Spandidos Publications Logo
  • About
    • About Spandidos
    • Aims and Scopes
    • Abstracting and Indexing
    • Editorial Policies
    • Reprints and Permissions
    • Job Opportunities
    • Terms and Conditions
    • Contact
  • Journals
    • All Journals
    • Oncology Letters
      • Oncology Letters
      • Information for Authors
      • Editorial Policies
      • Editorial Board
      • Aims and Scope
      • Abstracting and Indexing
      • Bibliographic Information
      • Archive
    • International Journal of Oncology
      • International Journal of Oncology
      • Information for Authors
      • Editorial Policies
      • Editorial Board
      • Aims and Scope
      • Abstracting and Indexing
      • Bibliographic Information
      • Archive
    • Molecular and Clinical Oncology
      • Molecular and Clinical Oncology
      • Information for Authors
      • Editorial Policies
      • Editorial Board
      • Aims and Scope
      • Abstracting and Indexing
      • Bibliographic Information
      • Archive
    • Experimental and Therapeutic Medicine
      • Experimental and Therapeutic Medicine
      • Information for Authors
      • Editorial Policies
      • Editorial Board
      • Aims and Scope
      • Abstracting and Indexing
      • Bibliographic Information
      • Archive
    • International Journal of Molecular Medicine
      • International Journal of Molecular Medicine
      • Information for Authors
      • Editorial Policies
      • Editorial Board
      • Aims and Scope
      • Abstracting and Indexing
      • Bibliographic Information
      • Archive
    • Biomedical Reports
      • Biomedical Reports
      • Information for Authors
      • Editorial Policies
      • Editorial Board
      • Aims and Scope
      • Abstracting and Indexing
      • Bibliographic Information
      • Archive
    • Oncology Reports
      • Oncology Reports
      • Information for Authors
      • Editorial Policies
      • Editorial Board
      • Aims and Scope
      • Abstracting and Indexing
      • Bibliographic Information
      • Archive
    • Molecular Medicine Reports
      • Molecular Medicine Reports
      • Information for Authors
      • Editorial Policies
      • Editorial Board
      • Aims and Scope
      • Abstracting and Indexing
      • Bibliographic Information
      • Archive
    • World Academy of Sciences Journal
      • World Academy of Sciences Journal
      • Information for Authors
      • Editorial Policies
      • Editorial Board
      • Aims and Scope
      • Abstracting and Indexing
      • Bibliographic Information
      • Archive
    • International Journal of Functional Nutrition
      • International Journal of Functional Nutrition
      • Information for Authors
      • Editorial Policies
      • Editorial Board
      • Aims and Scope
      • Abstracting and Indexing
      • Bibliographic Information
      • Archive
    • International Journal of Epigenetics
      • International Journal of Epigenetics
      • Information for Authors
      • Editorial Policies
      • Editorial Board
      • Aims and Scope
      • Abstracting and Indexing
      • Bibliographic Information
      • Archive
    • Medicine International
      • Medicine International
      • Information for Authors
      • Editorial Policies
      • Editorial Board
      • Aims and Scope
      • Abstracting and Indexing
      • Bibliographic Information
      • Archive
  • Articles
  • Information
    • Information for Authors
    • Information for Reviewers
    • Information for Librarians
    • Information for Advertisers
    • Conferences
  • Language Editing
Spandidos Publications Logo
  • About
    • About Spandidos
    • Aims and Scopes
    • Abstracting and Indexing
    • Editorial Policies
    • Reprints and Permissions
    • Job Opportunities
    • Terms and Conditions
    • Contact
  • Journals
    • All Journals
    • Biomedical Reports
      • Information for Authors
      • Editorial Policies
      • Editorial Board
      • Aims and Scope
      • Abstracting and Indexing
      • Bibliographic Information
      • Archive
    • Experimental and Therapeutic Medicine
      • Information for Authors
      • Editorial Policies
      • Editorial Board
      • Aims and Scope
      • Abstracting and Indexing
      • Bibliographic Information
      • Archive
    • International Journal of Epigenetics
      • Information for Authors
      • Editorial Policies
      • Editorial Board
      • Aims and Scope
      • Abstracting and Indexing
      • Bibliographic Information
      • Archive
    • International Journal of Functional Nutrition
      • Information for Authors
      • Editorial Policies
      • Editorial Board
      • Aims and Scope
      • Abstracting and Indexing
      • Bibliographic Information
      • Archive
    • International Journal of Molecular Medicine
      • Information for Authors
      • Editorial Policies
      • Editorial Board
      • Aims and Scope
      • Abstracting and Indexing
      • Bibliographic Information
      • Archive
    • International Journal of Oncology
      • Information for Authors
      • Editorial Policies
      • Editorial Board
      • Aims and Scope
      • Abstracting and Indexing
      • Bibliographic Information
      • Archive
    • Medicine International
      • Information for Authors
      • Editorial Policies
      • Editorial Board
      • Aims and Scope
      • Abstracting and Indexing
      • Bibliographic Information
      • Archive
    • Molecular and Clinical Oncology
      • Information for Authors
      • Editorial Policies
      • Editorial Board
      • Aims and Scope
      • Abstracting and Indexing
      • Bibliographic Information
      • Archive
    • Molecular Medicine Reports
      • Information for Authors
      • Editorial Policies
      • Editorial Board
      • Aims and Scope
      • Abstracting and Indexing
      • Bibliographic Information
      • Archive
    • Oncology Letters
      • Information for Authors
      • Editorial Policies
      • Editorial Board
      • Aims and Scope
      • Abstracting and Indexing
      • Bibliographic Information
      • Archive
    • Oncology Reports
      • Information for Authors
      • Editorial Policies
      • Editorial Board
      • Aims and Scope
      • Abstracting and Indexing
      • Bibliographic Information
      • Archive
    • World Academy of Sciences Journal
      • Information for Authors
      • Editorial Policies
      • Editorial Board
      • Aims and Scope
      • Abstracting and Indexing
      • Bibliographic Information
      • Archive
  • Articles
  • Information
    • For Authors
    • For Reviewers
    • For Librarians
    • For Advertisers
    • Conferences
  • Language Editing
Login Register Submit
  • This site uses cookies
  • You can change your cookie settings at any time by following the instructions in our Cookie Policy. To find out more, you may read our Privacy Policy.

    I agree
Search articles by DOI, keyword, author or affiliation
Search
Advanced Search
presentation
Biomedical Reports
Join Editorial Board Propose a Special Issue
Print ISSN: 2049-9434 Online ISSN: 2049-9442
Journal Cover
May-2018 Volume 8 Issue 5

Full Size Image

Sign up for eToc alerts
Recommend to Library

Journals

International Journal of Molecular Medicine

International Journal of Molecular Medicine

International Journal of Molecular Medicine is an international journal devoted to molecular mechanisms of human disease.

International Journal of Oncology

International Journal of Oncology

International Journal of Oncology is an international journal devoted to oncology research and cancer treatment.

Molecular Medicine Reports

Molecular Medicine Reports

Covers molecular medicine topics such as pharmacology, pathology, genetics, neuroscience, infectious diseases, molecular cardiology, and molecular surgery.

Oncology Reports

Oncology Reports

Oncology Reports is an international journal devoted to fundamental and applied research in Oncology.

Experimental and Therapeutic Medicine

Experimental and Therapeutic Medicine

Experimental and Therapeutic Medicine is an international journal devoted to laboratory and clinical medicine.

Oncology Letters

Oncology Letters

Oncology Letters is an international journal devoted to Experimental and Clinical Oncology.

