Spandidos Publications Logo
  • About
    • About Spandidos
    • Aims and Scopes
    • Abstracting and Indexing
    • Editorial Policies
    • Reprints and Permissions
    • Job Opportunities
    • Terms and Conditions
    • Contact
  • Journals
    • All Journals
    • Oncology Letters
      • Oncology Letters
      • Information for Authors
      • Editorial Policies
      • Editorial Board
      • Aims and Scope
      • Abstracting and Indexing
      • Bibliographic Information
      • Archive
    • International Journal of Oncology
      • International Journal of Oncology
      • Information for Authors
      • Editorial Policies
      • Editorial Board
      • Aims and Scope
      • Abstracting and Indexing
      • Bibliographic Information
      • Archive
    • Molecular and Clinical Oncology
      • Molecular and Clinical Oncology
      • Information for Authors
      • Editorial Policies
      • Editorial Board
      • Aims and Scope
      • Abstracting and Indexing
      • Bibliographic Information
      • Archive
    • Experimental and Therapeutic Medicine
      • Experimental and Therapeutic Medicine
      • Information for Authors
      • Editorial Policies
      • Editorial Board
      • Aims and Scope
      • Abstracting and Indexing
      • Bibliographic Information
      • Archive
    • International Journal of Molecular Medicine
      • International Journal of Molecular Medicine
      • Information for Authors
      • Editorial Policies
      • Editorial Board
      • Aims and Scope
      • Abstracting and Indexing
      • Bibliographic Information
      • Archive
    • Biomedical Reports
      • Biomedical Reports
      • Information for Authors
      • Editorial Policies
      • Editorial Board
      • Aims and Scope
      • Abstracting and Indexing
      • Bibliographic Information
      • Archive
    • Oncology Reports
      • Oncology Reports
      • Information for Authors
      • Editorial Policies
      • Editorial Board
      • Aims and Scope
      • Abstracting and Indexing
      • Bibliographic Information
      • Archive
    • Molecular Medicine Reports
      • Molecular Medicine Reports
      • Information for Authors
      • Editorial Policies
      • Editorial Board
      • Aims and Scope
      • Abstracting and Indexing
      • Bibliographic Information
      • Archive
    • World Academy of Sciences Journal
      • World Academy of Sciences Journal
      • Information for Authors
      • Editorial Policies
      • Editorial Board
      • Aims and Scope
      • Abstracting and Indexing
      • Bibliographic Information
      • Archive
    • International Journal of Functional Nutrition
      • International Journal of Functional Nutrition
      • Information for Authors
      • Editorial Policies
      • Editorial Board
      • Aims and Scope
      • Abstracting and Indexing
      • Bibliographic Information
      • Archive
    • International Journal of Epigenetics
      • International Journal of Epigenetics
      • Information for Authors
      • Editorial Policies
      • Editorial Board
      • Aims and Scope
      • Abstracting and Indexing
      • Bibliographic Information
      • Archive
    • Medicine International
      • Medicine International
      • Information for Authors
      • Editorial Policies
      • Editorial Board
      • Aims and Scope
      • Abstracting and Indexing
      • Bibliographic Information
      • Archive
  • Articles
  • Information
    • Information for Authors
    • Information for Reviewers
    • Information for Librarians
    • Information for Advertisers
    • Conferences
  • Language Editing
Spandidos Publications Logo
  • About
    • About Spandidos
    • Aims and Scopes
    • Abstracting and Indexing
    • Editorial Policies
    • Reprints and Permissions
    • Job Opportunities
    • Terms and Conditions
    • Contact
  • Journals
    • All Journals
    • Biomedical Reports
      • Information for Authors
      • Editorial Policies
      • Editorial Board
      • Aims and Scope
      • Abstracting and Indexing
      • Bibliographic Information
      • Archive
    • Experimental and Therapeutic Medicine
      • Information for Authors
      • Editorial Policies
      • Editorial Board
      • Aims and Scope
      • Abstracting and Indexing
      • Bibliographic Information
      • Archive
    • International Journal of Epigenetics
      • Information for Authors
      • Editorial Policies
      • Editorial Board
      • Aims and Scope
      • Abstracting and Indexing
      • Bibliographic Information
      • Archive
    • International Journal of Functional Nutrition
      • Information for Authors
      • Editorial Policies
      • Editorial Board
      • Aims and Scope
      • Abstracting and Indexing
      • Bibliographic Information
      • Archive
    • International Journal of Molecular Medicine
      • Information for Authors
      • Editorial Policies
      • Editorial Board
      • Aims and Scope
      • Abstracting and Indexing
      • Bibliographic Information
      • Archive
    • International Journal of Oncology
      • Information for Authors
      • Editorial Policies
      • Editorial Board
      • Aims and Scope
      • Abstracting and Indexing
      • Bibliographic Information
      • Archive
    • Medicine International
      • Information for Authors
      • Editorial Policies
      • Editorial Board
      • Aims and Scope
      • Abstracting and Indexing
      • Bibliographic Information
      • Archive
    • Molecular and Clinical Oncology
      • Information for Authors
      • Editorial Policies
      • Editorial Board
      • Aims and Scope
      • Abstracting and Indexing
      • Bibliographic Information
      • Archive
    • Molecular Medicine Reports
      • Information for Authors
      • Editorial Policies
      • Editorial Board
      • Aims and Scope
      • Abstracting and Indexing
      • Bibliographic Information
      • Archive
    • Oncology Letters
      • Information for Authors
      • Editorial Policies
      • Editorial Board
      • Aims and Scope
      • Abstracting and Indexing
      • Bibliographic Information
      • Archive
    • Oncology Reports
      • Information for Authors
      • Editorial Policies
      • Editorial Board
      • Aims and Scope
      • Abstracting and Indexing
      • Bibliographic Information
      • Archive
    • World Academy of Sciences Journal
      • Information for Authors
      • Editorial Policies
      • Editorial Board
      • Aims and Scope
      • Abstracting and Indexing
      • Bibliographic Information
      • Archive
  • Articles
  • Information
    • For Authors
    • For Reviewers
    • For Librarians
    • For Advertisers
    • Conferences
  • Language Editing
Login Register Submit
  • This site uses cookies
  • You can change your cookie settings at any time by following the instructions in our Cookie Policy. To find out more, you may read our Privacy Policy.

