Spandidos Publications Logo
  • About
    • About Spandidos
    • Aims and Scopes
    • Abstracting and Indexing
    • Editorial Policies
    • Reprints and Permissions
    • Job Opportunities
    • Terms and Conditions
    • Contact
  • Journals
    • All Journals
    • Oncology Letters
      • Oncology Letters
      • Information for Authors
      • Editorial Policies
      • Editorial Board
      • Aims and Scope
      • Abstracting and Indexing
      • Bibliographic Information
      • Archive
    • International Journal of Oncology
      • International Journal of Oncology
      • Information for Authors
      • Editorial Policies
      • Editorial Board
      • Aims and Scope
      • Abstracting and Indexing
      • Bibliographic Information
      • Archive
    • Molecular and Clinical Oncology
      • Molecular and Clinical Oncology
      • Information for Authors
      • Editorial Policies
      • Editorial Board
      • Aims and Scope
      • Abstracting and Indexing
      • Bibliographic Information
      • Archive
    • Experimental and Therapeutic Medicine
      • Experimental and Therapeutic Medicine
      • Information for Authors
      • Editorial Policies
      • Editorial Board
      • Aims and Scope
      • Abstracting and Indexing
      • Bibliographic Information
      • Archive
    • International Journal of Molecular Medicine
      • International Journal of Molecular Medicine
      • Information for Authors
      • Editorial Policies
      • Editorial Board
      • Aims and Scope
      • Abstracting and Indexing
      • Bibliographic Information
      • Archive
    • Biomedical Reports
      • Biomedical Reports
      • Information for Authors
      • Editorial Policies
      • Editorial Board
      • Aims and Scope
      • Abstracting and Indexing
      • Bibliographic Information
      • Archive
    • Oncology Reports
      • Oncology Reports
      • Information for Authors
      • Editorial Policies
      • Editorial Board
      • Aims and Scope
      • Abstracting and Indexing
      • Bibliographic Information
      • Archive
    • Molecular Medicine Reports
      • Molecular Medicine Reports
      • Information for Authors
      • Editorial Policies
      • Editorial Board
      • Aims and Scope
      • Abstracting and Indexing
      • Bibliographic Information
      • Archive
    • World Academy of Sciences Journal
      • World Academy of Sciences Journal
      • Information for Authors
      • Editorial Policies
      • Editorial Board
      • Aims and Scope
      • Abstracting and Indexing
      • Bibliographic Information
      • Archive
    • International Journal of Functional Nutrition
      • International Journal of Functional Nutrition
      • Information for Authors
      • Editorial Policies
      • Editorial Board
      • Aims and Scope
      • Abstracting and Indexing
      • Bibliographic Information
      • Archive
    • International Journal of Epigenetics
      • International Journal of Epigenetics
      • Information for Authors
      • Editorial Policies
      • Editorial Board
      • Aims and Scope
      • Abstracting and Indexing
      • Bibliographic Information
      • Archive
    • Medicine International
      • Medicine International
      • Information for Authors
      • Editorial Policies
      • Editorial Board
      • Aims and Scope
      • Abstracting and Indexing
      • Bibliographic Information
      • Archive
  • Articles
  • Information
    • Information for Authors
    • Information for Reviewers
    • Information for Librarians
    • Information for Advertisers
    • Conferences
  • Language Editing
Spandidos Publications Logo
  • About
    • About Spandidos
    • Aims and Scopes
    • Abstracting and Indexing
    • Editorial Policies
    • Reprints and Permissions
    • Job Opportunities
    • Terms and Conditions
    • Contact
  • Journals
    • All Journals
    • Biomedical Reports
      • Information for Authors
      • Editorial Policies
      • Editorial Board
      • Aims and Scope
      • Abstracting and Indexing
      • Bibliographic Information
      • Archive
    • Experimental and Therapeutic Medicine
      • Information for Authors
      • Editorial Policies
      • Editorial Board
      • Aims and Scope
      • Abstracting and Indexing
      • Bibliographic Information
      • Archive
    • International Journal of Epigenetics
      • Information for Authors
      • Editorial Policies
      • Editorial Board
      • Aims and Scope
      • Abstracting and Indexing
      • Bibliographic Information
      • Archive
    • International Journal of Functional Nutrition
      • Information for Authors
      • Editorial Policies
      • Editorial Board
      • Aims and Scope
      • Abstracting and Indexing
      • Bibliographic Information
      • Archive
    • International Journal of Molecular Medicine
      • Information for Authors
      • Editorial Policies
      • Editorial Board
      • Aims and Scope
      • Abstracting and Indexing
      • Bibliographic Information
      • Archive
    • International Journal of Oncology
      • Information for Authors
      • Editorial Policies
      • Editorial Board
      • Aims and Scope
      • Abstracting and Indexing
      • Bibliographic Information
      • Archive
    • Medicine International
      • Information for Authors
      • Editorial Policies
      • Editorial Board
      • Aims and Scope
      • Abstracting and Indexing
      • Bibliographic Information
      • Archive
    • Molecular and Clinical Oncology
      • Information for Authors
      • Editorial Policies
      • Editorial Board
      • Aims and Scope
      • Abstracting and Indexing
      • Bibliographic Information
      • Archive
    • Molecular Medicine Reports
      • Information for Authors
      • Editorial Policies
      • Editorial Board
      • Aims and Scope
      • Abstracting and Indexing
      • Bibliographic Information
      • Archive
    • Oncology Letters
      • Information for Authors
      • Editorial Policies
      • Editorial Board
      • Aims and Scope
      • Abstracting and Indexing
      • Bibliographic Information
      • Archive
    • Oncology Reports
      • Information for Authors
      • Editorial Policies
      • Editorial Board
      • Aims and Scope
      • Abstracting and Indexing
      • Bibliographic Information
      • Archive
    • World Academy of Sciences Journal
      • Information for Authors
      • Editorial Policies
      • Editorial Board
      • Aims and Scope
      • Abstracting and Indexing
      • Bibliographic Information
      • Archive
  • Articles
  • Information
    • For Authors
    • For Reviewers
    • For Librarians
    • For Advertisers
    • Conferences
  • Language Editing
Login Register Submit
  • This site uses cookies
  • You can change your cookie settings at any time by following the instructions in our Cookie Policy. To find out more, you may read our Privacy Policy.

