Spandidos Publications Logo
  • About
    • About Spandidos
    • Aims and Scopes
    • Abstracting and Indexing
    • Editorial Policies
    • Reprints and Permissions
    • Job Opportunities
    • Terms and Conditions
    • Contact
  • Journals
    • All Journals
    • Oncology Letters
      • Oncology Letters
      • Information for Authors
      • Editorial Policies
      • Editorial Board
      • Aims and Scope
      • Abstracting and Indexing
      • Bibliographic Information
      • Archive
    • International Journal of Oncology
      • International Journal of Oncology
      • Information for Authors
      • Editorial Policies
      • Editorial Board
      • Aims and Scope
      • Abstracting and Indexing
      • Bibliographic Information
      • Archive
    • Molecular and Clinical Oncology
      • Molecular and Clinical Oncology
      • Information for Authors
      • Editorial Policies
      • Editorial Board
      • Aims and Scope
      • Abstracting and Indexing
      • Bibliographic Information
      • Archive
    • Experimental and Therapeutic Medicine
      • Experimental and Therapeutic Medicine
      • Information for Authors
      • Editorial Policies
      • Editorial Board
      • Aims and Scope
      • Abstracting and Indexing
      • Bibliographic Information
      • Archive
    • International Journal of Molecular Medicine
      • International Journal of Molecular Medicine
      • Information for Authors
      • Editorial Policies
      • Editorial Board
      • Aims and Scope
      • Abstracting and Indexing
      • Bibliographic Information
      • Archive
    • Biomedical Reports
      • Biomedical Reports
      • Information for Authors
      • Editorial Policies
      • Editorial Board
      • Aims and Scope
      • Abstracting and Indexing
      • Bibliographic Information
      • Archive
    • Oncology Reports
      • Oncology Reports
      • Information for Authors
      • Editorial Policies
      • Editorial Board
      • Aims and Scope
      • Abstracting and Indexing
      • Bibliographic Information
      • Archive
    • Molecular Medicine Reports
      • Molecular Medicine Reports
      • Information for Authors
      • Editorial Policies
      • Editorial Board
      • Aims and Scope
      • Abstracting and Indexing
      • Bibliographic Information
      • Archive
    • World Academy of Sciences Journal
      • World Academy of Sciences Journal
      • Information for Authors
      • Editorial Policies
      • Editorial Board
      • Aims and Scope
      • Abstracting and Indexing
      • Bibliographic Information
      • Archive
    • International Journal of Functional Nutrition
      • International Journal of Functional Nutrition
      • Information for Authors
      • Editorial Policies
      • Editorial Board
      • Aims and Scope
      • Abstracting and Indexing
      • Bibliographic Information
      • Archive
    • International Journal of Epigenetics
      • International Journal of Epigenetics
      • Information for Authors
      • Editorial Policies
      • Editorial Board
      • Aims and Scope
      • Abstracting and Indexing
      • Bibliographic Information
      • Archive
    • Medicine International
      • Medicine International
      • Information for Authors
      • Editorial Policies
      • Editorial Board
      • Aims and Scope
      • Abstracting and Indexing
      • Bibliographic Information
      • Archive
  • Articles
  • Information
    • Information for Authors
    • Information for Reviewers
    • Information for Librarians
    • Information for Advertisers
    • Conferences
  • Language Editing
Spandidos Publications Logo
  • About
    • About Spandidos
    • Aims and Scopes
    • Abstracting and Indexing
    • Editorial Policies
    • Reprints and Permissions
    • Job Opportunities
    • Terms and Conditions
    • Contact
  • Journals
    • All Journals
    • Biomedical Reports
      • Information for Authors
      • Editorial Policies
      • Editorial Board
      • Aims and Scope
      • Abstracting and Indexing
      • Bibliographic Information
      • Archive
    • Experimental and Therapeutic Medicine
      • Information for Authors
      • Editorial Policies
      • Editorial Board
      • Aims and Scope
      • Abstracting and Indexing
      • Bibliographic Information
      • Archive
    • International Journal of Epigenetics
      • Information for Authors
      • Editorial Policies
      • Editorial Board
      • Aims and Scope
      • Abstracting and Indexing
      • Bibliographic Information
      • Archive
    • International Journal of Functional Nutrition
      • Information for Authors
      • Editorial Policies
      • Editorial Board
      • Aims and Scope
      • Abstracting and Indexing
      • Bibliographic Information
      • Archive
    • International Journal of Molecular Medicine
      • Information for Authors
      • Editorial Policies
      • Editorial Board
      • Aims and Scope
      • Abstracting and Indexing
      • Bibliographic Information
      • Archive
    • International Journal of Oncology
      • Information for Authors
      • Editorial Policies
      • Editorial Board
      • Aims and Scope
      • Abstracting and Indexing
      • Bibliographic Information
      • Archive
    • Medicine International
      • Information for Authors
      • Editorial Policies
      • Editorial Board
      • Aims and Scope
      • Abstracting and Indexing
      • Bibliographic Information
      • Archive
    • Molecular and Clinical Oncology
      • Information for Authors
      • Editorial Policies
      • Editorial Board
      • Aims and Scope
      • Abstracting and Indexing
      • Bibliographic Information
      • Archive
    • Molecular Medicine Reports
      • Information for Authors
      • Editorial Policies
      • Editorial Board
      • Aims and Scope
      • Abstracting and Indexing
      • Bibliographic Information
      • Archive
    • Oncology Letters
      • Information for Authors
      • Editorial Policies
      • Editorial Board
      • Aims and Scope
      • Abstracting and Indexing
      • Bibliographic Information
      • Archive
    • Oncology Reports
      • Information for Authors
      • Editorial Policies
      • Editorial Board
      • Aims and Scope
      • Abstracting and Indexing
      • Bibliographic Information
      • Archive
    • World Academy of Sciences Journal
      • Information for Authors
      • Editorial Policies
      • Editorial Board
      • Aims and Scope
      • Abstracting and Indexing
      • Bibliographic Information
      • Archive
  • Articles
  • Information
    • For Authors
    • For Reviewers
    • For Librarians
    • For Advertisers
    • Conferences
  • Language Editing
Login Register Submit
  • This site uses cookies
  • You can change your cookie settings at any time by following the instructions in our Cookie Policy. To find out more, you may read our Privacy Policy.