    I agree
Search articles by DOI, keyword, author or affiliation
Search
Advanced Search
presentation
Oncology Letters
Join Editorial Board Propose a Special Issue
Print ISSN: 1792-1074 Online ISSN: 1792-1082
Journal Cover
August-2024 Volume 28 Issue 2

Full Size Image

Sign up for eToc alerts
Recommend to Library

Journals

International Journal of Molecular Medicine

International Journal of Molecular Medicine

International Journal of Molecular Medicine is an international journal devoted to molecular mechanisms of human disease.

International Journal of Oncology

International Journal of Oncology

International Journal of Oncology is an international journal devoted to oncology research and cancer treatment.

Molecular Medicine Reports

Molecular Medicine Reports

Covers molecular medicine topics such as pharmacology, pathology, genetics, neuroscience, infectious diseases, molecular cardiology, and molecular surgery.

Oncology Reports

Oncology Reports

Oncology Reports is an international journal devoted to fundamental and applied research in Oncology.

Experimental and Therapeutic Medicine

Experimental and Therapeutic Medicine

Experimental and Therapeutic Medicine is an international journal devoted to laboratory and clinical medicine.

Oncology Letters

Oncology Letters

Oncology Letters is an international journal devoted to Experimental and Clinical Oncology.

Biomedical Reports

Biomedical Reports

Explores a wide range of biological and medical fields, including pharmacology, genetics, microbiology, neuroscience, and molecular cardiology.

Molecular and Clinical Oncology

Molecular and Clinical Oncology

International journal addressing all aspects of oncology research, from tumorigenesis and oncogenes to chemotherapy and metastasis.

World Academy of Sciences Journal

World Academy of Sciences Journal

Multidisciplinary open-access journal spanning biochemistry, genetics, neuroscience, environmental health, and synthetic biology.

International Journal of Functional Nutrition

International Journal of Functional Nutrition

Open-access journal combining biochemistry, pharmacology, immunology, and genetics to advance health through functional nutrition.

International Journal of Epigenetics

International Journal of Epigenetics

Publishes open-access research on using epigenetics to advance understanding and treatment of human disease.

Medicine International

Medicine International

An International Open Access Journal Devoted to General Medicine.

Journal Cover
August-2024 Volume 28 Issue 2

Full Size Image

Sign up for eToc alerts
Recommend to Library

  • Article
  • Citations
    • Cite This Article
    • Download Citation
    • Create Citation Alert
    • Remove Citation Alert
    • Cited By
  • Similar Articles
    • Related Articles (in Spandidos Publications)
    • Similar Articles (Google Scholar)
    • Similar Articles (PubMed)
  • Download PDF
  • Download XML
  • View XML
Article Open Access

Benefits of adjuvant treatment with the Pingxiao capsule in patients with early breast cancer: A single‑center retrospective cohort study

  • Authors:
    • Shuo Wang
    • Caiwei Zheng
    • Lei Zhao
    • Haiyang Jiang
    • Xinyu Zheng
  • View Affiliations / Copyright

    Affiliations: Department of Breast Surgery, The First Hospital of China Medical University, Shenyang, Liaoning 110001, P.R. China, Department of Surgery, University of Chicago, Chicago, IL 60637, USA, Science Experiment Center, China Medical University, Shenyang, Liaoning 110122, P.R. China
    Copyright: © Wang et al. This is an open access article distributed under the terms of Creative Commons Attribution License.
  • Article Number: 366
    |
    Published online on: June 12, 2024
       https://doi.org/10.3892/ol.2024.14499
  • Expand metrics +
Metrics: Total Views: 0 (Spandidos Publications: | PMC Statistics: )
Metrics: Total PDF Downloads: 0 (Spandidos Publications: | PMC Statistics: )
Cited By (CrossRef): 0 citations Loading Articles...

This article is mentioned in:



Abstract

Early breast cancer (EBC) is cancer that has not spread beyond the breast or the axillary lymph nodes. The present retrospective cohort study investigated the efficacy and safety of the Pingxiao capsule (PXC), which contains a formula of traditional Chinese herbs, as adjuvant therapy in patients with EBC in a single Chinese academic medical center. Patients with EBC who had received surgery and chemotherapy were analyzed and divided into the PXC and non‑PXC groups. Disease‑free survival (DFS) time, overall survival (OS) time, demographic characteristics and adverse events were examined. Kaplan‑Meier survival curves were used to compare the differences in DFS and OS. A total of 371 participants with a median age of 54 years were included in this study. The median DFS time of all patients was 101 months. The overall DFS rate was 72.1% in the PXC group compared with 63.6% in the non‑PXC group. For women with hormone receptor‑negative tumors, the DFS rate in the PXC group was significantly higher than that in the non‑PXC group, irrespective of node status. Adjuvant treatment with PXC for ≥3 months was associated with significantly longer median DFS time compared with that in the non‑PXC group. In addition, the incidence of neutropenia rated to be grade 2 or higher was significantly lower in the PXC group compared with that in the control group, and a markedly, but non‑significantly, lower prevalence of nausea was observed in PXC group (0 vs. 4.1%). In conclusion, PXC as an adjuvant therapy along with chemotherapy is associated with prolonged DFS times in patients with EBC when compared with chemotherapy alone. The therapeutic value of combined PXC and systemic chemotherapy should be further elucidated by rigorous prospective clinical trials.

