Spandidos Publications Logo
  • About
    • About Spandidos
    • Aims and Scopes
    • Abstracting and Indexing
    • Editorial Policies
    • Reprints and Permissions
    • Job Opportunities
    • Terms and Conditions
    • Contact
  • Journals
    • All Journals
    • Oncology Letters
      • Oncology Letters
      • Information for Authors
      • Editorial Policies
      • Editorial Board
      • Aims and Scope
      • Abstracting and Indexing
      • Bibliographic Information
      • Archive
    • International Journal of Oncology
      • International Journal of Oncology
      • Information for Authors
      • Editorial Policies
      • Editorial Board
      • Aims and Scope
      • Abstracting and Indexing
      • Bibliographic Information
      • Archive
    • Molecular and Clinical Oncology
      • Molecular and Clinical Oncology
      • Information for Authors
      • Editorial Policies
      • Editorial Board
      • Aims and Scope
      • Abstracting and Indexing
      • Bibliographic Information
      • Archive
    • Experimental and Therapeutic Medicine
      • Experimental and Therapeutic Medicine
      • Information for Authors
      • Editorial Policies
      • Editorial Board
      • Aims and Scope
      • Abstracting and Indexing
      • Bibliographic Information
      • Archive
    • International Journal of Molecular Medicine
      • International Journal of Molecular Medicine
      • Information for Authors
      • Editorial Policies
      • Editorial Board
      • Aims and Scope
      • Abstracting and Indexing
      • Bibliographic Information
      • Archive
    • Biomedical Reports
      • Biomedical Reports
      • Information for Authors
      • Editorial Policies
      • Editorial Board
      • Aims and Scope
      • Abstracting and Indexing
      • Bibliographic Information
      • Archive
    • Oncology Reports
      • Oncology Reports
      • Information for Authors
      • Editorial Policies
      • Editorial Board
      • Aims and Scope
      • Abstracting and Indexing
      • Bibliographic Information
      • Archive
    • Molecular Medicine Reports
      • Molecular Medicine Reports
      • Information for Authors
      • Editorial Policies
      • Editorial Board
      • Aims and Scope
      • Abstracting and Indexing
      • Bibliographic Information
      • Archive
    • World Academy of Sciences Journal
      • World Academy of Sciences Journal
      • Information for Authors
      • Editorial Policies
      • Editorial Board
      • Aims and Scope
      • Abstracting and Indexing
      • Bibliographic Information
      • Archive
    • International Journal of Functional Nutrition
      • International Journal of Functional Nutrition
      • Information for Authors
      • Editorial Policies
      • Editorial Board
      • Aims and Scope
      • Abstracting and Indexing
      • Bibliographic Information
      • Archive
    • International Journal of Epigenetics
      • International Journal of Epigenetics
      • Information for Authors
      • Editorial Policies
      • Editorial Board
      • Aims and Scope
      • Abstracting and Indexing
      • Bibliographic Information
      • Archive
    • Medicine International
      • Medicine International
      • Information for Authors
      • Editorial Policies
      • Editorial Board
      • Aims and Scope
      • Abstracting and Indexing
      • Bibliographic Information
      • Archive
  • Articles
  • Information
    • Information for Authors
    • Information for Reviewers
    • Information for Librarians
    • Information for Advertisers
    • Conferences
  • Language Editing
Spandidos Publications Logo
  • About
    • About Spandidos
    • Aims and Scopes
    • Abstracting and Indexing
    • Editorial Policies
    • Reprints and Permissions
    • Job Opportunities
    • Terms and Conditions
    • Contact
  • Journals
    • All Journals
    • Biomedical Reports
      • Information for Authors
      • Editorial Policies
      • Editorial Board
      • Aims and Scope
      • Abstracting and Indexing
      • Bibliographic Information
      • Archive
    • Experimental and Therapeutic Medicine
      • Information for Authors
      • Editorial Policies
      • Editorial Board
      • Aims and Scope
      • Abstracting and Indexing
      • Bibliographic Information
      • Archive
    • International Journal of Epigenetics
      • Information for Authors
      • Editorial Policies
      • Editorial Board
      • Aims and Scope
      • Abstracting and Indexing
      • Bibliographic Information
      • Archive
    • International Journal of Functional Nutrition
      • Information for Authors
      • Editorial Policies
      • Editorial Board
      • Aims and Scope
      • Abstracting and Indexing
      • Bibliographic Information
      • Archive
    • International Journal of Molecular Medicine
      • Information for Authors
      • Editorial Policies
      • Editorial Board
      • Aims and Scope
      • Abstracting and Indexing
      • Bibliographic Information
      • Archive
    • International Journal of Oncology
      • Information for Authors
      • Editorial Policies
      • Editorial Board
      • Aims and Scope
      • Abstracting and Indexing
      • Bibliographic Information
      • Archive
    • Medicine International
      • Information for Authors
      • Editorial Policies
      • Editorial Board
      • Aims and Scope
      • Abstracting and Indexing
      • Bibliographic Information
      • Archive
    • Molecular and Clinical Oncology
      • Information for Authors
      • Editorial Policies
      • Editorial Board
      • Aims and Scope
      • Abstracting and Indexing
      • Bibliographic Information
      • Archive
    • Molecular Medicine Reports
      • Information for Authors
      • Editorial Policies
      • Editorial Board
      • Aims and Scope
      • Abstracting and Indexing
      • Bibliographic Information
      • Archive
    • Oncology Letters
      • Information for Authors
      • Editorial Policies
      • Editorial Board
      • Aims and Scope
      • Abstracting and Indexing
      • Bibliographic Information
      • Archive
    • Oncology Reports
      • Information for Authors
      • Editorial Policies
      • Editorial Board
      • Aims and Scope
      • Abstracting and Indexing
      • Bibliographic Information
      • Archive
    • World Academy of Sciences Journal
      • Information for Authors
      • Editorial Policies
      • Editorial Board
      • Aims and Scope
      • Abstracting and Indexing
      • Bibliographic Information
      • Archive
  • Articles
  • Information
    • For Authors
    • For Reviewers
    • For Librarians
    • For Advertisers
    • Conferences
  • Language Editing
Login Register Submit
  • This site uses cookies
  • You can change your cookie settings at any time by following the instructions in our Cookie Policy. To find out more, you may read our Privacy Policy.