Biomedical Reports

Biomedical Reports

Explores a wide range of biological and medical fields, including pharmacology, genetics, microbiology, neuroscience, and molecular cardiology.

Molecular and Clinical Oncology

Molecular and Clinical Oncology

International journal addressing all aspects of oncology research, from tumorigenesis and oncogenes to chemotherapy and metastasis.

World Academy of Sciences Journal

World Academy of Sciences Journal

Multidisciplinary open-access journal spanning biochemistry, genetics, neuroscience, environmental health, and synthetic biology.

International Journal of Functional Nutrition

International Journal of Functional Nutrition

Open-access journal combining biochemistry, pharmacology, immunology, and genetics to advance health through functional nutrition.

International Journal of Epigenetics

International Journal of Epigenetics

Publishes open-access research on using epigenetics to advance understanding and treatment of human disease.

Medicine International

Medicine International

An International Open Access Journal Devoted to General Medicine.

Journal Cover
May-2018 Volume 8 Issue 5

Full Size Image

Sign up for eToc alerts
Recommend to Library

  • Article
  • Citations
    • Cite This Article
    • Download Citation
    • Create Citation Alert
    • Remove Citation Alert
    • Cited By
  • Similar Articles
    • Related Articles (in Spandidos Publications)
    • Similar Articles (Google Scholar)
    • Similar Articles (PubMed)
  • Download PDF
  • Download XML
  • View XML
Article

Effect of vitamin D supplementation on fasting plasma glucose, insulin resistance and prevention of type 2 diabetes mellitus in non‑diabetics: A systematic review and meta‑analysis

  • Authors:
    • Sitian He
    • Songcheng Yu
    • Zonglei Zhou
    • Chongjian Wang
    • Yongjun Wu
    • Wenjie Li
  • View Affiliations / Copyright

    Affiliations: Department of Sanitary Chemistry, College of Public Health, Zhengzhou University, Zhengzhou, Henan 450001, P.R. China, Department of Epidemiology and Statistics, College of Public Health, Zhengzhou University, Zhengzhou, Henan 450001, P.R. China, Department of Nutrition and Food Hygiene, College of Public Health, Zhengzhou University, Zhengzhou, Henan 450001, P.R. China
  • Pages: 475-484
    |
    Published online on: March 9, 2018
       https://doi.org/10.3892/br.2018.1074
  • Expand metrics +
Metrics: Total Views: 0 (Spandidos Publications: | PMC Statistics: )
Metrics: Total PDF Downloads: 0 (Spandidos Publications: | PMC Statistics: )
Cited By (CrossRef): 0 citations Loading Articles...

This article is mentioned in:



Abstract

Increasing epidemiological studies suggest that there is an association between vitamin D deficiency and risk of type 2 diabetes mellitus (T2DM). Therefore, randomized clinical trials (RCTs) have been performed to observe the effect of vitamin D supplementation on preventing T2DM, decreasing fasting plasma glucose (FPG) and improving insulin resistance to confirm the association between vitamin D and T2DM. However, the results of RCTs on controlling FPG level, improving insulin resistance and preventing T2DM in non‑diabetics are inconsistent. In the present study, a systematic meta‑analysis considering individual variation and intervention strategy was conducted to establish an objective and definitive conclusion. The results suggested that vitamin D supplementation had no significant effect on controlling FPG level, improving insulin resistance or preventing T2DM in non‑diabetics in a pooled meta‑analysis of 23 articles (containing 28 RCTs). However, stratified analysis indicated that supplementation of vitamin D had differential effects on FPG control, insulin sensitivity improvement and T2DM prevention in individuals with different baseline states: FPG was decreased for those with BMI <25 (P=0.048) or 20≤ 25(OH)D <30 ng/ml (P=0.002); insulin resistance was improved for those with 25(OH)D ≥30 ng/ml (P=0.021); and risk of T2DM was lower for pre‑diabetic individuals (P=0.047) or for those with 25≤ BMI <30 (P=0.032). Additionally, the effect on T2DM prevention was improved when the supplement dose was >2,000 IU/day (P=0.047) and with intervention without calcium (P=0.047). Thus, further trials should focus on individual baselines and the supplementation strategy of vitamin D in the prevention of T2DM.

Introduction

The function of vitamin D {25-hydroxyvitamin D [25(OH)D]} in regulating calcium homeostasis and bone metabolism was first identified in 1930 and has since become well established (1). Over recent decades, increasing data has implicated vitamin D to be a type of endocrine substance that serves an important role in many biological activities, including the immune response and cell differentiation, proliferation and apoptosis (2). Abnormal vitamin D level may be a risk factor for a range of acute and chronic illnesses, including cancer, diabetes and cardiovascular diseases (3,4).

Previous epidemiological studies have indicated an association between vitamin D deficiency and risk of type 2 diabetes mellitus (T2DM) (5,6). Animal studies have also demonstrated that vitamin D may serve a role in insulin secretion (2,7). These findings suggested that vitamin D deficiency probably has a causal relationship with T2DM. Therefore, randomized clinical trials (RCTs) were needed to observe the effect of vitamin D supplementation on prevention of T2DM, decreasing fasting plasma glucose (FPG) and/or improvement of insulin resistance, to confirm the association between vitamin D and T2DM.

Numerous RCTs of vitamin D supplementation have been performed in the past decade. The results regarding control of FPG level, improving insulin resistance and preventing T2DM were inconsistent. A number of RCTs suggested that supplementation of vitamin D could improve insulin resistance and FPG (8–11). However, certain studies obtained contrary results (12) or identified no beneficial effect (13–16). Dutta et al revealed that vitamin D supplementation could significantly lower the progression of diabetes (17); while reports from others indicated that supplementation with vitamin D had no effect on T2DM prevention (13,18,19). Thus, a meta-analysis is required to validate the effect of vitamin D supplementation on diabetes development.

A number of meta-analyses on the effect of vitamin D supplementation on FPG control have been conducted. These mainly focused on glycemic control in T2DM patients (20,21), glucose metabolism in gestational diabetes patients (22), and glycemic control and insulin resistance in non-T2DM individuals (23). However, these analyses did not consider the preventative effect of vitamin D on T2DM. Furthermore, the impacts from individual variation and intervention strategy were not considered. Previous studies have suggested that there is individual variation for vitamin D sensitivity, with different individuals exhibiting different responses to the same vitamin D supplementation (24,25). Considering the aforementioned reasons, the present aim was to conduct a systematic update meta-analysis, in order to obtain an objective and more definitive conclusion on the effect of vitamin D supplementation on FPG, insulin resistance and prevention of T2DM for non-T2DM people. This should provide insight on the relationship between vitamin D deficiency and risk of T2DM, as well as how vitamin D serves a role in T2DM development.

Materials and methods

Literature retrieval

RCT literature on the effects of vitamin D supplementation on FPG, insulin resistance and risk of T2DM in non-diabetic individuals published from January 2000 to February 2017 was retrieved from PubMed (https://www.ncbi.nlm.nih.gov/pubmed/) and two Chinese academic databases, CNKI (http://www.cnki.net) and Wanfang (http://www.wanfangdata.com.cn/index.html). The language of the literature was restricted to English and Chinese. The key words used to search relevant articles were ‘vitamin D’, ‘vitamin D2’, ‘vitamin D3’, ‘ergocalciferol’, ‘cholecalciferol’, ‘calciferol’, ‘vitamin D analogs’, ‘25-(OH)D’, ‘1,25-(OH)2D’, ‘diabetes mellitus’, ‘type 2 diabetes mellitus’, ‘hyperglycemia’, ‘impaired glucose tolerance’, ‘insulin resistance’ and ‘insulin sensitivity’.

