Spandidos Publications Logo
  • About
    • About Spandidos
    • Aims and Scopes
    • Abstracting and Indexing
    • Editorial Policies
    • Reprints and Permissions
    • Job Opportunities
    • Terms and Conditions
    • Contact
  • Journals
    • All Journals
    • Oncology Letters
      • Oncology Letters
      • Information for Authors
      • Editorial Policies
      • Editorial Board
      • Aims and Scope
      • Abstracting and Indexing
      • Bibliographic Information
      • Archive
    • International Journal of Oncology
      • International Journal of Oncology
      • Information for Authors
      • Editorial Policies
      • Editorial Board
      • Aims and Scope
      • Abstracting and Indexing
      • Bibliographic Information
      • Archive
    • Molecular and Clinical Oncology
      • Molecular and Clinical Oncology
      • Information for Authors
      • Editorial Policies
      • Editorial Board
      • Aims and Scope
      • Abstracting and Indexing
      • Bibliographic Information
      • Archive
    • Experimental and Therapeutic Medicine
      • Experimental and Therapeutic Medicine
      • Information for Authors
      • Editorial Policies
      • Editorial Board
      • Aims and Scope
      • Abstracting and Indexing
      • Bibliographic Information
      • Archive
    • International Journal of Molecular Medicine
      • International Journal of Molecular Medicine
      • Information for Authors
      • Editorial Policies
      • Editorial Board
      • Aims and Scope
      • Abstracting and Indexing
      • Bibliographic Information
      • Archive
    • Biomedical Reports
      • Biomedical Reports
      • Information for Authors
      • Editorial Policies
      • Editorial Board
      • Aims and Scope
      • Abstracting and Indexing
      • Bibliographic Information
      • Archive
    • Oncology Reports
      • Oncology Reports
      • Information for Authors
      • Editorial Policies
      • Editorial Board
      • Aims and Scope
      • Abstracting and Indexing
      • Bibliographic Information
      • Archive
    • Molecular Medicine Reports
      • Molecular Medicine Reports
      • Information for Authors
      • Editorial Policies
      • Editorial Board
      • Aims and Scope
      • Abstracting and Indexing
      • Bibliographic Information
      • Archive
    • World Academy of Sciences Journal
      • World Academy of Sciences Journal
      • Information for Authors
      • Editorial Policies
      • Editorial Board
      • Aims and Scope
      • Abstracting and Indexing
      • Bibliographic Information
      • Archive
    • International Journal of Functional Nutrition
      • International Journal of Functional Nutrition
      • Information for Authors
      • Editorial Policies
      • Editorial Board
      • Aims and Scope
      • Abstracting and Indexing
      • Bibliographic Information
      • Archive
    • International Journal of Epigenetics
      • International Journal of Epigenetics
      • Information for Authors
      • Editorial Policies
      • Editorial Board
      • Aims and Scope
      • Abstracting and Indexing
      • Bibliographic Information
      • Archive
    • Medicine International
      • Medicine International
      • Information for Authors
      • Editorial Policies
      • Editorial Board
      • Aims and Scope
      • Abstracting and Indexing
      • Bibliographic Information
      • Archive
  • Articles
  • Information
    • Information for Authors
    • Information for Reviewers
    • Information for Librarians
    • Information for Advertisers
    • Conferences
  • Language Editing
Spandidos Publications Logo
  • About
    • About Spandidos
    • Aims and Scopes
    • Abstracting and Indexing
    • Editorial Policies
    • Reprints and Permissions
    • Job Opportunities
    • Terms and Conditions
    • Contact
  • Journals
    • All Journals
    • Biomedical Reports
      • Information for Authors
      • Editorial Policies
      • Editorial Board
      • Aims and Scope
      • Abstracting and Indexing
      • Bibliographic Information
      • Archive
    • Experimental and Therapeutic Medicine
      • Information for Authors
      • Editorial Policies
      • Editorial Board
      • Aims and Scope
      • Abstracting and Indexing
      • Bibliographic Information
      • Archive
    • International Journal of Epigenetics
      • Information for Authors
      • Editorial Policies
      • Editorial Board
      • Aims and Scope
      • Abstracting and Indexing
      • Bibliographic Information
      • Archive
    • International Journal of Functional Nutrition
      • Information for Authors
      • Editorial Policies
      • Editorial Board
      • Aims and Scope
      • Abstracting and Indexing
      • Bibliographic Information
      • Archive
    • International Journal of Molecular Medicine
      • Information for Authors
      • Editorial Policies
      • Editorial Board
      • Aims and Scope
      • Abstracting and Indexing
      • Bibliographic Information
      • Archive
    • International Journal of Oncology
      • Information for Authors
      • Editorial Policies
      • Editorial Board
      • Aims and Scope
      • Abstracting and Indexing
      • Bibliographic Information
      • Archive
    • Medicine International
      • Information for Authors
      • Editorial Policies
      • Editorial Board
      • Aims and Scope
      • Abstracting and Indexing
      • Bibliographic Information
      • Archive
    • Molecular and Clinical Oncology
      • Information for Authors
      • Editorial Policies
      • Editorial Board
      • Aims and Scope
      • Abstracting and Indexing
      • Bibliographic Information
      • Archive
    • Molecular Medicine Reports
      • Information for Authors
      • Editorial Policies
      • Editorial Board
      • Aims and Scope
      • Abstracting and Indexing
      • Bibliographic Information
      • Archive
    • Oncology Letters
      • Information for Authors
      • Editorial Policies
      • Editorial Board
      • Aims and Scope
      • Abstracting and Indexing
      • Bibliographic Information
      • Archive
    • Oncology Reports
      • Information for Authors
      • Editorial Policies
      • Editorial Board
      • Aims and Scope
      • Abstracting and Indexing
      • Bibliographic Information
      • Archive
    • World Academy of Sciences Journal
      • Information for Authors
      • Editorial Policies
      • Editorial Board
      • Aims and Scope
      • Abstracting and Indexing
      • Bibliographic Information
      • Archive
  • Articles
  • Information
    • For Authors
    • For Reviewers
    • For Librarians
    • For Advertisers
    • Conferences
  • Language Editing
Login Register Submit
  • This site uses cookies
  • You can change your cookie settings at any time by following the instructions in our Cookie Policy. To find out more, you may read our Privacy Policy.

    I agree
Search articles by DOI, keyword, author or affiliation
Search
Advanced Search
presentation
Oncology Letters
Join Editorial Board Propose a Special Issue
Print ISSN: 1792-1074 Online ISSN: 1792-1082
Journal Cover
June-2024 Volume 27 Issue 6

Full Size Image

Sign up for eToc alerts
Recommend to Library

Journals

International Journal of Molecular Medicine

International Journal of Molecular Medicine

International Journal of Molecular Medicine is an international journal devoted to molecular mechanisms of human disease.

International Journal of Oncology

International Journal of Oncology

International Journal of Oncology is an international journal devoted to oncology research and cancer treatment.

Molecular Medicine Reports

Molecular Medicine Reports

Covers molecular medicine topics such as pharmacology, pathology, genetics, neuroscience, infectious diseases, molecular cardiology, and molecular surgery.

Oncology Reports

Oncology Reports

Oncology Reports is an international journal devoted to fundamental and applied research in Oncology.

Experimental and Therapeutic Medicine

Experimental and Therapeutic Medicine

Experimental and Therapeutic Medicine is an international journal devoted to laboratory and clinical medicine.

Oncology Letters

Oncology Letters

Oncology Letters is an international journal devoted to Experimental and Clinical Oncology.