    I agree
Search articles by DOI, keyword, author or affiliation
Search
Advanced Search
presentation
Molecular Medicine Reports
Join Editorial Board Propose a Special Issue
Print ISSN: 1791-2997 Online ISSN: 1791-3004
Journal Cover
August-2017 Volume 16 Issue 2

Full Size Image

Sign up for eToc alerts
Recommend to Library

Journals

International Journal of Molecular Medicine

International Journal of Molecular Medicine

International Journal of Molecular Medicine is an international journal devoted to molecular mechanisms of human disease.

International Journal of Oncology

International Journal of Oncology

International Journal of Oncology is an international journal devoted to oncology research and cancer treatment.

Molecular Medicine Reports

Molecular Medicine Reports

Covers molecular medicine topics such as pharmacology, pathology, genetics, neuroscience, infectious diseases, molecular cardiology, and molecular surgery.

Oncology Reports

Oncology Reports

Oncology Reports is an international journal devoted to fundamental and applied research in Oncology.

Experimental and Therapeutic Medicine

Experimental and Therapeutic Medicine

Experimental and Therapeutic Medicine is an international journal devoted to laboratory and clinical medicine.

Oncology Letters

Oncology Letters

Oncology Letters is an international journal devoted to Experimental and Clinical Oncology.

Biomedical Reports

Biomedical Reports

Explores a wide range of biological and medical fields, including pharmacology, genetics, microbiology, neuroscience, and molecular cardiology.

Molecular and Clinical Oncology

Molecular and Clinical Oncology

International journal addressing all aspects of oncology research, from tumorigenesis and oncogenes to chemotherapy and metastasis.

World Academy of Sciences Journal

World Academy of Sciences Journal

Multidisciplinary open-access journal spanning biochemistry, genetics, neuroscience, environmental health, and synthetic biology.

International Journal of Functional Nutrition

International Journal of Functional Nutrition

Open-access journal combining biochemistry, pharmacology, immunology, and genetics to advance health through functional nutrition.

International Journal of Epigenetics

International Journal of Epigenetics

Publishes open-access research on using epigenetics to advance understanding and treatment of human disease.

Medicine International

Medicine International

An International Open Access Journal Devoted to General Medicine.

Journal Cover
August-2017 Volume 16 Issue 2

Full Size Image

Sign up for eToc alerts
Recommend to Library

  • Article
  • Citations
    • Cite This Article
    • Download Citation
    • Create Citation Alert
    • Remove Citation Alert
    • Cited By
  • Similar Articles
    • Related Articles (in Spandidos Publications)
    • Similar Articles (Google Scholar)
    • Similar Articles (PubMed)
  • Download PDF
  • Download XML
  • View XML
Article Open Access

Sulforaphane increases Nrf2 expression and protects alveolar epithelial cells against injury caused by cigarette smoke extract

  • Authors:
    • Zongxian Jiao
    • Jiachen Chang
    • Jing Li
    • Dengmei Nie
    • Huijuan Cui
    • Dongfang Guo
  • View Affiliations / Copyright

    Affiliations: Research Institute of Pathology, School of Basic Medical Sciences, Lanzhou University, Lanzhou, Gansu 730000, P.R. China
    Copyright: © Jiao et al. This is an open access article distributed under the terms of Creative Commons Attribution License.
  • Pages: 1241-1247
    |
    Published online on: June 6, 2017
       https://doi.org/10.3892/mmr.2017.6700
  • Expand metrics +
Metrics: Total Views: 0 (Spandidos Publications: | PMC Statistics: )
Metrics: Total PDF Downloads: 0 (Spandidos Publications: | PMC Statistics: )
Cited By (CrossRef): 0 citations Loading Articles...

This article is mentioned in:



Abstract

Cigarette smoking is a primary risk factor for chronic obstructive pulmonary disease (COPD), as it damages epithelial cells through a variety of mechanisms. Sulforaphane (SFN) is an antioxidant agent, which exerts protective effects against cell damage by activating the nuclear factor erythroid 2 like 2 (NFE2L2; Nrf2). The present study was undertaken to investigate the effects and underlying mechanisms of SFN in preventing cigarette smoke extract (CSE)‑induced oxidative damage to RLE‑6TN rat lung epithelial cells. MTT assay was used to determine the cytotoxicity of SFN and CSE. The effect of SFN and CSE on cell cycle progression, apoptosis and intracellular reactive oxygen species (ROS) levels were analyzed using flow cytometry. Reverse transcription‑quantitative polymerase chain reaction and western blotting were used to quantify mRNA and protein expression levels of Nrf2 respectively. SFN protected RLE‑6TN cells from oxidative damage, potentially via increasing Nrf2 expression and reducing ROS levels. In addition, SFN attenuated G1 phase cell cycle arrest and abrogated apoptosis. Therefore, SFN protected alveolar epithelial cells against CSE‑induced oxidative injury by upregulating Nrf2 expression. The results of the present study may provide theoretical support for the clinical use of SFN in patients with COPD.

