy; RALP, robotic-assisted laparoscopic prostatectomy; RARP, robotic-assisted radical prostatectomy; RALRP, robotic-assisted laparoscopic radical prostatectomy; PLND, pelvic lymph node dissection; PSA, prostate-specific antigen.

Table VI.

Univariate analysis and adjusted ORs for a time to BCR of <1 year in patients with BCR.

Table VI.

Univariate analysis and adjusted ORs for a time to BCR of <1 year in patients with BCR.

VariableUnivariate OR (95% CI)P-valueAdjusted OR (95% CI)P-value
NCCN group, very high-risk (vs. high-risk)1.90 (0.78-4.63)0.1591.17 (0.39-3.47)0.780
Age1.00 (0.94-1.06)0.8751.00 (0.93-1.08)0.981
Surgery type, LRP (vs. RALP/RARP/RALRP)0.78 (0.24-2.53)0.6760.51 (0.14-1.89)0.315
PLND, extended PLND (vs. standard PLND)3.22 (0.84-12.36)0.0882.73 (0.56-13.27)0.214
PSA density1.73 (0.84-3.57)0.1391.67 (0.74-3.81)0.219
Pathological tumor percentage1.01 (1.00-1.03)0.1291.01 (0.99-1.03)0.343
Imaging stage (vs. T2bN0M0/T2cN0M0)
  T3aN0M03.48 (0.92-13.25)0.0671.80 (0.38-8.56)0.460
  T3bN0M02.50 (0.69-9.12)0.1650.62 (0.09-4.25)0.624
  Any N11.88 (0.13-26.32)0.6410.36 (0.01-10.28)0.549
Pathologic stage (vs. T2aN0M0/T2bN0M0)
  T3aN0M03.24 (0.59-17.66)0.1753.26 (0.47-22.43)0.231
  T3bN0M04.77 (0.89-25.56)0.0686.39 (0.63-65.25)0.118
  Any N14.28 (0.71-25.91)0.1146.19 (0.56-68.83)0.138

[i] OR, odds ratio; BCR, biochemical recurrence; CI, confidence interval; NCCN, National Comprehensive Cancer Network; LRP, laparoscopic radical prostatectomy; RALP, robotic-assisted laparoscopic prostatectomy; RARP, robotic-assisted radical prostatectomy; RALRP, robotic-assisted laparoscopic radical prostatectomy; PLND, pelvic lymph node dissection; PSA, prostate-specific antigen.

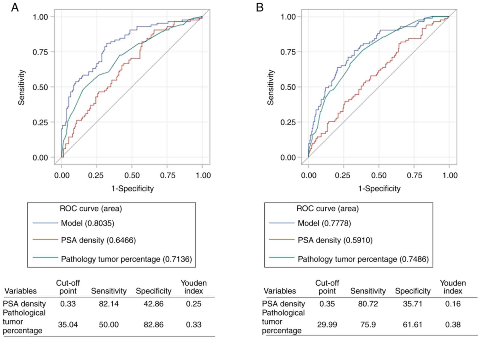
ROC curves were constructed for BCR and postoperative detectable PSA level, and the cut-off points of the full model were calculated, along with those for PSA density and the pathological tumor percentage (Fig. 2). The AUC of the full model (AUC: 0.80, 95% CI: 0.74-0.86) was significantly higher than those of PSA density (AUC: 0.65, 95% CI: 0.57-0.72; P<0.001) and pathological tumor percentage (AUC: 0.71, 95% CI: 0.64-0.78; P=0.002) for BCR. The cut-off points for PSA density and pathological tumor percentage were 0.33 and 35.04, respectively. The AUC and 95% CI of the full model, PSA density and pathological tumor percentage for postoperative detectable PSA levels were 0.78 (0.72-0.84), 0.59 (0.52-0.66) and 0.75 (0.69-0.81), respectively. No significant difference was found in the AUC between the full model and pathological tumor percentage (P=0.12), whereas the full model had a higher AUC than the PSA density (P<0.001). The cut-off points for PSA density and pathological tumor percentage were 0.35 and 29.99, respectively.

Figure 2.

Comparison of ROC curves for model, PSA density and pathological tumor percentage. ROC curves for (A) undetectable PSA and (B) postoperatively detectable PSA levels among all patients. ROC, receiver operating characteristic; PSA, prostate-specific antigen.

