Spandidos Publications Logo
  • About
    • About Spandidos
    • Aims and Scopes
    • Abstracting and Indexing
    • Editorial Policies
    • Reprints and Permissions
    • Job Opportunities
    • Terms and Conditions
    • Contact
  • Journals
    • All Journals
    • Oncology Letters
      • Oncology Letters
      • Information for Authors
      • Editorial Policies
      • Editorial Board
      • Aims and Scope
      • Abstracting and Indexing
      • Bibliographic Information
      • Archive
    • International Journal of Oncology
      • International Journal of Oncology
      • Information for Authors
      • Editorial Policies
      • Editorial Board
      • Aims and Scope
      • Abstracting and Indexing
      • Bibliographic Information
      • Archive
    • Molecular and Clinical Oncology
      • Molecular and Clinical Oncology
      • Information for Authors
      • Editorial Policies
      • Editorial Board
      • Aims and Scope
      • Abstracting and Indexing
      • Bibliographic Information
      • Archive
    • Experimental and Therapeutic Medicine
      • Experimental and Therapeutic Medicine
      • Information for Authors
      • Editorial Policies
      • Editorial Board
      • Aims and Scope
      • Abstracting and Indexing
      • Bibliographic Information
      • Archive
    • International Journal of Molecular Medicine
      • International Journal of Molecular Medicine
      • Information for Authors
      • Editorial Policies
      • Editorial Board
      • Aims and Scope
      • Abstracting and Indexing
      • Bibliographic Information
      • Archive
    • Biomedical Reports
      • Biomedical Reports
      • Information for Authors
      • Editorial Policies
      • Editorial Board
      • Aims and Scope
      • Abstracting and Indexing
      • Bibliographic Information
      • Archive
    • Oncology Reports
      • Oncology Reports
      • Information for Authors
      • Editorial Policies
      • Editorial Board
      • Aims and Scope
      • Abstracting and Indexing
      • Bibliographic Information
      • Archive
    • Molecular Medicine Reports
      • Molecular Medicine Reports
      • Information for Authors
      • Editorial Policies
      • Editorial Board
      • Aims and Scope
      • Abstracting and Indexing
      • Bibliographic Information
      • Archive
    • World Academy of Sciences Journal
      • World Academy of Sciences Journal
      • Information for Authors
      • Editorial Policies
      • Editorial Board
      • Aims and Scope
      • Abstracting and Indexing
      • Bibliographic Information
      • Archive
    • International Journal of Functional Nutrition
      • International Journal of Functional Nutrition
      • Information for Authors
      • Editorial Policies
      • Editorial Board
      • Aims and Scope
      • Abstracting and Indexing
      • Bibliographic Information
      • Archive
    • International Journal of Epigenetics
      • International Journal of Epigenetics
      • Information for Authors
      • Editorial Policies
      • Editorial Board
      • Aims and Scope
      • Abstracting and Indexing
      • Bibliographic Information
      • Archive
    • Medicine International
      • Medicine International
      • Information for Authors
      • Editorial Policies
      • Editorial Board
      • Aims and Scope
      • Abstracting and Indexing
      • Bibliographic Information
      • Archive
  • Articles
  • Information
    • Information for Authors
    • Information for Reviewers
    • Information for Librarians
    • Information for Advertisers
    • Conferences
  • Language Editing
Spandidos Publications Logo
  • About
    • About Spandidos
    • Aims and Scopes
    • Abstracting and Indexing
    • Editorial Policies
    • Reprints and Permissions
    • Job Opportunities
    • Terms and Conditions
    • Contact
  • Journals
    • All Journals
    • Biomedical Reports
      • Information for Authors
      • Editorial Policies
      • Editorial Board
      • Aims and Scope
      • Abstracting and Indexing
      • Bibliographic Information
      • Archive
    • Experimental and Therapeutic Medicine
      • Information for Authors
      • Editorial Policies
      • Editorial Board
      • Aims and Scope
      • Abstracting and Indexing
      • Bibliographic Information
      • Archive
    • International Journal of Epigenetics
      • Information for Authors
      • Editorial Policies
      • Editorial Board
      • Aims and Scope
      • Abstracting and Indexing
      • Bibliographic Information
      • Archive
    • International Journal of Functional Nutrition
      • Information for Authors
      • Editorial Policies
      • Editorial Board
      • Aims and Scope
      • Abstracting and Indexing
      • Bibliographic Information
      • Archive
    • International Journal of Molecular Medicine
      • Information for Authors
      • Editorial Policies
      • Editorial Board
      • Aims and Scope
      • Abstracting and Indexing
      • Bibliographic Information
      • Archive
    • International Journal of Oncology
      • Information for Authors
      • Editorial Policies
      • Editorial Board
      • Aims and Scope
      • Abstracting and Indexing
      • Bibliographic Information
      • Archive
    • Medicine International
      • Information for Authors
      • Editorial Policies
      • Editorial Board
      • Aims and Scope
      • Abstracting and Indexing
      • Bibliographic Information
      • Archive
    • Molecular and Clinical Oncology
      • Information for Authors
      • Editorial Policies
      • Editorial Board
      • Aims and Scope
      • Abstracting and Indexing
      • Bibliographic Information
      • Archive
    • Molecular Medicine Reports
      • Information for Authors
      • Editorial Policies
      • Editorial Board
      • Aims and Scope
      • Abstracting and Indexing
      • Bibliographic Information
      • Archive
    • Oncology Letters
      • Information for Authors
      • Editorial Policies
      • Editorial Board
      • Aims and Scope
      • Abstracting and Indexing
      • Bibliographic Information
      • Archive
    • Oncology Reports
      • Information for Authors
      • Editorial Policies
      • Editorial Board
      • Aims and Scope
      • Abstracting and Indexing
      • Bibliographic Information
      • Archive
    • World Academy of Sciences Journal
      • Information for Authors
      • Editorial Policies
      • Editorial Board
      • Aims and Scope
      • Abstracting and Indexing
      • Bibliographic Information
      • Archive
  • Articles
  • Information
    • For Authors
    • For Reviewers
    • For Librarians
    • For Advertisers
    • Conferences
  • Language Editing
Login Register Submit
  • This site uses cookies
  • You can change your cookie settings at any time by following the instructions in our Cookie Policy. To find out more, you may read our Privacy Policy.