Introduction

Chronic obstructive pulmonary disease (COPD) is a group of diseases associated with cigarette smoke, and it is becoming a primary cause of mortality and morbidity in humans. COPD is the fourth leading cause of mortality worldwide and the World Health Organization predicts it will become the third leading cause by 2030 (1,2). The disease is characterized by chronic airway inflammation, airflow obstruction, alveolar wall destruction and oxidant/antioxidant imbalance (3). There is a strong correlation between cigarette smoking and COPD; ~15% of heavy smokers develop COPD. Compared with non-smoker COPD patients, active smokers exhibit an accelerated decline in lung function and a higher mortality rate (3). Cigarette smoke is a worldwide risk factor in the pathogenesis of COPD, and it is a mixture that contains >1015–17 oxidant and free radical molecules and >5,000 chemicals per inhalation. These cause oxidative damage and alveolar epithelial cell death, which have been implicated in COPD pathogenesis. Exposure to cigarette smoke-induced oxidative stress becomes a burden to the lungs of smokers (4). Therefore, it is important to investigate potential antioxidant defenses against cigarette smoke-induced cell damage.

Nuclear factor erythroid 2 like 2 (NFE2L2; Nrf2) regulates the antioxidant defense system and, as a central basic leucine zipper transcription factor, modifies oxidative responses and inflammation. Under physiological conditions, Nrf2 is sequestered in the cytoplasm via an interaction with Kelch-like ECH associated protein 1 (Keap1). However, upon exposure to oxidative stimuli, Nrf2 dissociates from Keap1 and translocates into the nucleus, where it dimerizes with Maf proteins and specifically binds to the antioxidant responsive element (ARE) to initiate transcription of target genes. In the absence of oxidative stress, Keap1 suppresses Nrf2 signaling constitutively by preventing Nrf2 translocation to the nucleus (5). Numerous protective antioxidant responses are associated with Nrf2 function. Nrf2 regulates ‘direct’ and ‘indirect’ antioxidant enzymes, including superoxide dismutase, γ-glutamylcysteine synthetase, heme oxygenase-1 and NADPH:quinone oxidoreductase-1, among others. These enzymes exert cytoprotective, antioxidant and anti-inflammatory effects in the respiratory system (6). Upregulation and activation of Nrf2 enhances expression of antioxidant genes and protects cells from oxidative injury (7). Thus, Nrf2 is an important link between the regulation of antioxidant gene expression and cell survival (8). Deficiency of Nrf2 in a murine model confirmed the direct association between alveolar wall destruction, antioxidant gene regulation and enhanced susceptibility to cigarette smoke-induced emphysema (9). Previous studies have reported that Nrf2 downregulation is linked to increased oxidative stress and pathogenesis in the lungs of patients with COPD (10,11).

Sulforaphane [1-isothiocyanate-(4R)-(methylsulfinyl) butane; SFN] is a natural isothiocyanate contained in cruciferous vegetables, including broccoli, kale, cole crops and cabbage. Experimental studies have demonstrated that it exhibits cytoprotective effects, particularly against oxidative stress, by inducing the expression of antioxidant enzymes (12,13). SFN induces ARE expression through disruption of the Keap1-Nrf2 complex to release Nrf2, by interacting directly with sulfhydryl residues on Keap1 (14). In addition, SFN activates the MAPK pathway, resulting in phosphorylation of Keap1 and subsequent release of Nrf2 (15). Another study indicated that SFN inhibits Keap1-dependent proteasomal degradation to stabilize the Nrf2 protein (16). Previous studies reported that mice lacking the Nrf2 gene do not develop cancer, if they are treated with broccoli, SFN or other Nrf2-activating drugs (17,18). These reports indicated that the protective effect of broccoli or SFN requires a functional Nrf2 response, and that activation of Nrf2 is involved in protection from free radical-induced diseases, including COPD.

However, the potential protective effect and mechanism of SFN against cigarette smoke extract (CSE)-induced alveolar epithelial cell type II damage has not been fully elucidated to date. The present study aimed to investigate the potential mechanism underlying the protective effects of SFN on RLE-6TN lung epithelial cells. The results demonstrated that SFN attenuated CSE-induced cell injury, and Nrf2 may have an important role in the process.

Materials and methods

Culture of RLE-6TN cells

The RLE-6TN rat lung epithelial type II cell line was obtained from the Advanced Research Center and Modern Analysis and Testing Center of Central South University (Changsha, China). Cells were grown in Dulbecco's modified Eagle's medium (DMEM; HyClone; GE Healthcare Life Sciences, Logan, UT, USA) supplemented with 10–12% fetal bovine serum (HyClone; GE Healthcare Life Sciences) and 100 IU/ml penicillin/streptomycin, in an atmosphere of 5% CO2 at 37°C. Cells were subcultured using 0.25% trypsin and 0.02% EDTA every 4 to 5 days. Medium was replaced with fresh every 2 days. Cells in the logarithmic phase were used for subsequent experiments.

CSE preparation

CSE was freshly combusted and obtained through an experimental apparatus with an airflow driven continually by vacuum. The smoke from three cigarettes was bubbled into 20 ml DMEM at the rate of one cigarette/2 min. The resulting suspension was regarded as 100% CSE and diluted to the indicated concentrations with DMEM. The obtained CSE was filtered through a 0.22-µm sterile filter prior to addition to cell cultures and was used within 30 min of preparation. Control group medium was prepared by bubbling air into 20 ml DMEM and filtering.

Cytotoxicity assay

Cell toxicity was determined by an MTT assay. RLE-6TN cells were seeded into 96-well plates at a density of 1×104 cells/well. Following cell adherence, complete medium was replaced with serum-free DMEM for 16 h. The cells were subsequently incubated with 1, 5, 10, 15 or 20% CSE in serum-free DMEM. After 24 h, MTT reagent (5 mg/ml) was added into each well and incubated for a further 4 h at 37°C, following which crystals were solubilized with 150 µl dimethyl sulfoxide (Sigma-Aldrich; Merck KGaA, Darmstadt, Germany). The absorbance was measured at a wavelength of 560 nm with a BioTek Elx800 plate reader (BioTek Instruments Inc., Winooski, VT, USA).