Discussion

The present study evaluated the outcomes of patients defined as high risk and very high risk after radical prostatectomy according to the NCCN guidelines, and found that patients in the very high-risk category displayed lower BCR-free survival than those in the high-risk category, and that patients with undetectable PSA had a high risk of BCR and detectable PSA levels postoperatively. Therefore, the patients were re-stratified to identify further criteria that may help in the screening of patients who are suitable for radical prostatectomy. The results of the present study suggest that NCCN-defined high-risk patients with pathologic stage T3bN0M0 have a high risk of BCR <1 year, which signals to urologists that radical prostatectomy should be considered as a salvage therapy option for disease control.

The present study also found that in patients in the NCCN-defined high-risk and very high-risk categories, BCR was associated with PSA density, imaging stage T3aN0M0 and T3bN0M0, and pathologic stage any N1, while pathologic stage T3bN0M0 and any N1 were associated with postoperatively detectable PSA. In the literature, the independent risk factors associated with BCR among high-risk patients include pathological Gleason score ≥8 (15–18), postoperative positive surgical margins (15), initial PSA value (16), seminal vesicle invasion (17), >50% positive cores (18) and several risk factors (15,18). In addition, another study showed via multivariate analysis that high preoperative PSA levels, Gleason score ≥7, lymph node invasion and positive margins were associated with early and late BCR (19). These findings indicate that NCCN-defined high-risk patients with a Gleason score ≥7 deserve merit attention from urologists regarding follow-up strategies, regardless of their postoperative PSA values. It must be noted that patients at very high-risk according to the NCCN guidelines are not good candidates for radical prostatectomy because of the relatively short time to the onset of BCR. However, patients categorized as high-risk could potentially benefit from radical prostatectomy due to tolerable trifecta results.

The rate of BCR <1 year in the high-risk and very high-risk patients in the present study was 54% (167/307), which is comparable with the reported rate of 47.5% (6). An early BCR occurring <1 year after radical prostatectomy has been regarded as a predictor of metastatic progression and prostate cancer mortality (6–9), so is therefore worthy of particular attention. However, none of the variables included in the present study was found to be associated with BCR <1 year after surgery, and no associations were noted between surgery type, PLND status and BCR. The therapeutic value of PLND status with regard to BCR remains controversial in the literature. Cao et al (20) found no significant differences between laparoscopic radical prostatectomy, robotic-assisted radical prostatectomy and open radical prostatectomy in postoperative BCR and overall complication rates. Preisser et al (21) reported that extended PLND had no significant effect on oncological outcomes in high-risk patients (21). However, lymph node invasion is associated with BCR <1 year after surgery (6). Further prospective, randomized studies are required to clarify the extent of node dissection that is necessary for satisfactory oncological outcomes.

A previous study outlined the current state of evidence for prostate cancer screening and early detection and summarized the recent recommendations of various guidelines (22). It reviewed the global public health burden and risk factors for prostate cancer with clinical implications as a screening tool, along with screening, novel biomarkers and magnetic resonance imaging (22). By contrast, the present study outlines key practice points for primary care physicians and provides a simple model to facilitate shared decision-making conversations. A decision tree for use as a diagnostic model for high-risk and very high-risk prostate cancer is provided in Fig. 3.

Figure 3.

Decision tree for patients with high-risk and very high-risk prostate cancer. NCCN, National Comprehensive Cancer Network; PSA, prostate-specific antigen; PIRADS, Prostate Imaging-Reporting and Data System; ADT, androgen-deprivation therapy.

The present study has several limitations. First, it is a retrospective study with inherent limitations such as only certain variables being available, restriction to a given time period that rules out long-term follow-up, and the possible existence of bias. Second, the database was derived from a single center with a relatively small sample size, which may not allow the results to be generalized to other populations or locations. The imaging stages may also be variable because the MRI images were interpreted by different radiologists.

In conclusion, after radical prostatectomy, patients defined as very high-risk according to the NCCN guidelines have low BCR-free survival and patients with undetectable PSA have a high risk of BCR. Preoperative MRI imaging stage T3aN0M0 and T3bN0M0 and pathologic stage any N1 have a higher risk of BCR after prostatectomy, and PSA density predicts short-term BCR after prostatectomy. These findings may help in the screening of patients to identify those requiring active therapeutic protocols.

