Spandidos Publications Logo
  • About
    • About Spandidos
    • Aims and Scopes
    • Abstracting and Indexing
    • Editorial Policies
    • Reprints and Permissions
    • Job Opportunities
    • Terms and Conditions
    • Contact
  • Journals
    • All Journals
    • Oncology Letters
      • Oncology Letters
      • Information for Authors
      • Editorial Policies
      • Editorial Board
      • Aims and Scope
      • Abstracting and Indexing
      • Bibliographic Information
      • Archive
    • International Journal of Oncology
      • International Journal of Oncology
      • Information for Authors
      • Editorial Policies
      • Editorial Board
      • Aims and Scope
      • Abstracting and Indexing
      • Bibliographic Information
      • Archive
    • Molecular and Clinical Oncology
      • Molecular and Clinical Oncology
      • Information for Authors
      • Editorial Policies
      • Editorial Board
      • Aims and Scope
      • Abstracting and Indexing
      • Bibliographic Information
      • Archive
    • Experimental and Therapeutic Medicine
      • Experimental and Therapeutic Medicine
      • Information for Authors
      • Editorial Policies
      • Editorial Board
      • Aims and Scope
      • Abstracting and Indexing
      • Bibliographic Information
      • Archive
    • International Journal of Molecular Medicine
      • International Journal of Molecular Medicine
      • Information for Authors
      • Editorial Policies
      • Editorial Board
      • Aims and Scope
      • Abstracting and Indexing
      • Bibliographic Information
      • Archive
    • Biomedical Reports
      • Biomedical Reports
      • Information for Authors
      • Editorial Policies
      • Editorial Board
      • Aims and Scope
      • Abstracting and Indexing
      • Bibliographic Information
      • Archive
    • Oncology Reports
      • Oncology Reports
      • Information for Authors
      • Editorial Policies
      • Editorial Board
      • Aims and Scope
      • Abstracting and Indexing
      • Bibliographic Information
      • Archive
    • Molecular Medicine Reports
      • Molecular Medicine Reports
      • Information for Authors
      • Editorial Policies
      • Editorial Board
      • Aims and Scope
      • Abstracting and Indexing
      • Bibliographic Information
      • Archive
    • World Academy of Sciences Journal
      • World Academy of Sciences Journal
      • Information for Authors
      • Editorial Policies
      • Editorial Board
      • Aims and Scope
      • Abstracting and Indexing
      • Bibliographic Information
      • Archive
    • International Journal of Functional Nutrition
      • International Journal of Functional Nutrition
      • Information for Authors
      • Editorial Policies
      • Editorial Board
      • Aims and Scope
      • Abstracting and Indexing
      • Bibliographic Information
      • Archive
    • International Journal of Epigenetics
      • International Journal of Epigenetics
      • Information for Authors
      • Editorial Policies
      • Editorial Board
      • Aims and Scope
      • Abstracting and Indexing
      • Bibliographic Information
      • Archive
    • Medicine International
      • Medicine International
      • Information for Authors
      • Editorial Policies
      • Editorial Board
      • Aims and Scope
      • Abstracting and Indexing
      • Bibliographic Information
      • Archive
  • Articles
  • Information
    • Information for Authors
    • Information for Reviewers
    • Information for Librarians
    • Information for Advertisers
    • Conferences
  • Language Editing
Spandidos Publications Logo
  • About
    • About Spandidos
    • Aims and Scopes
    • Abstracting and Indexing
    • Editorial Policies
    • Reprints and Permissions
    • Job Opportunities
    • Terms and Conditions
    • Contact
  • Journals
    • All Journals
    • Biomedical Reports
      • Information for Authors
      • Editorial Policies
      • Editorial Board
      • Aims and Scope
      • Abstracting and Indexing
      • Bibliographic Information
      • Archive
    • Experimental and Therapeutic Medicine
      • Information for Authors
      • Editorial Policies
      • Editorial Board
      • Aims and Scope
      • Abstracting and Indexing
      • Bibliographic Information
      • Archive
    • International Journal of Epigenetics
      • Information for Authors
      • Editorial Policies
      • Editorial Board
      • Aims and Scope
      • Abstracting and Indexing
      • Bibliographic Information
      • Archive
    • International Journal of Functional Nutrition
      • Information for Authors
      • Editorial Policies
      • Editorial Board
      • Aims and Scope
      • Abstracting and Indexing
      • Bibliographic Information
      • Archive
    • International Journal of Molecular Medicine
      • Information for Authors
      • Editorial Policies
      • Editorial Board
      • Aims and Scope
      • Abstracting and Indexing
      • Bibliographic Information
      • Archive
    • International Journal of Oncology
      • Information for Authors
      • Editorial Policies
      • Editorial Board
      • Aims and Scope
      • Abstracting and Indexing
      • Bibliographic Information
      • Archive
    • Medicine International
      • Information for Authors
      • Editorial Policies
      • Editorial Board
      • Aims and Scope
      • Abstracting and Indexing
      • Bibliographic Information
      • Archive
    • Molecular and Clinical Oncology
      • Information for Authors
      • Editorial Policies
      • Editorial Board
      • Aims and Scope
      • Abstracting and Indexing
      • Bibliographic Information
      • Archive
    • Molecular Medicine Reports
      • Information for Authors
      • Editorial Policies
      • Editorial Board
      • Aims and Scope
      • Abstracting and Indexing
      • Bibliographic Information
      • Archive
    • Oncology Letters
      • Information for Authors
      • Editorial Policies
      • Editorial Board
      • Aims and Scope
      • Abstracting and Indexing
      • Bibliographic Information
      • Archive
    • Oncology Reports
      • Information for Authors
      • Editorial Policies
      • Editorial Board
      • Aims and Scope
      • Abstracting and Indexing
      • Bibliographic Information
      • Archive
    • World Academy of Sciences Journal
      • Information for Authors
      • Editorial Policies
      • Editorial Board
      • Aims and Scope
      • Abstracting and Indexing
      • Bibliographic Information
      • Archive
  • Articles
  • Information
    • For Authors
    • For Reviewers
    • For Librarians
    • For Advertisers
    • Conferences
  • Language Editing
Login Register Submit
  • This site uses cookies
  • You can change your cookie settings at any time by following the instructions in our Cookie Policy. To find out more, you may read our Privacy Policy.

