Spandidos Publications Logo
  • About
    • About Spandidos
    • Aims and Scopes
    • Abstracting and Indexing
    • Editorial Policies
    • Reprints and Permissions
    • Job Opportunities
    • Terms and Conditions
    • Contact
  • Journals
    • All Journals
    • Oncology Letters
      • Oncology Letters
      • Information for Authors
      • Editorial Policies
      • Editorial Board
      • Aims and Scope
      • Abstracting and Indexing
      • Bibliographic Information
      • Archive
    • International Journal of Oncology
      • International Journal of Oncology
      • Information for Authors
      • Editorial Policies
      • Editorial Board
      • Aims and Scope
      • Abstracting and Indexing
      • Bibliographic Information
      • Archive
    • Molecular and Clinical Oncology
      • Molecular and Clinical Oncology
      • Information for Authors
      • Editorial Policies
      • Editorial Board
      • Aims and Scope
      • Abstracting and Indexing
      • Bibliographic Information
      • Archive
    • Experimental and Therapeutic Medicine
      • Experimental and Therapeutic Medicine
      • Information for Authors
      • Editorial Policies
      • Editorial Board
      • Aims and Scope
      • Abstracting and Indexing
      • Bibliographic Information
      • Archive
    • International Journal of Molecular Medicine
      • International Journal of Molecular Medicine
      • Information for Authors
      • Editorial Policies
      • Editorial Board
      • Aims and Scope
      • Abstracting and Indexing
      • Bibliographic Information
      • Archive
    • Biomedical Reports
      • Biomedical Reports
      • Information for Authors
      • Editorial Policies
      • Editorial Board
      • Aims and Scope
      • Abstracting and Indexing
      • Bibliographic Information
      • Archive
    • Oncology Reports
      • Oncology Reports
      • Information for Authors
      • Editorial Policies
      • Editorial Board
      • Aims and Scope
      • Abstracting and Indexing
      • Bibliographic Information
      • Archive
    • Molecular Medicine Reports
      • Molecular Medicine Reports
      • Information for Authors
      • Editorial Policies
      • Editorial Board
      • Aims and Scope
      • Abstracting and Indexing
      • Bibliographic Information
      • Archive
    • World Academy of Sciences Journal
      • World Academy of Sciences Journal
      • Information for Authors
      • Editorial Policies
      • Editorial Board
      • Aims and Scope
      • Abstracting and Indexing
      • Bibliographic Information
      • Archive
    • International Journal of Functional Nutrition
      • International Journal of Functional Nutrition
      • Information for Authors
      • Editorial Policies
      • Editorial Board
      • Aims and Scope
      • Abstracting and Indexing
      • Bibliographic Information
      • Archive
    • International Journal of Epigenetics
      • International Journal of Epigenetics
      • Information for Authors
      • Editorial Policies
      • Editorial Board
      • Aims and Scope
      • Abstracting and Indexing
      • Bibliographic Information
      • Archive
    • Medicine International
      • Medicine International
      • Information for Authors
      • Editorial Policies
      • Editorial Board
      • Aims and Scope
      • Abstracting and Indexing
      • Bibliographic Information
      • Archive
  • Articles
  • Information
    • Information for Authors
    • Information for Reviewers
    • Information for Librarians
    • Information for Advertisers
    • Conferences
  • Language Editing
Spandidos Publications Logo
  • About
    • About Spandidos
    • Aims and Scopes
    • Abstracting and Indexing
    • Editorial Policies
    • Reprints and Permissions
    • Job Opportunities
    • Terms and Conditions
    • Contact
  • Journals
    • All Journals
    • Biomedical Reports
      • Information for Authors
      • Editorial Policies
      • Editorial Board
      • Aims and Scope
      • Abstracting and Indexing
      • Bibliographic Information
      • Archive
    • Experimental and Therapeutic Medicine
      • Information for Authors
      • Editorial Policies
      • Editorial Board
      • Aims and Scope
      • Abstracting and Indexing
      • Bibliographic Information
      • Archive
    • International Journal of Epigenetics
      • Information for Authors
      • Editorial Policies
      • Editorial Board
      • Aims and Scope
      • Abstracting and Indexing
      • Bibliographic Information
      • Archive
    • International Journal of Functional Nutrition
      • Information for Authors
      • Editorial Policies
      • Editorial Board
      • Aims and Scope
      • Abstracting and Indexing
      • Bibliographic Information
      • Archive
    • International Journal of Molecular Medicine
      • Information for Authors
      • Editorial Policies
      • Editorial Board
      • Aims and Scope
      • Abstracting and Indexing
      • Bibliographic Information
      • Archive
    • International Journal of Oncology
      • Information for Authors
      • Editorial Policies
      • Editorial Board
      • Aims and Scope
      • Abstracting and Indexing
      • Bibliographic Information
      • Archive
    • Medicine International
      • Information for Authors
      • Editorial Policies
      • Editorial Board
      • Aims and Scope
      • Abstracting and Indexing
      • Bibliographic Information
      • Archive
    • Molecular and Clinical Oncology
      • Information for Authors
      • Editorial Policies
      • Editorial Board
      • Aims and Scope
      • Abstracting and Indexing
      • Bibliographic Information
      • Archive
    • Molecular Medicine Reports
      • Information for Authors
      • Editorial Policies
      • Editorial Board
      • Aims and Scope
      • Abstracting and Indexing
      • Bibliographic Information
      • Archive
    • Oncology Letters
      • Information for Authors
      • Editorial Policies
      • Editorial Board
      • Aims and Scope
      • Abstracting and Indexing
      • Bibliographic Information
      • Archive
    • Oncology Reports
      • Information for Authors
      • Editorial Policies
      • Editorial Board
      • Aims and Scope
      • Abstracting and Indexing
      • Bibliographic Information
      • Archive
    • World Academy of Sciences Journal
      • Information for Authors
      • Editorial Policies
      • Editorial Board
      • Aims and Scope
      • Abstracting and Indexing
      • Bibliographic Information
      • Archive
  • Articles
  • Information
    • For Authors
    • For Reviewers
    • For Librarians
    • For Advertisers
    • Conferences
  • Language Editing
Login Register Submit
  • This site uses cookies
  • You can change your cookie settings at any time by following the instructions in our Cookie Policy. To find out more, you may read our Privacy Policy.

    I agree
Search articles by DOI, keyword, author or affiliation
Search
Advanced Search
presentation
International Journal of Oncology
Join Editorial Board Propose a Special Issue
Print ISSN: 1019-6439 Online ISSN: 1791-2423
Journal Cover
March-2016 Volume 48 Issue 3

Full Size Image

Cover Legend PDF

Sign up for eToc alerts
Recommend to Library

Journals

International Journal of Molecular Medicine

International Journal of Molecular Medicine

International Journal of Molecular Medicine is an international journal devoted to molecular mechanisms of human disease.

International Journal of Oncology

International Journal of Oncology

International Journal of Oncology is an international journal devoted to oncology research and cancer treatment.

Molecular Medicine Reports

Molecular Medicine Reports

Covers molecular medicine topics such as pharmacology, pathology, genetics, neuroscience, infectious diseases, molecular cardiology, and molecular surgery.

Oncology Reports

Oncology Reports

Oncology Reports is an international journal devoted to fundamental and applied research in Oncology.

Experimental and Therapeutic Medicine

Experimental and Therapeutic Medicine

Experimental and Therapeutic Medicine is an international journal devoted to laboratory and clinical medicine.