Introduction

Breast cancer is the most commonly diagnosed cancer in women and the leading cause of cancer death, followed by lung and colorectal cancer (1). Decades of research have shown that breast cancer is a complex and heterogeneous disease. Clinical outcomes of breast cancer have substantially improved over the years with significant advances in treatment options. The latest developments in adjuvant therapies, particularly immunotherapy and antibody-drug conjugates, have demonstrated improved survival rates in patients with breast cancer. However, their therapeutic effects are known to be transient, and development of drug resistance in some patients limits its further use. Breast cancer remains a major contributor to mortality and morbidity (2). Therefore, it is necessary to continue efforts to identify novel adjuvant treatment strategies to optimize survival and quality of life for patients with breast cancer. Traditional Chinese herbs (TCHs) have demonstrated unique potential as they have shown efficacy in breast cancer treatment while boasting a significantly more favorable side effect profile compared with standard radiotherapy and chemotherapy. The mechanisms of action for TCHs is not yet fully elucidated but has been associated with the inhibition of cancer growth, the reduction of metastasis and invasion, the promotion of cancer cell apoptosis and the enhancement of the immune response (3). The Pingxiao capsule (PXC) contains a well-known TCH formula that has been widely used by Chinese patients as an alternative medicine adjunct in the treatment of cancer (4). The typical PXC formula consists of a mixture of Strychnos nux-vomica L., Curcuma wenyujin Y. H., Agrimonia pilosa Ledeb., Toxicodendron vernicifluum, Trogopterus dung, alumen, potassium nitrate (saltpeter) and Citrus aurantium L. (5). Of these ingredients, Curcuma wenyujin, which contains curcumin, has been identified to have anti-tumor and anti-inflammatory effects (3).

Early breast cancer (EBC) is cancer is found only in the breast or nearby lymph nodes and has not spread to other parts of the body. The present retrospective cohort study was conducted in patients with operable EBC who were treated at a university affiliated academic hospital in order to investigate the clinical efficacy of PXC as a novel adjuvant agent and its potential to alleviate the side effects of systemic chemotherapy.

Patients and methods

Data source

A chart review was retrospectively performed on 371 patients who underwent surgery for EBC in the Department of Breast Surgery of the First Hospital of China Medical University (CMU; Shenyang, China) between August 2011 and March 2016.

Patient selection

Inclusion criteria used were as follows: i) Patients with an established diagnosis of EBC, defined as histological diagnosis of operable stage I to stage III invasive ductal carcinoma with achievement of an R0 resection; ii) patients aged between 18 and 75 years; and iii) patients who underwent standard surgical treatment and adjuvant chemotherapy. All patients included in the study received at least one of the following: Chemotherapy, radiotherapy, endocrine therapy and/or anti-human epidermal growth factor receptor 2 (HER2) therapy, according to the NCCN guidelines (6,7). This included those with N0 cancer, who received chemotherapy due to high-risk factors such as an estrogen receptor (ER) expression level of <50% and/or a Ki67 level ≥30%. PXC used by the study population was manufactured by Xi'an Charoen Pokphand Pharmaceutical, Co., Ltd., (batch no. 1712140), which is the sole manufacturer and distributor of PXC. Patients were divided into the PXC group (patients who received PXC treatment) and the non-PXC group (patients who did not receive PXC) per chart review.

Treatment

The present study adjusted for confounders using the principle of restriction and matching. Subjects in the two cohorts (PXC vs. non-PXC) were matched in terms of age, tumor stage, axillary metastasis, hormonal receptor status, HER2 status and molecular subtypes to eliminate potential confounding factors. In addition, only those who had received PXC treatment within 1 year of diagnosis and had received standard dosing of PXC (4–8 capsules, three times a day for >1 month, for a maximum of 6 months; the dosage of each capsule is 230 milligrams) were included. Patients must also have completed any indicated standard treatment in addition to surgery (i.e. chemotherapy, radiotherapy, endocrine therapy accordingly) before PXC treatment, and those who did not comply with standard treatments were excluded from the study. Disease-free survival (DFS) was defined as the time from the date of surgery to either tumor recurrence or death due to any cause, and overall survival (OS) was defined as the interval between the date of surgery and the date of patient death or the last follow-up visit.

The study protocol was reviewed by the CMU Ethics Committee Institutional Review Board (approval no. 2020 NO.203). Approval was granted prior to the commencement of the study and the requirement for written consent was waived.

Adverse events (AEs) after chemotherapy

All subjects underwent chemotherapy. A total of 105 patients were treated with a docetaxel + anthracyclines + cyclophosphamide (TEC or EC-T) regimen, 12 patients were treated with an anthracyclines + cyclophosphamide (EC) regimen, 88 patients were treated with a docetaxel + cyclophosphamide (TC) regimen, 20 patients were treated with a docetaxel + platinum (DP) regimen, 121 patients were treated with an anthracyclines + cyclophosphamide + docetaxel + herceptin (EC-TH) regimen, 14 patients were treated with a 5-fluorouracil + anthracyclines + cyclophosphamide (CEF) regimen and 11 patients were treated with a CEF-T regimen. For all patients, treatments were initiated within 6 weeks of surgery according to NCCN. In addition, for patients with ER+ expression ≥10%, regardless of PR expression, endocrine therapy should be completed for 5 years. Data for AEs was obtained through chart review of routine documentation. All patients with breast cancer were routinely followed up in the Outpatient Clinic immediately before starting chemotherapy and all patients underwent routine laboratory tests. Patients were also followed up at an interval of 14 days after starting chemotherapy and then at the end of the first treatment cycle, 21 days after starting chemotherapy, during which they were admitted for observation. AEs were documented for every cycle of treatment by phone or during follow-up visits using the Common Terminology Criteria for Adverse Events version 4.0 (8). Treatment was either suspended or terminated for patients with AEs that were of grade 2 or higher during chemotherapy, and the period for which the agent was administered at the prescribed dose (not including the period when the dose was reduced) was recorded. Incidence of AEs, and the completion rate of the first cycle of chemotherapy at the prescribed dose were tabulated.

