Spandidos Publications Logo
  • About
    • About Spandidos
    • Aims and Scopes
    • Abstracting and Indexing
    • Editorial Policies
    • Reprints and Permissions
    • Job Opportunities
    • Terms and Conditions
    • Contact
  • Journals
    • All Journals
    • Oncology Letters
      • Oncology Letters
      • Information for Authors
      • Editorial Policies
      • Editorial Board
      • Aims and Scope
      • Abstracting and Indexing
      • Bibliographic Information
      • Archive
    • International Journal of Oncology
      • International Journal of Oncology
      • Information for Authors
      • Editorial Policies
      • Editorial Board
      • Aims and Scope
      • Abstracting and Indexing
      • Bibliographic Information
      • Archive
    • Molecular and Clinical Oncology
      • Molecular and Clinical Oncology
      • Information for Authors
      • Editorial Policies
      • Editorial Board
      • Aims and Scope
      • Abstracting and Indexing
      • Bibliographic Information
      • Archive
    • Experimental and Therapeutic Medicine
      • Experimental and Therapeutic Medicine
      • Information for Authors
      • Editorial Policies
      • Editorial Board
      • Aims and Scope
      • Abstracting and Indexing
      • Bibliographic Information
      • Archive
    • International Journal of Molecular Medicine
      • International Journal of Molecular Medicine
      • Information for Authors
      • Editorial Policies
      • Editorial Board
      • Aims and Scope
      • Abstracting and Indexing
      • Bibliographic Information
      • Archive
    • Biomedical Reports
      • Biomedical Reports
      • Information for Authors
      • Editorial Policies
      • Editorial Board
      • Aims and Scope
      • Abstracting and Indexing
      • Bibliographic Information
      • Archive
    • Oncology Reports
      • Oncology Reports
      • Information for Authors
      • Editorial Policies
      • Editorial Board
      • Aims and Scope
      • Abstracting and Indexing
      • Bibliographic Information
      • Archive
    • Molecular Medicine Reports
      • Molecular Medicine Reports
      • Information for Authors
      • Editorial Policies
      • Editorial Board
      • Aims and Scope
      • Abstracting and Indexing
      • Bibliographic Information
      • Archive
    • World Academy of Sciences Journal
      • World Academy of Sciences Journal
      • Information for Authors
      • Editorial Policies
      • Editorial Board
      • Aims and Scope
      • Abstracting and Indexing
      • Bibliographic Information
      • Archive
    • International Journal of Functional Nutrition
      • International Journal of Functional Nutrition
      • Information for Authors
      • Editorial Policies
      • Editorial Board
      • Aims and Scope
      • Abstracting and Indexing
      • Bibliographic Information
      • Archive
    • International Journal of Epigenetics
      • International Journal of Epigenetics
      • Information for Authors
      • Editorial Policies
      • Editorial Board
      • Aims and Scope
      • Abstracting and Indexing
      • Bibliographic Information
      • Archive
    • Medicine International
      • Medicine International
      • Information for Authors
      • Editorial Policies
      • Editorial Board
      • Aims and Scope
      • Abstracting and Indexing
      • Bibliographic Information
      • Archive
  • Articles
  • Information
    • Information for Authors
    • Information for Reviewers
    • Information for Librarians
    • Information for Advertisers
    • Conferences
  • Language Editing
Spandidos Publications Logo
  • About
    • About Spandidos
    • Aims and Scopes
    • Abstracting and Indexing
    • Editorial Policies
    • Reprints and Permissions
    • Job Opportunities
    • Terms and Conditions
    • Contact
  • Journals
    • All Journals
    • Biomedical Reports
      • Information for Authors
      • Editorial Policies
      • Editorial Board
      • Aims and Scope
      • Abstracting and Indexing
      • Bibliographic Information
      • Archive
    • Experimental and Therapeutic Medicine
      • Information for Authors
      • Editorial Policies
      • Editorial Board
      • Aims and Scope
      • Abstracting and Indexing
      • Bibliographic Information
      • Archive
    • International Journal of Epigenetics
      • Information for Authors
      • Editorial Policies
      • Editorial Board
      • Aims and Scope
      • Abstracting and Indexing
      • Bibliographic Information
      • Archive
    • International Journal of Functional Nutrition
      • Information for Authors
      • Editorial Policies
      • Editorial Board
      • Aims and Scope
      • Abstracting and Indexing
      • Bibliographic Information
      • Archive
    • International Journal of Molecular Medicine
      • Information for Authors
      • Editorial Policies
      • Editorial Board
      • Aims and Scope
      • Abstracting and Indexing
      • Bibliographic Information
      • Archive
    • International Journal of Oncology
      • Information for Authors
      • Editorial Policies
      • Editorial Board
      • Aims and Scope
      • Abstracting and Indexing
      • Bibliographic Information
      • Archive
    • Medicine International
      • Information for Authors
      • Editorial Policies
      • Editorial Board
      • Aims and Scope
      • Abstracting and Indexing
      • Bibliographic Information
      • Archive
    • Molecular and Clinical Oncology
      • Information for Authors
      • Editorial Policies
      • Editorial Board
      • Aims and Scope
      • Abstracting and Indexing
      • Bibliographic Information
      • Archive
    • Molecular Medicine Reports
      • Information for Authors
      • Editorial Policies
      • Editorial Board
      • Aims and Scope
      • Abstracting and Indexing
      • Bibliographic Information
      • Archive
    • Oncology Letters
      • Information for Authors
      • Editorial Policies
      • Editorial Board
      • Aims and Scope
      • Abstracting and Indexing
      • Bibliographic Information
      • Archive
    • Oncology Reports
      • Information for Authors
      • Editorial Policies
      • Editorial Board
      • Aims and Scope
      • Abstracting and Indexing
      • Bibliographic Information
      • Archive
    • World Academy of Sciences Journal
      • Information for Authors
      • Editorial Policies
      • Editorial Board
      • Aims and Scope
      • Abstracting and Indexing
      • Bibliographic Information
      • Archive
  • Articles
  • Information
    • For Authors
    • For Reviewers
    • For Librarians
    • For Advertisers
    • Conferences
  • Language Editing
Login Register Submit
  • This site uses cookies
  • You can change your cookie settings at any time by following the instructions in our Cookie Policy. To find out more, you may read our Privacy Policy.

    I agree
Search articles by DOI, keyword, author or affiliation
Search
Advanced Search
presentation
International Journal of Oncology
Join Editorial Board Propose a Special Issue
Print ISSN: 1019-6439 Online ISSN: 1791-2423
Journal Cover
December-2016 Volume 49 Issue 6

Full Size Image

Cover Legend PDF

Sign up for eToc alerts
Recommend to Library

Journals

International Journal of Molecular Medicine

International Journal of Molecular Medicine

International Journal of Molecular Medicine is an international journal devoted to molecular mechanisms of human disease.

International Journal of Oncology

International Journal of Oncology

International Journal of Oncology is an international journal devoted to oncology research and cancer treatment.

Molecular Medicine Reports

Molecular Medicine Reports

Covers molecular medicine topics such as pharmacology, pathology, genetics, neuroscience, infectious diseases, molecular cardiology, and molecular surgery.

Oncology Reports

Oncology Reports

Oncology Reports is an international journal devoted to fundamental and applied research in Oncology.