Oncology Letters

Oncology Letters

Oncology Letters is an international journal devoted to Experimental and Clinical Oncology.

Biomedical Reports

Biomedical Reports

Explores a wide range of biological and medical fields, including pharmacology, genetics, microbiology, neuroscience, and molecular cardiology.

Molecular and Clinical Oncology

Molecular and Clinical Oncology

International journal addressing all aspects of oncology research, from tumorigenesis and oncogenes to chemotherapy and metastasis.

World Academy of Sciences Journal

World Academy of Sciences Journal

Multidisciplinary open-access journal spanning biochemistry, genetics, neuroscience, environmental health, and synthetic biology.

International Journal of Functional Nutrition

International Journal of Functional Nutrition

Open-access journal combining biochemistry, pharmacology, immunology, and genetics to advance health through functional nutrition.

International Journal of Epigenetics

International Journal of Epigenetics

Publishes open-access research on using epigenetics to advance understanding and treatment of human disease.

Medicine International

Medicine International

An International Open Access Journal Devoted to General Medicine.

Journal Cover
March-2016 Volume 48 Issue 3

Full Size Image

Cover Legend PDF

Sign up for eToc alerts
Recommend to Library

  • Article
  • Citations
    • Cite This Article
    • Download Citation
    • Create Citation Alert
    • Remove Citation Alert
    • Cited By
  • Similar Articles
    • Related Articles (in Spandidos Publications)
    • Similar Articles (Google Scholar)
    • Similar Articles (PubMed)
  • Download PDF
  • Download XML
  • View XML
Article Open Access

Importance of osteoprotegrin and receptor activator of nuclear factor κB in breast cancer response to hepatocyte growth factor and the bone microenvironment in vitro

  • Authors:
    • Sioned Owen
    • Andrew J. Sanders
    • Malcolm D. Mason
    • Wen G. Jiang
  • View Affiliations / Copyright

    Affiliations: Cardiff China Medical Research Collaborative, School of Medicine, Cardiff University, Cardiff, CF14 4XN, UK, Section of Oncology and Palliative Medicine, School of Medicine, Cardiff University, Cardiff, CF14 4XN, UK
    Copyright: © Owen et al. This is an open access article distributed under the terms of Creative Commons Attribution License.
  • Pages: 919-928
    |
    Published online on: January 15, 2016
       https://doi.org/10.3892/ijo.2016.3339
  • Expand metrics +
Metrics: Total Views: 0 (Spandidos Publications: | PMC Statistics: )
Metrics: Total PDF Downloads: 0 (Spandidos Publications: | PMC Statistics: )
Cited By (CrossRef): 0 citations Loading Articles...

This article is mentioned in:



Abstract

Osteoprotegrin (OPG), receptor activator of nuclear factor κB (RANK) and RANK ligand (RANKL) are signal transducers which have pleiotropic actions. Each tumour necrosis factor receptor superfamily member has unique structural attributes which directly couples them to signalling pathways involved in cell proliferation, differentiation and survival. Previous studies have clinically linked OPG, RANK and RANKL to increasing tumour burden, metastatic bone involvement and estrogen status. This study aimed to establish the potential implications of targeting endogenously produced OPG and RANK in the osteotropic breast cancer cell line MDA-MB‑231 in vitro. Subsequently this study also aimed to explore the potential links between these molecules with regards to hepatocyte growth factor (HGF) signalling and extracted bone proteins (BME). OPG and RANK expression was successfully suppressed using hammerhead ribozyme technology. Subsequently effects were explored in MDA-MB‑231 cell proliferation, matrix adhesion, migration and invasion in vitro function assays. Reduced OPG expression resulted in increased breast cancer cell migration and invasion. These increases, particularly invasion, appeared to however be reduced under the influence of the exogenous stimuli (HGF and BME). In contrast, suppression of RANK in MDA-MB‑231 breast cancer cells resulted in decreased cancer cell proliferation, matrix-adhesion, motility and invasion with little cumulative effect being noted after the addition of exogenous stimuli. The complexity of the bone environment underpins the vast number of soluble factors and signalling pathways which can influence osteotropic cancer behaviour and progression. Further work into elucidating all the pathways affected could potentially lead to better identification of those patients most at risk.

Introduction

Despite advances in breast cancer care and regimens it still imposes a large burden on health care systems around the world, especially when metastatic disease is detected. Breast cancer is associated with latent disease and high relapse rate which can often present clinically as bone metastases (1). The majority of breast cancer related bone metastases present as the osteolytic phenotype, which is identified by loss of bone density accompanied by an increase in osteoclast numbers (2).

The variability in metastatic cancer patterns is undoubtedly influenced by the molecular and cellular characteristics of both the tumour cells and the tissue in which they invade (3). It was Stephen Paget, through autopsy data, who first established a link between breast cancer metastases and the bone, giving rise to his ‘seed and soil’ hypothesis (4). As this theory has evolved the metastatic cascade has been shown to be a highly inefficient multistep process which involves a wide variety of factors including integrins, matrix metalloproteinases and tumour secreted factors (5,6). Invasion into the bone results in the release of a variety of factors, in addition to those produced by the tumour cells, which generate a feedback loop to the tumour cells enhancing tumour cell dormancy, survival and growth in the bone marrow and the microenvironment (7). However, much still remains unknown of how these factors interact with each other and the disseminating tumour cells to culminate in bone metastases and how best these can be targeted in therapies.

Members of the tumour necrosis factor receptor superfamily (TNFRSF) osteoprotegrin (OPG), receptor activator of nuclear κB (RANK) and RANK ligand (RANKL) have been shown to be integral molecular regulators in the bone remodelling cycle. The RANKL:OPG ratio is a major determinant of bone mass, both physiologically and patho-physiologically (8). Osteoblasts have been shown to incorporate both pro- and antibone resorptive signals and thus control the bone remodelling response by altering the expression of RANKL and secretion of its inhibitor OPG (9,10). RANK, expressed on the surface of osteoclasts, through binding to RANKL, expressed on the surface of osteoblasts, promotes osteoclast differentiation and maturation, thus promoting bone resorption. OPG, a soluble decoy receptor for RANKL, secreted by osteoblasts, inhibits RANK interaction thus promoting osteoblast survival and hence bone formation. However, OPG, RANK and RANKL have also been linked to tumourigenesis in a variety of cancers which have a predisposition to form bone metastases. Both circulating RANKL and OPG have previously been identified as novel biomarker candidates for predicting bone metastases in breast cancer patients (11,12). Quantitative PCR and immunohistochemistry have shown negative correlations between estrogen receptor status and levels of OPG, RANK and RANKL (13).

There has also been some in vitro evidence to suggest that endogenously produced OPG, from breast cancer cells or bone marrow stromal cells, can also promote breast cancer cell survival through inhibition of TNF related apoptosis inducing ligand (TRAIL) (14,15). This inhibition occurs as OPG acts as a decoy receptor for the TRAIL receptor, though with less affinity than that seen with RANKL, therefore blocking the apoptotic pathway. This prevention of apoptosis through TRAIL inhibition has also been shown, in the MDA-MB-231 breast cancer cell line, to result in the up regulation of RANKL thus contributing to the ‘vicious’ bone cycle between tumour cells and bone cells by further enhancing osteolysis and the release of growth factors which can further enhance tumour growth (16).

