Spandidos Publications Logo
  • About
    • About Spandidos
    • Aims and Scopes
    • Abstracting and Indexing
    • Editorial Policies
    • Reprints and Permissions
    • Job Opportunities
    • Terms and Conditions
    • Contact
  • Journals
    • All Journals
    • Oncology Letters
      • Oncology Letters
      • Information for Authors
      • Editorial Policies
      • Editorial Board
      • Aims and Scope
      • Abstracting and Indexing
      • Bibliographic Information
      • Archive
    • International Journal of Oncology
      • International Journal of Oncology
      • Information for Authors
      • Editorial Policies
      • Editorial Board
      • Aims and Scope
      • Abstracting and Indexing
      • Bibliographic Information
      • Archive
    • Molecular and Clinical Oncology
      • Molecular and Clinical Oncology
      • Information for Authors
      • Editorial Policies
      • Editorial Board
      • Aims and Scope
      • Abstracting and Indexing
      • Bibliographic Information
      • Archive
    • Experimental and Therapeutic Medicine
      • Experimental and Therapeutic Medicine
      • Information for Authors
      • Editorial Policies
      • Editorial Board
      • Aims and Scope
      • Abstracting and Indexing
      • Bibliographic Information
      • Archive
    • International Journal of Molecular Medicine
      • International Journal of Molecular Medicine
      • Information for Authors
      • Editorial Policies
      • Editorial Board
      • Aims and Scope
      • Abstracting and Indexing
      • Bibliographic Information
      • Archive
    • Biomedical Reports
      • Biomedical Reports
      • Information for Authors
      • Editorial Policies
      • Editorial Board
      • Aims and Scope
      • Abstracting and Indexing
      • Bibliographic Information
      • Archive
    • Oncology Reports
      • Oncology Reports
      • Information for Authors
      • Editorial Policies
      • Editorial Board
      • Aims and Scope
      • Abstracting and Indexing
      • Bibliographic Information
      • Archive
    • Molecular Medicine Reports
      • Molecular Medicine Reports
      • Information for Authors
      • Editorial Policies
      • Editorial Board
      • Aims and Scope
      • Abstracting and Indexing
      • Bibliographic Information
      • Archive
    • World Academy of Sciences Journal
      • World Academy of Sciences Journal
      • Information for Authors
      • Editorial Policies
      • Editorial Board
      • Aims and Scope
      • Abstracting and Indexing
      • Bibliographic Information
      • Archive
    • International Journal of Functional Nutrition
      • International Journal of Functional Nutrition
      • Information for Authors
      • Editorial Policies
      • Editorial Board
      • Aims and Scope
      • Abstracting and Indexing
      • Bibliographic Information
      • Archive
    • International Journal of Epigenetics
      • International Journal of Epigenetics
      • Information for Authors
      • Editorial Policies
      • Editorial Board
      • Aims and Scope
      • Abstracting and Indexing
      • Bibliographic Information
      • Archive
    • Medicine International
      • Medicine International
      • Information for Authors
      • Editorial Policies
      • Editorial Board
      • Aims and Scope
      • Abstracting and Indexing
      • Bibliographic Information
      • Archive
  • Articles
  • Information
    • Information for Authors
    • Information for Reviewers
    • Information for Librarians
    • Information for Advertisers
    • Conferences
  • Language Editing
Spandidos Publications Logo
  • About
    • About Spandidos
    • Aims and Scopes
    • Abstracting and Indexing
    • Editorial Policies
    • Reprints and Permissions
    • Job Opportunities
    • Terms and Conditions
    • Contact
  • Journals
    • All Journals
    • Biomedical Reports
      • Information for Authors
      • Editorial Policies
      • Editorial Board
      • Aims and Scope
      • Abstracting and Indexing
      • Bibliographic Information
      • Archive
    • Experimental and Therapeutic Medicine
      • Information for Authors
      • Editorial Policies
      • Editorial Board
      • Aims and Scope
      • Abstracting and Indexing
      • Bibliographic Information
      • Archive
    • International Journal of Epigenetics
      • Information for Authors
      • Editorial Policies
      • Editorial Board
      • Aims and Scope
      • Abstracting and Indexing
      • Bibliographic Information
      • Archive
    • International Journal of Functional Nutrition
      • Information for Authors
      • Editorial Policies
      • Editorial Board
      • Aims and Scope
      • Abstracting and Indexing
      • Bibliographic Information
      • Archive
    • International Journal of Molecular Medicine
      • Information for Authors
      • Editorial Policies
      • Editorial Board
      • Aims and Scope
      • Abstracting and Indexing
      • Bibliographic Information
      • Archive
    • International Journal of Oncology
      • Information for Authors
      • Editorial Policies
      • Editorial Board
      • Aims and Scope
      • Abstracting and Indexing
      • Bibliographic Information
      • Archive
    • Medicine International
      • Information for Authors
      • Editorial Policies
      • Editorial Board
      • Aims and Scope
      • Abstracting and Indexing
      • Bibliographic Information
      • Archive
    • Molecular and Clinical Oncology
      • Information for Authors
      • Editorial Policies
      • Editorial Board
      • Aims and Scope
      • Abstracting and Indexing
      • Bibliographic Information
      • Archive
    • Molecular Medicine Reports
      • Information for Authors
      • Editorial Policies
      • Editorial Board
      • Aims and Scope
      • Abstracting and Indexing
      • Bibliographic Information
      • Archive
    • Oncology Letters
      • Information for Authors
      • Editorial Policies
      • Editorial Board
      • Aims and Scope
      • Abstracting and Indexing
      • Bibliographic Information
      • Archive
    • Oncology Reports
      • Information for Authors
      • Editorial Policies
      • Editorial Board
      • Aims and Scope
      • Abstracting and Indexing
      • Bibliographic Information
      • Archive
    • World Academy of Sciences Journal
      • Information for Authors
      • Editorial Policies
      • Editorial Board
      • Aims and Scope
      • Abstracting and Indexing
      • Bibliographic Information
      • Archive
  • Articles
  • Information
    • For Authors
    • For Reviewers
    • For Librarians
    • For Advertisers
    • Conferences
  • Language Editing
Login Register Submit
  • This site uses cookies
  • You can change your cookie settings at any time by following the instructions in our Cookie Policy. To find out more, you may read our Privacy Policy.