Experimental and Therapeutic Medicine

Experimental and Therapeutic Medicine

Experimental and Therapeutic Medicine is an international journal devoted to laboratory and clinical medicine.

Oncology Letters

Oncology Letters

Oncology Letters is an international journal devoted to Experimental and Clinical Oncology.

Biomedical Reports

Biomedical Reports

Explores a wide range of biological and medical fields, including pharmacology, genetics, microbiology, neuroscience, and molecular cardiology.

Molecular and Clinical Oncology

Molecular and Clinical Oncology

International journal addressing all aspects of oncology research, from tumorigenesis and oncogenes to chemotherapy and metastasis.

World Academy of Sciences Journal

World Academy of Sciences Journal

Multidisciplinary open-access journal spanning biochemistry, genetics, neuroscience, environmental health, and synthetic biology.

International Journal of Functional Nutrition

International Journal of Functional Nutrition

Open-access journal combining biochemistry, pharmacology, immunology, and genetics to advance health through functional nutrition.

International Journal of Epigenetics

International Journal of Epigenetics

Publishes open-access research on using epigenetics to advance understanding and treatment of human disease.

Medicine International

Medicine International

An International Open Access Journal Devoted to General Medicine.

Journal Cover
December-2016 Volume 49 Issue 6

Full Size Image

Cover Legend PDF

Sign up for eToc alerts
Recommend to Library

  • Article
  • Citations
    • Cite This Article
    • Download Citation
    • Create Citation Alert
    • Remove Citation Alert
    • Cited By
  • Similar Articles
    • Related Articles (in Spandidos Publications)
    • Similar Articles (Google Scholar)
    • Similar Articles (PubMed)
  • Download PDF
  • Download XML
  • View XML
Article

Comparative gene expression profiling of ADAMs, MMPs, TIMPs, EMMPRIN, EGF-R and VEGFA in low grade meningioma

  • Authors:
    • Harcharan K. Rooprai
    • Andrew J. Martin
    • Andrew King
    • Usha D. Appadu
    • Huw Jones
    • Richard P. Selway
    • Richard W. Gullan
    • Geoffrey J. Pilkington
  • View Affiliations / Copyright

    Affiliations: Department of Neurosurgery, King's College Hospital, London SE5 9RS, UK, Department of Neurosurgery, St. George's Hospital, London SW17 0QT, UK, Department of Clinical Neuropathology, King's College Hospital, London SE5 9RS, UK, School of Science and Technology, Middlesex University, London NW4 4BT, UK, School of Pharmacy and Biomedical Sciences, University of Portsmouth, Portsmouth PO1 2DT, UK
  • Pages: 2309-2318
    |
    Published online on: October 18, 2016
       https://doi.org/10.3892/ijo.2016.3739
  • Expand metrics +
Metrics: Total Views: 0 (Spandidos Publications: | PMC Statistics: )
Metrics: Total PDF Downloads: 0 (Spandidos Publications: | PMC Statistics: )
Cited By (CrossRef): 0 citations Loading Articles...

This article is mentioned in:



Abstract

MMPs (matrix metalloproteinases), ADAMs (a disintegrin and metalloproteinase) and TIMPs (tissue inhibitors of metalloproteinases) are implicated in invasion and angiogenesis: both are tissue remodeling processes involving regulated proteolysis of the extracellular matrix, growth factors and their receptors. The expression of these three groups and their correlations with clinical behaviour has been reported in gliomas but a similar comprehensive study in meningiomas is lacking. In this study, we aimed to evaluate the patterns of expression of 23 MMPs, 4 TIMPs, 8 ADAMs, selective growth factors and their receptors in 17 benign meningiomas using a quantitative real-time polymerase chain reaction (qPCR). Results indicated very high gene expression of 13 proteases, inhibitors and growth factors studied: MMP2 and MMP14, TIMP-1, -2 and -3, ADAM9, 10, 12, 15 and 17, EGF-R, EMMPRIN and VEGF-A, in almost every meningioma. Expression pattern analysis showed several positive correlations between MMPs, ADAMs, TIMPs and growth factors. Furthermore, our findings suggest that expression of MMP14, ADAM9, 10, 12, 15 and 17, TIMP-2, EGF-R and EMMPRIN reflects histological subtype of meningioma such that fibroblastic subtype had the highest mRNA expression, transitional subtype was intermediate and meningothelial type had the lowest expression. In conclusion, this is the first comprehensive study characterizing gene expression of 8 ADAMs in meningiomas. These neoplasms, although by histological definition benign, have invasive potential. Taken together, the selected elevated gene expression pattern may serve to identify targets for therapeutic intervention or indicators of biological progression and recurrence.

Introduction

Meningiomas are tumours of neoplastic arachnoid cap cells which can arise from the dura at any site. This is, however, most commonly the skull vault, from the skull base and at sites of dural reflections, whereas those which arise from the spine account for only 10% of meningiomas. In addition, they are the most frequently encountered benign, non-glial, neoplasms within the skull, accounting for nearly a quarter of all primary intracranial tumours (1) and have an estimated annual incidence of 2–7 per 100,000 women and 1–5 per 100,000 men (2). Meningiomas are typically benign tumours but have a broad spectrum of clinical characteristics and histologically distinct subsets which are associated with high risk of recurrence, even after complete resection. According to the WHO classification, benign meningiomas (Grade I) have a low risk of recurrence and aggressive growth with 22 subtypes, including meningothelial, fibroblastic, transitional and psammomatous meningiomas. Atypical meningiomas (Grade II) are more likely to recur whereas anaplastic meningiomas (Grade III) have the greatest likelihood of recurrence and/or have more aggressive behaviour (3).

Although histologically benign meningiomas differ in their patterns of invasion from atypical meningiomas, they can still invade the dura, dural sinuses, skull and extracranial compartments because of their ability to extend into mesenchymal tissues. They are not, however, considered to be atypical or malignant. In contrast, brain invasion is associated with recurrence and mortality rates similar to atypical meningiomas, even if the neoplasm appears to be otherwise completely benign (4).

A critical step of tumour progression and recurrence is the infiltrative invasion into the contiguous tissue. Metalloproteinases (MMPs) are a family of 23 structurally related, zinc-dependent endopeptidases in man. For many years, some of the MMPs have been widely implicated as mediators of invasion and angiogenesis with a role in degradation of the extracellular matrix (ECM). It is now evident that the functions of MMPs are much more complex than was initially thought since they also have other roles such as regulation of cell adhesion (5), and control of apoptosis via release of death or survival factors. MMPs are also known to regulate the bioavailability and/or activity of growth factors by mediating receptor turnover or by cleaving matrix proteins associated with growth factors. EMMPRIN (extracellular matrix metalloproteinase inducer), which is also known as CD147, basigin or M6, is thought to induce tumour invasion by activating production of various MMPs. The ability of MMP-9 to trigger the release of vascular endothelial growth factor (VEGF) which regulates angiogenesis and vascular permeability is also well documented (6). Additionally, the epidermal growth factor receptor (EGFR) family of membrane-bound receptor tyrosine kinases which comprise 4 structurally related receptors, (EGFR, HER2, HER3/ErbB3 and HER4/ErbB4), plays an important role in tumour invasion (7).