    I agree
Search articles by DOI, keyword, author or affiliation
Search
Advanced Search
presentation
Biomedical Reports
Join Editorial Board Propose a Special Issue
Print ISSN: 2049-9434 Online ISSN: 2049-9442
Journal Cover
December-2017 Volume 7 Issue 6

Full Size Image

Sign up for eToc alerts
Recommend to Library

Journals

International Journal of Molecular Medicine

International Journal of Molecular Medicine

International Journal of Molecular Medicine is an international journal devoted to molecular mechanisms of human disease.

International Journal of Oncology

International Journal of Oncology

International Journal of Oncology is an international journal devoted to oncology research and cancer treatment.

Molecular Medicine Reports

Molecular Medicine Reports

Covers molecular medicine topics such as pharmacology, pathology, genetics, neuroscience, infectious diseases, molecular cardiology, and molecular surgery.

Oncology Reports

Oncology Reports

Oncology Reports is an international journal devoted to fundamental and applied research in Oncology.

Experimental and Therapeutic Medicine

Experimental and Therapeutic Medicine

Experimental and Therapeutic Medicine is an international journal devoted to laboratory and clinical medicine.

Oncology Letters

Oncology Letters

Oncology Letters is an international journal devoted to Experimental and Clinical Oncology.

Biomedical Reports

Biomedical Reports

Explores a wide range of biological and medical fields, including pharmacology, genetics, microbiology, neuroscience, and molecular cardiology.

Molecular and Clinical Oncology

Molecular and Clinical Oncology

International journal addressing all aspects of oncology research, from tumorigenesis and oncogenes to chemotherapy and metastasis.

World Academy of Sciences Journal

World Academy of Sciences Journal

Multidisciplinary open-access journal spanning biochemistry, genetics, neuroscience, environmental health, and synthetic biology.

International Journal of Functional Nutrition

International Journal of Functional Nutrition

Open-access journal combining biochemistry, pharmacology, immunology, and genetics to advance health through functional nutrition.

International Journal of Epigenetics

International Journal of Epigenetics

Publishes open-access research on using epigenetics to advance understanding and treatment of human disease.

Medicine International

Medicine International

An International Open Access Journal Devoted to General Medicine.

