Spandidos Publications Logo
  • About
    • About Spandidos
    • Aims and Scopes
    • Abstracting and Indexing
    • Editorial Policies
    • Reprints and Permissions
    • Job Opportunities
    • Terms and Conditions
    • Contact
  • Journals
    • All Journals
    • Oncology Letters
      • Oncology Letters
      • Information for Authors
      • Editorial Policies
      • Editorial Board
      • Aims and Scope
      • Abstracting and Indexing
      • Bibliographic Information
      • Archive
    • International Journal of Oncology
      • International Journal of Oncology
      • Information for Authors
      • Editorial Policies
      • Editorial Board
      • Aims and Scope
      • Abstracting and Indexing
      • Bibliographic Information
      • Archive
    • Molecular and Clinical Oncology
      • Molecular and Clinical Oncology
      • Information for Authors
      • Editorial Policies
      • Editorial Board
      • Aims and Scope
      • Abstracting and Indexing
      • Bibliographic Information
      • Archive
    • Experimental and Therapeutic Medicine
      • Experimental and Therapeutic Medicine
      • Information for Authors
      • Editorial Policies
      • Editorial Board
      • Aims and Scope
      • Abstracting and Indexing
      • Bibliographic Information
      • Archive
    • International Journal of Molecular Medicine
      • International Journal of Molecular Medicine
      • Information for Authors
      • Editorial Policies
      • Editorial Board
      • Aims and Scope
      • Abstracting and Indexing
      • Bibliographic Information
      • Archive
    • Biomedical Reports
      • Biomedical Reports
      • Information for Authors
      • Editorial Policies
      • Editorial Board
      • Aims and Scope
      • Abstracting and Indexing
      • Bibliographic Information
      • Archive
    • Oncology Reports
      • Oncology Reports
      • Information for Authors
      • Editorial Policies
      • Editorial Board
      • Aims and Scope
      • Abstracting and Indexing
      • Bibliographic Information
      • Archive
    • Molecular Medicine Reports
      • Molecular Medicine Reports
      • Information for Authors
      • Editorial Policies
      • Editorial Board
      • Aims and Scope
      • Abstracting and Indexing
      • Bibliographic Information
      • Archive
    • World Academy of Sciences Journal
      • World Academy of Sciences Journal
      • Information for Authors
      • Editorial Policies
      • Editorial Board
      • Aims and Scope
      • Abstracting and Indexing
      • Bibliographic Information
      • Archive
    • International Journal of Functional Nutrition
      • International Journal of Functional Nutrition
      • Information for Authors
      • Editorial Policies
      • Editorial Board
      • Aims and Scope
      • Abstracting and Indexing
      • Bibliographic Information
      • Archive
    • International Journal of Epigenetics
      • International Journal of Epigenetics
      • Information for Authors
      • Editorial Policies
      • Editorial Board
      • Aims and Scope
      • Abstracting and Indexing
      • Bibliographic Information
      • Archive
    • Medicine International
      • Medicine International
      • Information for Authors
      • Editorial Policies
      • Editorial Board
      • Aims and Scope
      • Abstracting and Indexing
      • Bibliographic Information
      • Archive
  • Articles
  • Information
    • Information for Authors
    • Information for Reviewers
    • Information for Librarians
    • Information for Advertisers
    • Conferences
  • Language Editing
Spandidos Publications Logo
  • About
    • About Spandidos
    • Aims and Scopes
    • Abstracting and Indexing
    • Editorial Policies
    • Reprints and Permissions
    • Job Opportunities
    • Terms and Conditions
    • Contact
  • Journals
    • All Journals
    • Biomedical Reports
      • Information for Authors
      • Editorial Policies
      • Editorial Board
      • Aims and Scope
      • Abstracting and Indexing
      • Bibliographic Information
      • Archive
    • Experimental and Therapeutic Medicine
      • Information for Authors
      • Editorial Policies
      • Editorial Board
      • Aims and Scope
      • Abstracting and Indexing
      • Bibliographic Information
      • Archive
    • International Journal of Epigenetics
      • Information for Authors
      • Editorial Policies
      • Editorial Board
      • Aims and Scope
      • Abstracting and Indexing
      • Bibliographic Information
      • Archive
    • International Journal of Functional Nutrition
      • Information for Authors
      • Editorial Policies
      • Editorial Board
      • Aims and Scope
      • Abstracting and Indexing
      • Bibliographic Information
      • Archive
    • International Journal of Molecular Medicine
      • Information for Authors
      • Editorial Policies
      • Editorial Board
      • Aims and Scope
      • Abstracting and Indexing
      • Bibliographic Information
      • Archive
    • International Journal of Oncology
      • Information for Authors
      • Editorial Policies
      • Editorial Board
      • Aims and Scope
      • Abstracting and Indexing
      • Bibliographic Information
      • Archive
    • Medicine International
      • Information for Authors
      • Editorial Policies
      • Editorial Board
      • Aims and Scope
      • Abstracting and Indexing
      • Bibliographic Information
      • Archive
    • Molecular and Clinical Oncology
      • Information for Authors
      • Editorial Policies
      • Editorial Board
      • Aims and Scope
      • Abstracting and Indexing
      • Bibliographic Information
      • Archive
    • Molecular Medicine Reports
      • Information for Authors
      • Editorial Policies
      • Editorial Board
      • Aims and Scope
      • Abstracting and Indexing
      • Bibliographic Information
      • Archive
    • Oncology Letters
      • Information for Authors
      • Editorial Policies
      • Editorial Board
      • Aims and Scope
      • Abstracting and Indexing
      • Bibliographic Information
      • Archive
    • Oncology Reports
      • Information for Authors
      • Editorial Policies
      • Editorial Board
      • Aims and Scope
      • Abstracting and Indexing
      • Bibliographic Information
      • Archive
    • World Academy of Sciences Journal
      • Information for Authors
      • Editorial Policies
      • Editorial Board
      • Aims and Scope
      • Abstracting and Indexing
      • Bibliographic Information
      • Archive
  • Articles
  • Information
    • For Authors
    • For Reviewers
    • For Librarians
    • For Advertisers
    • Conferences
  • Language Editing
Login Register Submit
  • This site uses cookies
  • You can change your cookie settings at any time by following the instructions in our Cookie Policy. To find out more, you may read our Privacy Policy.