The expression of some MMPs has been well studied in gliomas (8–12) and meningiomas (13–19) particularly in relation to invasion or recurrence. Closely related to the MMPs is the ADAM (a disintegrin and metalloproteinase) family which has also been implicated in cancer, particularly via ADAM-mediated activation of EGFR signalling (20). ADAM8 and ADAM19 have also been reported to be overexpressed in various brain tumours (21) as well as ADAM10 in gliomas (22) and have been implicated in local invasion.

RECK (reversion-inducing cysteine-rich protein with kazal motifs) is a tumour and metastatic suppressor protein which is a negative regulator of MMPs and has been implicated in the regulation of both tumour invasion and angiogenesis. The four members of the tissue inhibitors of matrix metalloproteinases (TIMPs) family which were previously thought to be endogenous inhibitors of MMPs alone are now known to inhibit several ADAMs and to be involved independently in modulation of various biological activities including cell proliferation, migration, invasion, angiogenesis and apoptosis (23).

Although there are several reports of elevated levels of some ADAMs in gliomas, there is a lack of studies for the co-expression of these with MMPs, TIMPs, various growth factors and their receptors in benign meningiomas. The aim of this study was to characterize RNA expression of the MMP family, 4 TIMPs, RECK as well as 8 ADAMs and selective growth factors and/or receptors implicated as modulators of invasion or angiogenesis as well as predictors of recurrence. Quantitative real-time PCR (qPCR) was used for this evaluation in 17 low grade meningiomas (12 cultured cells and 5 tissue samples) of different subtypes, including fibroblastic, meningothelial and transitional.

Materials and methods

Clinical samples

Seventeen low grade human meningiomas were studied for their profiles of MMPs, TIMPs, ADAMs and various growth factors and/or receptors (Table I). The surgical specimens used in this study were from 11 females and 6 males, between the age of 34 and 75, with a mean age of 54. There were different subtypes of low grade meningiomas within this group of patients, generally Grade I except one with brain invasion (Grade II). The tumour site for the samples included frontal and occipital lobes as well as olfactory groove, cerebellopontine angle, tentorium and spinal.

Table I

Clinical data, histological classification and anatomical site of 17 meningiomas analysed.

Table I

Clinical data, histological classification and anatomical site of 17 meningiomas analysed.

NoMeningioma designationSourceAge (years)GenderAnatomical siteHistological subtypeWHO grade
10071/01 (P4)KCH38FemaleR cerebellopontine angleFibroblasticI
20076/01 (P3)KCH53FemaleOccipitalFibroblasticI
3 0089/01(P4)KCH54FemaleOlfactory grooveFibroblasticI
40196/01 (P3)KCH44MaleR sphenoid wing Meningiothelial-with brain invasionII
50250/01 (P3)KCH60FemaleBifrontalMeningioma-with hemangiopericytic like patternI
60366/01 (P3)KCH49FemaleFrontalMeningioma NOSI
71177/00 (P5)KCH45FemaleSubfrontalTransitionalI
80191/01 (P5)KCH69FemaleSpinalPsammomatousI
90208/01 (P3)KCH51FemaleTentorium Fibroblastic-recurrentI
100263/01 (P3)KCH43MaleOlfactory groove MeningiothelialI
110460/01 (P3)KCH70FemaleSpinalPsammomatousI
120461/01 (P2)KCH34MaleFrontal MeningiothelialI
13BT3/01CA52MaleR dura frontal MeningiothelialI
14BT72CA75MaleL dura olfactory grooveTransitionalI
15BT159CA37FemaleL dura tentorium MeningiothelialI
16BT294CA74MaleR Parietal occipitalTransitionalI
17BT301CA71FemaleL Frontal MeningiothelialI

[i] Classification of meningiomas by tumour subtype and invasion was used for comparison purposes. The first 12 meningiomas in the table were short-term cell cultures derived from biopsies and obtained from King’s College Hospital, London (KCH). Passage numbers are given in bold and in parentheses. The rest (no. 13–17 with BT as the prefix) were obtained as snap frozen biopsy samples at the time of surgery from the University of Calgary, Canada (CA). NOS, not otherwise specified.

The first twelve samples used (numbered 1–12, Table I) were cultured cells at low passages (between P2 and P6). They were obtained from patients undergoing surgery, under local Ethical permission (LREC No 00-173), from the Department of Neurosurgery, King’s College Hospital, London in 2000 and 2001. The tumour was diagnosed, according to the World Health Organisation criteria by a neuropathologist. Cells were cultured as monolayers in small plastic culture flasks (Marathon) at 37°C, 5% CO2 in a standard humidified incubator. Cells were routinely maintained in Dulbecco’s modified Eagle’s medium (DMEM) supplemented with antibiotics/antimycotic at the final concentration of 100 IU penicillin, 100 μg amphotericin per ml and 10% fetal calf serum (FCS; Sigma-Aldrich).

The remaining five samples used were frozen biopsies (numbers 13–17, with a prefix, BT). These were collected between 1991 and 1997 and kindly provided by Dr Peter Forsyth, University of Calgary, Canada. Tissue was collected, under local Ethical permission, in the operating theatre immediately after removal and snap frozen in liquid nitrogen. The meningiomas were classified and graded by a neuropathologist at this institution. Samples, having been previously frozen in liquid nitrogen, were homogenized in RNAzol, and frozen at −20°C until the RNA was isolated. Dr Robert Nuttall carried out the qPCR at the School of Biological Sciences, University of East Anglia, Norwich.

RNA isolation and reverse transcription

Total RNA was isolated from cell culture and tissue lysates according to the instructions provided with the RNAzol. RNA was resuspended in diethyl pyrocarbonate-treated (Sigma-Aldrich) water. The concentrations were then determined by spectrophotometry using a GeneQuant pro RNA/DNA calculator (Amersham Pharmacia Biotech, Little Chalfont, UK). One microgram of total RNA was reverse transcribed using 2 μg random hexamers (Amersham Pharmacia Biotech) and SuperScript II reverse transcriptase (Life Technologies, Paisley, UK) according to the supplier’s instructions. Complementary DNA copy (cDNA) was stored at −20°C until required for the polymerase chain reaction (PCR).

Quantitative real-time PCR

Sequences for 100 nM probes and 200 nM primers used in the present study for MMPs, TIMPs, ADAMs, TGF-α, HB-EGF, EGF-R, erb-B2, erb-B3, VEGF-A, KDR and flt-1 have previously been described elsewhere (9,24). 18S was TaqMan® Ribosomal RNA Control reagents part no. 4308329 (Applied Biosystems, Warrington, UK) and used as an endogenous control. Briefly, PCR reactions were performed using the ABI Prism 7700 Sequence Detection system (Applied Biosystems), using the manufacturer’s protocol. Each reaction was performed in 25 μl and contained the equivalent of 5 ng of reverse transcribed RNA (1 ng RNA for the 18S analyses), 50% TaqMan 2X PCR Master Mix (Applied Biosystems), 100 nM each of the forward and reverse primer, and 200 nM of probe. Conditions for the PCR reaction were 2 min at 50°C, 10 min at 95°C and then 40 cycles, each consisting of 15 sec at 95°C, and 1 min at 60°C. To determine the relative RNA levels within the samples, standard curves for the PCR reaction were prepared by using the cDNA from one sample and making 2-fold serial dilutions covering the range equivalent to 20-0.625 ng of RNA (for 18S analyses the range was from 4 to 0.125 ng). These dilutions were subject to real-time PCR as described above. Relative standard curves for cycle threshold (CT) vs. input RNA were prepared, and relative levels of starting RNA in each sample were determined. The results for each target mRNA were normalized to those from 18S ribosomal RNA from the same sample.