The bone microenvironment is a complex combination of cells, growth factors and cytokines. Trying to isolate the factors which are crucial components in facilitating the establishment of bone metastases is a substantial challenge. One of the factors, which have been shown to influence tumourigenesis traits and cancer progression is hepatocyte growth factor (HGF), also known as scatter factor (17–19). Despite its discovery 30 years ago its wide and complex influences on cancer cells, the metastatic cascade and tumour microenvironments remain under intense investigation for potential new targeted therapies (20,21).

In the present study the targeting of OPG and RANK in bone metastasis derived breast cancer cells (MDA-MB-231 cells) was explored. These manipulated cells were then exposed to the influences of HGF and a bone protein-like environment to explore the potential implications on HGF signalling thus potentially altering disease progression.

Materials and methods

Ethics statement

All research involving human tissue was carried out under the Panel B Bro Taf Research Ethics Committee for the Bro Taf Health Board, Cardiff, UK. All data were analysed anonymously and informed written consent was given (Bro Taf Health Board, 2007).

Cell lines and treatments

Human breast cancer MDA-MB-231 cells were purchased from the American Type Culture Collection (ATCC, Rockville, MD, USA). MDA-MB-231 cells were maintained in Dubecco's modified Eagle's medium (DMEM) (PAA Laboratories Ltd., Somerset, UK) supplemented with penicillin, streptomycin and 10% foetal calf serum (PAA Laboratories Ltd.) and incubated at 37°C, 5% CO2 and 95% humidity. Hepatocyte growth factor was a kind gift from Dr T. Nakamura (Osaka University Medical School, Osaka, Japan). Bone proteins were extracted from fresh human bone tissues collected immediately after hip replacement under the local health board ethics committee guidelines. Bones were crushed at ice cold temperatures and subsequently processed in a Bioraptor sonicator (Wolf Laboratories, York, UK) to extract matrix proteins (22). Throughout this study HGF was used at a final concentration of 40 ng/ml, whilst the BME extract from the femoral heads was used at a final concentration of 50 μg/ml.

Generation of MDA-MB-231 breast cancer cells with suppressed OPG or RANK expression

OPG and RANK expression were targeted in human MDA-MB-231 breast cancer cells using ribozyme transgenes specifically generated to target and cleave each transcript. This methodology has been previously reported (23,24). Briefly, ribozyme transgene sequences were designed based on Zukers predicted secondary mRNA structure using Zukers RNA Mfold program (25) and were synthesised by Sigma-Aldrich (Poole, Dorset, UK) (Table I). Ribozymes were subsequently cloned into a pEF6/V5-His-TOPO plasmid vector (Invitrogen, Paisley, UK). Both control pEF6 plasmids, containing no insert, and plasmids containing the relevant ribozyme transgene were transfected separately into MDA-MB-231 breast cancer cells using electroporation. Following transfection, these cells underwent a selection period and subsequent verification of OPG or RANK knockdown. Cells containing the ribozyme transgenes were termed MDA-MB-231OPGKD or MDA-MB-231RANKKD and were compared throughout the study to control MDA-MB-231 cells containing the closed control plasmid, termed MDA-MB-231pEF6.

Table I

Primers designed for ribozyme synthesis.

Table I

Primers designed for ribozyme synthesis.

TargetRibozymePrimer namePrimer sequence (5′-3′)
T7F TAATACGACTCACTATAGGG
RBBMR TTCGTCCTCACGGACTCATCAG
RBTPF CTGATGAGTCCGTGAGGACGAA
OPGOPG ribozyme 1OPGRIB1F CTGCAGCTCCTTGCACACGGGGCTGCAGTATACTGATGAGTCCGTGAGGA
OPGRIB1R ACTAGTACACAGACAGCTGGCACACCAGTGACGAGTGTTTCGTCCTCACGGACT
OPG ribozyme 2OPGRIB2F CTGCAGACACTGCAATTTGTGTGTTTTCTACTGGGTGCTTTACTGATGAGTCCGTGAGGA
OPGRIB2R ACTAGTTCTTCTCAAATGAGACGTCATTTCGTCCTCACGGACT
OPG ribozyme 3OPGRIB3F CTGCAGGGTAACATCTATTCCACATTTTGAGTTCTGATGAGTCCGTGAGGA
OPGRIB3R ACTAGTTCCGGAAACAGTGAATTTCGTCCTCACGGACT
RANKRANK ribozyme 1RANKRIB1F CTGCAGCGCGCGGGGCCATGGCGCGGCTGATGAGTCCGTGAGGA
RANKRIB1R ACTAGTGCCGCGGCGCCGCCAGCCTGTTTCGTCCTCACGGACT
RANK ribozyme 2RANKRIB2F CTGCAGCTCATAATGCTTCTCACTGGCTGATGAGTCCGTGAGGA
RANKRIB2R ACAGTCTTTGCAGATCGCTCCTCCATGTTTCGTCCTCACGGACT
RANK ribozyme 3RANKRIB3F CTGCAGGTACTTTCCTGGTTCACATTTGTCTGATGAGTCCGTGAGGA
RANKRIB3R ACTAGTAGCATTATGAGCATCTGGGACGGTGCTGTTTCGTCCTCACGGACT
RANK ribozyme 4RANKRIB4F CTGCAGTGCTGACCAAAGTTTGCCGTGTGTGCTGATGAGTCCGTGAGGA
RANKRIB4R ACTAGTGGAGTCCTCAGGTGACAGTTGTGTCAGTTTCGTCCTCACGGAC
RANK ribozyme 5RANKRIB5F CTGCAGCTGGCATCTTCGCCTTGTGCGTAGGCTGATGAGTCCGTGAGGA
RANKRIB5R ACTAGTGTCAGGGCACATGTGTAGGAGGTGGTTTCGTCCTCACGGACT
RNA extraction and reverse transcription-polymerase chain reaction (RT-PCR)

Cells were grown to confluence in a 25-cm2 flask before RNA was extracted using total RNA isolation (TRI) reagent (Sigma) in accordance with the supplied protocol. RNA was subsequently quantified using a spectrophotometer (Implen Nanophotometer, Muchen, Germany) configured to detect single strand RNA (μg/μl). RNA was standardised to 500 ng and used as a template to generate cDNA using high capacity cDNA reverse transcription kit (Applied Biosystems, Manchester, UK). Following cDNA synthesis, sample quality and uniformity was normalised against GAPDH expression (primer details in Table II). The amplifluor system (Intergen Inc., New York, NY, USA) was utilised with qPCR Master Mix (ABgene, Surrey, UK). Conditions for qPCR were; 15 min initial 95°C period followed by 60 cycles of 95°C for 15 sec, 55°C for 60 sec and 72°C for 20°C sec.

Table II

Primers for conventional RT-PCR and real-time qPCR.

Table II

Primers for conventional RT-PCR and real-time qPCR.