    I agree
Search articles by DOI, keyword, author or affiliation
Search
Advanced Search
presentation
Oncology Letters
Join Editorial Board Propose a Special Issue
Print ISSN: 1792-1074 Online ISSN: 1792-1082
Journal Cover
July-August 2010 Volume 1 Issue 4

Full Size Image

Sign up for eToc alerts
Recommend to Library

Journals

International Journal of Molecular Medicine

International Journal of Molecular Medicine

International Journal of Molecular Medicine is an international journal devoted to molecular mechanisms of human disease.

International Journal of Oncology

International Journal of Oncology

International Journal of Oncology is an international journal devoted to oncology research and cancer treatment.

Molecular Medicine Reports

Molecular Medicine Reports

Covers molecular medicine topics such as pharmacology, pathology, genetics, neuroscience, infectious diseases, molecular cardiology, and molecular surgery.

Oncology Reports

Oncology Reports

Oncology Reports is an international journal devoted to fundamental and applied research in Oncology.

Experimental and Therapeutic Medicine

Experimental and Therapeutic Medicine

Experimental and Therapeutic Medicine is an international journal devoted to laboratory and clinical medicine.

Oncology Letters

Oncology Letters

Oncology Letters is an international journal devoted to Experimental and Clinical Oncology.

Biomedical Reports

Biomedical Reports

Explores a wide range of biological and medical fields, including pharmacology, genetics, microbiology, neuroscience, and molecular cardiology.

Molecular and Clinical Oncology

Molecular and Clinical Oncology

International journal addressing all aspects of oncology research, from tumorigenesis and oncogenes to chemotherapy and metastasis.

World Academy of Sciences Journal

World Academy of Sciences Journal

Multidisciplinary open-access journal spanning biochemistry, genetics, neuroscience, environmental health, and synthetic biology.