Statistical analysis

The primary objective of the present study was to assess the efficacy and survival benefit of PXC-based adjuvant therapy, and if this was significant, to identify prognostic factors for its use. Participant demographics and characteristic such as age, tumor stage, axillary metastasis status, hormonal receptor status, HER2 status and molecular subtypes were reviewed and tabulated. Descriptive statistics were reported as proportions and medians. Frequencies of tumor characteristics and response rates were compared using the χ2 test or Fisher's exact test. DFS and OS were demonstrated using the Kaplan-Meier survival curve. The log-rank test was used to compare two or more survival curves, and Cox's proportional hazards regression models were used to analyze the independent predictors for recurrence. Survival duration was calculated starting from the time of surgery. P≤0.05 was considered to indicate a statistically significant difference. All statistical analyses were performed with SPSS 12.0 for Windows (SPSS Inc.).

Results

Patient characteristics

A total of 371 patients (age range, 27–65 years; median age, 50) met the inclusion criteria and were included in this study. Patients were followed up from 22 to 137 months, with the median follow-up time being 101 months. During the follow-up period, 122 patients (32.9%) experienced recurrence and 73 patients (19.7%) died. There were 154 patients (41.5%) in the PXC treatment group and 217 (58.5%) in the non-PXC group. Of those in the PXC group, 62 (16.7% of total) patients received treatment for 1 month, and 92 (24.8% of total) patients received treatment for ≥3 months, with an overall range of treatment duration of 1–6 months.

Subjects in the two cohorts (PXC vs. non-PXC) were similar in terms of age (P=0.172), tumor stage (P=0.075), axillary metastasis (P=0.259), hormonal receptor status (P=0.206), HER2 status (P=0.520) and molecular subtype (P=0.509), as demonstrated in Table I. Most patients had tumor ER+ expression ≥10% (79% in PXC group, 73% in non-PXC group) and >70% of patients in each group had PR+ tumors. Of the patients in the PXC group with ER+ tumors, 100% patients received endocrine therapy when ER+ expression ≥10%, and of the patients in the non-PXC group with ER+ tumors, 96% received endocrine therapy. Most HER2+ patients (98.0% of patients in the PXC group and 96.1% of patients in the non-PXC group) received anti-HER2 therapy. All cases of TNBC received 6–8 cycles of chemotherapy with TEC, EC-T or DP regimens (data not shown).

Table I.

Demographics and baseline characteristics.

Table I.

Demographics and baseline characteristics.

ParametersPXC, n (%)Non-PXC, n (%) χ2/Fisher's exact test valueP-value
Sex
Female154 (100)217 (100)
Age, years (%)
  ≤5087 (56)107 (49)1.8640.172
  >5067 (44)110 (51)
Tumor stage 6.7950.075
  T135 (23)41 (19)
  T2103 (67)154 (71)
  T39 (6)20 (9)
  T47 (5)2 (1)
Axillary metastasis 3.9940.259
  N088 (57)119 (55)
  N140 (26)44 (20)
  N221 (14)43 (20)
  N35 (3)11 (5)
Hormonal receptor 1.6030.206
  Positive121 (79)158 (73)
  Negative33 (21)59 (27)
HER2 0.4140.520
  Positive49 (32)76 (35)
  Negative105 (68)141 (65)
Molecular subtype 2.3160.509
  Luminal A28 (18)36 (17)
  Luminal B93 (60)122 (56)
  HER2-positive13 (8)18 (8)
  Triple-negative20 (13)41 (19)
Efficacy analysis

At the conclusion of the study period, the overall DFS rate was 72.1% in the PXC group compared with 63.6% in the non-PXC group. However, Kaplan-Meier analysis showed no significant difference between the DFS rates of the PXC and non-PXC groups (P=0.098; Fig. 1A). In addition, OS was not significantly different between the PXC and non-PXC groups (P=0.557; Fig. 1B).

Figure 1.

Kaplan-Meier curve of DFS and OS in patients with early breast cancer (irrespective of nodal status) treated with or without PXC. (A) DFS and (B) OS curve for the PXC and non-PXC groups. DFS, disease-free survival; OS, overall survival; PXC, Pingxiao capsule.

Subgroup analyses were performed to assess the effects of the administration duration of PXC, with subjects divided into groups who have received 1–3 months of PXC therapy and those with ≥3 months of PXC therapy, both of which were compared with the non-PXC group (Fig. 2). The results showed that the DFS rates were significantly higher in the PXC group with at least 3 months of treatment compared with those in the non-PXC group (76.1 vs. 63.6%, respectively; P=0.043 Fig. 2A). However, such a difference was not observed for OS (P=0.258 Fig. 2B). There was no significant difference in DFS (P=0.703) or OS (P=0.707) between those who used PXC for 1–3 months and those who did not use PXC (Fig. 2C and D).

Figure 2.

Kaplan-Meier curve of DFS and OS in patients with early breast cancer (irrespective of nodal status) treated with or without PXC. DFS and OS curves for the PXC and non-PXC groups according to treatment duration (1-<3 vs. ≥3 months). (A) DFS and (B) OS curves for the PXC ≥3 months and non-PXC groups. (C) DFS and (D) OS curves for the PXC 1–3 months and non-PXC groups. DFS, disease-free survival; OS, overall survival; PXC, Pingxiao capsule.