Journal Cover
December-2017 Volume 7 Issue 6

Full Size Image

Sign up for eToc alerts
Recommend to Library

  • Article
  • Citations
    • Cite This Article
    • Download Citation
    • Create Citation Alert
    • Remove Citation Alert
    • Cited By
  • Similar Articles
    • Related Articles (in Spandidos Publications)
    • Similar Articles (Google Scholar)
    • Similar Articles (PubMed)
  • Download PDF
  • Download XML
  • View XML
Article

Efficacy of high dose vitamin D supplementation in improving serum 25-hydroxyvitamin D among laboratory personnel working at the Nepal National Center for Rheumatic Diseases

  • Authors:
    • Mohan Giri
    • Bibhuti Upreti
    • Rakshya Joshi
    • Jayanti Chamling Rai
    • Binit Vaidya
  • View Affiliations / Copyright

    Affiliations: National Center for Rheumatic Diseases, Ratopul, Kathmandu 44600, Nepal
  • Pages: 543-546
    |
    Published online on: October 12, 2017
       https://doi.org/10.3892/br.2017.1000
  • Expand metrics +
Metrics: Total Views: 0 (Spandidos Publications: | PMC Statistics: )
Metrics: Total PDF Downloads: 0 (Spandidos Publications: | PMC Statistics: )
Cited By (CrossRef): 0 citations Loading Articles...

This article is mentioned in:



Abstract

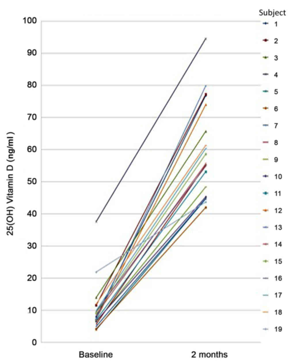
Vitamin D deficiency is a highly prevalent condition worldwide. However, few studies have been conducted to examine the vitamin D status of laboratory personnel and the correlation between vitamin D deficiency and working conditions. The aim of the present study was to assess changes in serum 25-hydroxyvitamin D [25(OH)D] concentration with a weekly dose of oral cholecalciferol (60,000 IU) for two months. The prospective, open-label, interventional study was conducted from January 2016 to March 2016 at the National Centre for Rheumatic Diseases, Kathmandu, Nepal. The serum level of 25(OH)D in 19 healthy laboratory volunteers was measured at baseline and following the 2-month regimen with cholecalciferol supplement at 60,000 IU (1,500 µg)/week in oral tablet form. At baseline the mean serum 25(OH)D level was 10.31±7.78 ng/ml, which was increased following completion of the course of oral cholecalciferol to 59.78±14.74 ng/ml. This difference in the mean serum level of 25(OH)D compared with baseline was significant to P<0.001. These results indicate that vitamin D deficiency is prevalent among laboratory workers, and that high dose vitamin D3 (60,000 IU cholecalciferol) in tablet form may be effective in achieving sufficient serum 25(OH)D among laboratory personnel who tend to have lower baseline serum 25(OH)D. In conclusion, vitamin D deficiency may be common among laboratory workers, and guidelines should be formulated to implement vitamin D supplementation among laboratory personnel, as well as indoor workers, in Nepal.
View Figures

Figure 1

View References

1 

Holick MF and Chen TC: Vitamin D deficiency: A worldwide problem with health consequences. Am J Clin Nutr. 87:1080–1086. 2008.

2 

Nair R and Maseeh A: Vitamin D: The ‘sunshine’ vitamin. J Pharmacol Pharmacother. 3:118–126. 2012.PubMed/NCBI

3 

Mozos I and Marginean O: Links between vitamin D deficiency and cardiovascular diseases. BioMed Res Int. 2015:1092752015. View Article : Google Scholar : PubMed/NCBI

4 

Ames BN and Wakimoto P: Are vitamin and mineral deficiencies a major cancer risk? Nat Rev Cancer. 2:694–704. 2002. View Article : Google Scholar : PubMed/NCBI

5 

González-Molero I, Rojo-Martínez G, Morcillo S, Gutiérrez-Repiso C, Rubio-Martín E, Almaraz MC, Olveira G and Soriguer F: Vitamin D and incidence of diabetes: A prospective cohort study. Clin Nutr. 31:571–573. 2012. View Article : Google Scholar : PubMed/NCBI

6 

Balion C, Griffith LE, Strifler L, Henderson M, Patterson C, Heckman G, Llewellyn DJ and Raina P: Vitamin D, cognition, and dementia: A systematic review and meta-analysis. Neurology. 79:1397–1405. 2012. View Article : Google Scholar : PubMed/NCBI

7 

Babu US and Calvo MS: Modern India and the vitamin D dilemma: Evidence for the need of a national food fortification program. Mol Nutr Food Res. 54:1134–1147. 2010.PubMed/NCBI

8 

Yu S, Fang H, Han J, Cheng X, Xia L, Li S, Liu M, Tao Z, Wang L, Hou L, et al: The high prevalence of hypovitaminosis D in China: A multicenter vitamin D status survey. Medicine (Baltimore). 94:e5852015. View Article : Google Scholar : PubMed/NCBI