International Journal of Functional Nutrition

International Journal of Functional Nutrition

Open-access journal combining biochemistry, pharmacology, immunology, and genetics to advance health through functional nutrition.

International Journal of Epigenetics

International Journal of Epigenetics

Publishes open-access research on using epigenetics to advance understanding and treatment of human disease.

Medicine International

Medicine International

An International Open Access Journal Devoted to General Medicine.

Journal Cover
July-August 2010 Volume 1 Issue 4

Full Size Image

Sign up for eToc alerts
Recommend to Library

  • Article
  • Citations
    • Cite This Article
    • Download Citation
    • Create Citation Alert
    • Remove Citation Alert
    • Cited By
  • Similar Articles
    • Related Articles (in Spandidos Publications)
    • Similar Articles (Google Scholar)
    • Similar Articles (PubMed)
  • Download PDF
  • Download XML
  • View XML
Article

In vitro anticancer activity of Anemopsis californica

  • Authors:
    • Catherine N. Kaminski
    • Seth L. Ferrey
    • Timothy Lowrey
    • Leo Guerra
    • Severine van Slambrouck
    • Wim F.A. Steelant
  • View Affiliations / Copyright

    Affiliations: Laboratory of Biochemical and Biomedical Research, Department of Chemistry, New Mexico Tech, Socorro, NM 87801, USA
  • Pages: 711-715
    |
    Published online on: July 1, 2010
       https://doi.org/10.3892/ol_00000124
  • Expand metrics +
Metrics: Total Views: 0 (Spandidos Publications: | PMC Statistics: )
Metrics: Total PDF Downloads: 0 (Spandidos Publications: | PMC Statistics: )
Cited By (CrossRef): 0 citations Loading Articles...

This article is mentioned in:



Abstract

Three different extract conditions (aqueous, EtOH and EtOAc) of four different parts (bracts, leaves, roots and stems) of the plant Anemopsis californica (A. californica) were evaluated for their effect on the growth and migration of human colon cancer cells, HCT-8, and the breast cancer cell lines Hs 578T and MCF-7/AZ. Our aim was to identify potential anticancer activity in crude A. californica extracts, given that this plant is used by Native Americans to treat a variety of diseases, including cancer. Our results demonstrated that for each of the cell lines tested, the majority of ethyl acetate extracts of all the plant parts are more toxic than the aqueous and ethanol extracts. Furthermore, significant growth inhibitory activity against the three cell lines was found for the ethyl acetate extract of the roots, while the aqueous extract of the roots influenced the migratory capacity of the three cell lines. This study provides evidence for the anticancer properties of A. californica when extracted in water and ethyl acetate, and supports the importance for further purification of the crude extracts and isolation of potential new anticancer compounds through bio-guided fractionation.

Introduction

Nature is an important source of medicinal products. Subsequently, numerous useful drugs have been developed from natural sources. In particular, plants provide valuable anticancer agents with novel structures and unique mechanisms of action (1). Evidence of such successes in natural product drug discovery include the isolation of vinca-alkaloids, vinblastine and vincristine from the Madagascar periwinkle Catharanthus roseus, as well as paclitaxel from the bark of the Pacific Yew Taxus brevifolia (2). Various parts of the latter and other Taxus species are used by Native Americans for a variety of disease indications, including cancer (3). Similarly, Anemopsis californica (A. californica), a perennial plant from the Saururaceae family, native to Arizona, Southern California, Sonora and Mexico, is commonly used among Native Americans and occasionally utilized to treat illnesses with cancer-like symptoms. This knowledge was obtained from their ancestors (personal communication with a Native American medicine man whose descendants are Yaqui and Cherokee).

Nevertheless, studies on the potential anticancer activity of A. californica are rare, ambiguous (4) and largely performed with essential oils, but provide some preliminary data supporting its anticancer properties (5). Thus, this study evaluated the effects of extracts obtained from different plant parts (bracts, leaves, roots and stems) on the growth and migration of human cancer cell lines, including HCT-8 colon, mammary estrogen-independent Hs 578T and estrogen-dependent MCF-7/AZ cells. For each plant part, three extract conditions were used, including water, EtOH and EtOAc, in order to correlate to traditionally used methods and compounds with different polarities as a starting point for future bio-guided fractionation.