GenePrimer namePrimer sequence (5′-3′)Optimal annealing temperature (°C)Product size (bp)
OPGOPGF8 GAACCCCAGAGCGAAATACA55509
OPGR8 CGGTAAGCTTTCCATCAAGC
OPGF1 GTTCTGCTTGAAACATAGGAG55115
OPGZR1 ACTGAACCTGACCGTACACGTCTCATTTGAGAAGAACC
RANKRANKF9 CAGAGCACAGTGGGTTCAGA55462
RANKR9 GATGATGTCGCCCTTGAAGT
RANKF2 TCTGATGCCTTTTCCTCCAC55119
RANKZR2 ACTGAACCTGACCGTACATGGCAGAGAAGAACTGCAAA
RANKLRANKLF9 GACTCCATGAAAATGCAGAT55500
RANKLR9 TCCTTTCATCAGGGTATGAG
RANKLF1 AAGGAGCTGTGCAAAAGGAA5574
RANKLZR1 ACTGAACCTGACCGTACAATCCACCATCGCTTTCTCTG
GAPDHGAPDHF10 AGCTTGTCATCAATGGAAAT55593
GAPDHR10 CTTCACCACCTTCTTGATGT
GAPDHF CTGAGTACGTCGTGGAGTC5593
GAPDHZR ACTGAACCTGACCGTACACAGAGATGATGATGACCCTTTTG
PDPLPDPLF GAATCATCGTTGTGGTTATG55
PDPLZR ACTGAACCTGACCGTACACTTTCATTTGCCTATCACAT

[i] ACTGAACCTGACCGTACA represents the Z sequence.

SDS-PAGE and western blotting

Protein was extracted from a confluent 75-cm2 tissue culture flask of MDA-MB-231 cells. Cells were detached and lysed in a buffer comprising 50 mM Tris-base, 5 mM EGTA, 150 mM NaCl, 1% Triton X-100, 100 μg/ml PMSF, 10 μg/ml aprotinin, 10 μg/ml leupeptin, 5 mM sodium vanadate and 50 mM sodium fluoride on a rotor wheel for 1 h before removal of insolubles through centrifugation at 13,000 g. The Bio-Rad DC protein assay kit (Bio-Rad Laboratories, CA, USA) was used to quantify protein levels in each sample and samples were subsequently standardised to 2 mg/ml and diluted in 2X concentrate Laemmli sample buffer (Sigma) before being boiled for 5 min. Samples were loaded onto a 10% acrylamide gel and separated electrophoretically. Following separation the proteins were blotted onto a PVDF membrane (Merck-Millipore, Feltham, UK). Proteins were detected using the Merck-Millipore SNAP i.d. protein detection system. OPG expression was detected using anti-OPG antibody [R&D Systems, Abingdon, UK (BAF805)], RANK expression was detected using anti-RANK antibody [Santa Cruz Biotechnology, Inc., CA, USA (sc-9072)]. To assess uniformity of the samples GAPDH expression was also detected using anti-GAPDH antibody [Santa Cruz Biotechnology, Inc. (sc-32233)]. Following binding of the primary antibody, the membranes were probed with peroxidase conjugated anti-goat (OPG), anti-rabbit (RANK) or anti-mouse (GADPH) secondary antibodies (Sigma). Expression was visualised using the Luminata chemiluminescence detection kit (Merck-Millipore) and detected using a UVIProChem camera system (UVItec Ltd., Cambridge, UK).

In vitro cell proliferation assay

An in vitro cell proliferation assay was used to examine the impact of OPG or RANK suppression on cell proliferation. Cells were seeded into two 96-well plates at a seeding density of 3×103 cells/well with or without treatment and incubated for 1 and 5 days. Following incubation, cells were fixed in 4% formaldehyde (v/v) and stained with 0.5% crystal violet (w/v). Subsequently, 10% acetic acid (v/v) was used to extract the crystal violet stain and cell density determined through spectrophotometric analysis using a Bio-Tek Elx800 multi-plate reader (Bio-Tek Instruments Inc., VT, USA).

In vitro Matrigel matrix adhesion assay

Cell-matrix adhesion was assessed using a modified in vitro Matrigel adhesion assay (26). In brief, wells in a 96-well plate were pre-coated with 5 μg of Matrigel (BD Matrigel matrix, Matrigel basement membrane matrix, Biosciences). Cells were seeded at 4.5×104 cells/well with or without treatment and left to adhere to the Matrigel for 40 min at 37°C with 5% CO2. Adherent cells were fixed in 4% formaldehyde (v/v) and stained with 0.5% crystal violet (w/v). Subsequently, adherent cells were visualised under the microscope and representative images captured for analysis.

In vitro cell motility assay

Cell motility was assessed using a cytodex-2 bead motility assay as previously described (27,28). In brief, 1×106 cells were incubated in 10 ml of complete medium supplemented with 20 mg of cytodex-2 beads. The following day, beads were washed twice with complete medium before being resuspended, added to the 96-well plate with or without treatment and incubated for 4 h at 37°C with 5% CO2. Migrated cells were fixed in 4% formaldehyde (v/v) and stained with 0.5% crystal violet (w/v). Subsequently, adherent cells were visualised under the microscope and representative images captured for analysis.

In vitro Matrigel cell invasion assay

Cell invasiveness was assessed using an in vitro Matrigel invasion assay modified from refs. 29,30. In brief, transwell inserts containing 8-μm pores (Falcon, 24-well format, Greiner Bio-One, Germany) were placed in a 24-well plate (Nunc, Greiner Bio-One) and coated with 50 μg of Matrigel (BD Matrigel matrix, Matrigel basement membrane matrix, Biosciences). Subsequently 2×104 cells/insert were added to the insert and 1 ml of medium was added to the bottom of the 24-well plate to sustain any invaded cells. The plate was incubated for 3 days at 37°C with 5% CO2 after which inserts were cleaned to remove any non-invaded cells, before invaded cells were fixed in 4% formaldehyde (v/v) and stained with 0.5% crystal violet (w/v). Subsequently, invaded cells were visualised under the microscope and representative images captured for analysis.

Statistical analysis

The Sigma plot 11.0 statistical software package was used to assess statistical differences between the OPG or RANK suppressed MDA-MB-231 cells compared to the pEF6 vector control MDA-MB-231 cells using the Student's two tailed t-test or non-parametric Mann-Whitney U test. Experimental procedures were repeated a minimum of 3 independent times. Data represent mean values ± SEM, p-values of ≤0.05 were regarded as statistically significant.

Results

Expression of OPG and RANK has previously been established in three breast cancer cell lines (31). There are also potential links between the expression profiles of OPG, RANK, the pro-tumourigenic stimuli HGF and the bone microenvironment.

Suppression of molecules of interest using ribozyme transgenes

OPG or RANK expression was successfully targeted in MDA-MB-231 breast cancer cells following transfection with anti-OPG or anti-RANK ribozyme transgenes contained within a pEF6 plasmid. Reduced OPG transcript expression was seen in MDA-MB-231OPGKD cells compared to the MDA-MB-231pEF6 cells using both RT-PCR and qPCR (Fig. 1A and B). The result was subsequently confirmed at a protein level using western blotting (Fig. 1C).

Figure 1

Verification of ribozyme transgene knockdown of OPG and RANK in MDA-MB-231 cells. Reduced expression of OPG and RANK were confirmed at a transcript level using RT-PCR (A and D) and qPCR (B and E) compared to the control cell line. Western blotting was used to confirm knockdown of OPG and RANK at a protein level (C and F respectively). PCR and western blotting were normalised against GAPDH. Representative images and data shown. **p≤0.01, ***p≤0.001.

Reduced RANK transcript expression was seen in MDA-MB-231RANKKD cells compared to the MDA-MB-231pEF6 cells using both RT-PCR and qPCR (Fig. 1D and E). This was subsequently confirmed at a protein level using western blotting (Fig. 1F).