    I agree
Search articles by DOI, keyword, author or affiliation
Search
Advanced Search
presentation
Biomedical Reports
Join Editorial Board Propose a Special Issue
Print ISSN: 2049-9434 Online ISSN: 2049-9442
Journal Cover
November-2016 Volume 5 Issue 5

Full Size Image

Sign up for eToc alerts
Recommend to Library

Journals

International Journal of Molecular Medicine

International Journal of Molecular Medicine

International Journal of Molecular Medicine is an international journal devoted to molecular mechanisms of human disease.

International Journal of Oncology

International Journal of Oncology

International Journal of Oncology is an international journal devoted to oncology research and cancer treatment.

Molecular Medicine Reports

Molecular Medicine Reports

Covers molecular medicine topics such as pharmacology, pathology, genetics, neuroscience, infectious diseases, molecular cardiology, and molecular surgery.

Oncology Reports

Oncology Reports

Oncology Reports is an international journal devoted to fundamental and applied research in Oncology.

Experimental and Therapeutic Medicine

Experimental and Therapeutic Medicine

Experimental and Therapeutic Medicine is an international journal devoted to laboratory and clinical medicine.

Oncology Letters

Oncology Letters

Oncology Letters is an international journal devoted to Experimental and Clinical Oncology.

Biomedical Reports

Biomedical Reports

Explores a wide range of biological and medical fields, including pharmacology, genetics, microbiology, neuroscience, and molecular cardiology.

Molecular and Clinical Oncology

Molecular and Clinical Oncology

International journal addressing all aspects of oncology research, from tumorigenesis and oncogenes to chemotherapy and metastasis.

World Academy of Sciences Journal

World Academy of Sciences Journal

Multidisciplinary open-access journal spanning biochemistry, genetics, neuroscience, environmental health, and synthetic biology.

International Journal of Functional Nutrition

International Journal of Functional Nutrition

Open-access journal combining biochemistry, pharmacology, immunology, and genetics to advance health through functional nutrition.

International Journal of Epigenetics

International Journal of Epigenetics

Publishes open-access research on using epigenetics to advance understanding and treatment of human disease.

Medicine International

Medicine International

An International Open Access Journal Devoted to General Medicine.