9 

Holick MF: Vitamin D deficiency. N Engl J Med. 357:266–281. 2007. View Article : Google Scholar : PubMed/NCBI

10 

Boyages S and Bilinski K: Seasonal reduction in vitamin D level persists into spring in NSW Australia: Implications for monitoring and replacement therapy. Clin Endocrinol (Oxf). 77:515–523. 2012. View Article : Google Scholar : PubMed/NCBI

11 

Goswami R, Gupta N, Ray D, Singh N and Tomar N: Pattern of 25-hydroxy vitamin D response at short (2 month) and long (1 year) interval after 8 weeks of oral supplementation with cholecalciferol in Asian Indians with chronic hypovitaminosis D. Br J Nutr. 100:526–529. 2008. View Article : Google Scholar : PubMed/NCBI

12 

Holick MF, Chen TC, Lu Z and Sauter E: Vitamin D and skin physiology: A D-lightful story. J Bone Miner Res. 22:28–33. 2007. View Article : Google Scholar

13 

World Medical Association, . Declaration of Helsinki-Ethical Principles of Medical Research Involving Human SubjectsAdopted by the 18th WMA General Assembly, Helsinki, Finland, June 1964 and amended by the 55th WMA Assembly. Tokyo, Japan: October. 2004

14 

Hammami MM and Yusuf A: Differential effects of vitamin D2 and D3 supplements on 25-hydroxyvitamin D level are dose, sex, and time dependent: A randomized controlled trial. BMC Endocr Disord. 17:122017. View Article : Google Scholar : PubMed/NCBI

15 

Holick MF: Vitamin D: Importance in the prevention of cancers, type 1 diabetes, heart disease, and osteoporosis. Am J Clin Nutr. 79:362–371. 2004.PubMed/NCBI

16 

Zittermann A: Vitamin D and disease prevention with special reference to cardiovascular disease. Prog Biophys Mol Biol. 92:39–48. 2006. View Article : Google Scholar : PubMed/NCBI

17 

Buyukuslu N, Esin K, Hizli H, Sunal N, Yigit P and Garipagaoglu M: Clothing preference affects vitamin D status of young women. Nutr Res. 34:688–693. 2014. View Article : Google Scholar : PubMed/NCBI

18 

Roomi MA, Farooq A, Ullah E and Lone KP: Hypovitaminosis D and its association with lifestyle factors. Pak J Med Sci. 31:1236–1240. 2015. View Article : Google Scholar : PubMed/NCBI

19 

Erden G, Ozdemir S, Ozturk G, Erden A, Kara D, Isik S, Ergil J, Vural C and Arzuhal AE: Vitamin D levels of anesthesia personnel, office workers and outdoor workers in Ankara, Turkey. Clin Lab. 62:931–937. 2016. View Article : Google Scholar : PubMed/NCBI

20 

Cinar N, Harmanci A, Yildiz BO and Bayraktar M: Vitamin D status and seasonal changes in plasma concentrations of 25-hydroxyvitamin D in office workers in Ankara, Turkey. Eur J Intern Med. 25:197–201. 2014. View Article : Google Scholar : PubMed/NCBI

21 

Peng M, Chen S, Jiang X, Zhang W, Wang Y and Wu S: Cardiovascular Survey Group OB: Dissociation between low vitamin D level and hypertension in coal mine workers: Evidence from the Kailuan Study. Intern Med. 55:1255–1260. 2016. View Article : Google Scholar : PubMed/NCBI

22 

Jeong H, Hong S, Heo Y, Chun H, Kim D, Park J and Kang MY: Vitamin D status and associated occupational factors in Korean wage workers: Data from the 5th Korea national health and nutrition examination survey (KNHANES 2010–2012). Ann Occup Environ Med. 26:282014. View Article : Google Scholar : PubMed/NCBI

23 

Ward M, Berry DJ, Power C and Hyppönen E: Working patterns and vitamin D status in mid-life: A cross-sectional study of the 1958 British birth cohort. Occup Environ Med. 68:902–907. 2011. View Article : Google Scholar : PubMed/NCBI

24 

Wacker M and Holick MF: Sunlight and Vitamin D: A global perspective for health. Dermatoendocrinol. 5:51–108. 2013. View Article : Google Scholar : PubMed/NCBI