Statistical analysis

The RNA levels for each gene obtained from the standard curves were corrected using the 18S rRNA levels. All data displays and statistical analyses were undertaken at these ratios. To determine association between gene levels in the meningiomas, Spearman’s rank correlation co-efficients (rs) were calculated between all genes regardless of sub-type or invasion. Rs values of >0.7 [P<0.01, (n=17)] were considered of potential significance. All statistical analyses were undertaken using statistical software Minitab v.15.1 and SPSS v.15.0.

Results

RNA levels for all human 23 MMPs, 4 TIMPs, RECK, 8 ADAMs (ADAM8, 9, 10, 12, 15, 17, 19 and 28), EMMPRIN and growth factors and/or receptors (TGF-α, HB-EGF, EGF-R, erb-B2, erb-B3, VEGF-A, KDR and flt-1) were profiled in a series of 17 benign meningiomas. We first used the cycle threshold (CT) of each gene to classify its expression as not detected (CT=40), low (CT=36–39), moderate (CT=31–35), high (CT=26–30) or very high (CT=≤25) (Figs. 1 and 2).

Figure 1

Differential expression of relative mRNA levels of all human MMPs, TIMPs and RECK in 17 meningiomas, as listed in Table I.

Figure 2

Differential expression of relative mRNA levels of 8 ADAMs, EMMPRIN, growth factors and their receptors in 17 meningiomas.

Differential expression of MMPs and TIMPs in 17 meningiomas

Of all the MMPs, MMP14 (membrane-type MMP or MT1 MMP) was very highly expressed in all but one sample. Similarly, MMP2 was also very highly expressed in all the snap frozen tissue samples (samples 13–17) and the majority of cultured cells (samples 1–12) whereas MMP9 was only highly expressed in 5 of the latter group (Fig. 1). MMP11 and MMP19 were highly and consistently expressed in all the meningiomas studied. Generally, expression of MMP26 and 27 was detected in a small number of meningiomas, while some of the MMPs (MMP8, 17, 21, 23, 24 and 25) were present in most samples albeit at low or moderate levels. There was limited or no MMP13 expression in most samples whereas none of the meningiomas from biopsy-derived cell cultures at low passage or snap frozen biopsy tissues expressed any MMP20. In addition, TIMP-1, -2 and -3 were detected at very high levels in every meningioma whereas TIMP-4 and RECK were generally expressed at high levels (Fig. 1).

Differential expression of ADAMs and growth factors and/or receptors in 17 meningiomas

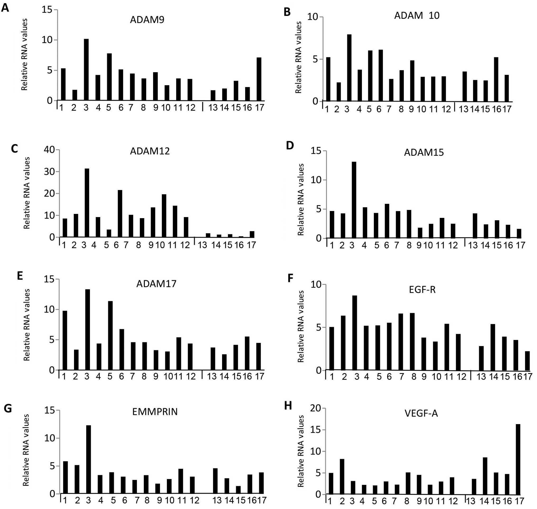
Given the elevated levels of some ADAMs reported in brain tumours, particularly gliomas, we quantified the RNA levels of 8 ADAMs (ADAM8, 9, 10, 12, 15, 17, 19 and 28) in 17 meningiomas (Fig. 2). ADAM9 and 15 were very highly expressed in every meningioma sample in the study whereas ADAM10, 12, 17 and 19 were either very highly or highly expressed in them. ADAM8 was moderately expressed in all except one meningioma.

We also analysed the RNA levels of a few members of the EGF and VEGF families (Fig. 2) to assess if there was any concomitant expression with MMPs, ADAMs and TIMPs. EGF-R, EMMPRIN and VEGF-A were very highly expressed whereas hbEGF was generally highly expressed in all the meningiomas compared to the other EGFR receptor (ErbB3), TGF-α, and the VEGF receptors (flt-1 or VEGFR-1 and flk/KDR or VEGFR2).

Patterns of gene expression in low passage cultured cells compared with snap frozen biopsy tissue samples

Close examination of the data revealed noticeable patterns in gene expression for selected protease, growth factor and receptor across different meningioma samples. For example, the snap frozen biopsy tissues (samples 13–17) from the University of Calgary showed either negligible or no expression of MMP1, 3, 10 and 12 compared to the primary cell cultures (samples 1–12) from King’s College Hospital (Fig. 1). The reverse pattern was apparent with ADAM28 since all the cell cultured meningiomas, except one, expressed it moderately whereas all the snap frozen tissue samples expressed it highly. Similarly, flt-1 and KDR were highly expressed in the latter and mostly moderately expressed in the former (Fig. 2).

Correlations between selected 13 elevated genes expressed in subtypes of meningiomas

Next, we statistically analysed the data to see if there were any meaningful patterns or correlations for 13 selected MMPs, ADAMs, growth factors and receptors ( MMP2 and 14, ADAM9, 10, 12, 15 and 17, TIMP-1, -2 and -3, EGF-R, EMMPRIN and VEGF-A) which were very highly expressed. Figs. 3 and 4 show the relative RNA levels for individual samples while Fig. 5 represents box plots for select genes grouped according to meningioma subtype (fibroblastic, transitional and meningothelial). Relative RNA expression was normalized to 18S rRNA levels and is presented relative to normal brain sample. Although the sample size was small, [F (fibroblastic) n=4, T (transitional) n=3 and M (meningothelial) n=6], some trends were evident, in that the fibroblastic subtype generally showed more expression compared with the meningothelial whereas the transitional showed intermediate expression, particularly for MMP14, ADAM9, 10, 12, 15 and 17, TIMP-2, EGFR and EMMPRIN. Overall, the fibroblastic meningiomas displayed the highest median levels for 10 of the 13 selected gene expressions as well as having the maximum expression in 11 out of 13 of them.

Figure 3

The relative mRNA expression of MMP2, MMP14 and TIMP-1, -2 and -3 in low grade meningiomas: biopsy-derived cultured cells (1–12) and snap frozen tissue samples (13–17).

Figure 4

The relative mRNA expressions of ADAM9, 10, 12, 15 and 17, EMMPRIN, EGF-R and VEGF-A in low grade meningiomas: biopsy-derived cultured cells (1–12) and snap frozen tissue samples (13–17).

Figure 5

Box plots for relative mRNA values for 13 selected MMPs, ADAMs, growth factors and receptors elevated in the 3 subtypes of meningiomas: fibroblastic (F), meningothelial (M) and transitional (T).