    I agree
Search articles by DOI, keyword, author or affiliation
Search
Advanced Search
presentation
Experimental and Therapeutic Medicine
Join Editorial Board Propose a Special Issue
Print ISSN: 1792-0981 Online ISSN: 1792-1015
Journal Cover
November-2015 Volume 10 Issue 5

Full Size Image

Sign up for eToc alerts
Recommend to Library

Journals

International Journal of Molecular Medicine

International Journal of Molecular Medicine

International Journal of Molecular Medicine is an international journal devoted to molecular mechanisms of human disease.

International Journal of Oncology

International Journal of Oncology

International Journal of Oncology is an international journal devoted to oncology research and cancer treatment.

Molecular Medicine Reports

Molecular Medicine Reports

Covers molecular medicine topics such as pharmacology, pathology, genetics, neuroscience, infectious diseases, molecular cardiology, and molecular surgery.

Oncology Reports

Oncology Reports

Oncology Reports is an international journal devoted to fundamental and applied research in Oncology.

Experimental and Therapeutic Medicine

Experimental and Therapeutic Medicine

Experimental and Therapeutic Medicine is an international journal devoted to laboratory and clinical medicine.

Oncology Letters

Oncology Letters

Oncology Letters is an international journal devoted to Experimental and Clinical Oncology.

Biomedical Reports

Biomedical Reports

Explores a wide range of biological and medical fields, including pharmacology, genetics, microbiology, neuroscience, and molecular cardiology.

Molecular and Clinical Oncology

Molecular and Clinical Oncology

International journal addressing all aspects of oncology research, from tumorigenesis and oncogenes to chemotherapy and metastasis.

World Academy of Sciences Journal

World Academy of Sciences Journal

Multidisciplinary open-access journal spanning biochemistry, genetics, neuroscience, environmental health, and synthetic biology.

International Journal of Functional Nutrition

International Journal of Functional Nutrition

Open-access journal combining biochemistry, pharmacology, immunology, and genetics to advance health through functional nutrition.

International Journal of Epigenetics

International Journal of Epigenetics

Publishes open-access research on using epigenetics to advance understanding and treatment of human disease.

Medicine International

Medicine International

An International Open Access Journal Devoted to General Medicine.

Journal Cover
November-2015 Volume 10 Issue 5

Full Size Image

Sign up for eToc alerts
Recommend to Library

  • Article
  • Citations
    • Cite This Article
    • Download Citation
    • Create Citation Alert
    • Remove Citation Alert
    • Cited By
  • Similar Articles
    • Related Articles (in Spandidos Publications)
    • Similar Articles (Google Scholar)
    • Similar Articles (PubMed)
  • Download PDF
  • Download XML
  • View XML
Article

Hedyotis diffusa Willd overcomes 5-fluorouracil resistance in human colorectal cancer HCT-8/5-FU cells by downregulating the expression of P-glycoprotein and ATP-binding casette subfamily G member 2

  • Authors:
    • Qiongyu Li
    • Xiangfeng Wang
    • Aling Shen
    • Yuchen Zhang
    • Youqin Chen
    • Thomas J. Sferra
    • Jiumao Lin
    • Jun Peng
  • View Affiliations / Copyright

    Affiliations: Academy of Integrative Medicine, Fujian University of Traditional Chinese Medicine, Fuzhou, Fujian 350122, P.R. China, People's Hospital, Fujian University of Traditional Chinese Medicine, Fuzhou, Fujian 350122, P.R. China, Case Western Reserve University School of Medicine, Rainbow Babies and Children's Hospital, Cleveland, OH 44106, USA
  • Pages: 1845-1850
    |
    Published online on: September 22, 2015
       https://doi.org/10.3892/etm.2015.2762
  • Expand metrics +
Metrics: Total Views: 0 (Spandidos Publications: | PMC Statistics: )
Metrics: Total PDF Downloads: 0 (Spandidos Publications: | PMC Statistics: )
Cited By (CrossRef): 0 citations Loading Articles...

This article is mentioned in:



Abstract

Previous studies have demonstrated that Hedyotis diffusa Willd (HDW), a traditional Chinese herbal medicine, exhibits potent anticancer activity in models of colorectal cancer (CRC). Aggressive forms of CRC exhibit resistance to widely used chemotherapeutic drugs, including the antimetabolite, 5‑fluorouracil (5‑FU); however, less is known with regard to the activity of HDW against 5‑FU‑resistant cancer. In the present study, the mechanism of action and the potency of ethanol extracts of HDW (EEHDW) were investigated on a multidrug‑resistant CRC HCT‑8/5‑FU cell line. Using an MTT cell proliferation assay, EEHDW treatment was shown to significantly reduce the cell viability of HCT‑8/5‑FU cells in a dose‑ and time‑dependent manner. Furthermore, EEHDW significantly increased the retention of the ATP‑binding cassette (ABC) transporter substrate, rhodamine‑123, as compared with the untreated controls. To further investigate the molecular mechanisms targeted by EEHDW in the resistant cells, the expression levels of the ABC drug transporter protein, P‑glycoprotein (P‑gp), and ABC subfamily G member 2 (ABCG2), were analyzed using reverse‑transcription polymerase chain reaction and western blot analysis. The mRNA and protein expression levels of P‑gp and ABCG2 were reduced in the HCT‑8/5‑FU cells following EEHDW treatment, indicating that EEHDW inhibits ABCG2‑mediated drug resistance by downregulating the expression of ABCG2 and P‑gp. Therefore, the potential application of EEHDW as a chemotherapeutic adjuvant represents a promising alternative approach to the treatment of drug-resistant CRC.

Introduction

Colorectal cancer (CRC) is the third most common type of cancer in adults worldwide, with over 600,000 mortalities reported annually. Of the 1.2 million individuals diagnosed with CRC, 40–50% of these patients will relapse or succumb due to the limited efficacy of the current adjuvant chemotherapies (1,2). The development of multiple drug resistance (MDR) in tumors is considered to be the major obstacle in the treatment of CRC. Certain members of the ATP-binding cassette (ABC) family of transporters facilitate drug resistance in numerous types of cancer, and recent clinical data correlates the expression of ABC transporters to the risk of relapse in CRC patients (3).