Acknowledgements

The authors would like to thank Ms. Szu-Han Ho (Department of Surgery, Division of Urology at Taichung Veterans General Hospital, Taichung, Taiwan) for assisting with data curation.

Funding

Funding: No funding was received.

Availability of data and materials

The datasets used and/or analyzed during the current study are available from the corresponding author on reasonable request.

Authors' contributions

CKY, CRY, CLC, HCH, KYC, SSW, CCC, SCW, CYL and SCH contributed to the conception and design of the study, and drafting the manuscript. YCO and JRL contributed to the conception and design of the study, acquisition of data and drafting the manuscript. CSC contributed to the conception and design of the study, drafting the manuscript and clinical analysis. CFH contributed to the conception and design of the study, acquisition of data, drafting and critical revision of the manuscript, and clinical analysis. CKY and CYL confirm the authenticity of the raw data. All authors read and approved the final version of the manuscript.

Ethics approval and consent to participate

The study protocol was approved by Institutional Review Board I&II of Taichung Veterans General Hospital (ref. no. CE21174A) and was carried out according to the approved guidelines. No informed consent was required because the data were analyzed anonymously and no identifying information associated with the participants was included.

Patient consent for publication

Not applicable.

Competing interests

The authors declare that they have no competing interests.

References

1 

Wang L, Lu B, He M, Wang Y, Wang Z and Du L: Prostate cancer incidence and mortality: Global status and temporal trends in 89 countries from 2000 to 2019. Front Public Health. 10:8110442022. View Article : Google Scholar : PubMed/NCBI

2 

Boorjian SA, Eastham JA, Graefen M, Guillonneau B, Karnes RJ, Moul JW, Schaeffer EM, Stief C and Zorn KC: A critical analysis of the long-term impact of radical prostatectomy on cancer control and function outcomes. Eur Urol. 61:664–675. 2012. View Article : Google Scholar : PubMed/NCBI

3 

Van den Broeck T, van den Bergh RCN, Arfi N, Gross T, Moris L, Briers E, Cumberbatch M, De Santis M, Tilki D, Fanti S, et al: Prognostic value of biochemical recurrence following treatment with curative intent for prostate cancer: A systematic review. Eur Urol. 75:967–987. 2019. View Article : Google Scholar : PubMed/NCBI

4 

Kasuya G, Ishikawa H, Tsuji H, Nomiya T, Makishima H, Kamada T, Akakura K, Suzuki H, Shimazaki J, Haruyama Y, et al: Significant impact of biochemical recurrence on overall mortality in patients with high–risk prostate cancer after carbon–ion radiotherapy combined with androgen deprivation therapy. Cancer. 122:3225–3231. 2016. View Article : Google Scholar : PubMed/NCBI

5 

Freedland SJ, Humphreys EB, Mangold LA, Eisenberger M, Dorey FJ, Walsh PC and Partin AW: Risk of prostate cancer–specific mortality following biochemical recurrence after radical prostatectomy. JAMA. 294:433–439. 2005. View Article : Google Scholar : PubMed/NCBI

6 

Venclovas Z, Stanionis M, Matjosaitis AJ and Milonas D: Significance of time until PSA recurrence on clinical progression of surgically treated high-risk prostate cancer patients. Eur Urol Suppl. 18:e206910.1016/S1569-9056(19)31500-3. 2019. View Article : Google Scholar

7 

Pak S, You D, Jeong IG, Kim YS, Hong JH, Kim CS and Ahn H: Time to biochemical relapse after radical prostatectomy and efficacy of salvage radiotherapy in patients with prostate cancer. Int J Clin Oncol. 24:1238–1246. 2019. View Article : Google Scholar : PubMed/NCBI

8 

Briganti A, Karnes RJ, Gandaglia G, Spahn M, Gontero P, Tosco L, Kneitz B, Chun FK, Zaffuto E, Sun M, et al: Natural history of surgically treated high-risk prostate cancer. Urol Oncol. 33:163.e7–13. 2015. View Article : Google Scholar : PubMed/NCBI

9 

Pompe RS, Gild P, Karakiewicz PI, Bock LP, Schlomm T, Steuber T, Graefen M, Huland H, Tian Z and Tilki D: Long-term cancer control outcomes in patients with biochemical recurrence and the impact of time from radical prostatectomy to biochemical recurrence. Prostate. 78:676–681. 2018. View Article : Google Scholar : PubMed/NCBI

10 

Garg H, Dursun F, Alsayegh F, Wang H, Wu S, Liss MA, Kaushik D, Svatek RS and Mansour AM: Revisiting current national comprehensive cancer network (NCCN) high-risk prostate cancer stratification: A national cancer database analysis. Prostate Cancer Prostatic Dis. 14:10.1038/s41391–022-00621-7. 2023.