Literature screening

The inclusion criteria were as follows: i) Study subjects were non-diabetic individuals, including those with normal blood glucose (<6.1 mmol/l) and prediabetes (6.1–7.0 mmol/l) (26); ii) RCTs that focused on the influence of vitamin D deficiency on the indices related to blood glucose through vitamin D supplementation; iii) the intervention group vs. control group should be vitamin D vs. placebo, vitamin D + calcium vs. placebo + calcium or vitamin D + calcium vs. placebo; and iv) study outcome indicators included at least one of the following: Incidence rate or the number of participants who developed T2D, FPG measurements and/or homeostasis model insulin resistance index (HOMA-IR) data, with the value for FPG and HOMA-IR prior to and following supplementation expressed as the mean ± standard deviation (SD).

The exclusion criteria were as follows: i) Animal experiments; ii) non-RCTs; iii) incomplete information on the outcome indicators, such as only reporting the mean and not providing SD; iv) outcome variables were expressed as the median (four interquartile range) or interquartile range, and outcome measurements that did not meet the inclusion requirements; v) articles that were reviews, systematic reviews or meta-analyses; and vi) the subjects were children, pregnant women or lactating women, or suffering from any diseases.

Data extraction

Literature screening and data extraction were performed by two reviewers. The quality and bias risk of the included studies were evaluated. Disputes or differences in the process of document selection or data extraction were settled by a third reviewer. The extracted data included: i) Title, first author and year of publication; ii) geographic location, sample size, blood glucose status, age, body mass index (BMI), baseline 25(OH)D concentration, female proportion and follow-up time; iii) dose and methods of vitamin D supplementation; iv) the related data of outcome variables; and v) the information needed for bias risk assessment and Jadad scoring.

Bias risk and quality evaluation of included studies

The bias risk assessment tool recommended by the Cochrane Handbook for Systematic Reviews of Interventions, version 5.1.0 (27) and the Jadad scoring scale (28) were used to assess the methodological quality of the included RCTs. The evaluation criteria in the bias risk assessment include: i) Randomization methods; ii) allocation concealment; iii) whether the researchers, participants and observers remained blinded; iv) the integrity of data; v) whether there was selective reporting bias; and vi) other sources of bias. In the Jadad scoring scale, there are three levels for the randomization method, allocation concealment and blinding method, namely appropriate (2 points), unclear (1 point) and inappropriate (0 point). In addition, the scale accounts for when reasons for withdrawal of subjects are reported (1 point) or unspecified (0 points). Studies that scored ≤4 points were considered to be of high quality.

Data synthesis

When the literature provided the mean ± SD of FPG and/or HOMA-IR at baseline and at the end of the study, mean ± SD changes in corresponding outcome variable were converted by the following formula: MDΔ = Mean1 - Mean0; and SDΔ = (SD12 + SD02 - 2×0.5×SD1xSD0)1/2, where Mean1, mean of outcome variable after intervention; SD0, SD of outcome variable after intervention; Mean0, mean of outcome variable at baseline; SD0, SD of outcome variable at baseline (29). The standard error with 95% confidence intervals (95% CIs) of the change in the corresponding outcome variable was converted by the following formula: SEΔ = (ULΔ - LLΔ)/3.92, where SEΔ, the standard error of the change in the corresponding outcome variable; ULΔ, the upper limit of the 95% CI; LLΔ, the lower limit of the 95% CI. The results expressed as standard error were then transformed into SD by the following formula: SD = √n × σ, where n, sample size; σ, standard error. The unified units of FPG, baseline 25(OH)D concentration and vitamin D intervention dose were mg/dl, ng/ml and IU, respectively (with 1 mg/dl=18 mmol/l, 1 ng/ml=2.5 nmol/l and 1 µg=40 IU). The association between vitamin D supplementation and T2DM was expressed by relative risk (RR = incidence of supplementation group/incidence of control group), and the effect on FPG was represented by mean difference (MD = glucose level pre-supplementation - glucose level following supplementation). The effect on insulin resistance (HOMA-IR) was represented by standardized mean difference (SMD = difference of HOMA-IR/SD of HOMA-IR) as the measurement method, or when units were inconsistent. Subgroup analysis was performed in view of the differences of research aims and interventions among studies. Subgroups were stratified on the following bases: i) Glucose status of subjects: Normal glucose tolerance or prediabetes; ii) the age of subjects: Age <45 years, 45≤ age <60 years, age ≥60 years; iii) the body weight index of subjects: Normal (BMI <25), overweight (25≤ BMI <30) and obese (BMI ≥30) (30); iv) the baseline 25(OH)D concentration of subjects: Deficient [25(OH)D <20 ng/ml], insufficient [20≤ 25(OH)D <30 ng/ml] and sufficient [25(OH)D ≥30 ng/ml] (31); v) the follow-up time: <12 months or ≥12 months; vi) vitamin D intervention dose: ≤2,000 IU/day or >2,000 IU/day; vii) intervention with Ca or not; and viii) Jadad score: <4 points or ≥4 points.

Statistical analysis

Stata software (version 12.0; StataCorp LP, College Station, TX, USA) was used to analyze the population data. The statistical heterogeneity was estimated by Q test (α=0.1) and from the inhibition coefficient (I2). If there was no statistical heterogeneity among studies, the fixed effect model was used for analysis; otherwise the random effect model was applied to analyze data on the premise of excluding clinical heterogeneity and methodological heterogeneity if statistical heterogeneity existed (27). In addition, the source of heterogeneity was investigated by subgroup analysis. Publication bias was assessed by using funnel plots, Egger's test and Begg's test (32). P<0.05 was considered to indicate statistical significance.

Results

Literature retrieval

A total of 1,047 articles in English and 1,493 articles in Chinese were retrieved in accordance with the search words established in advance. Of these, 47 English articles and 12 Chinese articles were retained following the exclusion of repeated literature and after reading the abstracts. Finally, a total of 23 articles (8–19,33–43), including 22 English articles and 1 Chinese publication, were included for meta-analysis after reading the full text according to the inclusion and exclusion criteria. The full literature retrieval process is outlined in Fig. 1.

Figure 1.

Flow chart of literature screening process. A total of 1,684 literatures were retrieved following exclusion of the repeated reports. Of these, 23 articles were included in the meta-analysis according to the inclusion and exclusion criteria.

Characteristics and bias risk assessment of included studies

A total of 28 RCTs from 23 studies were included in the current meta-analysis. Among these studies, the Jadad scores of 16 studies (containing 21 RCTs) were ≥4 points. The basic characteristics of the studies are summarized in Table I. A total of 17 studies (containing 20 RCTs) reported the methods of generating random allocation sequences, including computer-generated random number sequences and stratified randomization sets. A total of 11 studies (containing 13 RCTs) reported the methods of concealment allocation, including central or pharmacy control, distribution, opaque containers or sealed envelopes. A double-blinded method was adopted in 20 studies (containing 25 RCTs). A total of 19 studies (containing 24 RCTs) described the number and causes of those lost to follow-up. A total of 5 studies (containing 7 RCTs) were analyzed using the intention-to-treat (ITT) method (Table I).

Table I.

Basic characteristics and bias risk assessment of included studies.

Table I.

Basic characteristics and bias risk assessment of included studies.