ABC transporters are plasma membrane-associated, energy-dependent efflux pumps that can effectively translocate a variety of substrates across lipid bilayers (4–6). The ABC transporter superfamily is divided into seven distinct subfamilies (A-G), and proteins are assigned to a subfamily based on amino acid sequence similarities and phylogeny (7). MDR transporters within this superfamily include P-glycoprotein (P-gp) and the breast cancer resistance protein ABC subfamily G member 2 (ABCG2) (8). P-gp and ABCG2 play major roles in the ATP-dependent export of chemotherapeutic drugs and contribute to the MDR phenotype observed in CRC, although the expression of these transporters may vary depending on the stage of the disease (3,9). For patients with advanced-stage CRC, ABCG2 is a promising therapeutic target and the focus of recent efforts to identify pharmacophores that effectively inhibit its efflux function (10). In the search for nontoxic sources of ABCG2 inhibitors, natural products have been identified as potential drug candidates to reduce the development of MDR in ABCG2-expressing breast cancer cells (11). Thus, in the continued pursuit of potent pharmacophores to treat drug-resistant CRC, the current study investigated the use of medicinal herbs as potential next-generation therapies.

Traditional Chinese medicines (TCM) have been used as medicinal or health supplements in China for thousands of years. In addition, traditional Chinese prescriptions and formulae, which are based on TCM principles, have been demonstrated to be effective in the treatment of breast carcinoma (12), gastric cancer (13) and CRC (14). The reported benefits of applying TCM as an anticancer therapy have included effectively controlling cancer progression, improving the quality of life and prolonging patient survival (15–22).

Hedyotis diffusa Willd (HDW), also known as Oldenlandia diffusa Willd, of the Rubiaceae family, is a traditional Chinese herbal medicine that is reported to possess anticancer, antioxidative and anti-inflammatory activities, as well as hepatoprotective and neuroprotective effects. In a previous study, an ethanol extract of HDW (EEHDW) was shown to induce apoptosis via the activation of the mitochondrion-dependent pathway in the human colon carcinoma cell line, HT-29 (23). Furthermore, EEHDW has been shown to inhibit CRC growth in vivo and in vitro via the inhibition of the STAT3 signaling pathway (24), as well as suppressing tumor angiogenesis through the inhibition of the Hedgehog signaling pathway (25,26). Due to the prevalence of MDR in CRC, the potency and precise mechanism of action of EEHDW against cancer cells resistant to standard chemotherapeutic agents is largely unclear. Therefore, to further elucidate the mechanism underlying the tumoricidal activity of HDW, the present study analyzed the effect of EEHDW on the 5-fluorouracil (5-FU)-resistant CRC cell line, HCT-8/5-FU, and identified the drug resistance transporters that were susceptible to EEHDW treatment.

Materials and methods

Materials and reagents

RPMI 1640 medium, fetal bovine serum (FBS), penicillin-streptomycin, trypsin-EDTA and TRIzol reagent were obtained from Invitrogen Life Technologies (Grand Island, NY, USA). Primary antibodies against P-gp (#13342) and ABCG2 (#4477), and a horseradish peroxidase (HRP)-conjugated secondary antibody (#4967) were provided by Cell Signaling Technology, Inc. (Beverly, MA, USA). The BCA Protein Assay kit was purchased from Thermo Fisher Scientific (Waltham, MA, USA) and the PrimeScript RT reagent kit was provided by Takara Biotechnology Co., Ltd. (Dalian, China). All the other chemicals, unless otherwise stated, were obtained from Sigma-Aldrich (St. Louis, MO, USA).

Ethanol extraction from HDW and drug formulation

Authentic plant material was purchased from a commercial supplier (Guo Yi Tang Chinese Herbal Medicines, Fuzhou, China), and the EEHDW was prepared as previously described (21). Stock solutions of EEHDW were prepared by dissolving the EEHDW powder in 40% dimethyl sulfoxide (DMSO) to a reach a final concentration of 400 mg/ml. The stock solutions were stored at −20°C. Working concentrations of EEHDW were produced by diluting the stock solution in the culture medium. The final concentration of DMSO in the medium was <0.5%.

Cell culture

Human colon carcinoma HCT-8 cells and 5-FU-resistant HCT-8/5-FU cells were purchased from Nanjing KeyGen Biotech. Co. Ltd. (Nanjing, China). Cells were grown in RPMI 1640 medium, supplemented with 10% FBS, 100 U/ml penicillin and 100 µg/ml streptomycin, at 37°C in a humidified chamber with 5% CO2. The HCT-8/5-FU cells were cultured in the supplemented media with the addition of 15 µg/ml 5-FU.

Evaluation of cell viability using an MTT assay

Cell viability was determined using an MTT colorimetric assay. Briefly, HCT-8 and HCT-8/5-FU cells were seeded into 96-well plates at a density of 1.0×104 cells/well in 0.1 ml media. After 24 h, the cells were treated with various concentrations of 5-FU or EEHDW for indicated periods of time. Treatment with 0.1% DMSO was included as the vehicle control. At the end of the treatment, 100 µl MTT (0.5 mg/ml) in phosphate-buffered saline (PBS) was added to each well, and the samples were incubated for an additional 4 h at 37°C. The purple-blue MTT formazan precipitate was dissolved in 100 µl DMSO and absorbance was measured at 570 nm using an ELISA reader (EXL800; BioTek Instruments, Inc., Winooski, VT, USA). The resistance index (RI) of the HCT-8/5-FU cells to 5-FU was calculated by dividing the drug concentration required to inhibit growth by 50% (IC50) for HCT-8/5-FU cells by the IC50 value for the parental cells (HCT-8). IC50 values were determined using nonlinear regression analysis.

Cellular morphology

HCT-8/5-FU cells were seeded into six-well plates at a density of 2.5×105 cells/well in 2 ml media. The cells were treated with various concentrations of EEHDW for 24 h. Cell morphology was observed with a phase-contrast microscope (Leica Camera AG, Wetzlar, Germany), and images were photographed at a magnification of ×200.

Rhodamine-123 (Rh-123) exclusion assay

Retention of a P-gp transporter substrate and the subsequent reversal of the drug resistance phenotype were investigated using a Rh-123 exclusion assay. HCT-8/5-FU cells were treated with different concentrations of EEHDW for 24 h. The cells were collected, and a total of 106 cells/ml were incubated with 5 µl Rh-123 (1 mM in PBS) at 37°C for 10 min. The cells were washed twice with chilled PBS and resuspended in 0.5 ml PBS, followed by incubation for an additional 30 min at 37°C. Fluorescence intensity was measured at 488 nm to determine the intracellular content of Rh-123 and quantitated using a FACSCalibur flow cytometer (BD Biosciences, Franklin Lakes, NJ, USA).