    I agree
Search articles by DOI, keyword, author or affiliation
Search
Advanced Search
presentation
Molecular Medicine Reports
Join Editorial Board Propose a Special Issue
Print ISSN: 1791-2997 Online ISSN: 1791-3004
Journal Cover
April-2018 Volume 17 Issue 4

Full Size Image

Sign up for eToc alerts
Recommend to Library

Journals

International Journal of Molecular Medicine

International Journal of Molecular Medicine

International Journal of Molecular Medicine is an international journal devoted to molecular mechanisms of human disease.

International Journal of Oncology

International Journal of Oncology

International Journal of Oncology is an international journal devoted to oncology research and cancer treatment.

Molecular Medicine Reports

Molecular Medicine Reports

Covers molecular medicine topics such as pharmacology, pathology, genetics, neuroscience, infectious diseases, molecular cardiology, and molecular surgery.

Oncology Reports

Oncology Reports

Oncology Reports is an international journal devoted to fundamental and applied research in Oncology.

Experimental and Therapeutic Medicine

Experimental and Therapeutic Medicine

Experimental and Therapeutic Medicine is an international journal devoted to laboratory and clinical medicine.

Oncology Letters

Oncology Letters

Oncology Letters is an international journal devoted to Experimental and Clinical Oncology.

Biomedical Reports

Biomedical Reports

Explores a wide range of biological and medical fields, including pharmacology, genetics, microbiology, neuroscience, and molecular cardiology.

Molecular and Clinical Oncology

Molecular and Clinical Oncology

International journal addressing all aspects of oncology research, from tumorigenesis and oncogenes to chemotherapy and metastasis.

World Academy of Sciences Journal

World Academy of Sciences Journal

Multidisciplinary open-access journal spanning biochemistry, genetics, neuroscience, environmental health, and synthetic biology.

International Journal of Functional Nutrition

International Journal of Functional Nutrition

Open-access journal combining biochemistry, pharmacology, immunology, and genetics to advance health through functional nutrition.

International Journal of Epigenetics

International Journal of Epigenetics

Publishes open-access research on using epigenetics to advance understanding and treatment of human disease.

Medicine International

Medicine International

An International Open Access Journal Devoted to General Medicine.

Journal Cover
April-2018 Volume 17 Issue 4

Full Size Image

Sign up for eToc alerts
Recommend to Library

  • Article
  • Citations
    • Cite This Article
    • Download Citation
    • Create Citation Alert
    • Remove Citation Alert
    • Cited By
  • Similar Articles
    • Related Articles (in Spandidos Publications)
    • Similar Articles (Google Scholar)
    • Similar Articles (PubMed)
  • Download PDF
  • Download XML
  • View XML
Article

Capsaicin inhibits glycolysis in esophageal squamous cell carcinoma by regulating hexokinase‑2 expression

  • Authors:
    • Xinli Mao
    • Hongyuan Zhu
    • Dinghai Luo
    • Liping Ye
    • Huifei Yin
    • Jinshun Zhang
    • Yan Zhang
    • Yu Zhang
  • View Affiliations / Copyright

    Affiliations: Department of Gastroenterology, Taizhou Hospital of Zhejiang Province, Wenzhou Medical College, Linhai, Zhejiang 317000, P.R. China
  • Pages: 6116-6121
    |
    Published online on: February 8, 2018
       https://doi.org/10.3892/mmr.2018.8574
  • Expand metrics +
Metrics: Total Views: 0 (Spandidos Publications: | PMC Statistics: )
Metrics: Total PDF Downloads: 0 (Spandidos Publications: | PMC Statistics: )
Cited By (CrossRef): 0 citations Loading Articles...

This article is mentioned in:



Abstract

Capsaicin is a principal component of hot red peppers and chili peppers. Previous studies have reported that capsaicin exhibits antitumor functions in a variety of tumor models. Although various mechanisms underlying the capsaicin‑mediated inhibition of tumor growth have been demonstrated, the impact of capsaicin on tumor metabolism has rarely been reported. The present study demonstrated that capsaicin exhibited an inhibitory effect on tumor glycolysis in esophageal squamous cell carcinoma (ESCC) cells. Following treatment with capsaicin, glucose consumption and lactate production in ESCC cells was decreased. Capsaicin resulted in a decrease of hexokinase‑2 (HK‑2) expression, which is known for its important role in tumor glycolysis. Further investigations demonstrated that phosphatase and tensin homolog (PTEN) expression was increased in ESCC cells treated with capsaicin, and that the RAC‑α serine threonine‑protein kinase signaling pathway was downregulated. In PTEN‑knockdown KYSE150 cells, the decrease in HK‑2 and inhibition of glycolysis caused by capsaicin was attenuated, which suggested that the impact of capsaicin on tumor metabolism was associated with its effect on PTEN.