Materials and methods

Plant materials and preparation of extracts

Whole plants of Anemopsis californica (Saururaceae) were collected in Valencia County, located two miles south of Los Lunas, New Mexico in August 2008. The plants were identified by Dr Tim Lowrey, UNM Herbarium, Museum of Southwestern Biology, University of New Mexico, Albuquerque, NM, USA. A voucher specimen (No. 2185) was deposited at the UNM Herbarium collections for further reference and is available via the NMBCC online database (http://www.nmbiodiversity.org). The whole plants were rinsed to remove dust and/or soil and dried in a plant drier at 38°C. The different parts were separated and cut into smaller samples. Dried plant parts (50 g) were macerated in 500 ml solvent (water, EtOH and EtOAc) for 24 h under constant shaking at 4°C. The mixtures were filtered to remove particulate matter, lyophilized and the resulting powders were stored in a desiccator at 4°C. Table I shows the yields obtained from the different parts and their particular solvents.

Table I

Plant parts and extract conditions of A. californica and their cytotoxicity against three human cancer cell lines in vitro.

Table I

Plant parts and extract conditions of A. californica and their cytotoxicity against three human cancer cell lines in vitro.

Plant partSolventYield of extraction (%)IC50 (μg/ml)IC20 (μg/ml)


HCT-8Hs 578TMCF-7/AZHCT-8Hs 578TMCF-7/AZ
BractsH2O18.08>200>200>20040>200100
EtOH9.53>200>200>20060>200>200
EtOAc1.15200150150101030
Leaves H2O14.58180>200>20030>200>200
EtOH4.07>200>200>20040>200180
EtOAc1.53180>2002005012040
RootsH2O8.83>200>200>200120>20040
EtOH5.85>2001801201803020
EtOAc0.31120120100807020
StemsH2O10.53>200>200>200>200>200>200
EtOH1.59>200>200>200>200>200>200
EtOAc0.38100100100101010

[i] Results represent means from three independent experiments, each performed in eight duplicates, determined by the MTT assay.

Cell culture

The HCT-8 (ATCC no. CCL-244) and Hs 578T (ATCC no. HTB-126) cell lines were obtained from the American Type Culture Collection (ATCC). MCF-7/AZ is a variant of the human mammary carcinoma cell family MCF-7 (6). The cells were maintained at 37°C in the appropriate media supplemented with 100 IU/ml penicillin, 100 μg/ml streptomycin and 10% fetal bovine serum (FBS) (Invitrogen, CA, USA), in a humidified atmosphere containing 5 or 10% CO2.

In vitro cytotoxicity assay

The effect of the extracts on cell viability was tested in accordance with Romijn et al (7). Briefly, mitochondrial dehydrogenase activities were measured by an MTT reagent (Sigma, MO, USA). Cells were seeded in 96-well plates at an initial density of 1.5×104 cells in 200 μl of the appropriate culture medium. After a 24-h incubation, cells were treated with 10 concentrations (20, 40, 60, 80, 100, 120, 140, 160, 180 and 200 μg/ml) of the different crude extracts in culture medium. After a 24- and 72-h incubation, 100 μl medium was removed prior to the addition of MTT. To determine the mean optical density (OD) referring to cell viability in the three independent experiments, eight wells were used for each condition and concentration. IC50 and IC20 values were determined from the graphs and are expressed as a percentage compared to solvent-treated controls.

In vitro cell growth assay
Sulforhodamine B assay (SRB)

Cells were seeded in 96-well plates at an initial density of 1.5×104 cells in 200 μl of the appropriate culture medium. After a 24-h incubation, cells were treated with increasing concentrations (20, 40, 60, 80, 100, 120, 140, 160, 180 and 200 μg/ml) of each crude extract. Concentrations were adjusted to the results obtained after the MTT assays, and lower concentrations and smaller increments (1, 5, 10, 15, 20, 25, 30, 40, 45, 50 or 10, 20, 30, 40, 50, 60, 70, 80, 90, 100 μg/ml) were used for most of the toxic extracts. Following a 72-h incubation, the amount of cell protein in each well was estimated with the Sulforhodamine B assay (Sigma) as described previously (8). In three independent experiments, eight wells were used for each condition and concentration, to determine the mean OD referring to cell growth. The percentage of growth inhibition at the IC20 values was determined from the graphs and compared to solvent-treated controls.