Spearman rank analysis showed that the RNA levels had significant correlations (Rs >0.7), between some of the MMPs, TIMPs, growth factors and their receptors in the meningiomas (Table II). The data revealed that the levels of MMP12 correlated positively with MMP1, 3, 10, TIMP4 and RECK, whereas levels of ADAM12 correlated positively with MMP1, 3, 10, 12, 16, TIMP4 and RECK but negatively with that of KDR. The levels of ADAM17 correlated with levels of ADAM9 and 10 only; levels of ADAM15 were positively correlated with EGFR and negatively with levels of flt-1. ADAM28 levels were positively correlated with both VEGF receptors (flt-1 and KDR).

Table II

Inter-correlation (Spearman’s rank) of MMPs, ADAMs, TIMPs and growth factors/receptors in a series of meningiomas.

Table II

Inter-correlation (Spearman’s rank) of MMPs, ADAMs, TIMPs and growth factors/receptors in a series of meningiomas.

MMP1MMP2MMP3MMP8MMP10MMP11MMP12MMP15MMP16MMP25MMP26ADAM9ADAM10ADAM12ADAM15ADAM28EGFRFlt-1
MMP30.92a
MMP90.76a
MMP100.84a0.90a
MMP120.89b0.93a0.82a
MMP130.68b
MMP140.68b
MMP160.75a
MMP190.65b
MMP270.72a
ADAM120.83a0.86a0.85a0.86a0.68b
ADAM170.69b0.70b
TIMP-10.72a0.83a
TIMP-30.79a
TIMP-40.80a0.73b0.78a0.75a0.67b
RECK0.71b0.69b0.67b
EGFR0.65b0.72a
hbEGF0.66b
Flt-10.67b−0.71a0.72a
KDR−0.71a0.68b0.72a

{ label (or @symbol) needed for fn[@id='tfn2-ijo-49-06-2309'] } All correlations are positive, unless indicated by (−).

a P<0.001,

b P<0.01.

{ label (or @symbol) needed for fn[@id='tfn5-ijo-49-06-2309'] } Spearman correlations of different RNA levels for each factor were determined. Correlation coefficients >0.7 were considered to be significant with P<0.01. Adam 12 and KDR showed a negative correlation with P<0.001. Similarly, Adam 15 and Flt-1 also showed a negative correlation with P<0.001.

Discussion

Most benign meningiomas grow slowly by expansion, leading to compression of adjacent structures. Others vary in their biological characteristics, such as invasion, in that some of these neoplasms tend to invade brain parenchyma and bone because of their ability to extend into mesenchymal tissues. Recurrence is usually seen in classic benign meningiomas due to incomplete resection in contrast to atypical and anaplastic meningiomas, which show increased rate of proliferation and cord like cellular invasion into underlying brain parenchyma. An important biological feature of recurrence is invasion which is mediated by a cohort of proteases including MMPs and ADAMs for the degradation of a variety of extracellular matrix (ECM) macromolecules.

Over the last two decades, different techniques (such as western and northern blots, zymography and immunohistochemistry) have been used to show expression of a few MMPs and their endogenous inhibitors, TIMPs, in brain tumours. However, with the advent of molecular technology, particularly qPCR, comprehensive studies for the gene expression of a battery of MMPs, ADAMs, TIMPs and growth factors has become possible allowing identification of different correlations and patterns associated with various biological features of these extrinsic brain tumours. Indeed, the discovery of ADAMs and changes in proposed roles of MMPs and TIMPs generally suggests that they may contribute to different stages of tumour progression by regulating cell proliferation, invasion, angiogenesis and apoptosis as they are known to regulate growth factor activities as well as integrin function (21,25–29).

In this study, low passage biopsy-derived cultured cells (samples 1–12 from King’s College Hospital) were used since our research interest has been primarily on in vitro studies of tumour cell invasion. However, snap frozen biopsy tissues (samples 13–17 from University of Calgary) were included for comparative purposes.

Ubiquitous expression of a battery of MMPs has been reported in the literature in benign meningiomas, some of which have been associated with the potential to invade. The high or moderate expression of MMP1 and MMP12 seen in the cultures cells (samples 1–12) is consistent with the finding of other workers who have implicated them in invasion of meningiomas (30) and gliomas (31), respectively. Other mediators of invasion which are well documented include MMP2, 9 and 14. Notably, of the 23 MMPs studied, MMP14 was expressed very highly in the vast majority of meningiomas, whereas MMP9 was expressed highly in only 5 of the low passage cultured cells. MMP2 was generally very highly or highly expressed. This finding is consistent with previous reports suggesting their association with the potential to invade, especially increased levels of MMP2 and MMP9 in Grade 1 meningiomas as prognostic or predictive factors of recurrence (16,32). Moreover, in another study, the prognostic value of MMP9 in the risk of recurrence of meningiomas was investigated by analysing its expression in a series of meningiomas of different histological type and grade. It was expressed highly in 64% of them and was significantly associated with histological grade (18).

MMP28 (Epilysin) was highly or moderately expressed in every meningioma in the present study. Very recently one study suggested that significant elevation of MMP28 levels in glioblastoma patients may predict unfavorable overall survival (12). High expressions of MMP11 and 19 seen in all the meningiomas in this study are consistent with the findings of previous reports using RT-PCR, western blotting and immunohistochemistry which indicated that they correlated with the WHO-grading of human malignant gliomas (11). Indeed, MMP19 has also been reported to be a facilitator of invasion in gliomas (33). This further confirms the notion that benign meningiomas express some of these MMPs as they have potential to invade like malignant gliomas. In contrast, MMP20 was not detected in any of the meningiomas, similar to previous findings with various cancers including de novo glioblastoma multiforme (9) and 7 established GBM cell lines (11).

Often results based on different methodology are not comparable leading to dissimilar and contradictory conclusions. Nonetheless, a recent study has reviewed MMP expression by different methods in glioma cell cultures, established cell lines and biopsy tissue samples and suggested that there is a correlation for the expression of MMP1, 2, 7, 9, 11, 14, 15 and 25 with tumour grade. Furthermore, MMP3, 8, 10, 13, 16, 17, 20, 21, 23, 26, 27 and 28 may not have a major role in tumorigenesis as some of these have limited or no expression (34).

The tissue inhibitors of MMPs, TIMP-1, -2 and -3 were also very highly expressed in all 17 meningiomas studied whereas TIMP-4 and RECK (a negative regulator of MMPs) were only highly expressed generally. Although TIMP-1 level is thought to correlate positively with histological grades of glioma, TIMP-4 has a negative correlation. TIMP-3 has the broadest spectrum for inhibition as it also inhibits several members of the ADAM family (35). TIMPs are now believed to be multifunctional proteins with some biological activities, which may be partially due to MMP inhibition but may also be independent of MMPs, such as modulation of cell proliferation, invasion, anti-angiogenesis, pro- and anti-apoptosis (23). RECK (reversion-inducing cysteine-rich protein) has been implicated in the regulation of both tumour invasion and angiogenesis by inhibiting activities of MMPs 2, 9 and 14. It has also been shown that downregulation of the RECK gene is critical for invasion in T98G, a human glioblastoma cell line (36).