Introduction

Capsaicin, which is a principal component of red peppers and hot chili peppers, has traditionally been used to treat a variety of neuropathic pain conditions, including rheumatoid arthritis, diabetic neuropathy, cluster headaches and herpes zoster (1–3). The anticancer activity of capsaicin has also been identified in various types of tumor. Capsaicin has been demonstrated to exhibit inhibitory activity against tumor growth in human leukemia cells (4), lung cancer (5), colon cancer (6), gastric cancer (7), prostate cancer (8) and hepatocellular carcinoma cells (9). Investigation into the underlying mechanisms has demonstrated that treatment with capsaicin induced tumor cells to undergo cell cycle arrest and apoptosis (10). Previous studies have reported that capsaicin inhibited the translocation of nuclear factor-κB and activator protein-1 (11), and the signal transducer and activator of transcription-3 signaling pathway (12), which were required for cancer development. However, the effect of capsaicin on tumor glycolysis remains unclear.

In mammalian tissues, as a source of cellular energy and precursor carbon source for biosynthesis, glucose is an indispensable metabolite. The majority of tissues metabolize glucose to pyruvate and, in the presence of oxygen, harness the energy within this molecule in the form of ATP via oxidative phosphorylation, in which pyruvate is converted into CO2. By contrast, tumor tissues exhibit an increase in the less-efficient process of anoxic regeneration of NAD+, in which pyruvate is converted into lactate even in oxygen-rich conditions; this is termed aerobic glycolysis or the Warburg effect, in order to separate it from the normal glycolysis. Tumor glycolysis supplies energy for tumor rapid growth, and the secretion of lactate provides an appropriate microenvironment for tumor cells to evade apoptosis and metastasize (13). The conversion of glucose to glucose-6-phosphate, an essential and irreversible step in tumor glycolysis, is catalyzed by hexokinases (HK). A total of four different HK isoforms, termed HK-1-4, have been identified (14). HK-1 is ubiquitously expressed, whereas HK-2 is expressed in limited types of tissues. In malignant tumors, particularly in tumors with a highly glycolytic phenotype, HK-2 is overexpressed, whereas HK-1 is expressed to a lesser extent, suggesting a predominant role of HK-2 in the regulation of tumor glycolysis (15). 2-Deoxy-D-glucose, an analogue of glucose, is able to be phosphorylated by HK-2 and not metabolized further; it may be labeled with the positron emitter 18F-fluorodeoxyglucose (18F-FDG) and used for positron emission tomography (PET) scanning to detect cancers in a non-invasive way (16). Numerous clinical studies have demonstrated that the overexpression of HK-2 was associated with poor prognosis in patients with various types of cancer, including pancreatic cancer (17), ovarian cancer (18), hepatocellular carcinoma (19) and esophageal adenocarcinoma (20).

In the present study, the effect of capsaicin on tumor growth and glycolysis in esophageal squamous cell carcinoma (ESCC) was investigated. The potential mechanism by which capsaicin may inhibit glycolysis was investigated. The results of the present study demonstrated that capsaicin-meditated glycolysis inhibition in ESCC cells was associated with its effect on phosphatase and tensin homolog (PTEN) and subsequent PTEN-mediated HK-2 inhibition.

Materials and methods

Cell line and reagents

Het-1A cell was purchased from American Type Culture Collection (ATCC), 293T, KYSE150, KYSE410 and KYSE510 cells were obtained from the Cell Bank of the Chinese Academy of Sciences (Shanghai, China). Het-1A and HEK 293T cells were cultured with DMEM (Gibco; Thermo Fisher Scientific, Inc., Waltham, MA, USA) and KYSE150, KYSE410 and KYSE510 cells were cultured with RPMI 1640 medium (Gibco; Thermo Fisher Scientific, Inc.) supplemented with 10% fetal bovine serum (Gibco; Thermo Fisher Scientific, Inc.), 100 U/ml penicillin and 100 mg/ml streptomycin in a 37°C incubator with 5% CO2. Capsaicin (cat. no. 03813) and anti-β-actin (cat. no. A5316) antibody were obtained from Sigma-Aldrich (Merck KGaA, Darmstadt, Germany). Anti-rabbit immunoglobulin (Ig)G-horseradish peroxidase (HRP) (cat. no. sc-2004) and anti-mouse IgG-HRP (cat. no. sc-2005) were purchased from Santa Cruz Biotechnology, Inc. (Dallas, TX, USA). Anti-HK-2 (cat. no. 2867), anti-PTEN (cat. no. 9188), anti-phosphorylated (p)-RAC-α serine threonine-protein kinase (Akt) (Ser473; cat. no. 4060) and anti-p-Akt (Thr308; cat. no. 13038) antibodies were obtained from Cell Signaling Technology, Inc. (Danvers, MA, USA). Lentiviral plasmid pLKO.1-short hairpin green fluorescent protein (shGFP) (cat. no. 30323) was obtained from Addgene, Inc. (Cambridge, MA, USA); pLKO.1-shPTEN#1, (cat. no. TRCN0000028991) and pLKO.1-shPTEN#2 (cat. no. TRCN0000028989) were obtained from Thermo Fisher Scientific, Inc.

Cell proliferation assay

Cells were seeded (2,000 cells/well) in 96-well plates and cultured for 24 h. Following treatment with different concentrations of capsaicin (30, 60 and 120 µM), the plates were cultured in a 5% CO2 incubator at 37°C. At various time points (0, 24, 48 or 72 h), 20 µl/well CellTiter96 Aqueous One Solution (Promega Corporation, Madison, WI, USA) was added and incubated at 37°C for 1 h, and the absorbance was measured at 490 nm by SpectraMax microplate reader (Molecular Devices, LLC, Sunnyvale, CA, USA).