To observe the effect of SFN (Sigma-Aldrich; Merck KGaA) on cell viability, RLE-6TN cells were incubated with 0.5, 1, 2, 4 or 8 µM SFN in serum-free DMEM. The MTT assay was performed after 24 h incubation.

Cell cycle analysis

RLE-6TN cells were seeded into 6-well plates at a density of 2×106 cells/well. The CSE group was treated with 5% CSE for 24 h and the CSE + SFN group was pretreated with 0.5 µM SFN for 12 h prior to 5% CSE treatment for 24 h. The control group was treated with air. Cells were subsequently harvested using 0.25% trypsin and 0.02% EDTA, washed three times with PBS by centrifuging at 800 × g/min for 5 min at room temperature and fixed with 70% pre-chilled ethanol for 12 h at 4°C. Cells were washed with PBS again and stained with 50 µg/ml propidium iodide (PI; Sigma-Aldrich; Merck KGaA) for 30 min in the dark. Finally, cell cycle distribution was detected by flow cytometry and analyzed with Multicycle for Windows (Epics XL; Beckman Coulter, Inc., Brea, CA, USA).

Apoptosis analysis

Apoptosis was determined by a Fluorescein Isothiocyanate (FITC)-conjugated Annexin V/PI Double Staining kit (Sigma-Aldrich; Merck KGaA). RLE-6TN cells were plated, treated and harvested as in the cell cycle analysis section. Cells were subsequently resuspended in 500 µl annexin V binding buffer according to the manufacturer's protocol. Aliquots of the cells were incubated with 5 µl annexin V-FITC and 10 µl PI at room temperature for 10 min in the dark. Apoptotic cells were detected by flow cytometry and analyzed with Expo 32 software (Epics XL; Beckman Coulter, Inc.).

Measurement of reactive oxygen species (ROS) levels

RLE-6TN cells were treated with CSE for 24 h as described above in the cell cycle analysis section, and intracellular ROS levels were detected by staining with 2′,7′-dichlorodihydrofluorescein diacetate (H2DCFDA; Sigma-Aldrich; Merck KGaA). H2DCFDA (10 µM) was added to the cell pellet and incubated at 37°C for 30 min. Fluorescence was measured by flow cytometry with excitation at a wavelength of 485 nm and emission at a wavelength of 545 nm, and analyzed with System II software version 3.0 (Epics XL; Beckman Coulter, Inc.).

Morphology

Following CSE treatment, RLE-6TN cell morphological alterations were observed by inverted phase-contrast microscopy and fluorescence microscopy. Cells were washed twice with PBS and stained with 0.5 µg/ml Hoechst 33258 for 10 min in the dark. Following staining, cells were washed three times with PBS. The nuclear morphology was observed using a Nikon ECLIPSE Ti-U system (Nikon Corporation, Tokyo, Japan). The excitation wavelength was 350 nm.

Reverse transcription-quantitative polymerase chain reaction (RT-qPCR)

RLE-6TN cells were seeded into 6-well plates at a density of 1×105 cells/well. Following serum starvation, SFN pretreatment and CSE treatment as aforementioned, total RNA was isolated using TRIzol® reagent (Takara Biotechnology Co., Ltd., Dalian, China), according to the manufacturer's protocol. RNA samples were reverse-transcribed using the PrimeScript™ RT Reagent kit (Takara Biotechnology Co., Ltd.), according to the manufacturer's protocol. The cDNA products were used immediately for qPCR, using primers specific for Nrf2 (forward, 5′-CTGCCATTAGTCAGTCGCTCTC-3′; and reverse, 5′-TCGGCTGGGACTTGTGTTC-3′) and β-actin (forward, 5′-GGAGATTACTGCCCTGGCTCCTA-3′; and reverse, 5′-GACTCATCGTACTCCTGCTTGCTG-3′), and the SYBR® Premix Ex Taq TM II kit (Takara Biotechnology Co., Ltd.), according to the manufacturer's protocol. Gene expression was monitored using the Rotor-Gene 3000 system (Qiagen GmbH, Hilden, Germany), following a standardized protocol. In brief, reactions were incubated at 95°C for 10 sec, and subsequently amplified for 45 cycles at 95°C for 5 sec followed by 60°C for 20 sec in each cycle. Relative quantification was performed using the following formula: ΔCq=Cq (target gene)-Cq (β-actin) and fold=2−(ΔCq2-ΔCq1), in which ΔCq1 represents the value of control and ΔCq2 represents the value of sample (19). Results were presented as ratios between Nrf2 and the housekeeping reference gene, β-actin.

Western blot analysis

RLE-6TN cells were plated and treated as in the RT-qPCR section. Total protein was isolated using radioimmunoprecipitation assay lysis buffer (Applygen Technologies, Inc., Beijing, China), according to the manufacturer's protocol. After centrifugation at with 10,000 × g/min for 20 min at 4°C, the protein concentration of the supernatant was determined using a Bicinchoninic Acid Protein assay kit (Applygen Technologies, Inc.). Protein samples (40 µg) were separated on 12% polyacylamide gels at 120 V for 2.5 h and transferred onto polyvinylidene difluoride membranes at 250 mA for 1.5 h. Membranes were blocked with 5% non-fat milk powder in TBS containing 0.1% Tween-20 (TBST) for 1 h at room temperature and subsequently probed with a polyclonal rabbit anti-Nrf2 antibody (cat. no. ab31163; 1:1,000; Abcam, Cambridge, UK) or a mouse anti-β-actin antibody (cat. no. ab8226; 1:1,000; Abcam) overnight at 4°C. Following three washes with TBST, DyLight 800-labeled goat anti-rabbit/mouse secondary antibodies (cat. nos. 042-07-15-06 and 042-07-18-06, respectively; 1:10,000; SeraCare Life Sciences, Inc., Milford, MA, USA) were incubated with membranes for 1 h at room temperature. The bands were detected using an Odyssey Infrared Imaging System (LI-COR Biosciences, Lincoln, NE, USA) and analyzed with ImageJ software version 1.50i (National Institutes of Health, Bethesda, Maryland, USA).