Impact on MDA-MB-231 breast cancer cell proliferation

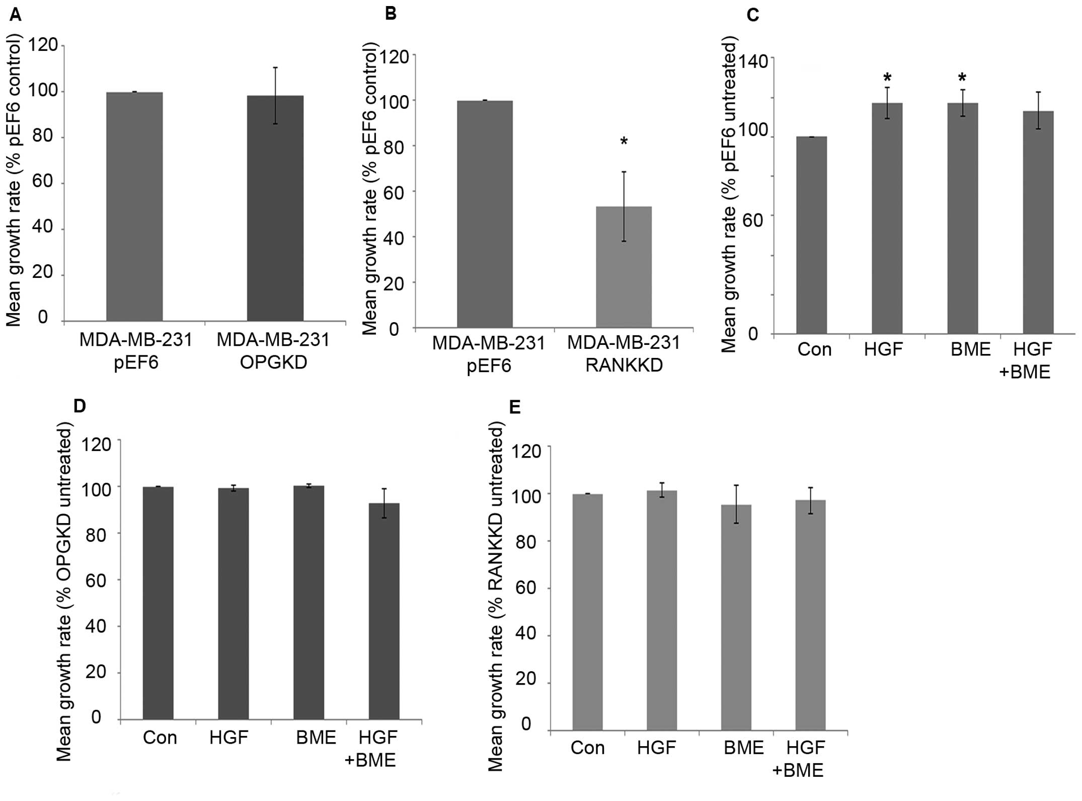
MDA-MB-231 breast cancer cell proliferation over 5 days was not significantly altered after suppression of OPG compared to the control cells (Fig. 2A). Suppression of RANK in MDA-MB-231 breast cancer cells resulted in a statistically significant decrease in cell proliferation after 5-day incubation compared to the control cells (Fig. 2B, p=0.029). Individual 40 ng/ml HGF and 50 μg/ml BME treatments significantly increased MDA-MB-231pEF6 cell proliferation after 5-day incubation compared to the untreated control (Fig. 2C, p=0.029). A similar pattern was seen after incubation with a combined 40 ng/ml HGF and 50 μg/ml BME treatment; however, this did not reach statistical significance. MDA-MB-231OPGKD (Fig. 2D) and MDA-MB-231RANKKD (Fig. 2E) cell proliferation was less responsive to HGF and BME treatments compared to those observed in the MDA-MB-231pEF6 cells. No statistically significant changes were observed in either of the suppressed cell lines compared to their respective untreated controls.

Figure 2

Impact of OPG and RANK knockdown on MDA-MB-231 cell proliferation in vitro. Suppression of OPG expression had no effect on MDA-MB-231 cell proliferation after 5-day incubation compared to MDA-MB-231pEF6 control cells (A). Reduced RANK expression in MDA-MB-231 cells resulted in a significant decrease in cell proliferation after 5-day incubation compared with control cells (B). Treatment of the MDA-MB-231pEF6 control cell line with 40 ng/ml HGF, 50 μg/ml BME or a combination of 40 ng/ml HGF and 50 μg/ml BME resulted in a significant increase in cell proliferation after 5-day incubation compared to the untreated cells (C). After 5-day treatment of MDA-MB-231OPGKD cells or MDA-MB-231RANKKD cells with 40 ng/ml HGF, 50 μg/ml BME or a combination of 40 ng/ml HGF and 50 μg/ml BME no changes were seen compared to the respective untreated cells (D and E). Data represent the mean of 4 independent repeats, error bars represent SEM. *p≤0.05.

Impact on MDA-MB-231 breast cancer cell-matrix adhesion

Suppression of OPG in MDA-MB-231 breast cancer cells did not appear to affect cell-matrix adhesion (Fig. 3A). In contrast, suppression of RANK in MDA-MB-231 breast cancer cells resulted in a statically significant decrease in cell-matrix adhesion in vitro (Fig. 3B, p=0.029). MDA-MB-231pEF6 cell-matrix adhesion appeared unaffected under the influence of treatment with 40 ng/ml HGF and/or 50 μg/ml BME (Fig. 3C). A similar trend was seen in the MDA-MB-231OPGKD cells treated individually with 40 ng/ml HGF or 50 μg/ml BME (Fig. 3D), however, when these treatments were combined cell-matrix adhesion was significantly reduced compared to the untreated cells (p=0.024). In the MDA-MB-231RANKKD cells treatment with 40 ng/ml HGF and/or 50 μg/ml BME did not appear to significantly affect cell-matrix adhesion (Fig. 3E).

Figure 3

Impact of reduced OPG and RANK expression in MDA-MB-231 cells on cell-matrix adhesion in vitro. Reduced OPG expression did not alter MDA-MB-231 cell-matrix adhesion compared with control cells (A). Reduced RANK expression resulted in a significant decrease in MDA-MB-231 cell-matrix adhesion compared with control cells (B). When MDA-MB-231pEF6 control cells were treated with 40 ng/ml HGF or 50 μg/ml BME or a combination of 40 ng/ml HGF and 50 μg/ml BME did not significantly alter MDA-MB-231 cell-matrix adhesion (C). MDA-MB-231OPGKD cells treated with 40 ng/ml HGF or 50 μg/ml BME also did not alter cell-matrix adhesion, however, a combined of HGF and BME treatment significantly decreased cell matrix adhesion (D). MDA-MB-231RANKKD cells treated with 40 ng/ml HGF, 50 μg/ml BME or combined HGF and BME did not affect cell-matrix adhesion compared to the untreated cells (E). Data represent the mean of 4 independent repeats, error bars represent SEM. *p≤0.05.