Western blotting

Cells were harvested by trypsinization and pelleted by centrifugation at 300 × g for 5 min at room temperature. The pellets were lysed in NP40 lysis buffer [50 mmol/l Tris-HCl (pH 8.0); 150 mmol/l NaCl; 0.5% NP40] supplemented with protease cocktail (Roche Diagnostics GmbH, Mannheim, Germany). Protein concentrations were determined using the Bradford assay (Bio-Rad Laboratories, Inc., Hercules, CA, USA). Protein samples (10 µg/lane) were subjected to 10% SDS-PAGE and subsequently electrically transferred to a polyvinylidene fluoride membrane (EMD Millipore, Billerica, MA, USA). Following blocking in 5% non-fat dry milk in TBS at room temperature for 1 h., the membranes were probed with specific primary antibodies (1:100 dilution) overnight at 4°C, washed three times with TBS-Tween 20, and incubated with HRP-conjugated secondary antibodies (1:2,000 dilution) at room temperature for 1 h. The membranes were washed with TBS-Tween-20 and the protein bands were visualized using enhanced chemiluminescence reagents (Pierce; Thermo Fisher Scientific, Inc.), according to the manufacturer's protocol.

Measurement of glucose uptake and lactate production

Tumor cells were exposed to varying concentrations of capsaicin for 24 h, and subsequently trypsinized and seeded in 6-well plates (5×105 cells/well). Following incubation for 4 h at 37°C, media were discarded and cells were incubated in fresh culture medium for a further 8 h at 37°C. Glucose and lactate levels were measured using the Automatic Biochemical Analyzer (AU680, Beckman Coulter International, Brea, CA, USA). The relative glucose consumption rate and lactate production rate were normalized by the protein concentration of the samples.

Lentiviral infection

KYSE150 cells (2×106) were seeded in 10-cm dishes and pLKO.1-shp53 was co-transfected into 293T (5×106) cells together with PSPAX2 and PMD2-G at 37°C. A total of 48 h subsequent to transfection, viral supernatant fractions were collected and infected into KYSE150 cells with 10 µg/ml polybrene. 24 h subsequent to infection, the medium was replaced with fresh medium containing 0.5 µg/ml puromycin (cat. no. S7417; Selleck Chemicals, Shanghai, China). Further experiments were performed with these cells until the control cells (without infection) completely died (2–3 days) in the puromycin medium.

Statistical analysis

All statistical analysis was performed using SPSS software (version 13.0; SPSS, Inc., Chicago, IL, USA). The experiments were performed in triplicate. All the quantitative data are expressed as the mean ± standard deviation. The significant differences between two groups were assessed using a two-tailed Student's t-test. P<0.05 was considered to indicate a statistically significant difference.

Results

Capsaicin inhibits ESCC cell proliferation in vitro

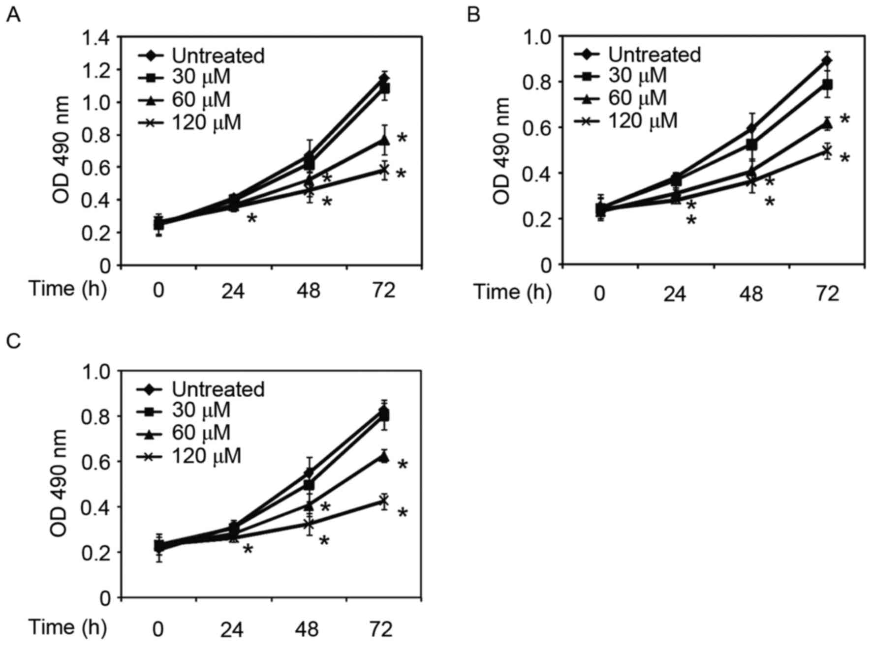
The efficacy of capsaicin against ESCC cell proliferation was investigated in vitro. In three ESCC cell lines, KYSE150, KYSE510 and KYSE410, capsaicin demonstrated an inhibitory effect on cell growth. At a low concentration (30 µM), exposure to capsaicin led to little growth inhibition in these three cell lines. With an increase of capsaicin concentration and the duration of treatment with capsaicin, cell growth was markedly repressed. As presented in Fig. 1, in all tested cell lines, at a high concentration (120 µM) for 72 h, cell proliferation was inhibited by >50% compared with the control group. The results of the present study demonstrated that capsaicin exhibited antitumor activity in ESCC cells in vitro.

Figure 1.

Capsaicin inhibits the proliferation of ESCC cancer cells in vitro. Human ESCC cancer cell lines (A) KYSE150, (B) KYSE510 and (C) KYSE410, were treated with the indicated concentrations of capsaicin for 0, 24, 48 or 72 h. Cell proliferation was analyzed by absorbance at OD490. A decrease of ESCC cell proliferation was observed following treatment with capsaicin. *P<0.05 vs. the untreated cells at the respective time points. ESCC, esophageal squamous cell carcinoma; OD, optical density.