Statistical analysis

Experimental data are presented as the mean ± standard error. SPSS software version 21.0 (IBM SPSS, Armonk, NY, USA) was used to analyze statistical significance between groups by paired Student's t-test or one-way analysis of variance followed by Fisher's least significant difference post hoc test. P<0.05 was considered to indicate a statistically significant difference.

Results

SFN treatment protects against CSE-induced cell injury

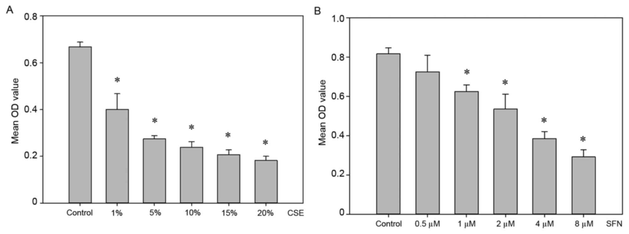
Following adherence, RLE-6TN lung epithelial cells were exposed to different concentrations of CSE (1, 5, 10, 15 or 20%) for 24 h. Cell viability was subsequently measured by MTT assay. As demonstrated in Fig. 1A, CSE treatment resulted in a significant decrease in cell viability compared with control cells, in a dose-dependent manner (P<0.05). A concentration of 5% CSE was selected for further experiments as it reduced cell viability by ~50% and cells also remained attached to the bottom of the flask.

Figure 1.

Cell viability was quantified by MTT assay. RLE-6TN cells were treated with various concentrations of (A) CSE and (B) SFN for 24 h. Data are presented as the mean ± SEM (n=6). *P<0.05 vs. control. CSE, cigarette smoke extract; SFN, sulforaphane; OD, optical density.

To examine the cytotoxic effect of SFN on RLE-6TN cells and to select the appropriate concentration to pretreat cells for further experiments, another MTT assay was performed. Cells were exposed to different concentrations of SFN (0.5, 1, 2, 4 or 8 µM) for 24 h. As demonstrated in Fig. 1B, no significant difference was observed in the 0.5 µM SFN treatment group compared with the control untreated group (P>0.05). Therefore, this concentration was selected for the pretreatment of cells in subsequent experiments.

By Hoechst 33258 staining, cells treated with CSE exhibited a shrunken morphology and nuclei fragmentation compared with control air-treated cells (Fig. 2). These morphological characteristics are features of apoptotic cells. Following pretreatment with SFN for 12 h, the cells exposed to CSE exhibited no clear alterations in morphology compared with control cells (Fig. 2), suggesting that SFN had a protective effect against CSE.

Figure 2.

Hoechst 33258 staining revealed the morphological characteristics of cells. Control, untreated; 5% CSE, treated with 5% CSE for 24 h; 5% CSE + SFN, pretreated with 0.5 µM SFN and treated with 5% CSE for 24 h. Following treatment, cells were stained with Hoechst 33258. Cells were observed under an inverted fluorescence microscope. Original magnification, ×200. Arrows indicate nuclei fragmentation. CSE, cigarette smoke extract; SFN, sulforaphane.

To further confirm the protective effect of SFN against CSE on lung epithelial cells, cell cycle analysis was performed. The results demonstrated that, in the control group, the percentage of cells in the G1 phase was 60.56±3.68% and in the S phase was 22.26±0.24% (Fig. 3A; Table I). Following treatment with 5% CSE, the proportion of cells in the G1 phase increased to 65.88±2.78%, whereas the proportion in the S phase decreased to 12.84±0.52% (Fig. 3B; Table I). However, pretreatment with SFN reversed this effect, with the percentage of cells in the G1 and S phases recovering to 58.69±3.94 and 19.98±0.52%, respectively (Fig. 3C; Table I). Although the difference in G1 phase values between the groups was not statistically significant, similar changes in the mean values between control, CSE and CSE + SFN groups were observed in several independent experiments, these results indicate that CSE may inhibit cell growth by inducing cell cycle arrest in the G1 phase, and that SFN may protect cells against CSE.

Figure 3.

Effects of CSE and SFN on cell cycle progression. (A) Control untreated cells, (B) cells treated with 5% CSE for 24 h and (C) cells pretreated with 0.5 µM SFN and treated with 5% CSE for 24 h. Cell cycle analysis was measured using propidium iodide staining. Red, G1 phase; Yellow, S phase; and Green, G2/M phase. CSE, cigarette smoke extract; SFN, sulforaphane.

Table I.

Cell cycle progression, apoptosis and ROS levels were assessed by flow cytometry.

Table I.

Cell cycle progression, apoptosis and ROS levels were assessed by flow cytometry.

Group

ParameterControlCSESFN + CSE
Proportion in G1 phase (%)60.56±3.6865.88±2.7858.69±3.94
Proportion in S phase (%)22.26±0.24 12.84±0.52a 19.98±0.52b
Apoptotic proportion (%)0.16±0.21 78.08±0.97a 6.12±0.33a,b
ROS levels (%)20.87±0.94 86.63±1.21a 28.03±0.26a,b

{ label (or @symbol) needed for fn[@id='tfn1-mmr-16-02-1241'] } Data are presented as the mean ± standard error (n=3).

a P<0.05 vs. control

b P<0.05 vs. CSE. Control, untreated; CSE, treated with 5% CSE for 24 h; SFN + CSE, pretreated with 0.5 µM SFN and treated with 5% CSE for 24 h. CSE, cigarette smoking extract; SFN, sulforaphane; ROS, reactive oxygen species.