Cell counting assay

Cells were seeded in 25-cm2 culture flasks at a density of 1.5×105 cells in 5 ml of the appropriate culture medium. The cells were grown in the presence or absence of the crude extracts in concentrations, determined in the 72-h MTT assays, harvested using trypsin/EDTA and counted with a hemacytometer (Hausser Scientific, Horsham, PA, USA). At least three independent experiments were performed to determine the mean value, which is presented as a percentage as compared to the solvent-treated controls.

In vitro wound-healing assay

Cells were grown in 6-well plates until confluency in the appropriate medium and then washed twice with PBS. After wounding the cells, 3 ml of medium in the presence or absence of the crude extracts, at a concentration previously determined in the 24-h MTT assays, was added. After 24 h, the distances over which the cells migrated were measured and expressed as migratory velocity (μm/h). At least three independent experiments were performed (9).

Statistics

Treatments were matched and performed at least three times. Data were analyzed as means ± SD, using Student’s t-test (95%).

Results

Extracts of Anemopsis californica and cell viability

The MTT test was used to determine the cytotoxicity of each extract on the cell lines studied. The IC50 values, as compared to solvent-treated control conditions, are shown in Table I (left panel). Additionally, concentrations at which 80% of the cells remain viable (IC20) were determined, after 24 h (Table I, right panel) and 72 h (data not shown), and used in subsequent experiments to eliminate confounding effects due to cytotoxicity. The EtOAc extracts of the plant parts (bracts, leaves, roots and stems) appear to be more toxic than the aqueous and EtOH extracts in the cell lines tested. Additionally, the aqueous and ethanol extracts of the stems at concentrations up to 200 μg/ml did not affect the cell viability of these cell lines. On the other hand, the EtOH and aqueous extracts of the bracts, leaves and roots exerted variable effects.

EtOH and EtOAc extracts reduce cell growth

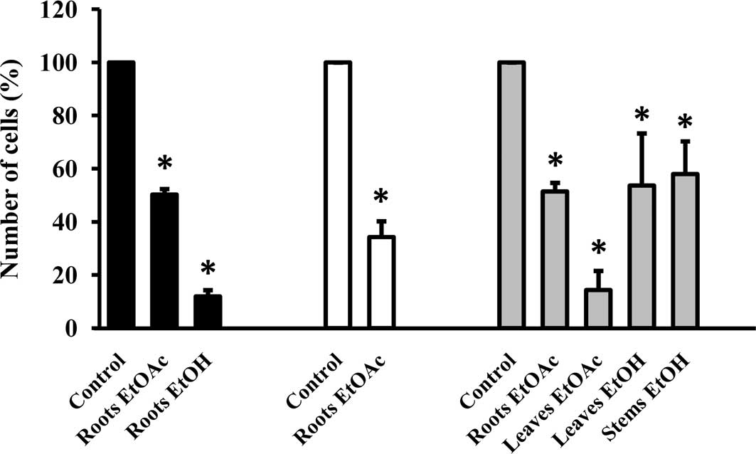
Subsequently, the extracts were evaluated for growth inhibitory activity against the cell lines studied. The EtOAc extracts of the roots markedly inhibited the growth of the cell lines by ≥50%, as determined by SRB and confirmed by cell count after 72 h (Fig. 1, Table II, numbers in bold). EtOAc and EtOH extracts of the leaves and the EtOH extract of the stems showed growth inhibitory activity on MCF-7/AZ cells, while the growth of HCT-8 colon cancer cells was significantly influenced by the EtOH extract of the roots. The majority of extracts did not affect the growth of the Hs 578T breast cancer cells and no activity was found for each of the aqueous extracts (Table II).