HK-2 decreases following treatment with capsaicin in ESCC cells

Aerobic glycolysis is one of the metabolic characteristics of tumor cells, and is important for the survival and growth of cancer cells. In tumor cells, particularly those with a highly glycolytic phenotype, HK-2 has been reported to be overexpressed; however, its expression in ESCC cells was unknown. Therefore, the expression of HK-2 was investigated in three ESCC cell lines. As presented in Fig. 2A, compared with the normal esophageal epithelial cell line Het-1A, the expression level of HK-2 in the three ESCC cells was increased, suggesting that tumor glycolysis in these ESCC cells is highly active. The effect of capsaicin on HK2 expression was subsequently investigated. As presented in Fig. 2B, in KYSE150 and KYSE150 cells, the expression of HK-2 was suppressed by capsaicin in a concentration dependent manner. At a concentration of 120 µM, the expression of HK-2 was markedly decreased compared with the control group.

Figure 2.

Capsaicin suppresses HK-2 expression in ESCC cancer cells. (A) HK-2 expression in different ESCC cells. The cell lysates of ESCC cells were subjected to SDS-PAGE and probed with HK-2 antibody. (B) KYSE150 (left) and KYSE510 (right) cells were treated with various concentrations of capsaicin and the cell lysates were subjected to SDS-PAGE to examine the alteration in HK-2 expression. β-actin was used as loading control. HK-2, hexokinase-2; ESCC, esophageal squamous cell carcinoma.

Capsaicin suppresses glucose uptake and lactate secretion in ESCC cells

It is known that HK-2 serves a role in the process of tumor glycolysis. Due to the effect of capsaicin on HK-2 expression, it was hypothesized that capsaicin may exhibit an inhibitory effect on tumor glycolysis. Glucose uptake and lactate secretion are indicators of tumor glycolysis; therefore, the effect of capsaicin on glucose uptake and lactate secretion was investigated. As presented in Fig. 3A, KYSE150 cells treated with capsaicin (60 µM) demonstrated decreased glucose uptake compared with control cells. In KYSE510 cells, capsaicin repressed glucose consumption in a dose-dependent manner. In addition to the suppression of glucose consumption, the secretion of lactate, which is the product of tumor glycolysis, was decreased. In KYSE150 and KYSE510 cells, treatment with 60 µM capsaicin resulted in a notable reduction of lactate production in the supernatant compared with the control group.

Figure 3.

Capsaicin suppresses tumor glycolysis in esophageal squamous cells carcinoma cells. (A) KYSE150 and (B) KYSE510 cells were treated with various concentrations of capsaicin. Glucose consumption (left panels) and lactate production (right panels) were analyzed using the Automatic Biochemical Analyzer. The graph presents the data of ≥3 independent experiments expressed as the mean ± standard deviation. Data were analyzed using a Student's t-test. *P<0.05, **P<0.01 vs. 0-µg treatment group.

Capsaicin mediates glycolysis inhibition in a PTEN dependent manner

As presented in Fig. 4A, in KYSE150 cells, the expression of PTEN, which negatively regulates the phosphatidylinositol 3-kinase/Akt signaling pathway in tumor cells, was increased in a dose-dependent manner following treatment with capsaicin. In addition to an increase in PTEN expression, phosphorylation of Akt at Ser473 and Thr308 was suppressed. In order to investigate the role of PTEN in facilitating capsaicin-mediated inhibition of glycolysis, PTEN shRNA was developed to knock down the expression of PTEN in KYSE150 cells. Following transfection of KYSE-150 cells with PTEN shRNA, the expression of PTEN was decreased compared with the control group (shGFP group), which validated the efficiency of the shRNA used (Fig. 4B). In addition to the knockdown of PTEN, the expression of HK-2 was increased. The efficacy of capsaicin was assessed in PTEN-knockdown KYSE-150 cells, as presented in Fig. 4C; in PTEN-knockdown cells, the expression of HK-2 was unaltered following treatment with capsaicin. In addition, the phosphorylation of AKT at Ser473 and Thr308 was increased compared with the control group. The effect of PTEN knockdown on glucose uptake and lactate secretion was additionally investigated. As presented in Fig. 4D, in PTEN-knockdown KYSE150 cells, glycolysis inhibition caused by 60 µM capsaicin was attenuated. Glucose uptake and lactate production in PTEN shRNA cells was markedly recovered compared with the shGFP group, which suggested an important role for PTEN in capsaicin-mediated glycolysis inhibition.

Figure 4.

Capsaicin-mediated glycolysis inhibition is associated with PTEN. (A) The effect of capsaicin on the expression of PTEN and Akt phosphorylation. KYSE150 cells were treated with various concentrations of capsaicin and the alteration of the indicated protein was probed with corresponding antibodies. (B) Knockdown of PTEN expression in KYSE150 cells with specific PTEN shRNA. PTEN knockdown was validated using western blotting. (C) The effect of capsaicin on HK-2 expression in PTEN-knockdown KYSE150 cells. KYSE150 cells with GFP shRNA or PTEN shRNA were treated with 60 µM capsaicin for 24 h and cell lysates were subjected to western blotting with corresponding antibodies. (D) The effect of capsaicin on tumor glycolysis in PTEN-knockdown KYSE150 cells. KYSE150 cells were transfected with GFP shRNA or PTEN shRNA and treated with 60 µM capsaicin for 24 h. Glucose consumption (left panels) and lactate production (right panels) was analyzed. The graph presents the data of ≥3 independent experiments expressed as the mean ± standard deviation. The data were analyzed using a Student's t-test. *P<0.05, **P<0.01. PTEN, phosphatase and tensin homolog; HK-2, hexokinase-2; shRNA, small hairpin RNA; GFP, green fluorescent protein; Akt, RAC-α serine threonine-protein kinase; p, phosphorylated.