RNA extraction and reverse transcription polymerase chain reaction (PCR) analysis

HCT-8/5-FU cells (4×105) were seeded into six-well plates in 2 ml culture media and treated with the indicated concentrations of EEHDW for 24 h. Total RNA from the HCT-8/5-FU cells was isolated using TRIzol reagent (Invitrogen). Oligo(dT)-primed RNA (1 µg) was reverse-transcribed using the PrimeScript RT reagent kit, according to the manufacturer's instructions. The obtained cDNA was used to determine the mRNA expression levels of P-gp and ABCG2 by RT-PCR. GAPDH was used as an internal control. The RT-PCR conditions for 30 cycles were performed as follows: Denaturation at 94°C for 40 sec, annealing for 40 sec and extension at 72°C for 45 sec. The primers used for the amplification of ABCG2, P-gp and GAPDH transcripts were as follows: ABCG2 forward, 5′-GCCGTGGAACTCTTTGTGGTAG-3′ and reverse, 5′-ACAGCAAGATGCAATGGTTGT-3′; P-gp forward, 5′-TGACATTTATTCAAAGTTAAAAGCA-3′ and reverse, 5′-TAGACACTTTATGCAAACATTTCAA-3′; and GAPDH forward, 5′-GTCATCCATGACAACTTTGG-3′ and reverse, 5′-GAGCTTGACAAAGTGGTCGT-3′.

Western blot analysis

HCT-8/5-FU cells were seeded into 25 cm2 flasks at a density of 1.0×106 cells/flask in 5 ml media. The HCT-8/5-FU cells were treated with the various concentrations of EEHDW for 24 h, and lysed with mammalian cell lysis buffer containing different protease inhibitors. The total protein concentration in each sample was determined using a bicinchoninic acid assay. Equal amounts of protein from each cell lysate were subjected to SDS-PAGE and transferred to polyvinylidene difluoride membranes. The membranes were blocked for 2 h with 5% nonfat dry milk and the membrane was incubated with primary monoclonal rabbit anti-human antibodies against P-gp (1:1,000), ABCG2 (1:1,000) and β-actin (1:1,000) at 4°C overnight. Then, the membranes were incubated for 1 h with horseradish peroxidase-conjugated anti-rabbit secondary antibody (1:5,000) at room temperature. Blots were visualized using an electrochemiluminescence western blotting kit and images were captured and analyzed using ChemiDoc XRS+ imaging system (Bio-Rad Laboratories, Inc., Hercules, CA, USA).

Statistical analysis

Data are presented as the mean ± standard deviation for the indicated number of independently performed experiments. The data were analyzed using the SPSS package for Windows (version 17.0; SPSS, Inc., Chicago, IL, USA). Statistical analyses were performed using the Student's t-test and analysis of variance, where P<0.05 was considered to indicate a statistically significant difference.

Results

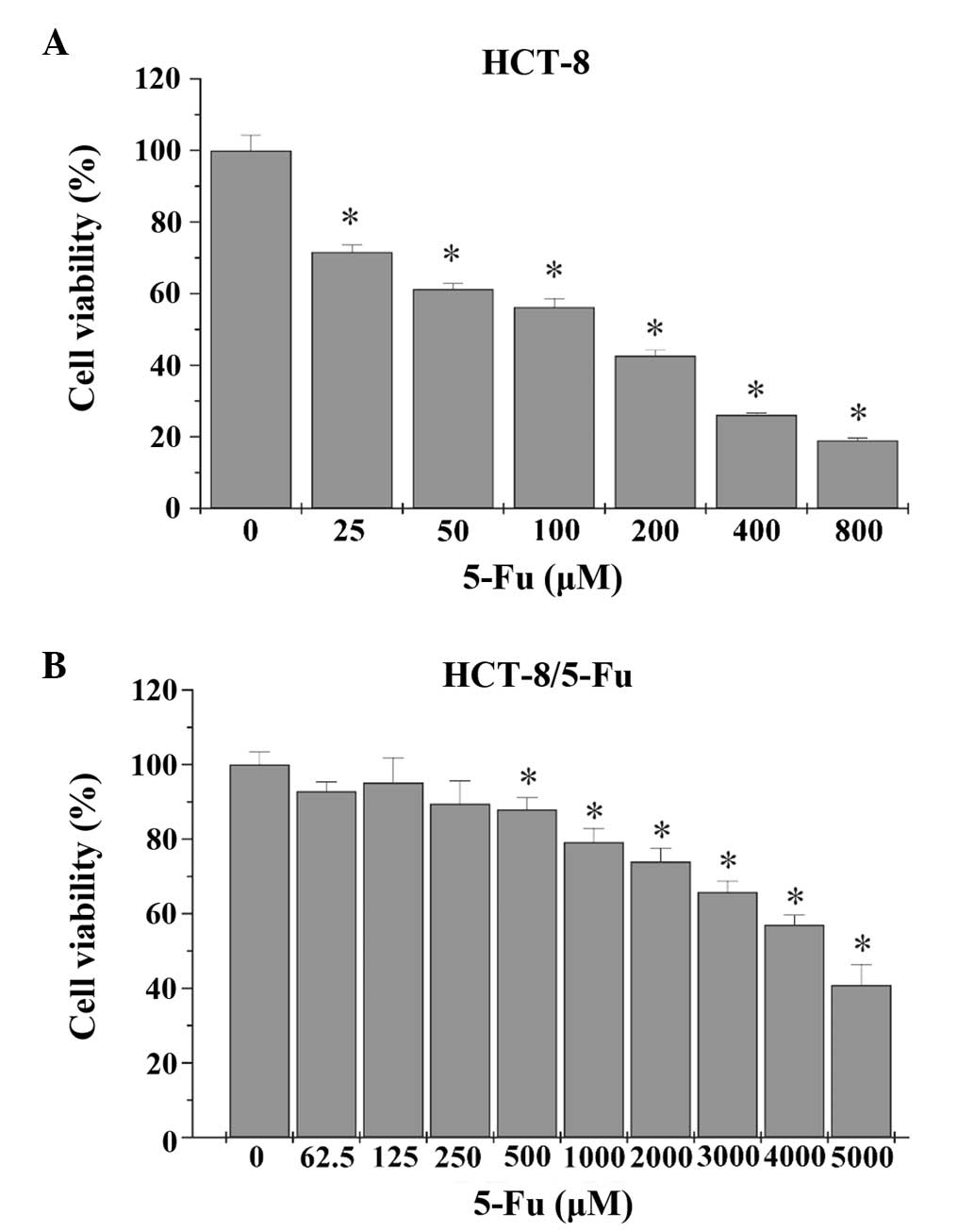
Resistance of HCT-8/5-FU cells to 5-FU treatment

To verify the 5-FU resistance profiles of the CRC cell lines used in the study, HCT-8 and HCT-8/5-FU cells were exposed to different concentrations of 5-FU for 48 h, and the cell viability was measured using an MTT assay. The viability of the HCT-8 cells was significantly decreased following treatment with 5-FU, whereas the viability of the HCT-8/5-FU cells did not significantly change compared with the parental cells (Fig. 1A and B). The IC50 values of 5-FU in the HCT-8 and HCT-8/5-FU cell lines were 145.16 µM and 4.2668 mM, respectively. In addition, the RI for 5-FU was 29.39. These results support previously obtained data, demonstrating the resistance properties of HCT-8/5-FU cells to 5-FU treatment (27).