Figure 1

Growth inhibitory effect of selected crude extracts of A. californica against colon HCT-8 (black bars), Hs 578T (white bars) and MCF-7/AZ breast (grey bars) cancer cells, treated with the respective IC20 concentrations for 72 h. The number of cells was determined by counting and expressed as a percentage of solvent-treated control cells. *Statistical difference from solvent-treated control cells (p<0.05).

Table II

Growth inhibitory effect of crude extracts of A. californica against three human cancer cell lines in vitro.

Table II

Growth inhibitory effect of crude extracts of A. californica against three human cancer cell lines in vitro.

Plant partSolventGrowth (%)

HCT-8Hs 578TMCF-7/AZ
BractsH2O95±3100±4107±5
EtOH105±785±680±6
EtOAc100±271±586±4
LeavesH2O102±394±4103±3
EtOH102±278±1063±2
EtOAc92±578±844±1
RootsH2O96±4100±8105±2
EtOH14±585±291±6
EtOAc46±427±247±2
StemsH2O110±189±10102±4
EtOH71±9104±557±3
EtOAc85±474±490±4

[i] Percentage of cell growth after 72-h treatment with indicated extracts relative to solvent-treated controls ± SD from three independent experiments, each performed in eight duplicates, determined by SRB assay.

Aqueous extract of the roots inhibits migration

Since the migration of cancer cells is affected by their growth, we used the extracts that did not significantly influence cell growth and tested them on the migratory capacity of the cell lines. As shown in Fig. 2 (upper panel), the majority of the extracts did not influence the migratory capacity of the colon cancer cell line, except for the aqueous extract of the roots. An even more pronounced effect (by >80%) was observed in the MCF-7/AZ and Hs 578T cell lines (Fig. 2, lower panel). Furthermore, several extracts were able to inhibit the migration of MCF-7/AZ and Hs 578T breast cancer cells.

Figure 2

Effect of selected crude extracts of A. californica on cell migration. The top panel shows colon HCT-8 (black bars), Hs 578T (white bars) and MCF-7/AZ breast (grey bars) cancer cells, treated with the respective IC20 concentrations. After 24 h, the distances of cell migration were measured and results are expressed as migratory velocity (μm/h). *Statistical difference from solvent-treated control cells (p<0.05). (A-D): Wounded Hs 578T cells (0 h) (A and B), and treated (24 h) (D) or not (C) with water extract of roots are shown. Scale bar, 30 μm.

Discussion

Results of the present study showed that crude extracts of the plant A. californica, obtained through methods that correlate with its traditional use by Native Americans, contain potent anticancer agents. While most of the activity was found for extracts of the roots, results of other plant parts and their particular extraction method could be ignored. For example, the EtOAc and EtOH extracts of the leaves and the EtOH extract of the stems inhibited the growth of MCF-7/AZ but not Hs 578T breast cancer cells. This difference suggests that these crude extracts contain compounds that have an impact on the estrogen-dependency of MCF-7/AZ cells. No growth inhibitory activity was found for the aqueous extracts, indicating that potential compounds for this activity are of a less polar nature. In a preliminary study conducted on A. californica roots, cytotoxicity values were within the same range. However, a discrepancy in the growth effect was noted (6). This can be explained by the fact that the roots of A. californica were previously obtained from a local herb store and little was known on how they were harvested and processed; thus, there was no guarantee that the specimens were unadulterated. This emphasizes the importance that WHO guidelines should be followed at all times ensuring proper harvest and quality assurance of medicinal plants (10).