Journal Cover
November-2016 Volume 5 Issue 5

Full Size Image

Sign up for eToc alerts
Recommend to Library

  • Article
  • Citations
    • Cite This Article
    • Download Citation
    • Create Citation Alert
    • Remove Citation Alert
    • Cited By
  • Similar Articles
    • Related Articles (in Spandidos Publications)
    • Similar Articles (Google Scholar)
    • Similar Articles (PubMed)
  • Download PDF
  • Download XML
  • View XML
Article

Oxymatrine inhibits microglia activation via HSP60-TLR4 signaling

  • Authors:
    • Feijia Ding
    • Yunhong Li
    • Xiaolin Hou
    • Rui Zhang
    • Shuting Hu
    • Yin Wang
  • View Affiliations / Copyright

    Affiliations: Department of Neurobiology, Ningxia Key Laboratory of Cerebrocranial Diseases, Ningxia Medical University, Yinchuan, Ningxia 750004, P.R. China, Department of Neurology, The General Hospital of Ningxia Medical University, Yinchuan, Ningxia 750004, P.R. China
  • Pages: 623-628
    |
    Published online on: October 11, 2016
       https://doi.org/10.3892/br.2016.776
  • Expand metrics +
Metrics: Total Views: 0 (Spandidos Publications: | PMC Statistics: )
Metrics: Total PDF Downloads: 0 (Spandidos Publications: | PMC Statistics: )
Cited By (CrossRef): 0 citations Loading Articles...

This article is mentioned in:



Abstract

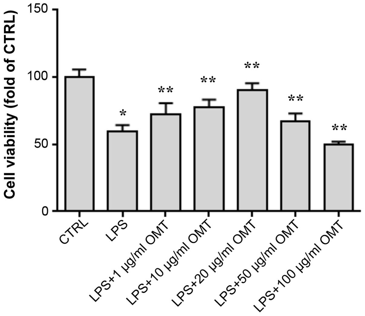
Oxymatrine (OMT) is an alkaloid extracted from Sophora flavescens, which has broad anti-inflammatory, antitumor and immunosuppressant actions. However, the underlying molecular mechanisms have remained elusive. Heat shock protein 60 (HSP60) has recently been shown to have an important role in autoimmune reactions. The present study aimed to investigate whether OMT exerts its anti‑inflammatory effects by inhibiting microglial activation and examined the role of HSP60 in this process. Western blot analysis and ELISA showed that OMT decreased the expression and release of HSP60 by LPS‑activated BV2 cells. The expression of heat shock factor 1, the transcription factor of HSP60, was also suppressed by OMT. Extracellular HSP60 has been previously indicated to induce microglial apoptosis through the Toll‑like receptor (TLR)‑4 pathway. Flow cytometric analysis demonstrated that LPS treatment induced apoptosis of BV2 cells, which was inhibited by OMT in parallel with inhibition of LPS‑induced expression of TLR‑4. Furthermore, OMT was shown to suppress the levels of myeloid differentiation factor (MYD)88, nuclear factor (NF)‑κB, caspase‑3, inducible nitric oxide synthase, tumor necrosis factor‑α, interleukin (IL)‑1β and IL‑6. In light of these results, it was concluded that OMT may exert its neuroprotective effects via HSP60/TLR‑4/MYD88/NF‑κB signaling pathways to inhibit microglial activation. OMT may therefore offer substantial therapeutic potential for treating neurodegenerative diseases associated with microglial activation.
View Figures

Figure 1

Figure 2

Figure 3

Figure 4

Figure 5

View References

1 

Kreutzberg GW: Microglia: A sensor for pathological events in the CNS. Trends Neurosci. 19:312–318. 1996. View Article : Google Scholar : PubMed/NCBI

2 

Jung WK, Lee DY, Park C, Choi YH, Choi I, Park SG, Seo SK, Lee SW, Yea SS, Ahn SC, et al: Cilostazol is anti-inflammatory in BV2 microglial cells by inactivating nuclear factor-kappaB and inhibiting mitogen-activated protein kinases. Br J Pharmacol. 159:1274–1285. 2010. View Article : Google Scholar : PubMed/NCBI

3 

Li YH, Teng P, Wang Y, Zhang YM, Ma CJ and Pu J: Expression and regulation of HSP60 in activated microglia cells. J Ningxia Med Col. 8:712–714. 2011.