Biomedical Reports

Biomedical Reports

Explores a wide range of biological and medical fields, including pharmacology, genetics, microbiology, neuroscience, and molecular cardiology.

Molecular and Clinical Oncology

Molecular and Clinical Oncology

International journal addressing all aspects of oncology research, from tumorigenesis and oncogenes to chemotherapy and metastasis.

World Academy of Sciences Journal

World Academy of Sciences Journal

Multidisciplinary open-access journal spanning biochemistry, genetics, neuroscience, environmental health, and synthetic biology.

International Journal of Functional Nutrition

International Journal of Functional Nutrition

Open-access journal combining biochemistry, pharmacology, immunology, and genetics to advance health through functional nutrition.

International Journal of Epigenetics

International Journal of Epigenetics

Publishes open-access research on using epigenetics to advance understanding and treatment of human disease.

Medicine International

Medicine International

An International Open Access Journal Devoted to General Medicine.

Journal Cover
June-2024 Volume 27 Issue 6

Full Size Image

Sign up for eToc alerts
Recommend to Library

  • Article
  • Citations
    • Cite This Article
    • Download Citation
    • Create Citation Alert
    • Remove Citation Alert
    • Cited By
  • Similar Articles
    • Related Articles (in Spandidos Publications)
    • Similar Articles (Google Scholar)
    • Similar Articles (PubMed)
  • Download PDF
  • Download XML
  • View XML
Article Open Access

Clinical significance of the CXCL8/CXCR1/R2 signalling axis in patients with invasive breast cancer

  • Authors:
    • Sebastian Stępień
    • Marta Smycz‑Kubańska
    • Celina Kruszniewska‑Rajs
    • Joanna Magdalena Gola
    • Jacek Kabut
    • Paweł Olczyk
    • Aleksandra Mielczarek‑Palacz
  • View Affiliations / Copyright

    Affiliations: Department of Immunology and Serology, Faculty of Pharmaceutical Sciences in Sosnowiec, Medical University of Silesia, 40‑055 Katowice, Poland, Department of Molecular Biology, Faculty of Pharmaceutical Sciences in Sosnowiec, Medical University of Silesia, 40‑055 Katowice, Poland, Department of Community Pharmacy, Faculty of Pharmaceutical Sciences in Sosnowiec, Medical University of Silesia, 40‑055 Katowice, Poland
    Copyright: © Stępień et al. This is an open access article distributed under the terms of Creative Commons Attribution License.
  • Article Number: 260
    |
    Published online on: April 10, 2024
       https://doi.org/10.3892/ol.2024.14393
  • Expand metrics +
Metrics: Total Views: 0 (Spandidos Publications: | PMC Statistics: )
Metrics: Total PDF Downloads: 0 (Spandidos Publications: | PMC Statistics: )
Cited By (CrossRef): 0 citations Loading Articles...

This article is mentioned in:



Abstract

The C‑X‑C motif chemokine ligand 8 (CXCL8)‑C‑X‑C chemokine receptor (CXCR)1/2 signalling axis is among numerous mechanisms which stimulate the immune system to defend against tumour growth and influence the tumour microenvironment to promote tumour growth. This pathway plays an important role in the development of a number of cancers including breast cancer (BC). The aim of the present study was to analyse the levels of the chemokine CXCL8 and its receptors, CXCR1 and CXCR2, in the serum of female patients with invasive BC and to assess the expression of these parameters at the mRNA level, considering molecular subtypes and degrees of cancer malignancy. The study group consisted of 62 patients with histopathologically confirmed invasive BC. The control group consisted of 18 patients with histopathologically confirmed fibroadenoma, a benign breast tumour. The levels of CXCL8, CXCR1 and CXCR2 were determined by sandwich ELISA using the CLOUD‑CLONE ELISA kit. CXCL8, CXCR1 and CXCR2 transcript levels were analysed using reverse transcription‑quantitative PCR. Results showed that serum CXCL8 levels in female patients with invasive BC were significantly higher compared with those in the control group (P<0.05). In addition, significantly elevated CXCR1 levels were observed in luminal B human epidermal growth factor receptor 2+ carcinoma compared with those in the control group. Analysis of CXCL8 in the serum of female patients with BC showed a statistically significant difference between clinical stage G1 and G2 (P<0.05), G2 and G3 (P<0.01), and G1 and G3 (P<0.0001). On the other hand, the analysis of CXCR1 and CXCR2 levels in the serum of the patients revealed a statistically significant difference between G2 and G3 (P<0.05). The current study showed that abnormalities in the immune response involving the CXCL8‑CXCR1/2 signalling axis in patients with invasive BC are involved in the development of these tumours. Moreover, the demonstrated severity of changes occurring at protein level may suggest the potential usefulness of their determination as potential diagnostic markers in the clinic.

Introduction

Breast cancer (BC) remains a leading cause of cancer-related mortality in female patients, reflecting profound disease heterogeneity, metastasis and therapeutic resistance (1). The heterogeneity of this tumour is determined mainly by the expression of the estrogen receptor/progesterone receptor (ER/PR), human epidermal growth factor receptor 2 (HER2) and the proliferative index of the Ki-67 antigen, which are considered the basis for the molecular classification of BC and selecting appropriate treatment approach (2–10). The relationship between the receptors expressed on BC cells in terms of C-X-C motif chemokine ligand 8 (CXCL8) and C-X-C chemokine receptor (CXCR)1/2 is the subject of numerous studies and controversy (11–13). For this reason, it seems reasonable to better understand the role of this system in the network of interactions shaping the tumour microenvironment (TME), which may be used in the development of potential diagnostic or prognostic markers, but also potentially become the target of therapeutic intervention.

Due to the determination of the presence or absence of expression of the aforementioned receptors, the following molecular subtypes of BC can be distinguished: Luminal A, luminal B, non-luminal and basal triple-negative BC (TNBC). Luminal A cancer is ER+ and PR+ and is characterised by a low level of Ki-67 (Ki-67<14%) and lack of HER2 expression (HER2−). Luminal B cell cancer is also divided by either the presence or absence of HER2. HER2− luminal B cancer is ER+, can be PR− or characterized by low PR expression (PR<20%) and high Ki-67 expression (>20%), while HER2+ luminal B cancer is ER+, and the expression of PR and Ki-67 is variable. Non-luminal cancers are HER2+ and ER− and PR−. TNBC is ER−, PR− and HER2− (14–19). The BC classification is shown in Fig. 1.

Figure 1.

Molecular division of breast cancer into subtypes (14–19). HER, human epidermal growth factor receptor 2; ER, estrogen receptor; PgR, progesterone receptor; TNBC, triple negative breast cancer.

The CXCL8 chemokine, also known as interleukin (IL)-8, belongs to the group of chemokines that participate in the activation of neutrophils and the recruitment of granulocytes at the site of inflammation (12,20–23). It is secreted by monocytes/macrophages, lymphocytes, neutrophils, fibroblasts, endothelial and epithelial cells. CXCL8 synthesis occurs under the influence of tumour necrosis factor-α (TNF-α), IL-1, IL-6 and environmental and chemical stressors such as hypoxia and reactive oxygen species (12,22,24).

CXCL8 may increase the immunoregulatory capacity to defend against cancer and may also modify the TME thus facilitating tumour development (20,25). This chemokine can attract neutrophils, myeloid-derived suppressor cells and tumour-associated macrophages, cancer-associated fibroblasts to the TME, which are the source of both pro-cancer and anti-cancer factors. It has been proven that the presence of tumour infiltrating neutrophils has a strong relationship with disease progression and the lack of effects in the implemented treatment. It was recently suggested that neutrophil extracellular traps activate cancer cells, influence cancer growth and development, and promote metastasis processes. For this reason, tumour cells produce CXCL8 and consequently attract cells expressing CXCR1 and CXCR2, resulting in a reduced ability to prevent tumour growth (25–33).