25 

Gowda U, Ruwanpathirana T, Fong DPS, Kaur A and Renzaho AMN: Efficacy of high dose vitamin D supplementation in improving serum 25(OH)D among migrant and non migrant population: A retrospective study. BMC Health Serv Res. 16:5792016. View Article : Google Scholar : PubMed/NCBI

26 

Garrett-Mayer E, Wagner CL, Hollis BW, Kindy MS and Gattoni-Celli S: Vitamin D3 supplementation (4000 IU/d for 1 year) eliminates differences in circulating 25-hydroxyvitamin D between African American and white men. Am J Clin Nutr. 96:332–336. 2012. View Article : Google Scholar : PubMed/NCBI

27 

Malabanan A, Veronikis IE and Holick MF: Redefining vitamin D insufficiency. Lancet. 351:805–806. 1998. View Article : Google Scholar : PubMed/NCBI

28 

Holick MF, Binkley NC, Bischoff-Ferrari HA, Gordon CM, Hanley DA, Heaney RP, Murad MH and Weaver CM: Endocrine Society: Evaluation, treatment, and prevention of vitamin D deficiency: an Endocrine Society clinical practice guideline. J Clin Endocrinol Metab. 96:1911–1930. 2011. View Article : Google Scholar : PubMed/NCBI

29 

Hollis BW and Wagner CL: Normal serum vitamin D levels. N Engl J Med. 352:515–516; author reply 515–516. 2005. View Article : Google Scholar : PubMed/NCBI

Related Articles

  • Abstract
  • View
  • Download
  • Twitter
Copy and paste a formatted citation
Spandidos Publications style
Giri M, Upreti B, Joshi R, Rai JC and Vaidya B: Efficacy of high dose vitamin D supplementation in improving serum 25-hydroxyvitamin D among laboratory personnel working at the Nepal National Center for Rheumatic Diseases. Biomed Rep 7: 543-546, 2017.
APA
Giri, M., Upreti, B., Joshi, R., Rai, J.C., & Vaidya, B. (2017). Efficacy of high dose vitamin D supplementation in improving serum 25-hydroxyvitamin D among laboratory personnel working at the Nepal National Center for Rheumatic Diseases. Biomedical Reports, 7, 543-546. https://doi.org/10.3892/br.2017.1000
MLA
Giri, M., Upreti, B., Joshi, R., Rai, J. C., Vaidya, B."Efficacy of high dose vitamin D supplementation in improving serum 25-hydroxyvitamin D among laboratory personnel working at the Nepal National Center for Rheumatic Diseases". Biomedical Reports 7.6 (2017): 543-546.
Chicago
Giri, M., Upreti, B., Joshi, R., Rai, J. C., Vaidya, B."Efficacy of high dose vitamin D supplementation in improving serum 25-hydroxyvitamin D among laboratory personnel working at the Nepal National Center for Rheumatic Diseases". Biomedical Reports 7, no. 6 (2017): 543-546. https://doi.org/10.3892/br.2017.1000
Copy and paste a formatted citation
x
Spandidos Publications style
Giri M, Upreti B, Joshi R, Rai JC and Vaidya B: Efficacy of high dose vitamin D supplementation in improving serum 25-hydroxyvitamin D among laboratory personnel working at the Nepal National Center for Rheumatic Diseases. Biomed Rep 7: 543-546, 2017.
APA
Giri, M., Upreti, B., Joshi, R., Rai, J.C., & Vaidya, B. (2017). Efficacy of high dose vitamin D supplementation in improving serum 25-hydroxyvitamin D among laboratory personnel working at the Nepal National Center for Rheumatic Diseases. Biomedical Reports, 7, 543-546. https://doi.org/10.3892/br.2017.1000
MLA
Giri, M., Upreti, B., Joshi, R., Rai, J. C., Vaidya, B."Efficacy of high dose vitamin D supplementation in improving serum 25-hydroxyvitamin D among laboratory personnel working at the Nepal National Center for Rheumatic Diseases". Biomedical Reports 7.6 (2017): 543-546.
Chicago
Giri, M., Upreti, B., Joshi, R., Rai, J. C., Vaidya, B."Efficacy of high dose vitamin D supplementation in improving serum 25-hydroxyvitamin D among laboratory personnel working at the Nepal National Center for Rheumatic Diseases". Biomedical Reports 7, no. 6 (2017): 543-546. https://doi.org/10.3892/br.2017.1000
Follow us
  • Twitter
  • LinkedIn
  • Facebook
About
  • Spandidos Publications
  • Careers
  • Cookie Policy
  • Privacy Policy
How can we help?
  • Help
  • Live Chat
  • Contact
  • Email to our Support Team