11 

Turkbey B, Rosenkrantz AB, Haider MA, Padhani AR, Villeirs G, Macura KJ, Tempany CM, Choyke PL, Cornud F, Margolis DJ, et al: Prostate imaging reporting and data system version 2.1: 2019 Update of prostate imaging reporting and data system version 2. Eur Urol. 76:340–351. 2019. View Article : Google Scholar : PubMed/NCBI

12 

Buyyounouski MK, Choyke PL, McKenney JK, Sartor O, Sandler HM, Amin MB, Kattan MW and Lin DW: Prostate cancer-major changes in the American Joint Committee on Cancer eighth edition cancer staging manual. CA Cancer J Clin. 67:245–253. 2017. View Article : Google Scholar : PubMed/NCBI

13 

Vollmer RT: Percentage of tumor in prostatectomy specimens: A study of American Veterans. Am J Clin Pathol. 131:86–91. 2009. View Article : Google Scholar : PubMed/NCBI

14 

Ito Y, Udo K, Vertosick EA, Sjoberg DD, Vickers AJ, Al-Ahmadie HA, Chen YB, Gopalan A, Sirintrapun SJ, Tickoo SK, et al: Clinical usefulness of prostate and tumor volume related parameters following radical prostatectomy for localized prostate cancer. J Urol. 201:535–540. 2019. View Article : Google Scholar : PubMed/NCBI

15 

Otsuka M, Kamasako T, Uemura T, Takeshita N, Shinozaki T, Kobayashi M, Komaru A and Fukasawa S: Factors predicting biochemical recurrence after radical prostatectomy among patients with clinical T3 prostate cancer. Jpn J Clin Oncol. 48:760–764. 2018. View Article : Google Scholar : PubMed/NCBI

16 

Murata Y, Tatsugami K, Yoshikawa M, Hamaguchi M, Yamada S, Hayakawa Y, Ueda K, Momosaki S and Sakamoto N: Predictive factor of biochemical recurrence after radical prostatectomy for high–risk prostate cancer. Int J Urol. 25:284–289. 2018. View Article : Google Scholar : PubMed/NCBI

17 

Nkengurutse G, Tian F, Jiang S, Wang Q, Wang Y and Sun W: Preoperative predictors of biochemical recurrence–free survival in high–risk prostate cancer following radical prostatectomy. Front Oncol. 10:17612020. View Article : Google Scholar : PubMed/NCBI

18 

Lee KS, Koo KC, Choi IY, Lee JY, Hong JH, Kim CS, Lee HM, Hong SK, Byun SS, Rha KH and Chung BH: Re–stratification of patients with high–risk prostate cancer according to the NCCN guidelines among patients who underwent radical prostatectomy: An analysis based on the K–CaP registry. Cancer Res Treat. 50:88–94. 2018. View Article : Google Scholar : PubMed/NCBI

19 

García-Barreras S, Nunes I, Srougi V, Secin F, Baghdadi M, Sánchez-Salas R, Barret E, Rozet F, Galiano M and Cathelineau X: Predictors of early, intermediate and late biochemical recurrence after minimally invasive radical prostatectomy in a single–centre cohort with a mean follow–up of 8 years. Actas Urol Esp (Engl Ed). 42:516–523. 2018.(In English, Spanish). View Article : Google Scholar : PubMed/NCBI

20 

Cao L, Yang Z, Qi L and Chen M: Robot–assisted and laparoscopic vs open radical prostatectomy in clinically localized prostate cancer: Perioperative, functional, and oncological outcomes: A Systematic review and meta–analysis. Medicine (Baltimore). 98:e157702019. View Article : Google Scholar : PubMed/NCBI