Migratory and invasive capacities are important characteristics that distinguish benign from malignant lesions. It is now increasingly accepted that the migration and invasion process offers a rich source of novel targets for therapy and that inhibitors control tumor metastasis (11). Therefore, we determined the influence of the extracts that did not affect cell growth on the migratory capacity of the cell lines. We observed that a number of extracts reduced the migratory capacity to a certain extent, mainly in MCF-7/AZ and Hs 578T cells. Of particular interest is the aqueous extract of the roots, which is able to inhibit migration of all three cell lines and for MCF-7/AZ and Hs 578T by more than 80%. This effect occurred at non-toxic concentrations, but did not affect cell growth. The latter result suggests that the more polar compounds are predominantly responsible for the reduced migratory velocity. Only limited information on the composition of the compound is available in the literature, mainly on essential oils of leaves and roots. Herein, methyleugenol and elemicin were identified as major constituents, next to thymol and piperitone (12–15). A recent study relates these compounds to the growth inhibition of AN3CA and HeLa cells (5). However, no reports are currently available to support the anti-migratory effect. This suggests that other constituents are present in A. californica, which explains the activity of the crude aqueous root extract. A literature search of medicinal plant extracts affecting the migration and invasion of cancer cells revealed that flavonoids, alkaloids and phenylpropanoids are possible candidate compound classes (16,17). In this regard, the flavonoid evodiamine, one of the main constituents of Evodiae Fructus, was found to inhibit tumor cell migration with low cytotoxicity and an insignificant effect on cell growth (17). Further purification of the crude extracts and isolation of the active constituents is necessary to correlate our findings to these classes of molecules.

In conclusion, our investigation showed that aqueous and EtOAc extracts of A. californica roots possess pronounced anticancer activity against multiple human cancer cell lines, an effect that could be observed independently of the presence of the estrogen receptor. These extracts are currently under consideration in our laboratory for bio-guided fractionation. Additionally, the extracts of the leaves and stems, showing specificity against the hormone-dependent MCF-7/AZ cells, warrant further evaluation against known compounds affecting estrogen receptor responsiveness.

Acknowledgements

This work was supported by the US National Institutes of Health (1R15 AT002888-01A2), the NSF (0755469) CHE-MPS/CHE-Undergraduate Programs in Chemistry, and the New Mexico Tech startup funds. The authors are grateful to Margaret Garcia for the plant identification.

Abbreviations:

MTT

3-(4,5-dimethylthiazol-2-yl)-2,5-diphenyl-tetrazoliumbromide

SRB

Sulforhodamine B

EDTA

ethylene diamine tetraacetic acid

References

1 

Cragg GM, Grothaus PG and Newman DJ: Impact of natural products on developing new anti-cancer agents. Chem Rev. 109:3012–3043. 2009. View Article : Google Scholar : PubMed/NCBI

2 

Cragg GM and Newman DJ: Plants as a source of anti-cancer agents. J Ethnopharmacol. 100:72–77. 2005.PubMed/NCBI

3 

Moerman DE: Native American Ethnobotany. 5th edition. Timber Press; pp. 11–13. 1998

4 

Childs RF and Cole JR: Phytochemical and pharmacological investigation of Anemopsis californica. J Pharm Sciences. 54:789–791. 1965. View Article : Google Scholar

5 

Medina-Holguin AL, Holguin FO, Micheletto S, Goehle S, Simon JA and O’Connel MA: Chemotypic variation of essential oils in the medicinal plant, Anemopsis californica. Phytochemistry. 69:919–927. 2008. View Article : Google Scholar : PubMed/NCBI

6 

Daniels AL, van Slambrouck S, Lee RK, Arguello TS, Browning J, Pullin MJ, Kornienko A and Steelant WF: Effects of extracts from two Native American plants on proliferation of human breast and colon cancer cell lines in vitro. Oncol Rep. 15:1327–1331. 2006.PubMed/NCBI

7 

Romijn JC, Verkoelen CF and Schroeder FH: Application of the MTT-assay to human prostate cancer cell lines in vitro: establishment of test conditions and assessment of hormone-stimulated growth and drug-induced cytostatic and cytotoxic effects. Prostate. 12:99–110. 1988. View Article : Google Scholar

8 

Skehan P, Stroeng R, Scudiero D, Monks A, McMahon J, Vistica D, Warren JT, Bokesch H, Kenney S and Boyd MR: New colorimetric cytotoxicity assay for anticancer drug screening. J Natl Cancer Inst. 82:1107–1112. 1990. View Article : Google Scholar : PubMed/NCBI

9 

Van Slambrouck S, Hilkens J, Bisoffi M and Steelant WFA: AsialoGM1 and integrin α2β1 mediate prostate cancer progression. Int J Oncol. 35:693–699. 2009.

10 

WHO guidelines on good agricultural and collection practices (GAPC) for medicinal plants. World Health Organization. Geneva: 2003.