CXCL8 is expressed at high levels in ER− BC and increases the invasiveness and metastatic potential of both ER− and ER+ BC cells. It is also expressed at high levels in HER2+ BC (34). The elevated serum CXCL8 level is associated with advanced clinical status, high tumour burden and earlier presence of distant metastases (20,35). CXCL8 can bind to two membrane receptors, CXCR1 and CXCR2, initiating the activation of multiple intracellular signalling pathways. Moreover, CXCR1 is specific to the CXCL8 chemokine, unlike CXCR2 which may also bind to other ILs (21,25,36). These receptors are present on the surface of various cells, including normal and neoplastic cells (21,37).

The CXCL8-CXCR1/2 signalling axis may play a notable role in the process of carcinogenesis and formation of secondary neoplastic foci by controlling the process of proliferation and self-renewal of cancer stem cells (CSCs) (12,21,31). The CXCL8-CXCR1 signalling pathway enhances tumour cell proliferation, while the CXCL8-CXCR2 pathway affects angiogenesis (20).

The aim of the current study was to analyse the concentration of CXCL8 and its receptors, CXCR1 and CXCR2, in the serum of female patients with invasive BC and to evaluate the expression of these parameters at the mRNA level, taking into account the molecular subtypes and grades of cancer, and considering the fact that so far these parameters have not been assessed in a single study and in the same patients at the protein and mRNA level.

Materials and methods

Study group

The study group of the present study consisted of 62 female patients aged 39–83 (mean age ± SD, 65.35±12.67 years) with histopathologically confirmed invasive BC. The patients were diagnosed at the Oncology Outpatient Clinic of the Regional Specialist Hospital No. 3 in Rybnik due to a solid breast lump detected using imaging, specifically breast ultrasound and mammography. Patients were referred for laboratory tests and a thick-needle biopsy of the breast nodule. If axillary lymph node metastasis was suspected in ultrasound findings and detection of enlarged lymph nodes on physical examination, a fine-needle biopsy of the suspected lymph nodes was also recommended. All patients underwent imaging, specifically chest X-ray, abdominal ultrasound and a CT scan in some situations to investigate the presence of distant metastases.

Patients with other chronic diseases, including cancer and autoimmune diseases, were excluded. Patients who were not on drug treatment were included in the present study. The results of the histopathological examination confirmed invasive BC and additionally included the information on histological type, degree of malignancy (G1, G2 and G3), where G1, G2 and G3 referred to highly, moderately and poorly differentiated BC, respectively, and receptor status (expression of ER, PR and HER2) as well as expression of the Ki67 proliferation index. Based on clinical data, tumour staging according to the TNM classification was assessed (38). Molecular features included in the histopathological protocol allowed patients to be classified into one of the following types of BC: Luminal A (n=21), HER− luminal B (n=25), HER+ luminal B (n=5), HER+ non-luminal (n=4) and basal TNBC (n=7).

Histological examination was based on microscopic evaluation of material stained with haematoxylin and eosin. Briefly, 4% aqueous formaldehyde solution was used as a fixative for 24–48 h at room temperature. The clinical material was then sliced on a semi-automatic microtome into 4 µm thick slices. Material was stained with Mayer's Hematoxylin (5 min), water eosin (2 min) at room temperature. The material was evaluated under an Olympus BX43 light microscope using 20×, 40× and/or 60× magnification. Then, immunohistochemical tests were performed to determine the expression of estrogen, progesterone and the HER2 receptors, as well as Ki 67, p63 and E-cadherin. When HER2 expression was ambiguous, CISH or FISH testing was ordered. VENTANA® HER2 Dual ISH DNA Probe Cocktail was used with the Ventana Benchmark Ultra automatic stainer. At the end of each incubation step, the BenchMark IHC/ISH instrument washes the sections to remove unbound material and applies a liquid coverslip which minimizes the evaporation of the aqueous reagents from the slide. Results are interpreted using a light microscope using 20×, 40×, and/or 60×.

Control group

The control group consisted of 18 female patients aged 28–76 (mean age ± SD, 46.50±13.09 years) with histopathologically confirmed fibroadenoma, a benign breast nodule. Patients with other chronic diseases, including cancer, were excluded. The material analyzed was serum and whole blood. The tube obtained for clotting after 30 min was centrifuged at 1,500 × g for 15 min at room temperature, and the serum obtained was dissected and frozen at −80°C. Similarly, whole blood was stored at the same temperature. Thick-needle biopsy of the tumour was performed under ultrasound guidance, after prior local anaesthesia of the tumour area with 2% lignocaine. Laboratory tests, imaging and histopathological examinations were performed at the Diagnostic Centre of the Regional Specialist Hospital in Rybnik. The biological material used in the present study was collected between September 2021 and January 2023.

The present study was conducted according to the guidelines of the Declaration of Helsinki and approved by the Ethics Committee of Medical University of Silesia in Katowice, Poland (protocol code PCN/CBN/0022/KB1/75/21).

ELISA tests

Serum CXCL8 (IL-8) concentration was determined using a sandwich ELISA immunoenzymatic assay using the CLOUD-CLONE Human Interleukin-8 ELISA kit from Cloud-Clone Corp. The kit allows in vitro quantification of CXCL8 in human serum, anticoagulants EDTA, heparin and citrate in plasma, and saliva. The sensitivity of the assay was 5.9 pg/ml. The concentration of CXCR1 (IL-8 Ra) and CXCR2 (IL-8 Rb) was determined using a sandwich ELISA immunoenzymatic assay with the CLOUD-CLONE ELISA kit from Cloud-Clone Corp. The kit allows in vitro quantification of the α and β receptor for IL-8 in human tissue homogenates, cell lysates and other human biological fluids. The sensitivity of the assay for CXCR1 was 0.054 ng/ml, while that for CXCR2 was 0.33 ng/ml.

Reverse transcription-quantitative PCR (RT-qPCR)

RNA extraction was performed using TRIzol® reagent (Invitrogen; Thermo Fisher Scientific, Inc.) and assessed prior to analysis with the use of MaestroNano MN-913 (MaestroGen, Inc.). The quantitative analysis of CXCL8, CXCR1 and CXCR2 transcripts was carried out using GoTaq® 1-Step RT-qPCR System (Promega Corporation), KiCqStart SYBR Green primers (Sigma-Aldrich; KGaA) as follows: CXCL8, forward (F) 5′-TACTCCAAACCTTTCCACC-3′, reverse (R) 5′-CTCAGCCCTCTTCAAAAAC-3′; CXCR1, F 5′-TTAAGTCACTCTGATCTCTGAC-3′, R 5′-TGGTTTGATCTAACTGAAGC-3′; CXCR2, F 5′-GTGATAGCTGAGAATATGCAG-3′, R 5′-ACTTAAATCCTGACTGGGTC-3′; β-actin, F 5′-GACGACATGGAGAAAATCTG-3′, R 5′-ATGATCTGGGTCATCTTCTC-3′ and LightCycler® 480 System (Roche Diagnostics). All steps were performed according to the manufacturers' instructions. Reaction specificity was confirmed by the melting curve analysis and agarose gel electrophoresis. Relative expression levels of the studied genes were calculated using the 2−ΔΔCq method and β-actin as an internal control (39).