Apoptotic cell death induced by CSE in the presence or absence of SFN pretreatment was additionally quantified using annexin V-FITC/PI double staining. As demonstrated in Table I and Fig. 4, the percentage of apoptotic cells (Q2+Q4 quadrants) in the control group was 0.16±0.21%, whereas this was increased to 78.08±0.97% in the CSE treatment group. SFN pretreatment again exhibited a protective effect against CSE-induced apoptosis, with the percentage of apoptotic cells decreasing to 6.12±0.33% in the SFN group.

Figure 4.

Effects of CSE and SFN on apoptosis. Control, untreated; 5% CSE, treated with 5% CSE for 24 h; 5% CSE + SFN, pretreated with 0.5 µM SFN and treated with 5% CSE for 24 h. Apoptosis was detected using annexin V-fluorescein isothiocyanate/PI double staining. Cells in the Q2 and Q4 quadrants (annexin V+/PI+ and annexin V+/PI−, respectively) were considered to be apoptotic. CSE, cigarette smoke extract; SFN, sulforaphane; PI, propidium iodide.

Finally, the H2DCFDA probe was used to examine intracellular ROS levels. The results demonstrated that CSE increased intracellular ROS levels, with 86.63±1.21% positive cells, compared with 20.87±0.94% in the control cells; this percentage was decreased to 28.03±0.26% by pretreatment with SFN (Fig. 5; Table I).

Figure 5.

Effects of CSE and SFN on ROS levels. Control, untreated; 5% CSE, treated with 5% CSE for 24 h; 5% CSE + SFN, pretreated with 0.5 µM SFN and treated with 5% CSE for 24 h. ROS were detected using 2′,7′-dichlorodihydrofluorescein diacetate, and the percentage of ROS-positive cells was determined. CSE, cigarette smoke extract; SFN, sulforaphane; ROS, reactive oxygen species.

SFN increases Nrf2 expression levels following CSE exposure

The mRNA expression levels of Nrf2 were quantified by RT-qPCR. Following pretreatment with SFN for 12 h and exposure to CSE for 24 h, Nrf2 mRNA expression levels were significantly elevated (>8-fold or >2-fold) compared with the control group or CSE-only group (P<0.05; n=3; Fig. 6).

Figure 6.

Nrf2 mRNA expression levels were measured using reverse transcription-quantitative polymerase chain reaction. Control, untreated; 5% CSE, treated with 5% CSE for 24 h; 5% CSE + SFN, pretreated with 0.5 µM SFN and treated with 5% CSE for 24 h. Data are presented as the mean ± standard error (n=3). *P<0.05 vs. control; #P<0.05 vs. 5% CSE. CSE, cigarette smoke extract; SFN, sulforaphane; Nrf2, Nrf2, nuclear factor erythroid 2 like 2.

The protein levels of Nrf2 were detected by western blotting, and were consistent with the RT-qPCR data. The SFN group had significantly increased protein levels of Nrf2 compared with control and CSE groups (Fig. 7).

Figure 7.

Nrf2 protein expression levels were assessed by western blot analysis. (A) Images and (B) densitometry of western blots. Control, untreated; 5% CSE, treated with 5% CSE for 24 h; 5% CSE + SFN, pretreated with 0.5 µM SFN and treated with 5% CSE for 24 h. Data are presented as the mean ± standard error (n=3). *P<0.05 vs. control; #P<0.05 vs. 5% CSE. CSE, cigarette smoke extract; SFN, sulforaphane; Nrf2, Nrf2, nuclear factor erythroid 2 like 2.

Discussion

Alveolar epithelial cells are comprised of two primary types, I and II. Although the surface area occupied by type II cells is small, it may serve an important role in lung function. A primary culture, despite representing the best experimental system, is not suitable for long-term experiments as type II cells will transdifferentiate into type I-like cells. Thus, the RLE-6TN cell line is a useful and appropriate immortalized cell line for the study of alveolar cell function due to its similarity to alveolar type II epithelial cells (20).

Cigarette smoke is well known to induce oxidative stress and serve a pathological role in CSE-induced lung diseases including COPD. Alveolar epithelial cells represent the initial target of CSE. It is therefore essential to protect alveolar epithelial cells from oxidative stress injury induced by CSE (21,22).

SFN is chemically defined as an isothiocyanate, and is abundant in cruciferous vegetables including broccoli and Brussels sprouts. For a long time, SFN has been considered a cytoprotective agent based on its ability to induce and activate antioxidant enzymes. A concentration of 0.5 µM SFN did not significantly reduce cell viability in the present study, however, SFN may be toxic at higher concentrations as observed in the in vitro MTT assay of the present study, which may limit the use of high doses of SFN. The Nrf2-ARE pathway has been investigated as a potential underlying mechanism. Nrf2 is known to be activated by phosphorylation. Various protein kinase pathways lead to Keap1-Nrf2 dissociation, and Nrf2 translocation from the cytoplasm to the nucleus to bind to the ARE. Nrf2 is largely responsible for the basal and inducible expression of proteins involved in drug metabolism, the oxidative stress response and cytoprotection (23).

The present study investigated the effects of SFN on CSE-induced toxicity in RLE-6TN cells.

Using 5% CSE to stimulate RLE-6TN cells following pretreatment with 0.5 µM SFN for 12 h, the results of the present study suggested that SFN-induced Nrf2 may serve an important role in protecting RLE-6TN cells from oxidative injury caused by CSE. Compared with the CSE and control groups, the SFN group exhibited significantly increased levels of Nrf2 and attenuated CSE-induced cell injury. The possible mechanism underlying Nrf2 protection is that the activation of Nrf2 may promote the synthesis and release of antioxidant enzymes through the Nrf2-ARE pathway. In addition, the results of the present study demonstrated a reduction in the percentage of cells in the S phase following CSE treatment; and SFN pretreatment alleviated this reduction, which indicated that SFN may have its protective role by modulating the cell cycle; however, the underlying mechanisms remain unclear. Apoptosis was induced by CSE and the effects of SFN pretreatment were in accordance with the morphological observations reported by Kosmider et al (24). Furthermore, ROS serves a critical role in lung epithelial cell damage, particularly in CSE-induced injury. The results of the present study suggested that the Nrf2-ARE pathway may promote antioxidant enzymes and reduce ROS levels in the cell. These findings support the hypothesis that SFN may protect alveolar epithelial cells from CSE injury by activating the Nrf2-ARE pathway.