    I agree
Search articles by DOI, keyword, author or affiliation
Search
Advanced Search
presentation
International Journal of Molecular Medicine
Join Editorial Board Propose a Special Issue
Print ISSN: 1107-3756 Online ISSN: 1791-244X
Journal Cover
August-2017 Volume 40 Issue 2

Full Size Image

Sign up for eToc alerts
Recommend to Library

Journals

International Journal of Molecular Medicine

International Journal of Molecular Medicine

International Journal of Molecular Medicine is an international journal devoted to molecular mechanisms of human disease.

International Journal of Oncology

International Journal of Oncology

International Journal of Oncology is an international journal devoted to oncology research and cancer treatment.

Molecular Medicine Reports

Molecular Medicine Reports

Covers molecular medicine topics such as pharmacology, pathology, genetics, neuroscience, infectious diseases, molecular cardiology, and molecular surgery.

Oncology Reports

Oncology Reports

Oncology Reports is an international journal devoted to fundamental and applied research in Oncology.

Experimental and Therapeutic Medicine

Experimental and Therapeutic Medicine

Experimental and Therapeutic Medicine is an international journal devoted to laboratory and clinical medicine.

Oncology Letters

Oncology Letters

Oncology Letters is an international journal devoted to Experimental and Clinical Oncology.

Biomedical Reports

Biomedical Reports

Explores a wide range of biological and medical fields, including pharmacology, genetics, microbiology, neuroscience, and molecular cardiology.

Molecular and Clinical Oncology

Molecular and Clinical Oncology

International journal addressing all aspects of oncology research, from tumorigenesis and oncogenes to chemotherapy and metastasis.

World Academy of Sciences Journal

World Academy of Sciences Journal

Multidisciplinary open-access journal spanning biochemistry, genetics, neuroscience, environmental health, and synthetic biology.

International Journal of Functional Nutrition

International Journal of Functional Nutrition

Open-access journal combining biochemistry, pharmacology, immunology, and genetics to advance health through functional nutrition.

International Journal of Epigenetics

International Journal of Epigenetics

Publishes open-access research on using epigenetics to advance understanding and treatment of human disease.

Medicine International

Medicine International

An International Open Access Journal Devoted to General Medicine.

Journal Cover
August-2017 Volume 40 Issue 2

Full Size Image

Sign up for eToc alerts
Recommend to Library

  • Article
  • Citations
    • Cite This Article
    • Download Citation
    • Create Citation Alert
    • Remove Citation Alert
    • Cited By
  • Similar Articles
    • Related Articles (in Spandidos Publications)
    • Similar Articles (Google Scholar)
    • Similar Articles (PubMed)
  • Download PDF
  • Download XML
  • View XML
Article

Suppressive effect of an aqueous extract of Diospyros kaki calyx on dust mite extract/2,4-dinitrochlorobenzene-induced atopic dermatitis-like skin lesions

  • Authors:
    • Ju-Hee Yu
    • Meiling Jin
    • Young-Ae Choi
    • Na-Hee Jeong
    • Jeong-Sook Park
    • Tae-Yong Shin
    • Sang-Hyun Kim
  • View Affiliations / Copyright

    Affiliations: CMRI, Department of Pharmacology, School of Medicine, Kyungpook National University, Daegu 700-422, Republic of Korea, Department of Nursing, Nambu University, Gwangju 506-706, Republic of Korea, College of Pharmacy, Woosuk University, Jeonju 565-701, Republic of Korea
  • Pages: 505-511
    |
    Published online on: June 12, 2017
       https://doi.org/10.3892/ijmm.2017.3017
  • Expand metrics +
Metrics: Total Views: 0 (Spandidos Publications: | PMC Statistics: )
Metrics: Total PDF Downloads: 0 (Spandidos Publications: | PMC Statistics: )
Cited By (CrossRef): 0 citations Loading Articles...

This article is mentioned in:



Abstract

Atopic dermatitis (AD) is a common chronic inflammatory skin disease, affecting 10-20% of individuals worldwide. Therefore, the discovery of drugs for treating AD is an attractive subject and important to human health. Diospyros kaki and Diospyros kaki (D. kaki) folium exert beneficial effects on allergic inflammation. However, the effect of D. kaki calyx on AD remains elusive. The present study evaluated the effects of an aqueous extract of D. kaki calyx (AEDKC) on AD-like skin lesions using mouse and keratinocyte models. We used a mouse AD model by the repeated skin exposure of house dust mite extract [Dermatophagoides farinae extract (DFE)] and 2,4-dinitrochlorobenzene (DNCB) to the ears. In addition, to determine the underlying mechanism of its operation, tumor necrosis factor-α (TNF-α) and interferon-γ (IFN-γ)-activated keratinocytes (HaCaT) were used. Oral administration of AEDKC decreased AD-like skin lesions, as demonstrated by the reduced ear thickness, serum immunoglobulin E (IgE), DFE-specific IgE, IgG2a, histamine level and inflammatory cell infiltration. AEDKC inhibited the expression of pro-inflammatory cytokines and a chemokine via downregulation of nuclear factor-κB and signal transducer and activator of transcription 1 in HaCaT cells. On examination of the AD-related factors in vivo and in vitro, it was confirmed that AEDKC decreased AD-like skin lesions. Taken together, the results suggest that AEDKC is a potential drug candidate for the treatment of AD.

Introduction

Atopic dermatitis (AD) is a chronic allergic inflammatory skin disease, characterized by pruritic, skin thickening, erythema, and eczematous skin lesions (1). The interaction of multiple factors such as environmental factors, skin barrier function, and the immune system is attributed to the pathogenesis of AD (2). Among the environmental factors, Dermatophagoides farinae (D. farinae) is a type of house dust mite and is a common environmental allergen associated with human AD. D. farinae extract (DFE) is known to contribute to the pathogenesis of AD by inducing both acute and chronic AD lesions (3–5). The major mechanistic studies on AD point to the imbalance of Th1 and Th2 responses in favor of Th2 responses (4,6). Other studies have reported that the acute and chronic phases of AD are predominantly a Th2 and Th1 response, respectively (1,7,8). It is also known that immunoglobulin E (IgE) production is associated with Th2 cellular response, whereas IgG2a is associated with Th1 response (1). The importance of Th1 and Th2 cytokines in skin inflammation has been demonstrated (4,9). The major cytokines released from Th1 and Th2 cells are interferon-γ (IFN-γ) and interleukin-4 (IL-4) (10). IL-4 and IFN-γ play critical roles in isotype switching to IgE and IgG2a, respectively (1).