4 

Mhatre M, Floyd RA and Hensley K: Oxidative stress and neuroinflammation in Alzheimer's disease and amyotrophic lateral sclerosis: Common links and potential therapeutic targets. J Alzheimers Dis. 6:147–157. 2004.PubMed/NCBI

5 

Tansey MG, McCoy MK and Frank-Cannon TC: Neuroinflammatory mechanisms in Parkinson's disease: Potential environmental triggers, pathways, and targets for early therapeutic intervention. Exp Neurol. 208:1–25. 2007. View Article : Google Scholar : PubMed/NCBI

6 

McGeer PL and McGeer EG: Inflammatory processes in amyotrophic lateral sclerosis. Muscle Nerve. 26:459–470. 2002. View Article : Google Scholar : PubMed/NCBI

7 

Yuan X, Wang Y, Du D, Hu Z, Xu M, Xu M and Liu Z: The effects of the combination of sodium ferulate and oxymatrine on lipopolysaccharide-induced acute lung injury in mice. Inflammation. 35:1161–1168. 2012. View Article : Google Scholar : PubMed/NCBI

8 

Liu Y, Xu Y, Ji W, Li X, Sun B, Gao Q and Su C: Anti-tumor activities of matrine and oxymatrine: Literature review. Tumour Biol. 35:5111–5119. 2014. View Article : Google Scholar : PubMed/NCBI

9 

Cui L, Zhang X, Yang R, Wang L, Liu L, Li M and Du W: Neuroprotection and underlying mechanisms of oxymatrine in cerebral ischemia of rats. Neurol Res. 33:319–324. 2011. View Article : Google Scholar : PubMed/NCBI

10 

Chandra D, Choy G and Tang DG: Cytosolic accumulation of HSP60 during apoptosis with or without apparent mitochondrial release: evidence that its pro-apoptotic or pro-survival functions involve differential interactions with caspase-3. J Biol Chem. 282:31289–31301. 2007. View Article : Google Scholar : PubMed/NCBI

11 

Huang M, Hu YY, Dong XQ, Xu QP, Yu WH and Zhang ZY: The protective role of oxymatrine on neuronal cell apoptosis in the hemorrhagic rat brain. J Ethnopharmacol. 143:228–235. 2012. View Article : Google Scholar : PubMed/NCBI

12 

Chai NL, Fu Q, Shi H, Cai CH, Wan J, Xu SP and Wu BY: Oxymatrine liposome attenuates hepatic fibrosis via targeting hepatic stellate cells. World J Gastroenterol. 18:4199–4206. 2012. View Article : Google Scholar : PubMed/NCBI

13 

Li S Hong, Lei L, Lei S, Dan Z, De Li D, Guo Fen Q, Yan L, Wen Feng C and Bao Feng Y: Cardioprotective effects and underlying mechanisms of oxymatrine against ischemic myocardial injuries of rats. Phytother Res. 22:985–989. 2008. View Article : Google Scholar : PubMed/NCBI

14 

Liu Y, Zhang XJ, Yang CH and Fan HG: Oxymatrine protects rat brains against permanent focal ischemia and downregulates NF-kappaB expression. Brain Res. 1268:174–180. 2009. View Article : Google Scholar : PubMed/NCBI

15 

Voos W and Röttgers K: Molecular chaperones as essential mediators of mitochondrial biogenesis. Biochim Biophys Acta. 1592:51–62. 2002. View Article : Google Scholar : PubMed/NCBI

16 

Samali A, Cai J, Zhivotovsky B, Jones DP and Orrenius S: Presence of a pre-apoptotic complex of pro-caspase-3, Hsp60 and Hsp10 in the mitochondrial fraction of jurkat cells. EMBO J. 18:2040–2048. 1999. View Article : Google Scholar : PubMed/NCBI

17 

Lehnardt S, Schott E, Trimbuch T, Laubisch D, Krueger C, Wulczyn G, Nitsch R and Weber JR: A vicious cycle involving release of heat shock protein 60 from injured cells and activation of toll-like receptor 4 mediates neurodegeneration in the CNS. J Neurosci. 28:2320–2331. 2008. View Article : Google Scholar : PubMed/NCBI

18 

Rosenberger K, Dembny P, Derkow K, Engel O, Krüger C, Wolf SA, Kettenmann H, Schott E, Meisel A and Lehnardt S: Intrathecal heat shock protein 60 mediates neurodegeneration and demyelination in the CNS through a TLR4-and MyD88-dependent pathway. Mol Neurodegener. 10:52015. View Article : Google Scholar : PubMed/NCBI