Figure 1.

Effect of 5-FU on the cell viability of (A) HCT-8 and (B) HCT-8/5-FU cells. Cells were treated with various concentrations of 5-FU for 48 h and the cell viability was determined using an MTT assay. The data were normalized against the viability of the control cells, and are presented as the mean ± standard deviation of three independent experiments. *P<0.05, vs. untreated control cells. 5-FU, 5-fluorouracil.

EEHDW inhibits the growth of HCT-8/5-FU cells

In order to evaluate the effect of EEHDW on the HCT-8/5-FU cell line, the viability of the treated cells was determined by an MTT assay. Treatment with 0.5–2 mg/ml EEHDW for 24 or 48 h reduced the cell viability by 13.78–66.61 or 18.02–83.76%, respectively, when compared with the untreated control cells (P<0.05; Fig. 2). Furthermore, the cell viability was reduced to 33.38 and 16.23% at the highest concentration of EEHDW (2 mg/ml) after 24 or 48 h of treatment, respectively. These results indicated that EEHDW inhibited HCT-8/5-FU cell viability in a concentration- and time-dependent manner.

Figure 2.

Effect of EEHDW on the cell viability of HCT-8/5-fluorouracil cells. The cells were treated with different concentrations of EEHDW for 24 and 48 h, and the cell viability was determined by an MTT assay. The data were normalized against the viability of the control cells, and are presented as the mean ± standard deviation of three independent experiments. *P<0.05, vs. untreated control cells. EEHDW, ethanol extract of Hedyotis diffusa Willd.

To determine the effects of EEHDW on cell morphology, the appearance of the treated versus untreated HCT-8/5-FU monolayers were compared by phase-contrast microscopy. Untreated HCT-8/5-FU cells appeared as a crowded and disorganized monolayer after 24 h (Fig. 3). However, the cell density was reduced in the confluent monolayers that had been treated with EEHDW, with the attached cells exhibiting a round appearance and condensed nuclei. Therefore, these observations demonstrated that EEHDW inhibited the growth of HCT-8/5-FU cells.

Figure 3.

Effect of EEHDW on HCT-8/5-FU cell morphology. HCT-8/5-FU cells were treated with the indicated concentrations of EEHDW for 24 h, and morphological changes were observed using phase-contrast microscopy (magnification, ×200). Images are representative of three independent experiments. 5-FU, 5-fluorouracil; EEHDW, ethanol extract of Hedyotis diffusa Willd.

Rh-123 accumulation in EEHDW-treated HCT-8/5-FU cells

Rh-123 is a substrate for the ABC transporter, P-gp, and its accumulation and efflux are predictive of the levels of P-gp in the cells exhibiting the MDR-associated phenotype (28,29). To determine whether EEHDW affects the activity of P-gp transporters, the intracellular accumulation of Rh-123 was measured in EEHDW-treated HCT-8/5-FU cells. Compared with the untreated controls, there was a significant increase in the accumulation of intracellular Rh-123 in the HCT-8/5-FU cells treated with EEHDW for 24 h (Fig. 4). These results indicated that EEHDW may inhibit the efflux activity of P-gp.

Figure 4.

Effect of EEHDW on intracellular Rh-123 accumulation in HCT-8/5-FU cells. Flow cytometry was used to detect intracellular Rh-123 accumulation in HCT-8/5-FU cells that had been treated with the indicated concentrations of EEHDW for 24 h. (A) Mean fluorescence intensity of Rh-123 in the HCT-8/5-FU cells. The x-axis represents the fluorescent intensity of Rh-123. (B) Statistical analysis of the intracellular fluorescence intensities of Rh-123 in the various EEHDW treatment groups. Data are representative of at least three independent experiments, and are presented as the mean ± standard deviation. *P<0.05, vs. untreated control cells. 5-FU, 5-fluorouracil; EEHDW, ethanol extract of Hedyotis diffusa Willd; Rh-123, rhodamine-123; FITC, fluorescein isothiocyanate.

EEHDW inhibits the expression of P-gp and ABCG2 in HCT-8/5-FU cells

To further investigate which drug resistance mechanisms are targeted by EEHDW, the mRNA and protein expression levels of P-gp and ABCG2 in EEHDW-treated HCT-8/5-FU cells were analyzed. EEHDW treatment was shown to significantly reduce the mRNA and protein expression levels of P-gp and ABCG2 in the HCT-8/5-FU cells in a concentration-dependent manner (Fig. 5A and B). These observations indicated that EEHDW may modulate the MDR phenotype in HCT-8/5-FU cells via the regulation of P-gp and ABCG2 expression.

Figure 5.

Effect of EEHDW on the (A) mRNA and (B) protein expression levels of ABCG2 and P-gp in the HCT-8/5-FU cells. HCT-8/5-FU cells were treated with the indicated concentrations of EEHDW for 24 h. The mRNA expression levels of P-gp and ABCG2 were determined by reverse transcription polymerase chain reaction, while the protein expression levels of P-gp and ABCG2 in the treated HCT-8/5-FU cells were measured by western blot analysis. The data are representative of at least three independent experiments. 5-FU, 5-fluorouracil; EEHDW, ethanol extract of Hedyotis diffusa Willd; P-gp, P-glycoprotein; ABCG2, ATP-binding casette subfamily G member 2.

Discussion

Currently, the standard treatment regimens for CRC are based on combining various chemotherapeutic agents, including 5-FU/leucovorin calcium, capecitabine, irinotecan, oxaliplatin, bevacizumab, cetuximab and panitumumab (30). However, the development of drug resistance during carcinogenesis is a critical problem that has decreased the number of CRC patients who remain in long-term remission. Increasing evidence supports the hypothesis that ABCG2 plays an important role in cancer drug resistance (31–33); thus, the modulation of ABCG2 may be regarded as a therapeutic approach to overcome drug resistance. Numerous studies have attempted to develop reversing agents that target ABC transporters (34,35); however, poor solubility and reduced oral bioavailability have limited the clinical application of these agents, including the P-gp/ABCG2 dual inhibitor, Elacridar (36). Faced with limited methods to reduce the side-effects and lower the risk of developing drug-resistant CRC, the use of alternative remedies, such as traditional medicines and herbs, is gaining support among patients and clinicians alike (37).