Keratinocyte activation is a feature of the pathogenesis of the acute and chronic stages of AD (11). The keratinocytes of AD patients exhibit a propensity for an exaggerated cytokine/chemokine expression, a phenomenon that may be relevant in promoting and maintaining inflammation (12). Therefore, the suppression of keratinocyte activation is a target for the treatment of AD (13).

The treatment of AD mainly consists of topical steroid creams and oral steroids as immunosuppressants (14). However, chronic usage of steroids can cause thinning of the skin, leading to cracking and bleeding (15). Hence, drugs with no side effects for the treatment of AD are still being extensively explored. Recently, many natural products have been reported to exhibit anti-inflammatory properties and have the potential to treat skin inflammatory disorders, especially AD (16,17).

Diospyros kaki (Ebenaceae) is a well-known conventional medicinal herb (18). D. kaki calyx is also generally used as a traditional medicine in Asia to relieve asthma, chronic bronchitis, and cough symptoms (19,20). D. kaki calyx contains various biologically active compounds, such as stearic acid, palmitic acid, succinic acid, syringic acid, vanillic acid, gallic acid, kaempferol, trifolin, β-hydroxyursolic acid, friedelin, oleanolic acid, quercetin, β-sitosterol and ursolic acid (21). Among the various compounds, gallic acid, quer-cetin, β-sitosterol and oleanolic acid are already known to possess anti-AD potential (4,22–24). In spite of various studies regarding the biological effects of D. kaki, the anti-AD effect of D. kaki calyx has not yet been reported. The aim of the present study was to assure the beneficial effects of aqueous extract of D. kaki calyx (AEDKC) on AD and to define the underlying mechanisms of these effects.

Materials and methods

Animals

Six-week-old female BALB/c mice were purchased from SLC Inc. (Hamamatsu, Japan). The mice were housed with 5 mice/cage in a laminar air flow room maintained at a temperature of 22±2°C, a relative humidity of 55±5% and a 12 h light:dark cycle throughout the study. The care and treatment of the mice were in accordance with the guidelines established by the Public Health Service Policy on the Humane Care and Use of Laboratory Animals and were approved by the Institutional Animal Care and Use Committee of Kyungpook National University.

Preparation of AEDKC, reagents and cell culture

D. kaki calyx used in this study was purchased from the Oriental drug store Bohwa Dang (Jeonju, Korea) and identified by Dr D.K. Kim at the College of Pharmacy, Woosuk University. A voucher specimen (no. WSP-15-098) was deposited at the Herbarium of the College of Pharmacy, Woosuk University. The sample was extracted with purified water at 70°C for 5 h (2 times) in a water bath. Then the extract was filtered, lyophilized, and then kept at 4°C. The yield of dried extract from starting crude materials was ~10.1%.

For the animal experiments, the dried residue was dissolved in phosphate-buffered saline (PBS). DFE (Greer Laboratories, Lenoir, NC, USA) and 2,4-dinitrochlorobenzene (DNCB) were used as antigen and hapten for the induction of AD-like skin lesions, respectively. All other reagents were purchased from Sigma (St. Louis, MO, USA) unless otherwise stated. DFE was dissolved in PBS containing 0.5% Tween-20. DNCB was dissolved in an acetone/olive oil (1:3) solution. Recombinant human tumor necrosis factor-α (TNF-α) and IFN-γ were purchased from R&D Systems (Minneapolis, MN, USA).

A human keratinocyte cell line, HaCaT, was maintained in Dulbecco's modified Eagle's medium (DMEM) supplemented with 10% fetal bovine serum (FBS) and antibiotics (100 U/m penicillin G, 100 µg/ml streptomycin) at 37°C under 5% CO2. Passages 3–6 were used throughout the study.

Induction of AD-like lesions in the ears of mice

AD-like lesions were induced by DFE and DNCB according to previous studies (4,5). The schematic experimental procedure is described in Fig. 1A. Female BALB/c mice were divided into 6 groups (n=5): vehicle, DFE/DNCB plus vehicle, DFE/DNCB plus AEDKC (1, 10 and 100 mg/kg), or dexamethasone (Dexa, 1 mg/kg). Mice were anesthetized with ketamine and the surfaces of both ear lobes were very gently stripped 4 times with surgical tape (Nichiban, Tokyo, Japan). Then, 20 µl of DNCB (1%) was painted on each ear and then with 20 µl of DFE (10 mg/ml) 4 days later. DFE/DNCB exposure was repeated once a week rotationally for 4 weeks. Two weeks after the first induction, tail bleeding was performed to evaluate the serum IgE level. After the confirmation of AD, as indicated by the IgE level, AEDKC was orally administered until the end of the 4-week induction (5 times/week). Ear thickness was measured the following day at the same time after DFE or DNCB application using a dial thickness gauge (Mitutoyo, Co., Tokyo, Japan).

Figure 1

Experimental design and ear thickness of mice. (A) Experimental design of the induction of atopic dermatitis (AD). One week after the first exposure to Dermatophagoides farinae extract (DFE) (10 mg/ml, 20 µl/ear), 1% 2,4-dinitrochlorobenzene (DNCB) (20 µl/ear) was rotationally applied to both ears once a week for 4 weeks. After 1 week of induction, an aqueous extract of D. kaki calyx (AEDKC) (1, 10 or 100 mg/kg) was orally administered every day for 3 weeks (n=5). (B) Ear thickness was measured 24 h after DFE or DNCB exposure with a dial thickness gauge. Data are presented as mean ± SE (n=5). *p<0.05, significantly lower than those of AD mice. Dexa, dexamethasone.

On day 28, blood samples were collected by orbital puncture. After the blood had clotted at room temperature, it was centrifuged at 400 x g for 15 min at 4°C, and the serum was isolated. The serum was stored at −80°C for additional analysis. The ear of each mice was removed and subjected to histopathological analysis. Serum IgE and IgG2a levels were measured using an enzyme-linked immunosorbent assay (ELISA) kit (BD Biosciences, Oxford, UK) according to the manufacturer's instructions. For the detection of DFE-specific IgE, 96-well plates (Nunc, Wiesbaden, Germany) were coated with 10 mg DFE in PBS. The DFE-specific IgE level was indicated by the OD value.