Blinding

Study/(Refs.), yearRandomization methodConcealment allocationInvestigator and subjectObserverIntegrity of dataSelective reportingOther sources of bias
Major et al, 2007 (40)UnclearUnclearYesUnclearDrop-outNoUnclear
Pittas et al, 2007 (10)Computer-generated random number sequencevUnclearYesYesDrop-outNoUnclear
de Boer et al, 2008 (18)Stratified-block randomizationUnclearYesUnclearUnclearNoUnclear
Zittermann et al, 2009 (42)Computer-generated random number sequenceUnclearYesUnclearDrop-out or loss to follow-upNoUnclear
Nagpal et al, 2009 (9)Computer-generated random number sequenceOpaque containersYesYesDrop-out, ITTNoUnclear
Jorde et al, 2010 (15)Stratified-block randomizationCentral randomizationYesYesDrop-out or loss to follow-upNoUnclear
Mitri et al, 2011 (36)Computer-generated random number sequenceUnclearYesYesDrop-out, ITTNoUnclear
Grimnes et al, 2011 (14)Block randomizationSealed envelopesYesYesDrop-out or loss to follow-upNoUnclear
Wood et al, 2012 (41)UnclearOpaque containersYesUnclearDrop-outNoUnclear
Harris et al, 2012 (39)Stratified-block randomizationUnclearYesUnclearDrop-out or loss to follow-upNoUnclear
Iraj et al, 2012 (12)UnclearNoneNoNoCompleteNoUnclear
Salehpour et al, 2013 (33)UnclearUnclearYesYesLoss to follow-upNoUnclear
Belenchia et al, 2013 (8)Stratified-block randomizationPharmacy controlledYesUnclearLoss to follow-upNoUnclear
Davidson et al, 2013 (13)Computer-generated random number sequencePharmacy controlledYesUnclearDrop-outNoUnclear
Dutta et al, 2014 (17)Stratified-block randomizationNoneNoNoCompleteNoUnclear
Sollid et al, 2014 (38)Computer-generated random number sequencePharmacy controlledYesYesDrop-outNoUnclear
Oosterwerff et al, 2014 (34)Stratified-block randomizationPharmacy controlledYesUnclearDrop-out or lossto follow-up, ITTNoUnclear
Tuomainen et al, 2015 (37)UnclearOpaque containersYesUnclearDrop-outNoUnclear
Kuchay et al, 2015 (11)Computer-generated random number sequenceNoneNoNoDrop-outNoUnclear
Qi et al, 2016 (35)UnclearUnclearYesUnclearCompleteNoUnclear
Sun et al, 2016 (43)Stratified-block randomizationUnclearYesYesDrop-outNoUnclear
Jorde et al, 2016 (19)Computer-generated random number sequencePharmacy controlledYesYesDrop-out, ITTNoUnclear
Moreira-Lucas et al, 2017 (16)Block randomizationSealed envelopesYesYesDrop-out or lossto follow-up, ITTNoUnclear

[i] ITT, intention-to-treat.

Effect of vitamin D supplementation on FPG

A total of 21 studies (8,10–19,33,35–43) containing 26 RCTs reported FPG results. There was statistical heterogeneity between the studies (I2=89.9%, P<0.001). Subsequently, the random effect model was used for analysis. The results indicated that FPG following vitamin D intervention did not significantly decrease compared with control (MD=−1.76; 95% CI=−4.07, 0.55, P=0.135; Fig. 2). Subgroup analysis revealed that FPG levels in pre-diabetic individuals and in those whose BMI <25 with vitamin D supplementation were significantly lower than those of controls (MD=−3.40; 95% CI=−6.64, −0.15, P=0.041 and MD=−2.80, 95% CI=−5.57, −0.03, P=0.048, respectively; Table II). In the subgroup of baseline 25(OH)D3 insufficiency [20≤ 25(OH)D <30 ng/ml)], the level of FPG following vitamin D supplementation compared with control was significantly decreased (MD=−1.99, 95% CI=−3.25, −0.73, P=0.002; Table II).

Figure 2.

Forest plot of vitamin D supplementation effect on FPG. The pooled results suggested that there was no statistically significant difference in FPG levels in non-diabetics following vitamin D intervention or control treatments. FPG, fasting plasma glucose; WMD, weighted mean difference; 95% CI, 95% confidence interval. (a), (b) and (c) indicate the first, second and third trial in the reference, respectively.

Table II.

Results of subgroup and sensitivity analyses.

Table II.

Results of subgroup and sensitivity analyses.

RRFPGHOMA-IR



SubgroupRR95% CIP-valueMD95% CIP-valueSMD95% CIP-value
Blood glucose state
  Normal (<6.1 mmol/l)–––1.09(−0.89, 3.06)0.280−0.04(−0.21, 0.13)0.638
  Prediabetes or early diabetes (6.1–7.0 mmol/l)0.84(0.70, 1.00)0.047−3.40(−6.64, −0.15)0.041−0.02(−0.15, 0.12)0.817
Age of subjects, years
  <45–––−0.18(−4.98, 4.63)0.942−0.14(−0.39, 0.10)0.249
  45≤ age <600.70(0.41, 1.20)0.195−3.02(−8.38, 2.35)0.2710.04(−0.13, 0.21)0.646
  ≥600.90(0.71, 1.04)0.114−0.78(−2.33, 0.76)0.321−0.13(−0.36, 0.10)0.260
Mean BMI, kg/m2
  <25–––−2.80(−5.57, −0.03)0.048−0.02(−0.46, 0.41)0.917
  25≤ BMI <300.82(0.69, 0.98)0.032−1.78(−5.60, 2.05)0.363−0.08(−0.24, 0.09)0.384
  ≥301.33(0.45, 3.92)0.611−1.07(−2.58, 0.44)0.164−0.03(−0.21, 0.15)0.770
Baseline 25(OH)D, ng/ml
  <200.84(0.70, 1.00)0.055−1.51(−6.17, 3.16)0.527<0.01(−0.13, 0.14)0.949
  20≤ 25(OH)D <300.95(0.68, 1.33)0.758−1.99(−3.25, −0.73)0.002−0.09(−0.38, 0.21)0.575
  ≥30–––−2.15(−8.26,3.95)0.489−0.49(−0.90, −0.07)0.021
Duration, months
  <12–––−0.40(−2.82, 2.02)0.747−0.03(−0.22, 0.15)0.744
  ≥120.86(0.74, 1.01)0.072−2.53(−5.83, −0.76)0.132−0.02(−0.15, 0.10)0.725
Dose, IU/day
  ≤2,0000.95(0.68, 1.33)0.758−0.06(−1.99, 1.88)0.955−0.02(−0.15, 0.11)0.741
  >2,0000.84(0.70, 1.00)0.047−2.84(−6.88, 1.20)0.169−0.03(−0.21, 0.14)0.724
Intervention with calcium
  Yes0.95(0.68, 1.33)0.758−1.07(−3.23, 1.10)0.334−0.06(−0.25, 0.13)0.553
  No0.84(0.70, 1.00)0.047−1.70(−4.58, 1.18)0.247−0.01(−0.14, 0.11)0.859
Sensitivity analysis (excluding Jadad <4)0.87(0.73, 1.05)0.156−0.86(−2.02, 0.30)0.147−0.05(−0.13, 0.08)0.635

[i] RR, relative risk; FPG, fasting plasma glucose; HOMA-IR, homeostasis model insulin resistance index; BMI, body mass index; 95% CI, 95% confidence interval; MD, mean difference; SMD, standardized mean difference; 25(OH)D, 25-hydroxyvitamin D; -, no results.