TCM is regarded as an ideal source of multidrug reversal agents for the treatment of cancer, due in large to the high bioavailability and low toxicity of the prescribed compounds. Compared with modern medicine, the combination of several herbs using traditional methods may enhance the therapeutic outcomes in cancer treatment by targeting multiple molecular pathways simultaneously. HWD, a traditional Chinese herbal medicine, has been shown to exhibit potent anticancer effects (23–26), although the mechanism of action underlying the ability of EEHDW to overcome drug resistance remains unknown.

In the present study, 5-FU was shown to significantly decrease the cell viability of HCT-8 cells, without significantly affecting the drug-resistant HCT-8/5-FU cells. In contrast to 5-FU, EEHDW treatment significantly reduced the cell viability of HCT-8/5-FU cells. These results indicate that EEHDW is effective at reducing the cell viability of a drug-resistant CRC cell line in a dose-dependent manner. The ABC transporters, P-gp and ABCG2, contribute to the MDR phenotype in CRC, and the Rh-123 accumulation assay is a molecular probe that measures the efflux activity of P-gp in treated cells (38). To further elaborate the function of EEHDW as a reversing agent that targets ABC transporters, the effect of EEHDW on the accumulation of Rh-123 was investigated using flow cytometry. The results revealed that EEHDW-treated cells exhibited significantly increased Rh-123 retention when compared with the untreated controls, indicating that EEHDW may inhibit the efflux function of P-gp in treated cells. Since ABC transporters are expressed at varying levels during each stage of carcinogenesis, further investigation was included to examine how EEHDW affects the expression of ABCG2, which is a prognostic indicator of relapse in advanced-stage CRC (3). EEHDW treatment was shown to significantly reduce the mRNA and protein expression levels of ABCG2 in the HCT-8/5-FU cells. Thus, the results indicated that EEHDW may overcome 5-FU resistance in HCT-8/5-FU cells by regulating the expression of ABCG2.

In conclusion, the results of the present study demonstrated that EEHDW inhibits P-gp- and ABCG2-mediated drug resistance by downregulating the expression of ABCG2 and inhibiting the efflux activity of P-gp in HCT-8/5-FU cells. Therefore, the observations support further research investigating EEHDW as a potent inhibitor of drug-resistant CRC.

Acknowledgements

The study was sponsored by the Research Fund for the Doctoral Program of Higher Education of China (grant no. 20133519110003) and the Developmental Fund of Chen Keji Integrative Medicine (grant no. CKJ2014013 and CKJ2015007).

Abbreviations:

CRC

colorectal cancer

EEHDW

ethanol extract of Hedyotis diffusa Willd

5-FU

5-fluorouracil

P-gp

P-glycoprotein

ABCG2

ATP-binding cassette subfamily G member 2

MDR

multiple drug resistance

TCM

traditional Chinese medicine

DMSO

dimethyl sulfoxide

PBS

phosphate-buffered saline

Rh-123

rhodamine-123

FBS

fetal bovine serum

HRP

horseradish peroxidase

RI

resistance index

PCR

polymerase chain reaction

References

1 

Jemal A, Bray F, Center MM, Ferlay J, Ward E and Forman D: Global cancer statistics. CA Cancer J Clin. 61:69–90. 2011. View Article : Google Scholar : PubMed/NCBI

2 

Scurr M, Ladell K, Besneux M, et al: Highly prevalent colorectal cancer-infiltrating LAP+ Foxp3− T cells exhibit more potent immunosuppressive activity than Foxp3+ regulatory T cells. Mucosal Immunol. 7:428–439. 2014. View Article : Google Scholar : PubMed/NCBI

3 

Giampieri R, Scartozzi M, Loretelli C, Piva F, Mandolesi A, Lezoche G, Del Prete M, Bittoni A, Faloppi L, Bianconi M, Cecchini L, Guerrieri M, Bearzi I and Cascinu S: Cancer stem cell gene profile as predictor of relapse in high risk stage II and stage III, radically resected colon cancer patients. PLoS One. 8:e728432013. View Article : Google Scholar : PubMed/NCBI

4 

Deeley RG, Westlake C and Cole SP: Transmembrane transport of endo- and xenobiotics by mammalian ATP-binding cassette multidrug resistance proteins. Physiol Rev. 86:849–899. 2006. View Article : Google Scholar : PubMed/NCBI

5 

Gottesman MM, Fojo T and Bates SE: Multidrug resistance in cancer: role of ATP-dependent transporters. Nat Rev Cancer. 2:48–58. 2008. View Article : Google Scholar

6 

Qiao D, Tang S, Aslam S, Ahmad M, To KK, Wang F, Huang Z, Cai J and Fu L: UMMS-4 enhanced sensitivity of chemotherapeutic agents to ABCB1-overexpressing cells via inhibiting function of ABCB1 transporter. Am J Cancer Res. 4:148–160. 2014.PubMed/NCBI

7 

Leslie EM, Deeley RG and Cole SP: Multidrug resistance proteins: role of P-glycoprotein, MRP1, MRP2, and BCRP (ABCG2) in tissue defense. Toxicol Appl Pharmacol. 204:216–237. 2005. View Article : Google Scholar : PubMed/NCBI

8 

Andersen V, Vogel U, Godiksen S, Frenzel FB, Sæbø M, Hamfjord J, Kure E and Vogel LK: Low ABCB1 gene expression is an early event in colorectal carcinogenesis. PLoS One. 8:e721192013. View Article : Google Scholar : PubMed/NCBI

9 

Zhang H, Wang YJ, Zhang YK, Wang DS, Kathawala RJ, Patel A, Talele TT, Chen ZS and Fu LW: AST1306, a potent EGFR inhibitor, antagonizes ATP-binding cassette subfamily G member 2-mediated multidrug resistance. Cancer Lett. 350:61–68. 2014. View Article : Google Scholar : PubMed/NCBI

10 

Wang X and Morris ME: Effects of the flavonoid chrysin on nitrofurantoin pharmacokinetics in rats: potential involvement of ABCG2. Drug Metab Dispos. 35:268–274. 2007. View Article : Google Scholar : PubMed/NCBI