Histological observation

The ears were fixed with 10% formaldehyde and embedded in paraffin. Sections (5 µm) were stained with hematoxylin and eosin (H&E) and toluidine blue (TB). To measure Infiltrated lymphocytes, thickening of the epidermis, and fibrosis in the dermis, skin sections were stained with H&E and the stained fields were observed by microscopy. To measure mast cell infiltration, skin sections were stained with TB, and the number of mast cells in the 5 sites chosen at random was counted. Eosinophils were counted in a blinded manner in 10 high-power fields at a magnification of ×400. Epidermal and dermal thickness of the H&E-stained sections was analyzed under a magnification of ×200. Thickness was measured in 5 randomly chosen fields from each sample.

Histamine assay

Histamine content was measured following the o-phthaldialdehyde spectrofluorometric procedure of a previous study (25). The blood from mice was centrifuged at 400 x g for 15 min, and the serum was diluted with PBS and withdrawn to measure the histamine content. Fluorescence intensity was measured using 355-nm excitation and 450-nm filters and the fluorescence spectrometer LS-50B (Perkin-Elmer, Norwalk, CT, USA).

qPCR

To detect the expression of cytokines, qPCR was performed using the Thermal Cycler Dice TP850 (Takarabio Inc., Shiga, Japan) according to the manufacturer's protocol. HaCaT cells (1×105 cells/24-well plate) were pretreated with AEDKC for 1 h, and then stimulated with TNF-α (10 ng/ml) and IFN-γ (10 ng/ml) for 6 h. Total cellular RNA was isolated from cells as described in a previous study (4). Briefly, 1 µl of cDNA (100 ng), 1 µl of a sense and antisense primer solution (0.4 µM), 12.5 µl of SYBR Premix Ex Taq (Takarabio Inc), and 9.5 µl of nuclease-free water were mixed together to obtain a final 25 µl reaction mixture in each reaction tube. The conditions for PCR were similar to those of a previous study (4). The normalization and quantification of mRNA expression were performed using TP850 software supplied by the manufacturer.

Western blot analysis

Samples for western blot analysis were prepared in accordance with a previous study (26). Briefly, HaCaT cells (2×106 cells/6-well plate) were pretreated with AEDKC for 1 h and then stimulated with TNF-α (10 ng/ml) and IFN-γ (10 ng/ml) for 30 min to activate signal transducer and activator of transcription 1 (STAT1) and nuclear factor-κB (NF-κB). Cells were rinsed once with ice-cold PBS, and total cell lysates were collected in 100 µl of lysis buffer. The lysates were spun in a micro-centrifuge for 20 min at 4°C, and the supernatant was collected. Proteins were subjected to 10% sodium dodecyl sulfate-polyacrylamide gel electrophoresis (SDS-PAGE) and then transferred to nitrocellulose membranes. The membranes were stained with reversible Ponceau S to ensure equal loading of samples onto the gels. Nuclear and cytosolic p65 NF-κB and IκBα were assayed using anti-NF-κB (p65; sc-109) and anti-IκBα (sc-371) antibodies (Santa Cruz Biotechnology, Inc., Santa Cruz, CA, USA), respectively. The phosphorylation of STAT1 was detected using anti-STAT1 (#9172) and anti-phospho-STAT1 (#9167) antibodies (Cell Signaling Technology, Beverly, MA, USA). Anti-β-actin (sc-8432; mouse monoclonal; 1:1,000) was from Santa Cruz Biotechnology, Inc. Immunodetection was conducted using Supersignal West Pico Chemiluminescent Substrate (Thermo Fisher Scientific, Waltham, MA, USA).

Statistical analysis

Statistical analyses were performed using Prism 5 (GraphPad Software, San Diego, CA, USA). Treatment effects were analyzed using one-way analysis of variance followed by Dunnett's test. A p-value <0.05 indicates a statistically significant difference.

Results

Effects of AEDKC on histopathological observations

To investigate the efficacy of AEDKC on AD-like skin lesions, a DFE/DNCB-induced AD-like model was used. During the induction period, the ear swelling of mice was measured after 24 h of DFE or DNCB induction (Fig. 1B). The tendency of ear swelling of mice in each group was similar until after 2 weeks. After 19 days of AD induction, oral administration of AEDKC considerably reduced ear thickness. DFE/DNCB treatment during the induction period (4 weeks) evoked severe AD-like skin lesions (Fig. 2A). Mouse ears became red and swollen after DFE/DNCB exposure. However, oral treatment of AEDKC relieved these symptoms compare to the AD mice. Dexamethasone (Dexa) was used as a positive control drug. Oral administration of AEDKC five consecutive days a week during 3 weeks did not alter the body weight of mice (data not shown), indicating that AEDKC exhibited no toxic effects.

Figure 2

Representative images of the effects of an aqueous extract of D. kaki calyx (AEDKC) on Dermatophagoides farinae extract (DFE)/2,4-dinitrochlorobenzene (DNCB)-induced atopic dermatitis (AD)-like skin lesions in the ear, histological analysis, and cell infiltration in mice. (A) Representative photomicrographs (upper panel) of ear sections stained with hematoxylin and eosin (H&E, middle panel) or toluidine blue (TB, lower panel). (B) Epidermal and dermal thickness (µm). (C and D) The number of cells is expressed as the mean number of cells at 5 random sites for each animal. Data are presented as mean ± SE (n=5). *p<0.05, significantly lower than those of the AD mice. Dexa, dexamethasone.

Histological analysis showed that AEDKC treatment significantly suppressed erythema and infiltration of acute inflammatory cells compared with the AD mice (Fig. 2B–D). Epidermis thickening is regarded as an important factor that contributes to ear swelling (22). Compared to the AD mice, AEDKC considerably decreased DFE/DNCB-induced epidermal and dermal thickness (Fig. 2B) and infiltration of eosinophils (Fig. 2C). Mast cell-derived inflammatory mediators and histamine contribute to itching and inflammation in AD (7). Thus, mast cell infiltration into the AD site and serum histamine level were measured; AEDKC attenuated both mast cell infiltration (Fig. 2D) and serum histamine (Fig. 3A).