In conclusion, the results of the present study indicate that CSE inhibits RLE-6TN cell proliferation and induces apoptosis. Pretreatment with SFN may alleviate cell injury and reduce ROS damage, potentially via increased Nrf2 expression. These results suggest that Nrf2 may be a potential therapeutic target for the treatment of COPD.

Acknowledgements

Zongxian Jiao was supported by the Fundamental Research Funds for the Central Universities (grant no. lzujbky-2013-223) and the Project sponsored by The Scientific Research Foundation for Returned Overseas Chinese Scholars (State Education Ministry, Beijing, China).

References

1 

Jansson SA, Backman H, Stenling A, Lindberg A, Rönmark E and Lundbäck B: Health economic costs of COPD in Sweden by disease severity-has it changed during a ten years period? Respir Med. 107:1931–1938. 2013. View Article : Google Scholar : PubMed/NCBI

2 

Decramer M, Janssens W and Miravitlles M: Chronic obstructive pulmonary disease. Lancet. 379:1341–1351. 2012. View Article : Google Scholar : PubMed/NCBI

3 

Tamimi A, Serdarevic D and Hanania NA: The effects of cigarette smoke on airway inflammation in asthma and COPD: Therapeutic implications. Respir Med. 106:319–328. 2012. View Article : Google Scholar : PubMed/NCBI

4 

Zhang H, Shih A, Rinna A and Forman HJ: Exacerbation of tobacco smoke mediated apoptosis by resveratrol: An unexpected consequence of its antioxidant action. Int J Biochem Cell Biol. 43:1059–1064. 2011. View Article : Google Scholar : PubMed/NCBI

5 

Goven D, Boutten A, Leçon-Malas V, Boczkowski J and Bonay M: Prolonged cigarette smoke exposure decreases heme oxygenase-1 and alters Nrf2 and Bach1 expression in human macrophages: Roles of the MAP kinases ERK(1/2) and JNK. FEBS Lett. 583:3508–3518. 2009. View Article : Google Scholar : PubMed/NCBI

6 

Regoli F and Giuliani ME: Oxidative pathways of chemical toxicity and oxidative stress biomarkers in marine organisms. Mar Environ Res. 93:106–117. 2014. View Article : Google Scholar : PubMed/NCBI

7 

Tasaki M, Kuroiwa Y, Inoue T, Hibi D, Matsushita K, Kijima A, Maruyama S, Nishikawa A and Umemura T: Lack of nrf2 results in progression of proliferative lesions to neoplasms induced by long-term exposure to non-genotoxic hepatocarcinogens involving oxidative stress. Exp Toxicol Pathol. 66:19–26. 2014. View Article : Google Scholar : PubMed/NCBI

8 

Cano M, Thimmalappula R, Fujihara M, Nagai N, Sporn M, Wang AL, Neufeld AH, Biswal S and Handa JT: Cigarette smoking, oxidative stress, the anti-oxidant response through Nrf2 signaling and Age-related macular degeneration. Vision Res. 50:652–664. 2010. View Article : Google Scholar : PubMed/NCBI

9 

Rangasamy T, Cho CY, Thimmulappa RK, Zhen L, Srisuma SS, Kensler TW, Yamamoto M, Petrache I, Tuder RM and Biswal S: Genetic ablation of Nrf2 enhances susceptibility to cigarette smoke-induced emphysema in mice. J Clin Invest. 114:1248–1259. 2004. View Article : Google Scholar : PubMed/NCBI

10 

Suzuki M, Betsuyaku T, Ito Y, Nagai K, Nasuhara Y, Kaga K, Kondo S and Nishimura M: Down-regulated NF-E2-related factor 2 in pulmonary macrophages of aged smokers and patients with chronic obstructive pulmonary disease. Am J Respir Cell Mol Biol. 39:673–682. 2008. View Article : Google Scholar : PubMed/NCBI

11 

Malhotra D, Thimmulappa R, Navas-Acien A, Sandford A, Elliott M, Singh A, Chen L, Zhuang X, Hogg J, Pare P, et al: Expression of concern: Decline in NRF2-regulated antioxidants in chronic obstructive pulmonary disease lungs due to loss of its positive regulator, DJ-1. Am J Respir Crit Care Med. 178:592–604. 2008. View Article : Google Scholar : PubMed/NCBI

12 

Ping Z, Liu W, Kang Z, Cai J, Wang Q, Cheng N, Wang S, Wang S, Zhang JH and Sun X: Sulforaphane protects brains against hypoxic-ischemic injury through induction of Nrf2-dependent phase 2 enzyme. Brain Res. 1343:178–185. 2010. View Article : Google Scholar : PubMed/NCBI

13 

Guerrero-Beltrán CE, Calderón-Oliver M, Pedraza-Chaverri J and Chirino YI: Protective effect of sulforaphane against oxidative stress: Recent advances. Exp Toxicol Pathol. 64:503–508. 2012. View Article : Google Scholar : PubMed/NCBI

14 

Bergström P, Andersson HC, Gao Y, Karlsson JO, Nodin C, Anderson MF, Nilsson M and Hammarsten O: Repeated transient sulforaphane stimulation in astrocytes leads to prolonged Nrf2-mediated gene expression and protection from superoxide-induced damage. Neuropharmacology. 60:343–353. 2011. View Article : Google Scholar : PubMed/NCBI

15 

Hu R, Hebbar V, Kim BR, Chen C, Winnik B, Buckley B, Soteropoulos P, Tolias P, Hart RP and Kong AN: In vivo pharmacokinetics and regulation of gene expression profiles by isothiocyanate sulforaphane in the rat. J Pharmacol Exp Ther. 310:263–271. 2004. View Article : Google Scholar : PubMed/NCBI