Impact on MDA-MB-231 breast cancer cell motility

Suppression of OPG expression in MDA-MB-231 cells resulted in significantly increased cell motility in vitro compared to the control cells (Fig. 4A, p=0.029). In contrast, suppression of RANK in MDA-MB-231 breast cancer cells resulted in significantly decreased cell motility in vitro (Fig. 4B, p≤0.001). When MDA-MB-231pEF6 cells were treated with 40 ng/ml HGF cell motility was increased, however, this did not pass the statistical threshold (Fig. 4C). However, no noticeable effect was seen on MDA-MB-231pEF6 cell motility when cells were treated with 50 μg/ml BME. When both treatments were combined MDA-MB-231pEF6 cell motility was significantly increased compared to the untreated control cells (Fig. 4C, p=0.029). In contrast, treatment of MDA-MB-231OPGKD cells with 40 ng/ml HGF or 50 μg/ml BME did not appear to impact MDA-MB-231 cell motility compared to the untreated control (Fig. 4D). When these treatments were combined increased cell motility was observed compared to the untreated control cells, however, this trend also failed to reach the statistically significant threshold. Similar responses to the exogenous HGF and BME treatments were also seen in the MDA-MB-231RANK KD cells, in which cell motility was only marginally affected by these factors (Fig. 4E).

Figure 4

Effect of OPG and RANK knockdown on MDA-MB-231 cell motility. MDA-MB-231OPGKD cells showed significantly increased motility compared with MDA-MB-231pEF6 control cells (A). Reduced RANK expression resulted in a significant decrease in MDA-MB-231 cell motility compared to MDA-MB-231pEF6 control cells (B). Treatment of MDA-MB-231pEF6 control cells with 40 ng/ml HGF or 50 μg/ml BME did not significantly alter cell motility. However, a combination of 40 ng/ml HGF and 50 μg/ml BME significantly increased cell motility compared to the untreated control (C). Treatment of MDA-MB-231OPGKD or MDA-MB-231RANKKD cells with 40 ng/ml HGF and/or 50 μg/ml BME did not significantly impact cell motility (D and E, respectively). Data represent the mean of 4 independent repeats, error bars represent SEM. *p≤0.05, **p≤0.01, ***p≤0.001.

Impact on MDA-MB-231 breast cancer cell invasion

Suppression of OPG resulted in significantly increased cell invasiveness compared to the control cells (Fig. 5A, p=0.037). However, suppression of RANK in MDA-MB-231 cells resulted in a significant decrease in breast cancer cell invasion in vitro compared to the control cells (Fig. 5B, p=0.002). Treatment of MDA-MB-231pEF6 cells with 40 ng/ml HGF or 50 μg/ml BME increased cell invasion in vitro compared to untreated cells, however, these trends did not reach the statistically significant threshold (Fig. 5C). When these treatments were added in combination no noticeable effect on MDA-MB-231 cell invasion was observed. In contrast, when MDA-MB-231OPGKD cells were treated with 40 ng/ml HGF or a combination of 40 ng/ml HGF and 50 μg/ml BME significant reductions in cell invasion were observed compared to the untreated cells (Fig. 5D, p=0.002 and 0.013, respectively). The largest reduction in cell invasion was observed under the individual 50 μg/ml BME treatment; however, this trend did not reach statistical significance. MDA-MB-231RANKKD cell invasion under both individual exogenous treatments increased in vitro compared to the untreated control cells in a similar trend to that observed in the MDA-MB-231pEF6 control cells, though none of these changes reached a significant level (Fig. 5E). However, interestingly a combined treatment appeared to have little impact on breast cancer cell invasion.

Figure 5

Impact of reduced OPG and RANK expression on MDA-MB-231 cell invasion in vitro. MDA-MB-231OPGKD cells showed significantly increased cell invasion compared with MDA-MB-231pEF6 control cells (A). MDA-MB-231RANKKD cells showed reduced cell invasion compared with MDA-MB-231pEF6 control cells (B). Treatment of MDA-MB-231pEF6 control cells with 40 ng/ml HGF, 50 μg/ml BME or a combination of 40 ng/ml HGF and 50 μg/ml BME do not impact cell invasion (C). Treatment of MDA-MB-231OPGKD cells with 40 ng/ml HGF or a combination of 40 ng/ml HGF and 50 μg/ml BME resulted in a significant decrease in cell invasion (D). MDA-MB-231RANKKD cells treated with 40 ng/ml HGF, 50 μg/ml BME or combined 40 ng/ml HGF and 50 μg/ml BME showed non-significant increases in cell invasion (E). Data represent the mean of 3 independent repeats, error bars represent SEM. *p=≤0.05, **p≤0.01.

Discussion

With the combined efforts of surgeons, oncologists and research, treatment options for primary breast cancer have improved. However, one aspect of the disease which still remains poorly understood and controlled is its metastatic spread, particularly to the bone. Through the recent licensing of Denosumab, the neutralising RANKL antibody, some progress has been achieved; however, there still remains no preventative measures or screening tools which can identify those most at risk.

Whilst many previous studies have considered the role OPG plays in the inhibition of TRAIL and thus apoptosis (15), few reports consider the molecular implications in breast cancer progression to the bone. Of interest from this study was the lack of proliferation response to the exogenous HGF and BME treatments in the OPG suppressed cells which had been seen in the control cells. Of similar interest was that this lack of response to the exogenous stimuli (HGF and BME) was also seen in the cell-matrix adhesion assays. This study has also highlighted the potential roles suppression of OPG may have in increasing breast cancer cell motility and invasion in addition to its role in preventing apoptosis. Suppression of OPG resulted in significantly more motile MDA-MB-231 breast cancer cells compared to the untreated control. However, also of interest was that the exogenous treatments did not appear to have any further effect on this cell function. Though suppression of OPG resulted in significantly increased cell invasion, of note was that all the exogenously added treatments resulted in decreased cell invasion. This is of particular interest because, though not reaching statistical significance in the control cell line, treatment with HGF or BME resulted in increases in cell invasion. This highlights that OPG may play an integral role in breast cancer cells homing to the bone environment. This present data therefore suggest that expression of OPG may result in the suppression of these aggressive cancer cell traits and may also contribute to the regulation of the MDA-MB-231 breast cancer cell response to various environmental stimuli, including HGF, once bone metastases have already been established. This study implies in vitro the targeting of OPG also results in a response suppression to the oncogenic factor HGF. This is an interesting observation given a number of reports which demonstrate the potential prognosis effect of its receptor, c-MET expression and its phosphorylated version could have on breast cancer survival (32). However, an in vivo study by Zinonos et al (33) suggested that pharmacological inhibition of OPG though beneficial for bone health (reduction in osteolysis) also resulted in an increase in formation of soft tissue metastases. This was supported by Weichhaus et al (34) demonstrating that suppression of OPG in a chick embryo model reduced metastasis. These data and that from elsewhere in the scientific literature therefore suggest that the targeting of OPG in breast cancer may be a double edged sword (35,36).

In contrast, the suppression of RANK in MDA-MB-231 breast cancer cells resulted in decreased responses in all the traits studied. Cell proliferation was significantly decreased after 5-day incubation compared to the control. Similar lack of response to the exogenous treatments was seen in the RANK suppressed cells. Interestingly, individual HGF or BME treatments increased cell-matrix adhesion and cell invasion in the RANK suppressed cells, though these did not pass the threshold for statistical significance. Most previous studies have overexpressed RANK in breast cancer models and reported increases in aggressive cell behaviour, including increased cell migration and invasion as well as greater metastatic bone colonisation (37). Casimiro et al (38) in their study found a link between bone-seeking RANK positive subclones of MDA-MB-231 cells and increased cell migration and invasion through the RANKL JNK and ERK 1/2 signalling pathway. This demonstrates that the three molecules, OPG, RANK and RANKL, originally linked to regulation of bone turnover have other roles, potentially even pro-metastatic ones in breast cancer. The data reported here suggest that the targeting of RANK affects breast cancer cell behaviour associated with a metastatic phenotype (i.e., migration and invasion) in its own right, changes which subsequently remained unaltered when exposed to a bone-like environment. This therefore opens the possibility to explore the combination of dual therapies which combine targeting of breast cancer cell expressed RANKL (Denosumab) and RANK.