Figure 3

Serum levels of histamine and immunoglobulin E (IgE) in mice. The blood samples were collected by orbital puncture after 28 days. (A) Histamine levels were detected using a fluorescent plate reader. (B) Serum total IgE levels, (C) Dermatophagoides farinae extract (DFE)-specific IgE levels, and (D) total IgG2a levels were measured by ELISA. Data are presented as mean ± SE (n=5). *p<0.05, significantly lower than those in atopic dermatitis (AD) mice. Dexa, dexamethasone.

Effects of AEDKC on serum immunoglobulin

We previously reported a substantial increase in serum immunoglobulin and cytokines in DFE/DNCB-induced AD mice (4). To distinguish the role of AEDKC on the Th1 and Th2 response, we examined individually the serum levels of IgG2a and IgE (total and DFE-specific). Compared with the AD mice, the levels of total IgE, DFE-specific IgE, and IgG2a were markedly decreased in the serum of mice treated with AEDKC (Fig. 3B–D).

Effects of AEDKC on keratinocyte activation

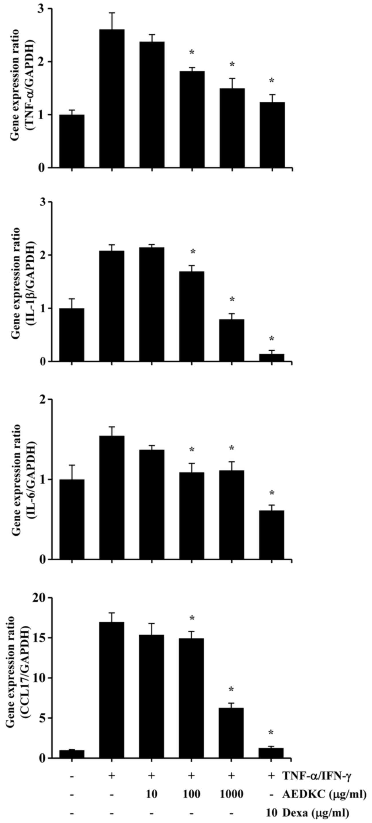
After establishing the inhibitory effect of AEDKC on AD mice, the keratinocyte model was used to ascertain the molecular mechanism and biological function of AEDKC. Keratinocytes have been broadly used to imitate the AD environment in vitro (27). They exhibit a similar immune response during the development of skin disorders, such as AD-like skin lesions (28). First, we evaluated the cytotoxicity of AEDKC by exposing HaCaT cells to various concentrations of AEDKC for 24 h. In the MTT assay, AEDKC did not exert cytotoxicity at concentrations up to 1,000 µg/ml in the keratinocytes (data not shown). To examine the effect of AEDKC on pro-inflammatory cytokines and a chemokine, HaCaT cells were pretreated with AEDKC for 1 h, followed by the stimulation with TNF-α/IFN-γ for 6 h. The results of qPCR indicated that AEDKC inhibited TNF-α/IFN-γ-induced gene expression of TNF-α, IL-1β, IL-6 and CCL17 in the HaCaT cells (Fig. 4).

Figure 4

Expression of cytokines and chemokine in tumor necrosis factor-α (TNF-α)/interferon-γ (IFN-γ)-stimulated HaCaT cells. Cells were pretreated with an aqueous extract of D. kaki calyx (AEDKC) (10, 100 and 1,000 µg/ml) or Dexa (10 µg/ml) for 1 h and then stimulated with TNF-α (10 ng/ml) and IFN-γ (10 ng/ml) for 6 h. The expression levels of cytokines and chemokine CCL17 were determined by qPCR. Data are presented as mean ± SE. *p<0.05, significantly lower than the TNF-α/IFN-γ-stimulated positive control. Dexa, dexamethasone.

Thereafter, the regulatory effect of AEDKC on the expression of pro-inflammatory cytokines and a chemokine was examined. To establish the mechanism responsible for the inhibitory effect of AEDKC, we investigated the effect of AEDKC on TNF-α/IFN-γ-induced activation of STAT1 and NF-κB. Previous studies have reported that the STAT and NF-κB signaling pathways contribute to the production of pro-inflammatory cytokines (TNF-α, IL-1β and IL-6) and chemokine (CCL17) in TNF-α/IFN-γ-induced HaCaT cells (29,30). As shown in Fig. 5, activation of STAT1 and NF-κB was reduced by AEDKC (1,000 µg/ml).

Figure 5

Effect of an aqueous extract of D. kaki calyx (AEDKC) on signal transducer and activator of transcription 1 (STAT1) and nuclear factor-κB (NF-κB) signaling pathways. Cells were pretreated with AEDKC (1,000 µg/ml) or Dexa (10 µg/ml) for 1 h and then stimulated with tumor necrosis factor-α (TNF-α) (10 ng/ml) and interferon-γ (IFN-γ) (10 ng/ml) for 30 min for the activation of STAT1 and NF-κB. The phosphorylation of STAT1, degradation of IκBα, and nuclear translocation of NF-κB were analyzed by western blot analysis. The data shown represent three independent experiments. β-actin was used as a loading control. N-NF-κB, nuclear NF-κB. Dexa, dexamethasone.

Discussion

Various parts of Diospyros kaki have been widely used as a herbal medicine including the treatment of allergic inflammation (17,31). D. kaki folium ameliorates transepidermal water loss in AD and allergic skin symptoms (32). D. kaki calyx has been generally used to relieve asthma, cough symptoms and chronic bronchitis (19,20). Various ingredients of D. kaki calyx have been reported (39). Among them, gallic acid, oleanolic acid, quercetin, and β-sitosterol are known to act as biological active compounds (4,22–24). Based on the known various pharmacological activity of D. kaki, the role of AEDKC on AD-like skin lesions was evaluated using in vivo and in vitro models.