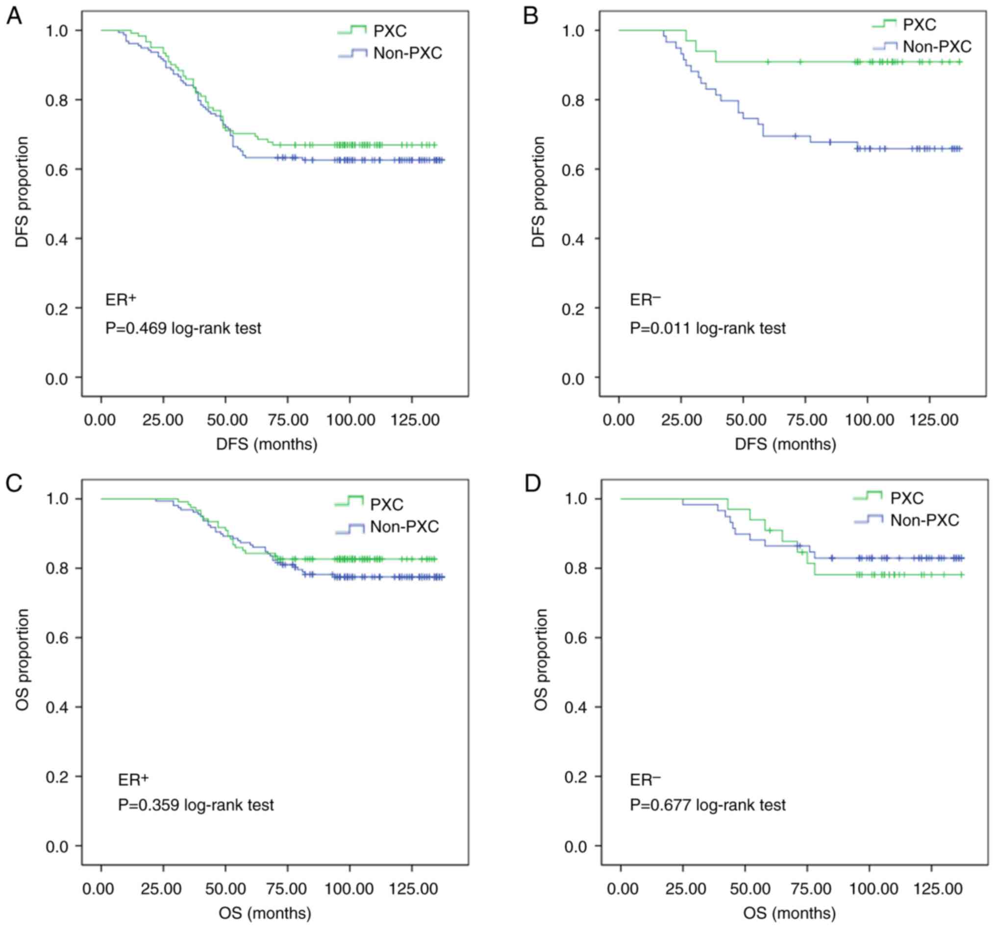
Subgroup analysis was conducted between those who took PXC for ≥3 months and those who did not. In patients with hormone ER-negative tumors, the DFS rate in the PXC group (90.9%) was significantly higher than that in the non-PXC group (66.1%; P=0.011, Fig. 3B) regardless of node status; but there was no significant difference in DFS with PXC use in those with ER+ tumors (P=0.469, Fig. 3A). As per HER2 status, there was no statistically significant difference in both DFS and OS between the PXC group and the non-PXC group (Fig. 4). In summary, DFS was significantly improved in patients with hormone receptor-negative tumors and in those with ≥3 months of treatment with PXC.

Figure 3.

Kaplan-Meier curve of DFS and OS in patients with early breast cancer (irrespective of nodal status) with different ER statuses who were treated with or without PXC. DFS curve for the (A) ER+ and (B) ER− PXC and non-PXC groups. OS curve for the (C) ER+ and (D) ER− PXC and Non-PXC groups. DFS, disease-free survival; OS, overall survival; PXC, Pingxiao capsule; ER, estrogen receptor.

Figure 4.

Kaplan-Meier curve of DFS and OS in patients with early breast cancer (irrespective of nodal status) with different HER2 statuses who were treated with or without PXC (≥3 months). DFS curves for the (A) HER2+ and (B) HER2− PXC and non-PXC groups. OS curves for the (C) HER2+ and (D) HER2− PXC and non-PXC groups. DFS, disease-free survival; OS, overall survival; PXC, Pingxiao capsule; HER2, human epidermal growth factor receptor 2.

Prognostic factor analysis

Univariate and multivariate analyses for the risk of recurrence are summarized in Table II. Among the six variables in both univariate and multivariate analyses, three variables were identified to have prognostic significance: Tumor stage (P<0.001 and P=0.001, respectively), axillary metastasis (P<0.001 and P<0.001, respectively), and HER2 status (P=0.009 and P=0.018, respectively), all of which were associated with a higher risk of recurrence. By contrast, PXC use was associated with significantly lower risk of recurrence upon univariate analysis (P=0.046).

Table II.

Analysis of potential risk factors for recurrence.

Table II.

Analysis of potential risk factors for recurrence.

Univariate analysisMultivariate analysis


FactorsHR (95% CI)P-valueHR (95% CI)P-value
Age1.197 (0.840–1.708)0.3201.081 (0.752–1.553)0.674
Tumor stage1.890 (1.458–2.449)<0.0011.644 (1.219–2.217)0.001
Axillary metastasis2.302 (1.929–2.746)<0.0012.155 (1.797–2.583)<0.001
Hormonal receptor1.159 (0.760–1.768)0.4920.976 (0.637–1.459)0.910
HER21.613 (1.127–2.310)0.0091.548 (1.078–2.224)0.018
PXC0.853 (0.731–0.997)0.0460.918 (0.785–1.073)0.284

[i] HR, hazard ratio; CI, confidence interval; PXC, Pingxiao capsule; HER2, human epidermal growth factor receptor 2.

The results of univariate and multivariate analysis for DFS are summarized in Table III. Among the six variables in the univariate analysis, tumor stage (P=0.002) and axillary metastasis (P<0.001) were identified to have prognostic significance. Multivariate analysis using Cox's proportional hazard model identified axillary metastasis (P<0.001) to be an independent prognostic factor for DFS.

Table III.

Analysis of possible risk factors for survival.

Table III.

Analysis of possible risk factors for survival.

Univariate analysisMultivariate analysis


FactorsHR (95% CI)P-valueHR (95% CI)P-value
Age1.197 (0.840–1.708)0.3201.049 (0.656–1.677)0.842
Tumor stage1.711 (1.225–2.389)0.0021.302 (0.870–1.950)0.200
Axillary metastasis3.180 (2.522–4.010)0.0003.045 (2.398–3.867)0.000
Hormonal receptor1.114 (0.647–1.916)0.6970.861 (0.495–1.497)0.596
HER21.541 (0.968–2.451)0.0681.365 (0.852–2.187)0.195
PXC0.898 (0.739–1.091)0.2780.918 (0.785–1.073)0.284

[i] HR, hazard ratio; CI, confidence interval; PXC, Pingxiao capsule; HER2, human epidermal growth factor receptor 2.