Statistical analysis

The obtained results were statistically analysed using Statistica (version 13.3, StatSoft Polska Sp. z o.o.). The normality of distribution of the studied variables was assessed using the Shapiro-Wilk test. The median and interquartile range were determined for the tested parameters, and the obtained results were compared using the Mann-Whitney test. Correlation was investigated using Spearman's rank correlation and presented as a correlation coefficient (r). P<0.05 was considered to indicate a statistically significant difference.

Results

Concentration of CXCL8, CXCR1 and CXCR2

The serum levels of CXCL8, CXCR1 and CXCR2 were determined in female patients in the control group and female patients with BC. As the obtained results did not follow a normal distribution, they were presented as a median with a lower and upper interquartile range (Q1 and Q3). The analysis of the results showed a significantly higher concentration of CXCL8 in the serum of female patients with invasive BC compared with in controls (P<0.05). No statistically significant differences were observed with regards to the other parameters (Tables I and II).

Table I.

Serum concentrations of CXCL8 and its receptors in female patients with invasive BC (n=62) and in the control group (n=18).

Table I.

Serum concentrations of CXCL8 and its receptors in female patients with invasive BC (n=62) and in the control group (n=18).

CharacteristicInvasive BC groupControl groupP-value
Age, years65.35±12.6746.50±13.09P<0.05
Serum CXCL8, pg/ml16.68 (11.70–21.20)11.04 (7.29–16.79)P<0.05
Serum CXCR1, ng/ml0.06 (0.04–0.07)0.06 (0.03–0.07)NS
Serum CXCR2, ng/ml0.81 (0.47–1.35)0.59 (0.38–0.80)NS

[i] Data are presented as mean ± SD or median (Q1-Q3). NS, not significant; CXCL, C-X-C motif chemokine ligand; CXCR, C-X-C motif chemokine receptor; BC, breast cancer.

Table II.

Serum concentrations of parameters in female patients with BC considering molecular subtypes of BC and in the control group.

Table II.

Serum concentrations of parameters in female patients with BC considering molecular subtypes of BC and in the control group.

BC subtype

Studied parametersStatistical parametersLuminal A (n=21)Luminal B HER2− (n=25)Luminal B HER2+ (n=5)Non-luminal (n=4)TNBC (n=7)Control (n=18)
CXCL8, ng/mlMe17.2317.6713.259.7211.9311.04
Q1-Q312.37–21.6512.37–20.7610.60–20.104.53–29.828.39–29.827.29–16.79
P-value <0.05a <0.05a>0.05>0.05>0.05
CXCR1, pg/mlMe0.050.060.070.070.070.06
Q1-Q30.04–0.070.04–0.080.05–0.070.06–0.080.05–0.230.03–0.07
P-value>0.05>0.05>0.05>0.05>0.05
CXCR2, pg/mlMe0.920.671.350.810.670.60
Q1-Q30.64–1.300.44–1.350.97–1.350.56–1.100.47–0.970.38–0.80
P-value>0.05>0.05 <0.01b>0.05>0.05

a P<0.05,

b P<0.01. BC, breast cancer; CXCL, C-X-C motif chemokine ligand; CXCR, C-X-C motif chemokine receptor; TNBC, triple negative breast cancer; HER2, human epidermal growth factor receptor 2.

Next, the serum concentrations of CXCL8, CXCR1 and CXCR2 in female patients with luminal A, luminal B, non-luminal and TNBC were investigated compared with those in the control group. A statistically significant difference was shown only for CXCL8 serum levels in female patients with luminal A and luminal B BC compared with the control group (P<0.05; Fig. 2).

Figure 2.

Concentration of (A) CXCL8, (B) CXCR1 and (C) CXCR2 in the serum of female patients with luminal A, luminal B, non-luminal and TNBC and in the control group. CXCL, C-X-C motif chemokine ligand; CXCR, C-X-C motif chemokine receptor; TNBC, triple negative breast cancer.

After that, serum CXCL8 levels were assessed in patients with luminal B HER2− and luminal B HER2+ BC. The analysis performed showed a statistically significant reduction in serum CXCL8 levels in female patients with luminal B HER2+ BC compared with luminal B HER2− BC (P<0.05; Fig. 3A). On the other hand, the analysis of CXCR1 and CXCR2 levels showed a significant increase in serum levels of female patients with luminal B HER2+ BC compared with luminal B HER2− BC (P<0.05; Fig. 3B and C).

Figure 3.

Concentration of (A) CXCL8, (B) CXCR1 and (C) CXCR2 in the serum and number of mRNA copies of (D) CXCL8 and (E) CXCR1 gene in female patients with luminal B HER2− and luminal B HER2+ breast cancer. CXCL, C-X-C motif chemokine ligand; CXCR, C-X-C motif chemokine receptor; HER2, human epidermal growth factor receptor 2.

The analysis of the serum levels of the parameters studied in patients with luminal B HER2+ and non-luminal BC showed a significant reduction in CXCL8 levels in the serum of patients with non-luminal cancer (P<0.05; Fig. 4A). There was no statistical correlation between the serum levels of CXCR1 and CXCR2 in the studied patients with luminal B HER2+ and non-luminal cancer.

Figure 4.

Concentration of (A) CXCL8, (B) CXCR1 and (C) CXCR2 in the serum and number of mRNA copies of (D) CXCL8 and (E) CXCR1 gene in female patients with luminal B HER2+ and non-luminal breast cancer. CXCL, C-X-C motif chemokine ligand; CXCR, C-X-C motif chemokine receptor; HER2, human epidermal growth factor receptor 2.

In addition, further analysis assessed the way the serum concentrations of the studied parameters developed in female patients with BC at the successive stages of the disease.

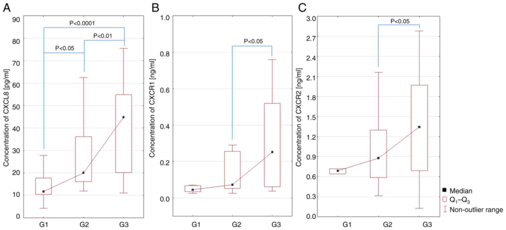
The analysis of CXCL8 serum levels in female patients with BC showed a statistically significant difference between the clinical stage G1 and G2 (P<0.05; Fig. 5A), G2 and G3 (P<0.01; Fig. 5A) and G1 and G3 (P<0.0001; Fig. 5A). On the other hand, the analysis of CXCR1 and CXCR2 serum levels in the studied patients showed a statistically significant difference between G2 and G3 (P<0.05, Fig. 5B and C).

Figure 5.

Concentration of (A) CXCL8, (B) CXCR1 and (C) CXCR2 in the serum of female patients with invasive breast cancer in relation to the degree of differentiation G1, G2 and G3. CXCL, C-X-C motif chemokine ligand; CXCR, C-X-C motif chemokine receptor; HER2, human epidermal growth factor receptor 2.

mRNA expression levels of CXCL8 and its receptors CXCR1 and CXCR2

The assays at the transcript level showed an increase in the mRNA copy number of the CXCR1 gene in the group of female patients with luminal B HER2+ BC compared with luminal B HER2− BC. However, this was not a statistically significant difference, yet there was a trend towards a statistical significance (P=0.0661; Fig. 3E). For the CXCL8 and CXCR2 genes, no differences in the transcript copy number were observed. Furthermore, there were no differences in mRNA copy number of the analysed genes between luminal B HER2+ and non-luminal HER2+ cancers. There were also no differences in the mRNA copy number of the analysed genes depending on the stage of the disease.