To examine the effect of AEDKC on AD-like skin lesions, we adopted a DFE/DNCB-induced AD mouse model. This AD model is often used by many researchers due to the reproducibility and AD-like characteristics involved in both Th1 and Th2 responses as in human AD patients exposed to DFE, a common allergen (1,4,9). We previously reported that this mouse model exhibits phenotypes reminiscent of both acute and chronic AD lesions, including spongiosis, epidermal hyperplasia, fibrosis and infiltration of inflammatory cells (eosinophils and mast cells) (4). In the present study, we confirmed that mice epicutaneously sensitized with DFE/DNCB exhibited ear redness and swelling, hyperplasia and dysregulated differentiation of the epidermis, and infiltration of dermal inflammatory cells. Oral administration of AEDKC relieved the typical and histological changes such as intense ear thickness, dysregulated differentiation of the epidermis, dermal and epidermal thickness, epidermal hyperplasia, and infiltration of inflammatory cells. Mast cells are key effector cells in patients with IgE receptor (FcεRI)-bearing immediate allergic disorders (33). Activation of mast cells leads to the release of mediators such as cytokines and histamine. Histamine mainly induces pruritus and edema; thus, it is likely to be a crucial mediator in AD patients (34). In addition, serum histamine levels have been reported to be significantly higher in AD patients than that in normal human skin (35). The present results indicate that oral administration of AEDKC reduced serum histamine levels and the pathogenesis of skin lesions in AD.

In AD condition, keratinocytes release a characteristic form of cytokines/chemokines after pro-inflammatory cytokine exposure (36). TNF-α and IFN-γ can synergistically induce important cytokines for AD symptoms in keratinocytes, and this experimental model has been widely used to mimic the AD environment in vitro (4,27). Several studies have reported that CCL17 is overexpressed in the serum of AD patients, and that the severity of AD is strongly correlated with the chemokine levels (37,38). Dexamethasone is an effective immunosuppressive medication widely used in the treatment of AD (39). Thus, it was used as a positive control. The present results indicated that AEDKC treatment suppressed TNF-α/IFN-γ-induced TNF-α, IL-1β, IL-6 and CCL17. Compared to the effects of dexamethasone, AEDKC at a high dose showed a similar immune suppressive effect in keratinocytes.

STAT1 and NF-κB in the cytoplasm translocate into the nucleus, where they participate in the expression of pro-inflammatory genes (30). CCL17 promoters contain STAT1 and NF-κB binding sequences, and these transcription factors mediate the transcription of genes (30). In this study, we demonstrated that AEDKC inhibited the signaling pathways involved in the activation of STAT1 and NF-κB. AEDKC suppressed STAT1 phosphorylation. Furthermore, AEDKC inhibited the degradation of IκBα and nuclear translocation of NF-κB. These results indicate that AEDKC exerts inhibitory effect on CCL17 via the downregulation of both STAT1 and NF-κB. This study provides evidence that AEDKC has suppressive effects on TNF-α/IFN-γ-induced expression of pro-inflammatory cytokines and chemokine by the blocking of STAT1 and NF-κB. CCL17 is adjusted by the STAT1 and NF-κB pathways in keratinocytes; thus, the present results indicate that AEDKC may reduce AD-like skin lesions by suppressing CCL17.

In this study, we demonstrated that AEDKC suppressed the development of AD-like skin lesions in both in vivo and in vitro models. AEDKC inhibited the cytokines and chemokine involved in AD via blocking NF-κB and STAT1 signaling pathways in keratinocytes. Taken together, AEDKC is a potential effective treatment for AD and could be used as a pharmacological agent or food supplement.

Acknowledgments

This study was supported by the National Research Foundation of Korea (nos. 2014R1A5A2009242, 2012M3A9B6055416 and 2016R1A2B4008513), KRIBB Research Initiative Program (KGM4251723), and High Value-added Food Technology Development Program, Ministry of Agriculture, Food and Rural Affairs.

References

1 

Bieber T: Atopic dermatitis. Ann Dermatol. 22:125–137. 2010. View Article : Google Scholar : PubMed/NCBI

2 

Boguniewicz M and Leung DY: Atopic dermatitis: A disease of altered skin barrier and immune dysregulation. Immunol Rev. 242:233–246. 2011. View Article : Google Scholar : PubMed/NCBI

3 

Dai X, Sayama K, Tohyama M, Shirakata Y, Hanakawa Y, Tokumaru S, Yang L, Hirakawa S and Hashimoto K: Mite allergen is a danger signal for the skin via activation of inflammasome in keratinocytes. J Allergy Clin Immunol. 127:806–14.e1. 42011. View Article : Google Scholar : PubMed/NCBI

4 

Choi JK, Oh HM, Lee S, Park JW, Khang D, Lee SW, Lee WS, Rho MC and Kim SH: Oleanolic acid acetate inhibits atopic dermatitis and allergic contact dermatitis in a murine model. Toxicol Appl Pharmacol. 269:72–80. 2013. View Article : Google Scholar : PubMed/NCBI

5 

Kwon HK, Lee CG, So JS, Chae CS, Hwang JS, Sahoo A, Nam JH, Rhee JH, Hwang KC and Im SH: Generation of regulatory dendritic cells and CD4+Foxp3+ T cells by probiotics administration suppresses immune disorders. Proc Natl Acad Sci USA. 107:2159–2164. 2010. View Article : Google Scholar

6 

Kim JY, Jeong MS, Park MK, Lee MK and Seo SJ: Time-dependent progression from the acute to chronic phases in atopic dermatitis induced by epicutaneous allergen stimulation in NC/Nga mice. Exp Dermatol. 23:53–57. 2014. View Article : Google Scholar

7 

Oyoshi MK, He R, Kumar L, Yoon J and Geha RS: Cellular and molecular mechanisms in atopic dermatitis. Adv Immunol. 102:135–226. 2009. View Article : Google Scholar : PubMed/NCBI

8 

Matsushima H, Hayashi S and Shimada S: Skin scratching switches immune responses from Th2 to Th1 type in epicutaneously immunized mice. J Dermatol Sci. 32:223–230. 2003. View Article : Google Scholar : PubMed/NCBI

9 

Novak N: New insights into the mechanism and management of allergic diseases: Atopic dermatitis. Allergy. 64:265–275. 2009. View Article : Google Scholar : PubMed/NCBI