Discussion

Esophageal cancer is the eighth most common cancer and the sixth leading cause of mortality from cancer worldwide. In Asia, particularly in China, ESCC is the predominant type. Despite advances in cancer surgery and chemotherapy, the five-year survival rate of patients with late-stage esophagus carcinoma is relatively low (21). Therefore, there is a requirement to discover and develop chemical entities with novel antitumor mechanisms against esophagus carcinoma. Capsaicin, a component of red peppers which is widely consumed, has been reported to exert chemopreventive and chemotherapeutic activities in various types of cancer; however, its effect on tumor glycolysis remains unknown. The results of the present study demonstrated that capsaicin exhibited an inhibitory effect on tumor glycolysis in ESCC by downregulating HK-2 expression. Further investigations revealed that PTEN was involved in the capsaicin-mediated inhibition of tumor glycolysis in ESCC cells.

Clinical studies have demonstrated that the level of glycolysis in tumor tissue, which can be detected with 18F-FDG-PET/computerized tomography technology, is a useful prognostic factor for patients with ESCC (22,23). The conversion of glucose to glucose-6-phosphate, an irreversible step in glycolysis, is mediated by HK-2. HK-2 localizes to the outer mitochondrial membrane protein voltage-dependent anion channel, where it gains preferential access to the ATP generated by the mitochondria and protection from inhibition by glucose-6-phosphate (24). Therefore, HK-2 is reported to be overexpressed in various types of cancer, particularly those with a highly glycolytic phenotype. In the present study, the overexpression of HK-2 was identified in ESCC cells. Compared with normal esophageal epithelial cells, HK-2 expression in ESCC cells was increased, suggesting that the glycolysis level in the ESCC cells was increased. In capsaicin-treated ESCC cells, the expression of HK-2 was decreased. In addition, the uptake of glucose and the secretion of lactate by ESCC cells was reduced. The results of the present study demonstrated that capsaicin effectively inhibited tumor glycolysis. A previous study indicated that HK-2 was necessary for the tumorigenicity of non-small cell lung cancer and breast cancer in humans, whereas HK2 deletion resulted in rapid suppression of tumor growth (25). The proliferation of ESCC cells was suppressed by capsaicin in vitro in the present study. Certain studies have demonstrated that the activity of HK-2 was associated with chemoresistance (26). The sensitivity of tumor cells to chemotherapy has been demonstrated to be enhanced through the inhibition of glycolysis by targeting HK-2 (27,28). Due to the effect of capsaicin on HK-2 and tumor glycolysis, capsaicin may be able to increase the efficacy of other chemotherapies.

Following treatment with capsaicin, the expression of PTEN, which has been identified to be a tumor suppressor, was increased in a dose-dependent manner. In addition, the phosphorylation of Akt at Ser473 and Thr308 was decreased. As reported by Wang et al (29), HK-2 was selectively upregulated by the combined loss of PTEN and p53 in prostate cancer cells; the PTEN deletion increased HK-2 mRNA translation through the activation of the Akt-methylated target of rapamycin complex 1–4-Erb-binding protein 1 axis. In order to investigate the role of PTEN in capsaicin-mediated glycolysis inhibition, PTEN expression in KYSE150 cells was knocked down using shRNA in the present study. In PTEN-knockdown cells, glycolysis inhibition mediated by capsaicin was attenuated, suggesting that PTEN facilitates the effect of capsaicin on tumor metabolism. As a tumor suppresser, loss or mutations of PTEN have been identified in various types of cancer. Clinical evidence has demonstrated that PTEN expression in ESCC was an important prognostic indicator; the 5-year survival rate in patients with PTEN-positive expression was 82%, compared with 39% in patients with PTEN-negative expression (30). Consistent with previous reports, in the present study, the expression of HK-2 was increased in PTEN-knockdown cells compared with control cells. Therefore, in patients with ESCC, aberrant tumor glycolysis may be a reason for the poor prognosis associated with PTEN loss.

In conclusion, the present study demonstrated that capsaicin exhibited an inhibitory effect on tumor glycolysis by decreasing HK-2 expression in ESCC cells. Further investigation demonstrated that the inhibition of glycolysis mediated by capsaicin was associated with an increase of PTEN expression following treatment with capsaicin. The present study provides a novel mechanism to elucidate the antitumor activity of capsaicin.

Acknowledgements

Not applicable.

Funding

The present study was funded by the Health Bureau of Zhejiang Province (grant no. 2015KYB433).

Availability of data and materials

The analyzed data sets generated during the study are available from the corresponding author on reasonable request.

Authors' contributions

XLM, HYZ, DHL and YZ designed the experiments. XLM and HYZ carried out the majority of the experimental work. LPY and HFY performed the glucose and lactate assays. JSZ and YZ were responsible for shRNA construction. XLM, HYZ, DHL and YZ analyzed the data. XLM, HYZ and YZ wrote the manuscript.

Ethics approval and consent to participate

Not applicable.

Consent for publication

Not applicable.

Competing interests

The authors declare that they have no competing interests.