Our results also showed that all 8 ADAMs were expressed moderately, highly or very highly (Fig. 2). Of these, ADAMs 9, 10, 12, 15 and 17 were very highly expressed whereas ADAM8 mRNA levels were moderately expressed in almost all the meningiomas. Due to lack of reports of ADAMs on meningiomas in the literature, comparison was only possible with studies on gliomas. Western blotting, RT-PCR and immunohistochemical studies have shown high expression of ADAM8 and ADAM19 genes in astrocytomas with a role in invasion (21). Overexpression of ADAM12 detected by RT-PCR in glioblastomas is thought to imply a role in proliferation through shedding of heparin-binding epidermal growth factor (37). It has been suggested that both ADAMs 10 and 17 modulate tumour progression through their influence on distinct cellular pathways. They also regulate the activation of the EGFR tyrosine kinase family in the shedding of EGFR ligands (38).

The RNA levels of a few growth factors and their receptors were also profiled in this study to determine if there was any correlation between their expression with that of MMPs, ADAMs and TIMPs. Several reports have documented that overexpression of epidermal growth factor receptors correlate with grade of malignancy in glioma. Elevated levels of EGFR observed in every meningioma in the present study, is consistent with that demonstrated in a large cohort of meningiomas in which the highest degree of its expression was in benign meningiomas. In addition, they compared immunohistochemistry results to malignant meningiomas, concluding that the expression is inversely correlated to tumour grade and may serve as a potential therapeutic target with selective EGFR inhibitors (39).

The cytokine VEGF was originally described as vascular permeability factor and it functions as a positive regulator of angiogenesis by promoting migration, proliferation and tube formation of endothelial cells. The elevated levels of VEGF seen in this study confirm earlier reports not only on benign meningiomas, but atypical and malignant ones as well (40). It has been suggested that the increased ratio of the pro-angiogenesis factor VEGF to the anti-angiogenic factor SEMASA (which is expressed in human meningiomas association with low microvessel density) is a negative predictor of recurrence in these neoplasms (41).

EMMPRIN, the extracellular MMP inducer, was also very highly expressed in all the meningiomas. It is thought to induce tumour invasion by activating MMP production (e.g. MMP1, 2 and 15) and modulating cell-substrate adhesion processes. Recent reports of it have suggested positive correlation of EMMPRIN expression with WHO grades of both gliomas and meningiomas (42).

Overall, our results show a differential co-expression of the 44 genes studied, 13 of which were very highly expressed in every meningioma investigated. These include 2 of 23 MMPs (MMP2 and 14), 3 of 4 TIMPs (TIMP-1, -2 and -3), 5 of 8 ADAMs (ADAM9, 10, 12, 15 and 17), the growth factor receptor, EGF-R, the cell surface bound MMP regulator, EMMPRIN and the regulator of angiogenesis and vascular permeability, VEGF-A (Figs. 1 and 2). Normal controls for comparison have already been reported in our previous study on gene profiles in human cancer cells, including gliomas (9). However, distinct differences in gene expression patterns were consistent for both types of samples (biopsy derived cultured cells and snap frozen tumours). MMP1, 3, 10 and 12 were either absent or had low expression in the snap frozen biopsy samples but often highly expressed in biopsy-derived cultured cells (Figs. 1Figure 2Figure 3–4). Nevertheless, the reverse pattern was seen with ADAM28, vascular endothelial growth factor receptors, Flt-1 (VEGFR-1) and KDR/Flk-1 (Kinase insert domain receptor or VEGFR-2) which were highly expressed in the snap frozen biopsy samples. This might reflect either differences in gene expression due to the in vitro culture conditions or the effect of the stroma in the expression of specific genes in the snap frozen samples.

It is noteworthy that due to the limited number of samples in the study, the data obtained for correlations must be treated with caution. Nonetheless, co-expression pattern analysis, using Spearman’s rank, in the present study showed several positive correlations between MMPs, ADAMs, TIMPs and growth factors (Table II). In particular, ADAM12 correlated positively with a number of MMPs (MMP1, 3, 10, 12 and 16), TIMP4 and RECK but negatively with the VEGF receptor, KDR. Interestingly, the histological subtype analysis correlations (Fig. 5) confirmed our previous findings on MMP-2 and -9 in 18 cell cultures of meningiomas using gelatin zymography (16). With the use of RT-PCR, in this study, we found that the fibroblastic subtype generally showed the highest expression compared to the meningothelial whereas the transitional showed intermediate expression for MMP14, ADAM9, 10, 12, 15 and 17, TIMP-2, EGFR and EMMPRIN.

The presence of brain invasion is considered to predict aggressive clinical behaviour and recurrence. After complete resection, the recurrence rate in meningiomas, is estimated to be 10–32% within 10 years. Although factors for recurrence are not well understood in benign meningiomas, high levels of MMP9 and VEGF expression have been proposed. It was possible to follow up the 12 patients from King’s College Hospital (Table I) over a period of 15 years, to evaluate if the overexpression of any of the genes in this study was related to clinical outcome. Most patients were regularly followed up and showed no sign of recurrence over a period of 8–15 years. At the time of surgical resection in 2001, patient no. 3 was diagnosed with brain-invasive benign meningioma (Grade II) but follow-up was only possible for 1 year. There was no sign of recurrence then. Patient no. 5 was the only one in the study who had recurrence in 2001, having had undergone surgery previously in 1995. She was free from further recurrence until the most recent follow-up in 2010. It was only patient no. 12 who had a second surgery for recurrence after 14 years in 2015. It would have been interesting to find possible links for recurrence with the gene expression in these patients but the data did not show any predictive indicators.

In conclusion, this study provides new clues about the molecular mechanisms implicated in this poorly characterized tumour and identifies several potential targets for therapeutic intervention. Unlike the positive correlations seen between MMPs (e.g. MMP14) implicated in invasion and increased malignancy in glioma, this study implies that benign meningiomas may have the potential to invade or recur and permit angiogenesis. Moreover, elevated levels of TIMPs-1, -2 and -3 may regulate MMP proteolysis and also inhibit apoptosis. Taken together, the data suggest that within the tumour environment, elevated levels of some MMPs, ADAMs, TIMPs and RECK may indicate that these meningiomas, although benign by definition, have the potential to invade and recur. The 13 selected elevated gene expressions may serve as potential targets for therapeutic intervention. We can also postulate that our findings may support the notion that expression for MMP14, ADAM9, 10, 12, 15 and 17, TIMP-2, EGFR and EMMPRIN reflects the histological subtype of meningioma. Further studies include the characterising the functional role (and elucidating molecular mechanisms implicated) for the pattern of co-expression of MMPs, ADAMs, TIMPs and growth factors in a larger cohort of invasive and recurrent meningiomas.

Acknowledgements

The present study was financially supported by the Royal College of Surgeons of England for Mr. Andrew J Martin’s Surgical Research Fellowship. The authors are also grateful to Dr Robert Nuttall for his valuable assistance.