19 

Tsung A, McCoy SL, Klune JR, Geller DA, Billiar TR and Hefeneider SH: A novel inhibitory peptide of Toll-like receptor signaling limits lipopolysaccharide-induced production of inflammatory mediators and enhances survival in mice. Shock. 27:364–369. 2007. View Article : Google Scholar : PubMed/NCBI

20 

Dasgupta S, Jana M, Zhou Y, Fung YK, Ghosh S and Pahan K: Antineuroinflammatory effect of NF-kappaB essential modifier-binding domain peptides in the adoptive transfer model of experimental allergic encephalomyelitis. J Immunol. 173:1344–1354. 2004. View Article : Google Scholar : PubMed/NCBI

21 

Wang Y, Chen L, Hagiwara N and Knowlton AA: Regulation of heat shock protein 60 and 72 expression in the failing heart. J Mol Cell Cardiol. 48:360–366. 2010. View Article : Google Scholar : PubMed/NCBI

22 

Soria JA, Arroyo DS, Gaviglio EA, Rodriguez-Galan MC, Wang JM and Iribarren P: Interleukin 4 induces the apoptosis of mouse microglial cells by a caspase dependent mechanism. Neurobiol Dis. 43:616–624. 2011. View Article : Google Scholar : PubMed/NCBI

23 

Burguillos MA, Deierborg T, Kavanagh E, Persson A, Hajji N, Garcia-Quintanilla A, Cano J, Brundin P, Englund E, Venero JL and Joseph B: Caspase signalling controls microglia activation and neurotoxicity. Nature. 472:319–324. 2011. View Article : Google Scholar : PubMed/NCBI

Related Articles

  • Abstract
  • View
  • Download
  • Twitter
Copy and paste a formatted citation
Spandidos Publications style
Ding F, Li Y, Hou X, Zhang R, Hu S and Wang Y: Oxymatrine inhibits microglia activation via HSP60-TLR4 signaling. Biomed Rep 5: 623-628, 2016.
APA
Ding, F., Li, Y., Hou, X., Zhang, R., Hu, S., & Wang, Y. (2016). Oxymatrine inhibits microglia activation via HSP60-TLR4 signaling. Biomedical Reports, 5, 623-628. https://doi.org/10.3892/br.2016.776
MLA
Ding, F., Li, Y., Hou, X., Zhang, R., Hu, S., Wang, Y."Oxymatrine inhibits microglia activation via HSP60-TLR4 signaling". Biomedical Reports 5.5 (2016): 623-628.
Chicago
Ding, F., Li, Y., Hou, X., Zhang, R., Hu, S., Wang, Y."Oxymatrine inhibits microglia activation via HSP60-TLR4 signaling". Biomedical Reports 5, no. 5 (2016): 623-628. https://doi.org/10.3892/br.2016.776
Copy and paste a formatted citation
x
Spandidos Publications style
Ding F, Li Y, Hou X, Zhang R, Hu S and Wang Y: Oxymatrine inhibits microglia activation via HSP60-TLR4 signaling. Biomed Rep 5: 623-628, 2016.
APA
Ding, F., Li, Y., Hou, X., Zhang, R., Hu, S., & Wang, Y. (2016). Oxymatrine inhibits microglia activation via HSP60-TLR4 signaling. Biomedical Reports, 5, 623-628. https://doi.org/10.3892/br.2016.776
MLA
Ding, F., Li, Y., Hou, X., Zhang, R., Hu, S., Wang, Y."Oxymatrine inhibits microglia activation via HSP60-TLR4 signaling". Biomedical Reports 5.5 (2016): 623-628.
Chicago
Ding, F., Li, Y., Hou, X., Zhang, R., Hu, S., Wang, Y."Oxymatrine inhibits microglia activation via HSP60-TLR4 signaling". Biomedical Reports 5, no. 5 (2016): 623-628. https://doi.org/10.3892/br.2016.776
Follow us
  • Twitter
  • LinkedIn
  • Facebook
About
  • Spandidos Publications
  • Careers
  • Cookie Policy
  • Privacy Policy
How can we help?
  • Help
  • Live Chat
  • Contact
  • Email to our Support Team