16 

Kobayashi A, Kang MI, Okawa H, Ohtsuji M, Zenke Y, Chiba T, Igarashi K and Yamamoto M: Oxidative stress sensor Keap1 functions as an adaptor for Cul3-based E3 ligase to regulate proteasomal degradation of Nrf2. Mol Cell Biol. 24:7130–7139. 2004. View Article : Google Scholar : PubMed/NCBI

17 

Iida K, Itoh K, Kumagai Y, Oyasu R, Hattori K, Kawai K, Shimazui T, Akaza H and Yamamoto M: Nrf2 is essential for the chemopreventive efficacy of oltipraz against urinary bladder carcinogenesis. Cancer Res. 64:6424–6431. 2004. View Article : Google Scholar : PubMed/NCBI

18 

Xu C, Huang MT, Shen G, Yuan X, Lin W, Khor TO, Conney AH and Kong AN: Inhibition of 7,12-dimethylbenz(a)anthracene-induced skin tumorigenesis in C57BL/6 mice by sulforaphane is mediated by nuclear factor E2-related factor 2. Cancer Res. 66:8293–8296. 2006. View Article : Google Scholar : PubMed/NCBI

19 

Burkhardt BR, Lyle R, Qian K, Arnold AS, Cheng H, Atkinson MA and Zhang YC: Efficient delivery of siRNA into cytokine-stimulated insulinoma cells silences Fas expression and inhibits Fas-mediated apoptosis. FEBS Lett. 580:553–560. 2006. View Article : Google Scholar : PubMed/NCBI

20 

Oda K, Yumoto R, Nagai J, Katayama H and Takano M: Mechanism underlying insulin uptake in alveolar epithelial cell line RLE-6TN. Eur J Pharmacol. 672:62–69. 2011. View Article : Google Scholar : PubMed/NCBI

21 

Nadigel J, Audusseau S, Baglole CJ, Eidelman DH and Hamid Q: IL-8 production in response to cigarette smoke is decreased in epithelial cells from COPD patients. Pulm Pharmacol Ther. 26:596–602. 2013. View Article : Google Scholar : PubMed/NCBI

22 

Thorne D and Adamson J: A review of in vitro cigarette smoke exposure systems. Exp Toxicol Pathol. 65:1183–1193. 2013. View Article : Google Scholar : PubMed/NCBI

23 

Bryan HK, Olayanju A, Goldring CE and Park BK: The Nrf2 cell defence pathway: Keap1-dependent and -independent mechanisms of regulation. Biochem Pharmacol. 85:705–717. 2013. View Article : Google Scholar : PubMed/NCBI

24 

Kosmider B, Messier EM, Chu HW and Mason RJ: Human alveolar epithelial cell injury induced by cigarette smoke. PLoS One. 6:e260592011. View Article : Google Scholar : PubMed/NCBI

Related Articles

  • Abstract
  • View
  • Download
  • Twitter
Copy and paste a formatted citation
Spandidos Publications style
Jiao Z, Chang J, Li J, Nie D, Cui H and Guo D: Sulforaphane increases Nrf2 expression and protects alveolar epithelial cells against injury caused by cigarette smoke extract. Mol Med Rep 16: 1241-1247, 2017.
APA
Jiao, Z., Chang, J., Li, J., Nie, D., Cui, H., & Guo, D. (2017). Sulforaphane increases Nrf2 expression and protects alveolar epithelial cells against injury caused by cigarette smoke extract. Molecular Medicine Reports, 16, 1241-1247. https://doi.org/10.3892/mmr.2017.6700
MLA
Jiao, Z., Chang, J., Li, J., Nie, D., Cui, H., Guo, D."Sulforaphane increases Nrf2 expression and protects alveolar epithelial cells against injury caused by cigarette smoke extract". Molecular Medicine Reports 16.2 (2017): 1241-1247.
Chicago
Jiao, Z., Chang, J., Li, J., Nie, D., Cui, H., Guo, D."Sulforaphane increases Nrf2 expression and protects alveolar epithelial cells against injury caused by cigarette smoke extract". Molecular Medicine Reports 16, no. 2 (2017): 1241-1247. https://doi.org/10.3892/mmr.2017.6700
Copy and paste a formatted citation
x
Spandidos Publications style
Jiao Z, Chang J, Li J, Nie D, Cui H and Guo D: Sulforaphane increases Nrf2 expression and protects alveolar epithelial cells against injury caused by cigarette smoke extract. Mol Med Rep 16: 1241-1247, 2017.
APA
Jiao, Z., Chang, J., Li, J., Nie, D., Cui, H., & Guo, D. (2017). Sulforaphane increases Nrf2 expression and protects alveolar epithelial cells against injury caused by cigarette smoke extract. Molecular Medicine Reports, 16, 1241-1247. https://doi.org/10.3892/mmr.2017.6700
MLA
Jiao, Z., Chang, J., Li, J., Nie, D., Cui, H., Guo, D."Sulforaphane increases Nrf2 expression and protects alveolar epithelial cells against injury caused by cigarette smoke extract". Molecular Medicine Reports 16.2 (2017): 1241-1247.
Chicago
Jiao, Z., Chang, J., Li, J., Nie, D., Cui, H., Guo, D."Sulforaphane increases Nrf2 expression and protects alveolar epithelial cells against injury caused by cigarette smoke extract". Molecular Medicine Reports 16, no. 2 (2017): 1241-1247. https://doi.org/10.3892/mmr.2017.6700
Follow us
  • Twitter
  • LinkedIn
  • Facebook
About
  • Spandidos Publications
  • Careers
  • Cookie Policy
  • Privacy Policy
How can we help?
  • Help
  • Live Chat
  • Contact
  • Email to our Support Team