10 

Yoon SY, Kang HB, Ko YE, Shin SH, Kim YJ, Sohn KY, Han YH, Chong S and Kim JW: 1-palmitoyl-2-linoleoyl-3-acetyl-rac-glycerol (EC-18) Modulates Th2 Immunity through Attenuation of IL-4 Expression. Immune Netw. 15:100–109. 2015. View Article : Google Scholar : PubMed/NCBI

11 

Kaiko GE and Foster PS: New insights into the generation of Th2 immunity and potential therapeutic targets for the treatment of asthma. Curr Opin Allergy Clin Immunol. 11:39–45. 2011. View Article : Google Scholar

12 

Girolomoni G and Pastore S: Epithelial cells and atopic diseases. Curr Allergy Asthma Rep. 1:481–482. 2001. View Article : Google Scholar

13 

Trautmann A, Akdis M, Schmid-Grendelmeier P, Disch R, Bröcker EB, Blaser K and Akdis CA: Targeting keratinocyte apoptosis in the treatment of atopic dermatitis and allergic contact dermatitis. J Allergy Clin Immunol. 108:839–846. 2001. View Article : Google Scholar : PubMed/NCBI

14 

Wollenberg A and Ehmann LM: Long term treatment concepts and proactive therapy for atopic eczema. Ann Dermatol. 24:253–260. 2012. View Article : Google Scholar : PubMed/NCBI

15 

Hsu CJ and Wang LF: Emerging treatment of atopic dermatitis. Clin Rev Allergy Immunol. 33:199–203. 2007. View Article : Google Scholar : PubMed/NCBI

16 

Choi JH, Jin SW, Park BH, Kim HG, Khanal T, Han HJ, Hwang YP, Choi JM, Chung YC, Hwang SK, et al: Cultivated ginseng inhibits 2,4-dinitrochlorobenzene-induced atopic dermatitis-like skin lesions in NC/Nga mice and TNF-α/IFN-γ-induced TARC activation in HaCaT cells. Food Chem Toxicol. 56:195–203. 2013. View Article : Google Scholar : PubMed/NCBI

17 

Kim HH, Kim DS, Kim SW, Lim SH, Kim DK, Shin TY and Kim SH: Inhibitory effects of Diospyros kaki in a model of allergic inflammation: Role of cAMP, calcium and nuclear factor-κB. Int J Mol Med. 32:945–951. 2013.PubMed/NCBI

18 

Jung HG, Kim HH, Paul S, Jang JY, Cho YH, Kim HJ, Yu JM, Lee ES, An BJ, Kang SC, et al: Quercetin-3-O-β-d-glucopyranosyl-(1→6)-β-d-glucopyranoside suppresses melanin synthesis by augmenting p38 MAPK and CREB signaling pathways and subsequent cAMP downregulation in murine melanoma cells. Saudi J Biol Sci. 22:706–713. 2015. View Article : Google Scholar : PubMed/NCBI

19 

Bei W, Zang L, Guo J, Peng W, Xu A, Good DA, Hu Y, Wu W, Hu D, Zhu X, et al: Neuroprotective effects of a standardized flavonoid extract from Diospyros kaki leaves. J Ethnopharmacol. 126:134–142. 2009. View Article : Google Scholar : PubMed/NCBI

20 

Sa YS, Kim SJ and Choi HS: The anticoagulant fraction from the leaves of Diospyros kaki L. has an antithrombotic activity. Arch Pharm Res. 28:667–674. 2005. View Article : Google Scholar : PubMed/NCBI

21 

Singh S and Joshi h: Diospyros kaki (Ebenaceae): A Review. Asian J Res Pharm Sci. 1:55–58. 2011.

22 

Tsang MS, Jiao D, Chan BC, Hon KL, Leung PC, Lau CB, Wong EC, Cheng L, Chan CK, Lam CW, et al: Anti-inflammatory activities of pentaherbs formula, berberine, gallic acid and chlorogenic acid in atopic dermatitis-like skin inflammation. Molecules. 21:5192016. View Article : Google Scholar : PubMed/NCBI

23 

Karuppagounder V, Arumugam S, Thandavarayan RA, Sreedhar R, Giridharan VV and Watanabe K: Molecular targets of quercetin with anti-inflammatory properties in atopic dermatitis. Drug Discov Today. 21:632–639. 2016. View Article : Google Scholar : PubMed/NCBI

24 

Han NR, Kim HM and Jeong HJ: The β-sitosterol attenuates atopic dermatitis-like skin lesions through downregulation of TSLP. Exp Biol Med (Maywood). 239:454–464. 2014. View Article : Google Scholar

25 

Bae Y, Lee S and Kim SH: Chrysin suppresses mast cell-mediated allergic inflammation: Involvement of calcium, caspase-1 and nuclear factor-κB. Toxicol Appl Pharmacol. 254:56–64. 2011. View Article : Google Scholar : PubMed/NCBI

26 

Lee S, Yun HS and Kim SH: The comparative effects of mesoporous silica nanoparticles and colloidal silica on inflammation and apoptosis. Biomaterials. 32:9434–9443. 2011. View Article : Google Scholar : PubMed/NCBI

27 

Leung DYM, Boguniewicz M, Howell MD, Nomura I and Hamid QA: New insights into atopic dermatitis. J Clin Invest. 113:651–657. 2004. View Article : Google Scholar : PubMed/NCBI

28 

Guttman-Yassky E, Nograles KE and Krueger JG: Contrasting pathogenesis of atopic dermatitis and psoriasis - part I: Clinical and pathologic concepts. J Allergy Clin Immunol. 127:1110–1118. 2011. View Article : Google Scholar : PubMed/NCBI

29 

Kim SY, Sohn EJ, Kim DW, Jeong HJ, Kim MJ, Kang HW, Shin MJ, Ahn EH, Kwon SW, Kim YN, et al: Transduced PEP-1-FK506BP ameliorates atopic dermatitis in NC/Nga mice. J Invest Dermatol. 131:1477–1485. 2011. View Article : Google Scholar : PubMed/NCBI

30 

Kwon DJ, Bae YS, Ju SM, Goh AR, Youn GS, Choi SY and Park J: Casuarinin suppresses TARC/CCL17 and MDC/CCL22 production via blockade of NF-κB and STAT1 activation in HaCaT cells. Biochem Biophys Res Commun. 417:1254–1259. 2012. View Article : Google Scholar : PubMed/NCBI