AEs in patients receiving chemotherapy

The following incidences of AEs (only those rated grade 2 or higher were included) were observed in the non-PXC group and the PXC group with ≥3 months of treatment: 6.0 and 3.3% for anemia (P=0.409); 41.5 and 23.9% for neutropenia (P=0.003), 4.1 and 0.0% for nausea (P=0.062); 6.0 and 8.7% for fatigue (P=0.388), 5.1 and 5.4% for oral mucositis (P>0.999); 3.7 and 1.1% for diarrhea (P=0.289); and 6.0 and 3.3% for anorexia (P=0.409), as detailed in Table IV. The incidences of neutropenia (P=0.003) of grade 2 or higher were significantly lower in the PXC group than those in the control group. Compared with that in the non-PXC group, the incidence of nausea (≥ grade 2) in the PXC group was markedly reduced (4.1 vs. 0%), although it did not reach statistical significance (P=0.062; Fisher's exact test). Notably, all patients had no obvious side effects caused by PXC. These results suggest that PXC treatment may play a role in preventing neutropenia and alleviating nausea in patients with EBC receiving chemotherapy.

Table IV.

Chemotherapy-related adverse events (PXC ≥3 months).

Table IV.

Chemotherapy-related adverse events (PXC ≥3 months).

PXC ≥3 monthsNon-PXC


Graded groupsn%n%P-value
Anemia 0.409
  0-18996.720494.0
  2-433.3136.0
Neutropenia 0.003
  0-17076.112758.5
  2-42223.99041.5
Nausea 0.062
  0-192100.020895.9
  20094.1
Fatigue 0.388
  0-18491.320494.0
  288.7136.0
Oral mucositis >0.999
  0-18794.620694.9
  2-355.4115.1
Diarrhea 0.289
  0-19198.920996.3
  2-311.183.7
Anorexia 0.409
  0-18996.720494.0
  2-333.3136.0

[i] PXC, Pingxiao capsule.

Discussion

Conventional and targeted therapies for breast cancer currently include a combination of cytotoxic chemotherapy drugs and pathway-selective small molecule inhibitors as adjuncts. However, these treatment options are typically associated with systemic toxicity, intrinsic or acquired therapeutic resistance, and the emergence of drug-resistant cancer stem cell populations. Traditional Chinese medicine is an alternative school of medicine that utilizes time-tested formulas of medicinal herbs, acupuncture and mind-body practices to promote holistic healing and its use dates back >3,000 years (9). In China, TCH use has been a part of conventional cancer treatment for >50 years (10). Yet, there remains a paucity of high-quality clinical trials on TCH regimens. This gap in knowledge can be attributable to the fact that TCH formulas are often complex, relying on a concoction of medicinal herbs that exert varying but synergistic effects. The benefit is its ability to deliver a multi-target, multi-media and multi-link system of therapeutics, although its active ingredients, toxicity and adverse reactions, are often difficult to elucidate. In recent years, several popular traditional Chinese medicine regimens have gained increasing recognition as safe adjuncts to cancer treatment, with little detectable systemic toxicity and adverse effects (11). Medicinal plants, such as Tripterygium wilfordii, have been reported to contain components that have the capability of directly initiating apoptosis, and T. wilfordii has been reported to induce apoptosis of cancer cells in hepatocellular carcinoma and lung cancer A549 cells (12). Similarly, PXC might be one popular formulation of TCH that also has components with antitumor effects documented in the literature (13).

The present study retrospectively analyzed patients with EBC to investigate the benefits of PXC as an adjunct to standard of care chemotherapy, endocrine therapy and anti-HER2 therapy. Among all the study subjects, the median DFS time was 101 months, and the completion of adjuvant PXC therapy for ≥3 months was associated with an increase in DFS rate of 12.5%. In addition, an increase in DFS rate of 24.8% was observed in ER-negative patients associated with PXC use. These findings are in support of the existing body of evidence that Chinese herbal regimens may play an active role in targeting multiple functional signaling pathways in hyper-proliferative breast cancer (14,15), and are associated with the inhibition of cancer growth, the reduction of metastasis and invasion, the promotion of cancer cell apoptosis and the enhancement of immunity (16). Notably, curcumin, one of the bioactive components in PXC, has been reported to inhibit the proliferation and migration of cervical cancer cells, and cause the apoptosis of metastatic cells without affecting the normal epithelial cells (17). Curcumin is also able to reverse TGF-induced epithelial-mesenchymal transformation (EMT) in hepatocellular carcinoma by down regulating the expression of Snail (3). Distinct EMT transition states present different functions, with the hybrid EMT state presenting the highest metastatic potential (18).

Neutropenia and nausea are commonly reported toxicities associated with chemotherapy (19,20). Chemotherapy-induced neutropenia and nausea/vomiting are often ranked by patients as one of the most distressing and feared consequences of chemotherapy (21,22). In addition to its antitumor effects, TCH also has the advantages of a more favorable side-effect profile and lower systemic toxicity. Use of traditional Chinese herbal formulas has been reported to reduce the side effects of radiotherapy and chemotherapy, such as insomnia, depression and fatigue, which significantly improves the quality of life of patients with cancer (3). The present results are consistent with these findings, showing that TCH capsule combined with chemotherapy significantly improving the survival time and alleviating adverse events with similar TCH formula use to PXC (23,24).

Limitations of the present study include a relatively small sample size and recruitment restricted to a single institution. Although, to the best of our knowledge, the present study is first and largest study to date to specifically evaluate the role of PXC as an adjunct therapy in patients with EBC, the patient sample did not reveal significant benefits of PXC use in terms of OS, which is possibly attributable to the limited duration of PXC treatment and an insufficient length of follow-up. Despite these factors, the study remains of high generalizability among the Asian population of Chinese descent, given that the population in China is highly homogenous in ethnicity, with >90% being Han Chinese. As with other retrospective cohort studies, the present study is also inevitably subject to potential selection bias.