Discussion

The CXCL8-CXCR1/2 signalling axis is one of the numerous mechanisms stimulating the immune system against cancer development and possibly affecting the TME, promoting its development. This pathway plays an important role in the formation of a number of cancer types including breast, ovarian, prostate, lung, colorectal, gastric and melanoma cancer (20).

A number of studies are available on the role of the signalling pathway involving CXCL8 and its receptors CXCR1 and CXCR2 in BC (13,20,27,40–42). The current study presented a new aspect in the study of the pathway, with both the expression and the serum levels of the CXCL8-CXCR1/R2 axis being determined for the first time in the same patient, allowing for a deeper analysis of the correlation involved and indicating the clinical aspect.

The studies conducted so far have shown that the chemokine CXCL8 in BC affects the process of tumour formation because all BC cells express CXCR1 and CXCR2 (13,20,27,40–42). CXCL8 synthesised by cancer cells initiates the neovascularization process by stimulating vascular endothelial growth factor. The emerging new blood vessels initiate the process of BC development, but also provide distant metastases with nutrients supplied with the blood (20). CXCL8 acts directly on cancer cells in TNBC, making them more invasive and aggressive. Based on a mouse TNBC model, Liubomirski et al (27) showed that CXCL8 regulated by CXCR2 and C-C motif chemokine ligand 2 (CCL2) regulated by the receptor for chemokine CCL2 (CCR2) affect tumour-associated neutrophils and macrophages and influence their migration to the tumour site.

The aim of the current study was to assess the expression of the chemokine CXCL8 and its receptors CXCR1 and CXCR2 in patients with invasive BC and additionally to assess the concentration of these parameters in the serum, considering the molecular subtypes and clinical stages. In the present analysis, a significantly increased concentration of this chemokine was observed in the group of patients with confirmed invasive BC compared with the group of female patients diagnosed with benign tumours (P<0.05), which confirms the involvement of CXCL8 in the development of BC. The results of the current study are consistent with the observations of Ma et al (13), Zare Moaiedi et al (40), Snoussi et al (41) and Motyka et al (42) who showed an increased concentration of CXCL8 in patients with BC compared with healthy female individuals. In addition, a statistical significance was observed between the clinical stages G1 and G2, G2 and G3, and G1 and G3 (P<0.05, P<0.01 and P<0.0001, respectively).

Similar studies were conducted by Wang et al (43), who analysed the concentration of selected chemokines and their receptors, including the CXCL8 chemokine in patients with BC. Their results showed that during BC, the concentration of CXCL8 was markedly different in all examined cases, ranging from a benign lesion to invasive cancer. In addition, the authors found that tumour size was associated with CXCL8 concentration. Moreover, Ma et al (13) showed that the concentration of CXCL8 is not only associated with the stage of clinical advancement but is also associated with the occurrence of secondary neoplastic foci.

Chemokines, including CXCL8 and its receptors CXCR1 and CXCR2, are involved in the autocrine proliferation and metastasis of cancer cells by supporting tumour signalling pathways, epithelial-mesenchymal transition or also by acquiring resistance to chemotherapy treatment (44). Moreover, it is assumed that the proliferation of CSCs may affect the process of cancer cell migration (12). However, Todorović-Raković and Milovanović (34) suggested that CXCL8 may promote the formation of secondary neoplastic foci also in a paracrine manner by accumulating neutrophils and tumour suppressor cells at the site of tumour development, resulting in the creation of a highly immunogenic and pro-cancer tumour environment (44). The TME is an important element not only in the process of angiogenesis, but also in the process of growth, survival of cancer cells, signalling between cells in the tumour environment and infiltration of a number of cells to the tumour site, thus contributing to the increase in the invasive nature of cancer. As pointed out by Messeha et al (45), especially in BC, CXCL8 and CCL2 play an important pro-cancer role.

Motyka et al (42) showed markedly increased CXCL8 concentration in the luminal BC subtype compared with that in group of patients with benign lesions and healthy female individuals. The obtained results are consistent with those of the present study which showed a statistical significance between the concentration of CXCL8 in patients with luminal BC compared with that in patients with benign lesions (P<0.05). A similar study was conducted by Wang et al (43), who analysed selected chemokines at various stages of BC. The authors showed there was a notable difference between CXCL8, CXCL12 and CXCR4 concentration and BC stage. In addition, they also showed that the concentration of the chemokine CXCL8 was associated with the size of the tumour. Todorović-Raković and Milovanović (34) indicated a high expression of CXCL8 in ER− BC. According to the authors, this chemokine increases the invasiveness and metastatic potential of both ER− and ER+ BC cells and is also highly expressed in HER2+ BC.

Erlichman et al (46) indicated that chemokines play an important role in programmed death-ligand 1 signalling in TNBC cells by autocrine signalling through chemokine receptors, especially CCR2 and CCR5, and to a lesser extent also CXCR1/2, which results in an increased secretion or increased synthesis of CCL2, CCL5 and CXCL8. The authors suggested that these chemokines activate specific receptors through a feedback mechanism.

The biological activity of chemokines is determined by the existence of specific, intrinsic receptors (12,21,47). There are numerous studies on the role of CXCR1/2 receptors in carcinogenesis. Xue et al (48) analysed the expression of CXCR1 in physiological breast tissue, breast fibroadenoma and invasive BC using immunohistochemistry. They showed that in physiological breast tissue only a few cells expressed CXCR1, while in fibroadenoma the percentage of cells expressing this receptor was higher. In BC, almost all cells expressed CXCR1, which, according to the authors, suggests the involvement of CXCR1 in the pathogenesis of BC. A similar study was conducted by Snoussi et al (41), who showed that the occurrence of polymorphisms in the CXCL8 and CXCR2 genes contributes to an increased risk of BC development and increases the aggressiveness of the course of the disease.

In the present study, no difference between serum CXCR1 concentration was identified during luminal, non-luminal and TNBC compared with that in the control group. However, a significantly increased concentration of CXCR1 was observed in luminal B HER2+ BC compared with that in luminal B HER2− BC (P<0.05), which may indicate the involvement of this receptor in the process of BC carcinogenesis.

The studies available so far have shown that the expression of CXCR2 is higher in cancerous tissue characterised by a high degree of malignancy compared with benign lesions and normal breast tissue (49–51). According to Liu et al (11), CXCR2 is an important factor that may facilitate the process of metastasis, where the main location of secondary tumour foci are bones. CXCR2 promotes BC metastasis by blocking AKT1 and stimulating COX2. According to Vazquez et al (52), the expression of CXCR1 and CXCR2 may vary depending on the subtype of BC. The authors found that CXCR1 expression was notably lower in TNBC compared with HER2+ luminal A and luminal B BC. On the other hand, lower expression of CXCR2 was found in luminal B HER2+ carcinoma compared with luminal A carcinoma. In the present study, a statistically significant difference between increased concentration of CXCR1 and CXCR2 in the serum of patients with luminal B HER2+ BC compared with the group of patients with luminal B HER2− BC was observed. A significant correlation between the concentration of CXCR1 and CXCR2 in luminal B HER2+ carcinoma compared with non-luminal BC was not observed.