The human body is an intricate combination of a variety of cells and factors which could never be replicated in a 2-D model, possibly accounting for the disparity between the in vitro results and our previously published clinical data. Isolating OPG and RANK in this model system has demonstrated, particularly with OPG that they may play roles in bone metastases associated with breast cancer. Further scientific study is now necessary to fully understand the downstream molecules of OPG which influence this tumourigenic behaviour beyond the inhibition of TRAIL-induced apoptosis.

Acknowledgements

The authors would like to thank Cancer Research Wales for supporting this study.

References

1 

Coleman RE: Clinical features of metastatic bone disease and risk of skeletal morbidity. Clin Cancer Res. 12:S6243–S6249. 2006. View Article : Google Scholar

2 

Roodman GD: Mechanisms of bone metastasis. N Engl J Med. 350:1655–1664. 2004. View Article : Google Scholar : PubMed/NCBI

3 

Coleman RE: Metastatic bone disease: Clinical features, pathophysiology and treatment strategies. Cancer Treat Rev. 27:165–176. 2001. View Article : Google Scholar : PubMed/NCBI

4 

Paget S: The distribution of secondary growths in cancer of the breast. 1889. Cancer Metastasis Rev. 8:98–101. 1989.PubMed/NCBI

5 

Siclari VA, Guise TA and Chirgwin JM: Molecular interactions between breast cancer cells and the bone microenvironment drive skeletal metastases. Cancer Metastasis Rev. 25:621–633. 2006. View Article : Google Scholar : PubMed/NCBI

6 

Fidler IJ and Poste G: The ‘seed and soil’ hypothesis revisited. Lancet Oncol. 9:8082008. View Article : Google Scholar

7 

Weilbaecher KN, Guise TA and McCauley LK: Cancer to bone: A fatal attraction. Nat Rev Cancer. 11:411–425. 2011. View Article : Google Scholar : PubMed/NCBI

8 

Boyce BF and Xing L: Functions of RANKL/RANK/OPG in bone modeling and remodeling. Arch Biochem Biophys. 473:139–146. 2008. View Article : Google Scholar : PubMed/NCBI

9 

Hakeda Y, Kobayashi Y, Yamaguchi K, Yasuda H, Tsuda E, Higashio K, Miyata T and Kumegawa M: Osteoclastogenesis inhibitory factor (OCIF) directly inhibits bone-resorbing activity of isolated mature osteoclasts. Biochem Biophys Res Commun. 251:796–801. 1998. View Article : Google Scholar : PubMed/NCBI

10 

Yasuda H, Shima N, Nakagawa N, Mochizuki SI, Yano K, Fujise N, Sato Y, Goto M, Yamaguchi K, Kuriyama M, et al: Identity of osteoclastogenesis inhibitory factor (OCIF) and osteoprotegerin (OPG): A mechanism by which OPG/OCIF inhibits osteoclastogenesis in vitro. Endocrinology. 139:1329–1337. 1998.PubMed/NCBI

11 

Ibrahim T, Sacanna E, Gaudio M, Mercatali L, Scarpi E, Zoli W, Serra P, Ricci R, Serra L, Kang Y, et al: Role of RANK, RANKL, OPG, and CXCR4 tissue markers in predicting bone metastases in breast cancer patients. Clin Breast Cancer. 11:369–375. 2011. View Article : Google Scholar : PubMed/NCBI

12 

Mercatali L, Ibrahim T, Sacanna E, Flamini E, Scarpi E, Calistri D, Ricci M, Serra P, Ricci R, Zoli W, et al: Bone metastases detection by circulating biomarkers: OPG and RANK-L. Int J Oncol. 39:255–261. 2011.PubMed/NCBI

13 

Van Poznak C, Cross SS, Saggese M, Hudis C, Panageas KS, Norton L, Coleman RE and Holen I: Expression of osteoprotegerin (OPG), TNF related apoptosis inducing ligand (TRAIL), and receptor activator of nuclear factor kappaB ligand (RANKL) in human breast tumours. J Clin Pathol. 59:56–63. 2006. View Article : Google Scholar : PubMed/NCBI

14 

Neville-Webbe HL, Cross NA, Eaton CL, Nyambo R, Evans CA, Coleman RE and Holen I: Osteoprotegerin (OPG) produced by bone marrow stromal cells protects breast cancer cells from TRAIL-induced apoptosis. Breast Cancer Res Treat. 86:269–279. 2004. View Article : Google Scholar : PubMed/NCBI

15 

Holen I, Cross SS, Neville-Webbe HL, Cross NA, Balasubramanian SP, Croucher PI, Evans CA, Lippitt JM, Coleman RE and Eaton CL: Osteoprotegerin (OPG) expression by breast cancer cells in vitro and breast tumours in vivo - a role in tumour cell survival? Breast Cancer Res Treat. 92:207–215. 2005. View Article : Google Scholar : PubMed/NCBI

16 

Nicolin V and Narducci P: Soluble TRAIL could enhance bone destruction acting on Rank-ligand in estrogen-independent human breast cancer cell line MDA-MB-231. Acta Histochem. 112:189–192. 2010. View Article : Google Scholar

17 

Michalopoulos G, Houck KA, Dolan ML and Leutteke NC: Control of hepatocyte replication by two serum factors. Cancer Res. 44:4414–4419. 1984.PubMed/NCBI

18 

Nakamura T, Nawa K and Ichihara A: Partial purification and characterization of hepatocyte growth factor from serum of hepatectomized rats. Biochem Biophys Res Commun. 122:1450–1459. 1984. View Article : Google Scholar : PubMed/NCBI

19 

Russell WE, McGowan JA and Bucher NL: Biological properties of a hepatocyte growth factor from rat platelets. J Cell Physiol. 119:193–197. 1984. View Article : Google Scholar : PubMed/NCBI

20 

Jiang WG, Martin TA, Parr C, Davies G, Matsumoto K and Nakamura T: Hepatocyte growth factor, its receptor, and their potential value in cancer therapies. Crit Rev Oncol Hematol. 53:35–69. 2005. View Article : Google Scholar

21 

Parikh RA, Wang P, Beumer JH, Chu E and Appleman LJ: The potential roles of hepatocyte growth factor (HGF)-MET pathway inhibitors in cancer treatment. Onco Targets Ther. 7:969–983. 2014.PubMed/NCBI

22 

Davies S and Jiang WG: ALCAM, activated leukocyte cell adhesion molecule, influences the aggressive nature of breast cancer cells, a potential connection to bone metastasis. Anticancer Res. 30:1163–1168. 2010.PubMed/NCBI

23 

Sanders AJ, Parr C, Mason MD and Jiang WG: Suppression of hepatocyte growth factor activator inhibitor-1 leads to a more aggressive phenotype of prostate cancer cells in vitro. Int J Mol Med. 20:613–619. 2007.PubMed/NCBI

24 

Yuan Z, Sanders AJ, Ye L, Wang Y and Jiang WG: Knockdown of human antigen R reduces the growth and invasion of breast cancer cells in vitro and affects expression of cyclin D1 and MMP-9. Oncol Rep. 26:237–245. 2011.PubMed/NCBI