31 

Xie C, Xie Z, Xu X and Yang D: Persimmon (Diospyros kaki L.) leaves: A review on traditional uses, phytochemistry and pharmacological properties. J Ethnopharmacol. 163:229–240. 2015. View Article : Google Scholar : PubMed/NCBI

32 

Matsumoto M, Kotani M, Fujita A, Higa S, Kishimoto T, Suemura M and Tanaka T: Oral administration of persimmon leaf extract ameliorates skin symptoms and transepidermal water loss in atopic dermatitis model mice, NC/Nga. Br J Dermatol. 146:221–227. 2002. View Article : Google Scholar : PubMed/NCBI

33 

Oka T, Rios EJ, Tsai M, Kalesnikoff J and Galli SJ: Rapid desensitization induces internalization of antigen-specific IgE on mouse mast cells. J Allergy Clin Immunol. 132:922–32. e1–16. 2013. View Article : Google Scholar : PubMed/NCBI

34 

Kawakami T, Ando T, Kimura M, Wilson BS and Kawakami Y: Mast cells in atopic dermatitis. Curr Opin Immunol. 21:666–678. 2009. View Article : Google Scholar : PubMed/NCBI

35 

Greaves MW: Antihistamines in dermatology. Skin Pharmacol Physiol. 18:220–229. 2005. View Article : Google Scholar : PubMed/NCBI

36 

Akdis CA, Akdis M, Bieber T, Bindslev-Jensen C, Boguniewicz M, Eigenmann P, Hamid Q, Kapp A, Leung DY, Lipozencic J, et al: Diagnosis and treatment of atopic dermatitis in children and adults: European Academy of Allergology and Clinical Immunology/American Academy of Allergy, Asthma and Immunology/PRACTALL Consensus Report. J Allergy Clin Immunol. 118:152–169. 2006. View Article : Google Scholar : PubMed/NCBI

37 

Shimada Y, Takehara K and Sato S: Both Th2 and Th1 chemokines (TARC/CCL17, MDC/CCL22, and Mig/CXCL9) are elevated in sera from patients with atopic dermatitis. J Dermatol Sci. 34:201–208. 2004. View Article : Google Scholar : PubMed/NCBI

38 

Jahnz-Rozyk K, Targowski T, Paluchowska E, Owczarek W and Kucharczyk A: Serum thymus and activation-regulated chemokine, macrophage-derived chemokine and eotaxin as markers of severity of atopic dermatitis. Allergy. 60:685–688. 2005. View Article : Google Scholar : PubMed/NCBI

39 

Schmitt J, von Kobyletzki L, Svensson A and Apfelbacher C: Efficacy and tolerability of proactive treatment with topical corticosteroids and calcineurin inhibitors for atopic eczema: Systematic review and meta-analysis of randomized controlled trials. Br J Dermatol. 164:415–428. 2011. View Article : Google Scholar

Related Articles

  • Abstract
  • View
  • Download
  • Twitter
Copy and paste a formatted citation
Spandidos Publications style
Yu J, Jin M, Choi Y, Jeong N, Park J, Shin T and Kim S: Suppressive effect of an aqueous extract of Diospyros kaki calyx on dust mite extract/2,4-dinitrochlorobenzene-induced atopic dermatitis-like skin lesions. Int J Mol Med 40: 505-511, 2017.
APA
Yu, J., Jin, M., Choi, Y., Jeong, N., Park, J., Shin, T., & Kim, S. (2017). Suppressive effect of an aqueous extract of Diospyros kaki calyx on dust mite extract/2,4-dinitrochlorobenzene-induced atopic dermatitis-like skin lesions. International Journal of Molecular Medicine, 40, 505-511. https://doi.org/10.3892/ijmm.2017.3017
MLA
Yu, J., Jin, M., Choi, Y., Jeong, N., Park, J., Shin, T., Kim, S."Suppressive effect of an aqueous extract of Diospyros kaki calyx on dust mite extract/2,4-dinitrochlorobenzene-induced atopic dermatitis-like skin lesions". International Journal of Molecular Medicine 40.2 (2017): 505-511.
Chicago
Yu, J., Jin, M., Choi, Y., Jeong, N., Park, J., Shin, T., Kim, S."Suppressive effect of an aqueous extract of Diospyros kaki calyx on dust mite extract/2,4-dinitrochlorobenzene-induced atopic dermatitis-like skin lesions". International Journal of Molecular Medicine 40, no. 2 (2017): 505-511. https://doi.org/10.3892/ijmm.2017.3017
Copy and paste a formatted citation
x
Spandidos Publications style
Yu J, Jin M, Choi Y, Jeong N, Park J, Shin T and Kim S: Suppressive effect of an aqueous extract of Diospyros kaki calyx on dust mite extract/2,4-dinitrochlorobenzene-induced atopic dermatitis-like skin lesions. Int J Mol Med 40: 505-511, 2017.
APA
Yu, J., Jin, M., Choi, Y., Jeong, N., Park, J., Shin, T., & Kim, S. (2017). Suppressive effect of an aqueous extract of Diospyros kaki calyx on dust mite extract/2,4-dinitrochlorobenzene-induced atopic dermatitis-like skin lesions. International Journal of Molecular Medicine, 40, 505-511. https://doi.org/10.3892/ijmm.2017.3017
MLA
Yu, J., Jin, M., Choi, Y., Jeong, N., Park, J., Shin, T., Kim, S."Suppressive effect of an aqueous extract of Diospyros kaki calyx on dust mite extract/2,4-dinitrochlorobenzene-induced atopic dermatitis-like skin lesions". International Journal of Molecular Medicine 40.2 (2017): 505-511.
Chicago
Yu, J., Jin, M., Choi, Y., Jeong, N., Park, J., Shin, T., Kim, S."Suppressive effect of an aqueous extract of Diospyros kaki calyx on dust mite extract/2,4-dinitrochlorobenzene-induced atopic dermatitis-like skin lesions". International Journal of Molecular Medicine 40, no. 2 (2017): 505-511. https://doi.org/10.3892/ijmm.2017.3017
Follow us
  • Twitter
  • LinkedIn
  • Facebook
About
  • Spandidos Publications
  • Careers
  • Cookie Policy
  • Privacy Policy
How can we help?
  • Help
  • Live Chat
  • Contact
  • Email to our Support Team