References

1 

Richards BL, Whittle SL and Buchbinder R: Neuromodulators for pain management in rheumatoid arthritis. Cochrane Database Syst Rev. 1:CD0089212012.PubMed/NCBI

2 

Burness CB and McCormack PL: Capsaicin 8% Patch: A review in peripheral neuropathic pain. Drugs. 76:123–134. 2016. View Article : Google Scholar : PubMed/NCBI

3 

Matharu M: Cluster headache. BMJ Clin Evid. 2010:12122010.PubMed/NCBI

4 

Ito K, Nakazato T, Yamato K, Miyakawa Y, Yamada T, Hozumi N, Segawa K, Ikeda Y and Kizaki M: Induction of apoptosis in leukemic cells by homovanillic acid derivative, capsaicin, through oxidative stress: Implication of phosphorylation of p53 at Ser-15 residue by reactive oxygen species. Cancer Res. 64:1071–1078. 2004. View Article : Google Scholar : PubMed/NCBI

5 

Lau JK, Brown KC, Dom AM, Witte TR, Thornhill BA, Crabtree CM, Perry HE, Brown JM, Ball JG, Creel RG, et al: Capsaicin induces apoptosis in human small cell lung cancer via the TRPV6 receptor and the calpain pathway. Apoptosis. 19:1190–1201. 2014. View Article : Google Scholar : PubMed/NCBI

6 

Jin J, Lin G, Huang H, Xu D, Yu H, Ma X, Zhu L, Ma D and Jiang H: Capsaicin mediates cell cycle arrest and apoptosis in human colon cancer cells via stabilizing and activating p53. Int J Biol Sci. 10:285–295. 2014. View Article : Google Scholar : PubMed/NCBI

7 

Sarkar A, Bhattacharjee S and Mandal DP: Induction of apoptosis by eugenol and capsaicin in human gastric cancer AGS cells-elucidating the role of p53. Asian Pac J Cancer Prev. 16:6753–6759. 2015. View Article : Google Scholar : PubMed/NCBI

8 

Díaz-Laviada I: Effect of capsaicin on prostate cancer cells. Future Oncol. 6:1545–1550. 2010. View Article : Google Scholar : PubMed/NCBI

9 

Huang SP, Chen JC, Wu CC, Chen CT, Tang NY, Ho YT, Lo C, Lin JP, Chung JG and Lin JG: Capsaicin-induced apoptosis in human hepatoma HepG2 cells. Anticancer Res. 29:165–174. 2009.PubMed/NCBI

10 

Clark R and Lee SH: Anticancer properties of capsaicin against human cancer. Anticancer Res. 36:837–843. 2016.PubMed/NCBI

11 

Hu F, Yang S, Zhao D, Zhu S, Wang Y and Li J: Moderate extracellular acidification inhibits capsaicin-induced cell death through regulating calcium mobilization, NF-kappaB translocation and ROS production in synoviocytes. Biochem Biophys Res Commun. 424:196–200. 2012. View Article : Google Scholar : PubMed/NCBI

12 

Lee HK, Seo IA, Shin YK, Park JW, Suh DJ and Park HT: Capsaicin inhibits the IL-6/STAT3 pathway by depleting intracellular gp130 pools through endoplasmic reticulum stress. Biochem Biophys Res Commun. 382:445–450. 2009. View Article : Google Scholar : PubMed/NCBI

13 

Bhattacharya B, Mohd Omar MF and Soong R: The Warburg effect and drug resistance. Br J Pharmacol. 173:970–979. 2016. View Article : Google Scholar : PubMed/NCBI

14 

Wilson JE: Isozymes of mammalian hexokinase: Structure, subcellular localization and metabolic function. J Exp Biol. 206:2049–2057. 2003. View Article : Google Scholar : PubMed/NCBI

15 

Mathupala SP, Ko YH and Pedersen PL: Hexokinase II: Cancer's double-edged sword acting as both facilitator and gatekeeper of malignancy when bound to mitochondria. Oncogene. 25:4777–4786. 2006. View Article : Google Scholar : PubMed/NCBI

16 

DeLaPaz RL, Patronas NJ, Brooks RA, Smith BH, Kornblith PL, Milam H and Di Chiro G: Positron emission tomographic study of suppression of gray-matter glucose utilization by brain tumors. AJNR Am J Neuroradiol. 4:826–829. 1983.PubMed/NCBI

17 

Ogawa H, Nagano H, Konno M, Eguchi H, Koseki J, Kawamoto K, Nishida N, Colvin H, Tomokuni A, Tomimaru Y, et al: The combination of the expression of hexokinase 2 and pyruvate kinase M2 is a prognostic marker in patients with pancreatic cancer. Mol Clin Oncol. 3:563–571. 2015. View Article : Google Scholar : PubMed/NCBI

18 

Jin Z, Gu J, Xin X, Li Y and Wang H: Expression of hexokinase 2 in epithelial ovarian tumors and its clinical significance in serous ovarian cancer. Eur J Gynaecol Oncol. 35:519–524. 2014.PubMed/NCBI

19 

Guzman G, Chennuri R, Chan A, Rea B, Quintana A, Patel R, Xu PZ, Xie H and Hay N: Evidence for heightened hexokinase II immunoexpression in hepatocyte dysplasia and hepatocellular carcinoma. Dig Dis Sci. 60:420–426. 2015. View Article : Google Scholar : PubMed/NCBI

20 

Schreurs LM, Smit JK, Pavlov K, Pultrum BB, Pruim J, Groen H, Hollema H and Plukker JT: Prognostic impact of clinicopathological features and expression of biomarkers related to (18)F-FDG uptake in esophageal cancer. Ann Surg Oncol. 21:3751–3757. 2014. View Article : Google Scholar : PubMed/NCBI

21 

Enzinger PC and Mayer RJ: Esophageal cancer. N Engl J Med. 349:2241–2252. 2003. View Article : Google Scholar : PubMed/NCBI

22 

Li YM, Lin Q, Zhao L, Wang LC, Sun L, Dai MM, Luo ZM, Zheng H and Wu H: Pre-treatment metabolic tumor volume and total lesion glycolysis are useful prognostic factors for esophageal squamous cell cancer patients. Asian Pac J Cancer Prev. 15:1369–1373. 2014. View Article : Google Scholar : PubMed/NCBI