Effect of vitamin D supplementation on insulin resistance

A total of 13 studies (8–10,12–15,18,33,34,39,41,43) containing 14 RCTs reported HOMA-IR results. There was no statistical heterogeneity between the studies (I2<0.01%, P=0.546). Therefore, the fixed effect model was applied for analysis of the results. The meta-analysis indicated that there were no statistically significant changes in HOMA-IR following vitamin D intervention compared with control (SMD=−0.03, 95% CI=−0.13, 0.08, P=0.635; Fig. 3). In the subgroup of baseline 25(OH)D3 sufficiency [25(OH)D ≥30 ng/ml)], HOMA-IR following vitamin D supplementation was significantly lower than that of controls (SMD=−0.49, 95% CI=−0.90, −0.07, P=0.021; Table II).

Figure 3.

Forest plot of vitamin D supplementation effect on insulin resistance. It was indicated that vitamin D supplementation had no significant effect on insulin resistance improvement in non-diabetics. SMD, standardized mean difference; 95% CI, 95% confidence interval. (a) and (b) indicate the first and second trial in the reference, respectively.

Effect of vitamin D supplementation on T2DM prevention

A total of 6 studies (11,13,17–19,38) containing 6 RCTs reported RR results. There was no statistical heterogeneity between the studies (I2<0.01%, P=0.448). Subsequently, the fixed effect model was used for analysis. The results suggested that there was no statistically significant difference in the incidence of T2DM following vitamin D intervention or control in the non-diabetic population (RR=0.86, 95% CI=0.74, 1.01, P=0.072; Fig. 4). Subgroup results indicated that the incidence of T2DM decreased following intervention with vitamin D supplement dose >2,000 IU/day and in those with intervention without calcium (RR=0.84, 95% CI=0.70, 1.00, P=0.047 and RR=0.84, 95% CI=0.70, 1.00, P=0.047, respectively; Table II). In addition, the incidence rates of T2DM in pre-diabetic individuals and in overweight (25≤ BMI <30) individuals were lower than that in controls (RR=0.84, 95% CI=0.70, 1.00, P=0.047 and RR=0.82, 95% CI=0.69, 0.98, P=0.032, respectively; Table II).

Figure 4.

Forest plot of vitamin D supplementation effect on T2DM prevention. The pooled results revealed that vitamin D supplementation had no significant effect on T2DM prevention in the non-diabetic population. T2DM, type 2 diabetes mellitus; RR, relative risk; 95% CI, 95% confidence interval.

Sensitivity analysis and publication bias

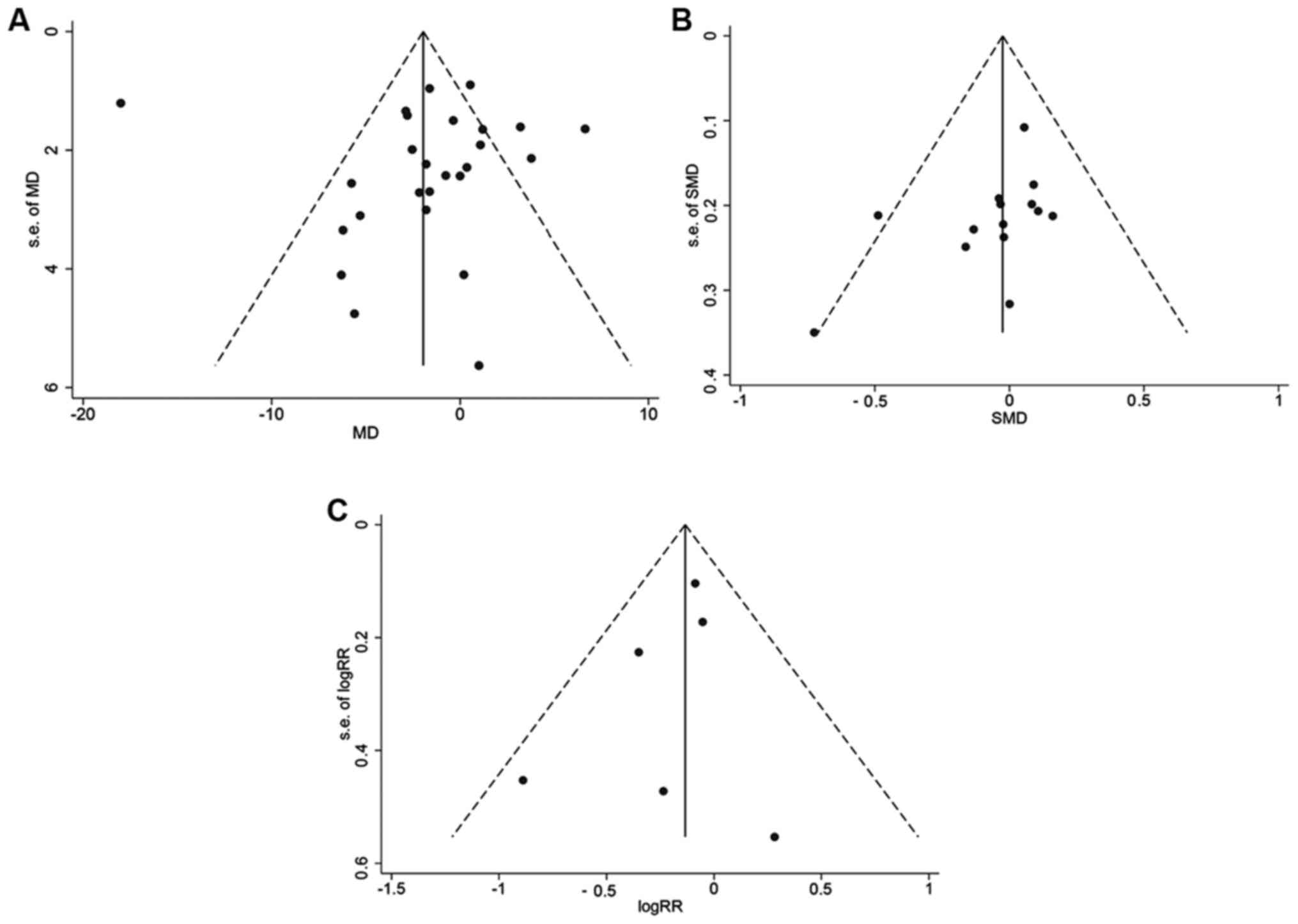
For each outcome variable, each study was excluded sequentially, and the results of the remaining studies were combined to determine the impact of the excluded study on the overall results. Additionally, following the exclusion of low-quality studies (Jadad score <4), heterogeneity analysis was conducted to determine the source of heterogeneity. For the incidence of T2DM and HOMA-IR, sensitivity analysis indicated that the results of meta-analysis prior to and following the exclusion of any one study were similar; however, the result of meta-analysis of FPG level following the exclusion of one study (11) differed markedly from that prior to its exclusion (data not shown). Following the exclusion of low quality studies (11,12,17,18,33,35,40), the heterogeneity decreased (I2=40.6%, P=0.034; data not shown). It was hypothesized that literature quality may be a major source of heterogeneity; on meta-analysis, there were no significant differences between the effects of vitamin D intervention and control treatments on RR, FPG and HOMA-IR following the exclusion of the low-quality studies (Table II). For each outcome variable, there was no obvious asymmetry in funnel plots (Fig. 5). Begg's and Egger's tests also indicated no significant publication bias for FPG (Begg's test: P=0.086; Egger's test: P=0.800), insulin resistance (Begg's test: P=0.125; Egger's test: P=0.080) or T2DM prevention (Begg's test: P=1.00; Egger's test; P=0.421).

Figure 5.