21 

Preisser F, van den Bergh RCN, Gandaglia G, Ost P, Surcel CI, Sooriakumaran P, Montorsi F, Graefen M, van der Poel H, de la Taille A, et al: Effect of extended pelvic lymph node dissection on oncologic outcomes in patients with D'Amico intermediate and high risk prostate cancer treated with radical prostatectomy: A multi–institutional study. J Urol. 203:338–343. 2020. View Article : Google Scholar : PubMed/NCBI

22 

Lee CU, Lee SM, Chung JH, Kang M, Sung HH, Jeon HG, Jeong BC, Seo SI, Jeon SS, Lee HM and Song W: Clinical utility of prostate health index for diagnosis of prostate cancer in patients with PI-RADS 3 lesions. Cancers (Basel). 14:41742022. View Article : Google Scholar : PubMed/NCBI

Related Articles

  • Abstract
  • View
  • Download
  • Twitter
Copy and paste a formatted citation
Spandidos Publications style
Yang C, Yang C, Ou Y, Cheng C, Ho H, Chiu K, Wang S, Li J, Chen C, Hung C, Hung C, et al: Prostate‑specific antigen density and preoperative MRI findings as predictors of biochemical recurrence in high‑risk and very high‑risk prostate cancer. Oncol Lett 26: 284, 2023.
APA
Yang, C., Yang, C., Ou, Y., Cheng, C., Ho, H., Chiu, K. ... Hung, S. (2023). Prostate‑specific antigen density and preoperative MRI findings as predictors of biochemical recurrence in high‑risk and very high‑risk prostate cancer. Oncology Letters, 26, 284. https://doi.org/10.3892/ol.2023.13870
MLA
Yang, C., Yang, C., Ou, Y., Cheng, C., Ho, H., Chiu, K., Wang, S., Li, J., Chen, C., Hung, C., Chen, C., Wang, S., Lin, C., Hung, S."Prostate‑specific antigen density and preoperative MRI findings as predictors of biochemical recurrence in high‑risk and very high‑risk prostate cancer". Oncology Letters 26.1 (2023): 284.
Chicago
Yang, C., Yang, C., Ou, Y., Cheng, C., Ho, H., Chiu, K., Wang, S., Li, J., Chen, C., Hung, C., Chen, C., Wang, S., Lin, C., Hung, S."Prostate‑specific antigen density and preoperative MRI findings as predictors of biochemical recurrence in high‑risk and very high‑risk prostate cancer". Oncology Letters 26, no. 1 (2023): 284. https://doi.org/10.3892/ol.2023.13870
Copy and paste a formatted citation
x
Spandidos Publications style
Yang C, Yang C, Ou Y, Cheng C, Ho H, Chiu K, Wang S, Li J, Chen C, Hung C, Hung C, et al: Prostate‑specific antigen density and preoperative MRI findings as predictors of biochemical recurrence in high‑risk and very high‑risk prostate cancer. Oncol Lett 26: 284, 2023.
APA
Yang, C., Yang, C., Ou, Y., Cheng, C., Ho, H., Chiu, K. ... Hung, S. (2023). Prostate‑specific antigen density and preoperative MRI findings as predictors of biochemical recurrence in high‑risk and very high‑risk prostate cancer. Oncology Letters, 26, 284. https://doi.org/10.3892/ol.2023.13870
MLA
Yang, C., Yang, C., Ou, Y., Cheng, C., Ho, H., Chiu, K., Wang, S., Li, J., Chen, C., Hung, C., Chen, C., Wang, S., Lin, C., Hung, S."Prostate‑specific antigen density and preoperative MRI findings as predictors of biochemical recurrence in high‑risk and very high‑risk prostate cancer". Oncology Letters 26.1 (2023): 284.
Chicago
Yang, C., Yang, C., Ou, Y., Cheng, C., Ho, H., Chiu, K., Wang, S., Li, J., Chen, C., Hung, C., Chen, C., Wang, S., Lin, C., Hung, S."Prostate‑specific antigen density and preoperative MRI findings as predictors of biochemical recurrence in high‑risk and very high‑risk prostate cancer". Oncology Letters 26, no. 1 (2023): 284. https://doi.org/10.3892/ol.2023.13870
Follow us
  • Twitter
  • LinkedIn
  • Facebook
About
  • Spandidos Publications
  • Careers
  • Cookie Policy
  • Privacy Policy
How can we help?
  • Help
  • Live Chat
  • Contact
  • Email to our Support Team