23 

Hong JH, Kim HH, Han EJ, Byun JH, Jang HS, Choi EK, Kang JH and Yoo Ie R: Total lesion glycolysis using (18)F-FDG PET/CT as a prognostic factor for locally advanced esophageal cancer. J Korean Med Sci. 31:39–46. 2016. View Article : Google Scholar : PubMed/NCBI

24 

Mathupala SP, Ko YH and Pedersen PL: Hexokinase-2 bound to mitochondria: Cancer's stygian link to the ‘Warburg Effect’ and a pivotal target for effective therapy. Semin Cancer Biol. 19:17–24. 2009. View Article : Google Scholar : PubMed/NCBI

25 

Patra KC, Wang Q, Bhaskar PT, Miller L, Wang Z, Wheaton W, Chandel N, Laakso M, Muller WJ, Allen EL, et al: Hexokinase 2 is required for tumor initiation and maintenance and its systemic deletion is therapeutic in mouse models of cancer. Cancer Cell. 24:213–228. 2013. View Article : Google Scholar : PubMed/NCBI

26 

Suh DH, Kim MA, Kim H, Kim MK, Kim HS, Chung HH, Kim YB and Song YS: Association of overexpression of hexokinase II with chemoresistance in epithelial ovarian cancer. Clin Exp Med. 14:345–353. 2014. View Article : Google Scholar : PubMed/NCBI

27 

Peng Q, Zhou J, Zhou Q, Pan F, Zhong D and Liang H: Silencing hexokinase II gene sensitizes human colon cancer cells to 5-fluorouracil. Hepato-gastroenterology. 56:355–360. 2009.PubMed/NCBI

28 

Jiang JX, Gao S, Pan YZ, Yu C and Sun CY: Overexpression of microRNA-125b sensitizes human hepatocellular carcinoma cells to 5-fluorouracil through inhibition of glycolysis by targeting hexokinase II. Mol Med Rep. 10:995–1002. 2014. View Article : Google Scholar : PubMed/NCBI

29 

Wang L, Xiong H, Wu F, Zhang Y, Wang J, Zhao L, Guo X, Chang LJ, You MJ, Koochekpour S, et al: Hexokinase 2-mediated Warburg effect is required for PTEN- and p53-deficiency-driven prostate cancer growth. Cell Reports. 8:1461–1474. 2014. View Article : Google Scholar : PubMed/NCBI

30 

Chang D, Wang TY, Li HC, Wei JC and Song JX: Prognostic significance of PTEN expression in esophageal squamous cell carcinoma from Linzhou City, a high incidence area of northern China. Dis Esophagus. 20:491–496. 2007. View Article : Google Scholar : PubMed/NCBI

Related Articles

  • Abstract
  • View
  • Download
  • Twitter
Copy and paste a formatted citation
Spandidos Publications style
Mao X, Zhu H, Luo D, Ye L, Yin H, Zhang J, Zhang Y and Zhang Y: Capsaicin inhibits glycolysis in esophageal squamous cell carcinoma by regulating hexokinase‑2 expression. Mol Med Rep 17: 6116-6121, 2018.
APA
Mao, X., Zhu, H., Luo, D., Ye, L., Yin, H., Zhang, J. ... Zhang, Y. (2018). Capsaicin inhibits glycolysis in esophageal squamous cell carcinoma by regulating hexokinase‑2 expression. Molecular Medicine Reports, 17, 6116-6121. https://doi.org/10.3892/mmr.2018.8574
MLA
Mao, X., Zhu, H., Luo, D., Ye, L., Yin, H., Zhang, J., Zhang, Y., Zhang, Y."Capsaicin inhibits glycolysis in esophageal squamous cell carcinoma by regulating hexokinase‑2 expression". Molecular Medicine Reports 17.4 (2018): 6116-6121.
Chicago
Mao, X., Zhu, H., Luo, D., Ye, L., Yin, H., Zhang, J., Zhang, Y., Zhang, Y."Capsaicin inhibits glycolysis in esophageal squamous cell carcinoma by regulating hexokinase‑2 expression". Molecular Medicine Reports 17, no. 4 (2018): 6116-6121. https://doi.org/10.3892/mmr.2018.8574
Copy and paste a formatted citation
x
Spandidos Publications style
Mao X, Zhu H, Luo D, Ye L, Yin H, Zhang J, Zhang Y and Zhang Y: Capsaicin inhibits glycolysis in esophageal squamous cell carcinoma by regulating hexokinase‑2 expression. Mol Med Rep 17: 6116-6121, 2018.
APA
Mao, X., Zhu, H., Luo, D., Ye, L., Yin, H., Zhang, J. ... Zhang, Y. (2018). Capsaicin inhibits glycolysis in esophageal squamous cell carcinoma by regulating hexokinase‑2 expression. Molecular Medicine Reports, 17, 6116-6121. https://doi.org/10.3892/mmr.2018.8574
MLA
Mao, X., Zhu, H., Luo, D., Ye, L., Yin, H., Zhang, J., Zhang, Y., Zhang, Y."Capsaicin inhibits glycolysis in esophageal squamous cell carcinoma by regulating hexokinase‑2 expression". Molecular Medicine Reports 17.4 (2018): 6116-6121.
Chicago
Mao, X., Zhu, H., Luo, D., Ye, L., Yin, H., Zhang, J., Zhang, Y., Zhang, Y."Capsaicin inhibits glycolysis in esophageal squamous cell carcinoma by regulating hexokinase‑2 expression". Molecular Medicine Reports 17, no. 4 (2018): 6116-6121. https://doi.org/10.3892/mmr.2018.8574
Follow us
  • Twitter
  • LinkedIn
  • Facebook
About
  • Spandidos Publications
  • Careers
  • Cookie Policy
  • Privacy Policy
How can we help?
  • Help
  • Live Chat
  • Contact
  • Email to our Support Team