Side effects from PXC use itself are rare, but a non-specific mild drug rash, dizziness and diarrhea have been reported in the literature (5). Given its favorable side-effect profile and low level of systemic toxicity, adjuvant therapy with a PXC course of 5–10 years (as in current standard endocrine therapy) should be considered for more robust evaluation of its therapeutic effects and survival benefits. Side-effect profile assessment with long-term use would also be beneficial. Therefore, large-scale prospective cohort studies or randomized clinical trials with a longer duration of treatment and follow-up (5 to 10 years) would be crucial to further delineate the efficacy of PXC as an adjunctive therapy for EBC along with its long-term side-effect profile.

In conclusion, to the best of our knowledge, the present retrospective cohort study is the first to demonstrate significant improvement in DFS in patients who used PXC as an adjunct to their standard breast cancer treatment. This benefit was most notable in patients with hormone receptor-negative early breast cancer and when duration of use for PXC was ≥3 months. A well-designed, largescale prospective study with longer term PXC treatment duration may be beneficial to further elucidate the therapeutic effect of PXC as a potent adjuvant agent.

Acknowledgements

Not applicable.

Funding

This study was supported by grants from the Natural Science Foundation of Liaoning Province (grant no. 20180551215), the Key Research and Development Plan Guidance Project of Liaoning Province (grant no. 2019JH8/10300020) and the Key Project of China Health Promotion Foundation (grant no. CHPF-RXO180301).

Availability of data and materials

The data generated in the present study may be requested from the corresponding author.

Authors' contributions

SW and XZ conceived and designed the experiments. SW, LZ, HJ and XZ analyzed data. CZ and XZ interpreted data and drafted the manuscript. All authors read and approved the final manuscript. SW, CZ, LZ, HJ, and XZ confirm the authenticity of all the raw data.

Ethics approval and consent to participate

The study protocol was reviewed by the China Medical University Ethics Committee Institutional Review Board (Shenyang, China; approval no. 2020 NO. 203). Approval was granted prior to commencement of the study and the requirement for written consent was waived.

Patient consent for publication

Not applicable.

Competing interests

The authors declare that they have no competing interests.

References

1 

Bray F, Laversanne M, Sung H, Ferlay J, Siegel RL, Soerjomataram I and Jemal A: Global cancer statistics 2022: GLOBOCAN estimates of incidence and mortality worldwide for 36 cancers in 185 countries. CA Cancer J Clin. 74:229–263. 2024. View Article : Google Scholar : PubMed/NCBI

2 

Sun X, Liu K, Lu S, He W and Du Z: Targeted therapy and immunotherapy for heterogeneous breast cancer. Cancers (Basel). 14:54562022. View Article : Google Scholar : PubMed/NCBI

3 

Liu W, Yang B, Yang L, Kaur J, Jessop C, Fadhil R, Good D, Ni G, Liu X, Mosaiab T, et al: Therapeutic effects of ten commonly used chinese herbs and their bioactive compounds on cancers. Evid Based Complement Alternat Med. 2019:60578372019. View Article : Google Scholar : PubMed/NCBI

4 

Wang D, Fu Z, Xing Y, Tan Y, Han L, Yu H and Wang T: Rapid identification of chemical composition and metabolites of Pingxiao capsule in vivo using molecular networking and untargeted data-dependent tandem mass spectrometry. Biomed Chromatogr. 34:e48822020. View Article : Google Scholar : PubMed/NCBI

5 

Yao Q, Zhai H, Huang H, Lin J and He W: A comparative study of the efficacy of tamoxifen and Chinese patented medicine (Pingxiao capsules) in gynecomastia: A retrospective cohort study. Andrologia. 54:e146402022. View Article : Google Scholar : PubMed/NCBI

6 

Gradishar W and Salerno KE: NCCN guidelines update: Breast cancer. J Natl Compr Canc Netw. 14 (5 Suppl):S641–S644. 2016. View Article : Google Scholar : PubMed/NCBI

7 

Theriault RL, Carlson RW, Allred C, Anderson BO, Burstein HJ, Edge SB, Farrar WB, Forero A, Giordano SH, Goldstein LJ, et al: Breast cancer, version 3.2013: Featured updates to the NCCN guidelines. J Natl Compr Canc Netw. 11:753–761. 2013. View Article : Google Scholar : PubMed/NCBI

8 

Chen AP, Setser A, Anadkat MJ, Cotliar J, Olsen EA, Garden BC and Lacouture ME: Grading dermatologic adverse events of cancer treatments: The common terminology criteria for adverse events version 4.0. J Am Acad Dermatol. 67:1025–1039. 2012. View Article : Google Scholar : PubMed/NCBI

9 

Zhou P: Traditional Chinese medicine. Comb Chem High Throughput Screen. 13:8362010. View Article : Google Scholar : PubMed/NCBI

10 

Liu J, Mao JJ, Wang XS and Lin H: Evaluation of traditional Chinese medicine herbs in oncology clinical trials. Cancer J. 25:367–371. 2019. View Article : Google Scholar : PubMed/NCBI

11 

Telang NT: Natural products as drug candidates for breast cancer (review). Oncol Lett. 26:3492023. View Article : Google Scholar : PubMed/NCBI

12 

Yang L, Hao J and Chen D: Role of oxidative stress in anti-cancer activity of Tripterygium wilfordii. Tradit Med Res. 6:502021. View Article : Google Scholar

13 

Barreto C and Jandus A: Role of natural products in combating cancer. Cancer Insight. 1:35–52. 2022.