11 

Mareel M and Leroy A: Clinical, cellular and molecular aspects of cancer invasion. Physiol Rev. 83:337–376. 2003. View Article : Google Scholar

12 

Horton WJ and Paul EG: 4-Allylveratrole from Anemopsis californica. J Am Chem Soc. 79:2264–2266. 1957. View Article : Google Scholar

13 

Acharya RN and Chaubal MG: Essential oil of Anemopsis californica. J Pharm Sciences. 57:1020–1022. 1968. View Article : Google Scholar

14 

Sanvordeker DR and Chaubal MG: Essential oil of Anemopsis californica Part II: minor constituents. J Pharm Sciences. 58:1213–1217. 1969.

15 

Tutupalli LV and Chaubal MG: Composition of essential oil from foliage of Houttuynia cordate and chemosystematics of Saururaceae. Lloydia. 38:92–96. 1975.PubMed/NCBI

16 

Ogasawara M, Matsubara T and Suzuki H: Screening of natural compounds for inhibitory activity on colon cancer cell migration. Biol Pharm Bull. 24:720–723. 2001. View Article : Google Scholar : PubMed/NCBI

17 

Lee SJ, Lee KW, Hur HJ, Chun JY, Kim SY and Lee HJ: Phenolic phytochemicals derived from red pine (Pinus densiflora) inhibit the invasion and migration of SK-Hep-1 human hepatocellular carcinoma cells. Ann NY Acad Sci. 1095:536–544. 2007.PubMed/NCBI

Related Articles

  • Abstract
  • View
  • Download
  • Twitter
Copy and paste a formatted citation
Spandidos Publications style
Kaminski CN, Ferrey SL, Lowrey T, Guerra L, van Slambrouck S and Steelant WF: In vitro anticancer activity of Anemopsis californica . Oncol Lett 1: 711-715, 2010.
APA
Kaminski, C.N., Ferrey, S.L., Lowrey, T., Guerra, L., van Slambrouck, S., & Steelant, W.F. (2010). In vitro anticancer activity of Anemopsis californica . Oncology Letters, 1, 711-715. https://doi.org/10.3892/ol_00000124
MLA
Kaminski, C. N., Ferrey, S. L., Lowrey, T., Guerra, L., van Slambrouck, S., Steelant, W. F."In vitro anticancer activity of Anemopsis californica ". Oncology Letters 1.4 (2010): 711-715.
Chicago
Kaminski, C. N., Ferrey, S. L., Lowrey, T., Guerra, L., van Slambrouck, S., Steelant, W. F."In vitro anticancer activity of Anemopsis californica ". Oncology Letters 1, no. 4 (2010): 711-715. https://doi.org/10.3892/ol_00000124
Copy and paste a formatted citation
x
Spandidos Publications style
Kaminski CN, Ferrey SL, Lowrey T, Guerra L, van Slambrouck S and Steelant WF: In vitro anticancer activity of Anemopsis californica . Oncol Lett 1: 711-715, 2010.
APA
Kaminski, C.N., Ferrey, S.L., Lowrey, T., Guerra, L., van Slambrouck, S., & Steelant, W.F. (2010). In vitro anticancer activity of Anemopsis californica . Oncology Letters, 1, 711-715. https://doi.org/10.3892/ol_00000124
MLA
Kaminski, C. N., Ferrey, S. L., Lowrey, T., Guerra, L., van Slambrouck, S., Steelant, W. F."In vitro anticancer activity of Anemopsis californica ". Oncology Letters 1.4 (2010): 711-715.
Chicago
Kaminski, C. N., Ferrey, S. L., Lowrey, T., Guerra, L., van Slambrouck, S., Steelant, W. F."In vitro anticancer activity of Anemopsis californica ". Oncology Letters 1, no. 4 (2010): 711-715. https://doi.org/10.3892/ol_00000124
Follow us
  • Twitter
  • LinkedIn
  • Facebook
About
  • Spandidos Publications
  • Careers
  • Cookie Policy
  • Privacy Policy
How can we help?
  • Help
  • Live Chat
  • Contact
  • Email to our Support Team