Previous studies have shown that changes in gene expression at the mRNA level assessed in blood samples of patients with BC may constitute potential diagnostic markers differentiating patients from healthy ones (53,54). However, there are still no studies evaluating these parameters in the ‘clinical approach’ (53). The molecular analysis of the present study showed no relationship between the number of mRNA copies of genes in HER2+ luminal B and non-luminal HER2+ BC. Moreover, the number of transcript copies was not shown to be dependent on the stage of the disease. The assays at the mRNA level indicated that the expression of the genes of the immune system studied circulating in the blood is likely not the source of the protein, which may indicate that they come from the TME. However, expression at the mRNA level is not always associated with expression at the protein level due to the complicated regulation mechanisms of this process. Furthermore, there is regulation of release of soluble protein, which may possibly be altered in cancers. Regardless of the mechanism, the results of the present study clearly indicate that in the case of CXCL8 as well as CXCR1 and CXCR2, it is reasonable to measure the serum concentration of these proteins. However, the usefulness of the evaluated expression at the mRNA level in blood requires further research. The present study showed an increase in the number of CXCR1 mRNA copies in the group of female patients with luminal B HER2+ BC compared with the luminal B HER2− BC group with a trend towards statistical significance.

The analysis performed revealed statistically significantly elevated concentration of CXCR1 only in luminal B HER2(+) BC compared to the control group, which may indicate the contribution of this receptor to the process of carcinogenesis in this type of BC, which is probably related to the fact that the CXCR1 receptor has a higher specificity to the chemokine CXCL8 in contrast to the CXCR2 receptor.

Moreover, our study also showed that the increase in CXCR1 gene mRNA copy number in the group of female patients with luminal B HER2(+) BC compared to luminal B HER2(−) BC showed a trend toward statistical significance.

The lack of statistically significant differences in CXCR1/R2 concentration in other types of BC may indicate the absence of CXCL8-mediated signalling involving these receptors in the patients studied. The analysis of the levels of CXCL8 and its receptors CXCR1 and CXCR2 in the serum of female patients with BC with respect to the degrees of malignancy (G1, G2, G3) also provided interesting observations. The obtained data indicate the existence of a relationship between CXCL8 secretion and the degree of malignancy of G1, G2 and G3 cancers, which indicates the involvement of the studied chemokine in the pathomechanism of BC development, probably influencing the increased invasiveness and aggressiveness of cancer cells. Moreover, the demonstration of a correlation also between the concentration of CXCR1 and CXCR2 receptor in the serum of the studied patients and the degree of G2 and G3 malignancy proves their important role in the process of tumorigenesis, which may find a potential application in diagnosis, but this requires further research.

Furthermore, the results obtained provide a rationale for further studies, which we intend to conduct in the future on a larger group of patients, particularly including a larger study group with triple-negative BC (TNBC), which may allow us to demonstrate that measuring CXCR1 and CXCR2 levels will distinguish luminal BC from TNBC.

The abnormalities of the immune response involving the CXCL8-CXCR1/2 signalling axis in patients with invasive BC indicate a significant contribution of the studied parameters to the development of these cancers. Moreover, the observed severity of changes occurring at the protein level may suggest the possible usefulness of their determination as potential diagnostic markers.

Acknowledgements

Not applicable.

Funding

The present study was funded by Medical University of Silesia in Katowice, Poland (grant no. PCN-1-185/K/2/O).

Availability of data and materials

The datasets used and/or analyzed during the current study are available from the corresponding author on reasonable request.

Authors' contributions

AMP conceptualized the study. SS, MSK, JMG, PO, CKR and JK developed methodology and carried out formal analysis. JK completed data curation. AMP and SS prepared the original draft of the manuscript. JMG, PO, JK and AMP reviewed and edited the manuscript. AMP, JMG and PO supervised the project. SS and CKR confirm the authenticity of all the raw data. All authors have read and approved the final version of the manuscript.

Ethics approval and consent to participate

The current study was conducted according to the guidelines of the Declaration of Helsinki and approved by the Ethics Committee of Medical University of Silesia in Katowice, Poland (protocol code PCN/CBN/0022/KB1/75/21).

Patient consent for publication

Not applicable.

Competing interests

The authors declare that they have no competing interests.

References

1 

Nolan E, Lindeman GJ and Visvader JE: Deciphering breast cancer: From Biology to the Clinic. Cell. 186:1708–1728. 2023. View Article : Google Scholar : PubMed/NCBI

2 

Yeo SK and Guan JL: Breast cancer: Multiple subtypes within a tumor? Trends Cancer. 3:753–760. 2017. View Article : Google Scholar : PubMed/NCBI

3 

Li Z, Wei H, Li S, Wu P and Mao X: The role of progesterone receptors in breast cancer. Drug Des Devel Ther. 16:305–314. 2022. View Article : Google Scholar : PubMed/NCBI

4 

Zhang L, Chen W, Liu S and Chen C: Targeting breast cancer stem cells. Int J Biol Sci. 19:552–570. 2023. View Article : Google Scholar : PubMed/NCBI

5 

Slepicka PF, Cyrill SL and Dos Santos CO: Pregnancy and breast cancer: Pathways to understand risk and prevention. Trends Mol Med. 25:866–881. 2019. View Article : Google Scholar : PubMed/NCBI

6 

Houghton SC and Hankinson SE: Cancer progress and priorities: Breast cancer. Cancer Epidemiol Biomarkers Prev. 30:822–844. 2021. View Article : Google Scholar : PubMed/NCBI

7 

Garrido-Castro AC, Lin NU and Polyak K: Insights into molecular classifications of triple-negative breast cancer: Improving patient selection for treatment. Cancer Discov. 9:176–198. 2019. View Article : Google Scholar : PubMed/NCBI

8 

Cocco S, Piezzo M, Calabrese A, Cianniello D, Caputo R, Lauro VD, Fusco G, Gioia GD, Licenziato M and De Laurentiis M: Biomarkers in triple-negative breast cancer: State-of-the-art and future perspectives. Int J Mol Sci. 21:45792020. View Article : Google Scholar : PubMed/NCBI

9 

Faria SS, Costantini S, De Lima VCC, De Andrade VP, Rialland M, Cedric R, Budillon A and Magalhães KG: NLRP3 inflammasome-mediated cytokine production and pyroptosis cell death in breast cancer. J Biomed Sci. 28:262021. View Article : Google Scholar : PubMed/NCBI

10 

Jenkins S, Kachur ME, Rechache K, Wells JM and Lipkowitz S: Rare breast cancer subtypes. Curr Oncol Rep. 23:542021. View Article : Google Scholar : PubMed/NCBI

11 

Liu H, Yang Z, Lu W, Chen Z, Chen L, Han S, Wu X, Cai T and Cai Y: Chemokines and chemokine receptors: A new strategy for breast cancer therapy. Cancer Med. 9:3786–3799. 2020. View Article : Google Scholar : PubMed/NCBI

12 

Ha H, Debnath B and Neamati N: Role of the CXCL8-CXCR1/2 axis in cancer and inflammatory diseases. Theranostics. 7:1543–1588. 2017. View Article : Google Scholar : PubMed/NCBI

13 

Ma Y, Ren Y, Dai ZJ, Wu CJ, Ji YH and Xu J: IL-6, IL-8 and TNF-α Levels Correlate with Disease Stage in Breast Cancer Patients. Adv Clin Exp Med. 26:421–426. 2017. View Article : Google Scholar : PubMed/NCBI

14 

Gao JJ and Swain SM: Luminal A breast cancer and molecular assays: A review. Oncologist. 23:556–565. 2018. View Article : Google Scholar : PubMed/NCBI

15 

Kudela E, Samec M, Koklesova L, Liskova A, Kubatka P, Kozubik E, Rokos T, Pribulova T, Gabonova E, Smolar M and Biringer K: MiRNA expression profiles in luminal A breast cancer-implications in biology, prognosis, and prediction of response to hormonal treatment. Int J Mol Sci. 21:76912020. View Article : Google Scholar : PubMed/NCBI

16 

Wełnicka-Jaśkiewicz M: Zalecenia Dotyczące Uzupełniającego Leczenia Chorych Na Wczesnego Raka Piersi Sprawozdanie z 13. Międzynarodowej Konferencji w St. Gallen. Nowotwory. J Oncol. 63:432–435. 2013.