Funnel plots with pseudo 95% confidence limits for (A) fasting plasma glucose (Begg's test: P=0.086; Egger's test: P=0.800), (B) insulin resistance (Begg's test: P=0.125; Egger's test: P=0.080) and (C) type 2 diabetes mellitus prevention (Begg's test: P=1.00; Egger's test; P=0.421). s.e.; standard error; MD, mean difference; SMD, standardized mean difference; RR, relative risk.

Discussion

To the best of our knowledge, the present report is the first systematic meta-analysis of the effect of vitamin D supplementation on FPG, insulin resistance and prevention of T2DM with consideration of individual variation and intervention strategy in non-T2DM subjects. Although no significant effect was identified in the pooled meta-analysis, stratified analysis suggested that both individual variation and intervention strategy had influence on the supplementation effect of vitamin D. As T2DM has a delayed latency and is associated with a variety of pathogenic factors, the results of the subgroup analysis still have reference value.

Firstly, the baseline level of 25(OH)D is an important parameter to consider with vitamin D supplementation. A significant effect on insulin sensitivity improvement was only identified for individuals with baseline 25(OH)D levels higher than 30 ng/ml; FPG was decreased significantly by supplementation with vitamin D in individuals with 25(OH)D levels between 20–30 ng/ml; and vitamin D supplementation may prevent T2DM among individuals with 25(OH)D levels lower than 20 ng/ml. Therefore, as the effect of vitamin D supplementation varied in individuals with different 25(OH)D levels, there should be consideration of baseline 25(OH)D level during vitamin D supplementation.

Secondly, obesity is a factor that requires consideration during vitamin D supplementation. No significant effect was identified in obese subjects (BMI ≥30) on decreasing FPG, improving insulin sensitivity or preventing T2DM following vitamin D supplementation. By contrast, decreased FPG was achieved in healthy-weight subjects (BMI <25); and a T2DM preventative effect was identified in overweight subjects (25≤ BMI <30). Therefore, obesity may influence the effect of vitamin D supplementation; vitamin D is a fat-soluble compound, and thus a high body fat level may limit vitamin D in exerting its functions (44). Therefore, how to conduct vitamin D supplementation in obese individuals requires further study.

Thirdly, blood glucose state is important to consider for T2DM prevention and FPG control during vitamin D supplementation. In the current meta-analysis, significant effects of vitamin D supplement were observed in prediabetes subjects with regards to preventing T2DM and controlling FPG, but not to improving insulin sensitivity. Therefore, preferred outcomes may only be obtained in individuals with impaired fasting glycaemia.

Fourthly, the supplementation dose of vitamin D had a marked effect on T2DM prevention: T2DM development was prevented by supplementation with high-dose vitamin D (>2,000 IU/day). Thus, higher doses of vitamin D were preferable for T2DM prevention. It has been reported that supplementation with high-dose vitamin D was required to increase vitamin D level to a normal range in individuals with vitamin D deficiency (45,46). Thus, high-dose vitamin supplementation may be more effective to improve vitamin D level in vivo. However, the potential toxicity of vitamin D remains unclear, and supplementation with high-dose vitamin D requires caution.

Finally, vitamin D supplementation without Ca had a significant T2DM preventative effect. It is well known that vitamin D plays an important role in calcium homeostasis and bone metabolism. It has been reported that intake of vitamin D and Ca at the same time may improve the function of vitamin D (47). However, the results of the current study contradict these previous findings. Therefore, further comprehensive trials are required to verify the present results.

In conclusion, supplementation with vitamin D had differing effects on FPG control, insulin sensitivity improvement and T2DM prevention in different stratified populations. The strategy of vitamin D supplementation also influenced the outcomes. Therefore, future trials should focus on the effects of 25(OH)D baseline level, obesity, blood glucose state, supplementation dose and the presence or absence of Ca strengthening in the control of blood glucose and insulin resistance.

Acknowledgements

Not applicable.

Funding

The present study was supported by the National Natural Science Foundation of China (grant nos. 81703270, 81573151 and 81573243) and the Science and Technology Foundation for Innovation Talent of Henan Province (grant no. 154200510010).

Availability of data and materials

All data generated or analyzed during the study are included in this published article.

Authors' contributions

SH and ZZ were responsible for literature retrieving and data extraction. CW and YW performed the data analysis. SY and WL were responsible for the study design and writing of the manuscript.

Ethics approval and consent to participate

Not applicable.

Consent for publication

Not applicable.

Competing interests

The authors declare that they have no competing interests.

Glossary

Abbreviations

Abbreviations:

T2DM

type 2 diabetes mellitus

25(OH)D

25-hydroxyvitamin D

RCT

randomized clinical trial

FPG

fasting plasma glucose

HOMA-IR

homeostasis model insulin resistance index

BMI

body mass index

SD

standard deviation

CI

confidence interval

RR

relative risk

MD

mean difference

SMD

standardized mean difference

WMD

weighted mean difference

ITT

intention-to-treat

References

1 

van Driel M and van Leeuwen JPTM: Vitamin D endocrinology of bone mineralization. Mol Cell Endocrinol. 453:46–51. 2017. View Article : Google Scholar : PubMed/NCBI

2 

Bikle DD: Extraskeletal actions of vitamin D. Ann N Y Acad Sci. 1376:29–52. 2016. View Article : Google Scholar : PubMed/NCBI

3 

Autier P, Boniol M, Pizot C and Mullie P: Vitamin D status and ill health: A systematic review. Lancet Diabetes Endocrinol. 2:76–89. 2014. View Article : Google Scholar : PubMed/NCBI

4 

Wang H, Chen W, Li D, Yin X, Zhang X, Olsen N and Zheng SG: Vitamin D and chronic diseases. Aging Dis. 8:346–353. 2017. View Article : Google Scholar : PubMed/NCBI

5 

Pannu PK, Piers LS, Soares MJ, Zhao Y and Ansari Z: Vitamin D status is inversely associated with markers of risk for type 2 diabetes: A population based study in Victoria, Australia. PLoS One. 12:e01788252017. View Article : Google Scholar : PubMed/NCBI

6 

Lucato P, Solmi M, Maggi S, Bertocco A, Bano G, Trevisan C, Manzato E, Sergi G, Schofield P, Kouidrat Y, et al: Low vitamin D levels increase the risk of type 2 diabetes in older adults: A systematic review and meta-analysis. Maturitas. 100:8–15. 2017. View Article : Google Scholar : PubMed/NCBI

7 

Berridge MJ: Vitamin D deficiency and diabetes. Biochem J. 474:1321–1332. 2017. View Article : Google Scholar : PubMed/NCBI

8 

Belenchia AM, Tosh AK, Hillman LS and Peterson CA: Correcting vitamin D insufficiency improves insulin sensitivity in obese adolescents: A randomized controlled trial. Am J Clin Nutr. 97:774–781. 2013. View Article : Google Scholar : PubMed/NCBI

9 

Nagpal J, Pande JN and Bhartia A: A double-blind, randomized, placebo-controlled trial of the short-term effect of vitamin D3 supplementation on insulin sensitivity in apparently healthy, middle-aged, centrally obese men. Diabet Med. 26:19–27. 2009. View Article : Google Scholar : PubMed/NCBI

10 

Pittas AG, Harris SS, Stark PC and Dawson-Hughes B: The effects of calcium and vitamin D supplementation on blood glucose and markers of inflammation in nondiabetic adults. Diabetes Care. 30:980–986. 2007. View Article : Google Scholar : PubMed/NCBI