References

1 

Perry A, Louis DN, Scheithauer BW, Budka H and Von Deimling A: Meningioma. WHO Classifications of Tumours of the Central Nervous System. 4th edition. Louis DN, Ohgaki H, Wiestler OD and Cavenee WK: International Agency for Research on Cancer; Lyon: pp. 164–172. 2007

2 

Love S, Louis DN and Ellison DW: Greenfield’s Neuropathology. 8th edition. Hodder Arnold; London: 2008

3 

Louis DN, Ohgaki H, Wiestler OD and Cavenee WK: World Health Organisation Classification of tumours of the central nervous system. IARC Press; Lyon: 2007

4 

Perry A, Scheithauer BW, Stafford SL, Lohse CM and Wollan PC: ‘Malignancy’ in meningiomas: A clinicopathologic study of 116 patients, with grading implications. Cancer. 85:2046–2056. 1999.PubMed/NCBI

5 

Bourboulia D and Stetler-Stevenson WG: Matrix metalloproteinases (MMPs) and tissue inhibitors of metalloproteinases (TIMPs): Positive and negative regulators in tumor cell adhesion. Semin Cancer Biol. 20:161–168. 2010. View Article : Google Scholar : PubMed/NCBI

6 

Roy R, Zhang B and Moses MA: Making the cut: Protease-mediated regulation of angiogenesis. Exp Cell Res. 312:608–622. 2006. View Article : Google Scholar : PubMed/NCBI

7 

Patel R and Leung HY: Targeting the EGFR-family for therapy: Biological challenges and clinical perspective. Curr Pharm Des. 18:2672–2679. 2012. View Article : Google Scholar : PubMed/NCBI

8 

Van Meter TE, Rooprai HK, Kibble MM, Fillmore HL, Broaddus WC and Pilkington GJ: The role of matrix metalloproteinase genes in glioma invasion: Co-dependent and interactive proteolysis. J Neurooncol. 53:213–235. 2001. View Article : Google Scholar

9 

Nuttall RK, Pennington CJ, Taplin J, Wheal A, Yong VW, Forsyth PA and Edwards DR: Elevated membrane-type matrix metalloproteinases in gliomas revealed by profiling proteases and inhibitors in human cancer cells. Mol Cancer Res. 1:333–345. 2003.PubMed/NCBI

10 

Stojic J, Hagemann C, Haas S, Herbold C, Kühnel S, Gerngras S, Roggendorf W, Roosen K and Vince GH: Expression of matrix metalloproteinases MMP-1, MMP-11 and MMP-19 is correlated with the WHO-grading of human malignant gliomas. Neurosci Res. 60:40–49. 2008. View Article : Google Scholar

11 

Hagemann C, Anacker J, Haas S, Riesner D, Schömig B, Ernestus R-I and Vince GH: Comparative expression pattern of Matrix-Metalloproteinases in human glioblastoma cell-lines and primary cultures. BMC Res Notes. 3:293–302. 2010. View Article : Google Scholar : PubMed/NCBI

12 

Wang X, Zhang K, Chen X, Zhao C and Sun Z: Epilysin is overexpressed in glioblastoma and related to clinical outcome of patients. Med Oncol. 32:3632015. View Article : Google Scholar

13 

Kirches E, Grunewald J, von Bossanyi P, Szibor R, Plate I, Krüger S, Warich-Kirches M and Dietzmann K: Expression of matrix metalloproteinases in a series of 12 meningiomas. Clin Neuropathol. 20:26–30. 2001.PubMed/NCBI

14 

Nordqvist AC, Smurawa H and Mathiesen T: Expression of matrix metalloproteinases 2 and 9 in meningiomas associated with different degrees of brain invasiveness and edema. J Neurosurg. 95:839–844. 2001. View Article : Google Scholar : PubMed/NCBI

15 

Rooprai HK, Van Meter TE, Robinson SD, King A, Rucklidge GJ and Pilkington GJ: Expression of MMP-2 and -9 in short-term cultures of meningioma: Influence of histological subtype. Int J Mol Med. 12:977–981. 2003.PubMed/NCBI

16 

Okada M, Miyake K, Matsumoto Y, Kawai N, Kunishio K and Nagao S: Matrix metalloproteinase-2 and matrix metalloproteinase-9 expressions correlate with the recurrence of intracranial meningiomas. J Neurooncol. 66:29–37. 2004. View Article : Google Scholar : PubMed/NCBI

17 

von Randow AJU, Schindler S and Tews DS: Expression of extracellular matrix-degrading proteins in classic, atypical, and anaplastic meningiomas. Pathol Res Pract. 202:365–372. 2006. View Article : Google Scholar : PubMed/NCBI

18 

Barresi V, Vitarelli E, Tuccari G and Barresi G: MMP-9 expression in meningiomas: A prognostic marker for recurrence risk? J Neurooncol. 102:189–196. 2011. View Article : Google Scholar

19 

Barresi V, Alafaci C, Caffo M, Barresi G and Tuccari G: Clinicopathological characteristics, hormone receptor status and matrix metallo-proteinase-9 (MMP-9) immunohistochemical expression in spinal meningiomas. Pathol Res Pract. 208:350–355. 2012. View Article : Google Scholar : PubMed/NCBI

20 

Edwards DR, Handsley MM and Pennington CJ: The ADAM metalloproteinases. Mol Aspects Med. 29:258–289. 2008. View Article : Google Scholar : PubMed/NCBI

21 

Wildeboer D, Naus S, Amy Sang QX, Bartsch JW and Pagenstecher A: Metalloproteinase disintegrins ADAM8 and ADAM19 are highly regulated in human primary brain tumors and their expression levels and activities are associated with invasiveness. J Neuropathol Exp Neurol. 65:516–527. 2006. View Article : Google Scholar : PubMed/NCBI

22 

Qu M, Qiu BO, Xiong W, Chen D and Wu A: Expression of a-disintegrin and metalloproteinase 10 correlates with grade of malignancy in human glioma. Oncol Lett. 9:2157–2162. 2015.PubMed/NCBI

23 

Brew K and Nagase H: The tissue inhibitors of metalloproteinases (TIMPs): An ancient family with structural and functional diversity. Biochim Biophys Acta. 1803:55–71. 2010. View Article : Google Scholar : PubMed/NCBI

24 

Toft-Hansen H, Nuttall RK, Edwards DR and Owens T: Key metalloproteinases are expressed by specific cell types in experimental autoimmune encephalomyelitis. J Immunol. 173:5209–5218. 2004. View Article : Google Scholar : PubMed/NCBI

25 

Clark IM, Swingler TE, Sampieri CL and Edwards DR: The regulation of matrix metalloproteinases and their inhibitors. Int J Biochem Cell Biol. 40:1362–1378. 2008. View Article : Google Scholar : PubMed/NCBI

26 

Murphy G and Nagase H: Localizing matrix metalloproteinase activities in the pericellular environment. FEBS J. 278:2–15. 2011. View Article : Google Scholar

27 

Kessenbrock K, Plaks V and Werb Z: Matrix metalloproteinases: Regulators of the tumor microenvironment. Cell. 141:52–67. 2010. View Article : Google Scholar : PubMed/NCBI

28 

Rocks N, Paulissen G, El Hour M, Quesada F, Crahay C, Gueders M, Foidart JM, Noel A and Cataldo D: Emerging roles of ADAM and ADAMTS metalloproteinases in cancer. Biochimie. 90:369–379. 2008. View Article : Google Scholar

29 

Gialeli C, Theocharis AD and Karamanos NK: Roles of matrix metalloproteinases in cancer progression and their pharmacological targeting. FEBS J. 278:16–27. 2011. View Article : Google Scholar

30 

Nagashima G, Fujimoto T, Suzuki R, Asai J, Itokawa H and Noda M: Dural invasion of meningioma: A histological and immunohistochemical study. Brain Tumor Pathol. 23:13–17. 2006. View Article : Google Scholar