17 

Melitto AS, Arias VEA, Shida JY, Gebrim LH and Silveira L Jr: Diagnosing molecular subtypes of breast cancer by means of raman spectroscopy. Lasers Surg Med. 54:1143–1156. 2022. View Article : Google Scholar : PubMed/NCBI

18 

Mueller C, Haymond A, Davis JB, Williams A and Espina V: Protein biomarkers for subtyping breast cancer and implications for future research. Expert Rev Proteomics. 15:131–152. 2018. View Article : Google Scholar : PubMed/NCBI

19 

Yin L, Duan JJ, Bian XW and Yu S: Triple-Negative breast cancer molecular subtyping and treatment progress. Breast Cancer Res. 22:612020. View Article : Google Scholar : PubMed/NCBI

20 

Liu Q, Li A, Tian Y, Wu JD, Liu Y, Li T, Chen Y, Han X and Wu K: The CXCL8-CXCR1/2 pathways in cancer. Cytokine Growth Factor Rev. 31:61–71. 2016. View Article : Google Scholar : PubMed/NCBI

21 

Xiong X, Liao X, Qiu S, Xu H, Zhang S, Wang S, Ai J and Yang L: CXCL8 in tumor biology and its implications for clinical translation. Front Mol Biosci. 9:7238462022. View Article : Google Scholar : PubMed/NCBI

22 

Bie Y, Ge W, Yang Z, Cheng X, Zhao Z, Li S, Wang W, Wang Y, Zhao X, Yin Z and Li Y: The crucial role of CXCL8 and its receptors in colorectal liver metastasis. Dis Markers. 2019:80234602019. View Article : Google Scholar : PubMed/NCBI

23 

Joseph PRB, Sawant KV and Rajarathnam K: Heparin-Bound chemokine CXCL8 monomer and dimer are impaired for CXCR1 and CXCR2 Activation: Implications for gradients and neutrophil trafficking. Open Biol. 7:1701682017. View Article : Google Scholar : PubMed/NCBI

24 

Waugh DJJ and Wilson C: The Interleukin-8 pathway in cancer. Clin Cancer Res. 14:6735–6741. 2008. View Article : Google Scholar : PubMed/NCBI

25 

Han ZJ, Li YB, Yang LX, Cheng HJ, Liu X and Chen H: Roles of the CXCL8-CXCR1/2 axis in the tumor microenvironment and immunotherapy. Molecules. 27:1372021. View Article : Google Scholar : PubMed/NCBI

26 

Zha C, Meng X, Li L, Mi S, Qian D, Li Z, Wu P, Hu S, Zhao S, Cai J and Liu Y: Neutrophil extracellular traps mediate the crosstalk between glioma progression and the tumor microenvironment via the HMGB1/RAGE/IL-8 Axis. Cancer Biol Med. 17:154–168. 2020. View Article : Google Scholar : PubMed/NCBI

27 

Liubomirski Y, Lerrer S, Meshel T, Rubinstein-Achiasaf L, Morein D, Wiemann S, Körner C and Ben-Baruch A: Tumor-Stroma-Inflammation networks promote pro-metastatic chemokines and aggressiveness characteristics in triple-negative breast cancer. Front Immunol. 10:7572019. View Article : Google Scholar : PubMed/NCBI

28 

Feng X, Ji Z and Yang G: ASS1 Regulates Immune Microenvironment via CXCL8 Signaling in Ovarian Cancer. Biochem Biophys Res Commun. 631:86–92. 2022. View Article : Google Scholar : PubMed/NCBI

29 

Gonzalez-Aparicio M and Alfaro C: Influence of interleukin-8 and neutrophil extracellular trap (NET) formation in the tumor microenvironment: Is there a pathogenic role? J Immunol Res. 2019:62521382019. View Article : Google Scholar : PubMed/NCBI

30 

Ospina-Muñoz N and Vernot JP: Partial acquisition of stemness properties in tumorspheres obtained from interleukin-8-treated MCF-7 cells. Tumour Biol. 42:10104283209794382020. View Article : Google Scholar : PubMed/NCBI

31 

Mishra A, Suman KH, Nair N, Majeed J and Tripathi V: An updated review on the role of the CXCL8-CXCR1/2 axis in the progression and metastasis of breast cancer. Mol Biol Rep. 48:6551–6561. 2021. View Article : Google Scholar : PubMed/NCBI

32 

Nie G, Cao X, Mao Y, Lv Z, Lv M, Wang Y, Wang H and Liu C: Tumor-Associated Macrophages-Mediated CXCL8 infiltration enhances breast cancer metastasis: Suppression by danirixin. Int Immunopharmacol. 95:1071532021. View Article : Google Scholar : PubMed/NCBI

33 

Cai Z, Zhang M, Boafo Kwantwi L, Bi X, Zhang C, Cheng Z, Ding X, Su T, Wang H and Wu Q: Breast cancer cells promote self-migration by secreting interleukin 8 to induce NET Formation. Gene. 754:1449022020. View Article : Google Scholar : PubMed/NCBI

34 

Todorović-Raković N and Milovanović J: Interleukin-8 in breast cancer progression. J Interferon Cytokine Res. 33:563–570. 2013. View Article : Google Scholar : PubMed/NCBI

35 

Benoy IH, Salgado R, Van Dam P, Geboers K, Van Marck E, Scharpé S, Vermeulen PB and Dirix LY: Increased serum interleukin-8 in patients with early and metastatic breast cancer correlates with early dissemination and survival. Clin Cancer Res. 10:7157–7162. 2004. View Article : Google Scholar : PubMed/NCBI

36 

Antonosante A, Brandolini L, d'Angelo M, Benedetti E, Castelli V, Maestro MD, Luzzi S, Giordano A, Cimini A and Allegretti M: Autocrine CXCL8-Dependent invasiveness triggers modulation of actin cytoskeletal network and cell dynamics. Aging (Albany NY). 12:1928–1951. 2020. View Article : Google Scholar : PubMed/NCBI

37 

Gales D, Clark C, Manne U and Samuel T: The chemokine CXCL8 in carcinogenesis and drug response. ISRN Oncol. 2013:8591542013.PubMed/NCBI

38 

American Joint Committee on Cancer (AJCC), . AJCC Cancer Staging Manual. 8th ed. New York: Springer; 2017

39 

Schmittgen TD and Livak KJ: Analyzing real-time PCR data by the comparative C(T) method. Nat Protoc. 3:1101–1108. 2008. View Article : Google Scholar : PubMed/NCBI

40 

Zare Moaiedi M, Ahmadpoor F, Rashidi M, Ahmadzadeh A, Salmasi AA and Mohammadzadeh G: The Association between MRNA Expression of Resistin, TNF-α, IL-6, IL-8, and ER-α in peripheral blood mononuclear cells and breast cancer. Turk J Med Sci. 51:1345–1353. 2021. View Article : Google Scholar : PubMed/NCBI

41 

Snoussi K, Mahfoudh W, Bouaouina N, Fekih M, Khairi H, Helal AN and Chouchane L: Combined Effects of IL-8 and CXCR2gene polymorphisms on breast cancer susceptibility and aggressiveness. BMC Cancer. 10:2832010. View Article : Google Scholar : PubMed/NCBI