11 

Kuchay MS, Laway BA, Bashir MI, Wani AI, Misgar RA and Shah ZA: Effect of vitamin D supplementation on glycemic parameters and progression of prediabetes to diabetes: A 1-year, open-label randomized study. Indian J Endocrinol Metab. 19:387–392. 2015. View Article : Google Scholar : PubMed/NCBI

12 

Iraj B, Aminorroaya A and Amini M: Does the intramuscular injection of vitamin D increase insulin resistance? J Res Pharm Pract. 1:60–65. 2012. View Article : Google Scholar : PubMed/NCBI

13 

Davidson MB, Duran P, Lee ML and Friedman TC: High-dose vitamin D supplementation in people with prediabetes and hypovitaminosis D. Diabetes Care. 36:260–266. 2013. View Article : Google Scholar : PubMed/NCBI

14 

Grimnes G, Figenschau Y, Almås B and Jorde R: Vitamin D, insulin secretion, sensitivity, and lipids: Results from a case-control study and a randomized controlled trial using hyperglycemic clamp technique. Diabetes. 60:2748–2757. 2011. View Article : Google Scholar : PubMed/NCBI

15 

Jorde R, Sneve M, Torjesen P and Figenschau Y: No improvement in cardiovascular risk factors in overweight and obese subjects after supplementation with vitamin D3 for 1 year. J Intern Med. 267:462–472. 2010. View Article : Google Scholar : PubMed/NCBI

16 

Moreira-Lucas TS, Duncan AM, Rabasa-Lhoret R, Vieth R, Gibbs AL, Badawi A and Wolever TM: Effect of vitamin D supplementation on oral glucose tolerance in individuals with low vitamin D status and increased risk for developing type 2 diabetes (EVIDENCE): A double-blind, randomized, placebo-controlled clinical trial. Diabetes Obes Metab. 19:133–141. 2017. View Article : Google Scholar : PubMed/NCBI

17 

Dutta D, Mondal SA, Choudhuri S, Maisnam I, Reza Hasanoor AH, Bhattacharya B, Chowdhury S and Mukhopadhyay S: Vitamin-D supplementation in prediabetes reduced progression to type 2 diabetes and was associated with decreased insulin resistance and systemic inflammation: An open label randomized prospective study from Eastern India. Diabetes Res Clin Pract. 103:e18–e23. 2014. View Article : Google Scholar : PubMed/NCBI

18 

de Boer IH, Tinker LF, Connelly S, Curb JD, Howard BV, Kestenbaum B, Larson JC, Manson JE, Margolis KL, Siscovick DS and Weiss NS: Women's Health Initiative Investigators: Calcium plus vitamin D supplementation and the risk of incident diabetes in the Women's Health Initiative. Diabetes Care. 31:701–707. 2008. View Article : Google Scholar : PubMed/NCBI

19 

Jorde R, Sollid ST, Svartberg J, Schirmer H, Joakimsen RM, Njølstad I, Fuskevåg OM, Figenschau Y and Hutchinson MY: Vitamin D 20,000 IU per week for five years does not prevent progression from prediabetes to diabetes. J Clin Endocrinol Metab. 101:1647–1655. 2016. View Article : Google Scholar : PubMed/NCBI

20 

Wu C, Qiu S, Zhu X and Li L: Vitamin D supplementation and glycemic control in type 2 diabetes patients: A systematic review and meta-analysis. Metabolism. 73:67–76. 2017. View Article : Google Scholar : PubMed/NCBI

21 

Lee CJ, Iyer G, Liu Y, Kalyani RR, Bamba N, Ligon CB, Varma S and Mathioudakis N: The effect of vitamin D supplementation on glucose metabolism in type 2 diabetes mellitus: A systematic review and meta-analysis of intervention studies. J Diabetes Complications. 31:1115–1126. 2017. View Article : Google Scholar : PubMed/NCBI

22 

Akbari M, Moosazadeh M, Lankarani KB, Tabrizi R, Samimi M, Karamali M, Jamilian M, Kolahdooz F and Asemi Z: Correction: The effects of vitamin D supplementation on glucose metabolism and lipid profiles in patients with gestational diabetes: A systematic review and meta-analysis of randomized controlled trials. Horm Metab Res. Aug 2–2017.(Epub ahead of print).

23 

Jamka M, Woźniewicz M, Jeszka J, Mardas M, Bogdański P and Stelmach-Mardas M: The effect of vitamin D supplementation on insulin and glucose metabolism in overweight and obese individuals: Systematic review with meta-analysis. Sci Rep. 5:161422015. View Article : Google Scholar : PubMed/NCBI

24 

Kresevic DM, Denton JE, Burant CJ and Pallaki M: Racial difference in response to vitamin D supplementation. J Natl Med Assoc. 107:18–24. 2015. View Article : Google Scholar : PubMed/NCBI

25 

Dasarathy J, Varghese R, Feldman A, Khiyami A, McCullough AJ and Dasarathy S: Patients with nonalcoholic fatty liver disease have a low response rate to vitamin D supplementation. J Nutr. 147:1938–1946. 2017. View Article : Google Scholar : PubMed/NCBI

26 

American Diabetes Association: Diagnosis and classification of diabetes mellitus. Diabetes Care. 33 Suppl 1:S62–S69. 2010. View Article : Google Scholar : PubMed/NCBI

27 

Higgins and Green JPT S: Cochrane Handbook for Systematic Reviews of Interventions, version 5.1.0. The Cochrane Collaboration. 2282011.

28 

Jadad AR, Moore RA, Carroll D, Jenkinson C, Reynolds DJ, Gavaghan DJ and McQuay HJ: Assessing the quality of reports of randomized clinical trials: is blinding necessary? Control Clin Trials. 17:1–12.. 1996. View Article : Google Scholar : PubMed/NCBI

29 

Follmann D, Elliott P, Suh I and Cutler J: Variance imputation for overviews of clinical trials with continuous response. J Clin Epidemiol. 45:769–773. 1992. View Article : Google Scholar : PubMed/NCBI

30 

Flegal KM, Kit BK, Orpana H and Graubard BI: Association of all-cause mortality with overweight and obesity using standard body mass index categories: A systematic review and meta-analysis. JAMA. 309:71–82. 2013. View Article : Google Scholar : PubMed/NCBI

31 

Gallagher JC and Sai AJ: Vitamin D insufficiency, deficiency, and bone health. J Clin Endocrinol Metab. 95:2630–2633. 2010. View Article : Google Scholar : PubMed/NCBI

32 

Jin ZC, Zhou XH and He J: Statistical methods for dealing with publication bias in meta-analysis. Stat Med. 34:343–360. 2015. View Article : Google Scholar : PubMed/NCBI

33 

Salehpour A, Shidfar F, Hosseinpanah F, Vafa M, Razaghi M and Amiri F: Does vitamin D3 supplementation improve glucose homeostasis in overweight or obese women? A double-blind, randomized, placebo-controlled clinical trial. Diabet Med. 30:1477–1481. 2013. View Article : Google Scholar : PubMed/NCBI

34 

Oosterwerff MM, Eekhoff EM, Van Schoor NM, Boeke AJ, Nanayakkara P, Meijnen R, Knol DL, Kramer MH and Lips P: Effect of moderate-dose vitamin D supplementation on insulin sensitivity in vitamin D-deficient non-Western immigrants in the Netherlands: A randomized placebo-controlled trial. Am J Clin Nutr. 100:152–160. 2014. View Article : Google Scholar : PubMed/NCBI

35 

Qi M, Song Y, Li J, Tian L, Wang L, Xie Y, Gup Y and Bao Y: Effect of vitamin D supplementation on postprandial glucose in the elder with vitamin D deficiency and impaired glucose tolerance. Chin J Mod Drug Appl. 10:196–197. 2016.(In Chinese).