14 

Arzi L, Mollaei H and Hoshyar R: Countering triple negative breast cancer via impeding Wnt/β-catenin signaling, a phytotherapeutic approach. Plants (Basel). 11:21912022.PubMed/NCBI

15 

Yang Z, Zhang Q, Yu L, Zhu J, Cao Y and Gao X: The signaling pathways and targets of traditional Chinese medicine and natural medicine in triple-negative breast cancer. J Ethnopharmacol. 264:1132492021. View Article : Google Scholar : PubMed/NCBI

16 

Zulfiker AH, Hashimi SM, Good DA, Grice ID and Wei MQ: Cane toad skin extract-induced upregulation and increased interaction of serotonin 2A and D2 receptors via Gq/11 signaling pathway in CLU213 cells. J Cell Biochem. 118:979–993. 2017. View Article : Google Scholar : PubMed/NCBI

17 

He G, Mu T, Yuan Y, Yang W, Zhang Y, Chen Q, Bian M, Pan Y, Xiang Q, Chen Z and Sun A: Effects of notch signaling pathway in cervical cancer by curcumin mediated photodynamic therapy and its possible mechanisms in vitro and in vivo. J Cancer. 10:4114–4122. 2019. View Article : Google Scholar : PubMed/NCBI

18 

Pastushenko I and Blanpain C: EMT transition states during tumor progression and metastasis. Trends Cell Biol. 29:212–226. 2019. View Article : Google Scholar : PubMed/NCBI

19 

Abe M, Iihara H and Aogi K: Fosnetupitant for the prevention of chemotherapy-induced nausea and vomiting: A short review and clinical perspective. Adv Ther. 40:1913–1925. 2023. View Article : Google Scholar : PubMed/NCBI

20 

Gascón P, Awada A, Karihtala P, Lorenzen S and Minichsdorfer C: Optimal use of granulocyte colony-stimulating factor prophylaxis to improve survival in cancer patients receiving treatment: An expert view. Wien Klin Wochenschr. Nov 27–2023.(Epub ahead of print). PubMed/NCBI

21 

Kuchuk I, Bouganim N, Beusterien K, Grinspan J, Vandermeer L, Gertler S, Dent SF, Song X, Segal R, Mazzarello S, et al: Preference weights for chemotherapy side effects from the perspective of women with breast cancer. Breast Cancer Res Treat. 142:101–107. 2013. View Article : Google Scholar : PubMed/NCBI

22 

Sun CC, Bodurka DC, Weaver CB, Rasu R, Wolf JK, Bevers MW, Smith JA, Wharton JT and Rubenstein EB: Rankings and symptom assessments of side effects from chemotherapy: Insights from experienced patients with ovarian cancer. Support Care Cancer. 13:219–227. 2005. View Article : Google Scholar : PubMed/NCBI

23 

Ge A, Yang K, Deng X, Zhao D, Ge J and Liu L: The efficacy and safety of Xihuang Pill/capsule in adjuvant treatment of breast cancer: A systematic review and meta-analysis of 26 randomized controlled trials. J Ethnopharmacol. 295:1153572022. View Article : Google Scholar : PubMed/NCBI

24 

Peng W, Xu Y, Feng F, Gu C, Wang Z, Han D, Zhou X and He H: Meta-analysis of therapy of cinobufacini capsule adjunct with first-line platinum-based chemotherapy for the treatment of advanced NSCLC. Evid Based Complement Alternat Med. 2021:55964152021. View Article : Google Scholar : PubMed/NCBI

Related Articles

  • Abstract
  • View
  • Download
  • Twitter
Copy and paste a formatted citation
Spandidos Publications style
Wang S, Zheng C, Zhao L, Jiang H and Zheng X: Benefits of adjuvant treatment with the Pingxiao capsule in patients with early breast cancer: A single‑center retrospective cohort study. Oncol Lett 28: 366, 2024.
APA
Wang, S., Zheng, C., Zhao, L., Jiang, H., & Zheng, X. (2024). Benefits of adjuvant treatment with the Pingxiao capsule in patients with early breast cancer: A single‑center retrospective cohort study. Oncology Letters, 28, 366. https://doi.org/10.3892/ol.2024.14499
MLA
Wang, S., Zheng, C., Zhao, L., Jiang, H., Zheng, X."Benefits of adjuvant treatment with the Pingxiao capsule in patients with early breast cancer: A single‑center retrospective cohort study". Oncology Letters 28.2 (2024): 366.
Chicago
Wang, S., Zheng, C., Zhao, L., Jiang, H., Zheng, X."Benefits of adjuvant treatment with the Pingxiao capsule in patients with early breast cancer: A single‑center retrospective cohort study". Oncology Letters 28, no. 2 (2024): 366. https://doi.org/10.3892/ol.2024.14499
Copy and paste a formatted citation
x
Spandidos Publications style
Wang S, Zheng C, Zhao L, Jiang H and Zheng X: Benefits of adjuvant treatment with the Pingxiao capsule in patients with early breast cancer: A single‑center retrospective cohort study. Oncol Lett 28: 366, 2024.
APA
Wang, S., Zheng, C., Zhao, L., Jiang, H., & Zheng, X. (2024). Benefits of adjuvant treatment with the Pingxiao capsule in patients with early breast cancer: A single‑center retrospective cohort study. Oncology Letters, 28, 366. https://doi.org/10.3892/ol.2024.14499
MLA
Wang, S., Zheng, C., Zhao, L., Jiang, H., Zheng, X."Benefits of adjuvant treatment with the Pingxiao capsule in patients with early breast cancer: A single‑center retrospective cohort study". Oncology Letters 28.2 (2024): 366.
Chicago
Wang, S., Zheng, C., Zhao, L., Jiang, H., Zheng, X."Benefits of adjuvant treatment with the Pingxiao capsule in patients with early breast cancer: A single‑center retrospective cohort study". Oncology Letters 28, no. 2 (2024): 366. https://doi.org/10.3892/ol.2024.14499
Follow us
  • Twitter
  • LinkedIn
  • Facebook
About
  • Spandidos Publications
  • Careers
  • Cookie Policy
  • Privacy Policy
How can we help?
  • Help
  • Live Chat
  • Contact
  • Email to our Support Team