42 

Motyka J, Gacuta E, Kicman A, Kulesza M, Ławicki P and Ławicki S: Plasma levels of CXC motif chemokine 1 (CXCL1) and chemokine 8 (CXCL8) as diagnostic biomarkers in Luminal A and B breast cancer. J Clin Med. 11:66942022. View Article : Google Scholar : PubMed/NCBI

43 

Wang J, He Q, Shao YG and Ji M: Chemokines fluctuate in the progression of primary breast cancer. Eur Rev Med Pharmacol Sci. 17:596–608. 2013.PubMed/NCBI

44 

Amante RJ, Auf Der Maur P, Richina V, Sethi A, Iesmantavicius V, Bonenfant D, Aceto N and Bentires-Alj M: Protein tyrosine phosphatase shp2 controls interleukin-8 expression in breast cancer cells. J Mammary Gland Biol Neoplasia. 27:145–153. 2022. View Article : Google Scholar : PubMed/NCBI

45 

Messeha SS, Zarmouh NO, Mendonca P, Cotton C and Soliman KFA: Molecular mechanism of gossypol mediating CCL2 and IL-8 attenuation in triple-negative breast cancer cells. Mol Med Rep. 22:1213–1226. 2020. View Article : Google Scholar : PubMed/NCBI

46 

Erlichman N, Baram T, Meshel T, Morein D, Da'adoosh B and Ben-Baruch A: Tumor cell-autonomous pro-metastatic activities of PD-L1 in human breast cancer are mediated by PD-L1-S283 and chemokine axes. Cancers (Basel). 14:10422022. View Article : Google Scholar : PubMed/NCBI

47 

Molczyk C and Singh RK: CXCR1: A cancer stem cell marker and therapeutic target in solid tumors. Biomedicines. 11:5762023. View Article : Google Scholar : PubMed/NCBI

48 

Xue MQ, Liu J, Sang JF, Su L and Yao YZ: Expression characteristic of CXCR1 in different breast tissues and the relevance between its expression and efficacy of neo-adjuvant chemotherapy in breast cancer. Oncotarget. 8:48930–48937. 2017. View Article : Google Scholar : PubMed/NCBI

49 

Guo F, Long L, Wang J, Wang Y, Liu Y, Wang L and Luo F: Insights on CXC chemokine receptor 2 in breast cancer: An emerging target for oncotherapy. Oncol Lett. 18:5699–5708. 2019.PubMed/NCBI

50 

Romero-Moreno R, Curtis KJ, Coughlin TR, Miranda-Vergara MC, Dutta S, Natarajan A, Facchine BA, Jackson KM, Nystrom L, Li J, et al: The CXCL5/CXCR2 Axis is sufficient to promote breast cancer colonization during bone metastasis. Nat Commun. 10:44042019. View Article : Google Scholar : PubMed/NCBI

51 

Boissière-Michot F, Jacot W, Fraisse J, Gourgou S, Timaxian C and Lazennec G: Prognostic value of CXCR2 in breast cancer. Cancers (Basel). 12:20762020. View Article : Google Scholar : PubMed/NCBI

52 

Vazquez ED, Fang X, Levesque LA, Huynh M, Venegas C, Lu N and Salazar N: Chemokine receptors differentially expressed by race category and molecular subtype in the breast cancer TCGA Cohort. Sci Rep. 12:108252022. View Article : Google Scholar : PubMed/NCBI

53 

Olsen KS, Holden M, Thalabard JC, Rasmussen Busund LT, Lund E and Holden L: Global blood gene expression profiles following a breast cancer diagnosis-clinical follow-up in the NOWAC post-genome cohort. PLoS One. 16:e02466502021. View Article : Google Scholar : PubMed/NCBI

54 

Delgado AB, Tylden ES, Lukic M, Moi L, Busund LR, Lund E and Olsen KS: Cohort profile: The clinical and multi-omic (CAMO) cohort, part of the norwegian women and cancer (NOWAC) study. PLoS One. 18:e02812182023. View Article : Google Scholar : PubMed/NCBI

Related Articles

  • Abstract
  • View
  • Download
  • Twitter
Copy and paste a formatted citation
Spandidos Publications style
Stępień S, Smycz‑Kubańska M, Kruszniewska‑Rajs C, Gola JM, Kabut J, Olczyk P and Mielczarek‑Palacz A: Clinical significance of the CXCL8/CXCR1/R2 signalling axis in patients with invasive breast cancer. Oncol Lett 27: 260, 2024.
APA
Stępień, S., Smycz‑Kubańska, M., Kruszniewska‑Rajs, C., Gola, J.M., Kabut, J., Olczyk, P., & Mielczarek‑Palacz, A. (2024). Clinical significance of the CXCL8/CXCR1/R2 signalling axis in patients with invasive breast cancer. Oncology Letters, 27, 260. https://doi.org/10.3892/ol.2024.14393
MLA
Stępień, S., Smycz‑Kubańska, M., Kruszniewska‑Rajs, C., Gola, J. M., Kabut, J., Olczyk, P., Mielczarek‑Palacz, A."Clinical significance of the CXCL8/CXCR1/R2 signalling axis in patients with invasive breast cancer". Oncology Letters 27.6 (2024): 260.
Chicago
Stępień, S., Smycz‑Kubańska, M., Kruszniewska‑Rajs, C., Gola, J. M., Kabut, J., Olczyk, P., Mielczarek‑Palacz, A."Clinical significance of the CXCL8/CXCR1/R2 signalling axis in patients with invasive breast cancer". Oncology Letters 27, no. 6 (2024): 260. https://doi.org/10.3892/ol.2024.14393
Copy and paste a formatted citation
x
Spandidos Publications style
Stępień S, Smycz‑Kubańska M, Kruszniewska‑Rajs C, Gola JM, Kabut J, Olczyk P and Mielczarek‑Palacz A: Clinical significance of the CXCL8/CXCR1/R2 signalling axis in patients with invasive breast cancer. Oncol Lett 27: 260, 2024.
APA
Stępień, S., Smycz‑Kubańska, M., Kruszniewska‑Rajs, C., Gola, J.M., Kabut, J., Olczyk, P., & Mielczarek‑Palacz, A. (2024). Clinical significance of the CXCL8/CXCR1/R2 signalling axis in patients with invasive breast cancer. Oncology Letters, 27, 260. https://doi.org/10.3892/ol.2024.14393
MLA
Stępień, S., Smycz‑Kubańska, M., Kruszniewska‑Rajs, C., Gola, J. M., Kabut, J., Olczyk, P., Mielczarek‑Palacz, A."Clinical significance of the CXCL8/CXCR1/R2 signalling axis in patients with invasive breast cancer". Oncology Letters 27.6 (2024): 260.
Chicago
Stępień, S., Smycz‑Kubańska, M., Kruszniewska‑Rajs, C., Gola, J. M., Kabut, J., Olczyk, P., Mielczarek‑Palacz, A."Clinical significance of the CXCL8/CXCR1/R2 signalling axis in patients with invasive breast cancer". Oncology Letters 27, no. 6 (2024): 260. https://doi.org/10.3892/ol.2024.14393
Follow us
  • Twitter
  • LinkedIn
  • Facebook
About
  • Spandidos Publications
  • Careers
  • Cookie Policy
  • Privacy Policy
How can we help?
  • Help
  • Live Chat
  • Contact
  • Email to our Support Team