11 

Robey RW, To KK, Polgar O, Dohse M, Fetsch P, Dean M and Bates SE: ABCG2: A perspective. Adv Drug Deliv Rev. 61:3–13. 2009. View Article : Google Scholar : PubMed/NCBI

12 

Li WY, Chan SW, Guo DJ, Chung MK, Leung TY and Yu PH: Water extract of Rheum officinale Baill. induces apoptosis in human lung adenocarcinoma A549 and human breast cancer MCF-7 cell lines. J Ethnopharmacol. 124:251–256. 2009. View Article : Google Scholar : PubMed/NCBI

13 

Rasul A, Yu B, Yang LF, Ali M, Khan M, Ma T and Yang H: Induction of mitochondria-mediated apoptosis in human gastric adenocarcinoma SGC-7901 cells by kuraridin and Nor-kurarinone isolated from Sophora flavescens. Asian Pac J Cancer Prev. 12:2499–2504. 2011.PubMed/NCBI

14 

Li Q, Sui H, Liu X, Qin JM, Yin PH and Fan ZZ: Effect of Jianpi Jiedu Recipe mediated JNK/SAPK signal transduction pathway on regulating multidrug resistance in human colon carcinoma cells. Zhonghua Zhong Yi Yao Za Zhi. 27:731–735. 2012.(In Chinese).

15 

Sadava D, Ahn J, Zhan M, Pang ML, Ding J and Kane SE: Effects of four Chinese herbal extracts on drug-sensitive and multidrug-resistant small-cell lung carcinoma cells. Cancer Chemother Pharmacol. 49:261–266. 2002. View Article : Google Scholar : PubMed/NCBI

16 

Xu D, Lu Q and Hu X: Down-regulation of P-glycoprotein expression in MDR breast cancer cell MCF-7/ADR by honokiol. Cancer Lett. 243:274–280. 2006. View Article : Google Scholar : PubMed/NCBI

17 

Wan CK, Zhu GY, Shen XL, Chattopadhyay A, Dey S and Fong WF: Gomisin A alters substrate interaction and reverses P-glycoprotein-mediated multidrug resistance in HepG2-DR cells. Biochem Pharmacol. 72:824–837. 2006. View Article : Google Scholar : PubMed/NCBI

18 

Liao B, Ge RY, Chen X, Huangfu ZP, Qi Y, Song YP and Wei XD: Synergistic reversal effect of Chinese medicine compound FFJZ combined with cyclosporine A on multidrug resistance of leukemia K562/VCR cell line. Zhongguo Shi Yan Xue Ye Xue Za Zhi. 15:752–755. 2007.(In Chinese). PubMed/NCBI

19 

Wang J, Xia Y, Wang H and Hou Z: Chinese herbs of Shenghe Powder reverse multidrug resistance of gastric carcinoma SGC-7901. Integr Cancer Ther. 6:400–404. 2007. View Article : Google Scholar : PubMed/NCBI

20 

Hu YJ, Shen XL, Lu HL, Zhang YH, Huang XA, Fu LC and Fong WF: Tenacigenin B derivatives reverse P-glycoprotein-mediated multidrug resistance in HepG2/Dox cells. J Nat Prod. 71:1049–1051. 2008. View Article : Google Scholar : PubMed/NCBI

21 

Angelini A, Di Ilio C, Castellani ML, Conti P and Cuccurullo F: Modulation of multidrug resistance p-glycoprotein activity by flavonoids and honokiol in human doxorubicin-resistant sarcoma cells (MES-SA/DX-5): implications for natural sedatives as chemosensitizing agents in cancer therapy. J Biol Regul Homeost Agents. 24:197–205. 2010.PubMed/NCBI

22 

Sui H, Liu X, Jin BH, Pan SF, Zhou LH, Yu NA, Wu J, Cai JF, Fan ZZ, Zhu HR and Li Q: Zuo Jin Wan, a traditional Chinese herbal formula, reverses P-gp-mediated MDR in vitro and in vivo. Evid Based Complement Alternat Med. 2013:9570782013.PubMed/NCBI

23 

Lin J, Chen Y, Wei L, Chen X, Xu W, Hong Z, Sferra TJ and Peng J: Hedyotis diffusa Willd extract induces apoptosis via activation of the mitochondrion-dependent pathway in human colon carcinoma cells. Int J Oncol. 37:1331–1338. 2010.PubMed/NCBI

24 

Lin J, Wei L, Xu W, Hong Z, Liu X and Peng J: Effect of Hedyotis diffusa Willd extract on tumor angiogenesis. Mol Med Rep. 4:1283–1288. 2011.PubMed/NCBI

25 

Cai Q, Lin J, Wei L, Zhang L, Wang L, Zhan Y, Zeng J, Xu W, Shen A, Hong Z and Peng J: Hedyotis diffusa Willd inhibits colorectal cancer growth in vivo via inhibition of STAT3 signaling pathway. Int J Mol Sci. 13:6117–6128. 2012. View Article : Google Scholar : PubMed/NCBI

26 

Lin J, Wei L, Shen A, Cai Q, Xu W, Li H, Zhan Y, Hong Z and Peng J: Hedyotis diffusa Willd extract suppresses Sonic hedgehog signaling leading to the inhibition of colorectal cancer angiogenesis. Int J Oncol. 42:651–656. 2013. View Article : Google Scholar : PubMed/NCBI

27 

Han Y, Bu LM, Ji X, Liu CY and Wang ZH: Modulation of multidrug resistance by andrographolid in a HCT-8/5-FU multidrug-resistant colorectal cancer cell line. Chin J Dig Dis. 6:82–86. 2005. View Article : Google Scholar : PubMed/NCBI

28 

Lee JS, Paull K, Alvarez M, Hose C, Monks A, Grever M, Fojo AT and Bates SE: Rhodamine efflux patterns predict P-glycoprotein substrates in the National Cancer Institute drug screen. Mol Pharmacol. 46:627–638. 1994.PubMed/NCBI

29 

Twentyman PR, Rhodes T and Rayner S: A comparison of rhodamine 123 accumulation and efflux in cells with P-glycoprotein-mediated and MRP-associated multidrug resistance phenotypes. Eur J Cancer. 30A:1360–1369. 1994. View Article : Google Scholar : PubMed/NCBI

30 

Van Cutsem E, Nordlinger B and Cervantes A: ESMO Guidelines Working Group: Advanced colorectal cancer: ESMO Clinical Practice Guidelines for treatment. Ann Oncol. 21(Suppl 5): v93–v97. 2010. View Article : Google Scholar : PubMed/NCBI