25 

Zuker M: Mfold web server for nucleic acid folding and hybridization prediction. Nucleic Acids Res. 31:3406–3415. 2003. View Article : Google Scholar : PubMed/NCBI

26 

Jiang WG, Hiscox S, Hallett MB, Horrobin DF, Mansel RE and Puntis MC: Regulation of the expression of E-cadherin on human cancer cells by gamma-linolenic acid (GLA). Cancer Res. 55:5043–5048. 1995.PubMed/NCBI

27 

Jiang WG, Hiscox S, Singhrao SK, Nakamura T, Puntis MC and Hallett MB: Inhibition of HGF/SF-induced membrane ruffling and cell motility by transient elevation of cytosolic free Ca2+. Exp Cell Res. 220:424–433. 1995. View Article : Google Scholar : PubMed/NCBI

28 

Rosen EM, Carley W and Goldberg ID: Scatter factor regulates vascular endothelial cell motility. Cancer Invest. 8:647–650. 1990. View Article : Google Scholar : PubMed/NCBI

29 

Albini A, Iwamoto Y, Kleinman HK, Martin GR, Aaronson SA, Kozlowski JM and McEwan RN: A rapid in vitro assay for quantitating the invasive potential of tumor cells. Cancer Res. 47:3239–3245. 1987.PubMed/NCBI

30 

Parish CR, Jakobsen KB and Coombe DR: A basement-membrane permeability assay which correlates with the metastatic potential of tumour cells. Int J Cancer. 52:378–383. 1992. View Article : Google Scholar : PubMed/NCBI

31 

Owen S, Ye L, Sanders AJ, Mason MD and Jiang WG: Expression profile of receptor activator of nuclear-κB (RANK), RANK ligand (RANKL) and osteoprotegerin (OPG) in breast cancer. Anticancer Res. 33:199–206. 2013.

32 

Raghav KP, Wang W, Liu S, Chavez-MacGregor M, Meng X, Hortobagyi GN, Mills GB, Meric-Bernstam F, Blumenschein GR Jr and Gonzalez-Angulo AM: cMET and phospho-cMET protein levels in breast cancers and survival outcomes. Clin Cancer Res. 18:2269–2277. 2012. View Article : Google Scholar : PubMed/NCBI

33 

Zinonos I, Luo KW, Labrinidis A, Liapis V, Hay S, Panagopoulos V, Denichilo M, Ko CH, Yue GG, Lau CB, et al: Pharmacologic inhibition of bone resorption prevents cancer-induced osteolysis but enhances soft tissue metastasis in a mouse model of osteolytic breast cancer. Int J Oncol. 45:532–540. 2014.PubMed/NCBI

34 

Weichhaus M, Segaran P, Renaud A, Geerts D and Connelly L: Osteoprotegerin expression in triple-negative breast cancer cells promotes metastasis. Cancer Med. 3:1112–1125. 2014. View Article : Google Scholar : PubMed/NCBI

35 

Body JJ, Greipp P, Coleman RE, Facon T, Geurs F, Fermand JP, Harousseau JL, Lipton A, Mariette X, Williams CD, et al: A phase I study of AMGN-0007, a recombinant osteoprotegerin construct, in patients with multiple myeloma or breast carcinoma related bone metastases. Cancer. 97(Suppl): 887–892. 2003. View Article : Google Scholar : PubMed/NCBI

36 

Chanda D, Isayeva T, Kumar S, Siegal GP, Szafran AA, Zinn KR, Reddy VV and Ponnazhagan S: Systemic osteoprotegerin gene therapy restores tumor-induced bone loss in a therapeutic model of breast cancer bone metastasis. Mol Ther. 16:871–878. 2008. View Article : Google Scholar : PubMed/NCBI

37 

Blake ML, Tometsko M, Miller R, Jones JC and Dougall WC: RANK expression on breast cancer cells promotes skeletal metastasis. Clin Exp Metastasis. 31:233–245. 2014. View Article : Google Scholar

38 

Casimiro S, Mohammad KS, Pires R, Tato-Costa J, Alho I, Teixeira R, Carvalho A, Ribeiro S, Lipton A, Guise TA, et al: RANKL/RANK/MMP-1 molecular triad contributes to the metastatic phenotype of breast and prostate cancer cells in vitro. PLoS One. 8:e631532013. View Article : Google Scholar : PubMed/NCBI

Related Articles

  • Abstract
  • View
  • Download
  • Twitter
Copy and paste a formatted citation
Spandidos Publications style
Owen S, Sanders AJ, Mason MD and Jiang WG: Importance of osteoprotegrin and receptor activator of nuclear factor κB in breast cancer response to hepatocyte growth factor and the bone microenvironment in vitro. Int J Oncol 48: 919-928, 2016.
APA
Owen, S., Sanders, A.J., Mason, M.D., & Jiang, W.G. (2016). Importance of osteoprotegrin and receptor activator of nuclear factor κB in breast cancer response to hepatocyte growth factor and the bone microenvironment in vitro. International Journal of Oncology, 48, 919-928. https://doi.org/10.3892/ijo.2016.3339
MLA
Owen, S., Sanders, A. J., Mason, M. D., Jiang, W. G."Importance of osteoprotegrin and receptor activator of nuclear factor κB in breast cancer response to hepatocyte growth factor and the bone microenvironment in vitro". International Journal of Oncology 48.3 (2016): 919-928.
Chicago
Owen, S., Sanders, A. J., Mason, M. D., Jiang, W. G."Importance of osteoprotegrin and receptor activator of nuclear factor κB in breast cancer response to hepatocyte growth factor and the bone microenvironment in vitro". International Journal of Oncology 48, no. 3 (2016): 919-928. https://doi.org/10.3892/ijo.2016.3339
Copy and paste a formatted citation
x
Spandidos Publications style
Owen S, Sanders AJ, Mason MD and Jiang WG: Importance of osteoprotegrin and receptor activator of nuclear factor κB in breast cancer response to hepatocyte growth factor and the bone microenvironment in vitro. Int J Oncol 48: 919-928, 2016.
APA
Owen, S., Sanders, A.J., Mason, M.D., & Jiang, W.G. (2016). Importance of osteoprotegrin and receptor activator of nuclear factor κB in breast cancer response to hepatocyte growth factor and the bone microenvironment in vitro. International Journal of Oncology, 48, 919-928. https://doi.org/10.3892/ijo.2016.3339
MLA
Owen, S., Sanders, A. J., Mason, M. D., Jiang, W. G."Importance of osteoprotegrin and receptor activator of nuclear factor κB in breast cancer response to hepatocyte growth factor and the bone microenvironment in vitro". International Journal of Oncology 48.3 (2016): 919-928.
Chicago
Owen, S., Sanders, A. J., Mason, M. D., Jiang, W. G."Importance of osteoprotegrin and receptor activator of nuclear factor κB in breast cancer response to hepatocyte growth factor and the bone microenvironment in vitro". International Journal of Oncology 48, no. 3 (2016): 919-928. https://doi.org/10.3892/ijo.2016.3339
Follow us
  • Twitter
  • LinkedIn
  • Facebook
About
  • Spandidos Publications
  • Careers
  • Cookie Policy
  • Privacy Policy
How can we help?
  • Help
  • Live Chat
  • Contact
  • Email to our Support Team