36 

Mitri J, Dawson-Hughes B, Hu FB and Pittas AG: Effects of vitamin D and calcium supplementation on pancreatic β cell function, insulin sensitivity, and glycemia in adults at high risk of diabetes: The calcium and vitamin D for diabetes mellitus (CaDDM) randomized controlled trial. Am J Clin Nutr. 94:486–494. 2011. View Article : Google Scholar : PubMed/NCBI

37 

Tuomainen TP, Virtanen JK, Voutilainen S, Nurmi T, Mursu J, de Mello VD, Schwab U, Hakumäki M, Pulkki K and Uusitupa M: Glucose metabolism effects of vitamin D in prediabetes: The VitDmet randomized placebo-controlled supplementation study. J Diabetes Res. 2015:6726532015. View Article : Google Scholar : PubMed/NCBI

38 

Sollid ST, Hutchinson MY, Fuskevåg OM, Figenschau Y, Joakimsen RM, Schirmer H, Njølstad I, Svartberg J, Kamycheva E and Jorde R: No effect of high-dose vitamin D supplementation on glycemic status or cardiovascular risk factors in subjects with prediabetes. Diabetes Care. 37:2123–2131. 2014. View Article : Google Scholar : PubMed/NCBI

39 

Harris SS, Pittas AG and Palermo NJ: A randomized, placebo-controlled trial of vitamin D supplementation to improve glycaemia in overweight and obese African Americans. Diabetes Obes Metab. 14:789–794. 2012. View Article : Google Scholar : PubMed/NCBI

40 

Major GC, Alarie F, Doré J, Phouttama S and Tremblay A: Supplementation with calcium + vitamin D enhances the beneficial effect of weight loss on plasma lipid and lipoprotein concentrations. Am J Clin Nutr. 85:54–59. 2007.PubMed/NCBI

41 

Wood AD, Secombes KR, Thies F, Aucott L, Black AJ, Mavroeidi A, Simpson WG, Fraser WD, Reid DM and Macdonald HM: Vitamin D3 supplementation has no effect on conventional cardiovascular risk factors: A parallel-group, double-blind, placebo-controlled RCT. J Clin Endocrinol Metab. 97:3557–3568. 2012. View Article : Google Scholar : PubMed/NCBI

42 

Zittermann A, Frisch S, Berthold HK, Götting C, Kuhn J, Kleesiek K, Stehle P, Koertke H and Koerfer R: Vitamin D supplementation enhances the beneficial effects of weight loss on cardiovascular disease risk markers. Am J Clin Nutr. 89:1321–1327. 2009. View Article : Google Scholar : PubMed/NCBI

43 

Sun X, Cao ZB, Tanisawa K, Ito T, Oshima S and Higuchi M: Vitamin D supplementation reduces insulin resistance in Japanese adults: A secondary analysis of a double-blind, randomized, placebo-controlled trial. Nutr Res. 36:1121–1129. 2016. View Article : Google Scholar : PubMed/NCBI

44 

Vimaleswaran KS, Berry DJ, Lu C, Tikkanen E, Pilz S, Hiraki LT, Cooper JD, Dastani Z, Li R, Houston DK, et al: Genetic Investigation of Anthropometric Traits-GIANT Consortium: Causal relationship between obesity and vitamin D status: Bi-directional Mendelian randomization analysis of multiple cohorts. PLoS Med. 10:e10013832013. View Article : Google Scholar : PubMed/NCBI

45 

Gowda U, Ruwanpathirana T, Fong DP, Kaur A and Renzaho AM: Efficacy of high dose vitamin D supplementation in improving serum 25(OH)D among migrant and non migrant population: A retrospective study. BMC Health Serv Res. 16:5792016. View Article : Google Scholar : PubMed/NCBI

46 

Yang Y, Li Z, Yan G, Jie Q and Rui C: Effect of different dose of vitamin D supplementation on preterm infants- an updated meta-analysis. J Matern Fetal Neonatal Med. Oct 5–2017.(Epub ahead of print). View Article : Google Scholar

47 

Pittas AG, Dawson-Hughes B, Li T, Van Dam RM, Willett WC, Manson JE and Hu FB: Vitamin D and calcium intake in relation to type 2 diabetes in women. Diabetes Care. 29:650–656. 2006. View Article : Google Scholar : PubMed/NCBI

Related Articles

  • Abstract
  • View
  • Download
  • Twitter
Copy and paste a formatted citation
Spandidos Publications style
He S, Yu S, Zhou Z, Wang C, Wu Y and Li W: Effect of vitamin D supplementation on fasting plasma glucose, insulin resistance and prevention of type 2 diabetes mellitus in non‑diabetics: A systematic review and meta‑analysis. Biomed Rep 8: 475-484, 2018.
APA
He, S., Yu, S., Zhou, Z., Wang, C., Wu, Y., & Li, W. (2018). Effect of vitamin D supplementation on fasting plasma glucose, insulin resistance and prevention of type 2 diabetes mellitus in non‑diabetics: A systematic review and meta‑analysis. Biomedical Reports, 8, 475-484. https://doi.org/10.3892/br.2018.1074
MLA
He, S., Yu, S., Zhou, Z., Wang, C., Wu, Y., Li, W."Effect of vitamin D supplementation on fasting plasma glucose, insulin resistance and prevention of type 2 diabetes mellitus in non‑diabetics: A systematic review and meta‑analysis". Biomedical Reports 8.5 (2018): 475-484.
Chicago
He, S., Yu, S., Zhou, Z., Wang, C., Wu, Y., Li, W."Effect of vitamin D supplementation on fasting plasma glucose, insulin resistance and prevention of type 2 diabetes mellitus in non‑diabetics: A systematic review and meta‑analysis". Biomedical Reports 8, no. 5 (2018): 475-484. https://doi.org/10.3892/br.2018.1074
Copy and paste a formatted citation
x
Spandidos Publications style
He S, Yu S, Zhou Z, Wang C, Wu Y and Li W: Effect of vitamin D supplementation on fasting plasma glucose, insulin resistance and prevention of type 2 diabetes mellitus in non‑diabetics: A systematic review and meta‑analysis. Biomed Rep 8: 475-484, 2018.
APA
He, S., Yu, S., Zhou, Z., Wang, C., Wu, Y., & Li, W. (2018). Effect of vitamin D supplementation on fasting plasma glucose, insulin resistance and prevention of type 2 diabetes mellitus in non‑diabetics: A systematic review and meta‑analysis. Biomedical Reports, 8, 475-484. https://doi.org/10.3892/br.2018.1074
MLA
He, S., Yu, S., Zhou, Z., Wang, C., Wu, Y., Li, W."Effect of vitamin D supplementation on fasting plasma glucose, insulin resistance and prevention of type 2 diabetes mellitus in non‑diabetics: A systematic review and meta‑analysis". Biomedical Reports 8.5 (2018): 475-484.
Chicago
He, S., Yu, S., Zhou, Z., Wang, C., Wu, Y., Li, W."Effect of vitamin D supplementation on fasting plasma glucose, insulin resistance and prevention of type 2 diabetes mellitus in non‑diabetics: A systematic review and meta‑analysis". Biomedical Reports 8, no. 5 (2018): 475-484. https://doi.org/10.3892/br.2018.1074
Follow us
  • Twitter
  • LinkedIn
  • Facebook
About
  • Spandidos Publications
  • Careers
  • Cookie Policy
  • Privacy Policy
How can we help?
  • Help
  • Live Chat
  • Contact
  • Email to our Support Team