31 

Natarajan K, Xie Y, Baer MR and Ross DD: Role of breast cancer resistance protein (BCRP/ABCG2) in cancer drug resistance. Biochem Pharmacol. 83:1084–1103. 2012. View Article : Google Scholar : PubMed/NCBI

32 

Nakanishi T and Ross DD: Breast cancer resistance protein (BCRP/ABCG2): its role in multidrug resistance and regulation of its gene expression. Chin J Cancer. 31:73–99. 2012. View Article : Google Scholar : PubMed/NCBI

33 

Stacy AE, Jansson PJ and Richardson DR: Molecular pharmacology of ABCG2 and its role in chemoresistance. Mol Pharmacol. 84:655–669. 2013. View Article : Google Scholar : PubMed/NCBI

34 

Yang HW, Hua MY, Liu HL, Tsai RY, Pang ST, Hsu PH, Tang HJ, Yen TC and Chuang CK: An epirubicin-conjugated nanocarrier with MRI function to overcome lethal multidrug-resistant bladder cancer. Biomaterials. 33:3919–3930. 2012. View Article : Google Scholar : PubMed/NCBI

35 

Liu KJ, He JH, Su XD, Sim HM, Xie JD, Chen XG, Wang F, Liang YJ, Singh S, Sodani K, et al: Saracatinib (AZD0530) is a potent modulator of ABCB1-mediated multidrug resistance in vitro and in vivo. Int J Cancer. 132:224–235. 2013. View Article : Google Scholar : PubMed/NCBI

36 

Sane R, Mittapalli RK and Elmquist WF: Development and evaluation of a novel microemulsion formulation of elacridar to improve its bioavailability. J Pharm Sci. 102:1343–1354. 2013. View Article : Google Scholar : PubMed/NCBI

37 

Kono T, Hata T, Morita S, Munemoto Y, Matsui T, Kojima H, Takemoto H, Fukunaga M, Nagata N, Shimada M, Sakamoto J and Mishima H: Goshajinkigan oxaliplatin neurotoxicity evaluation (GONE): a phase 2, multicenter, randomized, double-blind, placebo-controlled trial of goshajinkigan to prevent oxaliplatin-induced neuropathy. Cancer Chemother Pharmacol. 72:1283–1290. 2013. View Article : Google Scholar : PubMed/NCBI

38 

Pallis M and Russell N: A drug efflux independant role for P-glycoprotein in augmenting the apoptosis induced by growth factor withdrawal in acute myeloid leukemia. Br J Haematol. 105:77–83. 1999.

Related Articles

  • Abstract
  • View
  • Download
  • Twitter
Copy and paste a formatted citation
Spandidos Publications style
Li Q, Wang X, Shen A, Zhang Y, Chen Y, Sferra TJ, Lin J and Peng J: Hedyotis diffusa Willd overcomes 5-fluorouracil resistance in human colorectal cancer HCT-8/5-FU cells by downregulating the expression of P-glycoprotein and ATP-binding casette subfamily G member 2. Exp Ther Med 10: 1845-1850, 2015.
APA
Li, Q., Wang, X., Shen, A., Zhang, Y., Chen, Y., Sferra, T.J. ... Peng, J. (2015). Hedyotis diffusa Willd overcomes 5-fluorouracil resistance in human colorectal cancer HCT-8/5-FU cells by downregulating the expression of P-glycoprotein and ATP-binding casette subfamily G member 2. Experimental and Therapeutic Medicine, 10, 1845-1850. https://doi.org/10.3892/etm.2015.2762
MLA
Li, Q., Wang, X., Shen, A., Zhang, Y., Chen, Y., Sferra, T. J., Lin, J., Peng, J."Hedyotis diffusa Willd overcomes 5-fluorouracil resistance in human colorectal cancer HCT-8/5-FU cells by downregulating the expression of P-glycoprotein and ATP-binding casette subfamily G member 2". Experimental and Therapeutic Medicine 10.5 (2015): 1845-1850.
Chicago
Li, Q., Wang, X., Shen, A., Zhang, Y., Chen, Y., Sferra, T. J., Lin, J., Peng, J."Hedyotis diffusa Willd overcomes 5-fluorouracil resistance in human colorectal cancer HCT-8/5-FU cells by downregulating the expression of P-glycoprotein and ATP-binding casette subfamily G member 2". Experimental and Therapeutic Medicine 10, no. 5 (2015): 1845-1850. https://doi.org/10.3892/etm.2015.2762
Copy and paste a formatted citation
x
Spandidos Publications style
Li Q, Wang X, Shen A, Zhang Y, Chen Y, Sferra TJ, Lin J and Peng J: Hedyotis diffusa Willd overcomes 5-fluorouracil resistance in human colorectal cancer HCT-8/5-FU cells by downregulating the expression of P-glycoprotein and ATP-binding casette subfamily G member 2. Exp Ther Med 10: 1845-1850, 2015.
APA
Li, Q., Wang, X., Shen, A., Zhang, Y., Chen, Y., Sferra, T.J. ... Peng, J. (2015). Hedyotis diffusa Willd overcomes 5-fluorouracil resistance in human colorectal cancer HCT-8/5-FU cells by downregulating the expression of P-glycoprotein and ATP-binding casette subfamily G member 2. Experimental and Therapeutic Medicine, 10, 1845-1850. https://doi.org/10.3892/etm.2015.2762
MLA
Li, Q., Wang, X., Shen, A., Zhang, Y., Chen, Y., Sferra, T. J., Lin, J., Peng, J."Hedyotis diffusa Willd overcomes 5-fluorouracil resistance in human colorectal cancer HCT-8/5-FU cells by downregulating the expression of P-glycoprotein and ATP-binding casette subfamily G member 2". Experimental and Therapeutic Medicine 10.5 (2015): 1845-1850.
Chicago
Li, Q., Wang, X., Shen, A., Zhang, Y., Chen, Y., Sferra, T. J., Lin, J., Peng, J."Hedyotis diffusa Willd overcomes 5-fluorouracil resistance in human colorectal cancer HCT-8/5-FU cells by downregulating the expression of P-glycoprotein and ATP-binding casette subfamily G member 2". Experimental and Therapeutic Medicine 10, no. 5 (2015): 1845-1850. https://doi.org/10.3892/etm.2015.2762
Follow us
  • Twitter
  • LinkedIn
  • Facebook
About
  • Spandidos Publications
  • Careers
  • Cookie Policy
  • Privacy Policy
How can we help?
  • Help
  • Live Chat
  • Contact
  • Email to our Support Team