31 

Sarkar S, Nuttall RK, Liu S, Edwards DR and Yong VW: Tenascin-C stimulates glioma cell invasion through matrix metalloproteinase-12. Cancer Res. 66:11771–11780. 2006. View Article : Google Scholar : PubMed/NCBI

32 

Okuducu AF, Zils U, Michaelis SA, Mawrin C and von Deimling A: Increased expression of avian erythroblastosis virus E26 oncogene homolog 1 in World Health Organization grade 1 meningiomas is associated with an elevated risk of recurrence and is correlated with the expression of its target genes matrix metalloproteinase-2 and MMP-9. Cancer. 107:1365–1372. 2006. View Article : Google Scholar : PubMed/NCBI

33 

Lettau I, Hattermann K, Held-Feindt J, Brauer R, Sedlacek R and Mentlein R: Matrix metalloproteinase-19 is highly expressed in astroglial tumors and promotes invasion of glioma cells. J Neuropathol Exp Neurol. 69:215–223. 2010. View Article : Google Scholar : PubMed/NCBI

34 

Hagemann C, Anacker J, Ernestus RI and Vince GH: A complete compilation of matrix metalloproteinase expression in human malignant gliomas. World J Clin Oncol. 3:67–79. 2012. View Article : Google Scholar : PubMed/NCBI

35 

Nagase H and Murphy G: Tailoring TIMPs for selective metalloproteinase inhibition. The Cancer Degradome. Edwards D, Hoyer-Hansen G, Blasi F and Sloane BF: Springer Science; New York: pp. 787–810. 2008, View Article : Google Scholar

36 

Silveira Corrêa TC, Massaro RR, Brohem CA, Taboga SR, Lamers ML, Santos MF and Maria-Engler SS: RECK-mediated inhibition of glioma migration and invasion. J Cell Biochem. 110:52–61. 2010.PubMed/NCBI

37 

Kodama T, Ikeda E, Okada A, Ohtsuka T, Shimoda M, Shiomi T, Yoshida K, Nakada M, Ohuchi E and Okada Y: ADAM12 is selectively overexpressed in human glioblastomas and is associated with glioblastoma cell proliferation and shedding of heparin-binding epidermal growth factor. Am J Pathol. 165:1743–1753. 2004. View Article : Google Scholar : PubMed/NCBI

38 

Saftig P and Reiss K: The ‘A Disintegrin And Metalloproteases’ ADAM10 and ADAM17: Novel drug targets with therapeutic potential? Eur J Cell Biol. 90:527–535. 2011. View Article : Google Scholar : PubMed/NCBI

39 

Wernicke AG, Dicker AP, Whiton M, Ivanidze J, Hyslop T, Hammond EH, Perry A, Andrews DW and Kenyon L: Assessment of Epidermal Growth Factor Receptor (EGFR) expression in human meningioma. Radiat Oncol. 5:46–52. 2010. View Article : Google Scholar : PubMed/NCBI

40 

Pistolesi S, Boldrini L, Gisfredi S, De Ieso K, Camacci T, Caniglia M, Lupi G, Leocata P, Basolo F, Pingitore R, et al: Angiogenesis in intracranial meningiomas: Immunohistochemical and molecular study. Neuropathol Appl Neurobiol. 30:118–125. 2004. View Article : Google Scholar : PubMed/NCBI

41 

Barresi V and Tuccari G: Increased ratio of vascular endothelial growth factor to semaphorin3A is a negative prognostic factor in human meningiomas. Neuropathology. 30:537–546. 2010.PubMed/NCBI

42 

Tsai WC, Chen Y, Huang LC, Lee HS, Ma HI, Huang SM, Sytwu HK and Hueng DY: EMMPRIN expression positively correlates with WHO grades of astrocytomas and meningiomas. J Neurooncol. 114:281–290. 2013. View Article : Google Scholar : PubMed/NCBI

Related Articles

  • Abstract
  • View
  • Download
  • Twitter
Copy and paste a formatted citation
Spandidos Publications style
Rooprai HK, Martin AJ, King A, Appadu UD, Jones H, Selway RP, Gullan RW and Pilkington GJ: Comparative gene expression profiling of ADAMs, MMPs, TIMPs, EMMPRIN, EGF-R and VEGFA in low grade meningioma. Int J Oncol 49: 2309-2318, 2016.
APA
Rooprai, H.K., Martin, A.J., King, A., Appadu, U.D., Jones, H., Selway, R.P. ... Pilkington, G.J. (2016). Comparative gene expression profiling of ADAMs, MMPs, TIMPs, EMMPRIN, EGF-R and VEGFA in low grade meningioma. International Journal of Oncology, 49, 2309-2318. https://doi.org/10.3892/ijo.2016.3739
MLA
Rooprai, H. K., Martin, A. J., King, A., Appadu, U. D., Jones, H., Selway, R. P., Gullan, R. W., Pilkington, G. J."Comparative gene expression profiling of ADAMs, MMPs, TIMPs, EMMPRIN, EGF-R and VEGFA in low grade meningioma". International Journal of Oncology 49.6 (2016): 2309-2318.
Chicago
Rooprai, H. K., Martin, A. J., King, A., Appadu, U. D., Jones, H., Selway, R. P., Gullan, R. W., Pilkington, G. J."Comparative gene expression profiling of ADAMs, MMPs, TIMPs, EMMPRIN, EGF-R and VEGFA in low grade meningioma". International Journal of Oncology 49, no. 6 (2016): 2309-2318. https://doi.org/10.3892/ijo.2016.3739
Copy and paste a formatted citation
x
Spandidos Publications style
Rooprai HK, Martin AJ, King A, Appadu UD, Jones H, Selway RP, Gullan RW and Pilkington GJ: Comparative gene expression profiling of ADAMs, MMPs, TIMPs, EMMPRIN, EGF-R and VEGFA in low grade meningioma. Int J Oncol 49: 2309-2318, 2016.
APA
Rooprai, H.K., Martin, A.J., King, A., Appadu, U.D., Jones, H., Selway, R.P. ... Pilkington, G.J. (2016). Comparative gene expression profiling of ADAMs, MMPs, TIMPs, EMMPRIN, EGF-R and VEGFA in low grade meningioma. International Journal of Oncology, 49, 2309-2318. https://doi.org/10.3892/ijo.2016.3739
MLA
Rooprai, H. K., Martin, A. J., King, A., Appadu, U. D., Jones, H., Selway, R. P., Gullan, R. W., Pilkington, G. J."Comparative gene expression profiling of ADAMs, MMPs, TIMPs, EMMPRIN, EGF-R and VEGFA in low grade meningioma". International Journal of Oncology 49.6 (2016): 2309-2318.
Chicago
Rooprai, H. K., Martin, A. J., King, A., Appadu, U. D., Jones, H., Selway, R. P., Gullan, R. W., Pilkington, G. J."Comparative gene expression profiling of ADAMs, MMPs, TIMPs, EMMPRIN, EGF-R and VEGFA in low grade meningioma". International Journal of Oncology 49, no. 6 (2016): 2309-2318. https://doi.org/10.3892/ijo.2016.3739
Follow us
  • Twitter
  • LinkedIn
  • Facebook
About
  • Spandidos Publications
  • Careers
  • Cookie Policy
  • Privacy Policy
How can we help?
  • Help
  • Live Chat
  • Contact
  • Email to our Support Team